Rundskriv H-23/99
Rapport fra Det tekniske beregningsutvalg for kommunal og fylkeskommunal økonomi juni 1999
Rundskriv | Dato: 02.07.1999 | Kommunal- og distriktsdepartementet
Opprinnelig utgitt av: Kommunal- og regionaldepartementet
Rundskriv nr. H-23/99
S.nr. 99/3113
Rapport fra Det tekniske beregningsutvalg for kommunal og fylkeskommunal økonomi juni 1999
Forord
Det tekniske beregningsutvalg for kommunal- og fylkeskommunal økonomi legger med dette fram Utvalgets junirapport for 1999. Rapporten gir informasjon om utviklingen i kommuneøkonomien for tidligere og inneværende år og justeringer av det økonomiske opplegget for 1999. Utvalget har lagt vekt på at rapporten skal foreligge forholdsvis raskt etter fremleggelsen av Revidert nasjonalbudsjett 1999 og Kommuneøkonomiproposisjonen for 2000. I kapittel 3 er det gjengitt hovedpunkter fra disse to dokumentene.
Kommuneforvaltningen er i rapporten brukt som et samlebegrep for kommunenes og fylkeskommunenes forvaltningsvirksomhet (dvs. eksklusive foretak). Tabellene etter nasjonalregnskapets gruppering (vedlegg 1) gir tall for perioden 1996-1999 for kommuneforvaltningen i alt, og perioden 1996-1998 for fylkeskommuner unntatt Oslo og for kommuner medregnet Oslo. Tallene etter nasjonalregnskapets gruppering er inklusive tilskudd til arbeidsmarkedstiltak og flyktninger. Kommuneforvaltningens inntekter i denne rapporten vil derfor avvike fra tilsvarende tabell i Kommunal- og regionaldepartementets budsjettproposisjon, der disse tilskuddene er holdt utenom.
Utvalget vil takke prosjektleder Kjelrun Espedal og rådgiver Annike Methlie i Kommunal- og regionaldepartementet for bistand under skriving av hhv. kapittel 7, Den finansielle situasjonen i kommunene og fylkeskommunene 1995-98 og kapittel 4, Frie inntekter korrigert for variasjoner i utgiftsbehov.
Den forrige rapporten fra Utvalget som ble sendt alle kommuner og fylkeskommuner, var rapporten av mars 1999, rundskriv H-11/99. Utvalget er interessert i synspunkter på hvordan form og innhold bør være i senere rapporter. Merknader sendes til:
Teknisk beregningsutvalg, sekretariatet, Kommunal- og regionaldepartementet, Kommunalavdelingen, Postboks 8112 Dep, 0032 Oslo.
Internettadresse: linkdoc016005-990630#dochttp://odin.dep.no/krd/publ/publ.html
Innhold
linkintinnledning001forordForord
- linkinthoveddel0011 Sammendrag
- linkinthoveddel0011.1 Hovedtrekk i kommuneøkonomien 1998
- linkinthoveddel001P29_28101.2 Noen utviklingstrekk i kommunesektoren på 1990-tallet
- linkinthoveddel001P53_66601.3 Sysselsetting i offentlig og privat sektor
linkinthoveddel002Del I: Hovedtrekk i kommuneøkonomien i 1998 og 1999
- linkinthoveddel0022 Hovedpunkter ved utviklingen av kommuneøkonomien 1997-1998
- linkinthoveddel002P174_31462.1 Inntekter
- linkinthoveddel002P185_37992.1.1 Vekst i de samlede inntektene
- linkinthoveddel002P333_61262.1.2 Skatt på inntekt og formue
- linkinthoveddel002P593_86862.1.3 Overføringer fra staten
- linkinthoveddel002P635_103752.1.4 Andre inntekter
- linkinthoveddel002P640_108932.2 Aktivitetsutviklingen
- linkinthoveddel002P799_166752.3 Nærmere om utgiftene
- linkinthoveddel002P802_166982.3.1 Lønnskostnader, andre driftskostnader og bruttorealinvesteringer
- linkinthoveddel0033 Kommuneøkonomien 1999. Regjeringens anslag i Revidert nasjonalbudsjett og Kommuneøkonomiproposisjonen
- linkinthoveddel0044 Frie inntekter korrigert for variasjoner i utgiftsbehov
- linkinthoveddel004P12_8584.1 Innledning
- linkinthoveddel004P22_31714.2 Inntektsvariasjoner fylkeskommunene i mellom
- linkinthoveddel004P96_44194.3 Inntektsvariasjoner kommunene i mellom
- linkinthoveddel004P267_89024.4 Utviklingen i korrigert inntekt for kommunene fra 1995 til 1998
- linkinthoveddel004P425_121934.5 Utviklingen i frie inntekter for kommunene fra 1985 til 1998
linkinthoveddel005Del II: Hovedtrekk på 90-tallet
- linkinthoveddel0055 Kommuneforvaltningens plass i norsk økonomi
- linkinthoveddel0066 Utvikling i frie inntekter
- linkinthoveddel0066.1 Innledning
- linkinthoveddel006P26_13336.2 Utvikling i samlede inntekter
- linkinthoveddel006P133_31686.3 Frie inntekter korrigert for oppgaveendringer og prisutvikling
- linkinthoveddel0077 Den finansielle situasjonen i kommunene og fylkeskommunene 1995-98
- linkinthoveddel0088. Utviklingen i kommunale gebyrinntekter og gebyrsatser
- linkinthoveddel008P15_12198.1 Definisjonen av gebyrinntekter i nasjonalregnskapet
- linkinthoveddel008P90_38278.2 Utviklingen i gebyrinntektene i perioden
1990-1997 etter kommuneregnskapets inndeling og dekomponering på
pris og volum
- linkinthoveddel008P93_39498.2.1 Gebyrinntektene etter kommuneregnskapets inndeling i 1997
- linkinthoveddel008P336_64238.2.2 Utviklingen i gebyrinntektene etter formål i perioden 1990-1997
- linkinthoveddel008P345_74308.2.3 Endring i gebyrsatser i perioden 1991-1999
- linkinthoveddel008P502_98038.2.4 Dekomponering av utviklingen i gebyrinntektene på prisendringer og volumendringer.
- linkinthoveddel0099 Ressursinnsats i kommunal tjenesteproduksjon
- linkinthoveddel0099.1 Utvikling i kommunal og fylkeskommunal tjenesteyting
- linkinthoveddel009P29_26129.2 Innledning
- linkinthoveddel009P714_80049.3 Kommunene
- linkinthoveddel009P931_154909.4 Fylkeskommunene
linkintP128_1811hoveddel010Del III: Aktuelle tema
- linkinthoveddel01010 Sysselsetting
- linkinthoveddel01010.1 Sysselsettingsutviklingen i kommuneforvaltningen
- linkinthoveddel010P333_594610.2 Sysselsetting i offentlig og privat sektor
fordelt på kjønn og arbeidstid
- linkinthoveddel010P336_602410.2.1 Datagrunnlaget
- linkinthoveddel010P349_805310.2.2 Samlet sysselsetting etter kjønn og sektor
- linkinthoveddel010P453_1018510.2.3 Sysselsetting fordelt etter kommunestørrelse
- linkinthoveddel010P741_1382210.2.4 Arbeidstakere fordelt på heltid/deltid
Vedlegg
- linkintvedlegg001Vedlegg 1: Tabeller over inntekter og utgifter i kommuneforvaltningen
- linkintvedlegg002Vedlegg 2a: Inntekter og utgifter etter kommuneregnskapets definisjoner
- linkintvedlegg003Vedlegg 2b: Inntekter og utgifter etter kommuneregnskapets definisjoner
- linkintvedlegg004Vedlegg 3: Overføringer 1999
- linkintvedlegg005Vedlegg 4: Kommuneforvaltningens samlede inntekter 1988-1999
- linkintP166_2208vedlegg006Vedlegg 5: Kommuneregnskapets og nasjonalregnskapets gruppering
- linkintP167_2216vedlegg007Vedlegg 6: Prisindekser for kommunenes kjøp av varer og tjenester
- linkintP168_2224vedlegg008Vedlegg 7: Den finansielle situasjonen i kommunene og fylkeskommunene 1995-98
- linkintP169_2232vedlegg009Vedlegg 8: Inntekter korrigert for variasjoner i utgiftsbehov
- linkintP172_2247vedlegg010Vedlegg 9: Utvalgets mandat og sammensetning
1 Sammendrag
1.1 Hovedtrekk i kommuneøkonomien 1998
Kommunesektorens finansielle situasjon ble svekket i 1998. I denne rapporten underbygges dette ved tallmateriale i kapittel 2 og kapittel 7 som viser at:
- driftsutgiftene økte sterkere enn inntektene - aktiviteten økte mer enn inntektene - sterk økning i underskudd før lånetransaksjoner - laveste netto driftsresultat på flere årEtter foreløpige regnskapstall steg de løpende inntektene i kommuneforvaltningen med 5,6 prosent fra 1997 til 1998, eller 10,8 milliarder kroner. De løpende utgifter økte med 8,1 prosent eller 14,0 milliarder kroner. Den sterke utgiftsveksten er særlig knyttet til økte lønnskostnader. Foruten lønnstilleggene i lønnsoppgjøret våren 1998, skyldes økningen høyere satser i KLP og andre pensjonsordninger og økte utgifter ved flere sysselsatte.
Aktiviteten økte med om lag 2 prosent fra 1997 til 1998, som er betydelig høyere enn realveksten i inntektene. Fra 1997 til 1998 var det om lag nullvekst i kommunesektorens samlede reelle inntekter. Hvis en tar hensyn til endringene i oppgavene til sektoren, kan veksten anslås til knapt 1/2 prosent. Målt i antall timeverk økte sysselsettingen med 1,8 prosent. Realinvesteringene ble redusert reelt med ca. 1 prosent i forhold til i 1997. Den reelle økningen i 1997 var knapt 33 prosent. Det høye investeringsnivået i 1997, som i stor grad skyldtes investeringer i skolebygg i forbindelse med grunnskolereformen, ble derfor opprettholdt i 1998. Investeringsnivået har bl.a. sammenheng med gjennomføring av handlingsplanen for eldre.
Underskuddet før lånetransaksjoner samlet for kommuner og fylkeskommuner anslås til om lag 5,0 milliarder kroner i 1998, en økning fra 1,8 milliarder kroner i 1997. Økningen kan skyldes økning i driftsutgiftene, som igjen har sammenheng med økt sysselsetting, lønnsvekst og økte pensjonspremier.
Underskuddet i 1998 medfører at kommunesektorens netto gjeldsnivå, målt som brutto gjeld fratrukket brutto fordringer, øker noe i forhold til 1997. Netto gjeld som andel av samlede inntekter i 1998 er anslått til 30,8 prosent.
Den finansielle situasjonen er svekket i 1998 i forhold til tidligere år, og dette understøttes av nivået på driftsresultatet i kommunene og fylkeskommunene. Netto driftsresultat for kommunene i 1998 anslås nå til 2,0 prosent av driftsinntektene, mot 4,9 prosent i 1997. Resultatet er det laveste siden 1992. For fylkeskommunene anslås driftsresultatet til 0,4 prosent av driftsinntektene, mot 2,6 prosent i 1997. Den langsiktige lånegjelden ble noe redusert i fylkeskommunene, men økte i kommunene.
Den utviklingen som er skissert over, innebærer redusert handlefrihet for kommunesektoren. I 1999 og 2000 vil mange kommuner trolig måtte effektivisere driften og/eller gjennomføre omstillinger i virksomheten for å oppnå balanse i budsjettene.
1.2 Noen utviklingstrekk i kommunesektoren på 1990-tallet
Utvikling i samlede og frie inntekter
De siste årene har det vært en betydelig realvekst i kommuneforvaltningens samlede inntekter. Fra 1989 til 1999 anslås realveksten i samlede inntekter til om lag 42 milliarder 1999-kroner eller 27 prosent, eller om lag 2,4 prosent pr. år i gjennomsnitt. Økningen må blant annet ses i sammenheng med at kommunesektoren har fått nye oppgaver, blant annet i forbindelse med reformen for psykisk utviklingshemmede og reformer i undervisningssektoren.
Realveksten i de samlede inntektene har stor grad skjedd gjennom økte øremerkede overføringer. I perioden 1989 til 1999 er den reelle veksten i kommunesektorens frie inntekter anslått til om lag 11 prosent. Det er tatt hensyn til at kommunesektorens oppgaver har forandret seg i perioden. Hvis vi korrigerer for veksten i folketall, kan den reelle veksten anslås til 5,3 prosent i perioden.
Det har vært realvekst i de frie inntektene korrigert for oppgaveendringer alle årene med unntak av 1995, 1998 og 1999. Veksten var særlig høy i 1990 og 1997. Anslagene for 1999 viser imidlertid en reell nedgang i de frie inntektene på om lag ½ prosent. Fylkeskommunene har hatt en høyere vekst i de frie inntektene enn kommunene i perioden, og Oslo kommunes vekst i frie inntekter ligger betydelig over gjennomsnittet for de øvrige kommunene.
Ulikheter i frie inntekter kommunene i mellom kan gjenspeile ulikheter i kostnadene ved å produsere tjenester. Utvalget har laget beregninger som viser variasjoner i kommunenes og fylkeskommunenes frie inntekter i 1998 når det korrigeres for ulikheter i kostnadsstruktur. Som kostnadsindeks er det brukt kostnadsnøklene i inntektssystemet. De nordnorske kommunene og Oslo har generelt et høyere nivå på de frie korrigerte inntektene enn landet for øvrig, men også Sogn og Fjordane og Akershus ligger over landsgjennomsnittet. Lavest inntektsnivå har kommunene i Vestfold. Det er også relativt store inntektsforskjeller fylkeskommunene i mellom. Oslo og de tre nordligste fylkene og Trønderlagsfylkene har det høyeste inntektsnivået.
Utvalget har også sett på endringer i inntektsfordelingen kommunene i mellom fra 1985 til 1998. Inntektsforskjellene er stabile i perioden.
Utvikling i ressursinnsats
I 1997 ble det utført om lag 409 000 årsverk i kommunesektoren mot 324 000 i 1989. Av årsverksøkningen i perioden har om lag 82 prosent kommet i helse- og sosialsektoren, mens om lag 12 prosent har kommet i undervisningssektoren. Med denne årsverksøkningen har helse- og sosialsektorens andel av utførte årsverk i kommunesektoren økt fra om lag 50 prosent i 1989 til om lag 56 prosent i 1998.
Økningen i antallet sysselsatte i helse- og sosialsektoren skyldes økt ressursinnsats pr. bruker i pleie- og omsorgssektoren. Deler av denne økningen kan forklares ved tilføring av ressurser i forbindelse med ansvarsreformen for psykisk utviklingshemmede. Antall årsverk pr innbygger over 67 år har økt sterkt i perioden 1991 til 1997. Antall legeårsverk pr innbygger økte med om lag 7 prosent i perioden 1990-97.
Også innen de øvrige kommunale tjenesteområdene har ressursinnsatsen økt. Ekstraundervisningen som andel av elevtimetallet har økt med 16 prosent i perioden 1990-97, mens det i barnehagesektoren har vært en jevn økning i dekningsgraden.
Utvikling i gebyrer
Gebyrinntektene i kommuneforvaltningen utgjorde i 1998 23,2 milliarder kroner. Dette svarer til 11,1 prosent av kommuneforvaltningens bruttoinntekter. Gebyrandelen har steget noe fra 1990, da den var 10,2 prosent av bruttoinntektene. I løpende kroner har gebyrinntektene økt med ca 10 milliarder kroner siden 1990. Utviklingen i gebyrinntektene skyldes både en sterk utbygging av tjenestetilbudet på de områdene kommunene kan ta brukerbetaling, at flere tjenester blir gebyrbelagt og økt kostnadsdekning av tjenestene.
1.3 Sysselsetting i offentlig og privat sektor
I kapittel 10.2 i rapporten er det presentert tallmateriale fra 1997 som viser hvordan sysselsettingen i kommunal, statlig og privat sektor fordeler seg på kjønn og arbeidstid. Noen hovedtrekk som materialet viser er:
- Kjønnsfordelingen blant de sysselsatte i kommunal, statlig og privat sektor er svært forskjellig. Kvinneandelen er 76 prosent i kommunene og 70 prosent i fylkeskommunene. I staten, blant selvstendig næringsdrivende og øvrige sektorer er kvinner i klart mindretall blant de sysselsatte. - Kvinner i små kommuner er i større grad sysselsatt i kommunal sektor. - Kvinneandelen av alle sysselsatte, er imidlertid større i store kommuner enn i små kommuner. - Deltid er mer vanlig blant kvinner enn menn. I kommunene jobber halvparten av kvinnene deltid. - Omfanget av deltid er større i små kommuner enn i store. Lagt inn 2. juli 1999 av Statens forvaltningstjeneste, ODIN-redaksjonenDel I
Hovedtrekk i kommuneøkonomien i 1998 og 1999
2 Hovedpunkter ved utviklingen av kommuneøkonomien 1997-1998
Sammendrag
Kommuneøkonomien i 1998 ble omtalt i marsrapporten 1999 basert på foreløpige regnskapstall. Hovedtrekkene ved beskrivelsen i marsrapporten står fortsatt ved lag.
Tabell 2.1 viser endelige regnskapstall for 1997 og foreløpige regnskapstall for 1998 med beløp i millioner kroner, samt prosentvis endring fra 1997 til 1998.
Tabell 2.1: Inntekter og utgifter i kommuneforvaltningen i 1997
og 1998.
Millioner kroner og endring i prosent
| 1997 | 1998 | Endring i | ||||
| Mill. kroner | Mill. kroner | prosent | ||||
| A. Løpende inntekter | 192 540 | 203 384 | ||||
| Gebyrer | 27 086 | 28 501 | 5,2 | |||
| Renter | 3 937 | 4 511 | 14,6 | |||
| Skatter i alt | 85 185 | 88 649 | 4,1 | |||
| herav skatt på inntekt og formue | 81 789 | 85 442 | ||||
| Overføringer fra staten | 73 918 | 78 598 | ||||
| Andre innenlandske overføringer | 2 414 | 3 125 | ||||
| B.Kapitalinntekter | 1 375 | 2 336 | ||||
| C. INNTEKTER I ALT (A+B) | 193 915 | 205 720 | ||||
| D.Løpende utgifter | 172 014 | 186 007 | ||||
| Lønnskostnader | 106 166 | 116 312 | ||||
| Produktkjøp mv. | 41 304 | 43 991 | ||||
| Renteutgifter | 4 352 | 4 758 | 9,3 | |||
| Overføringer til private | 19 412 | 20 093 | ||||
| Overføringer til staten | 1 634 | 1 505 | ||||
| Overføringer til kommunal forretningsdrift | -854 | -652 | ||||
| E.Kapitalutgifter | 23 710 | 24 698 | ||||
| F.UTGIFTER I ALT (D+E) | 195 724 | 210 705 | ||||
| G.OVERSKUDD FØR LÅNETRANSAKSJONER | -1 809 | -4 985
- | ||||
Etter foreløpige regnskapstall steg de løpende inntektene i kommuneforvaltningen med 5,6 prosent fra 1997 til 1998, eller 10,8 milliarder kroner. Løpende utgifter økte med 8,1 prosent eller 14,0 milliarder kroner. Den sterke utgiftsveksten er særlig knyttet til lønnskostnadene, som økte nominelt med 9,6 prosent, tilsvarende 10,1 milliarder kroner. De høye lønnstilleggene i lønnsoppgjøret våren 1998 førte både til sterk vekst i direkte lønnsutgifter og betydelig økte pensjonspremier som følge av den sterke økningen i framtidige pensjonsforpliktelser.
Aktiviteten økte med om lag 2 prosent fra 1997 til 1998, som er betydelig mer enn realveksten i inntektene. Korrigert for oppgaveendringer er inntektene anslått å øke med om lag ½ prosent, mens uten slike korreksjoner anslås det om lag uendret inntektsnivå fra 1997 til 1998. Målt i antall timeverk økte sysselsettingen med 1,8 prosent. Produktinnsatsen økte med vel 4 prosent, mens realinvesteringene ble redusert reelt med ca. 1 prosent etter en reell økning på knapt 33 prosent i 1997. Volumøkningen i realinvesteringene var anslått til 23 prosent i marsrapporten, og oppjusteringen er basert på reviderte fastpristall i nasjonalregnskapet.
Den sterke investeringsveksten i 1997 hadde i første rekke sammenheng med investeringer i forbindelse med undervisningsreformen. Det høye investeringsnivået fra 1997 er opprettholdt i 1998 som følge av store investeringer i forbindelse med handlingsplanen for eldre.
Underskuddet før lånetransaksjoner samlet for kommuner og fylkeskommuner anslås til om lag 5,0 mrd. kroner i 1998, en økning fra 1,8 mrd. kroner i 1997. Økningen kan forklares ved at aktiviteten har fortsatt å øke til tross for at inntektsnivået bare har økt svakt fra 1997.
Underskuddet i 1998 medfører at netto gjeld, målt som andel av inntektene, øker noe i forhold til 1997. Netto gjeld som andel av samlede inntekter i 1998 er anslått til 30,8 prosent.
2.1 Inntekter
Kommunesektoren har, i henhold til oppstillingene i nasjonalregnskapet, følgende hovedtyper av inntekter:
- Gebyrinntekter, som tilsvarer salgs- og leieinntekter i kommuneregnskapene. - Renteinntekter omfatter renter på bankinnskudd og avkastning på andre fordringer. - Skatteinntektene omfatter skatt på inntekt og formue, eiendomsskatt og andre produksjonsskatter, bl.a. konsesjonsavgifter. - Overføringer fra staten inkluderer rammeoverføringer og øremerkede tilskudd, samt overføringer til arbeidsmarkedstiltak og flyktninger mv. - Andre innenlandske overføringer omfatter diverse overføringer fra private og visse refusjoner og tilbakebetalinger.2.1.1 Vekst i de samlede inntektene
Tabell 2.2 viser kommuneforvaltningens inntekter fordelt på fylkeskommunene utenom Oslo, kommunene utenom Oslo og Oslo for årene 1997 og 1998. De løpende inntektene samlet for kommuneforvaltningen økte med 5,6 prosent fra 1997 til 1998.Veksten i løpende inntekter økte med 6,0 prosent både i Oslo og samlet for fylkeskommunene utenom Oslo, mens veksten var noe lavere med 5,5 prosent i kommuner utenom Oslo.
Tabell 2.2: Hovedtall for inntekter. Kommuneforvaltningen 1997
og 1998.
Millioner kroner og endring i prosent
| 1997 | 1998 | Endring i | ||||
| Mill. kroner | Mill. kroner | prosent | ||||
| Løpende inntekter i alt | 192 540 | 203 384 | ||||
| Fylkeskommunene | 55 894 | 59 239 | ||||
| Kommunene ekskl. Oslo | 113 848 | 120 091 | ||||
| Oslo | 24 613 | 26 078 | 6,0 | |||
| Skatter i alt | 85 185 | 88 649 | 4,1 | |||
| Fylkeskommunene | 23 670 | 24 946 | ||||
| Kommunene ekskl. Oslo | 47 777 | 49 238 | ||||
| Oslo | 13 738 | 14 465 | 5,3 | |||
| Statlige overføringer | 73 918 | 78 598 | ||||
| Fylkeskommunene | 28 796 | 30 670 | ||||
| Kommunene ekskl. Oslo | 38 788 | 41 214 | ||||
| Oslo | 6 334 | 6 714 | 6,0 | |||
| Andre inntekter | 33 437 | 36 137 | ||||
| Fylkeskommunene | 3 428 | 3 623 | ||||
| Kommunene ekskl. Oslo | 27 283 | 29 639 | ||||
| Oslo | 4 541 | 4 899 | 7,9 | |||
Veksten har vært relativt jevn i statlige overføringer, mens det er større variasjoner i skatteinntekter og andre inntekter, bl.a. gebyrinntekter.
De samlede skatteinntektene til kommunesektoren, medregnet skatt på inntekt og formue, eiendomsskatt og andre ymse skatteinntekter, økte med 4,1 prosent fra 1997 til 1998, det samme anslaget som i Utvalgets marsrapport. Anslagene som utarbeides for skatteinntekter er usikre fordi anslagene for framtidig vekst i inntekter, herunder lønnsinntekter, sysselsetting og andre forhold som påvirker skattegrunnlaget er usikre.
Det framgår av tabell 2.2 at det fra 1997 til 1998 har vært sterkest vekst i skatteinntektene til fylkeskommunene (5,4 prosent) og Oslo (5,3 prosent), mens økningen har vært noen lavere samlet for kommuner utenom Oslo (3,1 prosent).
De statlige overføringene til kommuneforvaltningen er anslått å øke med 6,3 prosent fra 1997 til 1998. Overføringene til fylkeskommunene steg med 6,5 prosent, overføringene til kommuner utenom Oslo med 6,3 prosent, mens de statlige overføringene til Oslo økte med 6,0 prosent.
Figur 2.1 viser den relative fordelingen på hovedinntektsarter.

Figur 2.1 Fordelingen mellom inntektsarter i 1998. Fylkeskommuner, kommuner og Oslo
2.1.2 Skatt på inntekt og formue
Tabell 2.3 viser skatt på inntekt og formue for kommunesektoren i 1997 og 1998 fordelt på kommuner og fylkeskommuner. Eiendomsskatt og andre ymse skatteinntekter er holdt utenom i denne tabellen. Skatt på inntekt og formue til kommunesektoren økte med 4,5 prosent fra 1997 til 1998, og utgjorde om lag 85,4 milliarder kroner i 1998.
Den samlede skatteinngangen på 4,5 prosent for kommunesektoren er fordelt med 3,4 prosent samlet vekst for kommuner utenom Oslo, 5,2 prosent samlet vekst for fylkeskommuner utenom Oslo og 6,7 prosent for Oslo.
Tabell 2.4 og tabell 2.5 viser veksten for de enkelte fylkeskommunene og for kommunene fylkesvis. I 1998 var det sterkest skattevekst i Østlandsfylkene utenom Hedmark og Oppland, og dessuten var veksten relativt sterk i Vestlandsfylkene. Skatteveksten har vært relativt lav i fylkene Oppland, Hedmark, Vest-Agder, Trøndelagsfylkene og for fylkene i Nord-Norge.
Tabell 2.3: Skatt på inntekt og formue. 1997 og 1998.
Kommuneforvaltningen kommunene og fylkeskommunene
| 1997 | 1998 | Endring i | |||
| Mill. kroner | Mill. kroner | prosent | |||
| Kommuner utenom Oslo | 44 773 | 46 291 | |||
| Fylkeskommuner utenom Oslo | 23 637 | 24 869 | |||
| Oslo kommune | 13 379 | 14 282 | |||
| Kommuneforvaltningen | 81 789 | 85 442 | |||
| Kommuner medr. Oslo's kommunedel | 53 522 | 55 592 | |||
| Fylkeskommuner medr. Oslo's fylkesdel | 28 267 | 29 850 | 5,6 | ||
Tabell 2.4: Skatt på inntekt og formue. Fylkeskommunene 1997 og 1998
| 1997 | 1998 | Endring i | |
| Mill. kroner | Mill. kroner | prosent | |
| Østfold | 1 398 | 1 472 | 5,3 |
| Akershus | 3 552 | 3 752,9 | 5,7 |
| Hedmark | 959,7 | 996,9 | 3,9 |
| Oppland | 964,9 | 990,2 | 2,6 |
| Buskerud | 1 477,3 | 1 577 | 6,7 |
| Vestfold | 1 246,1 | 1 307 | 4,9 |
| Telemark | 923,4 | 995,4 | 7,8 |
| Aust-Agder | 561,6 | 592,1 | 5,4 |
| Vest-Agder | 893 | 922,4 | 3,3 |
| Rogaland | 2 444,8 | 2 619,8 | 7,2 |
| Hordaland | 2 669,7 | 2 805 | 5,1 |
| Sogn og Fjordane | 616,6 | 647,5 | 5,0 |
| Møre og Romsdal | 1 375,8 | 1 468,7 | 6,8 |
| Sør-Trøndelag | 1 506 | 1 566,5 | 4,0 |
| Nord-Trøndelag | 621,9 | 649,1 | 4,4 |
| Nordland | 1 232,1 | 1 284 | 4,2 |
| Troms | 810,6 | 833,9 | 2,9 |
| Finnmark | 382,7 | 387,4 | 1,2 |
| Landet i alt | 23 637,2 | 24 868,8 | 5,2 |
Tabell 2.5: Skatt på inntekt og formue. Kommunene fylkesvis og Oslo. 1997 og 1998
| 1997 | 1998 | Endring i | |
| Mill. kroner | Mill. kroner | prosent | |
| Østfold | 2 627 | 2 715,6 | 3,4 |
| Akershus | 6 635 | 6 888,6 | 3,8 |
| Hedmark | 1 856 | 1 866,4 | 0,6 |
| Oppland | 1 885,7 | 1 896,6 | 0,6 |
| Buskerud | 2 859 | 2 976 | 4,1 |
| Vestfold | 2 361,2 | 2 416 | 2,3 |
| Telemark | 1 783 | 1 899,6 | 6,5 |
| Aust-Agder | 1 092,7 | 1 128,3 | 3,3 |
| Vest-Agder | 1 725 | 1 759,7 | 2,0 |
| Rogaland | 4 566,6 | 4 809,8 | 5,3 |
| Hordaland | 4 988 | 5 201,8 | 4,3 |
| Sogn og Fjordane | 1 238 | 1 287,6 | 4,0 |
| Møre og Romsdal | 2 626,5 | 2 737 | 4,2 |
| Sør-Trøndelag | 2 817,8 | 2 878,9 | 2,2 |
| Nord-Trøndelag | 1 165,7 | 1 198,1 | 2,8 |
| Nordland | 2 334,6 | 2 406,7 | 3,1 |
| Troms | 1 505 | 1 524,9 | 1,3 |
| Finnmark | 705 | 707 | 0,3 |
| Kommunene ekskl Oslo | 44 772,8 | 46 290,6 | 3,4 |
| Oslo | 13 379 | 14 282 | 6,7 |
| Kommunene inkl. Oslo | 58 151,8 | 60 572,6 | 4,2 |
2.1.3 Overføringer fra staten
De samlede overføringene fra staten til kommunesektoren utgjorde 78 598 millioner kroner i 1998, noe som er en økning på 6,3 prosent fra året før. Mesteparten av veksten kom på de øremerkede tilskuddene innenfor kommuneopplegget, som økte med 22 prosent. Rammeoverføringene økte med 1 prosent. Øremerkede tilskudd utenfor kommuneopplegget (dvs. overføringer til flyktninger, arbeidsmarkedstiltak m.v.) ble redusert med 9,8 prosent, noe som skyldes reduserte bevilgninger til arbeidsmarkedstiltak og flyktningetiltak.
Andelen rammeoverføringer gjennom inntektssystemet utgjorde 46 699 millioner kroner eller 59,4 prosent av de samlede statlige overføringene. Tendensen over tid har vært at denne andelen har falt. Dette har sammenheng med at det har vært en sterkere vekst i øremerkede tilskudd enn i rammeoverføringer. Tallene for 1998 bekrefter denne tendensen, jf. tabell 2.6. Av tabell 4.3 i vedlegg 4 framgår det at de øremerkede overføringene økte med i gjennomsnitt 26,1 prosent pr. år i perioden 1988-99, mens økningen i rammeoverføringene var i gjennomsnitt 2,7 prosent pr. år i samme periode.
I tabell 4.1 i vedlegg 4 gis det en oversikt over kommuneforvaltningen inntekter fordelt på inntektsarter i perioden 1988-99.
Tabell 2.6: Overføringer fra staten til kommuneforvaltningen, 1997-1998.
| Mill. kr. | Endr. i pst. | ||
| 1997 | 1998 | 97/98 | |
| Rammeoverføringer | 46 242 | 46 699 | 1,0 |
| + Øremerkede overføringer innenfor kommuneopplegget | 21 833 903 | 26 631 | 22,0 |
| = Overføringer i alt innenfor kommuneopplegget | 68 075 603 | 73 330 | 7,7 |
| + Øremerkede overføringer utenfor kommuneopplegget 1> | 5 843 | 5 268 | -9,8 |
| = Overføringer i alt | 73 918 773 | 78 598 | 6,3 |
1> Tilskudd til arbeidsmarkedstiltak, flyktninger m.m.
2.1.4 Andre inntekter
Andre inntekter omfatter blant annet gebyr- og renteinntekter og for kommuner og fylkeskommuner også av inntektsoverføringer fra den øvrige kommuneforvaltningen. Andre inntekter i alt økte for kommuneforvaltningen samlet med 8,1 prosent fra 1997 til 1998. Veksten er påvirket av utviklingen i renteinntekter og utbytte som økte med 14,6 prosent i 1998. Gebyrinntektene økte med 5,2 prosent, som er lavere enn prisveksten på kommunenes kjøp av varer og tjenester for 1998, som utgjorde 5,7 prosent.
2.2 Aktivitetsutviklingen
Boks 1: Om aktivitetsindikatoren
Utvalget har valgt å benytte en aktivitetsindikator som er knyttet til volumveksten i ressursbruken i kommuneforvaltningen. Aktivitetsindikatoren består av de tre komponentene sysselsetting (målt i timeverk), produktinnsats (faste priser) og bruttorealinvesteringer (faste priser).
Aktivitetsindikatoren er beregnet med utgangspunkt i regnskapstall for kommuneforvaltningen. Verditallene for endring i lønnskostnader er regnet om til sysselsettingsendring målt i utførte timeverk ved å korrigere for lønnsvekst og andre forhold som påvirker veksten i lønnskostnadene per utførte timeverk (utvikling i antall arbeidsdager, sykefravær og arbeidsgivers trygde- og pensjonspremier). Antall utførte timeverk er medregnet sysselsatte på arbeidsmarkedstiltak. Verditallene for produktinnsats og bruttorealinvesteringer er regnet om til volumtall ved bruk av nasjonalregnskapets kostnadsprisindekser.
For å måle utviklingen i den økonomiske aktiviteten i kommuneforvaltningen brukes en indikator der endringer i sysselsetting målt i timeverk, produktinnsats (vareinnsats) målt i faste priser og bruttorealinvesteringer målt i faste priser veies sammen. Som vekter benyttes de andeler som lønnskostnader (for sysselsetting), produktinnsats og bruttorealinvesteringer utgjør av samlet beløp for de tre kostnadskomponentene fra foregående år.
Av tabell 2.7 fremgår volumveksten i de ulike komponentene som brukes i aktivitetsindikatoren. Aktiviteten i kommuneforvaltningen økte med om lag 6 prosent fra 1996 til 1997. Produktinnsatsen og bruttorealinvesteringene viste en reell økning på henholdsvis 6 prosent og omlag 33 prosent. Den sterke investeringsveksten i 1997 skyldtes i første rekke investeringer i forbindelse med 6-års reformen. Ifølge foreløpige nasjonalregnskapstall økte produktinnsatsen med om lag 4 prosent i volum fra 1997 til 1998, mens bruttorealinvesteringene viste en volumreduksjon på 1 prosent. Sysselsettingen målt i antall timeverk steg med 1,8 prosent. Dette gav en økning i aktiviteten på i underkant av 2 prosent.
Tabell 2.7: Aktivitetsutviklingen i kommuneforvaltningen og utviklingen i bruttonasjonalprodukt for fastlands- Norge, prosentvis volumendring fra året før, 1990-1998.
| 1990 | 1991 | 1992 | 1993 | 1994 | 1995 | 1996 | 1997* | 1998* | |
| Vekst i BNP for fastlands- Norge | 1,0 | 1,4 | 2,2 | 2,8 | 4,1 | 2,9 | 3,8 | 4,4 | 3,3 |
| Aktivitetsutvikling | 0,9 | 5,5 | 3,7 | 1,9 | 2,0 | 1,6 | 2,3 | 6,3 | 1,9 |
| Produktinnsats | 2,9 | 8,8 | 5,3 | 1,5 | 1,9 | 3,0 | 0,6 | 6,0 | 4,1 |
| Bruttorealinvesteringer | -9,4 | 9,5 | 1,0 | -2,3 | 4,4 | 6,2 | 3,6 | 32,7 | -1,0 |
| Utførte timeverk | 2,3 | 3,5 | 3,6 | 2,7 | 1,7 | 0,4 | 2,7 | 1,9 | 1,8 |
| Utførte timeverk uten | |||||||||
| arbeidsmarkedstiltak | 2,1 | 3,0 | 2,9 | 1,4 | 2,5 | 1,1 | 3,3 | 3,1 | 2,2 |
* Foreløpige tall
Kilde: Statistisk sentralbyrå
Figur 2.2 viser aktivitetsutviklingen i kommuneforvaltningen og den generelle konjunkturutviklingen i Norge for perioden 1980-1998. Som mål på konjunkturutviklingen er brukt veksten i bruttonasjonalprodukt for fastlands-Norge. linkinthoveddel002P742_137671> Av figuren fremgår det at både BNP for fastlands- Norge og aktiviteten i kommunesektoren har økt reelt med nærmere 50 prosent når man ser perioden under ett.

Figur 2.2: Aktivitetsutviklingen i kommuneforvaltningen og utviklingen i bruttonasjonalprodukt for Fastlands-Norge, volumindeks 1980=100

Figur 2.3: Aktivitetsutviklingen i kommuneforvaltningen og utviklingen i bruttonasjonalprodukt for fastlands- Norge, prosentvis volumendring fra året før, 1990-1998
I figur 2.3 er aktivitetsutviklingen i kommuneforvaltningen sammenliknet med den generelle konjunkturutviklingen i Norge, angitt med veksten i bruttonasjonalprodukt for fastlands- Norge. Veksten i BNP for fastlands- Norge var stigende i årene frem til 1994, for så å avta noe i 1995. I kommuneforvaltningen var aktivitetsveksten sterkere enn veksten i BNP for fastlands- Norge i 1991 -1992, mens den var svakere enn veksten i BNP for fastlands-Norge i årene 1993-1996. Den sterke aktivitetsveksten i kommuneforvaltningen i 1997 kan forklares av sterk vekst i investeringene og produktinnsatsen.
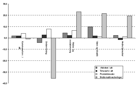
Det kan ligge betydelige forskjeller i aktivitetsutviklingen i de ulike tjenestenæringene innen kommuneforvaltningen. I tabell 2.8 er det gjort anslag for aktivitetsutviklingen i de kommunale tjenestenæringene undervisning, helse og sosialomsorg, annen tjenesteyting (inkluderer kommunal administrasjon, kulturell tjenesteyting m v, bygg og anlegg) og vannforsyning, kloakk og renovasjon. Utviklingen er også framstilt i figur 2.4.
Tabell 2.8: Aktivitetsutvikling i ulike næringer i
kommuneforvaltningen,
prosentvis volumendring fra året før, 1997 til 1998.
| Aktivitet
i alt | Timeverk
i alt | Produktinnsats | Bruttoreal-
investering | |
| Kommuneforv. i alt | 1,9 | 1,8 | 4,1 | -1,0 |
| Undervisning | -4,2 | 2,8 | 8,0 | -35,6 |
| Helse- og sosialomsorg | 4,5 | 2,4 | 6,5 | 23,0 |
| Vann og kloakk | 9,9 | 1,8 | 1,1 | 21,5 |
| Andre tjenester | 2,4 | -1,6 | 1,1 | 19,3 |
Kilde: Statistisk sentralbyrå

Figur 2.4: Aktivitetsutviklingen i ulike deler av kommuneforvaltningen, prosentvis volumendring fra året før, 1997 til 1998
Ifølge foreløpige nasjonalregnskapstall var aktivitetsutviklingen i 1998 sterkest i næringen vannforsyning, kloakk og renovasjon og i helse, sosial- og omsorgsnæringen, med en aktivitetsvekst på henholdsvis 10 prosent og 4,5 prosent. Bak aktivitetsveksten i vannforsyning, kloakk og renovasjon ligger en reell økning i investeringene på hele 22 prosent, mens aktivitetsøkningen i helse, sosial- og omsorgssektoren har sammenheng med store investeringer i sykehjem m v. innen eldreomsorgen og sterk vekst i produktinnsatsen. I undervisningsnæringen ble aktiviteten redusert med om lag 4 prosent, med en volumreduksjon i bruttorealinvesteringene på 36 prosent. I annen tjenesteyting økte aktiviteten med drøyt 2 prosent, hvor investeringene viste en reell økning på 19 prosent, mens antall utførte timeverk ble redusert med 1,6 prosent.
2.3 Nærmere om utgiftene
2.3.1 Lønnskostnader, andre driftskostnader og bruttorealinvesteringer
De foreløpige regnskapstallene viser at kommuneforvaltningens brutto utgifter økte med om lag 15 milliarder kroner, eller 7,7 prosent i 1998. I 1997 var økningen 6,7 prosent.
Lønnskostnadene inkl. sosiale utgifter utgjorde 116,3 milliarder kroner i 1998, en nominell vekst på 10,2 milliarder kroner, eller 9,6 prosent i forhold til året før. De økte lønnskostnadene skyldes dels økt sysselsetting og dels økt lønnsvekst, inkl. økte pensjonspremier til KLP og andre pensjonsordninger.
Sysselsettingsveksten tilsvarer en vekst i utførte timeverk på 1,8 prosent. Veksten i lønnskostnadene pr. timeverk var 7,6 prosent. Målt i antall årsverk, økte sysselsettingen med 2,0 prosent. Dette tilsvarer 8100 nye årsverk i kommuneforvaltningen i 1998.
Kommunene ekskl. Oslo hadde en lønnskostnadsvekst på 10 prosent fra 1997 til 1998. Oslo hadde en lønnskostnadsvekst på 6,9 prosent, mens fylkeskommunene hadde en vekst på 9,6 prosent.
Tabell 2.9 Lønnskostnader, andre driftskostnader inkl. reparasjoner og vedlikehold og bruttoinvesteringer i kommuneforvaltningen. Millioner kroner og endring i prosent, 1997-1998.
| 1997 | 1998 1> | 97/98 | |
| Lønnskostnader i alt | 106 166 | 116 312 | 9,6 |
| Fylkeskommunene | 29 612 | 32 467 | 9,6 |
| Kommunene ekskl. Oslo | 64 841 | 71 322 | 10,0 |
| Oslo | 11 713 | 12 523 | 6,9 |
| Andre driftskostnader inkl. reparasjoner i alt | 35 284 | 37 540 | 6,4 |
| Fylkeskommunene | 11 442 | 12 217 | 6,8 |
| Kommunene ekskl. Oslo | 19 638 | 20 882 | 6,3 |
| Oslo | 4 204 | 4 441 | 5,6 |
| Bruttoinvesteringer | 22 712 | 23 468 | 3,3 |
| Fylkeskommunene | 4 229 | 4 808 | 13,7 |
| Kommunene ekskl. Oslo | 15 926 | 15 579 | -2,2 |
| Oslo | 2 557 | 3 081 | 20,5 |
1> Foreløpige tall
Kilde: SSB
Kommuneforvaltningens andre driftsutgifter inkl. reparasjoner og vedlikehold utgjorde i 1998 om lag 37,5 milliarder kroner, en økning på 6,4 prosent. Av dette var økningen sterkest for andre driftsutgifter, som økte med 2 216 millioner kroner, en vekst på 7,5 prosent. Reparasjoner og vedlikehold økte med 0,7 prosent, eller 40 millioner kroner.
Bruttoinvesteringene i kommuneforvaltningen økte med 3,3 prosent fra 1997 til 1998. Fylkeskommunene og Oslo hadde en økning i investeringene, mens kommunene utenom Oslo ser ut til å ha hatt en svak nedgang, jf. tabell 2.9.

Figur 2.5 Lønnskostnader, andre driftskostnader inkl. reparasjoner og vedlikehold og brutto-investeringer i kommuneforvaltningen, vekst 1997-1998 og årlig gjennomsnittlig vekstrate 1994-1998.
Anslaget viser at det er lønnskostnadene som er den største bidragsyteren til økningen i bruttoutgiftene. Gjennomsnittlig årlig vekstrate for lønnskostnadene i perioden 1994 til 1998 var på 7,2 prosent, mot 9,6 prosents økning fra 1997 til 1998. Driftskostnadene inkl. reparasjoner og vedlikehold ligger på omtrent samme vekstnivå i 1998 som i 1997, hhv. 6,4 og 6,5 prosent, mens veksten totalt i perioden 1994 til 1998 ligger på 5,4 prosent. Den årlige gjennomsnittlige vekstraten for bruttorealinvesteringene i perioden 1994 til 1998 ligger klart høyere enn veksten i investeringene siste år. Totalt 13,8 prosents vekst mot 3,3 prosents vekst fra 1997 til 1998. Den høye gjennomsnittlige vekstraten skyldes den kraftige økningen sektoren hadde i investeringene fra 1996 til 1997, da satsningen i bl.a. undervisningssektoren førte til en vekst på hele 35,2 prosent.
Tabell 2.10 Kommuneforvaltningens bruttoinvesteringer, millioner kroner og endring 1997-1998.
| 1997 | 1998 1> | 97/98 | |
| Bruttoinvesteringer inkl. tomt og grunn | 22 245 | 22 280 | 0,2 |
| Fylkeskommunene | 4 191 | 4 820 | 15,0 |
| Utgifter til nybygg og nyanlegg, netto | 2 456 | 2 765 | 12,6 |
| Kjøp av tomt og grunn, netto | -38 | 12 | -131,6 |
| Kjøp av utstyr, netto | 1 773 | 2 043 | 15,2 |
| Kommunene | 15 744 | 15 348 | -2,5 |
| Utgifter til nybygg og nyanlegg, netto | 13 635 | 13 342 | -2,1 |
| Kjøp av tomt og grunn, netto | -182 | -231 | 26,9 |
| Kjøp av utstyr, netto | 2 291 | 2 237 | -2,4 |
| Oslo | 2 310 | 2 112 | -8,6 |
| Utgifter til nybygg og nyanlegg, netto | 2 097 | 2 519 | 20,1 |
| Kjøp av tomt og grunn, netto | -247 | -969 | 292,3 |
| Kjøp av utstyr, netto | 460 | 562 | 22,2 |
| Ekskl. eiendom | 22 712 | 23 468 | 3,3 |
| Eiendom | -467 | -1188 | 154,4 |
1> Foreløpige tall
Kilde: SSB
Splitter vi opp kommuneforvaltningen i fylkeskommuner, kommuner ekskl. Oslo og Oslo, og dekomponerer investeringene, ser vi at det er Oslo kommune som har hatt størst vekst i netto utgifter til nybygg og nyanlegg, hele 422 millioner kroner i økning. Kommunene utenom Oslo har hatt en nedgang i utgifter til nybygg og nyanlegg og fylkeskommunene har hatt en vekst på 12,6 prosent fra 1997 til 1998. Netto kjøp av utstyr viser samme trend, Oslo og fylkeskommunene hadde en vekst på hhv. 22,2 og 15,2 prosent, mens kommunene ekskl. Oslo hadde en svak nedgang.
Figur 2.6 viser kommuneforvaltningens bruttoinvesteringer fordelt på næring. Investeringsnivået for undervisning var i 1997 på hele 8 838 millioner, det ble redusert til 5 919 millioner kroner i 1998. I de andre næringene finner vi fortsatt vekst. Helse- og omsorgstjenester hadde størst investeringsvekst og økte med 27,8 prosent til 6 562 millioner kroner. Vannforsyning mv. økte med 27,5 prosent, fra 3 139 til 4 003 millioner kroner, mens investeringer for annen tjenesteyting økte med 1 383 millioner kroner, en vekst på 24,7 prosent.

Figur 2.6 Kommuneforvaltningens bruttoinvesteringer ekskl. eiendom fordelt på næring, millioner kroner, 1996-1998.
* Foreløpige tall
Fotnoter
1 Bruttonasjonalprodukt for Norge med unntak av oljevirksomheten, rørtransport og utenriks sjøfart.
Lagt inn 2. juli 1999 av Statens forvaltningstjeneste, ODIN-redaksjonen3 Kommuneøkonomien 1999. Regjeringens anslag i Revidert nasjonalbudsjett og Kommuneøkonomiproposisjonen
Regjeringen har i Revidert nasjonalbudsjett og i proposisjonen om kommuneøkonomien foretatt en fornyet vurdering av den økonomiske utviklingen i kommuneforvaltningen i 1999. Omtalen i dette avsnittet er basert på framstillingen i disse to stortingsdokumentene. I vedlegg 1, tabell 1.1 er det dessuten gjengitt Revidert nasjonalbudsjetts anslag på regnskap for kommuneforvaltningens inntekter og utgifter for året 1999, samt regnskapstall for tidligere år. Det understrekes at Utvalget i dette kapitlet ikke har foretatt noen selvstendig vurdering av utviklingen i kommuneøkonomien i 1999.
I Nasjonalbudsjettet for 1999 ble det lagt opp til en vekst i kommunesektorens samlede inntekter på vel 1 ¼ prosent, eller om lag 2,6 milliarder kroner. Stortingsbehandlingen (vedtatt budsjett) medførte en reduksjon i kommunesektorens inntekter på om lag 450 millioner kroner sammenlignet med opplegget i Nasjonalbudsjettet.
Etter at Nasjonalbudsjettet 1999 ble lagt fram, er inntektsnivået i 1998 oppjustert med om lag 1,6 milliarder kroner. Av dette skyldes 1,4 milliarder kroner økte skatteinntekter, og om lag 200 millioner er knyttet til avvik mellom budsjett og regnskap for statlige overføringer. Disse endringene påvirker ikke inntektsanslagene i 1999, men har betydning for veksten fra 1998 til 1999.
I forhold til de forutsetningene som lå til grunn for vedtatt budsjett 1999, er anslagene for kommunesektorens inntekter endret i Revidert nasjonalbudsjett bl.a. som følge av:
- endret anslag for prisutviklingen for kommunal tjenesteyting - nedjustering av lønnsvekstanslaget - nedjustering av skatteanslaget - oppjustering av gebyranslaget - forslag til endringer i statlige overføringerDe økonomiske rammene for kommunesektoren ble opprinnelig fastsatt med utgangspunkt i en prisvekst på kommunal tjenesteyting på 4 ¼ prosent. Dette anslaget er nå nedjustert til 3,7 prosent., dels som følge av lavere forventet prisvekst på varer og investeringer, og dels som følge av at lønnsvekstanslaget er nedjustert. Anslaget for gjennomsnittlig årslønnsvekst fra 1998 til 1999 er blitt redusert fra 5 prosent i Nasjonalbudsjettet til 4 ½ prosent i Revidert nasjonalbudsjett.
Nedjusteringen av prisveksten medfører isolert sett at realverdien av kommunesektorens inntekter øker med vel 1 milliarder kroner.
Nedjusteringen av lønnsvekstanslaget medfører at anslaget for kommunesektorens skatteinntekter er redusert med 450 millioner kroner i 1999.
Anslaget for gebyrinntektene er oppjustert med om lag 400 millioner kroner, i første rekke fordi nye tall fra Statistisk sentralbyrå indikerer en sterkere vekst i gebyrer knyttet til egen bolig enn det som tidligere er lagt til grunn. Dette må blant annet ses i sammenheng med økte kostnader for kommunene knyttet til den nye avgiften på sluttbehandling av avfall.
I forbindelse med Revidert nasjonalbudsjett er det foreslått økte bevilgninger til kommunesektoren på netto om lag 400 millioner kroner. Blant annet foreslås det økte bevilgninger til innsatsstyrt finansiering av sykehus (315 millioner kroner), investeringer i tilknytning til eldresatsingen (159 millioner kroner) og tusenårssteder i kommunene (87 millioner kroner). I motsatt retning trekker forslaget om reduksjon av hovedstadstilskuddet på 150 millioner kroner.
Til sammen medfører endringene i anslag og bevilgninger at kommunesektorens realinntekter nå anslås om lag 1,4 milliarder kroner høyere enn det som fulgte av det vedtatte budsjettet. Oppjusteringen av inntektsnivået i 1998 med 1,6 milliarder kroner innebærer at inntektsveksten likevel anslås noe lavere enn det som fulgte av vedtatt budsjett. Den reelle veksten i kommunesektorens samlede inntekter fra 1998 til 1999 er i Revidert nasjonalbudsjett anslått til om lag 1 prosent, tilsvarende om lag 2 milliarder kroner.
Tidligere har brutto renteinntekter vært inkludert i inntekstrammen for kommuneopplegget, mens brutto renteutgifter har vært holdt utenom. En svakhet ved dette har vært at økt rente førte til høyere inntekter, mens sektorens netto renteutgifter over tid økte fordi sektoren har netto gjeld. Fra Revidert nasjonalbudsjett er renteinntektene holdt utenom inntektsrammen, og i stedet blir renteendringer kommentert særskilt.
Kommunesektorens netto renteutgifter anslås å øke med om lag 700 millioner kroner fra 1998 til 1999. I gjennomsnitt fra 1999 til år 2000 forventes en rentenedgang, slik at netto renteutgifter for kommunesektoren i år 2000 forventes å nærme seg nivået i 1998.
Det er lagt til grunn en vekst i sysselsetting og produktinnsats på 1 ¼ prosent fra 1998 til 1999. Videre er det lagt til grunn en reell videreføring av investeringsnivået. Med disse forutsetningene kan kommuneforvaltningens underskudd før lånetransaksjoner for 1999 anslås til om lag 3,6 milliarder kroner.
Ny informasjon etter at Revidert nasjonalbudsjett ble framlagt
Etter at Revidert nasjonalbudsjett ble publisert foreligger det avtaler mellom partene innenfor det kommunale tariffområdet (KS-området). Dersom en legger til grunn samme lønnsglidning som i 1998 kan årslønnsveksten i KS-området anslås til i underkant av 4,9 prosent. Dersom en holder utenfor lokale justeringer for ansatte ved elektrisitetsverk, kan årslønnsveksten anslås til ca. 4,8 prosent.
Årslønnsveksten i kommuneforvaltningen vil også være påvirket av lønnsutviklingen for kommunalt og fylkeskommunalt undervisningspersonale, som er en del av det statlige tariffområdet. Med samme glidning som i 1998 kan årslønnsveksten for ansatte i det statlige tariffområdet anslås til i overkant av 4 ½ prosent.
Lagt inn 2. juli 1999 av Statens forvaltningstjeneste, ODIN-redaksjonen4 Frie inntekter korrigert for variasjoner i utgiftsbehov
Sammendrag
Utvalget har i dette kapitlet sett på kommunenes og fylkeskommunenes frie inntekter inklusiv eiendomsskatt og konsesjonskraftinntekter, korrigert for variasjoner i utgiftsbehov. Analysen viser at det er de minste kommunene som har det høyeste inntektsnivået. Det er også store regionale variasjoner. Inntektsforskjellene kommunene- og fylkeskommunen i mellom er betydelige. Spesielt er det store inntektsforskjeller mellom kommunene. Forskjellene mellom kommunene reduseres bare i liten grad når frie inntekter korrigeres for variasjoner i utgiftsbehov. Det er også sett på endringer i inntektsfordelingen fra 1985 til 1998. Inntektsforskjellene er stabile i perioden, noe som settes i sammenheng med de overgangsordningene som har vært innført i forbindelse med endringer i inntektssystemet.
4.1 Innledning
I Kommuneøkonomiproposisjonen presenteres det årlig en oversikt over nivå og utvikling i den enkelte kommunes frie inntekter pr. innbygger, definert som rammeoverføringer pluss innbetalt og fordelt skatt. Tabellen kan være til stor nytte hvis en ønsker å følge utviklingen over tid i en bestemt kommune eller i et fylke, men ved sammenlikninger kommuner i mellom har dette inntektsmålet klare svakheter. Det er nødvendigvis ikke noen automatikk i at en kommune med et høyt inntektsnivå har et tilsvarende godt tjenestetilbud. Hvor godt tilbud en kommune kan yte, vil bl.a. avhenge av etterspørselen etter kommunale tjenester og kostnadene ved å produsere tjenestene. En må derfor se på utgiftssiden i tillegg til inntektssiden hvis en ønsker å sammenligne kommunalt inntektsnivå. Utvalget har i tidligere rapporter korrigert kommunenes og fylkeskommunenes frie inntekter for ulikheter i utgiftsbehov. Ved beregning av frie inntekter korrigert for variasjon i utgiftsbehov har Utvalget valgt å ta utgangspunkt i nivået for frie inntekter, og vekte dette nivået med en kostnadsindeks. Kostnadsnøklene i inntektssystemet er valgt som kostnadsindeks. Etter vektingen er nivået på de frie inntektene korrigert for variasjon i utgiftsbehov direkte sammenlignbare med kommunenes og fylkeskommunenes frie inntekter. Kommuner med et lavt beregnet utgiftsbehov vil etter vekting få justert opp nivået på de frie inntektene. For kommuner med et relativt høyt utgiftsbehov vil nivået på de frie inntektene justeres ned. Utvalget har her valgt å gå et skritt videre. De frie inntektene er utvidet til å inkludere eiendomsskatt og konsesjonskraftinntekter.
Utvalget vil imidlertid peke på følgende begrensninger ved det korrigerte inntektsbegrepet:
- Inntektssystemet fanger kun opp kostnadsforhold innenfor den del av kommunale oppgaver som er knyttet til de offentlige velferdstjenestene. - Kapitalutgiftene varierer kommunene i mellom. - Viktige inntektskomponenter som øremerkede tilskudd og gebyrer mv. er ikke inkludert i analysene. - Det er ikke tatt hensyn til fordel av differensiert arbeidsgiveravgift. I tidligere rapporter har Utvalget imidlertid sett på fordel av differensiert arbeidsgiveravgift. Fordelene er stabile fra det ene året til det andre, og det vises til bl.a vedlegg 8 i junirapporten fra 1998.4.2 Inntektsvariasjoner fylkeskommunene i mellom
I dette avsnittet viser Utvalget fylkeskommunenes frie inntekter i 1998 korrigert for ulikheter i utgiftsbehov. I kolonne 1 vises nivået på de frie inntektene i 1998 for fylkeskommunene korrigert for variasjon i utgiftsbehov. Kolonne 2 viser de frie inntektene, dvs. nivået på skatt og rammetilskudd (ikke korrigert).
Tabell 4.1 Frie inntekter (skatt på inntekt og formue og rammetilskudd) korrigert for variasjon i utgiftsbehov for fylkeskommunene, 1998. Inntektene er beregnet pr. innbygger og vises i prosent av landsgjennomsnittet (landsgjennomsnittet = 100).
| Fylkeskommuner | 1
Frie inntekter Korrigert for utgiftsbehov | 2
Frie inntekter Ikke korrigert |
| Østfold | 94 | 91 |
| Akershus | 98 | 88 |
| Oslo | 119 | 107 |
| Hedmark | 96 | 101 |
| Oppland | 98 | 102 |
| Buskerud | 96 | 92 |
| Vestfold | 94 | 90 |
| Telemark | 96 | 97 |
| Aust-Agder | 94 | 99 |
| Vest-Agder | 94 | 96 |
| Rogaland | 94 | 92 |
| Hordaland | 94 | 95 |
| Sogn og Fjordane | 97 | 120 |
| Møre og Romsdal | 95 | 101 |
| Sør-Trøndelag | 99 | 98 |
| Nord-Trøndelag | 99 | 109 |
| Nordland | 106 | 121 |
| Troms | 112 | 121 |
| Finnmark | 128 | 142 |
| Landet | 100 | 100 |
Av tabell 4.1 fremgår at det er store inntektsforskjeller mellom fylkeskommunene. Ser vi på korrigerte frie inntekter (kolonne 1) har Oslo og de fem nordligste fylkene det høyeste inntektsnivået. Kolonne 2 viser det faktiske inntektsnivået, det vil si ukorrigerte frie inntekter.
4.3 Inntektsvariasjoner kommunene i mellom
Alt i alt utgjorde de frie inntektene medregnet eiendomsskatt og konsesjonskraftinntekter 72 prosent av kommunenes totalinntekter i 1998. I tabell 4.2 vises frie inntekter korrigert for utgiftsbehov etter ulike inntektsdefinisjoner når kommunene er gruppert fylkesvis. Forskjellen i inntektsgrunnlaget mellom kolonne I og kolonne II er at eiendomsskatt og konsesjonskraftsinntekter ikke inngår i beregningsgrunnlaget i kolonne II.
I kolonne 3 vises nivået på de frie inntektene inklusiv eiendomsskatt og konsesjonskraftinntekter, dvs. kolonne I ikke korrigert for variasjoner i utgiftsbehov.
Tabell 4.2 Frie inntekter etter ulike inntektsdefinisjoner korrigert for variasjon i utgiftsbehov etter ulike inntektsdefinisjoner. Kommunene er gruppert etter fylkeslandsdel 1)> (landsgjennomsnittet = 100). Tall fra 1998.
| Fylke | 1
Frie inntekter Korrigert for utgiftsbehov | 2
Frie inntekter: Kol. 1 ekskl. eiendomsskatt konsesjonskrafts inntekter | 3
Frie inntekter Ikke korrigert |
| Østfold | 92 | 91 | 91 |
| Akershus | 104 | 108 | 92 |
| Oslo | 120 | 122 | 114 |
| Hedmark | 91 | 92 | 97 |
| Oppland | 93 | 93 | 97 |
| Buskerud | 93 | 94 | 93 |
| Vestfold | 86 | 89 | 87 |
| Telemark | 99 | 94 | 103 |
| Aust-Agder | 97 | 94 | 102 |
| Vest-Agder | 95 | 93 | 96 |
| Rogaland | 100 | 98 | 95 |
| Hordaland | 95 | 93 | 98 |
| Sogn og Fjordane | 106 | 101 | 118 |
| Møre og Romsdal | 95 | 95 | 98 |
| Sør-Trøndelag | 94 | 95 | 94 |
| Nord-Trøndelag | 94 | 96 | 103 |
| Nordland | 103 | 107 | 110 |
| Troms | 110 | 111 | 112 |
| Finnmark | 131 | 133 | 136 |
| Landet | 100 | 100 | 100 |
De nordnorske kommunene og Oslo har generelt et høyere nivå på de frie korrigerte inntektene enn landet forøvrig, men også Sogn og Fjordane og Akershus ligger over landsgjennomsnittet. Lavest inntektsnivå har kommunene i Vestfold.
Formålet med fordeling av tilskudd til kommunene gjennom inntektssystemet er bl.a. å korrigere for forskjeller i utgiftsbehov. Det betyr at det er rimelig å forvente lavere inntektsvariasjon mellom kommunene etter at det er korrigert for forskjeller i utgiftsbehov. Kolonne 3 i tabell 4.2 viser ukorrigerte frie inntekter, dvs. at det ikke er korrigert for forskjeller i utgiftsbehov. Av kolonne 3 fremgår at frie inntekter varierer med 87 prosent av landsgjennomsnittet for kommunene i Vestfold til 136 prosent for kommunene i Finnmark. Det betyr at inntektsnivået varierer med 49 prosentpoeng.
Dersom vi ser på kolonne 1 i samme tabell fremgår at korrigerte frie inntekter varierer fra 86 prosent av landsgjennomsnittet for kommunene i Vestfold til 131 prosent for kommunene i Finnmark. Forskjellen mellom kommunene med høyeste og laveste nivå på frie inntekter er 45 prosent dersom det korrigeres for variasjoner i utgiftsbehov. Inntektsforskjellene er imidlertid store også når en korrigerer for variasjoner i utgiftsbehov. Dette kan i hovedsak tilskrives variasjoner i skatteinntekter, samt utforming av Nord Norge-tilskuddet, regionaletilskuddet og skjønnstiskuddet.
Forskjellen mellom kommunene med det høyeste og laveste nivået på frie inntekter er størst dersom det ikke korrigeres for variasjoner i utgiftsbehov. Det betyr at kostnadsnøkkelen bidrar til en viss grad å utjevne forskjellene i inntekt mellom kommunene. Når ikke utjevningen er mer omfattende, skyldes dette først og fremst to forhold:
- det foretas ikke full utjevning av forskjeller i skatteinntekter (som bidrar til å forklare hvorfor Oslo og Akershus ligger høyt) - det gis særskilte regionalpolitisk begrunnede tilskudd til kommunene i Nord-NorgeUtvalget har også beregnet inntektsforskjeller når kommunene er gruppert etter innbyggertall.
Tabell 4.3: Kommuner gruppert etter innbyggertall
1)>. Frie inntekter (Skatt på inntekt og
formue,rammetilskudd, eiendomsskatt og konsesjonskraftsinntekter)
korrigert for utgiftsbehov (landsgjennomsnittet er satt til 100).
Tall fra 1998.
1
| 2
| |||||
| Innbyggertall | Gjennomsnitt | Min.verdi | Max.Verdi | Gjennomsnitt | Min.verdi | Max.verdi |
| < 2350 | 119 | 89 | 500 | 158 | 102 | 630 |
| 2350-8060 | 101 | 83 | 196 | 112 | 85 | 235 |
| 8061-100 000 | 94 | 85 | 128 | 90 | 76 | 123 |
| >100 000 | 109 | 91 | 121 | 103 | 86 | 114 |
| Landet | 100 | 83 | 500 | 100 | 76 | 630 |
1 >Kommunene gis lik vekt uavhengig av innbyggertall
Tabellen viser at det er de minste kommunene som har det høyeste inntektsnivået også etter at vi har korrigert for utgiftsbehov. Med unntak av de fire største byene, er det en klar tendens til at inntektsnivået avtar med kommunestørrelse. Bykle kommune har betydelig høyere inntektsnivå enn de andre kommunene og forklarer de høye maksimumsverdiene både for korrigerte og ukorrigerte frie inntekter. Dersom vi tar ut Bykle vil maksimumsverdien være henholdsvis 256 og 394 prosent av landsgjennomsnittet.
I vedlegg 8 vises nivået på korrigert inntekt for alle kommuner.
4.4 Utviklingen i korrigert inntekt for kommunene fra 1995 til 1998
Utvalget har i dette avsnittet sett nærmere på korrigerte frie inntekter for kommunene i perioden fra 1995 til 1998.
Et av hovedformålene med inntektssystemet er å utjevne forskjeller i inntektsgrunnlaget mellom kommunene og mellom fylkeskommunene. I forbindelse med Inntektssystemutvalgets gjennomgang i 1996 ble både inntektsutjevningen og utgiftsutjevningen i inntektssystemet revidert. Det reviderte systemet ble iverksatt fra og med 1.1 1997. Det nye systemet fikk relativt store omfordelingsvirkninger og det ble derfor innført en kompensasjonsordning for de kommunene og fylkeskommunene som tapte på endringene. Tapskompensasjonene har redusert omfordelingsvirkningene.
Tabellen nedenfor viser korrigerte inntekter for kommunene fra 1995 til 1998. Kostnadsnøkkelen som ble innført i 1997 er brukt som kostnadsindeks alle årene. Kommunenes frie inntekter er her definert som skatt på inntekt og formue og rammetilskudd. Eiendomsskatt og konsesjonskraft inngår ikke her som grunnlag i beregningene.
Tabell 4.4: Frie inntekter (ekskl. eiendomsskatt og konsesjonsinntekter) korrigert for variasjoner i utgiftsbehov. Kommunene er gruppert etter fylke. Tall fra 1995 til 1998. (Landsgjennomsnittet=100).
| Fylke | 1995 | 1996 | 1997 | 1998 |
| Østfold | 90 | 90 | 90 | 91 |
| Akershus | 107 | 108 | 110 | 108 |
| Oslo | 118 | 121 | 123 | 122 |
| Hedmark | 92 | 92 | 91 | 92 |
| Oppland | 94 | 93 | 92 | 93 |
| Buskerud | 93 | 94 | 93 | 94 |
| Vestfold | 87 | 88 | 89 | 89 |
| Telemark | 92 | 92 | 92 | 94 |
| Aust-Agder | 94 | 93 | 94 | 94 |
| Vest-Agder | 92 | 92 | 92 | 93 |
| Rogaland | 100 | 98 | 99 | 98 |
| Hordaland | 94 | 94 | 93 | 93 |
| Sogn og Fjordane | 101 | 101 | 100 | 101 |
| Møre og Romsdal | 95 | 95 | 95 | 95 |
| Sør-Trøndelag | 95 | 94 | 94 | 95 |
| Nord-Trøndelag | 96 | 96 | 96 | 96 |
| Nordland | 104 | 103 | 102 | 107 |
| Troms | 113 | 112 | 111 | 111 |
| Finnmark | 145 | 142 | 135 | 133 |
| Landet | 100 | 100 | 100 | 100 |
Som tabell 4.4 viser er det små endringer i korrigerte frie inntekter for kommunene fra 1995 til 1998. Dette skyldes dels at den foran nevnte tapskompensasjonen demper omfordelingen, dels at omfordelingen skjer gjennom en overgangsperiode på 5 år - slik at endringene vil ikke ha full effekt før i år 2001. Den største endringen finner vi blant kommunene i Finnmark som i gjennomsnitt har fått redusert korrigerte frie inntekter med 13 prosentpoeng i forhold til landsgjennomsnittet. Særlig sterk var endringen fra 1996 til 1997. Det antas at dette har sammenheng med at Nord-Norge tilskuddet i inntektssystemet ikke ble prisjustert i denne perioden, og at endringer i kriterieverdier (bl.a. befolkningsnedgang), i forbindelse med revidering av inntektssystemet fikk fullt gjennomslag. Den relative inntektsøkningen i Oslo skyldes økte skatteinntekter.
Tabell 4.5 Kommunene gruppert etter innbyggertall. Frie inntekter korrigert for variasjoner i utgiftsbehov. (Landsgjennomsnittet er satt til 100). Tall fra 1995-1998.
| Innbyggertall | 1995 | 1996 | 1997 | 1998 |
| < 2350 | 118 | 116 | 115 | 113 |
| 2350-8060 | 101 | 100 | 99 | 99 |
| 8061-100 000 | 94 | 94 | 95 | 95 |
| >100 000 | 109 | 110 | 111 | 110 |
| Landet | 100 | 100 | 100 | 100 |
1> Kommunene gis lik vekt uavhengig av innbyggertall
Tabell 4.5 viser frie inntekter korrigert for variasjoner i utgiftsbehov. Kommunene er gruppert etter innbyggertall. Tabell 4.5 viser at det er særlig de små kommunene som har høye inntekter. Målt i forhold til landsgjennomsnittet har imidlertid disse kommunene hatt en reduksjon i korrigerte frie inntekter i perioden fra 1995 til 1998. Inntektsnivået i Oslo forklarer de høye inntektene blant kommunene i gruppen over 100 000 innbyggere.
4.5 Utviklingen i frie inntekter for kommunene fra 1985 til 1998
Utvalget har også sett på utvikling i inntektsfordeling kommunene i mellom fra 1985 til 1998. Kommunenes frie inntekter er definert som skatt på inntekt og formue og rammetilskudd. Eiendomsskatt og konsesjonskraft inngår heller ikke her som grunnlag i beregningene.
Tabell 4.6: Frie inntekter for kommunene gruppert fylkesvis, ekskl. Oslo. (landsgjennomsnittet=100).
Frie inntekter | ||||
| Fylke | 1985 | 1990 | 1995 | 1998 |
| Østfold | 90 | 90 | 92 | 92 |
| Akershus | 98 | 93 | 99 | 99 |
| Hedmark | 97 | 99 | 98 | 98 |
| Oppland | 99 | 103 | 98 | 98 |
| Buskerud | 96 | 97 | 95 | 96 |
| Vestfold | 91 | 88 | 91 | 91 |
| Telemark | 98 | 95 | 98 | 98 |
| Aust-Agder | 100 | 100 | 102 | 101 |
| Vest-Agder | 93 | 95 | 96 | 96 |
| Rogaland | 104 | 97 | 98 | 97 |
| Hordaland | 99 | 99 | 98 | 98 |
| Sogn og Fjordane | 110 | 118 | 113 | 113 |
| Møre og Romsdal | 99 | 100 | 101 | 101 |
| Sør-Trøndelag | 98 | 97 | 95 | 96 |
| Nord-Trøndelag | 102 | 107 | 104 | 104 |
| Nordland | 109 | 114 | 110 | 111 |
| Troms | 112 | 117 | 114 | 114 |
| Finnmark | 133 | 140 | 140 | 138 |
| Landet | 100 | 100 | 100 | 100 |
Kilde: St.prp.nr 69 (1998-99) Om kommuneøkonomien 2000 m.v.
Vi ser av tabellen at det har skjedd små endringer i inntektsfordelingen i perioden. Dette kan forklares ved at det i 1986 da det nye inntektssystemet ble innført, også ble innført en overgangsordning for å dempe utslagene av nytt system. Samtidig ble det laget tilskuddsordninger, bl.a Nord-Norgetilskuddet og småkommunetilskuddet, som ivaretok distriktspolitiske hensyn. Også senere omlegginger av systemet har blitt gjennomført under overgangsordninger jf tidligere omtale av innføring av bl.a tapskompensasjon etter innføring av revidert system fra 1.1.1997.
Lagt inn 2. juli 1999 av Statens forvaltningstjeneste, ODIN-redaksjonenDel II
Hovedtrekk på 90-tallet
5 Kommuneforvaltningens plass i norsk økonomi
Sammendrag
Siden 1980 har størrelsen på kommuneforvaltningen økt i forhold til økonomien som helhet. Både bruttoprodukt og konsum i kommuneforvaltningen i prosent av BNP for fastlands- Norge har økt i perioden 1980-1998. Økningen i bruttoproduktets og konsumets andel i denne perioden har sammenheng med sterk sysselsettingsvekst i kommuneforvaltningen. Målt i antall utførte timeverk har sysselsettingen økt fra om lag 13 prosent av samlet sysselsetting i Norge i 1980 til om lag 19 prosent av samlet sysselsetting i 1998.
Boks 2: Hvordan måle en sektors størrelse.
I nasjonalregnskapet er bruttonasjonalprodukt (BNP) definert som:
Bruttonasjonalprodukt (BNP)
= Konsum i alt + Bruttoinvestering i fast realkapital i alt + Lagerendring + Eksport - Import
Bruttonasjonalprodukt for fastlands-Norge er definert som bruttonasjonalprodukt med unntak av oljevirksomheten, rørtransport og utenriks sjøfart.
Kommuneforvaltningens størrelse i økonomien kan måles på ulike måter:
- Bruttoprodukt som andel av BNP for fastlands- Norge - Konsum som andel av BNP for fastlands- Norge - Bruttorealinvesteringer som andel av BNP for fastlands- Norge - De totale utgiftene som andel av BNP for fastlands- Norge - Sysselsetting som andel av samlet sysselsetting i NorgeNedenfor følger nasjonalregnskapets definisjoner av bruttoprodukt og konsum i kommuneforvaltningen.
Bruttoprodukt
= Lønnskostnader + Kapitalslit + Netto næringsavgifter + Driftsresultat i markedsrettet virksomhet.
Konsum
= Lønnskostnader + Produktinnsats + Kapitalslit - Gebyrinntekter + Produktkjøp til husholdningene + Driftsresultat i markedsrettet virksomhet
De totale utgiftene i kommuneforvaltningen er definert som:
Totale utgifter
= Lønnskostnader + Produktinnsats + Produktkjøp til husholdningene + Renteutgifter + Overføringer + Kapitalutgifter
I figur 5.1 vises utviklingen i bruttoprodukt, konsum og totale utgifter i kommuneforvaltningen fra 1980 til 1998 som andel av BNP for fastlands- Norge.

Figur 5.1: Bruttoprodukt, konsum og totale utgifter i kommuneforvaltningen som andel av BNP for fastlands- Norge i perioden 1980-1998.
Ifølge foreløpige tall fra nasjonalregnskapet utgjorde bruttoproduktet i 1998 13,4 prosent av BNP for fastlands-Norge, mot 10,8 prosent i 1980, dvs. andelen har økt med 2,6 prosentenheter perioden sett under ett. Fra og med 1991 har bruttoproduktets andel av BNP for fastlands- Norge ligget i overkant av 13 prosent. Konsumet i kommuneforvaltningen har i stor grad samme utvikling som bruttoproduktet. Konsumets andel av BNP for fastlands-Norge økte fra 13,0 prosent i 1980 til 15,0 prosent i 1998. Den høyeste andelen finner vi i 1992 med 15,3 prosent. Økningen i bruttoproduktets og konsumets andel i denne perioden har sammenheng med sterk sysselsettingsvekst i kommuneforvaltningen. Målt i antall utførte timeverk har sysselsettingen økt fra om lag 13 prosent av samlet sysselsetting i Norge i 1980 til om lag 19 prosent av samlet sysselsetting i 1998. De totale utgiftene i kommuneforvaltningen som andel av BNP for fastlands- Norge økte fra drøyt 21,0 prosent i 1980 til 22,0 prosent i 1998. Perioden sett under ett var utgiftsandelen størst i 1991 med 23,7 prosent.
Boks 3: Sysselsettingsbegreper i nasjonalregnskapet
Utførte timeverk
Utførte timeverk er definert som antall timeverk arbeidet innenfor effektiv normalarbeidsdag, med tillegg for utført overtid og fradrag for fravær på grunn av ferie, sykdom, permisjon, arbeidskonflikter m v. Antall timeverk blir også korrigert for bevegelige helligdager og skuddår.
Sysselsatte personer
Sysselsatte personer består av antall personer gjennomsnittlig sysselsatt i innenlandsk produksjonsvirksomhet. Sysselsatte personer på deltid og midlertidig fraværende er inkludert. Utenlandske lønnstakere i innenlandsk produksjonsvirksomhet, herunder utenlandske sjøfolk på norskeide og innleide skip, er inkludert.
Figur 5.2 viser kommuneforvaltningens andel av sysselsettingen i offentlig forvaltning og av den samlede sysselsettingen i perioden 1980- 1998, målt i antall utførte timeverk.

Figur 5.2: Kommuneforvaltningen. Sysselsetting målt i antall utførte timeverk i prosent av samlet sysselsetting og i prosent av sysselsetting i offentlig forvaltning. 1980 - 1998.
Målt i antall utførte timeverk omfattet kommuneforvaltningen drøyt 19 prosent av samlet sysselsetting i Norge i 1998, mot knapt 13 prosent av samlet sysselsetting i 1980. Figur 5.2 viser at andelen av den samlede sysselsettingen for kommuneforvaltningen har ligget i overkant av 19 prosent i årene 1993-1998. Sysselsettingen målt i timeverk i kommuneforvaltningen utgjorde knapt 73 prosent av offentlig forvaltnings sysselsetting i 1998, mot drøyt 66 prosent i 1980.
Kommuneforvaltningen har en større andel av sysselsatte personer enn av utførte timeverk fordi kommuneforvaltningen har mange deltidssysselsatte. Figur 5.3 viser kommuneforvaltningens andel av sysselsetting i offentlig forvaltning og av den samlede sysselsettingen i perioden 1980- 1998, målt ved antall sysselsatte personer.

Figur 5.3:Kommuneforvaltningen. Sysselsetting målt ved antall sysselsatte personer i prosent av samlet sysselsetting og i prosent av sysselsetting i offentlig forvaltning. 1980-1998
Sysselsettingen i kommuneforvaltningen var på om lag 538 000 personer i 1998, eller 24 prosent av samlet sysselsetting i Norge, mot drøyt 17 prosent i 1980. Dette innebærer en økning på 211 000 personer siden 1980, eller en gjennomsnittlig årlig vekst på 3,6 prosent. Sysselsettingen i kommuneforvaltningen utgjorde 78 prosent av sysselsettingen i offentlig forvaltning i 1998, som var den høyeste andelen i hele perioden. I 1980 var sysselsettingsandelen 71,0 prosent.
I tabell 5.1 vises individuelt og kollektivt konsum i kommuneforvaltningen i prosent av konsum i offentlig forvaltning og i prosent av samlet konsum .
Tabell 5.1: Individuelt og kollektivt konsum i
kommuneforvaltningen i
prosent av konsum i alt og konsum i offentlig
forvaltning
| 1980 | 1985 | 1990 | 1996 | 1997* | 1998* | |
| Kommuneforvaltningens konsum i prosent av konsum i alt: | ||||||
| --Individuelt konsum | 13,5 | 13,9 | 14,7 | 15,2 | 15,3 | 15,8 |
| --Kollektivt konsum | 2,7 | 2,6 | 2,7 | 2,6 | 2,5 | 2,5 |
| Kommuneforvaltningens konsum i prosent av konsum i off. forvaltning: | ||||||
| --Individuelt konsum | 47,3 | 50,6 | 49,6 | 51,3 | 51,8 | 52,4 |
| --Kollektivt konsum | 9,6 | 9,6 | 11,1 | 8,8 | 8,6 | 8,3 |
* Foreløpige tall
Kilde: Statistisk sentralbyrå
Boks 4: Individuelt og kollektivt konsum
Konsum i offentlig forvaltning kan deles inn i kollektivt og individuelt konsum. Individuelt konsum består av tjenester som ytes til hver enkelt bruker, eventuelt til mindre brukergrupper, og som prinsipielt kan utføres av private produsenter mot betaling. Således inngår individuelt konsum i offentlig forvaltning som del av personlig konsum i husholdningene. Eksempler på dette er tjenester fra utdanning, helse og omsorg og kultur. Det kollektive konsumet omfatter konsum i offentlig forvaltning som ikke kan knyttes til enkeltindivider, dvs. at alle innbyggerne konsumerer disse tjenestene direkte eller indirekte. Produksjonen av slike tjenester kan derfor ikke stykkes opp og selges til brukerne. Eksempler på slike tjenester fra kollektivt konsum er politi og rettsvesen, forsvar og administrasjon.
Det kollektive konsumet i kommuneforvaltningen som andel totalt konsum har i hele perioden ligget mellom 2,5 prosent og 2,7 prosent. Ifølge foreløpige tall for 1998 utgjorde det individuelle konsumet i kommuneforvaltningen 15,8 prosent av samlet konsum. I perioden 1991-1998 har det individuelle konsumets andel av samlet konsum vært rundt 15 prosent.
I figur 5.4 vises bruttorealinvesteringer i kommuneforvaltningen i prosent av brutto realinvesteringer i offentlig forvaltning og brutto realinvesteringer totalt.

Figur 5.4 viser bruttorealinvesteringer i kommuneforvaltningen i prosent av brutto realinvesteringer i offentlig forvaltning og brutto realinvesteringer i alt. 1980-1998
Ifølge foreløpige tall fra nasjonalregnskapet utgjorde kommuneforvaltningens bruttorealinvesteringer 8,2 prosent av de samlede investeringene i fast realkapital i 1998, mot 10 prosent i 1980, som var den høyeste investeringsandelen i hele perioden. Kommuneforvaltningen stod for 57,6 prosent av investeringene i offentlig forvaltning i 1998. Investeringsandelen var høyest i 1980 og utgjorde 68,3 prosent av offentlig forvaltnings investeringer i fast realkapital.
Lagt inn 2. juli 1999 av Statens forvaltningstjeneste, ODIN-redaksjonen6 Utvikling i frie inntekter
6.1 Innledning
I dette kapittelet drøftes utviklingen i kommunenes frie inntekter. Med frie inntekter menes inntekter som kommunene kan disponere uten andre bindinger enn gjeldene lover og forskrifter. Her inkluderes summen av ordinære skatter på inntekt og formue og rammetilskudd i begrepet. Viktige inntektskomponenter som øremerkede tilskudd, gebyrinntekter, eiendomsskatt, konsesjons- og reguleringsavgifter m.v. er holdt utenom. Inntektene er korrigert for endrede oppgaver i kommunesektoren og for prisutviklingen.
For å få et få et bilde av utviklingen i frie inntekter sammenholdt med den øvrige inntektsutviklingen, vises også utvikling i kommunesektorens samlede inntekter.
Boks 5
Prisutvikling:
Utvalget beregner en egen deflator på bakgrunn av de samme komponentene som benyttes ved beregning av aktivitetsveksten. For en nærmere forklaring og oversikt over hvilke deflatorer som er benyttet for de respektive år vises til vedlegg 6.
Oppgaveendringer:
Hensikten med å korrigere for oppgaveendringer er å gjøre tallsett for to eller flere år mest mulig sammenlignbare. For kommuneforvaltningen samlet er de frie inntektene for alle år korrigert som om kommunene hadde de samme typer oppgaver som i 1999. For kommunene og fylkeskommunene hver for seg er inntektene oppgavekorrigert i forhold til 1998.
6.2 Utvikling i samlede inntekter
Tabell 6.1 Kommuneforvaltningens inntekter 1989 -99, og årlig gjennomsnittlig vekst i perioden. Tall i milliarder kroner
| 1989 | 1990 | 1993 | 1994 | 1995 | 1996 | 1997 | 1 998 | 1999 | 89-99 | |
| I. Sum inntekter i alt | 121,4 | 129,4 | 154,7 | 163,9 | 167,9 | 175,6 | 187,7 | 198,1 | 208,6 | 7,2 |
| II. Sum inntekter i kommuneopplegget | 116,2 | 124,0 | 145,9 | 154,3 | 158,6 | 166,3 | 177,9 | 188,3 | 198,3 | 7,1 |
| Endring i prosent, nominell vekst | 6,7 | 2,2 | 5,8 | 2,7 | 4,9 | 7,0 | 5,8 | 5,3 | ||
| III. Kommuneopplegget, faste priser | 156 | 162,7 | 180,1 | 186,1 | 185,1 | 187,4 | 195,0 | 195,3 | 198,3 | 2,7 |
| Endring i prosent, faste priser | 4,3 | 1,7 | 3,3 | -0,5 | 1,3 | 4,0 | 0,1 | 1,6 | ||
| Kroner pr innbygger, faste priser | 36 957 | 38 432 | 41 896 | 43 035 | 42 566 | 42 892 | 44 396 | 44 203 | 44 674 | 2,1 |
| Frie inntekter som andel av I | 80,3 | 79,4 | 74,7 | 75,7 | 74,6 | 74,2 | 73,9 | 71,9 | 69,9 |
Tabell 6.1 viser utviklingen i nominelle og faste priser i kommunesektorens samlede inntekter i perioden 1989 til 1999. I løpet av tiårsperioden er de løpende inntektene i kommunesektoren økt med 70 prosent. Med unntak av i 1995 har det årlig vært en reell vekst i kommunesektorens inntekter og samlet var den reelle veksten fra 1989 til 1999 nær 25 prosent. Dette tilsvarer en gjennomsnittlig årlig vekst på om lag 2,7 prosent. Korrigert for befolkningsøkning er den gjennomsnittlige veksten 2,1 prosent.
Som vist i tabell 1 i vedlegg 4 har imidlertid veksten vært ujevnt fordelt mellom inntektsartene. Skatteinntektene har hatt en årlig nominell økning på om lag 5 prosent, mens overføringene fra staten har økt årlig med om lag 7 prosent. De øremerkede overføringene har hatt sterkest vekst med en årlig gjennomsnittlig vekst på 25 prosent, mens rammeoverføringene har økt årlig med i overkant av 2 prosent. Veksten i øremerkede tilskudd har derfor bidratt til at andelen frie inntekter er redusert i perioden. I 1989 utgjorde de frie inntektene om lag 80 prosent av totalinntektene. I 1999 er andelen redusert til om lag 70 prosent.
6.3 Frie inntekter korrigert for oppgaveendringer og prisutvikling
Oppgavene som kommunene skal løse har forandret seg i på nittitallet. Skoletilbud til 6-åringene er et eksempel på en ny oppgave som er lagt til kommunene. Samtidig er det skjedd endringer i finansieringsform. Overføringer til f. eks sykehus gis nå i stor grad gjennom ordningen med innsatsstyrt finansiering, og ikke som frie midler gjennom inntektssystemet. For å få et reellt bilde av utviklingen i frie inntekter korrigeres det derfor her, ved siden av for prisutviklingen, for slike endringer. Ved siden av utviklingen i samlede inntekter, vises utviklingen i inntekter pr. innbygger for å ta hensyn til befolkningsveksten på nittitallet. Det er imidlertid ikke tatt hensyn til den øvrige demografiske utviklingen i perioden, og for eventuelle endringer i etterspørselsforhold knyttet til kommunale tjenester som følge av dette. I perioden har andelen barn økt, mens andelen eldre over 67 år har gått noe ned, med unntak av de eldste eldre. Utvalget har heller ikke vurdert nærmere hvordan kommunenes muligheter til å gi et tilfredsstillende tjenestetilbud også avhenger av evnen til omstilling og effektivisering av kommunal virksomhet.
Om korrigeringen:
Ved korrigering for oppgaveendringer tas det hensyn til endringer i tilskudd som følge av nye oppgaver som skal finansieres gjennom inntektssystemet. Et eksempel er overføring av oppgaver fra stat til kommune, f.eks overføringen i 1994 av skolesjef og skoleinspektørstillingene til det kommunale tariffområdet, og skolestart for 6-åringer i 1997.
I tillegg korrigeres det for:
1. Endring i finansieringsformer for eksisterende oppgaver (f.eks at en ordning finansieres gjennom inntektssystemet i stedet for gjennom et øremerket tilskudd).
2. Regelendringer og tekniske omlegginger (f.eks. den reduserte leseplikten for lærere over 60 år som ble innført f.o.m lønnsoppgjøret våren 1994).
Det korrigeres ikke for endringer i rammene som har sammenheng med antatte effektivitetsøkninger. Beløpene det korrigeres med er dokumentert i Beregningsteknisk dokumentasjon til Kommunaldepartementets årlige budsjettproposisjon «Grønt hefte», og i budsjettrundskrivene til Kommunaldepartementet.
Tabell 6.2 Utvikling i kommunesektorens frie inntekter 1989-1999 (skatt på inntekt og formue og rammeoverføringer). Korrigert for oppgaveendringer. Løpende og i faste priser 1999-nivå. Millioner kroner og kroner pr innbygger. Endringer i prosent fra foregående år.
| 1989 | 1990 | 1993 | 1994 | 1995 | 1996 | 1997 | 1998 | 1999 | |
| 1. Frie inntekter, løpende priser | 90 715 | 96 096 | 106 745 | 113 575 | 114 993 | 119 887 | 128 031 | 132 141 | 135 226 |
| 2. Frie inntekter, korrigert for oppgaveendr., løpende priser | 90 710 | 96 726 | 107 552 | 112 200 | 113 872 | 118 767 | 126 118 | 131 107 | 135 226 |
| 3. Frie inntekter, korr. for oppgaveendr., faste priser | 121 690 | 126 844 | 132 771 | 135 301 | 132 930 | 133 827 | 138 239 | 135 958 | 135 226 |
| 4. Endring i prosent fra foregående år, løpende priser | 6,6 | 1,9 | 4,4 | 1,5 | 4,3 | 6,2 | 4,0 | 3,1 | |
| 5. Endring i prosent fra året før, faste priser | 4,2 | 1,4 | 1,9 | -1,8 | 0,7 | 3,3 | -1,7 | -0,5 | |
| 6. Frie inntekter, korr. for oppgaveendr. i kr pr innb., faste priser | 28 747 | 29 847 | 30 700 | 31 115 | 30 419 | 30 446 | 31 293 | 30 584 | 30 268 |
Inntektene fra skatt på ordinær inntekt og formue og rammetilskudd beløper seg i 1999 til anslagsvis 135,2 milliarder kroner. Korrigert for oppgaveendringer har det i perioden 1989- 99 vært en årlig nominell vekst i de frie inntektene. Særlig høy var veksten i 1990 og i 1997.
Veksten i inntektsnivået i faste priser fra 1989 til 1999 var på 11,1 prosent. Med unntak av i 1995, 1998 og 1999 har det årlig vært en reell vekst i inntektsnivået. I 1999 anslås det en nedgang i de frie inntektene på 0,5 prosent. I gjennomsnitt var den gjennomsnittlige årlige veksten i perioden målt i faste priser 1,1 prosent. Regnet i 99- kroner har inntektsnivået økt fra 28 747 kroner pr. innbygger i 1989 til 30 268 kroner i 1999. Dette tilsvarer en samlet vekst på 5,3 prosent.
Tabell 6.3 Utvikling i kommunenes eksl. Oslos frie inntekter 1989-1998 (skatt på inntekt og formue og rammeoverføringer). Korrigert for oppgaveendringer. Løpende og i faste priser 1998 nivå. Millioner kroner og kroner pr innbygger. Endringer i prosent fra foregående år.
| 1989 | 1990 | 1993 | 1994 | 1995 | 1996 | 1997 | 1998 | |
| 1. Frie inntekter | 46 156 | 49 479 | 57 242 | 60 239 | 60 658 | 63 310 | 69 475 | 74 492 |
| 2. Frie inntekter, korrigert for oppgave. løpende priser | 53 671 | 56 919 | 63 389 | 65722 | 66050 | 68439 | 72442 | 74 492 |
| 3. Frie inntekter, korr. for oppgave. faste priser | 69 432 | 71978 | 75482 | 74353 | 74 353 | 74366 | 76571 | 74 492 |
| 4. Endring i prosent fra foregående å. løpende priser | 6,1 | 0,6 | 3,7 | 0,5 | 3,6 | 5,8 | 2,8 | |
| 5. Endring i prosent fra året før, faste priser | 3,7 | 0,1 | 1,2 | -2,7 | 0 | 3,0 | -2,7 | |
| 6. Frie inntekter, korr. for oppgave. i kr. pr innb. faste priser | 18 394 | 19 001 | 19 621 | 19 774 | 19148 | 19078 | 19 546 | 18 892 |
Kommunenes eksl. Oslos samlede inntekter var i 1998 omlag 74,5 milliarder kroner. Med unntak av 1995 og 1998 var det målt i faste priser en årlig vekst i de frie inntektene. Fra 1989 til 1998 økte de samlede inntektene målt i faste priser med 7,3 prosent. Dette tilsvarer en årlig, gjennomsnittlig vekst på 0,8 prosent. Målt i 98-kroner pr. innbygger har inntektene økt med om lag 500 kroner i perioden, noe som tilsvarer en vekst på 2,7 prosent. Fra 1997 til 1998 var det en reell nedgang 3,3 prosent pr innbygger.
Tabell 6.4 Utvikling i fylkeskommunenes eksl. Oslos frie inntekter 1989-98 (skatt på inntekt og formue og rammeoverføringer). Korrigert for oppgaveendringer. Løpende og i faste priser 1998 nivå. Millioner kroner og kroner pr innbygger. Endringer i prosent fra foregående år.
| 1989 | 1990 | 1993 | 1994 | 1995 | 1996 | 1997 | 1998 | |
| 1. Frie inntekter | 33 434 | 34 823 | 36 560 | 38 651 | 40 014 | 41 475 | 42 076 | 40 518 |
| 2. Frie inntekter, korrigert for oppgave. løpende priser | 26 409 | 28 056 | 32 443 | 33 194 | 34 759 | 36 486 | 38 409 | 40 518 |
| 3. Frie inntekter, korr. for oppgave, faste priser | 34 409 | 35 479 | 38 632 | 38 600 | 39 129 | 39 645 | 40 599 | 40 518 |
| 4. Endring i prosent fra foregående år, løpende priser | 5,5 | 3,5 | 2,3 | 4,7 | 5,0 | 5,3 | 5,5 | |
| 5. Endring i prosent fra året før, faste priser | 3,1 | 3,0 | -0,1 | 1,4 | 1,3 | 2,4 | -0,2 | |
| 6. Frie inntekter, korr. for oppgave. i kr. pr innb. Faste priser | 9 116 | 9 366 | 10 042 | 9 987 | 10 076 | 10 171 | 10 363 | 10 276 |
Fylkeskommunenes eksl. Oslos samlede inntekter var i 1998 omlag 40,5 milliarder kroner. Med unntak av 1994 og 1998 var det målt i faste priser en årlig vekst i de frie inntektene. Fra 1989 til 1998 har de samlede inntektene målt i faste priser, økt med nærmere 18 prosent etter at en har tatt hensyn til endringer i oppgaver. Dette tilsvarer en årlig, gjennomsnittlig vekst på nærmere 2 prosent. Inntektsutviklingen i perioden har derfor vært langt bedre i fylkeskommunene enn i kommunene.
Tabell 6.5: Utvikling i Oslos frie inntekter 1989-98 (skatt på inntekt og formue og rammeoverføringer). Korrigert for oppgaveendringer. Løpende og i faste priser 1998 nivå. Millioner kroner og kroner pr innbygger. Endringer i prosent fra foregående år.
| 1989 | 1990 | 1993 | 1994 | 1995 | 1996 | 1997 | 1998 | |
| 1. Frie inntekter | 11 125 | 11 794 | 12 943 | 14 685 | 14 321 | 15 102 | 16 480 | 17 133 |
| 2. Frie inntekter, korrigert for oppgave. løpende priser | 10 603 | 11 293 | 12 776 | 14 388 | 14 138 | 14 938 | 16 313 | 17 133 |
| 3. Frie inntekter, korr. for oppgave, faste priser | 13 717 | 14 281 | 15 214 | 16 732 | 15 914 | 16 231 | 17 243 | 17 133 |
| 4. Endring i prosent fra foregående år, løpende priser | 6,5 | 4,3 | 12,6 | -1,7 | 5,7 | 9,2 | 5,0 | |
| 5. Endring i prosent fra året før, faste priser | 4,1 | 3,8 | 10,0 | -4,9 | 2,0 | 6,2 | -0,6 | |
| 6. Frie inntekter, korr. for oppgave. i kr. pr innb. Faste priser | 29 926 | 30 934 | 31 842 | 34 613 | 32 694 | 32 904 | 34 483 | 34 103 |
Oslo har hatt en bedre inntektsutvikling enn de øvrige kommunene. Fra 1989 til 1998 har inntektene økt med 25 prosent etter pris- og oppgavekorrigeringer. Målt pr innbygger reduseres imidlertid veksten til om lag 14 prosent, noe som kan forklares ved at Oslo har hatt en langt høyere befolkningsvekst enn landsgjennomsnittet. Også Oslo hadde en reell nedgang i de frie inntektene fra 1997 til 1998.
Veksten i de frie inntektene på nittitallet har vært noe ujevnt fordelt. I tabell 4.6 vises gjennomsnittlig årlig vekst i de frie inntektene fra 1990 -98. Kommunene er gruppert etter fylke, og det er korrigert for oppgaveendringer.
Tabell 6.6:Årlig gjennomsnittlig nominell vekst i frie inntekter pr. innbygger (skatt på inntekt og formue og rammeoverføringer) fra 1990- 1998. Kommunene er gruppert etter fylke
| Fylke | Antall kommuner | Vekst 1990- 98 |
| Østfold | 18 | 3,4 |
| Akershus | 22 | 3,9 |
| Hedmark | 22 | 3,0 |
| Oppland | 26 | 2,6 |
| Buskerud | 21 | 3,0 |
| Vestfold | 15 | 3,6 |
| Telemark | 18 | 3,6 |
| Aust-Agder | 15 | 3,2 |
| Vest-Agder | 15 | 3,2 |
| Rogaland | 26 | 3,2 |
| Hordaland | 34 | 3,1 |
| Sogn og Fjordane | 26 | 2,6 |
| Møre og Romsdal | 38 | 3,3 |
| Sør-Trøndelag | 25 | 3,1 |
| Nord-Trøndelag | 24 | 2,8 |
| Nordland | 45 | 2,8 |
| Troms | 25 | 2,9 |
| Finnmark | 19 | 3,0 |
| Landet | 434 | 3,2 |
Fylkesgjennomsnittene er vektet etter innbyggertallet i kommunene. Tallene er ekskl. Oslo.
Kilde: St.prp nr. 69 (1998-99) Om kommuneøkonomien i 2000 m.v.
Utviklingen i de frie inntektene har sammenheng med utviklingen både i skatt og rammetilskudd. Det framgår av tabell 4.6 at kommunene i Oppland og Sogn og Fjordane hadde en klart lavere inntektsvekst enn gjennomsnittet. I gjennomsnitt hadde kommunene i disse fylkene en årlig vekst på 2.6 prosent mot landsgjennomsnittet på 3.2 prosent. Klart høyest inntektsvekst hadde kommunene i Akershus med en gjennomsnittlig årlig vekst på 3.9 prosent. Også kommunene i Vestfold og Telemark hadde en inntektsvekst klart over landsgjennomsnittet. Variasjonene i inntektsveksten når kommunene er gruppert etter fylke er relativt store, og klart større enn variasjon i inntektsutvikling i perioden 1985 til 1998 (jf St. prp. nr 69 (1998-98) Om kommuneøkonomien i år 2000 m. v.) .
Lagt inn 2. juli 1999 av Statens forvaltningstjeneste, ODIN-redaksjonen7 Den finansielle situasjonen i kommunene og fylkeskommunene 1995-98
Dette kapitlet beskriver den finansielle situasjonen i kommunene og fylkeskommunene i perioden fra 1995 til 1998. Beskrivelsen tar utgangspunkt i finansielle indikatorer for kommunene gruppert etter fylke og frie inntekter. Indikatorene er basert på endelige regnskapstall for 1995-97 fra SSB og foreløpige regnskapstall for 1998 innsamlet gjennom fylkesmannsembetene. En tilsvarende beskrivelse av den finansielle situasjonen i fylkeskommunene ble presentert i St. prp. nr. 69 (1998-99) Om kommuneøkonomien 2000 mv. Et sammendrag av denne beskrivelsen er tatt inn til slutt i kapittelet, jf. også vedlegg 7.
Sammendrag
De finansielle indikatorene viser en svekkelse i kommunenes økonomi i 1998. I første rekke ble kommunenes netto driftsresultat kraftig svekket. Netto lånegjeld økte og akkumulert regnskapsresultat gikk ned. Den kortsiktige handlefriheten og likviditeten, målt ved disposisjonsfond og korrigert kontantbeholdning, ble svekket. Det er vesentlige variasjoner i kommunenes finansielle situasjon. Sett under ett kom Rogaland, Akershus og Sogn og Fjordane godt ut med de indikatorene som er valgt, mens Sør-Trønderlag, Nord-Trønderlag og Hedmark kom svakest ut.
Samlet hadde kommunene et netto driftsresultat som tilsvarte 2,0 prosent av driftsinntektene i 1998. Det innebærer en reduksjon på snaue 3 prosentenheter fra året før. Selv om kommunene i 1997 hadde en relativt sterk økonomisk vekst, noe som også gjenspeiles i et relativt høyt driftsresultat, er resultatet i 1998 det laveste i perioden fra 1992.
Netto lånegjeld har økt i perioden 1995-1998, noe som blant annet må ses i sammenheng med finansieringsmåten for Reform 97 og eldresatsningen. I forbindelse med disse reformene har kommunene tatt opp betydelige lån som kommunene vil få statlig tilskudd for å betjene.
Den korrigerte kontantbeholdning i 1998 er den laveste i perioden fra 1995 til 1998. Også akkumulert regnskapsresultat og kommunenes disposisjonsfond ble redusert i 1998 i forhold til fra året før. Reduksjonen i regnskapsresultatet kan ha sammenheng med det lave driftsresultatet i 1998. Disposisjonsfondene kan være brukt som en reserve ved en inntektssvikt eller utgiftsøkning.
Samlet var det en svekkelse i den økonomiske handlefriheten for fylkeskommunene i 1998. Netto driftsresultatet på 0,4 prosent av driftsinntektene var en klar reduksjon fra året før. Den sterke reduksjonen har sammenheng med en betydelig vekst i driftsutgiftene som følge av økte timelønn- og pensjonsutgifter ved siden av sysselsettingsveksten. Den langsiktige lånegjelden til fylkeskommunene ble redusert i 1998. Investeringsutgiftene har imidlertid et fortsatt høyt nivå. Dette har sammenheng med utbygginger i helsesektoren. Disposisjonsfondene til fylkeskommunene ble bygget ned i 1998.
Boks 6: Indikatorer
Kommunenes økonomiske situasjon er beskrevet ved hjelp av disse indikatorene:
a) Netto driftsresultat - driftsinntekter fratrukket driftsutgifter inkludert renter og avdrag.
b) Netto lånegjeld - langsiktig gjeld fratrukket utlån til husholdninger (husbank)
c) Korrigert kontantbeholdning - omløpsmidler fratrukket kortsiktig gjeld, overførte bevilgninger, fond (eksklusive disposisjonsfond) og ubrukte lånemidler.
d) Akkumulert regnskapsresultat - regnskapsmessige overskudd eller underskudd.
e) Disposisjonsfond - avsatte midler som kan nyttes fritt til drifts- eller kapitalformål
Indikatorene er regnet i prosent av totale driftsinntekter. Med totaledriftsinntekter menes sum driftsinntekter eksklusiv renteinntekter og interne overføringsutgifter, tillagt midler brukt i kapitalregnskapet.
Indikatorene gir informasjon om hvor godt samsvar det har vært mellom kommunenes inntekter og utgifter, både i enkeltår (indikator a) og over lengre tid, mens beholdningsindikatorene b-e er et resultat pr. 31.12 av utviklingen gjennom flere år. Kommuneloven stiller blant annet krav til netto driftsresultat.
Boks 7: Grupper av sammenlignbare kommuner
Kommunene er gruppert i 11 grupper etter inntektsnivå og innbyggertall. Frie inntekter korrigert for beregnet utgiftsbehov i 1997 er brukt som mål på inntektsnivået (se rapport fra Utvalget i juni 1998). Frie inntekter er definert som innbetalt og fordelt skatt på inntekt og formue, rammeoverføringer, eiendomsskatt og konsesjonskraftsinntekter. 10 kommuner skiller seg ut med spesielt høye inntekter. Disse er plassert i en egen gruppe. Videre er de tre kommunene ekskl. Oslo med høyest innbyggertall også plassert i en egen gruppe. De resterende kommunene er deretter delt inn i tre inntektskategorier, og tre kategorier etter innbyggertall. Deretter er disse seks kategoriene kombinert, slik at kommunene fordeles på 9 hovedgrupper:
Antall innbyggere | |||
| Inntekter | Lavt | Middels | Høyt |
| Lave | Gruppe 1:
0 kommuner | Gruppe 2:
50 kommuner | Gruppe 3:
55 kommuner |
| Middels | Gruppe 4:
42 kommuner | Gruppe 5:
127 kommuner | Gruppe 6:
42 kommuner |
| Høye | Gruppe 7:
63 kommuner | Gruppe 8:
34 kommuner | Gruppe 9:
8 kommuner |
Gruppe 10: De 10 kommunene med høyest inntekter.
Gruppe 11: De 3 kommunene med høyest innbyggertall ekskl. Oslo.
St. prp. nr. 69 (1998-99) har i kapittel 5 en nærmere omtale av grupperingen.
Den finansielle situasjonen i kommunene ekskl. Oslo 1995-98
Netto driftsresultat

Figur 7.1: Netto driftsresultat 1992-98 i prosent av driftsinntektene for kommunene utenom Oslo
Netto driftsresultatet viser overskuddet fra årets drift etter at avdrag og netto renteutgifter er trukket fra. Figur 7.1 viser utviklingen i netto driftsresultatet for kommunene i perioden fra 1992 til 1998. Figuren viser at det var en vesentlig svekkelse i netto driftsresultatet fra 1997 til 1998. Samlet hadde kommunene et netto driftsresultat som tilsvarte 2,0 prosent av driftsinntektene i 1998. Utvalget anslo, på grunnlag av tall fra et begrenset antall kommuner, i sin marsrapport driftsresultatet til 1,6 prosent av samlede driftsinntekter. Foreløpige tall fra alle kommuner indikerer derfor et noe bedre resultat. Imidlertid innebærer resultatet en reduksjon på snaue 3 prosentenheter fra 1997. Denne resultatutvikling innebærer redusert handlefrihet for kommunene. Svekkelsen i netto driftsresultatet i 1998 skyldes først og fremst at veksten i kommunenes driftsutgifter (lønns- og pensjonsutgifter) var høyere enn inntektsveksten. Veksten i lønnsutgiftene har foruten sammenheng med lønnsoppgjøret, sammenheng med sysselsettingsveksten på i overkant av 2 prosent.
Tabell 7.1: Netto driftsresultat i prosent av driftsinntektene
1995-98.
Kommunene gruppert etter fylke
Netto driftsresultat | ||||
| 1995 | 1996 | 1997 | 1998 | |
| Østfold | 2,0 | 3,7 | 4,2 | 2,7 |
| Akershus | 4,6 | 6,7 | 8,3 | 4,6 |
| Hedmark | 2,6 | 2,1 | 3,1 | -0,1 |
| Oppland | 4,3 | 4,0 | 4,1 | 1,8 |
| Buskerud | 4,0 | 3,4 | 4,2 | 2,5 |
| Vestfold | 3,3 | 3,3 | 6,9 | 1,1 |
| Telemark | 3,6 | 2,5 | 2,4 | 2,3 |
| Aust-Agder | 2,8 | 1,8 | 4,7 | 0,6 |
| Vest-Agder | 3,8 | 0,2 | 4,7 | 0,3 |
| Rogaland | 4,5 | 3,8 | 6,5 | 4,6 |
| Hordaland | 2,9 | 2,4 | 3,0 | 1,8 |
| Sogn og Fjordane | 2,7 | 9,8 | 13,0 | 4,0 |
| Møre og Romsdal | 1,2 | 2,8 | 4,8 | 0,5 |
| Sør-Trøndelag | 0,9 | 2,0 | 3,8 | -0,1 |
| Nord-Trøndelag | 0,6 | 0,3 | 2,2 | -0,1 |
| Nordland | 2,9 | 2,5 | 2,5 | 2,1 |
| Troms | 2,5 | 2,1 | 4,8 | 0,6 |
| Finnmark | 2,4 | 2,6 | 3,2 | 0,8 |
| Landet | 3,0 | 3,3 | 4,9 | 2,0 |
Tabell 7.1 viser netto driftsresultatet til kommunene gruppert fylkesvis i perioden fra 1995 til 1998. Det fremgår av tabellen at netto driftsresultatet ble svekket fra 1997 til 1998. Ingen kommuner gruppert fylkesvis kommer samlet sett bedre ut i 1998 enn i 1997.

Figur 7.2: Netto driftsresultat i prosent av driftsinntektene for kommunene utenom Oslo gruppert fylkesvis samt landet, 1998.
Figur 7.2 viser netto driftsresultatet til kommunene gruppert fylkesvis i 1998.
Tabell 7.3: Netto driftsresultat 1998 i prosent av
driftsinntektene.
Kommunene utenom Oslo gruppert etter sammenlignbare kommuner
1>
Antall innbyggere | |||
| Inntekter | Lavt | Middels | Høyt |
| Lave | - | 0,7 | 1,2 |
| Middels | 2,9 | 1,5 | 1,7 |
| Høye | 4,2 | 3,4 | 4,3 |
| De 10 kommunene med høyest inntekter: | 16,0 | ||
| De 3 kommunene med høyest innbyggertall: | 0,7 | ||
| Landsgjennomsnitt: | 2,0 | ||
1> Landsgjennomsnittet er vektet etter innbyggertall,
slik at folkerike kommuner veier tyngre enn mindre kommuner.
Gruppegjennomsnittene er uvektede, dvs. at hver kommune
innen en gruppe veier like tungt, uavhengig av innbyggertall.
Tabell 7.3 viser netto driftsresultatet i 1998 for kommunene gruppert etter inntektsnivå og innbyggertall. Tabellen viser klart at størrelsen på netto driftsresultatet er økende med stigende inntektsnivå. De middels største kommunene har lavest driftsresultat. Det er ikke overraskende at kommuner med et høyt inntektsnivå også har de høyeste netto driftsresultatene.
I vedlegg 7 er det gitt en samlet oversikt over de finansielle indikatorene for kommunene, samt andre økonomiske indikatorer for 1998 (netto renter og avdrag i prosent av driftsinntektene og bruttoinveseringer i prosent av driftsinntektene).
Netto lånegjeld
Kommunenes handlefrihet er vesentlig påvirket av nivået på lånegjelden. Samlet hadde kommunene en netto lånegjeld ved utgangen av 1998 som tilsvarte 54,4 prosent av driftsinntektene. Det innebærer en økning på omlag 3,5 prosentenheter fra året før. Målt i kroner har netto lånegjelden gjennomgående økt i perioden fra 1995 til 1998. En forklaring på den økte lånegjelden kan være at aktiviteten har økt betydelig mer enn inntektene, jf. omtale av utviklingen i driftsresultat. Den økte lånegjelden må ellers ses i sammenheng med finansieringsordningene for Reform 97 og eldresatsingen. I forbindelse med reformene har kommunene tatt opp betydelige lån som de vil få statlige tilskudd for å betjene. Nivået på lånegjelden varierer imidlertid betydelig mellom fylkene, fra Buskerud med 33,3 prosent til Sør-Trøndelag med 77,3 prosent.
Korrigert kontantbeholdning
Fordi inn- og utbetalinger ikke kommer til samme tid må kommunene til enhver tid ha en likviditetsbeholdning av en viss størrelse. Samlet hadde kommunene ved utgangen av 1998 en korrigert kontantbeholdning på 0,3 prosent av driftsinntektene. Det innebærer en reduksjon på 2,3 prosentenheter fra året før. Den korrigerte kontantbeholdning i 1998 er den laveste i perioden fra 1995 til 1998. Variasjonen er likevel stor, fra -5,7 prosent i Møre og Romsdal til 7,9 prosent i Akershus.
Akkumulert regnskapsresultat.
Det samlede akkumulerte overskudd i kommunene ved utgangen av 1998 var på 0,4 prosent av driftsinntektene. Det vil si en reduksjon på 0,5 prosentenheter fra året før. Reduksjonen kan ha sammenheng med det lave driftsresultatet i 1998. Kommunene i 8 av fylkene hadde samlet et akkumulert underskudd i 1998. Behovet for inndekning av underskudd legger klare bindinger på fremtidig disponering av netto driftsresultat for de aktuelle kommunene.
Disposisjonsfond
Disposisjonsfond kan være en reserve ved en inntektssvikt eller utgiftsøkning. Samlet hadde kommunene disposisjonsfond ved utgangen av 1998 som tilsvarte 4,7 prosent av driftsinntektene. Det vil si en reduksjon fra 1997 på 0,7 prosentenheter. Disposisjonsfondene varierer også betydelig mellom fylkene, fra Nord-Trønderlag på 1,8 prosent til Akershus på 10,3 prosent.
Den finansielle situasjonen i fylkeskommunene 1995-98
Det vises til nærmere omtale i St. prp. nr. 69 (1998-99) Om kommuneøkonomien i 1000 m.v. Samlet var det en svekkelse i den økonomiske handlefriheten for fylkeskommunene i 1998 (jf. tabell 7.9 i vedlegg 7). Netto driftsresultatet i 1998 på 0,4 prosent av driftsinntektene var en klar reduksjon fra året før. I 1997 utgjorde netto driftsresultatet 2,6 prosent av driftsinntektene. Denne sterke reduksjonen har sammenheng med at driftsutgiftene økte mer enn driftsinntektene. Driftsutgiftene økte som følge av økte timelønns- og pensjonsutgifter, samt sysselsettingsveksten.
For alle fylkeskommunene samlet var rente- og avdragsbelastningen uendret fra 1997 til 1998, og utgjorde 3,3 prosent av driftsinntektene. I perioden 1995-98 har rente- og avdragsbelastningen gått ned med 0,6 prosentenheter. Rente- og avdragsbelastningen er avhengig av en rekke forhold, blant annet rentenivå, avdragstid og investeringsvolum. Det er stor variasjon i rente- og avdragsbelastningen mellom fylkeskommunene i 1998, fra Østfold med 1 prosent til Vestfold med 5,8 prosent.
Samlet hadde fylkeskommunene brutto investeringsutgifter på 7,2 prosent av driftsinntektene i 1998. Dette innebærer en økning på 1 prosentenhet fra året før. Et fortsatt høyt investeringsnivå har bl.a. sammenheng med utbygginger i helsesektoren, blant annet bevilgninger til sykehusutstyr. Den langsiktige lånegjelden til fylkeskommunene ble imidlertid redusert i 1998.
Til sammen hadde fylkeskommunene et akkumulert overskudd på 0,1 prosent i 1998, noe som er det samme som i 1997. Rogaland, Sogn og Fjordane, Møre og Romsdal, Sør- og Nord- Trøndelag hadde alle akkumulerte underskudd i 1998. De tre førstnevnte hadde også akkumulerte underskudd året før. For Rogaland har imidlertid underskuddet bedret seg fra 2,5 prosent i 1997 til 0,6 prosent i 1998.
Når det gjelder fylkeskommunenes likviditet har denne forverret seg fra 1997 til 1998. Likviditeten kan måles ved korrigert kontantbeholdning som i 1998 utgjorde -3,1 prosent av driftsinntektene. Dette er en nedgang på 2,2 prosentenheter fra året før. Fra å utgjøre 3,2 prosent av driftsinntektene i 1997 ble disposisjonsfondet bygget ned til 2,5 prosent i 1998. Disposisjonsfondet varierer betydelig mellom fylkeskommunene, fra Sør-Trøndelag med 0,1 prosent til Akershus med 6 prosent.
Lagt inn 2. juli 1999 av Statens forvaltningstjeneste, ODIN-redaksjonen8. Utviklingen i kommunale gebyrinntekter og gebyrsatser
Oppsummering
Gebyrinntektene i kommuneforvaltningen utgjorde i 1998 23,2 milliarder kroner. Målt i forhold til bruttoinntektene har gebyrandelen økt fra 10,2 prosent i 1990 til 11,1 prosent i 1998. Gjennomsnittlig årlig vekst i gebyrinntektene fra 1990 til 1998 har vært vel 7 prosent. Utviklingen i gebyrinntektene skyldes både en sterk utbygging av tjenestetilbudet innenfor de områdene kommunene tar seg betalt for tjenestene, at flere tjenester blir gebyrbelagt og en økt grad av kostnadsdekning for tjenestene.
Ut fra foreliggende statistikk for egenbetaling og gebyrsatser framgår det at gebyrsatsene i kommuneforvaltningen over tid har økt betydelig mer enn den generelle kostnadsstigningen.
Takstøkningen har gjennomgående vært spesielt høy innenfor teknisk sektor, som krever inn nesten halvparten av gebyr- og avgiftsinntektene. Innenfor områder som vannforsyning, avløp og renovasjon har takstøkningen vært påvirket av økt kvalitet på tjenestene, bl.a. gjennom økte rensekrav og modernisering av anlegg. Med grunnlag i foreliggende statistikk gis det i dette kapitlet en oppdatert oversikt over utviklingen i gebyrinntekter og gebyrsatser de siste årene.
8.1 Definisjonen av gebyrinntekter i nasjonalregnskapet
Utvalget benytter den definisjonen av gebyrinntektene som Statistisk sentralbyrå legger til grunn i nasjonalregnskapet. Gebyrene betalt til kommuneforvaltningen omfatter salgsinntektene tilknyttet kommunalt produserte tjenester og utgjør publikums (husholdninger, foretak og andre) utgifter ved bruk av kommunale tjenester. Eksempler er betaling for barnehageplass, egenandeler betalt for hjemmehjelp og legetjenester, leie for bruk av kommunale eller fylkeskommunale lokaler, egenbetaling for tekniske tjenester som vann, kloakk, parkometer- og renovasjonsavgifter. Også egenbetaling ved opphold på offentlige alders- og sykehjem regnes med i gebyrbegrepet.
Definisjonen av gebyrinntektene i kommuneforvaltningen ble endret på noen vesentlige punkter som følge av hovedrevisjonen av nasjonalregnskapet. Kommunale vannverk var tidligere en del av kommunal næringsvirksomhet, men blir nå betraktet som en del av kommuneforvaltningen. I tillegg til disse endringene, er det som følge av hovedrevisjonen av nasjonalregnskapet gjennomført endret føringsmåte for statlige refusjoner for poliklinisk behandling og stykkprisordninger. Føringsmåten i nasjonalregnskapet er endret fra gebyrinntekter til overføringer fra statsforvaltningen i det nye opplegget. Statens og folketrygdens refusjon av sykehusenes utgifter til poliklinisk behandling ble tidligere ført som overføring til husholdningssektoren i form av helsestønader. Det ble i regnskapene konstruert en betalingsstrøm fra husholdningene til sykehusene, der inntekten ble klassifisert som gebyrinntekter til kommunene.
Tabell 8.1 viser utviklingen i kommuneforvaltningens gebyrinntekter over perioden 1990-1998. Ifølge foreløpige tall fra nasjonalregnskapet utgjorde gebyrinntektene ca. 23,2 milliarder kroner i 1998, som er en økning på 10 milliarder kroner siden 1990. Dette er en gjennomsnittlig årlig endring på drøyt 7 prosent. Målt i forhold til samlede inntekter har gebyrinntektene økt fra 10,2 prosent i 1990 til 11,1 prosent i 1998, og som andel av beregnet produksjonsverdi har gebyrinntektene økt fra 12,7 prosent i 1990 til 13,7 prosent i 1998.
Tabell 8.1: Utviklingen i kommuneforvaltningens gebyrinntekter, 1990-1998.
Gebyrinntekter | Gebyrinntekter | Gebyrinntekter | ||
| som andel av | som andel av | |||
| Mill. kr | Pst. endring | produksjonsverdi (pst.) | bruttoinntekter (pst.) | |
| 1990 | 13 221 | 7,8 | 12,7 | 10,2 |
| 1991 | 15 256 | 15,4 | 13,4 | 10,8 |
| 1992 | 16 414 | 7,6 | 13,7 | 10,9 |
| 1993 | 17 307 | 5,4 | 13,9 | 11,2 |
| 1994 | 18 403 | 6,3 | 14,1 | 10,9 |
| 1995 | 19 512 | 6,0 | 14,2 | 11,3 |
| 1996 | 20 880 | 7,0 | 14,3 | 11,3 |
| 1997* | 22 247 | 6,5 | 14,3 | 11,3 |
| 1998* | 23 201 | 4,3 | 13,7 | 11,1 |
*) Foreløpige tall
Kilde: Statistisk sentralbyrå
8.2 Utviklingen i gebyrinntektene i perioden 1990-1997 etter kommuneregnskapets inndeling og dekomponering på pris og volum
8.2.1 Gebyrinntektene etter kommuneregnskapets inndeling i 1997
Tabell 8.2 viser hvordan gebyrinntektene i kommuneforvaltningen er fordelt etter kommuneregnskapets inndeling.
Tabell 8.2: Kommuneforvaltningens gebyrinntekter etter
kommuneregnskapets inndeling. 1990-1998.
Tall i millioner kroner.
| 1990 | 1991 | 1992 | 1993 | 1994 | 1995 | 1996 | 1997* | 1998* | |
| Administrasjon | 613 | 862 | 884 | 869 | 885 | 891 | 914 | 958 | |
| Undervisning | 503 | 622 | 726 | 777 | 846 | 892 | 966 | 1017 | |
| Grunnskole | 122 | 117 | 138 | 138 | 149 | 144 | 167 | 159 | |
| Videregående skole | 216 | 325 | 386 | 423 | 447 | 469 | 490 | 530 | |
| Andre undervisningsformål | 165 | 180 | 203 | 216 | 251 | 279 | 309 | 328 | |
| Barnehager (kommunale) | 1 141 | 1 294 | 1 473 | 1 725 | 1 907 | 2 073 | 2 241 | 2 332 | |
| Skolefritidsordninger | 77 | 139 | 215 | 308 | 410 | 495 | 651 | ||
| Helse- og sosialtjenester | 3 672 | 4 490 | 4 669 | 4 761 | 4 748 | 4 980 | 5 321 | 5 704 | |
| Kommunehelsetjenester | 346 | 345 | 322 | 350 | 383 | 394 | 338 | 349 | |
| Somatiske sykehus m v. | 453 | 577 | 627 | 800 | 662 | 725 | 1012 | 1129 | |
| Tannhelsetjenester | 198 | 225 | 238 | 247 | 258 | 273 | 283 | 293 | |
| Psykisk helsevern | 212 | 241 | 287 | 299 | 317 | 320 | 253 | 373 | |
| Pleie og omsorg | 2 352 | 3 001 | 3 051 | 2 951 | 3 023 | 3 141 | 3 314 | 3 439 | |
| Andre sosiale tjenester | 111 | 102 | 145 | 114 | 105 | 127 | 121 | 121 | |
| Kultur og idrettsformål | 439 | 472 | 501 | 556 | 607 | 632 | 673 | 618 | |
| Tekniske tjenester m v. | 6 853 | 7 441 | 8 022 | 8 404 | 9 101 | 9 635 | 10 262 | 10 966 | |
| Avløp/kloakk | 2 189 | 2 289 | 2 441 | 2 739 | 2 938 | 3 144 | 3 342 | 3 199 | |
| Renovasjon | 1 635 | 1 767 | 1 933 | 1 870 | 2 043 | 2 223 | 2 328 | 2 546 | |
| Vannverk | 1 796 | 1 908 | 1 935 | 2 046 | 2 172 | 2 217 | 2 397 | 2 907 | |
| Veier og gater | 588 | 613 | 744 | 734 | 826 | 874 | 837 | 841 | |
| Andre tekniske/næringsøk. formål | 644 | 864 | 970 | 1 015 | 1 121 | 1 177 | 1 358 | 1 472 | |
| I alt | 13 221 | 15 256 | 16 414 | 17 307 | 18 403 | 19 521 | 20 880 | 22 247 | 23 201 |
De samlede gebyrinntektene i 1997 utgjorde om lag 22,2 milliarder kroner for kommuneforvaltningen, der avgiftsinntektene knyttet til de tekniske tjenestene utgjorde om lag halvparten, dvs. 11,0 milliarder kroner. Avgiftene knyttet til tekniske tjenester omfatter bl.a. avgifter knyttet til vann, avløp og renovasjon, parkeringsavgifter samt diverse andre gebyrer knyttet til tekniske formål (f.eks. feiing, byggesaksbehandling, kartforretninger). Gebyrinntektene knyttet til helse- og sosialtjenester utgjorde om lag 5,7 milliarder kroner i 1997 eller om lag av ¼ av samlede gebyrinntekter. Av dette utgjorde egenbetalinger innenfor pleie- og omsorgstjenestene 3,4 milliarder kroner.
Foreldrebetalingene knyttet til kommunale barnehager og skolefritidsordninger utgjorde om lag 3,0 milliarder kroner i 1997 eller i overkant av 1/8 av samlede gebyrinntekter. Øvrige gebyrinntekter, som omfatter salgs- og leieinntekter knyttet til administrasjon, undervisning, kultur- og idrettsformål, utgjorde knapt 1/8 av de samlede gebyrinntektene i 1997.
8.2.2 Utviklingen i gebyrinntektene etter formål i perioden 1990-1997
I tabell 8.2 vises det hvordan gebyrinntektene over perioden 1990-1997 har økt for de ulike tjenesteområdene.
I tidsrommet 1990-1997 har de samlede gebyrinntektene økt fra 13,2 milliarder kroner til 22,2 milliarder kroner i løpende kroneverdi. Dette er en økning på 9,0 milliarder kroner eller ca. 70 prosent samlet for perioden. Veksten i avgiftsinntektene knyttet til de tekniske tjenestene utgjør i underkant av halvparten av det samlede vekstbidraget. Veksten i egenbetalingene knyttet til helse- og sosialtjenester og barnehager/skolefritidsordninger utgjorde henholdsvis 29 prosent og 19 prosent vekstbidrag i forhold til samlet inntektsøkning.
Tabell 8.2 viser for øvrig at gebyrinntektene i barnehagesektoren har økt kraftig, fra om lag 1,1 milliarder kroner i 1990 til om lag 2,3 milliarder kroner i 1997. Økningen kan forklares både ved en økning i barnehagesatsene (foreldrebetaling) og en kraftig utbygging av barnehagetilbudet.
8.2.3 Endring i gebyrsatser i perioden 1991-1999
Tabell 8.3 viser utviklingen i diverse avgifts- og gebyrsatser på tjenesteområder innenfor kommunal forvaltning der det foreligger statistikk. Undersøkelsene ble igangsatt fra 1989 og er utformet i tilknytning til konsumprisindeksen fra Statistisk sentralbyrå. Undersøkelsene er basert på et utvalg av kommuner og omfatter barnehager, hjemmebasert omsorg og diverse tekniske tjenester knyttet til bolig. Det utarbeides i liten grad statistikk for gebyrsatser knyttet til fylkeskommunal virksomhet.
Tabell 8.3: Egenbetalingssatser i kommunale barnehager. Hjemmebaserte tjenester. Kommunale avgifter knyttet til bolig. Prosentvis endring fra året før. Hele landet
| 1991 | 1992 | 1993 | 1994 | 1995 | 1996 | 1997 | 1998 | 1999 | Årlig gj.snitt | |
| Barnehager (kommunale) 1> | 3,0 | 4,3 | 3,4 | 4,0 | 4,2 | 2,8 | 4,4 | 3,8 | 5,2 | 3,9 |
| Hjemmebasert omsorg 2> | 2,0 | -15,0 | 0,0 | 8,9 | 18,6 | 4,4 | 3,1 | 0,6 | 5,8 | 3,2 |
| Avgifter knyttet til bolig 3> | ||||||||||
| Renovasjon | 3,6 | 5,1 | 6,0 | 4,6 | 5,2 | 6,9 | 9,6 | 8,9 | 16,7 | 7,4 |
| Feiing | 4,6 | 2 | 5,1 | 4,8 | 3,5 | 3,8 | 5,0 | 4,1 | 8,3 | 4,6 |
| Vann | 6,5 | 5,1 | 6,3 | 5,0 | 5,1 | 5,1 | 5,9 | 3,1 | 5,6 | 5,3 |
| Kloakk | 7,7 | 9,6 | 11,9 | 8,1 | 6,1 | 7,9 | 7,8 | 4,2 | 7,6 | 7,9 |
| Konsumprisindeksen | 3,4 | 2,3 | 2,3 | 1,4 | 2,4 | 1,3 | 2,6 | 2,3 | 2,3 | |
| Prisindeks for kommunalt konsum | 4,1 | 1,6 | 1,1 | 2,5 | 4,0 | 3,7 | 2,7 | 5,5 | 3,2 | |
| * Foreløpige tall | ||||||||||
| Kilde: Statistisk sentralbyrå |
1)> Barnehagesatsene er en delundersøkelse til konsumprisindeksen som for 1999 omfatter 109 kommuner. Undersøkelsen utføres i januar og august måned. Tallene i tabellen er målt i januar måned. I perioden 1991-1992 gjelder tallene samlet for private og kommunale barnehager, mens tallene fra 1993 gjelder kommunale barnehager.
2)> Satsene for hjemmebasert omsorg inngår som delundersøkelse til konsumprisindeksen og er målt som årsgjennomsnitt. Endringstallene fra 1991 til 1992, fra 1993 til 1994 og fra 1994 til 1995 er påvirket av forskriftsendringer.
3)> Statistikken for kommunale gebyrer knyttet til bolig omfattet i 1999 100 av de mest folkerike kommunene og i tillegg 22 mindre kommuner. Samlet dekning er om lag 3/4 av befolkningen. Måletidspunktet for undersøkelsen er januar måned.
Over perioden 1991-1999 har barnehagesatsene økt med om lag 3,9 prosent i årlig gjennomsnitt, mens egenbetalingssatsene for hjemmebaserte tjenester har økt med om lag 3,2 prosent i årlig gjennomsnitt i samme periode. Hvis man veier sammen avgiftsøkningen for de tekniske tjenestene knyttet til bolig, viser dette at avgiftene har økt med om lag 6,5 prosent i årlig gjennomsnitt i tidsrommet 1991-1999.
8.2.4 Dekomponering av utviklingen i gebyrinntektene på prisendringer og volumendringer.
Den observerte økningen i gebyrinntektene kan i prinsippet skyldes flere forhold, bl.a.
- økte satser for kommunale tjenester - økt omfang og aktivitet for de kommunale tjenestene, særlig knyttet til vann- og kloakkavgiftene, renovasjon og avfallsbehandling. - at flere tjenester blir gebyrbelagt, bl.a. gjennom endringer i forskrifter og regelverkI tillegg til de statistiske problemene knyttet til dekomponering av gebyrutviklingen i en pris- og en volumkomponent er det derfor også metodiske problemer forbundet med en slik dekomponering. Det er vanskelig å foreta en samlet dekomponering av utviklingen i pris (gebyrsatser) og volum på grunn av heterogeniteten i de ulike tjenestene. For å kunne foreta en dekomponering må en derfor forsøke å belyse utviklingen på de enkelte tjenesteområdene separat.
Barnehager
Egenbetalingene knyttet til kommunale barnehager har i perioden 1990-1997 økt med 104 prosent (tabell 8.2), mens betalingssatsene i samme periode har økt med 30 prosent (tabell 8.3). Barnehagestatistikken fra Statistisk sentralbyrå indikerer at antall plasser i kommunale og fylkeskommunale barnehager har økt med ca . 25 prosent i tidsrommet 1990-1996, og utgjorde om lag 110 792 plasser ved utgangen av 1996. Denne utviklingen er bl.a. påvirket av en bevisst politisk satsing på barnehagesektoren. I tidsrommet 1990-1996 har det vært en økende andel av barn som går i private barnehager. Ved utgangen av 1997 gikk knapt 107 000 barn i kommunale og fylkeskommunale barnehager, og dette utgjør 58 prosent av alle barn med barnehageplass. 6-årsreformen, som innebar at 6-åringene gikk inn i grunnskolen fra skoleåret 1997/98, har fått konsekvenser for barnehagesektoren. Derfor kan tallene for 1997 være vanskelig å sammenlikne direkte med tidligere år. Tilbudet til 6-åringer i skolen, som har eksistert siden 1991, falt også bort ved gjennomføringen av reformen.
Økningen i antall kommunale barnehageplasser (25 prosent) og økningen i betalingssatser (30 prosent) skulle isolert sett medføre om lag 63 prosent økning i inntektene. Når inntektene har økt sterkere (104 prosent) kan det skyldes flere andre forhold som det er vanskeligere å skaffe presis informasjon om:
- reduksjon i antall friplasser (og plasser med rabattordninger) - endret inntektsfordeling for den gruppen som har barn i barnehage - forskyvninger i antallet som følger ulike betalingssystemer (inntektsgraderte ordninger kontra ordninger med betaling uavhengig av inntekt, såkalt flate satser) - reduksjon i antall deltidsplasserDet er få holdepunkter for å si noe sikkert om endring i antall friplasser, å anslå betydningen av vridninger mellom ulike betalingsordninger eller å anslå effekten av endret inntektsfordeling hos foreldrene. Derimot foreligger det i barnehagestatistikken noen opplysninger om oppholdstiden i barnehagene. Statistikken sier at andelen deltidsplasser, definert som oppholdstid inntil 30 timer per uke, har blitt redusert fra 37 prosent i 1990 til 34 prosent i 1997 for offentlige barnehager.
Kommunene finansierer driften av barnehagene med statlige driftstilskudd, egenbetaling fra foreldre, tilskudd fra kommunenes egne midler (skatter og rammeoverføringer) og andre inntekter som i hovedsak består av refusjoner av sykepenger. Aggregerte regnskapstall for kommuneforvaltningen for 1997 tyder på at statlige tilskudd utgjør om lag 36 prosent, foreldrebetaling 29 prosent, kommunal egenfinansiering 27 prosent og andre inntekter 8 prosent. Den statlige tilskuddsandelen har de siste årene holdt seg omtrent konstant, mens det har vært en viss gradvis økning i foreldreandelen og tilsvarende reduksjon i den kommunale egenandelen. Årsregnskapet fra private barnehager i 1997 (Ukens statistikk fra SSB 51/52/1998) viser til sammenligning at foreldrebetalingen utgjør om lag 46 prosent, statstilskudd 40 prosent og resten utgjøres av tilskudd fra kommuner og andre inntekter.
Tekniske tjenester
Fra tabell 8.2 kan det avledes at avgifter knyttet til bolig har økt med om lag 60 prosent fra 1990 til 1997. En sammenveiing av betalingssatsene for de ulike tjenestene knyttet til bolig som vann, avløp, kloakk- og renovasjon og feiing, tyder på at avgiftstakstene har økt med ca. 52 prosent i samme periode. Økningen i betalingssatser er altså den vesentligste årsaken.
Det må imidlertid bemerkes at økningen i disse satsene i stor grad har skjedd på grunn av tilknytning til nye anlegg, modernisering av eksisterende anlegg, krav til miljøvennlig avfallsdeponering og generelt økte rensekrav. Satsene inneholder dermed et betydelig kvalitetselement og det foreligger lite informasjon som gjør det mulig å skille mellom «rene» takstøkninger for å oppnå en høyere grad av kostnadsdekning og på den annen side taksøkninger som skyldes økt kvalitet på den kommunale tjenesten. Dersom en sammenholder utviklingen i gebyrinntekter og egenbetalingssatser for sektorene vannforsyning, avløp og renovasjon i tidsrommet 1990-1997, fremgår det at den estimerte takstøkningen i avløpssektoren i gjennomsnitt har vært høyere enn veksten i innkrevde avgiftsinntekter, mens den estimerte takstøkningen for renovasjon og vannforsyning i gjennomsnitt har vært lavere enn veksten i innkrevde avgiftsinntekter. Dette kan være en indikasjon på svakheter i målemetodene for gebyrtakstendringer, men kan også avspeile svakheter ved kommuneregnskapene.
Den sterke økningen i avgiftssatsene knyttet til vann, avløp og renovasjon de siste årene har bidratt til at disse avgiftene i større grad enn tidligere dekker de kommunale kostnadene som er knyttet til disse anleggene. Det foreligger for avløpssektoren en undersøkelse fra Statistisk sentralbyrå som viser at kostnadsdekningen i 1997 var på 102 prosent på landsbasis.
Lagt inn 2. juli 1999 av Statens forvaltningstjeneste, ODIN-redaksjonen9 Ressursinnsats i kommunal tjenesteproduksjon
I dette kapittelet fokuseres kommunal tjenesteyting og produksjon. I kapittel 9.2 har Utvalget satt opp enkle produktmål for kommunal og fylkeskommunal tjenesteproduksjon. For å belyse produktivitetssutviklingen i kommuneforvaltningen, har Utvalget sett på bruken av ressurser knyttet til disse produktmålene. Innen hver sektor har utvalget i tillegg vist utvikling i dekningsgraden for å gi et mer helhetlig bilde av ressursinnsatsen.
9.1 Utvikling i kommunal og fylkeskommunal tjenesteyting
Sammendrag
Kommunene:
I pleie- og omsorgssektoren var det fra 1990 til 1997 en klar økning i ressursinnsatsen pr. innbygger over 67 år og pr. bruker. Den økte ressursinnsatsen har til dels sammenheng med overføring av personell fra fylkeskommunene til kommunene og økte ressurser i forbindelse med ansvarsreformen for psykisk utviklingshemmede. I perioden 1996-1997 har det vært en økning i årsverk pr person over 67 år på nesten 8 prosent. Dekningsgradene innenfor hjemmetjenestene i pleie- og omsorgssektoren har vært relativt stabile i perioden 1993-1997, mens institusjonsdekningen har gått noe ned.
Også innen de øvrige kommunale tjenesteområdene er bildet at ressursinnsatsen har økt. Antall legeårsverk pr. innbygger har økt med om lag 7 prosent i perioden 1990-97. Ekstraundervisningen som andel av elevtimetallet har økt med 16 prosent i perioden, mens årsverksinnsatsen pr. klasse i grunnskolen i hovedsak har vært relativt konstant. Når det gjelder barnehagesektoren har det vært en jevn økning i dekningsgraden, men dekningsgraden for 1-2 åringer har økt spesielt sterkt fra 1996 til 1997 som følge av innføringen av Reform 97.
Fylkeskommunene:
I perioden fra 1994-1997 har årsverksinnsatsen i voksenpsykiatrien økt med 1,5 årsverk pr. 10 000 innbyggere. Økningen i ressursinnsatsen innen barne- og ungdomspsykiatrien har tilsvarende vært på nesten 4,5 årsverk pr. 10 000 innbyggere i perioden 1990-97.
Fra 1993 til 1995 var driftsutgiftene målt i faste priser i sykehusene om lag det samme. I 1996 og i 1997 har det vært en reell vekst i utgiftsnivået. Også korrigert for endring i pasientsammensetningen økte utgiftene reelt i overkant av 4 prosent fra 1996 til 1997. Utgiftsveksten har sammenheng med lønnsutviklingen for grupper av helsepersonell. I perioden 1992-1997 har det vært en vekst på om lag 5,5 prosent i antallet utskrivninger fra sykehusene, mens antallet polikliniske konsultasjoner i samme periode økte med over 12 prosent.
Elevtallet i videregående skole i forhold til et gjennomsnittlig årskull var i 1998 350 prosent, og har falt jevnt siden 1993.
9.2 Innledning
Til kommunal produksjon er det knyttet mange måleproblemer både ved måling av produsert mengde og av medgåtte ressurser. De største måleproblemene er knyttet til produsert mengde. I privat sektor blir verdiskapningen verdsatt gjennom betalingsvilligheten i markedet, men mesteparten av tjenestene i kommunal forvaltning ikke blir omsatt i noe marked. Arbeidet med produktivitetstall for kommunal og statlig tjenesteyting kan som alternativ til metoder for markedsrettet virksomhet, knyttes til å skaffe gode volummål og aktivitetsindikatorer for omfanget av produksjon og tjenesteyting. Produksjonen kan eksempelvis måles gjennom antallet behandlede pasienter eller antallet barn i barnehager.
Begrepet produktivitet brukes om forholdet mellom produksjon og ressursinnsats. Målet er rent beskrivende og dess høyere produksjon pr. enhet ressursinnsats, jo høyere produktivitet. Forutsetningen for å måle produktivitet er at tjenestene er homogene. Imidlertid er dette er krav som er vanskelig å innfri ved produktivitetsmåling i offentlig sektor. Det er lett å måle antall medgåtte årsverk, timeinnsats etc. Verre er det å få oversikt over hvor mye en elev har lært, om en pasient har blitt frisk etter sykehus opphold etc. På grunn av problemer med å måle produksjonen i offentlig sektor, vil det for mange tjenester være like naturlig å tolke økt ressursinnsats pr. enhet som en standardheving som en produktivitetsnedgang. En økning i antall utførte timeverk pr. mottaker gir mulighet for økt oppfølging, veiledning, behandling eller pleie til den enkelte mottaker. Sammenhengen er ikke entydig, fordi en økning i ressursbruk kan skje samtidig som effektiviteten eller kvaliteten på arbeidet går ned. Dessuten kan økt ressursbruk ha sammenheng med et endret behov, fordi den gjennomsnittlige mottaker av tjenesten er blitt mer ressurskrevende.
Utvalget har forsøkt å sette opp enkle mål for den kommunale tjenesteproduksjonen innenfor helsesektoren, pleie- og omsorgssektoren og oppvekstsektoren (skole og barnehage). Antall barn i barnehager er et eksempel på et slikt enkelt produktmål. For å belyse produktivitetsutviklingen (endring i standard) i kommuneforvaltningen, har Utvalget sett på bruken av ressurser knyttet til disse enkle produktmålene. Ved å se på en rekke slike produktmål og ressursinnsatsen knyttet til disse over tid, kan vi danne oss et bilde av produktivitets-utviklingen (standarden) i den kommunale tjenesteytingen. Innen noen sektorer har Utvalget også vist utvikling i dekningsgrader for å gi et mer helhetlig bilde av den samlede ressursinnsatsen i sektoren. Det er i tillegg viktig å være klar over at ressursinnsatsen er målt som punktmålinger dvs. ikke gjennomsnittlig innsats gjennom året.
For kommunevise variasjoner vises det til St. prp. nr. 69 (1998-99) Om kommuneøkonomien 2000 m.v. Der er vist ressursinnsats og dekningsgrader når kommunene er gruppert etter fylke og for grupper av sammenlignbare kommuner. I tillegg vises tall for enkeltkommuner.
Tabell 9.1 Oversikt over ressursinnsats pr. produsert enhet for utvalgte sektorer. 1990-98. Kommuner og fylkeskommuner.
Vekst i prosent | ||||||||||||||||||
1990 | 1991 | 1992 | 1993 | 1994 | 1995 | 1996 | 1997 | 1998 | 94-95 | 95-96 | 96-97 | 97-98 | ||||||
Kommuner: | ||||||||||||||||||
A. Oppvekst: | ||||||||||||||||||
Grunnskole: | ||||||||||||||||||
Årsverk pr. 100 elever | 9,90 | 10,30 | 10,30 | 10,24 | 9,99 | 10,30 | -0,4 | -0,2 | -2,4 | 3,1 | ||||||||
Årsverk pr. klasse | 1,9 | 2,0 | 2,0 | 2,0 | 2,0 | 2,0 | 0,0 | 0,0 | 0,0 | 0,0 | ||||||||
Ekstra undervisning, andel av elevtimetall | 0,49 | 0,50 | 0,53 | 0,52 | 0,57 | 0,57 | 2,4 | -3,8 | 8,1 | 0,8 | ||||||||
Barnehage: | ||||||||||||||||||
Årsverk pr. 100 barne-ekvivalent | 22,5 | 24,8 | 24,6 | 24,8 | 24,4 | 24,7 | 24,6 | 0,8 | -1,6 | 1,2 | -0,4 | |||||||
B. Pleie og omsorg: | ||||||||||||||||||
Pleie og omsorg i alt: | ||||||||||||||||||
Årsverk pr 100 person over 67 år | 9,60 | 10,70 | 11,20 | 11,10 | 11,20 | 11,86 | 12,79 | 0,9 | 5,9 | 7,8 | ||||||||
Årsverk pr. bruker 3)> | 0,35 | 0,37 | 0,37 | 0,39 | 0,39 | 0,41 | 5,4 | 0 | 5,1 | |||||||||
C. Helsetjeneste: | ||||||||||||||||||
Legetjeneste: | ||||||||||||||||||
Årsverk pr. 1000 innb. 5)> | 0,71 | 0,72 | 0,73 | 0,75 | 0,75 | 0,75 | 0,75 | 0,76 | 0,77 | 0,6 | -0,3 | 0,6 | 2,3 | |||||
Fysioterapi: | ||||||||||||||||||
Årsverk pr. 1000 innb. 5)> | 0,62 | 0,64 | 0,66 | 0,67 | 0,67 | 0,69 | 0,73 | 0,74 | 0,76 | 3,3 | 5,2 | 0,6 | 3,0 | |||||
Skole- og helsestasjons-tjeneste: | ||||||||||||||||||
Årsverk pr. 1000 innb. 0-15 år | 2,00 | 2,10 | 2,10 | 2,30 | 2,64 | 2,81 | 2,91 | 2,94 | 6,4 | 3,6 | 0,9 | |||||||
Fylkeskommuner: | ||||||||||||||||||
A. Videregående skole | ||||||||||||||||||
Årsverk pr. 100 elever | 12,9 | 13,0 | 13,4 | 13,8 | 14,1 | 14,1 | 14,5* | -3,0 | 2,0 | 0,4 | 2,9* | |||||||
B. Sykehus: | ||||||||||||||||||
Netto driftsutg. pr sykehusopphold 4> | ||||||||||||||||||
Faste 1996 kroner | 26 067 | 26 322 | 26 095 | 27 625 | 28 920 | -0,9 | 5,9 | 4,7 | ||||||||||
Netto driftsutgifter pr indeksopphold 2)> | ||||||||||||||||||
Faste 1996 kroner | 22 801 | 22 779 | 22 686 | 24 061 | 25 095 | -0,4 | 6,1 | 4,3 | ||||||||||
Utskrivninger pr. 1000 innbyggere | 144 | 142 | 142 | 145 | 143 | 145 | 148 | 150 | 1,4 | 2,1 | 1,4 | |||||||
Polikliniske konsultasjoner pr. 100 innb. | 60 | 63 | 64 | 67 | 67 | 69 | 72 | 72 | 3 | 4,3 | 0 | |||||||
C. Psykiatri: | ||||||||||||||||||
Årsverk pr. 10 000 innbyggere: | ||||||||||||||||||
Voksenpsykiatri, 18 år og eldre 1)> | 39,77 | 40,56 | 39,29 | 38,57 | 38,34 | 38,75 | 39,02 | 39,83 | 1,1 | 0,7 | 2,1 | |||||||
Barn og ungdom, 0-17 år 1> | 15,11 | 15,44 | 17,04 | 17,60 | 17,93 | 17,73 | 18,86 | 19,57 | -1,1 | 6,4 | 3,8 | |||||||
1> Med korreksjon for gjestepasienter.
2> Indeksopphold er en teoretisk størrelse som
benyttes for å korrigere for forskjeller i pasientsammensetning
mellom
sykehusene. Antall indeksopphold er produktet av
DRG-indeksen ved et sykehus og antall sykehusopphold. DRG-indeksen
er en gjennomsnittlig kostnadsvekst for et sykehus, og gir uttrykk
for hvor ressurskrevende pasientene er.
3> Årsverk pr. bruker er regnet ut fra det totale antallet plasser i institusjoner og mottakere av hjemmetjenester.
4> Tallene er for sykehusene samlet dvs. inkl. statlige sykehus.Årsverk i sykehjem er ikke inkludert.
* Foreløpige tall
Kilder: Grunnskole - (SSB) , Barnehage - (SSB),
Pleie- og omsorg - (SSB), Helsetjenester - (SSB),
Videregående skole - (SSB), Sykehus - (SINTEF Unimed NIS,
SAMDATA-publikasjonene), Psykiatri - (SSB).
9.3 Kommunene
Oppvekst
Grunnskole:
Ressursinnsats pr. produsert enhet i grunnskolen kan måles ved årsverk av undervisningspersonell pr. elev. Som det framgår av tabell 9.1, var ressursinnsatsen i grunnskolesektoren stabil i perioden 1994-1996. Det var imidlertid en nedgang fra 1996 til 97 på 2,4 prosent. På grunn av endringer i regelverket grunnet skolereformen er det vanskelig å sammenligne inneværende skoleår med tidligere. Dette har sammenheng både med leseplikten og krav til ekstraundervisning. Fra 1997 (skoleåret 1997/98) til 1998 (skoleåret 1998/99) har imidlertid ressursinnsatsen økt med 3,1 prosent. Ut fra bare dette tallgrunnlaget er det foreløpig vanskelig å si noe om årsakene til utviklingen fra 1997 til 1998.
Et annet mål på ressursinnsatsen er lærerårsverk pr. klasse. Ved denne indikatoren reduseres betydningen av bosettingsmønster og valgt skolestruktur. Lærerårsverkene pr. klasse økte fra 1993 til 1994, men har siden vært stabile med 2 lærerårsverk pr klasse.
Ekstraundervisning defineres her som summen av spesialundervisning etter enkeltvedtak, delingstimer med og uten valgfag og norsk og morsmålsundervisning. Kommunenes ressursbruk til ekstraundervisning vil avhenge av hvordan kommunene generelt organiserer sin grunnskoledrift. Kommuner kan også dekke behov for ekstra oppfølging gjennom å øke grunnbemanningen pr elev. Ekstraundervisning som andel av elevtimetallet økte i perioden 1993-1996 fra 0,49 til 0,52. Fra 1996 (skoleåret 1996/97) til 1997 (skoleåret 1997/98) økte andelen ekstratimer fra 0,52 til 0,57. Den sterke økningen i 1997 skyldes at 1. klassingene har krav på mer ekstraundervisning enn de som har kommet høyere opp i grunnskolen. Korrigerer vi for 1.klassingene er andelen ekstraundervisning om lag konstant.
Tabell 9.2 Oversikt over dekningsgrader målt i forhold til aldersgrupper for utvalgte sektorer.
| 1990 | 1991 | 1992 | 1993 | 1994 | 1995 | 1996 | 1997 | 1998 | |
| Kommunene: | |||||||||
| A. Oppvekst | |||||||||
| Barnehager: | |||||||||
| Antall barn i barnehage/ 6 årstilbud i skole som andel barn 1-6 år 1)> | 0,42 | 0,53 | 0,56 | 0,59 | 0,62 | 0,60 | 0,61 | ||
| Antall barn i barnehage 1-2 år som andel av barn 1-2 år | 0,25 | 0,29 | 0,31 | 0,34 | 0,40 | 0,39 | |||
| B. Pleie- og omsorg | |||||||||
| Antall plasser i eldreinstitusjoner pr. innbygger 80 år og over | 0,28 | 0,27 | 0,26 | 0,25 | 0,24 | 0,24 | |||
| Antall enerom pr. plass | 0,65 | 0,66 | 0,68 | 0,69 | 0,69 | 0,71 | |||
| Antall mottakere av hjemmetjenester pr. 100 innbygger over 67 år | 0,23 | 0,23 | 0,22 | 0,23 | 0,24 | ||||
| Antall mottakere av hjemmetjenester over 67 år pr. innbygger over 67 år | 0,19 | 0,19 | 0,18 | 0,18 | 0,19 | ||||
| Fylkeskommunene: | |||||||||
| A.Videregående opplæring | |||||||||
| Antall elever i prosent av gjennomsnittlig årskull | 391 | 377 | 366 | 369 | 358 | 350 | |||
| B. Psykiatri | |||||||||
| Heldøgnsplasser i psykiatrisk institusjoner pr. 10 000 innbyggere | 18,9 | 17,8 | 17,1 | 16,8 | 15,7 | 15,3 | 15,0 | 14,4 |
Kilder: Statistisk sentralbyrå, Kirke-, utdannings- og forskningsdepartementet.
1> Fra 1997 gjelder barnehagestatistikken barn 1-5 år som følge av innføringen av Reform 97.
Barnehage:
For barnehagetjenester kan ressursinnsatsen måles i årsverk pr. barneekvivalenter. linkinthoveddel009P905_109101> Fra 1990 til 1998 gikk årsverk pr. 100 barneekvivalent opp fra 22,5 til 24,6. Tilbudet økte mest fra 1990-93 og har variert mellom 24,8 og 24,4 siden. I 1998 var årsverksinnsatsen pr. 100 barn i underkant av 25, noe som tilsvarer om lag 4 barn pr. full stilling. Dette innebærer en økning i årsverksinnsatsen på om lag 10 prosent siden 1990.
Tabell 9.2 viser at det har vært en sterk økning i dekningsgraden for 1-2 åringer fra 1996-1997. Økningen har sammenheng med at det i forbindelse med seksårsreformen ble gitt omstillingstilskudd til kommuner som omgjorde barnehageplasser for 6-åringene til plasser for barn mellom 1-2 år. Nedgangen i dekningsgrad for de større barna i perioden 1996-1997, kan tyde på at kommunene også omgjorde flere barnehageplasser enn bare 6-årsplassene til småbarnsplasser. Fra 1997-1998 har dekningsgraden for 1-5 åringene øket noe, men er fremdeles under dekningsgraden før innføringen av Reform 97. Dekningsgraden for 1-2 åringene er i samme perioden tilsvarende redusert.
B. Pleie og omsorg
Ressursinnsatsen for hele pleie og omsorgstjenesten kan måles ved årsverk totalt for institusjons- og hjemmetjenester pr. person over 67 år. Det fokuseres her på ressursinnsats for potensielle brukere og ikke faktiske brukere. Fra 1991 til 1993 økte årsverksinnsatsen fra 9,6 pr. 100 innbyggere i aldersgruppen til 11,2. Økningen fra 1991 til 1993 har sammenheng med oppgaveendringene mellom fylkeskommune og kommune i forbindelse med ansvarsreformen for psykisk utviklingshemmede, og at denne brukergruppen fikk tildelt langt høyere ressurser enn tidligere. Fra 1993 til 1995 var det små endringer. Tall for 1996-1997 viser en relativ kraftig økning i årsverksinnsatsen pr. innbygger i målgruppen. Årsakene til den sterke personelløkningen skyldes en fortsatt personelløkning knyttet til ansvarsreformen for psykisk utviklingshemmede og en styrking av tilbudet til mennesker med psykiske lidelser. Veksten i ressursinnsats kan også skyldes forbedrede rutiner knyttet til statistikkinnhenting for ressursinnsatsen knyttet til mennesker med psykisk utviklingshemming. En årsak til veksten kan også være etableringen av døgntjenestetilskudd for å sette kommunene i stand til å opprette et døgntjenestetilbud innenfor pleie- og omsorgstjenesten.
Selv om ressursinnsatsen i tabell 9.1 blir målt i forhold til innbyggere over 67 år, er en del av veksten i årsverksinnsatsen rettet mot yngre aldersgrupper. Ansvarsreformen for psykisk utviklingshemmede innebærer en styrking av ressursinnsatsen for de under 67 år.
Når det gjelder årsverksinnsatsen målt pr bruker, var innsatsen uendret fra 1995-1996, mens den økte med 5,1 prosent i 1997.
Dekningsgradene innenfor hjemmetjenestene i pleie- og omsorgssektoren har vært relativt stabile i perioden, mens institusjonsdekningen har gått noe ned.
C. Helse
Innenfor kommunehelsetjenesten finnes det lite produksjonsdata. En har f.eks. lite informasjon om antall behandlede pasienter, antall besøk på helsestasjon osv. Som en tilnærming kan en se på ressursinnsatsen overfor den aktuelle befolkningsgruppen. Innenfor skolehelsestasjon og skolehelsetjeneste vet vi f.eks. at alle kommuner har tilnærmet full dekning.
Legetjeneste
Antall legeårsverk pr. innbygger økte fra 0,71 i 1990 til 0,77 i 1998. Dette er kommunale legeårsverk (rent kommunale og private med kommunal driftsavtale). Det kan ikke utelukkes at det i sentrale strøk har vært en sterkere utvikling i private legeårsverk, noe som ikke fanges opp av denne statistikken.
Fysioterapi
Antall årsverk pr. innbygger økte fra 0,62 i 1990 til 0,76 i 1998. Økningen i antallet fysioterapeuter har vært sterkere enn veksten i legedekningen i perioden. Det er mulig at ansvarsreformen for psykisk utviklingshemmede har bidratt til dette.
Skole- og helsestasjonstjeneste
De fleste barn i aldersgruppa 0-15 år mottar tjenester fra skole- og helsestasjonene. Våre tall viser at årsverksinnsatsen relatert til denne målgruppen har økt sterkt i perioden, fra 2,0 årsverk pr 1 000 innbyggere 0-15 år i 1990 til 2,94 årsverk i 1997. Økningen kan ses på bakgrunn av oppfølgingsarbeidet knyttet til St. meld. nr. 37 (1992-93) "Utfordringer i helsefremmende og forebyggende arbeid". Kommunene har m.a. blitt stimulert gjennom ulike prosjektsatsninger til å gjennomføre forebyggende arbeid knyttet til ulykker og sykdom særlig rettet mot barn og unge. Mye av dette oppfølgingsarbeidet i kommunene er knyttet til skole- og helsestasjonstenesten.
9.4 Fylkeskommunene
A. Videregående skole
Tabell 9.1 viser at antall årsverk pr 100 elever i videregående skoler har økt fra 12,9 i 1992 til 14,5 i 1998. Samtidig har kapasiteten i videregående skoler som kommer inn under loven om videregående opplæring gått ned. Omfangsforskriften pålegger den enkelte fylkeskommune å ha et omfang av videregående opplæring tilsvarende et antall personer som utgjør minimum 375 prosent av et gjennomsnittlig årskull 16-18 åringer. I 1993 var elevtallet i forhold til et gjennomsnittlig årskull 391 prosent, mens det i 1998 var 350 prosent, jfr. tabell 9.2.
B. Sykehus
Netto driftsutgifter målt i faste priser pr. pasient var relativt konstant fra 1993 til 1995. I 1996 var det imidlertid en reell vekst på nærmere 6 prosent. Veksten fortsatte også fra 1996 til 1997, med ytterligere økning på om lag 5 prosent. Ved å benytte faktiske netto driftsutgifter pr. indeksopphold linkinthoveddel009P939_163932> får en fram ressursinnsatsen pr. innlagt pasient korrigert for endring i pasientsammensetning. Som tabell 9.1 viser, gikk utgiftene ned fra 1993 til 1995 når en korrigerer for endring i pasientsammensetning. Fra 1995 til 1996 økte imidlertid utgiftene pr. opphold kraftig. Veksten fortsatte også fra 1996 til 1997 med 4,3 prosent økning i denne perioden.
Trolig kan store deler av økningen tilskrives lønnsoppgjøret for grupper av helsepersonell. Alle tallene er oppgitt i faste priser og korrigert med prisindeksen for kommunalt konsum. Denne prisindeksen er imidlertid en generell indeks som ikke fanger spesielt opp det særlige lønnsoppgjøret i sykehussektoren. Veksten kan derfor være noe lavere enn det som disse tallene viser.
Tabell 9.1 viser også at produksjonen har økt i hele perioden. I 1991 var det 142 utskrivninger pr. 1000 innbyggere. I 1997 var antallet steget til 150. Videre var det en absolutt vekst i antallet polikliniske konsultasjoner på nær 300 000. Dette tilsvarer en vekst på 7,5 prosent.
C. Psykiatri
Personelldekning målt ved årsverk pr. 10 000 innbyggere for aldersgruppen 18 år og eldre gikk ned med om lag 1,5 årsverk fra 1990 til 1994. Det er her korrigert for gjestepasienter. I perioden fra 1994-1997 har imidlertid årsverksinnsatsen økt igjen med 1,5 årsverk pr 10 000 innbyggere, slik at man i 1997 er tilbake igjen på om lag samme nivå som i 1990.
I barne- og ungdomspsykiatrien har personelldekningen pr. 10 000 innbyggere fra 0-17 år i perioden hovedsakelig økt jevnt. Økningen i ressursinnsatsen innen barne- og ungdomspsykiatrien målt i årsverk har vært på nesten 4,5 årsverk pr 10 000 innbyggere i perioden 1990-97.
Tallene for utviklingen i årsverksinnsatsen både for voksen- og barne og ungdomspsykiatrien skjuler at det i perioden 1990-97 har skjedd en vridning av årsverksinnsatsen fra ufaglært arbeidsinnsats til faglært arbeidsinnsats. Økningen i årsverk har derfor i hovedsak skjedd i gruppen av faglært arbeidsinnsats, i tillegg til at ufaglært arbeidskraft har blitt erstattet med økt faglært årsverksinnsats.
Antallet heldøgnsplasser i psykiatriske institusjoner (for barn, ungdom og voksne) har hatt en jevn nedgang i hele perioden fra 1991-97. Reduksjonen er på om lag 4,5 plasser pr 10 000 innbyggere for hele perioden sett under ett. Bakgrunnen for nedgangen er at behandlingstilbudet i psykiatrien på 90-tallet er blitt rettet mot en mer aktiv behandling som krever færre sengeplasser enn de behandlingsformene som tidligere ble brukt.
Fotnoter
Barneekvivalent betyr at det er korrigert for at bemanningsnormene er ulike for barn over og under 3 år og at oppholdstidene varierer.
Indeksopphold er en teoretisk størrelse som benyttes for å korrigere for forskjeller i pasientsammensetningen mellom sykehusene. Antall indeksopphold utgjør produktet av DRG-indeksen ved et sykehus og antall sykehusopphold. DRG-indeksen er en gjennomsnittlig kostnadsvekst for et sykehus, og gir uttrykk for hvor ressurskrevende pasientene er. En høy DRG-indeks indikerer at pasientene er ressurskrevende.
Lagt inn 2. juli 1999 av Statens forvaltningstjeneste, ODIN-redaksjonenDel III
Aktuelle tema
10 Sysselsetting
10.1 Sysselsettingsutviklingen i kommuneforvaltningen
Tabell 10.1 og 10.2 viser en fordeling av sysselsatte normalårsverk i nasjonalregnskapets produksjonssektorer for kommunal undervisning og helse- og sosialtjenester på underkapitler i kommuneregnskapet. Fordelingen er foretatt på makronivå - for hele kommune-forvaltningen - og etter følgende inndeling:
1. Grunnskoler 2. Videregående skoler 3. Annen undervisning 4. Kommunale barnehager og fritidshjem 5. Somatiske spesialisttjenester 6. Psykisk helsevern 7. Pleie og omsorg for eldre og funksjonshemmete 8. Øvrige helse- og sosialtjenesterTabell 10.1 viser utviklingen i kommunal sysselsetting for perioden 1989-1998. Tabell 10.2 viser vekstprosenter avledet fra tabell 10.1. Tallene for 1997 og 1998 er foreløpige anslag. Siden det her er brukt en beregningsmetode som baserer seg på data fra nasjonalregnskapet, kommuneregnskapene, PAI-registeret og STS, linkinthoveddel010P22_9091> vil tallene avvike fra den offisielle klientstatistikken som samles inn på institusjonsnivå. Slike avvik kan enten skyldes ulike typer feilkilder, eller at statistikkene ikke er direkte sammenliknbare på grunn av forskjeller i definisjoner og sektorinndelinger. Særlig for pleie- og omsorgstjenestene er det et betydelig avvik i forhold til klientstatistikken.
Merk at ikke-kommunale barnehager ikke er medregnet i årsverkstallene. Somatiske sykehus, poliklinikker, spesialsykehjem, sykestuer, fødehjem og opptreningsinstitusjoner faller inn under sektoren for somatiske spesialisttjenester. Sektoren for psykisk helsevern omfatter psykiatriske sykehus, klinikker, poliklinikker, psykiatriske sykehjem samt bo- og behandlingssenter. Sektoren for pleie og omsorg omfatter aldershjem, alminnelige somatiske sykehjem, kombinerte alders- og sykehjem, serviceboliger, hjemmetjenester og tilbud til psykisk utviklingshemmete. Øvrige helse- og sosialtjenester omfatter blant annet kommunehelsetjenesten, tannhelsetjenester, sosialkontortjenester, sosialhjelp, edruskapsvern og barnevern. Annen undervisning omfatter spesialundervisning, musikkskoler, voksenopplæring og andre undervisningsformål.
Målt i årsverk økte samlet kommunal sysselsetting med 2,0 prosent i 1998. Sysselsettingen i kommunal undervisning vokste med 2,8 prosent. Veksten i helse- og sosialtjenester var på 2,8 prosent, mens reduksjonen i annen kommunal tjenesteproduksjon var på 0,4 prosent i 1998.
I 1996 ble det gjennomført en omorganisering i Oslo kommune, der psykiatriske institusjoner som Gaustad og Dikemark ble lagt inn under somatiske sykehus. I 1996 ble disse institusjonene regnskapsført under somatiske spesialisttjenester, men i 1997 er dette rettet opp slik at Gaustad og Dikemark føres under psykisk helsevern. Omorganiseringen har altså medført endringer i regnskapsføringen som ikke reflekterer reelle overføring av personell mellom psykisk helsevern og somatiske tjenester. Tallene for 1998, 1997 og 1995 er imidlertid sammenliknbare, mens tallene for 1996 må betraktes som misvisende når det gjelder fordelingen på psykisk helsevern og somatiske tjenester. De to sektorene sett under ett hadde en vekst på 7,5 prosent fra 1996 til 1997. I 1998 var det en reduksjon i antall årsverk i psykisk helsevern på 1,8 prosent. Reduksjonen kan til dels forklares med at en del av egenvirksomheten til Oslo kommune ved Lovisenberg og Diakonhjemmet er blitt nedlagt.
På tross av innføringen av reform 97 har kommunale barnehager og fritidshjem hatt en økning i antall årsverk fra 1996 til 1998. Det betyr at overføringen av seksåringer til skolen kun har bidratt til å dempe veksten i denne sektoren. Reformen har som forventet medført en vekst i sysselsettingen i grunnskoler fra 1996 til 1998. I 1997 og 1998 var veksten på henholdsvis 5,4 og 3,0 prosent. Antall årsverk i videregående skoler økte med 2,6 prosent i 1998.
I pleie og omsorg for eldre og funksjonshemmete var det en vekst i antall årsverk i 1998 på 6,3 prosent, og hadde dermed den sterkeste veksten av samtlige sektorer i 1998. Veksten skyldes blant annet gjennomføringen av handlingsplanen for eldreomsorgen. Veksten i somatiske spesialisthelsetjenester var på 0,4 prosent i 1998.
Tabell 10.1: Sysselsatte årsverk i kommunal tjenesteproduksjon, 1989-1998. Tusen
| 1989 | 1990 | 1991 | 1992 | 1993 | 1994 | 1995 | 1996 | 1997 | 1998 | |
| Grunnskoler | 60,6 | 58,9 | 56,8 | 56,6 | 54,9 | 55,5 | 55,5 | 57,7 | 60,8 | 62,6 |
| Videregående skoler | 26,3 | 28,0 | 30,4 | 30,8 | 30,8 | 31,1 | 30,8 | 31,3 | 30,4 | 31,2 |
| Annen undervisning | 7,7 | 8,1 | 7,8 | 8,5 | 9,9 | 10,4 | 11,1 | 11,1 | 11,0 | 11,2 |
| Kommunal undervisning i alt | 94,5 | 95,0 | 94,9 | 95,9 | 95,6 | 96,9 | 97,4 | 100,0 | 102,1 | 105,0 |
| Barnehager og fritidshjem | 17,8 | 19,3 | 21,6 | 23,9 | 26,8 | 28,7 | 30,5 | 32,4 | 32,9 | 33,6 |
| Somatiske spesialisttjenester | 46,7 | 48,2 | 48,6 | 48,6 | 49,6 | 49,4 | 50,8 | 54,9 | 56,9 | 57,1 |
| Psykisk helsevern | 14,0 | 14,3 | 14,0 | 14,3 | 14,5 | 14,4 | 14,4 | 13,2 | 16,3 | 16,0 |
| Pleie og omsorg | 66,2 | 68,4 | 75,9 | 79,3 | 82,6 | 84,3 | 87,6 | 90,7 | 92,8 | 98,6 |
| Øvrige helse- og sosialtjenester | 16,9 | 18,5 | 20,7 | 22,7 | 24,2 | 25,0 | 25,9 | 26,4 | 26,4 | 26,3 |
| Helse- og sosialtjenester i alt | 161,7 | 168,7 | 180,9 | 188,7 | 197,2 | 201,8 | 209,2 | 217,6 | 225,2 | 231,6 |
| Annen kommunal tjenesteproduksjon | 67,8 | 68,7 | 68,7 | 70,7 | 74,2 | 75,7 | 75,4 | 74,4 | 73,1 | 72,8 |
| Kommuneforvaltningen i alt | 324,0 | 332,4 | 344,4 | 355,3 | 367,0 | 374,5 | 381,9 | 392,0 | 402,6 | 409,4 |
Tabell 10.2: Prosentvis vekst i sysselsatte årsverk i kommunal tjenesteproduksjon, 1990-1998
| 1990 | 1991 | 1992 | 1993 | 1994 | 1995 | 1996 | 1997 | 1998 | |
| Grunnskoler | -2,8 | -3,6 | -0,4 | -3,0 | 1,1 | 0,0 | 4,0 | 5,4 | 3,0 |
| Videregående skoler | 6,5 | 8,6 | 1,3 | 0,0 | 1,0 | -1,0 | 1,6 | -2,9 | 2,6 |
| Annen undervisning | 5,2 | -3,7 | 9,0 | 16,5 | 5,1 | 6,7 | 0,0 | -0,9 | 1,8 |
| Kommunal undervisning i alt | 0,5 | -0,1 | 1,1 | -0,3 | 1,4 | 0,5 | 2,7 | 2,1 | 2,8 |
| Barnehager og fritidshjem | 8,4 | 11,9 | 10,6 | 12,1 | 7,1 | 6,3 | 6,2 | 1,5 | 2,1 |
| Somatiske spesialisttjenester | 3,2 | 0,8 | 0,0 | 2,1 | -0,4 | 2,8 | 8,1 | 3,6 | 0,4 |
| Psykisk helsevern | 2,1 | -2,1 | 2,1 | 1,4 | -0,7 | 0,0 | -8,3 | 23,5 | -1,8 |
| Pleie og omsorg | 3,3 | 11,0 | 4,5 | 4,2 | 2,1 | 3,9 | 3,5 | 2,3 | 6,3 |
| Øvrige helse- og sosialtjenester | 9,5 | 11,9 | 9,7 | 6,6 | 3,3 | 3,6 | 1,9 | 0,0 | -0,4 |
| Helse- og sosialtjenester i alt | 4,3 | 7,2 | 4,3 | 4,5 | 2,3 | 3,7 | 4,0 | 3,5 | 2,8 |
| Annen kommunal tjenesteproduksjon | 1,3 | 0,0 | 2,9 | 5,0 | 2,0 | -0,4 | -1,3 | -1,7 | -0,4 |
Kommuneforvaltningen i alt | 2,6 | 3,6 | 3,2 | 3,3 | 2,0 | 2,0 | 2,6 | 2,4 | 2,0 |
10.2 Sysselsetting i offentlig og privat sektor fordelt på kjønn og arbeidstid
10.2.1 Datagrunnlaget
I dette kapitlet ser vi på hvordan sysselsettingen i offentlig og privat sektor fordeler seg på kjønn og heltid/deltid.
Tallene bygger på Statistisk sentralbyrås (SSB) registerbaserte sysselsettingsfiler. Tallene er ikke offisiell statistikk, men ikke-korrigerte tall basert på administrative registre. De viktigste datakildene er enhetsregisteret (arbeidsgiver/arbeidstakerregisteret) og likningsregisteret.
Sysselsettingen måles som antall personer som har ett eller flere arbeidsforhold, der bare hovedarbeidsforholdet er medregnet. Arbeidstakertallene pr. 4. kvartal 1997 gjelder de som er registrert med aktivt arbeidsforhold på referansedatoen (siste tirsdag i november), og omfatter arbeidstakere som arbeider 4 timer eller mer pr. uke.
Arbeidsgiverne i enhetsregisteret er påført en egen kode for institusjonell sektor. Datamaterialet i denne analysen er fordelt på kommunal, fylkeskommunal og statlig forvaltning, mens de øvrige arbeidstakerne er gitt samlebetegnelsen andre sektorer. Kommunal forvaltning omfatter primærkommunene inkludert Oslo. SSB har foreløpig liten erfaring med bruk av sektorkoder i registerstatistikk, og vil derfor ta noe forbehold om kvaliteten.
Registerdataene viser lavere sysselsettingstall enn nasjonalregnskapet (jf. pkt. 10.1). Forskjellene skyldes at nasjonalregnskapet benytter andre kilder enn registerdataene. Ved avstemming av den samlede sysselsettingen utnytter nasjonalregnskapet først og fremst informasjon fra Arbeidskraftundersøkelsen (AKU). AKU-tallene ligger gjennomgående høyere enn registertallene. Arbeidstakertallene fra registeret omfatter kun de som er registrert med aktivt arbeidsforhold på referansedatoen, mens i AKU intervjues personer hver uke. Dessuten er alle som arbeider minst 1 time i undersøkelsesuka med i AKU, mens det bare er arbeidstakere som arbeider 4 timer og mer pr. uke som er med i registertallene. Ved beregningen av sysselsetting i offentlig forvaltning hentes det i tillegg inn informasjon fra lønns- og regnskapsstatistikken
10.2.2 Samlet sysselsetting etter kjønn og sektor
Tabell 10.3 viser gir en samlet oversikt over hvordan sysselsettingen i Norge fordeler seg på sektorer og kjønn.
Tabell 10.3: Sysselsatte fordelt etter sektor* og kjønn. 4. kvartal 1997
Antall sysselsatte | Andel etter kjønn | Andel etter sektor | |||||||
| I alt | Menn | Kvinner | I alt | Menn | Kvinner | I alt | Menn | Kvinner | |
| Kommuner | 357 189 | 84 300 | 272 889 | 100,0 | 23,6 | 76,4 | 17,5 | 7,7 | 29,2 |
| Fylkeskommuner | 110 693 | 32 752 | 77 941 | 100,0 | 29,6 | 70,4 | 5,4 | 3,0 | 8,3 |
| Stat | 129 937 | 75 335 | 54 602 | 100,0 | 58,0 | 42,0 | 6,4 | 6,8 | 5,8 |
| Andre sektorer | 1 281 451 | 794 074 | 487 377 | 100,0 | 62,0 | 38,0 | 62,9 | 72,1 | 52,1 |
| Selvstendige | 156 820 | 114 904 | 41 916 | 100,0 | 73,3 | 26,7 | 7,7 | 10,4 | 4,5 |
| I alt | 2 036 090 | 1 101 365 | 934 725 | 100,0 | 54,1 | 45,9 | 100,0 | 100,0 | 100,0 |
* Om lag 12 500 selvstendige som også har deltidsjobb er her oppført som arbeidstakere.
Vi ser at det i 4. kvartal 1997 var om lag 2 036 000 sysselsatte i Norge, fordelt på 1 101 000 menn og 935 000 kvinner. Menn utgjør dermed flertallet av de sysselsatte med 54,1 prosent, mens kvinner utgjør 45,9 prosent.
Det er store sektorvise forskjeller i kjønnsfordelingen. I kommunal- og fylkeskommunal forvaltning er henholdsvis 76 og 70 prosent av arbeidstakerne kvinner, mens 38 prosent av arbeidstakerne utenom forvaltningen er kvinner. Kvinneandelen blant selvstendige er 27 prosent. Kvinneandelen blant arbeidstakere i statsforvaltningen på 42 prosent er lavere enn landsgjennomsnittet, men høyere enn i sektorene utenom offentlig forvaltning.
Kommunal og fylkeskommunal forvaltning utgjør en betydelig høyere andel av sysselsettingen blant kvinner enn blant menn. I gjennomsnitt arbeider 23 prosent av de sysselsatte i kommunal og fylkeskommunal forvaltning. Hele 38 prosent av de sysselsatte kvinnene befinner seg i kommunal og fylkeskommunal forvaltning, mens tilsvarende tall for menn bare er på 11 prosent.
Samlet sett står offentlig forvaltning for 29 prosent av antall sysselsatte i alt, 43 prosent av sysselsatte kvinner og 17 prosent av sysselsatte menn.
Sysselsettingsfordelingen går også frem av figur 10.1

Figur 10.1 Antall sysselsatte fordelt på sektor* og kjønn. 4. kvartal 1997
* Om lag 12 500 selvstendige som også har deltidsjobb er her oppført som arbeidstakere
10.2.3 Sysselsetting fordelt etter kommunestørrelse
I tabell 10.4 ser vi på hvordan sysselsettingen varierer i forhold til kommunestørrelse.
Tabell 10.4: Sysselsatte og innbygger fordelt etter kjønn og sysselsatte i prosent av antall innbyggere 16-74 år etter bostedskommune. 4. Kvartal 1997
| Sysselsatte fordelt på kjønn | Innbyggere 16-74 år fordelt på kjønn | Antall sysselsatte i pst av antall innbyggere 16-74 år | |||||||
| Kommunestørrelse | I alt | Menn | Kvinner | I alt | Menn | Kvinner | I alt | Menn | Kvinner |
| Under 3 000 innb | 100,0 | 56,1 | 43,9 | 100,0 | 52,1 | 47,9 | 63,1 | 67,9 | 57,8 |
| 3 000-5 000 innb | 100,0 | 55,8 | 44,2 | 100,0 | 51,5 | 48,5 | 63,7 | 68,9 | 58,1 |
| 5 000-10 000 innb | 100,0 | 55,4 | 44,6 | 100,0 | 51,1 | 48,9 | 64,5 | 69,9 | 58,9 |
| 10 000-20 000 innb | 100,0 | 54,8 | 45,2 | 100,0 | 50,6 | 49,4 | 65,3 | 70,7 | 59,8 |
| 20 000-50 000 innb | 100,0 | 53,9 | 46,1 | 100,0 | 49,9 | 50,1 | 64,5 | 69,7 | 59,3 |
| Over 50 000 innb | 100,0 | 52,4 | 47,6 | 100,0 | 49,4 | 50,6 | 64,8 | 68,8 | 60,9 |
| Hele landet | 100,0 | 54,1 | 45,9 | 100,0 | 50,3 | 49,7 | 64,6 | 69,5 | 59,7 |
Vi ser av tabellen at andel sysselsatte kvinner øker med hensyn til kommunestørrelse. I kommuner med under 3 000 innbyggere utgjør kvinner 43.9 prosent av de sysselsatte, mens tilsvarende tall for kommuner med over 50 000 innbyggere er 47,6 prosent. Dette skyldes både at kvinnene i de store kommunene utgjør en større del av den yrkesaktive befolkningen i disse kommunene og at en større andel av kvinnene i yrkesaktiv alder er sysselsatt enn det som er tilfelle i de mindre kommunene.
Vi ser at antall sysselsatte utgjør 64,6 prosent av innbyggerne mellom 16 og 74 år, fordelt på 69,5 prosent av mennene og 59,7 prosent av kvinnene. For sysselsatte i alt varierer sysselsettingsprosenten fra 63,1 prosent i kommuner med under 3 000 innbyggere, til 65,3 prosent i kommuner med mellom 10 000 og 20 000 innbyggere. Det er den høye sysselsettingsprosenten blant menn i kommuner med mellom 10 000 og 20 000 innbyggere som gjør at denne kommunegruppen kommer ut med høyest sysselsettingsprosent samlet sett.
Tabell 10.5 viser hvordan sysselsettingen fordeler seg på ulike sektorer innenfor hver størrelsesgruppe.
Tabell 10.5: Sysselsatte menn og kvinner i prosent av samtlige sysselsatte menn og kvinner gruppert etter kommunestørrelse*
Kommuner | Fylkeskommuner | Stat | Andre sektorer | Selvstendige | ||||||
| Menn | Kvinner | Menn | Kvinner | Menn | Kvinner | Menn | Kvinner | Menn | Kvinner | |
| Under 3 000 innb | 11,0 | 45,0 | 1,8 | 4,4 | 5,4 | 3,1 | 60,4 | 38,7 | 21,5 | 8,8 |
| 3 000-5 000 innb | 8,7 | 37,9 | 2,1 | 5,2 | 6,0 | 3,7 | 65,7 | 46,1 | 17,5 | 7,1 |
| 5 000-10 000 innb | 7,9 | 33,5 | 3,0 | 7,3 | 5,6 | 3,8 | 70,3 | 49,6 | 13,3 | 5,7 |
| 10 000-20 000 innb | 7,1 | 29,6 | 3,1 | 8,8 | 6,4 | 4,8 | 73,2 | 52,2 | 10,2 | 4,6 |
| 20 000-50 000 innb | 7,0 | 26,4 | 3,8 | 11,1 | 6,3 | 5,1 | 75,0 | 53,8 | 7,9 | 3,7 |
| Over 50 000 innb | 7,4 | 24,2 | 2,8 | 8,0 | 8,7 | 8,8 | 74,2 | 55,9 | 6,9 | 3,1 |
| Hele landet | 7,7 | 29,2 | 3,0 | 8,3 | 6,8 | 5,8 | 72,1 | 52,1 | 10,4 | 4,5 |
* Om lag 12 500 selvstendige som også har deltidsjobb er her oppført som arbeidstakere
Vi ser av tabell 10.5 at kommuneforvaltningen og selvstendige har størst andel sysselsatte i mindre kommuner, mens de andre sektorene har størst sysselsettingsandeler i de største kommunene.
Kommuneforvaltningen sysselsetter en særlig høy andel kvinner i de mindre kommunene. Mens 29,2 prosent av sysselsatte kvinner arbeider i kommuneforvaltningen på landsbasis, har 45,0 prosent av sysselsatte kvinner bosatt i kommuner med under 3 000 innbyggere og 37,9 prosent i kommuner med mellom 3 000 og 5 000 innbyggere arbeid i kommuneforvaltningen.

Figur 10.2 Sysselsatte kvinner i prosent av sysselsatte i alt fordelt på sektor og kommunestørrelse.
Kommuneforvaltningen skiller seg også ut fra de andre sektorene når det gjelder det forholdet at kvinnene utgjør en større del av sysselsettingen i store kommuner enn i små. Vi ser av figur 10.2 at kvinneandelen øker med kommunestørrelse i alle sektorer unntatt kommuneforvaltningen. Det betyr at kjønnsfordelingen blant kommuneansatte er upåvirket av kommunestørrelse.
10.2.4 Arbeidstakere fordelt på heltid/deltid
I dette avsnittet ser vi på omfanget av bruk av deltid i de forskjellige sektorer. Deltid defineres som ukentlig arbeidstid på 29 timer eller mindre. Vi har ikke arbeidstidsopplysninger på selvstendige, slik at de er holdt utenom.
Tabell 10.6 Arbeidstakere fordelt på kjønn og heltid/deltid
Arbeidstakere i alt | Herav arbeidstakere deltid | Andel deltid | |||||||
| I alt | Menn | Kvinner | I alt | Menn | Kvinner | I alt | Menn | Kvinner | |
| Kommuner | 357 189 | 84 300 | 272 889 | 160 747 | 18 082 | 142 665 | 45,0 | 21,4 | 52,3 |
| Fylkeskommuner | 110 693 | 32 752 | 77 941 | 40 117 | 5 100 | 35 017 | 36,2 | 15,6 | 44,9 |
| Stat | 129 937 | 75 335 | 54 602 | 13 933 | 3 422 | 10 511 | 10,7 | 4,5 | 19,3 |
| Andre sektorer | 1 281 451 | 794 074 | 487 377 | 282 745 | 83 708 | 199 037 | 22,1 | 10,5 | 40,8 |
| I alt | 1 879 270 | 986 461 | 892 809 | 497 542 | 110 312 | 387 230 | 26,5 | 11,2 | 43,4 |
I tabell 10.6 ser vi hvordan bruken av deltid fordeler seg på kjønn og sektor. Av tabellen ser vi at deltid er vesentlig mer utbredt blant kvinner enn blant menn. Blant de kvinnelige arbeidstakerne er det 43,4 prosent som arbeider deltid, mens deltidsandelen blant menn er 11,2 prosent. Bruken av deltid er størst i kommunal forvaltning, med 52,3 prosent blant kvinner og 21,4 prosent blant menn. Det er dobbelt så mye bruk av deltid blant menn i kommunal forvaltning enn utenom forvaltningen. Deltidsbruken er særlig lav i statlig forvaltning, der bruk av deltid ligger godt under halvparten av gjennomsnittet for arbeidstakere i alt.
Tabell 10.7 Andel arbeidstakere på deltid etter kjønn, sektor
og kommunestørrelse.
4. kvartal 1997
Kommuner | Fylkeskommuner | Stat | Andre sektorer | Hele landet | |||||||
| Menn | Kvinner | Menn | Kvinner | Menn | Kvinner | Menn | Kvinner | Menn | Kvinner | I alt | |
| Under 3 000 innb | 19,8 | 57,9 | 20,8 | 50,6 | 5,5 | 35,4 | 14,2 | 53,6 | 14,6 | 54,9 | 33,8 |
| 3 000-5 000 innb | 20,5 | 58,0 | 17,0 | 50,3 | 4,3 | 26,1 | 11,4 | 50,2 | 11,9 | 52,5 | 31,1 |
| 5 000-10 000 innb | 19,1 | 57,0 | 13,3 | 45,4 | 4,3 | 24,1 | 10,0 | 47,6 | 10,6 | 49,8 | 28,9 |
| 10 000-20 000 innb | 20,2 | 54,4 | 14,4 | 49,4 | 3,7 | 20,9 | 9,8 | 45,0 | 10,3 | 47,1 | 27,5 |
| 20 000-50 000 innb | 20,9 | 54,1 | 13,2 | 44,4 | 3,9 | 19,6 | 9,7 | 42,1 | 10,3 | 44,4 | 26,4 |
| Over 50 000 innb | 24,7 | 42,5 | 19,0 | 41,0 | 5,3 | 16,0 | 11,1 | 31,7 | 11,9 | 33,7 | 22,5 |
| Hele landet | 21,4 | 52,3 | 15,6 | 44,9 | 4,5 | 19,3 | 10,5 | 40,8 | 11,2 | 43,4 | 26,5 |
Av tabell 10.7 fremgår det at deltidsbruken er større blant arbeidstakere bosatt i små kommuner enn i store. Tendensen til mindre bruk av deltid i større kommuner opptrer først og fremst blant kvinner, og gjelder alle sektorer. Dermed er både sysselsettingsprosenten (jfr tab 10.4) og arbeidstiden blant kvinner i de større kommunene høyere enn i mindre kommuner. Det er også verdt å merke seg at deltidsbruken blant menn i kommuner med over 50 000 innbyggere ligger over gjennomsnittet i alle sektorer.
Fotnoter
1 PAI er en forkortelse for Personaladministrativt informasjonssystem. STS er Statens tjenestemannsregister for skoleverket.
Lagt inn 2. juli 1999 av Statens forvaltningstjeneste, ODIN-redaksjonenVedlegg 1
Tabeller over inntekter og utgifter i
kommuneforvaltningen
Tabell 1.1 Inntekter og utgifter i kommuneforvaltningen i alt.
1996-1999
Millioner kroner og endringer i prosent
Regnskap | Anslag | Endring i prosent | ||||||
| 1996 | 1997 | 1998 | 1999 | 96/97 | 97/98 | 98/99 | ||
| A. Inntekter i alt (B+C) | 182448 | 193915 | 205720 | 215941 | 6,3 | 6,1 | 5,0 | |
| B. Løpende inntekter | 179808 | 192540 | 203384 | 214115 | 7,1 | 5,6 | 5,3 | |
| Gebyrer | 25044 | 27086 | 28501 | 30526 | 8,2 | 5,2 | 7,1 | |
| Renter og utbytte | 3131 | 3937 | 4511 | 4561 | 25,7 | 14,6 | 1,1 | |
| Skatter i alt | 80747 | 85185 | 88649 | 89540 | 5,5 | 4,1 | 1,0 | |
| Produksjonsskatter | 3560 | 3396 | 3207 | 3345 | -4,6 | -5,6 | 4,3 | |
| Eiendomsskatt | 3034 | 2842 | 2741 | 2860 | -6,3 | -3,6 | 4,3 | |
| Andre produksjonsskatter | 526 | 554 | 466 | 485 | 5,3 | -15,9 | 4,1 | |
| Skatt på inntekt og formue | 77187 | 81789 | 85442 | 86195 | 6,0 | 4,5 | 0,9 | |
| Overføringer fra staten | 68773 | 73918 | 78598 | 86313 | 7,5 | 6,3 | 9,8 | |
| Rammeoverføringer | 42700 | 46242 | 46699 | 49031 | 8,3 | 1,0 | 5,0 | |
| Andre overføringer | 26073 | 27676 | 31899 | 37282 | 6,1 | 15,3 | 16,9 | |
| Andre innenlandske løpende overføringer | 2113 | 2414 | 3125 | 3175 | 14,2 | 29,5 | 1,6 | |
| C. Kapitalinntekter | 2640 | 1375 | 2336 | 1826 | -47,9 | 69,9 | -21,8 | |
| Salg av fast realkapital | 1660 | 313 | 614 | 626 | -81,1 | 96,2 | 2,0 | |
| Salg av fast eiendom | 980 | 1062 | 1722 | 1200 | 8,4 | 62,1 | -30,3 | |
| D. Utgifter i alt (E+F) | 183416 | 195721 | 210704 | 219506 | 6,7 | 7,7 | 4,2 | |
| E. Løpende utgifter | 164351 | 172014 | 186006 | 194386 | 4,7 | 8,1 | 4,5 | |
| Lønnskostnader | 100088 | 106166 | 116312 | 122184 | 6,1 | 9,6 | 5,0 | |
| Produktinnsats | 35558 | 38073 | 40540 | 41868 | 7,1 | 6,5 | 3,3 | |
| Produktkjøp til husholdninger | 3045 | 3231 | 3451 | 3590 | 6,1 | 6,8 | 4,0 | |
| Renter | 5125 | 4352 | 4758 | 5508 | -15,1 | 9,3 | 15,8 | |
| Overføringer til private | 19065 | 19412 | 20092 | 20856 | 1,8 | 3,5 | 3,8 | |
| Produksjonssubsidier | 4770 | 4316 | 4592 | 4730 | -9,5 | 6,4 | 3,0 | |
| Stønader til husholdninger | 6636 | 6850 | 6440 | 6700 | 3,2 | -6,0 | 4,0 | |
| Sosialhjelpsstønader | 4509 | 4197 | 3952 | 4111 | -6,9 | -5,8 | 4,0 | |
| Andre stønader til husholdninger | 2127 | 2653 | 2488 | 2588 | 24,7 | -6,2 | 4,0 | |
| Ideelle organisasjoner | 7659 | 8246 | 9060 | 9426 | 7,7 | 9,9 | 4,0 | |
| Overføringer til staten | 1674 | 1634 | 1505 | 981 | -2,4 | -7,9 | -34,8 | |
| Kommunal foretningsdrift | -204 | -854 | -652 | -600 | 318,6 | -23,7 | -8,0 | |
| F. Kapitalutgifter | 19065 | 23707 | 24698 | 25120 | 24,3 | 4,2 | 1,7 | |
| Anskaffelse av fast realkapital | 18464 | 23025 | 24082 | 24540 | 24,7 | 4,6 | 1,9 | |
| Kjøp av fast eiendom | 560 | 595 | 534 | 500 | 6,3 | -10,3 | -6,4 | |
| Kapitaloverføringer til næringsvirksomhet | 41 | 87 | 82 | 80 | 112,2 | -5,7 | -2,4 | |
| G. Overskudd før lånetransaksjoner | -968 | -1806 1> | -4984 | -3565 | 86,6 | 176,0 | -28,5 | |
| Memo: Bruttoinvesteringer eksklusiv eiendom | 16804 | 22712 | 23468 | - | 35,2 | 3,3 | - | |
1> Korrigert for ekstraordinære forhold i forbindelse ved salg av Bergen Lysverker for omlag 2,8 milliarder kroner får kommuneforvaltningen et underskudd før lånetransaksjoner på nær 1 milliard kroner.
Tabell 1.2 Inntekter og utgifter i kommunene inkl. Oslo. 1996-1998. Millioner kroner og endringer i prosent.
Regnskap | Anslag | Endring i prosent | ||||
| 1996 | 1997 | 1998 | 96/97 | 97/98 | ||
| A. Inntekter i alt (B+C) | 131992 | 139741 | 148409 | 5,9 | 6,2 | |
| B. Løpende inntekter | 129391 | 138461 | 146169 | 6,6 | 5,6 | |
| Gebyrer | 23293 | 25173 | 26766 | 8,1 | 6,3 | |
| Renter og utbytte | 2740 | 3466 | 3850 | 26,5 | 11,1 | |
| Skatter i alt | 58303 | 61515 | 63703 | 5,5 | 3,6 | |
| Produksjonsskatter | 3559 | 3363 | 3130 | -5,5 | -6,9 | |
| Eiendomsskatt | 3034 | 2842 | 2741 | -6,3 | -3,6 | |
| Andre produksjonsskatter | 525 | 521 | 389 | -0,8 | -25,3 | |
| Skatt på inntekt og formue | 54744 | 58152 | 60573 | 6,2 | 4,2 | |
| Overføringer fra staten | 42231 | 45122 | 47928 | 6,8 | 6,2 | |
| Rammeoverføringer | 23668 | 27803 | 31050 | 17,5 | 11,7 | |
| Andre overføringer | 18563 | 17319 | 16878 | -6,7 | -2,5 | |
| Overføringer fra fylkeskommunen | 1097 | 1206 | 1386 | 9,9 | 14,9 | |
| Andre innenlandske løpende overføringer | 1727 | 1979 | 2536 | 14,6 | 28,1 | |
| C. Kapitalinntekter | 2601 | 1280 | 2240 | -50,8 | 75,0 | |
| Salg av fast realkapital | 1635 | 273 | 540 | -83,3 | 97,8 | |
| Salg av fast eiendom | 966 | 1007 | 1700 | 4,2 | 68,8 | |
| D. Utgifter i alt (E+F) | 132701 | 141831 | 152063 | 6,9 | 7,2 | |
| E. Løpende utgifter | 117747 | 122440 | 132296 | 4,0 | 8,0 | |
| Lønnskostnader | 72573 | 76554 | 83845 | 5,5 | 9,5 | |
| Produktinnsats | 24686 | 26631 | 28323 | 7,9 | 6,4 | |
| Produktkjøp til husholdninger | 2992 | 3185 | 3400 | 6,5 | 6,8 | |
| Renter | 4145 | 3462 | 3807 | -16,5 | 10,0 | |
| Overføringer til private | 13104 | 12910 | 13201 | -1,5 | 2,3 | |
| Produksjonssubsidier | 1980 | 1384 | 1488 | -30,1 | 7,5 | |
| Stønader til husholdninger | 6243 | 6395 | 5913 | 2,4 | -7,5 | |
| Sosialhjelpsstønader | 4491 | 4180 | 3899 | -6,9 | -6,7 | |
| Andre stønader til husholdninger | 1752 | 2215 | 2014 | 26,4 | -9,1 | |
| Ideelle organisasjoner | 4881 | 5131 | 5800 | 5,1 | 13,0 | |
| Overføringer til staten | 190 | 188 | 182 | -1,1 | -3,2 | |
| Overføringer til fylkeskommunen | 545 | 609 | 638 | 11,7 | 4,8 | |
| Kommunal foretningsdrift | -488 | -1099 | -1100 | 125,2 | 0,1 | |
| F. Kapitalutgifter | 14954 | 19391 | 19767 | 29,7 | 1,9 | |
| Anskaffelse av fast realkapital | 14383 | 18756 | 19200 | 30,4 | 2,4 | |
| Kjøp av fast eiendom | 532 | 578 | 500 | 8,6 | -13,5 | |
| Kapitaloverføringer til næringsvirksomhet | 39 | 57 | 67 | 46,2 | 17,5 | |
| G. Overskudd før lånetransaksjoner | -709 | -2090 | -3654 | 194,8 | 74,8 | |
| Memo: Bruttoinvesteringer eksklusiv eiendom | 12748 | 18483 | 18660 | 45,0 | 1,0 | |
Tabell 1.3 Inntekter og utgifter i fylkeskommunene ekskl. Oslo. 1996-1998. Millioner kroner og endring i prosent.
| Regnskap | Anslag | Endring i prosent | ||||
| 1996 | 1997 | 1998 | 96/97 | 97/98 | ||
| A. Brutto inntekter | 52098 | 55989 | 59335 | 7,5 | 6,0 | |
| B. Løpende inntekter | 52059 | 55894 | 59239 | 7,4 | 6,0 | |
| Gebyrer | 1751 | 1913 | 1735 | 9,3 | -9,3 | |
| Renter og utbytte | 391 | 471 | 661 | 20,5 | 40,3 | |
| Skatter i alt | 22444 | 23670 | 24946 | 5,5 | 5,4 | |
| Produksjonsskatter | 1 | 33 | 77 | 3200,0 | 233,0 | |
| Skatt på inntekt og formue | 22443 | 23637 | 24869 | 5,3 | 5,2 | |
| Overføringer fra staten | 26542 | 28796 | 30670 | 8,5 | 6,5 | |
| Rammeoverføringer | 19032 | 18439 | 15649 | -3,1 | -15,1 | |
| Andre overføringer | 7510 | 10357 | 15021 | 37,9 | 45,0 | |
| Overføring fra kommunene | 545 | 609 | 638 | 11,7 | 4,8 | |
| Andre innenlandske løpende overføringer | 386 | 435 | 589 | 12,7 | 35,4 | |
| C. Kapitalinntekter | 39 | 95 | 96 | 143,6 | 1,1 | |
| Salg av fast realkapital | 25 | 40 | 74 | 60,0 | 85,0 | |
| Salg av fast eiendom | 14 | 55 | 22 | 292,9 | -60,0 | |
| D. Brutto utgifter | 52357 | 55705 | 60665 | 6,4 | 8,9 | |
| E. Løpende utgifter | 48246 | 51389 | 55734 | 6,5 | 8,5 | |
| Lønnskostnader | 27515 | 29612 | 32467 | 7,6 | 9,6 | |
| Produktinnsats | 10872 | 11442 | 12217 | 5,2 | 6,8 | |
| Produktkjøp til husholdninger | 53 | 46 | 51 | -13,2 | 10,9 | |
| Renter | 980 | 890 | 951 | -9,2 | 6,9 | |
| Overføringer til private | 5961 | 6502 | 6891 | 9,1 | 6,0 | |
| Produksjonssubsidier | 2790 | 2932 | 3104 | 5,1 | 5,9 | |
| Stønader til husholdninger | 393 | 455 | 527 | 15,8 | 15,8 | |
| Sosialhjelpsstønader | 18 | 17 | 53 | -5,6 | 211,8 | |
| Andre stønader til husholdninger | 375 | 438 | 474 | 16,8 | 8,2 | |
| Ideelle organisasjoner | 2778 | 3115 | 3260 | 12,1 | 4,7 | |
| Overføringer til staten | 1484 | 1446 | 1323 | -2,6 | -8,5 | |
| Overføring til kommunene | 1097 | 1206 | 1386 | 9,9 | 14,9 | |
| Kommunal foretningsdrift | 284 | 245 | 448 | -13,7 | 82,9 | |
| F. Kapitalutgifter | 4111 | 4316 | 4931 | 5,0 | 14,2 | |
| Anskaffelse av fast realkapital | 4081 | 4269 | 4882 | 4,6 | 14,4 | |
| Kjøp av fast eiendom | 28 | 17 | 34 | -39,3 | 100,0 | |
| Kapitaloverføringer til næringsvirksomhet | 2 | 30 | 15 | 1400,0 | -50,0 | |
| G. Overskudd før lånetransaksjoner | -259 | 284 | -1330 | -209,7 | -568,3 | |
| Memo: Bruttoinvisteringer eksklusiv eiendom | 4056 | 4229 | 4808 | 4,3 | 13,7 | |
Vedlegg 2a
Inntekter og utgifter etter kommuneregnskapets
definisjoner
Tabell 2.1 Hovedtall for drift, investering og finansiering
KOMMUNER OG FYLKESKOMMUNER
Millioner kroner og endring i prosent
| 1994 | 1995 | 1996 | 1997 | 1998 | 94/95 | 95/96 | 96/97 | 97/98 | ||||
| DRIFT | ||||||||||||
| 1. Driftsinntekter | 173141 | 178195 | 186717 | 199186 | 211637 | 2.9 | 4.8 | 6.7 | 6.3 | |||
| 2. Driftsutgifter | 155702 | 164085 | 173493 | 183865 | 200624 | 5.4 | 5.7 | 6.0 | 9.1 | |||
| 3. Br dr.res (1-2) | 17439 | 14110 | 13224 | 15321 | 11013 | |||||||
| 4. Nto renteutg | 3622 | 2826 | 2159 | 302 | 399 | -22.0 | -23.6 | -86.0 | 32.1 | |||
| 5. Nto avdrag | 5016 | 5494 | 5576 | 5930 | 6499 | 9.5 | 1.5 | 6.4 | 9.6 | |||
| 5a. Herav netto avsetning | 356 | 462 | 140 | -125 | ||||||||
| avdragsfond | ||||||||||||
| 6. Nto dr.res (3-4-5) | 8801 | 5790 | 5490 | 9088 | 4115 | |||||||
| INVESTERINGER | ||||||||||||
| 7. Brutto invest.utg | 13604 | 15230 | 16361 | 22387 | 23795 | 12.0 | 7.4 | 36.8 | 6.3 | |||
| Herav fast eiendom, inventar og utstyr | 12736 | 14536 | 15941 | 21219 | 14.1 | 9.7 | 33.1 | |||||
| 8. Tilskudd, refusjon, | 4016 | 3561 | 8043 | 5364 | 6772 | -11.3 | 125.9 | -33.3 | 26.2 | |||
| salg fast eiendom | ||||||||||||
| FINANSIERING | ||||||||||||
| 9. Oversk før lån | 4229 | -385 | 2747 | -2005 | -6409 | |||||||
| (3-4-7+8) | ||||||||||||
| 10. Bruk av lån nto | 5366 | 6978 | 5871 | 9660 | 9260 | 30.0 | -15.9 | 64.5 | -4.1 | |||
| 11. Nto anskaffelse | 4935 | 1561 | 3182 | 1601 | -3648 | |||||||
| midler (10+8+6-7+5a) | ||||||||||||
| NØKKELTALL | ||||||||||||
| Br dr.res i % av innt | 10.1 | 7.9 | 7.1 | 7.7 | 5.2 | |||||||
| Renter/avdr i % av innt | 5.0 | 4.7 | 4.1 | 3.1 | 3.3 | |||||||
| Nto dr.res i % av innt | 5.1 | 3.2 | 2.9 | 4.6 | 1.9 | |||||||
| Br.invest i % av innt | 7.9 | 8.5 | 8.8 | 11.2 | 11.2 | |||||||
| Oversk i % av innt | 2.4 | -0.2 | 1.5 | -1.0 | -3.0 | |||||||
| Lån i % av br.invest | 39.4 | 45.8 | 35.9 | 43.2 | 38.9 | |||||||
Tabell 2.2 Hovedtall for drift, investering og finansiering 1>
KOMMUNENE UTENOM OSLO
Millioner kroner og endring i prosent
| 1994 | 1995 | 1996 | 1997 | 1998 | 94/95 | 95/96 | 96/97 | 97/98 | ||||
| DRIFT | ||||||||||||
| 1. Driftsinntekter | 99267 | 101807 | 107100 | 113682 | 120975 | 2.6 | 5.2 | 6.1 | 6.4 | |||
| 2. Driftsutgifter | 88485 | 93236 | 98553 | 104002 | 113916 | 5.4 | 5.7 | 5.5 | 9.5 | |||
| 3. Br dr.res (1-2) | 10782 | 8571 | 8547 | 9680 | 7059 | |||||||
| 4. Nto renteutg | 2511 | 1988 | 1546 | 168 | 567 | -20.8 | -22.2 | -89.1 | 237.3 | |||
| 5. Nto avdrag | 3410 | 3745 | 3738 | 3949 | 4305 | 9.8 | -0.2 | 5.6 | 9.0 | |||
| 5a. Herav netto avsetning | 242 | 329 | 200 | -207 | ||||||||
| avdragsfond | ||||||||||||
| 6. Nto dr.res (3-4-5) | 4861 | 2838 | 3263 | 5563 | 2187 | |||||||
| INVESTERINGER | ||||||||||||
| 7. Brutto invest.utg | 9293 | 10283 | 11354 | 16469 | 16565 | 10.7 | 10.4 | 45.1 | 0.6 | |||
| Herav fast eiendom, inventar og utstyr | 8721 | 10000 | 11116 | 15590 | 14.7 | 11.2 | 40.2 | |||||
| 8. Tilskudd, refusjon, | 2938 | 2478 | 6983 | 4255 | 4736 | -15.7 | 181.8 | -39.1 | 11.3 | |||
| salg fast eiendom | ||||||||||||
| FINANSIERING | ||||||||||||
| 9. Oversk før lån | 1916 | -1222 | 2630 | -2702 | -5337 | |||||||
| (3-4-7+8) | ||||||||||||
| 10. Bruk av lån nto | 3448 | 4907 | 3879 | 6801 | 7759 | 42.3 | -20.9 | 75.3 | 14.1 | |||
| 11. Nto anskaffelse | 2196 | 269 | 2971 | -57 | -1883 | |||||||
| midler (10+8+6-7+5a) | ||||||||||||
| NØKKELTALL | ||||||||||||
| Br dr.res i % av innt | 10.9 | 8.4 | 8.0 | 8.5 | 5.8 | |||||||
| Renter/avdr i % av innt | 6.0 | 5.6 | 4.9 | 3.6 | 4.0 | |||||||
| Nto dr.res i % av innt | 4.9 | 2.8 | 3.0 | 4.9 | 1.8 | |||||||
| Br.invest i % av innt | 9.4 | 10.1 | 10.6 | 14.5 | 13.7 | |||||||
| Oversk i % av innt | 1.9 | -1.2 | 2.5 | -2.4 | -4.4 | |||||||
| Lån i % av br.invest | 37.1 | 47.7 | 34.2 | 41.3 | 46.8 | |||||||
Tabell 2.3 Hovedtall for drift, investering og finansiering
OSLO
Millioner kroner og endring i prosent
| 1994 | 1995 | 1996 | 1997 | 1998 | 94/95 | 95/96 | 96/97 | 97/98 | ||||
| DRIFT | ||||||||||||
| 1. Driftsinntekter | 23471 | 23451 | 24263 | 26057 | 27642 | -0.1 | 3.5 | 7.4 | 6.1 | |||
| 2. Driftsutgifter | 20055 | 21590 | 22587 | 23866 | 25927 | 7.7 | 4.6 | 5.7 | 8.6 | |||
| 3. Br dr.res (1-2) | 3416 | 1861 | 1676 | 2191 | 1715 | |||||||
| 4. Nto renteutg | 295 | 131 | 20 | -288 | -441 | -55.6 | -84.7 | |||||
| 5. Nto avdrag | 397 | 393 | 441 | 459 | 474 | -1.0 | 12.2 | 4.2 | 3.2 | |||
| 5a. Herav netto avsetning | 0 | 0 | 0 | 0 | ||||||||
| avdragsfond | ||||||||||||
| 6. Nto dr.res (3-4-5) | 2724 | 1337 | 1216 | 2019 | 1681 | |||||||
| INVESTERINGER | ||||||||||||
| 7. Brutto invest.utg | 1549 | 1762 | 1606 | 2293 | 2797 | 13.8 | -8.9 | 42.7 | 22.0 | |||
| Herav fast eiendom, inventar og utstyr | 1363 | 1534 | 1572 | 2266 | 12.5 | 2.5 | 44.1 | |||||
| 8. Tilskudd, refusjon, | 410 | 431 | 620 | 481 | 1321 | 5.1 | 43.9 | -22.4 | 174.7 | |||
| salg fast eiendom | ||||||||||||
| FINANSIERING | ||||||||||||
| 9. Oversk før lån | 1982 | 399 | 670 | 667 | 679 | |||||||
| (3-4-7+8) | ||||||||||||
| 10. Bruk av lån nto | 298 | 114 | 333 | 760 | -389 | -61.7 | 191.9 | 128.3 | -151.2 | |||
| 11. Nto anskaffelse | 1883 | 120 | 562 | 967 | -184 | |||||||
| midler (10+8+6-7+5a) | ||||||||||||
| NØKKELTALL | ||||||||||||
| Br dr.res i % av innt | 14.6 | 7.9 | 6.9 | 8.4 | 6.2 | |||||||
| Renter/avdr i % av innt | 2.9 | 2.2 | 1.9 | 0.7 | 0.1 | |||||||
| Nto dr.res i % av innt | 11.6 | 5.7 | 5.0 | 7.7 | 6.1 | |||||||
| Br.invest i % av innt | 6.6 | 7.5 | 6.6 | 8.8 | 10.1 | |||||||
| Oversk i % av innt | 8.4 | 1.7 | 2.8 | 2.6 | 2.5 | |||||||
| Lån i % av br.invest | 19.2 | 6.5 | 20.7 | 33.1 | -13.9 | |||||||
Tabell 2.4 Hovedtall for drift, investering og finansiering
FYLKESKOMMUNENE
Millioner kroner og endring i prosent
| 1994 | 1995 | 1996 | 1997 | 94/95 | 95/96 | 96/97 | 97/98 | |||||
| DRIFT | ||||||||||||
| 1. Driftsinntekter | 50403 | 52937 | 55354 | 59447 | 63019 | 5.0 | 4.6 | 7.4 | 6.0 | |||
| 2. Driftsutgifter | 47162 | 49259 | 52353 | 55997 | 60780 | 4.4 | 6.3 | 7.0 | 8.5 | |||
| 3. Br dr.res (1-2) | 3241 | 3678 | 3001 | 3450 | 2239 | |||||||
| 4. Nto renteutg | 816 | 707 | 593 | 422 | 273 | -13.4 | -16.1 | -28.8 | -35.3 | |||
| 5. Nto avdrag | 1209 | 1356 | 1397 | 1522 | 1720 | 12.2 | 3.0 | 9.0 | 13.0 | |||
| 5a. Herav netto avsetning | 114 | 133 | -60 | 83 | ||||||||
| avdragsfond | ||||||||||||
| 6. Nto dr.res (3-4-5) | 1216 | 1615 | 1011 | 1506 | 247 | |||||||
| INVESTERINGER | ||||||||||||
| 7. Brutto invest.utg | 2762 | 3185 | 3401 | 3626 | 4433 | 15.3 | 6.8 | 6.6 | 22.3 | |||
| Herav fast eiend, invent og utstyr | 2652 | 3002 | 3253 | 3364 | 13.2 | 8.4 | 3.4 | |||||
| 8. Tilskudd, refusjon, | 668 | 652 | 440 | 628 | 715 | -2.4 | -32.5 | 42.8 | 13.8 | |||
| salg fast eiendom | ||||||||||||
| FINANSIERING | ||||||||||||
| 9. Oversk før lån | 331 | 438 | -553 | 30 | -1752 | |||||||
| (3-4-7+8) | ||||||||||||
| 10. Bruk av lån nto | 1620 | 1957 | 1659 | 2099 | 1890 | 20.8 | -15.2 | 26.5 | -10.0 | |||
| 11. Nto anskaffelse | 856 | 1172 | -351 | 690 | -1581 | |||||||
| midler (10+8+6-7+5a) | ||||||||||||
| NØKKELTALL | ||||||||||||
| Br dr.res i % av innt | 6.4 | 6.9 | 5.4 | 5.8 | 3.6 | |||||||
| Renter/avdr i % av innt | 4.0 | 3.9 | 3.6 | 3.3 | 3.2 | |||||||
| Nto dr.res i % av innt | 2.4 | 3.1 | 1.8 | 2.5 | 0.4 | |||||||
| Br.invest i % av innt | 5.5 | 6.0 | 6.1 | 6.1 | 7.0 | |||||||
| Oversk i % av innt | 0.7 | 0.8 | -1.0 | 0.1 | -2.8 | |||||||
| Lån i % av br.invest | 58.7 | 61.4 | 48.8 | 57.9 | 42.6 | |||||||
Vedlegg 2b
Inntekter og utgifter etter kommuneregnskapets
definisjoner
Tabell 2.1 Hovedtall for drift, investering og finansiering
KOMMUNER OG FYLKESKOMMUNER
Mill kr og endring i prosent
| 1994 | 1995 | 1996 | 1997 | 1998 | 94/95 | 95/96 | 96/97 | 97/98 | ||||
| DRIFT | ||||||||||||
| 1. Driftsinntekter | 173141 | 178195 | 186717 | 199186 | 211637 | 2.9 | 4.8 | 6.7 | 6.3 | |||
| 2. Driftsutgifter | 155702 | 164085 | 173493 | 183865 | 200624 | 5.4 | 5.7 | 6.0 | 9.1 | |||
| 3. Br dr.res (1-2) | 17439 | 14110 | 13224 | 15321 | 11013 | |||||||
| 4. Nto renteutg | 3622 | 2826 | 2159 | 302 | 399 | -22.0 | -23.6 | -86.0 | 32.1 | |||
| 5. Nto avdrag | 5016 | 5494 | 5576 | 5930 | 6499 | 9.5 | 1.5 | 6.4 | 9.6 | |||
| 5a. Herav netto avsetning | 356 | 462 | 140 | -125 | ||||||||
| avdragsfond | ||||||||||||
| 6. Nto dr.res (3-4-5) | 8801 | 5790 | 5490 | 9088 | 4115 | |||||||
| INVESTERINGER | ||||||||||||
| 7. Brutto invest.utg | 13604 | 15230 | 16361 | 22387 | 23795 | 12.0 | 7.4 | 36.8 | 6.3 | |||
| Herav fast eiendom, inventar og utstyr | 12736 | 14536 | 15941 | 21219 | 14.1 | 9.7 | 33.1 | |||||
| 8. Tilskudd, refusjon, salg fast eiendom | 4016 | 3561 | 8043 | 5364 | 6772 | -11.3 | 125.9 | -33.3 | 26.2 | |||
| FINANSIERING | ||||||||||||
| 9. Oversk før lån | 4229 | -385 | 2747 | -2005 | -6409 | |||||||
| (3-4-7+8) | ||||||||||||
| 10. Bruk av lån nto | 5366 | 6978 | 5871 | 9660 | 9260 | 30.0 | -15.9 | 64.5 | -4.1 | |||
| 11. Nto anskaffelse | 4935 | 1561 | 3182 | 1601 | -3648 | |||||||
| midler (10+8+6-7+5a) | ||||||||||||
| NØKKELTALL | ||||||||||||
| Br dr.res i % av innt | 10.1 | 7.9 | 7.1 | 7.7 | 5.2 | |||||||
| Renter/avdr i % av innt | 5.0 | 4.7 | 4.1 | 3.1 | 3.3 | |||||||
| Nto dr.res i % av innt | 5.1 | 3.2 | 2.9 | 4.6 | 1.9 | |||||||
| Br.invest i % av innt | 7.9 | 8.5 | 8.8 | 11.2 | 11.2 | |||||||
| Oversk i % av innt | 2.4 | -0.2 | 1.5 | -1.0 | -3.0 | |||||||
| Lån i % av br.invest | 39.4 | 45.8 | 35.9 | 43.2 | 38.9 | |||||||
Tabell 2.2 Hovedtall for drift, investering og finansiering
KOMMUNENE UTENOM OSLO
Mill kr og endring i prosent
| 1994 | 1995 | 1996 | 1997 | 1998 | 94/95 | 95/96 | 96/97 | 97/98 | ||||
| DRIFT | ||||||||||||
| 1. Driftsinntekter | 99267 | 101807 | 107100 | 113682 | 120975 | 2.6 | 5.2 | 6.1 | 6.4 | |||
| 2. Driftsutgifter | 88485 | 93236 | 98553 | 104002 | 113916 | 5.4 | 5.7 | 5.5 | 9.5 | |||
| 3. Br dr.res (1-2) | 10782 | 8571 | 8547 | 9680 | 7059 | |||||||
| 4. Nto renteutg | 2511 | 1988 | 1546 | 168 | 567 | -20.8 | -22.2 | -89.1 | 237.3 | |||
| 5. Nto avdrag | 3410 | 3745 | 3738 | 3949 | 4305 | 9.8 | -0.2 | 5.6 | 9.0 | |||
| 5a. Herav netto avsetning | 242 | 329 | 200 | -207 | ||||||||
| avdragsfond | ||||||||||||
| 6. Nto dr.res (3-4-5) | 4861 | 2838 | 3263 | 5563 | 2187 | |||||||
| INVESTERINGER | ||||||||||||
| 7. Brutto invest.utg | 9293 | 10283 | 11354 | 16469 | 16565 | 10.7 | 10.4 | 45.1 | 0.6 | |||
| Herav fast eiendom, inventar og utstyr | 8721 | 10000 | 11116 | 15590 | 14.7 | 11.2 | 40.2 | |||||
| 8. Tilskudd, refusjon, | 2938 | 2478 | 6983 | 4255 | 4736 | -15.7 | 181.8 | -39.1 | 11.3 | |||
| salg fast eiendom | ||||||||||||
| FINANSIERING | ||||||||||||
| 9. Oversk før lån | 1916 | -1222 | 2630 | -2702 | -5337 | |||||||
| (3-4-7+8) | ||||||||||||
| 10. Bruk av lån nto | 3448 | 4907 | 3879 | 6801 | 7759 | 42.3 | -20.9 | 75.3 | 14.1 | |||
| 11. Nto anskaffelse | 2196 | 269 | 2971 | -57 | -1883 | |||||||
| midler (10+8+6-7+5a) | ||||||||||||
| NØKKELTALL | ||||||||||||
| Br dr.res i % av innt | 10.9 | 8.4 | 8.0 | 8.5 | 5.8 | |||||||
| Renter/avdr i % av innt | 6.0 | 5.6 | 4.9 | 3.6 | 4.0 | |||||||
| Nto dr.res i % av innt | 4.9 | 2.8 | 3.0 | 4.9 | 1.8 | |||||||
| Br.invest i % av innt | 9.4 | 10.1 | 10.6 | 14.5 | 13.7 | |||||||
| Oversk i % av innt | 1.9 | -1.2 | 2.5 | -2.4 | -4.4 | |||||||
| Lån i % av br.invest | 37.1 | 47.7 | 34.2 | 41.3 | 46.8 | |||||||
Tabell 2.3 Hovedtall for drift, investering og finansiering
OSLO
Mill kr og endring i prosent
| 1994 | 1995 | 1996 | 1997 | 1998 | 94/95 | 95/96 | 96/97 | 97/98 | ||||
| DRIFT | ||||||||||||
| 1. Driftsinntekter | 23471 | 23451 | 24263 | 26057 | 27642 | -0.1 | 3.5 | 7.4 | 6.1 | |||
| 2. Driftsutgifter | 20055 | 21590 | 22587 | 23866 | 25927 | 7.7 | 4.6 | 5.7 | 8.6 | |||
| 3. Br dr.res (1-2) | 3416 | 1861 | 1676 | 2191 | 1715 | |||||||
| 4. Nto renteutg | 295 | 131 | 20 | -288 | -441 | -55.6 | -84.7 | |||||
| 5. Nto avdrag | 397 | 393 | 441 | 459 | 474 | -1.0 | 12.2 | 4.2 | 3.2 | |||
| 5a. Herav netto avsetning | 0 | 0 | 0 | 0 | ||||||||
| avdragsfond | ||||||||||||
| 6. Nto dr.res (3-4-5) | 2724 | 1337 | 1216 | 2019 | 1681 | |||||||
| INVESTERINGER | ||||||||||||
| 7. Brutto invest.utg | 1549 | 1762 | 1606 | 2293 | 2797 | 13.8 | -8.9 | 42.7 | 22.0 | |||
| Herav fast eiendom, inventar og utstyr | 1363 | 1534 | 1572 | 2266 | 12.5 | 2.5 | 44.1 | |||||
| 8. Tilskudd, refusjon, | 410 | 431 | 620 | 481 | 1321 | 5.1 | 43.9 | -22.4 | 174.7 | |||
| salg fast eiendom | ||||||||||||
| FINANSIERING | ||||||||||||
| 9. Oversk før lån | 1982 | 399 | 670 | 667 | 679 | |||||||
| (3-4-7+8) | ||||||||||||
| 10. Bruk av lån nto | 298 | 114 | 333 | 760 | -389 | -61.7 | 191.9 | 128.3 | -151.2 | |||
| 11. Nto anskaffelse | 1883 | 120 | 562 | 967 | -184 | |||||||
| midler (10+8+6-7+5a) | ||||||||||||
| NØKKELTALL | ||||||||||||
| Br dr.res i % av innt | 14.6 | 7.9 | 6.9 | 8.4 | 6.2 | |||||||
| Renter/avdr i % av innt | 2.9 | 2.2 | 1.9 | 0.7 | 0.1 | |||||||
| Nto dr.res i % av innt | 11.6 | 5.7 | 5.0 | 7.7 | 6.1 | |||||||
| Br.invest i % av innt | 6.6 | 7.5 | 6.6 | 8.8 | 10.1 | |||||||
| Oversk i % av innt | 8.4 | 1.7 | 2.8 | 2.6 | 2.5 | |||||||
| Lån i % av br.invest | 19.2 | 6.5 | 20.7 | 33.1 | -13.9 | |||||||
Tabell 2.4 Hovedtall for drift, investering og finansiering
FYLKESKOMMUNENE
Mill kr og endring i prosent
| 1994 | 1995 | 1996 | 1997 | 94/95 | 95/96 | 96/97 | 97/98 | |||||
| DRIFT | ||||||||||||
| 1. Driftsinntekter | 50403 | 52937 | 55354 | 59447 | 63019 | 5.0 | 4.6 | 7.4 | 6.0 | |||
| 2. Driftsutgifter | 47162 | 49259 | 52353 | 55997 | 60780 | 4.4 | 6.3 | 7.0 | 8.5 | |||
| 3. Br dr.res (1-2) | 3241 | 3678 | 3001 | 3450 | 2239 | |||||||
| 4. Nto renteutg | 816 | 707 | 593 | 422 | 273 | -13.4 | -16.1 | -28.8 | -35.3 | |||
| 5. Nto avdrag | 1209 | 1356 | 1397 | 1522 | 1720 | 12.2 | 3.0 | 9.0 | 13.0 | |||
| 5a. Herav netto avsetning | 114 | 133 | -60 | 83 | ||||||||
| avdragsfond | ||||||||||||
| 6. Nto dr.res (3-4-5) | 1216 | 1615 | 1011 | 1506 | 247 | |||||||
| INVESTERINGER | ||||||||||||
| 7. Brutto invest.utg | 2762 | 3185 | 3401 | 3626 | 4433 | 15.3 | 6.8 | 6.6 | 22.3 | |||
| Herav fast eiend, invent og utstyr | 2652 | 3002 | 3253 | 3364 | 13.2 | 8.4 | 3.4 | |||||
| 8. Tilskudd, refusjon, | 668 | 652 | 440 | 628 | 715 | -2.4 | -32.5 | 42.8 | 13.8 | |||
| salg fast eiendom | ||||||||||||
| FINANSIERING | ||||||||||||
| 9. Oversk før lån | 331 | 438 | -553 | 30 | -1752 | |||||||
| (3-4-7+8) | ||||||||||||
| 10. Bruk av lån nto | 1620 | 1957 | 1659 | 2099 | 1890 | 20.8 | -15.2 | 26.5 | -10.0 | |||
| 11. Nto anskaffelse | 856 | 1172 | -351 | 690 | -1581 | |||||||
| midler (10+8+6-7+5a) | ||||||||||||
| NØKKELTALL | ||||||||||||
| Br dr.res i % av innt | 6.4 | 6.9 | 5.4 | 5.8 | 3.6 | |||||||
| Renter/avdr i % av innt | 4.0 | 3.9 | 3.6 | 3.3 | 3.2 | |||||||
| Nto dr.res i % av innt | 2.4 | 3.1 | 1.8 | 2.5 | 0.4 | |||||||
| Br.invest i % av innt | 5.5 | 6.0 | 6.1 | 6.1 | 7.0 | |||||||
| Oversk i % av innt | 0.7 | 0.8 | -1.0 | 0.1 | -2.8 | |||||||
| Lån i % av br.invest | 58.7 | 61.4 | 48.8 | 57.9 | 42.6 | |||||||
Tabeller etter kommuneregnskapets gruppering for fylkeskommunene i 1998*)
Mill. kr
| Østfold | Akershus | Hedmark | Oppland | Buskerud | Vestfold | Telemark | Aust- Agder | Vest- Agder | |||
| DRIFT | |||||||||||
| 1. Driftsinntekter | 3931 | 5785 | 2874 | 2856 | 3226 | 2873 | 2535 | 1532 | 2655 | ||
| 2. Driftsutgifter | 3873 | 5537 | 2785 | 2731 | 3200 | 2778 | 2494 | 1481 | 2558 | ||
| 3. Br dr.res (1-2) | 58 | 249 | 89 | 125 | 26 | 95 | 42 | 51 | 97 | ||
| 4. Nto renteutg | -27 | -63 | 14 | 6 | -17 | 16 | 18 | 6 | 47 | ||
| 5. Nto avdrag | 60 | 118 | 79 | 53 | 63 | 150 | 63 | 38 | 57 | ||
| 6. Nto dr.res (3-4-5) | 25 | 193 | -4 | 66 | -21 | -70 | -39 | 7 | -7 | ||
| INVESTERINGER | |||||||||||
| 7. Brutto invest.utg | 152 | 521 | 115 | 161 | 254 | 450 | 249 | 84 | 162 | ||
| 8. Tilskudd, refusjon, | 17 | 20 | 33 | 46 | 29 | 17 | 13 | 6 | 57 | ||
| salg fast eiendom | |||||||||||
| FINANSIERING | |||||||||||
| -51 | -190 | -7 | 4 | -183 | -354 | -212 | -33 | -54 | |||
| 9. Oversk før lån | |||||||||||
| (3-4-7+8) | 63 | 181 | 39 | -1 | 82 | 159 | 167 | 60 | 106 | ||
| 10. Bruk av lån nto | -48 | -127 | -47 | -50 | -164 | -345 | -108 | -10 | -6 | ||
| 11. Nto anskaffelse | |||||||||||
| midler**) (10+8+6-7) | |||||||||||
| NØKKELTALL | |||||||||||
| Br dr.res i % av innt | 1.5 | 4.3 | 3.1 | 4.4 | 0.8 | 3.3 | 1.6 | 3.4 | 3.7 | ||
| Renter/avdr i % av innt | 0.8 | 1.0 | 3.2 | 2.1 | 1.4 | 5.7 | 3.2 | 2.9 | 3.9 | ||
| Nto dr.res i % av innt | 0.6 | 3.3 | -0.1 | 2.3 | -0.6 | -2.4 | -1.5 | 0.5 | -0.3 | ||
| Br.invest i % av innt | 3.9 | 9.0 | 4.0 | 5.6 | 7.9 | 15.7 | 9.8 | 5.5 | 6.1 | ||
| Oversk i % av innt | -1.3 | -3.3 | -0.2 | 0.1 | -5.7 | -12.3 | -8.4 | -2.1 | -2.1 | ||
| Lån i % av br.invest | 41.3 | 34.6 | 33.9 | -0.6 | 32.2 | 35.2 | 67.0 | 71.7 | 65.4 | ||
*) Tallene er hentet fra regnskapenes hovedoversikter
**) Netto anskaffelse av midler er ikke korrigert for netto avsetning til avdragsfond
| Sogn og | Møre og | Sør- | Nord- | ||||||||
| Rogaland | Hordaland | Fjordane | Romsdal | Trøndelag | Trøndelag | Nordland | Troms | Finnmark | I alt | ||
| DRIFT | |||||||||||
| 1. Driftsinntekter | 5216 | 6884 | 1923 | 3924 | 4736 | 2280 | 4344 | 3808 | 1636 | 63019 | |
| 2. Driftsutgifter | 4836 | 6552 | 1884 | 3788 | 4553 | 2226 | 4281 | 3654 | 1570 | 60780 | |
| 3. Br dr.res (1-2) | 380 | 332 | 39 | 136 | 183 | 54 | 63 | 154 | 66 | 2239 | |
| 4. Nto renteutg | 61 | 84 | 11 | 9 | 54 | 13 | -3 | 35 | 8 | 273 | |
| 5. Nto avdrag | 182 | 281 | 49 | 110 | 137 | 52 | 95 | 82 | 52 | 1720 | |
| 6. Nto dr.res (3-4-5) | 137 | -33 | -21 | 17 | -8 | -11 | -29 | 37 | 7 | 247 | |
| INVESTERINGER | |||||||||||
| 7. Brutto invest.utg | 313 | 502 | 139 | 288 | 424 | 119 | 256 | 163 | 82 | 4433 | |
| 8. Tilskudd, refusjon, | 64 | 125 | 14 | 40 | 140 | 23 | 18 | 49 | 5 | 715 | |
| salg fast eiendom | |||||||||||
| FINANSIERING | |||||||||||
| 70 | -129 | -97 | -121 | -155 | -55 | -172 | 5 | -19 | |||
| 9. Oversk før lån | -1752 | ||||||||||
| (3-4-7+8) | 210 | 262 | 105 | 59 | 101 | 84 | 146 | 37 | 33 | ||
| 10. Bruk av lån nto | 98 | -149 | -41 | -172 | -191 | -22 | -121 | -40 | -38 | -1581 | |
| 11. Nto anskaffelse | -5052 | ||||||||||
| midler**) (10+8+6-7) | |||||||||||
| NØKKELTALL | |||||||||||
| Br dr.res i % av innt | 7.3 | 4.8 | 2.0 | 3.5 | 3.9 | 2.4 | 1.5 | 4.1 | 4.0 | 3.6 | |
| Renter/avdr i % av innt | 4.7 | 5.3 | 3.1 | 3.0 | 4.0 | 2.8 | 2.1 | 3.1 | 3.6 | 3.2 | |
| Nto dr.res i % av innt | 2.6 | -0.5 | -1.1 | 0.4 | -0.2 | -0.5 | -0.7 | 1.0 | 0.4 | 0.4 | |
| Br.invest i % av innt | 6.0 | 7.3 | 7.2 | 7.3 | 8.9 | 5.2 | 5.9 | 4.3 | 5.0 | 7.0 | |
| Oversk i % av innt | 1.3 | -1.9 | -5.0 | -3.1 | -3.3 | -2.4 | -4.0 | 0.1 | -1.1 | -2.8 | |
| Lån i % av br.invest | 67.0 | 52.1 | 75.7 | 20.5 | 23.7 | 71.1 | 57.1 | 22.4 | 39.8 | -35.7 | |
*) Tallene er hentet fra regnskapenes hovedoversikter
**) Netto anskaffelse av midler er ikke korrigert for netto avsetning til avdragsfond
Lagt inn 2. juli 1999 av Statens forvaltningstjeneste, ODIN-redaksjonenOverføringer 1999
Tabell 3.1: Overføringer fra statsforvaltningen til
kommuneforvaltningen 1999.
Tall i 1 000 kr.
| Øremerkede tilskudd | ||||
| Kap. | Navn | Vedtatt budsjett | Vedtatt budsjett | |
| Post | pr 1.1.1999 | etter RNB 1999 | ||
| Kirke-, utdannings- og forskningsdepartementet | ||||
| 221 | Tilskudd til grunnskolen | |||
| 60 | Tilskudd til virkemiddeltiltak Nord-Norge | 23,758 | 13,758 | |
| 61 | Tilskudd til institusjoner | 32,734 | 32,734 | |
| 62 | Tilskudd til Fjellheim leirskole | 3,682 | 3,682 | |
| 63 | Tilskudd skolefritidsordninger | 314,000 | 314,000 | |
| 64 | Tilskudd til undervisning i finsk | 5,849 | 5,849 | |
| 66 | Tilskudd lønn leirskoleopplæring | 21,700 | 21,700 | |
| 67 | Tilskudd kommunale musikk- og kulturskoler | 86,800 | 86,800 | |
| 68 | Tilskudd til det samiske opplæringsområdet | 25,133 | 25,133 | |
| 229 | Andre formål i grunnskolen | |||
| 60 | Kompensasjon for investeringskostnader R-97 | 529,303 | 529,303 | |
| 63 | Ekstraordinært tilskudd til læremidler | 0 | 0 | |
| 231 | Tilskudd til videregående opplæring | |||
| 60 | Tilskudd til landslinjer m.v. | 136,877 | 136,877 | |
| 61 | Tilskudd til opplæring innenfor kriminalomsorgen | |||
| tilpasning av lokaler | 82,883 | 82,883 | ||
| 232 | Statlige skoler med opplæring på videregående nivå | |||
| 60 | Tilskudd til fylkeskommuner | 3,421 | 3,421 | |
| 234 | Tilskudd til lærebedrifter og lærlinger | |||
| 60 | Tilskudd til formidling av reformlærlinger | 10,000 | 10,000 | |
| 235 | Statlige videregående skoler i landbruksfag og naturbruk | |||
| 60 | Tilskudd til fylkeskommuner | 0 | 0 | |
| 243 | Kompetansesentra for spesialundervisning | |||
| 60 | Tilskudd til kommuner og fylkekommuner | 10,000 | 10,000 | |
| 249 | Andre tiltak i utdanningen | |||
| 60 | Tilskudd til IT-tiltak | 5,000 | 5,000 | |
| 61 | Tilskudd til Nordland kunst- og filmskole | 2,000 | 2,000 | |
| 253 | Folkehøgskoler | |||
| 60 | Tilskudd til fylkeskommunale folkehøgskoler | 34,817 | 34,817 | |
| 260 | Universitetet i Oslo | |||
| 61 | Refusjon for bruk av sykehus | 14,319 | 14,319 | |
| 261 | Universitetet i Bergen | |||
| 61 | Refusjon for bruk av sykehus | 2,875 | 2,875 | |
| 262 | Norges teknisk- naturvitenskapelige universitet | |||
| 61 | Refusjon for bruk av sykehus | 8,298 | 8,298 | |
| 263 | Universitetet i Tromsø | |||
| 61 | Refusjon for bruk av sykehus | 1,715 | 1,715 | |
| 281 | Fellesutgifter for universiteter og høgskoler | |||
| 60 | Tilskudd til RIT 2000 | 36,800 | 36,800 | |
| 61 | Tilskudd til utvidelse av RiTø | 10,000 | 10,000 | |
| Sum | 1,401,964 | 1,391,964 | ||
| Kulturdepartementet | ||||
| 320 | Allmenne kulturformål | |||
| 60 | Lokale og regionale kulturbygg | 36,312 | 36,312 | |
| 61 | Tilskudd til tusenårssted i kommunene | 0 | 52,000 | |
| 322 | Billedkunst, kunsthåndverk og design | |||
| 61 | Tilskudd til fylkeskommunale kulturoppgaver | 9,209 | 9,209 | |
| 324 | Teater- og operaformål | |||
| 60 | Scenekunst i fylkeskommuner | 2,509 | 2,509 | |
| 326 | Språk-, litteratur- og bibliotekformål | |||
| 60 | Mobil bibliotektjeneste og biblioteklokaler | 18,979 | 18,979 | |
| 62 | Andre bibliotektjenester | 0 | 0 | |
| 328 | Museums- og andre kulturvernformål | |||
| 60 | Tilskuddsordning for muséer | 121,082 | 121,082 | |
| Sum | 188,091 | 240,091 | ||
| Justisdepartementet | ||||
| 474 | Konfliktråd | |||
| 60 | Overføringer til kommunene | 24,700 | 24,700 | |
| Sum | 24,700 | 24,700 | ||
| Kommunal- og regionaldepartementet | ||||
| 502 | Valgutgifter | |||
| 60 | Refusjon til kommuner | 0 | 0 | |
| 550 | Lokal næringsutvikling | |||
| 60 | Tilskudd til utkantkommuner | 23,000 | 23,000 | |
| 61 | Kommunale næringsfond | 130,000 | 130,000 | |
| 62 | Tilskudd til utbygging av lyngheisenteret på Lindås | 1,000 | 1,000 | |
| 581 | Bolig- og bomiljøtiltak | |||
| 60 | Handlingsplan for Oslo indre øst | 50,000 | 50,000 | |
| 586 | Tilskudd til omsorgsboliger og sykehjemsplasser | |||
| 60 | Oppstartingstilskudd | 870,800 | 1,009,800 | |
| 63 | Tilskudd til kompensasjon for utgifter til renter og avdrag | 262,200 | 282,000 | |
| Sum | 1,337,000 | 1,495,800 | ||
| Sosial- og helsedepartementet | ||||
| 610 | Rusmiddeldirektoratet | |||
| 60 | Tilskudd til forebyggende og kompetansegivende tiltak | 33,000 | 33,000 | |
| 614 | Tiltak for rusmiddelmisbrukere | |||
| 63 | Tilskudd til rusmiddeltiltak | 115,150 | 125,150 | |
| 670 | Tiltak for eldre | |||
| 61 | Tilskudd til omsorgstjenester | 2,111,200 | 2,111,200 | |
| 62 | Styrking av geriatri | 10,000 | 7,000 | |
| 673 | Tiltak for funksjonshemmede | |||
| 61 | Oppfølging av ansvarsreformen for mennesker med | |||
| psykisk utviklingshemming | 1,097,200 | 1,115,200 | ||
| 62 | Tilskudd til utskrivning av unge funksjonshemmede | 45,000 | 45,000 | |
| 63 | Begrenset bruk av tvang | 108,000 | 108,000 | |
| 65 | Psykisk utviklingshemmede med sikringsdom | 31,000 | 31,000 | |
| 674 | Handlingsplan for funksjonshemmede | |||
| 60 | Tilskudd til assistenter for funksjonshemmede | 35,000 | 35,000 | |
| 703 | Fengselshelsetjenesten | |||
| 60 | Tilskudd til kommuner og fylkeskommuner | 61,100 | 61,100 | |
| 705 | Kursvirksomhet og stipendier | |||
| 60 | Rekruttering mm av helsepersonell | 26,000 | 26,000 | |
| 61 | Turnustjeneste, videreutdanning m.v. | 48,400 | 46,900 | |
| 62 | Bedriftsintern utdanning m.v. | 33,200 | 33,700 | |
| 718 | Rehabilitering | |||
| 60 | Rehabilitering (bevilget på kap. 720 i 1998) | 117,500 | 109,300 | |
| 719 | Andre forebyggende tiltak | |||
| 61 | Mammografiscreening | 56,240 | 62,240 | |
| 66 | Handlingsplan mot selvmord | 7,700 | 7,700 | |
| 730 | Fylkeskommunens helsetjeneste | |||
| 60 | Innsatsstyrt finansiering av sykehus | 10,300,000 | 10,748,000 | |
| 61 | Refusjon av poliklinisk virksomhet ved sykehus m.v. | 2,728,000 | 2,761,000 | |
| 62 | Tilskudd til regionsykehus | 1,500,800 | 1,482,800 | |
| 63 | Refusjon godkjente kapitalutgifter | 281,000 | 281,000 | |
| 64 | Tilskudd til utstyr på sykehus | 284,000 | 284,000 | |
| 66 | Helseregionale og andre samarbeidstiltak | 12,000 | 12,000 | |
| 67 | Andre tilskudd | 42,500 | 71,900 | |
| 739 | Andre utgifter | |||
| 60 | Tilskudd til helsepersonellbemanning i | |||
| luftambulansetjenesten | 59,000 | 59,000 | ||
| 61 | Tilskudd til driftsavtaler | 180,000 | 187,000 | |
| 63 | Tilskudd til utbygging av økt behandlingstilbud m.v. | 0 | 0 | |
| 64 | Nytt regionsykehus i Trondheim | 67,300 | 67,300 | |
| 65 | Kreftbehandling m.m | 117,000 | 115,000 | |
| 740 | Statens senter for barne- og ungdomspsykiatri | |||
| 60 | Tilskudd til Oslo kommune | 7,600 | 7,600 | |
| 742 | Forpleining, kontroll og tilsyn med psykiatriske pasienter | |||
| 60 | Tilskudd | 3,800 | 3,800 | |
| 743 | Statlig stimuleringstiltak for psykisk helsevern | |||
| 60 | Utredninger og utviklingsarbeid | 65,700 | 65,700 | |
| 62 | Tilskudd til psykiatri i kommuner | 564,000 | 564,000 | |
| 63 | Tilskudd til styrking av psykisk helsevern i fylkene | 502,900 | 502,900 | |
| 64 | Omstrukturering og utbygging av psykisk helsevern for voksne | 38,000 | 38,000 | |
| 65 | Utbygging av psykisk helsevern for barn og ungdom | 145,000 | 145,000 | |
| Sum | 20,834,290 | 21,353,490 | ||
| Barne- og familiedepartementet | ||||
| 840 | Tilskudd til krisetiltak | |||
| 60 | Tilskudd til kommuner til krisetiltak | 42,150 | 53,070 | |
| 841 | Familievern | |||
| 60 | Tilskudd til familievernkontorer | 127,417 | 127,417 | |
| 854 | Tiltak i barne- og ungdomsvernet | |||
| 63 | Særskilte tiltak | 18,500 | 18,500 | |
| 856 | Barnehager | |||
| 60 | Driftstilskudd til barnehager | 4,461,900 | 4,496,900 | |
| 63 | Omstillingstilskudd | 0 | 0 | |
| 64 | Prøveprosjekt Oslo indre Øst | 10,000 | 10,000 | |
| Sum | 4,659,967 | 4,705,887 | ||
| Fiskeridepartementet | ||||
| 1064 | Havnetjenesten | |||
| 60 | Tilskudd til fiskerihavneanlegg | 25,000 | 45,000 | |
| Sum | 25,000 | 45,000 | ||
| Samferdselsdepartementet | ||||
| 1311 | Tilskudd til regionale flyplasser | |||
| 60 | Tilskudd til ikke-statlige flyplasser | 27,900 | 27,900 | |
| 1320 | Statens vegvesen | |||
| 60 | Tilskudd til fylkesvegformål | 225,900 | 225,900 | |
| 1321 | Spesielt vedlikehold | |||
| 60 | Spesielt vedlikehold av fylkesveier | 0 | 0 | |
| 1330 | Særskilte transporttiltak | |||
| 60 | Avgiftskompensasjon rutebiler | 380,000 | 437,000 | |
| Sum | 633,800 | 690,800 | ||
| Miljøverndepartementet | ||||
| 1425 | Vilt- og fisketiltak | |||
| 60 | Kommunal vilt- og fskeforvaltning | 23,500 | 22,600 | |
| 65 | Fallvilt | 7,000 | 7,000 | |
| 1427 | Direktoratet for naturforvaltning | |||
| 60 | Kommunal naturforvaltning | 9,212 | 9,212 | |
| 62 | Tilskudd til interkommunalt friluftsråd | 3,300 | 3,300 | |
| 67 | Lokal Agenda 21, tilskudd til Aksjon vannmiljø | 0 | 0 | |
| 1429 | Riksantikvaren | |||
| 60 | Regionale kulturminnetiltak | 18,000 | 18,000 | |
| 1441 | Statens forurensningstilsyn | |||
| 62 | Lokal Agenda 21, utvikling av miljøvennelige lokalsamfunn | 4,000 | 4,000 | |
| 63 | Tilskudd til kommunale avløpstiltak | 72,613 | 72,613 | |
| 64 | Aksjon Jærvassdrag | 3,462 | 3,462 | |
| 1463 | Regional og lokal planlegging | |||
| 63 | Lokal Agenda 21, utvikling av miljøbyer | 11,682 | 11,682 | |
| Sum | 152,769 | 151,869 | ||
| Forsvarsdepartementet | ||||
| 1795 | Kulturelle og allmennyttige formål | |||
| 60 | Tilskudd til kommuner | 23,150 | 23,150 | |
| Sum | 23,150 | 23,150 | ||
| Folketrygden | ||||
| 2755 | Helsetjeneste i kommunene | |||
| 61 | Tilskudd til fastlønnsordning allmenleger | 200,000 | 208,000 | |
| 62 | Tilskudd til fastlønnsordning fysioterapeuter | 140,000 | 144,000 | |
| Sum | 340,000 | 352,000 | ||
| Sum ørem. tilskudd på 60 poster i kommuneopplegget * | 29,620,731 | 30,474,751 | ||
| * Differansen i forhold til sum overføringer øremerkede tilskudd innenfor kommuneopplegget i vedlegg 4 skyldes bl.a. at overføringer andre statsregnskap, 70 poster mv. ikke er tatt med her. | ||||
| Rammetilskudd | ||||
| 571 | Kommuner | |||
| 60 | Innbyggertilskudd/utgiftsutjevning | 22,421,368 | 22,424,268 | |
| 61 | Inntektsutjevnende tilskudd | 6,179,259 | 6,179,259 | |
| 62 | Nord-Norge tilskudd | 973,812 | 973,812 | |
| 63 | Regionaltilskudd | 283,350 | 283,350 | |
| 64 | Skjønnstilskudd | 2,581,500 | 2,581,500 | |
| 65 | Hovedstadstilskuddet | 159,000 | 170,025 | |
| Sum rammeoverføringer kommuner | 32,598,289 | 32,612,214 | ||
| 572 | Fylkeskommuner | |||
| 60 | Innbyggertilskudd/utgiftsutjevning | 9,133,829 | 9,133,829 | |
| 61 | Inntektsutjevnende tilskudd | 5,587,000 | 5,587,000 | |
| 62 | Nord-Norge tilskudd | 657,600 | 657,600 | |
| 64 | Skjønnstilskudd | 1,039,500 | 1,039,500 | |
| 65 | Hovedstadstilskuddet | 129,000 | 129,000 | |
| Sum rammeoverføringer fylkeskommuner | 16,546,929 | 16,546,929 | ||
| Sum rammeoverføringer | 49,145,218 | 49,159,143 | ||
| Tilskudd til kommunene som ikke innregnes i kommuneopplegget | ||||
| Flyktninger m.v. | ||||
| 221 | Tilskudd til grunnskolen | |||
| 65 | Tilskudd til opplæring for språklige minoriteter i grunnskolen | 609,462 | 629,462 | |
| 231 | Tilskudd til videregående opplæring | |||
| 65 | Tilskudd til ekstra opplæring for språklige minoriteter | |||
| elever/lærlinger | 38,400 | 38,400 | ||
| 250 | Statens ressurs- og voksenopplæringssenter - innvandrere | |||
| 60 | Tilskudd til opplæring for voksne innvandrere | 358,034 | 403,034 | |
| 61 | Andre tiltak for flyktninger og innvandrere | 0 | 0 | |
| 62 | Grunnskoleopplæring for 16-20-åringer | 30,000 | 70,000 | |
| 521 | Bosetting av flyktninger og tiltak for innvandrere | |||
| 60 | Integreringstilskudd*** | 1,251,000 | 1,776,000 | |
| 62 | Kommunale innvandrertiltak | 11,000 | 11,000 | |
| 743 | Statlig stimuleringstiltak for psykisk helsevern | |||
| 61 | Tilskudd til psykososialt arbeid for flyktninger | 15,500 | 54,500 | |
| 854 | Tiltak i barne- og ungdomsvernet | |||
| 64 | Tilskudd for enslige mindreårige flyktninger og asylsøkere | 65,050 | 65,050 | |
| Sum | 2,378,446 | 3,047,446 | ||
| Annet | ||||
| 1591 | Arbeidsmarkedstiltak | |||
| 60 | Sysselsetting i offentlig virksomhet | 33,267 | 33,267 | |
| 1632 | Momskompensasjon | |||
| 60 | Momskompensasjon | 960,000 | 960,000 | |
| 294 | Kirkelig administrasjon | |||
| 72 | Tilskudd til kirkelig virksomhet i kommunene | 110,000 | 110,000 | |
| Sum | 1,103,267 | 1,103,267 | ||
| Sum øremerkede tilskudd utenom kommuneopplegget | 3,481,713 | 4,150,713 | ||
Vedlegg 4
Kommuneforvaltningens samlede inntekter 1988-1999
Tabell 4.1. Kommuneforvaltningens inntekter. Ihht. nasjonalregnskapets definisjoner
Alle tall er i millioner kroner i løpende priser, unntatt rad 9 og 10 som viser kommuneopplegget i faste 1999 priser.
| Regnskap | Anslag | |||||||||||||||
| 1988 | 1989 | 1990 | 1991 | 1992 | 1993 | 1994 | 1995 | 1996 | 1997 | 1998 | 1999 | |||||
| 1. Skatteinntekter | 56 373 | 58 699 | 61 552 | 64 008 | 65 308 | 68 281 | 74 986 | 75 898 | 80 747 | 85,185 | 88 649 | 89,540 | ||||
| 1.1 Skatt på inntekt og formue | 54 383 | 56 326 | 58 925 | 61 411 | 62 382 | 65 277 | 71 763 | 72 570 | 77 187 | 81,789 | 85 442 | 86,195 | ||||
| 1.2 Eiendomsskatt, andre prod.skatter | 1 990 | 2 373 | 2 627 | 2 597 | 2 926 | 3 004 | 3 223 | 3 328 | 3 560 | 3,396 | 3 207 | 3,345 | ||||
| 2. Overføringer fra staten | 45 370 | 51 000 | 54 339 | 58 782 | 63 478 | 63 883 | 65 816 | 67 273 | 68 773 | 73 918 | 78 598 | 86,313 | ||||
| 2.1 Rammeoverføringer | 36 103 | 39 442 | 41 043 | 40 887 | 42 951 | 40 697 | 41 823 | 42 453 | 42 700 | 46,242 | 46 699 | 49,031 | ||||
| 2.2 Øremerkede overføringer innenf. k.opplegget | 1) | 6 882 | 8 891 | 10 553 | 14 525 | 16 258 | 17 427 | 16 897 | 18 408 | 19,903 | 21,833 | 26 631 | 31,567 | |||
| 2.3 Øremerkede overføringer utenfor k.opplegget | 2 385 | 2 667 | 2 751 | 3 370 | 4 269 | 5 759 | 7 095 | 6 412 | 6 170 | 5,843 | 5 268 | 5,715 | ||||
| 3. Gebyrer | 2) | 10 851 | 12 259 | 13 221 | 15 255 | 16 414 | 17 307 | 18 403 | 19 512 | 20 880 | 22,247 | 23 201 | 25,026 | |||
| 4. | Renteinntekter | 2 623 | 2 444 | 2 591 | 2 947 | 3 120 | 3 028 | 2 500 | 2 946 | 3 131 | 3,937 | 4 511 | 4,561 | |||
| 5. Tilskudd til folketrygden | -2 900 | -4 750 | -4 072 | -2 093 | - 400 | 0 | 0 | 0 | 0 | 0 | 0 | 0 | ||||
| 6. Andre innenl. løpende overf. | 1 804 | 1 732 | 1 771 | 1 979 | 2 147 | 2 152 | 2 231 | 2 287 | 2 113 | 2,414 | 3 125 | 3,175 | ||||
| 7. Sum innt. fratr. tilsk. til folketr. (1+2+3+4+5+6) | 114 121 | 121 384 | 129 402 | 140 878 | 150 067 | 154 651 | 163 936 | 167 916 | 175 644 | 187 701 | 198 084 | 208 615 | ||||
| 8. Sum innt. fratr. tilsk. til folketr. og tilsk. | Sum inntekter kommuneopplegget (7-2.3) | 3) | 109 113 | 116 273 | 124 060 | 134 561 | 142 678 | 145 864 | 154 341 | 158 558 | 166 343 | 177 921 | 188 305 | 198 339 | ||
| 9. | Kommuneopplegget, faste priser | 151 795 | 155 984 | 162 689 | 170 163 | 177 064 | 180 117 | 186 118 | 185 095 | 187 435 | 195 021 | 195 272 | 198 339 | |||
| 10. Kroner pr innbygger, faste priser | 36 156 | 36 957 | 38 432 | 40 040 | 41 432 | 41 896 | 43 035 | 42 566 | 42 892 | 44 396 | 44 203 | 44 674 | ||||
1) For en nærmere definisjon av tilskuddene se vedlegg 3 om øremerkede tilskudd
2) Gebyrene er eksklusive bygg og anleggsgebyrer
3) Tilskuddene u. 2.3 tilskudd til arbeidsmarkedstiltak, flyktninger, flom/hjemfall, momskompensasjon, kirkelov m.v. fastlegges ut fra andre vurderinger enn hensynet til kommunesektorens økonomi. De holdes derfor utenfor når veksten i kommunesektorens inntekter beregnes.
Tabell 4.2. Uviklingen i kommunesektorens frie inntekter.
| Regnskap | Anslag | |||||||||||||||
| 1988 | 1989 | 1990 | 1991 | 1992 | 1993 | 1994 | 1995 | 1996 | 1997 | 1998 | 1999 | |||||
| I. Sum inntekter kommuneopplegget (8) | 109 113 | 116 273 | 124 060 | 134 561 | 142 678 | 145 864 | 154 341 | 158 558 | 166 343 | 177 921 | 188 305 | 198 339 | ||||
| II. Frie inntekter (1+2.1+5) | 89 576 | 93 391 | 98 523 | 102 802 | 107 859 | 108 978 | 116 809 | 118 351 | 123 447 | 131 427 | 135 348 | 138 571 | ||||
| III. Skatteandel i pst. av frie inntekter | 1) | 59.7% | 57.8% | 58.3% | 60.2% | 60.2% | 62.7% | 64.2% | 64.1% | 65.4% | 64.8% | 65.5% | 64.6% | |||
| IIII. Rammetilskudd i pst. av frie inntekter | 40.3% | 42.2% | 41.7% | 39.8% | 39.8% | 37.3% | 35.8% | 35.9% | 34.6% | 35.2% | 34.5% | 35.4% | ||||
| IV. Øremerkede overføringer i pst. av I. | Frie inntekter i pst av I. | 2) | 82.1% | 80.3% | 79.4% | 76.4% | 75.6% | 74.7% | 75.7% | 74.6% | 74.2% | 73.9% | 71.9% | 69.9% | ||
1) Tilskudd til folketrygden er fratrukket
2) Frie inntekter inkl. her eiendkomsskatt, andre prod.skatter
Tabell 4.3. Endringer i kommunesektorens inntekter i prosent fra året før, og gjennomsnittlig vekst 1988-1999
| Regnskap | Anslag | |||||||||||||||
| 88/89 | 89/90 | 90/91 | 91/92 | 92/93 | 93/94 | 94/95 | 95/96 | 96/97 | 97/98 | 98/99 | 88/99 1) | |||||
| 1. Skatteinntekter | 4.1% | 4.9% | 4.0% | 2.0% | 4.6% | 9.8% | 1.2% | 6.4% | 5.5% | 4.1% | 1.0% | 5.2% | ||||
| 1.1 Skatt på inntekt og formue | 3.6% | 4.6% | 4.2% | 1.6% | 4.6% | 9.9% | 1.1% | 6.4% | 6.0% | 4.5% | 0.9% | 5.2% | ||||
| 1.2 Eiendomsskatt andre prod.skatter | 19.2% | 10.7% | -1.1% | 12.7% | 2.7% | 7.3% | 3.3% | 7.0% | -4.6% | -5.6% | 4.3% | 5.6% | ||||
| 2. Overføringer fra staten | 12.4% | 6.5% | 8.2% | 8.0% | 0.6% | 3.0% | 2.2% | 2.2% | 7.5% | 6.3% | 9.8% | 6.7% | ||||
| 2.1 Rammeoverføringer | 9.2% | 4.1% | -0.4% | 5.0% | -5.2% | 2.8% | 1.5% | 0.6% | 8.3% | 1.0% | 5.0% | 2.7% | ||||
| 2.2 Øremerkede overføringer innenfor kommuneoppl. | 29.2% | 18.7% | 37.6% | 11.9% | 7.2% | -3.0% | 8.9% | 8.1% | 9.7% | 22.0% | 18.5% | 26.1% | ||||
| 2.3 Øremerkede overf. utenf. kommuneopplegget | 11.8% | 3.1% | 22.5% | 26.7% | 34.9% | 23.2% | -9.6% | -3.8% | -5.3% | -9.8% | 8.5% | 11.0% | ||||
| 3. Gebyrer | 13.0% | 7.8% | 15.4% | 7.6% | 5.4% | 6.3% | 6.0% | 7.0% | 6.5% | 4.3% | 7.9% | 10.3% | ||||
| 4. Renteinntekter | -6.8% | 6.0% | 13.7% | 5.9% | -2.9% | -17.4% | 17.8% | 6.3% | 25.7% | 14.6% | 1.1% | 6.5% | ||||
| 5. Tilskudd til folketrygden | 63.8% | -14.3% | -48.6% | -80.9% | -9.1% | |||||||||||
| 6. Andre innnenl. løpende overf. | -4.0% | 2.3% | 11.7% | 8.5% | 0.2% | 3.7% | 2.5% | -7.6% | 14.2% | 29.5% | 1.6% | 6.7% | ||||
| 7. Sum inntekter (1+2+3+4+5+6) | 6.4% | 6.6% | 8.9% | 6.5% | 3.1% | 6.0% | 2.4% | 4.6% | 6.9% | 5.5% | 5.3% | 6.7% | ||||
| 8. Sum inntekter kommuneopplegget | 6.6% | 6.7% | 8.5% | 6.0% | 2.2% | 5.8% | 2.7% | 4.9% | 7.0% | 5.8% | 5.3% | 6.6% | ||||
9. Sum inntekter kommuneopplegget, faste priser | 2.8% | 4.3% | 4.6% | 4.1% | 1.7% | 3.3% | -0.5% | 1.3% | 4.0% | 0.1% | 1.6% | 2.6% | ||||
10. Kroner pr. innbygger | 2.2% | 4.0% | 4.2% | 3.5% | 1.1% | 2.7% | -1.1% | 0.8% | 3.5% | -0.4% | 1.1% | 2.0% | ||||
| 1) Gjennomsnittlig årlig vekst 1988-1999 | ||||||||||||||||
Vedlegg 5
Kommuneregnskapets og nasjonalregnskapets gruppering
1. Innledning
Offentlig forvaltning og offentlige og private foretak fører sine regnskaper etter ulike regnskapsforskrifter. Ved å føre regnskapstallene over i nasjonalregnskapets gruppering oppnår man imidlertid en felles inndeling som muliggjør en sammenligning av de ulike deler av økonomien. En oppstilling av kommuneforvaltningens utgifter og inntekter etter nasjonalregnskapets grupperinger er derfor nødvendig for å sammenlikne f.eks. med utviklingen i den øvrige offentlige sektor. For å vurdere utviklingen i kommunesektoren for seg, kan det være en fordel å bruke nasjonalregnskapets tall. Nasjonalregnskapets tall blir også utarbeidet i faste priser, slik at man får tidsserier for volumutviklingen av investeringer, vareinnsats, lønninger m.v. Dessuten kan det i nasjonalregnskapet være korrigert for endringer i kommuneregnskapsforskriftene som ellers ikke vil gi sammenlignbare tall over tid.
Tabellene etter kommuneregnskapets oppstillingsmåte gir tall etter de samme begrep som finnes i den enkelte fylkeskommunes og kommunenes trykte regnskap. Disse tabellene gir derfor endringstall som kan sammenlignes med utviklingen i egen kommune.
Med forbehold om virkningen av de ulikheter i omfang m.v. som nevnes i punkt 2 nedenfor, gir de to tabellsett opplysninger som kan utfylle hverandre i beskrivelse og analyse av utviklingen i kommunal økonomi.
2. Omfang av kommunesektoren i de to tabellsett
Med basis i forskriftene av 1991 for kommunale budsjetter og regnskaper vil kommuneforvaltningen i nasjonalregnskapet omfatte den virksomhet som kommunene fører inn under hovedkapitlene 1.1-1.7 med unntak av kapitlene 1.41 (Boliger til utleie), 1.46 (Diverse kommunalnæringsvirksomhet), 1.53 (Kinoer), 1.66 (Energi- og el-verk) (utgår f.o.m. 1994), 1.71 (Samferdselsbedrifter) og 1.82 (Konsesjonskraftinntekter). Kommunal næringsvirksomhet, kinoer etc. regnes i nasjonalregnskapet som forretningsdrift. Som en del av kommuneforvaltningen regnes også felleskommunale sammenslutninger under hovedkapitlene 1.1.-1.7, f.eks. sykehus og avløpsanlegg.
Den videre oppdeling av nasjonalregnskapets forvaltningssektor i fylkeskommuner og kommuner som er gjort i denne rapport, medfører at f.eks. lønnskostnadene i fellesfylkeskommunale sykehus grupperes sammen med lønnskostnadene i fylkeskommunekassene. Tilsvarende omfatter f.eks. tallene for bruttoinvestering i kommunene også investering i felles kommunal avløps- og renovasjonsvirksomhet.
Tabellene etter kommuneregnskapets oppstillingsmåte omfatter bare de ordinære fylkes- og kommunekasser. Felleskommunal virksomhet er her bare med i form av de tilskudd som blir bokført i kommunekassenes regnskap.
De ulikheter i omfang som er nevnt over er imidlertid ikke så omfattende at de to tabellsett ikke kan sees i sammenheng.
3. Ulike underskuddsbegrep
I tabeller etter nasjonalregnskapets gruppering er «underskudd før lånetransaksjoner» en viktig indikator ved vurdering av utviklingen i kommuneforvaltningen. I oppstillinger etter kommuneregnskapenes føringsmåte er det tilsvarende begrep «underskudd før lån og avsetning».
4. Sammenhengen mellom nasjonalregnskapets artsinndeling og kommuneregnskapets kapittel/postinndeling
For at den enkelte kommune- og fylkeskommune også skal kunne sammenlikne utviklingen i egen kommune med tall etter nasjonalregnskapets gruppering gis det her en oversikt over sammenhengen mellom de to grupperingene.
Kapittelinndelingen i oversikten vil gjelde både drifts- og kapitalregnskapet selv om kun driftsregnskapets kapitler er satt opp i oversikten nedenfor. I kapitalregnskapet brukes kontoklasse 0 i stedet for kontoklasse 1.
De kapitler som er definert som kommuneforvaltningens forretningsdrift ifølge nasjonalregnskapets gruppering, må trekkes i fra sine respektive hovedkapitler i oversikten. I nasjonalregnskapet er forretningsdriften etter de nye forskriftene avgrenset til kapitlene:
1.41 (Boliger til utleie), 1.46 (Diverse kommunal næringsvirksomhet), 1.53 (Kinoer), (1.660 (Energi- og elverk) utgått f.o.m. 1994), 1.71 (Samferdselsbedrifter), 1.82 (Konsesjonskraftinntekter).
Ut fra regnskapstallene er det ikke mulig å skille ut konsesjonsavgiftene fra andre inntektsarter på samme kapittel 1.438-439, fordi kapitlet også innbefatter overføringer fra staten til næringsfond (konsesjonsavgiftsfond) og drifts- og investeringsstøtte til ikke-kommunal næringsvirksomhet.
| Nasjonalregnskapets artsinndeling | Kommuneregnskapets kapittel/postinndeling | |
| Inntekter | Kapitler | Merknad |
| Renter | Kap. 1.900 (74-77) | |
| Skatter | ||
| - Ordinær skatt på formue og inntekt | Kap. 1.800 (74-77) | |
| - Produksjonsskatter
(- Eiendomsskatt - Andre produksjonsskatter) | Kap. 1.810 (74-77) Deler av kap. 1.438 | |
| Overføringer fra statsforvaltningen | Kap. 1.1-1.8 (71+81)
+ deler av 1.438 - forretningsdriften | |
| Overføring fra kommuner til fylkeskommuner | Kap. 1.1-1.8 (73+83)
- forretningsdriften | NB! I fylkeskommunenes regnskaper. I prinsippet finnes tallene i kommunens regnskaper, men tallene måles i praksis ved tilsvarende utgifter i fylkeskommunenes regnskaper, se under utgifter. |
| Overføringer fra fylkeskommuner til kommuner | Kap. 1.1-1.8 (72+82)
Kap. 0.1-0.7 (72+82) | NB! I prinsippet finnes tallene i kommunens regnskaper, men tallene måles i praksis ved tilsvarende utgifter i fylkeskommunenes regnskaper, se under utgifter. |
| Andre innenlandske overføringer | Kap. 1.1-1.8 (74-77)+(84-87)
(med unntak av det som føres som forretningsdrift, renteinntekter og skatteinntekter). | |
| Gebyrer | Kap. 1.1-1.8 (60-67)
- forretningsdriften | |
| Utgifter | Kapitler | Merknad |
| Lønnskostnader | Kap. 1.1-1.8 (01-09)-(70)
- forretningsdriften | |
| Produktinnsats (inkludert reparasjoner og vedlikehold) | Kap. 1.1-1.8 (15-19)+(20-29)-(69)
+ kap. 1.900 (15-19)+(20-29)-(69) - forretningsdriften | |
| Produktkjøp til husholdningene | Deler av kap. 1.1-1.8 (34-37)+(38)
+ Kap. 1.900 (34-37)+(38) - forretningsdrift | |
| Overføringer til ideelle organisasjoner NPI | Deler av kap. 1.1-1.8 (34-37)+(38)-(78) | |
| Stønader til husholdningene
- Sosialhjelpsstønad - Andre stønader | Deler av kap. 1.1-1.8 (34-37)
- forretningsdriften | |
| Produksjonssubsidier
- Produksjonssubsidier - Næringssubsidier | Deler av kap. 1.1-1.8 (34-37)+(38)-(78) | |
| Overføringer innen offentlig forvaltning | ||
| - Overføringer til statsforvaltningen | Kap. 1.1-1.8 (30-31) | |
| Overføringer fra kommuner til fylkeskommuner | Post 32 | I prinsippet post 32 i kommunenes regnskaper, men måles ved tilsvarende inntekter i fylkeskommunenes regnskaper, se inntektsavsnittet. |
| Overføringer fra fylkeskommuner til kommuner | Kap. 1.1-1.8 (33)
- forretningsdriften | |
| Utgifter | Kapitler | Merknad |
| Overføringer til kommunal forretningsdrift | forretningsdriften:
Kap. 1.410 (01-48)-(60-99) Kap. 1.460 (01-48)-(60-99) Kap. 1.530 (01-48)-(60-99) Kap. 1.710 (01-48)-(60-99) Kap. 1.820 (01-48)-(60-99) | Kap. 1.660 utgår fra 1994 |
| Renter | Kap. 1.900 (34-37) | |
| Bruttoinvesteringer i fast realkapital | 1.1-1.8 (10-12)+(13)+(14)+(41-47)+(48)
-(68)-(88) - forretningsdriften | |
| Netto kjøp av tomt og grunn | Kap. 0.1-0.7 (40)-(80)
- forretningsdriften | |
| Kapitaloverføringer til næringslivet | Kap. 1.438 (34)
+ Kap. 0440 (34) | |
5. Enkelte avledede begreper
I tabeller og kommentarer som bygger på nasjonalregnskapets grupperinger blir det ofte brukt en del begreper som er avledet fra de som er ført opp under punkt 4. De viktigste av disse er:
| a) | Konsum i kommuneforvaltningen | = Lønnskostnader |
| + Produktinnsats (inkl. rep. og vedlikehold) | ||
| + Kapitalslit | ||
| + Produktkjøp til husholdningene | ||
| - Gebyrer | ||
| + Driftsresultat i markedsrettet virksomhet (gjelder kapitlene 1.620, 1.630, 1.640) | ||
| b) | Bruttoprodukt | = Lønnskostnader |
| + Kapitalslit | ||
| + Driftsresultat i markedsrettet virksomhet (gjelder kapitlene 1.620, 1.630, 1.640) | ||
Kapitalslitet fremkommer ikke direkte fra kommuneregnskapet, men er beregnet ut fra størrelsen på verdien av den oppsamlede realkapital i kommuneforvaltningen. | ||
| c) | Nettoinvesteringer | = Bruttoinvesteringer |
| - Kapitalslit | ||
| d) | Utgifter til kjøp av varer og tjenester til konsumformål, brutto | |
| = Lønnskostnader | ||
| + Produktinnsats (inkl. rep. og vedlikehold) | ||
| + Produktkjøp til husholdningene (gjelder ikke-maredsrettet virksomhet) | ||
6. Begrepsbruk i oppstillingen etter kommuneregnskapets inndeling
Vedleggstabellene etter kommuneregnskapets gruppering tar utgangspunkt i hovedoversiktene for drifts- og kapitalregnskapet. Om inntekts- eller utgiftspost i denne sammenheng er drift eller investering er her avhengig av om den er ført i drifts- eller kapitalregnskapet, mens det er artsgrupperingen som er avgjørende i nasjonalregnskapet. Enkelte kapitalutgifter (investeringer) kan derfor være ført som løpende utgift i nasjonalregnskapet og som utgift i forbindelse med kommuneregnskapet og vice versa.
(1) Driftsinntekter
Dette er det samme begrepet som driftsinntekt eksklusiv renter i hovedoversikten for driftsregnskapet og omfatter:
- Skatteinntekter (ført netto slik at f.eks. avgiften til folketrygden er trukket fra)
- Rammetilskudd.
- Driftsinntekter ført på hovedkapitlene 1.1-1.7. Dette vil stort sett si gebyrer og øremerkede tilskuddsordninger i forbindelse med driftsoppgaver.
- Interne overføringer blåser opp tallene både på inntektssiden og utgiftssiden. I enkelte analysesammenhenger vil Utvalget trekke ut de interne overføringene. Da benyttes begrepet «Korrigerte driftsinntekter».
- Kalkulatoriske renter og avskrivninger.
(2) Driftsutgifter
Dette er det samme begrepet som driftsutgift eksklusiv renter i hovedoversikten for driftsregnskapet og omfatter i prinsippet alle driftsutgifter på hovedkapittel 1.1 til 1.7.:
- Lønnsutgifter inkl. sosiale utgifter.
- Inventar og utstyr til driftsformål.
- Andre driftskostnader til driftsformål.
- Overføringer til andre (stønader og subsidier).
- Overføringer til stat eller andre kommuner eller fylkeskommuner.
- Interne overføringer på samme måte som på inntektssiden.
(3) Brutto driftsresultat = (1) - (2)
(4) Netto renteutgifter
Netto renteutgifter er hentet fra hovedoversikten for driftsregnskapet og er differansen mellom kommunens renteutgifter og renteinntekter. Byggelånsrenter inngår ikke.
(5) Netto avdrag
Avdragsforskriften ble gjort gjeldende f.o.m. regnskapsåret 1994. Fra 1994 føres kommunenes avdragsutgifter i henhold til vedtatt og godkjent amortiseringsplan, mens man tidligere har ført faktiske utbetalinger. Fra 1994 skal avvik mellom amortiseringsplan og faktisk avdragsutbetaling avsettes til eller trekkes fra et gjeldsavdragsfond. Netto avsetning til avdragsfond fremgår av linje (5a). Netto avsetning til avdragsfond vil være et positivt beløp når avdragsutgiftene i henhold til amortiseringsplanen er større enn det kommunene faktisk har utbetalt og omvendt. Netto avdrag fremkommer ved å trekke fra mottatte avdrag på formidlingslån (f.eks. Husbanken).
Nedbetaling av lån utover vedtatt og godkjent amortiseringsplan føres i kapitalregnskapet. Det samme gjelder ekstraordinære nedbetalinger av formidlingslån fra kommunens låntaker.
(6) Netto driftsresultat = (3) - (4) - (5)
(7) Brutto investeringsutgift
Brutto investeringsutgift framgår av hovedoversikten for kapitalregnskapet. Dette omfatter alle utgifter til investeringer i fast eiendom (nybygg og nyanlegg, kjøp av tomt og grunn og kjøp av eksisterende bygg og anlegg).
I tillegg inngår inventar og utstyr, andre driftskostnader, overføringer osv. av investeringsmessig karakter.
(8) Tilskudd, refusjon, salg av fast eiendom mv.
Dette begrepet er et netto samlebegrep beregnet utfra hovedoversikten for kapitalregnskapet:
Tilskudd og refusjoner vedrørende investeringer + Salg av fast eiendom mv. - Diverse utgifterDiverse utgifter kan eksempelvis være tap på garantier.
(9) Overskudd før lån og avsetninger = (3) - (4) - (7) + (8).
Dette begrepet viser netto gjeldsøkning og fremgår ikke direkte av hovedoversikten i kommuneregnskapet. Begrepet er i prinsippet det samme som overskudd før lånetransaksjoner i nasjonalregnskapet.
(10) Bruk av lån netto.
Dette er også et netto samlebegrep beregnet utfra hovedoversikten for kapitalregnskapet:
Bruk av lån -Utlån og kjøp av aksjer og andeler +Mottatte avdrag på lån, salg aksjer/andelerI utgangspunktet vil begrepet netto bruk av lån sikre at det blir korrigert for låneopptak til videre utlån, slik at man i prinsippet bare vil ha med låneopptak til kommunens egne investeringer.
Bildet forstyrres imidlertid i de tilfeller kommunen foretar kjøp/salg av aksjer eller driver utlån av egne midler. Også ekstraordinære avdrag kan komme til fradrag fra brutto låneopptak.
Lagt inn 2. juli 1999 av Statens forvaltningstjeneste, ODIN-redaksjonenVedlegg 6
Prisindekser for kommunenes kjøp av varer og tjenester
Tabell 6.1: Nasjonale prisindekser for produktinnsats, bruttoinvestering i fast realkapital. Veid samlet prisendring (TBU's indikator)
| 1989 | 1990 | 1991 | 1992 | 1993 | 1994 | 1995 | 1996 | 1997 | 1998 | 1999 | |||
| Prosentvis prisendring fra året før: | |||||||||||||
| Veidd samlet prisendring (deflator) | 3,7 | 2,3 | 3,7 | 1,9 | 0,5 | 2,4 | 3,3 | 3,6 | 2,8 | 5,7 | 3,7 | ||
| Lønnskostnader pr. årsverk utenom tiltak 1> | 5,2 | 3,4 | 5,3 | 3,4 | 0,6 | 2,6 | 3,5 | 4,5 | 3,6 | 7,3 | 4,5 | ||
| Lønn pr. årsverk utenom tiltak | 5,4 | 4,5 | 4,8 | 3,3 | 2,8 | 2,2 | 2,8 | 4,4 | |||||
| Sosiale utgifter, vekstbidrag 2> | -0,2 | -1,1 | 0,5 | 0,1 | -2,2 | 0,4 | 0,7 | 0,1 | |||||
| Produktinnsats | 3,1 | 1,8 | 1,4 | -0,6 | 0,8 | 2,0 | 2,2 | 1,9 | 1,0 | 2,3 | 2,0 | ||
| Bruttoinvestering | -1,3 | -1,8 | -0,5 | -1,6 | -0,4 | 2,3 | 4,4 | 2,0 | 1,8 | 4,3 | 2,0 | ||
| Kommunalt konsum, prisendring fra året før | 4,5 | 3,2 | 4,1 | 1,6 | 1,1 | 2,5 | 4,0 | 3,7 | 2,7 | 5,5 | |||
1 >Når det forekommer arbeidstidsforkortelser må det korrigeres for endring i normalarbeidstid pr. full uke.
2 >Vekstbidrag utover årslønnsveksten fra endrede satser for arbeidsgiveravgift og kommunale pensjonspremier.
Lagt inn 2. juli 1999 av Statens forvaltningstjeneste, ODIN-redaksjonenVedlegg 7
den finansielle situasjonen i kommunene og fylkeskommunene
1995-98
Tabell 7.1. Netto lånegjeld i prosent av driftsinntektene
1995-98.
Kommunene ekskl. Oslo gruppert fylkesvis.
Netto lånegjeld | ||||
| 1995 | 1996 | 1997 | 1998 | |
| Østfold | 45,9 | 46,7 | 49,0 | 49,0 |
| Akershus | 50,0 | 46,3 | 43,7 | 61,7 |
| Hedmark | 50,0 | 51,6 | 55,9 | 54,0 |
| Oppland | 45,8 | 46,1 | 52,2 | 56,3 |
| Buskerud | 44,1 | 41,6 | 34,4 | 33,3 |
| Vestfold | 36,6 | 36,3 | 39,1 | 38,7 |
| Telemark | 46,0 | 48,7 | 51,9 | 51,6 |
| Aust-Agder | 43,4 | 53,9 | 55,4 | 58,2 |
| Vest-Agder | 43,1 | 43,9 | 43,5 | 50,6 |
| Rogaland | 38,7 | 39,4 | 39,5 | 39,3 |
| Hordaland | 66,5 | 67,9 | 50,9 | 51,2 |
| Sogn og Fjordane | 67,9 | 65,7 | 73,1 | 71,9 |
| Møre og Romsdal | 58,8 | 60,8 | 41,4 | 60,8 |
| Sør-Trøndelag | 71,4 | 73,3 | 75,6 | 77,3 |
| Nord-Trøndelag | 68,4 | 68,6 | 74,0 | 76,5 |
| Nordland | 43,4 | 45,5 | 50,0 | 49,4 |
| Troms | 58,0 | 57,8 | 60,5 | 63,8 |
| Finnmark | 60,7 | 59,2 | 58,1 | 59,4 |
| Landet | 52,2 | 52,7 | 50,8 | 54,4 |
Tabell 7.1 forts. Korrigert kontantbeholdning, akkumulert regnskapsresultat og disposisjonsfond i prosent av driftsinntektene 1995-98. Kommunene ekskl. Oslo gruppert fylkesvis.
Korrigert kontantbeholdning | Akkumulert regnskapsresultat | Disposisjonsfond | |||||||||||
| 1995 | 1996 | 1997 | 1998 | 1995 | 1996 | 1997 | 1998 | 1995 | 1996 | 1997 | 1998 | ||
| Østfold | -3,2 | -0,8 | 0,0 | -2,1 | -0,1 | 0,0 | 1,2 | 0,6 | 3,2 | 4,6 | 5,2 | 4,8 | |
| Akershus | 7,0 | 7,9 | 9,0 | 7,9 | 1,9 | 1,6 | 2,1 | 1,5 | 7,1 | 8,3 | 9,5 | 10,3 | |
| Hedmark | 2,9 | 2,3 | 2,5 | -0,9 | 0,6 | 0,8 | 0,9 | -0,3 | 5,1 | 4,9 | 4,5 | 3,7 | |
| Oppland | 5,5 | 4,2 | 5,3 | 4,0 | 1,1 | 0,7 | 1,4 | 0,5 | 6,1 | 5,6 | 5,8 | 5,5 | |
| Buskerud | 7,8 | 6,7 | 6,2 | 4,2 | 1,0 | 0,6 | 1,4 | 1,1 | 8,2 | 7,1 | 6,6 | 6,4 | |
| Vestfold | 5,7 | 5,8 | 4,8 | -0,5 | 1,0 | 0,9 | 0,6 | -0,6 | 6,9 | 7,2 | 6,6 | 4,5 | |
| Telemark | -0,4 | 1,3 | -2,0 | 0,6 | -0,1 | -0,3 | 0,0 | 0,5 | 5,7 | 5,6 | 4,5 | 3,5 | |
| Aust-Agder | 1,3 | 2,8 | 1,8 | -1,8 | -0,6 | -0,6 | -0,3 | -1,0 | 7,7 | 6,6 | 6,4 | 5,0 | |
| Vest-Agder | 3,6 | 1,5 | -0,1 | -4,8 | 0,8 | 0,4 | 1,0 | 0,5 | 7,2 | 5,0 | 6,0 | 4,9 | |
| Rogaland | 6,2 | 4,1 | 4,2 | 6,5 | 1,2 | 1,0 | 1,6 | 1,9 | 8,7 | 7,0 | 7,2 | 6,0 | |
| Hordaland | -1,7 | -3,0 | -0,1 | -1,4 | 0,1 | -0,3 | 0,2 | 0,2 | 3,1 | 1,6 | 3,6 | 2,7 | |
| Sogn og Fjordane | -1,1 | 0,2 | 4,6 | -2,5 | 0,1 | 0,8 | 0,6 | 0,3 | 3,5 | 3,5 | 8,5 | 4,3 | |
| Møre og Romsdal | 0,9 | 2,6 | 1,8 | -5,7 | 0,4 | 0,1 | 1,0 | -0,1 | 4,3 | 4,8 | 4,8 | 4,2 | |
| Sør-Trøndelag | -1,5 | -1,4 | -0,2 | -1,8 | -0,2 | 0,2 | 0,9 | 0,0 | 2,6 | 2,7 | 3,4 | 3,1 | |
| Nord-Trøndelag | -2,1 | -2,2 | -1,5 | -4,4 | -0,8 | -1,2 | -0,3 | -1,1 | 1,8 | 1,6 | 2,0 | 1,8 | |
| Nordland | 3,0 | 1,9 | 1,1 | -1,9 | 0,3 | -0,4 | -0,1 | -0,3 | 4,7 | 4,5 | 3,6 | 3,0 | |
| Troms | -0,9 | -1,4 | -0,1 | -1,6 | 0,0 | -0,2 | 0,4 | -0,2 | 2,3 | 2,1 | 2,3 | 2,1 | |
| Finnmark | 2,5 | 2,7 | 3,3 | 1,4 | 0,8 | 0,3 | 1,0 | -0,5 | 3,3 | 3,4 | 3,6 | 2,8 | |
| Landet | 2,3 | 2,1 | 2,6 | 0,3 | 0,5 | 0,3 | 0,9 | 0,4 | 5,2 | 4,9 | 5,4 | 4,7 | |
Finansielle indikatorer for kommunene ekskl. Oslo, gruppert etter sammenlignbare kommuner
Tabell 7.2: Netto lånegjeld 1998 i prosent av driftsinntektene. Kommunene utenom Oslo gruppert etter sammenlignbare kommuner 1>
Antall innbyggere | |||
| Inntekter | Lavt | Middels | Høyt |
| Lave | - | 56 | 55 |
| Middels | 48 | 56 | 57 |
| Høye | 50 | 46 | 55 |
| De 10 kommunene med høyest inntekter: | 29 | ||
| De 3 kommunene ekskl. Oslo med høyest innbyggertall: | 58 | ||
| Landsgjennomsnitt: | 54 | ||
1> Landsgjennomsnittet er vektet etter innbyggertall, slik at folkerike kommuner veier tyngre enn mindre kommuner. Gruppegjennomsnittene er uvektede, dvs. at hver kommune innen en gruppe veier like tungt, uavhengig av innbyggertall.
Tabell 7.3: Korrigert kontantbeholdning 1998 i prosent av
driftsinntektene.
Kommunene utenom Oslo gruppert etter sammenlignbare kommuner
1>.
Antall innbyggere | |||
| Inntekter | Lavt | Middels | Høyt |
| Lave | - | -0,6 | -1,9 |
| Middels | 3,3 | -0,7 | 0,6 |
| Høye | 4,9 | 5,6 | 1,9 |
| De 10 kommunene med høyest inntekter: | 35,3 | ||
| De 3 kommunene ekskl. Oslo med høyest innbyggertall: | 0,3 | ||
| Landsgjennomsnitt: | 0,3 | ||
1> Landsgjennomsnittet er vektet etter innbyggertall, slik at folkerike kommuner veier tyngre enn mindre kommuner. Gruppegjennomsnittene er uvektede, dvs. at hver kommune innen en gruppe veier like tungt, uavhengig av innbyggertall.
Tabell 7.4: Akkumulert regnskapsresultat 1998 i prosent av
driftsinntektene.
Kommunene utenom Oslo gruppert etter sammenlignbare kommuner
1>.
Antall innbyggere | |||
| Inntekter | Lavt | Middels | Høyt |
| Lave | - | -0,4 | -0,2 |
| Middels | 0,1 | -0,1 | 0,5 |
| Høye | 1,0 | 0,5 | 0,0 |
| De 10 kommunene med høyest inntekter: | 5,1 | ||
| De 3 kommunene ekskl. Oslo med høyest innbyggertall | 1,0 | ||
| Landsgjennomsnitt: | 0,4 | ||
1> Landsgjennomsnittet er vektet etter innbyggertall, slik at folkerike kommuner veier tyngre enn mindre kommuner. Gruppegjennomsnittene er uvektede, dvs. at hver kommune innen en gruppe veier like tungt, uavhengig av innbyggertall.
Tabell 7.5: Disposisjonsfond 1998 i prosent av
driftsinntektene.
Kommunene utenom Oslo gruppert etter sammenlignbare kommuner
1>
Antall innbyggere | |||
| Inntekter | Lavt | Middels | Høyt |
| Lave | - | 4,2 | 3,5 |
| Middels | 5,6 | 4,0 | 4,4 |
| Høye | 6,0 | 7,0 | 5,1 |
| De 10 kommunene med høyest inntekter: | 26,1 | ||
| De 3 kommunene ekskl. Oslo med høyest innbyggertall: | 1,7 | ||
| Landsgjennomsnitt: | 4,7 | ||
1 >Landsgjennomsnittet er vektet etter innbyggertall, slik at folkerike kommuner veier tyngre enn mindre kommuner. Gruppegjennomsnittene er uvektede, dvs. at hver kommune innen en gruppe veier like tungt, uavhengig av innbyggertall.
Tabell 7.6: Andre økonomiske indikatorer for kommunene ekskl. Oslo gruppert fylkesvis. Netto renter og avdrag og brutto investeringsutgifter i prosent av driftsinntektene 1995-98.
Netto renter og avdrag | Brutto investeringsutgifter | |||||||
| 1995 | 1996 | 1997 | 1998 | 1995 | 1996 | 1997 | 1998 | |
| Østfold | 4,2 | 4,0 | 3,6 | 3,6 | 7,7 | 9,5 | 13,2 | 12,0 |
| Akershus | 5,0 | 4,5 | 3,6 | 5,0 | 11,4 | 10,8 | 18,8 | 22,0 |
| Hedmark | 5,4 | 4,6 | 4,7 | 4,8 | 8,7 | 9,6 | 13,5 | 10,6 |
| Oppland | 3,8 | 4,1 | 3,3 | 3,6 | 7,6 | 9,6 | 14,1 | 14,4 |
| Buskerud | 3,9 | 3,6 | 0,4 | 1,4 | 8,7 | 8,8 | 14,0 | 11,3 |
| Vestfold | 2,8 | 1,9 | -2,2 | 0,4 | 7,8 | 9,0 | 10,7 | 11,3 |
| Telemark | 5,3 | 5,0 | 3,7 | 4,8 | 8,9 | 9,5 | 13,2 | 12,2 |
| Aust-Agder | 4,8 | 4,5 | 4,6 | 4,7 | 11,2 | 14,8 | 15,8 | 15,4 |
| Vest-Agder | 4,5 | 4,7 | 4,3 | 4,2 | 10,9 | 9,7 | 14,9 | 19,4 |
| Rogaland | 2,9 | 2,1 | 1,6 | 1,7 | 12,8 | 12,7 | 15,1 | 14,0 |
| Hordaland | 6,9 | 7,3 | 8,2 | 5,5 | 10,6 | 10,6 | 12,7 | 11,5 |
| Sogn og Fjordane | 7,5 | 3,8 | -3,7 | 3,0 | 12,9 | 13,4 | 14,7 | 15,4 |
| Møre og Romsdal | 6,8 | 5,2 | 3,8 | 4,5 | 10,9 | 12,6 | 16,3 | 14,7 |
| Sør-Trøndelag | 8,0 | 7,3 | 6,7 | 6,0 | 12,4 | 13,0 | 17,5 | 16,5 |
| Nord-Trøndelag | 7,6 | 7,4 | 7,0 | 7,2 | 10,8 | 9,9 | 13,2 | 14,5 |
| Nordland | 4,7 | 3,8 | 4,2 | 4,6 | 10,3 | 11,3 | 16,5 | 14,6 |
| Troms | 8,0 | 7,4 | 6,0 | 7,3 | 9,8 | 11,0 | 16,5 | 14,1 |
| Finnmark | 8,3 | 7,6 | 7,1 | 6,9 | 10,7 | 9,4 | 13,0 | 13,7 |
| Landet | 5,5 | 4,9 | 3,9 | 4,3 | 10,4 | 10,9 | 14,9 | 14,4 |
Andre økonomiske indikatorerlinkintvedlegg008P764_52091> for kommunene ekskl. Oslo, gruppert etter sammenlignbare kommuner.
Tabell 7.7: Netto renter- og avdrag 1998 i prosent av
driftsinntektene.
Kommunene utenom Oslo gruppert etter sammenlignbare kommuner
1>.
Antall innbyggere | |||
| Inntekter | Lavt | Middels | Høyt |
| Lave | - | 3,8 | 3,7 |
| Middels | 3,1 | 4,5 | 5,1 |
| Høye | 4,3 | 3,7 | 5,4 |
| De 10 kommunene med høyest inntekter: | -0,3 | ||
| De 3 kommunene ekskl. Oslo med høyest innbyggertall: | 5,4 | ||
| Landsgjennomsnitt: | 4,3 | ||
1> Landsgjennomsnittet er vektet etter innbyggertall, slik at folkerike kommuner veier tyngre enn mindre kommuner. Gruppegjennomsnittene er uvektede, dvs. at hver kommune innen en gruppe veier like tungt, uavhengig av innbyggertall.
Tabell 7.8: Brutto investeringsutgifter 1998 i prosent av
driftsinntektene.
Kommunene utenom Oslo gruppert etter sammenlignbare kommuner
1>.
Antall innbyggere | |||
| Inntekter | Lavt | Middels | Høyt |
| Lave | - | 14,0 | 13,4 |
| Middels | 14,4 | 13,5 | 17,1 |
| Høye | 12,5 | 13,4 | 14,3 |
| De 10 kommunene med høyest inntekter: | 18,6 | ||
| De 3 kommunene ekskl. Oslo med høyest innbyggertall: | 11,9 | ||
| Landsgjennomsnitt: | 14,4 | ||
1> Landsgjennomsnittet er vektet etter innbyggertall, slik at folkerike kommuner veier tyngre enn mindre kommuner. Gruppegjennomsnittene er uvektede, dvs. at hver kommune innen en gruppe veier like tungt, uavhengig av innbyggertall.
Tabell 7.9 Finansielle indikatorer 1995-1998. Fylkeskommunene.
Prosent av driftsinntekter.
Netto driftsresultat | ||||
| 1995 | 1996 | 1997 | 1998 | |
| Østfold | 3.5 | 4.3 | 2.7 | 0.7 |
| Akershus | 3.5 | 3.3 | 5.9 | 3.4 |
| Hedmark | 4.3 | 3.8 | 1.4 | -0.2 |
| Oppland | 3.9 | 3.0 | 4.5 | 2.3 |
| Buskerud | 4.1 | 3.6 | 2.7 | -0.7 |
| Vestfold | 5.5 | 4.0 | 3.3 | -2.5 |
| Telemark | 6.1 | 5.0 | -0.3 | -1.6 |
| Aust-Agder | 4.7 | 2.7 | 4.9 | 0.5 |
| Vest-Agder | 3.9 | 2.4 | 3.0 | -0.3 |
| Rogaland | -0.3 | -2.1 | -0.1 | 2.7 |
| Hordaland | 2.3 | 1.6 | 4.1 | -0.5 |
| Sogn og Fjordane | 1.8 | 0.9 | 0.6 | -1.1 |
| Møre og Romsdal | 1.2 | 0.9 | 1.4 | 0.4 |
| Sør-Trøndelag | 6.0 | 0.6 | 1.0 | -0.2 |
| Nord-Trøndelag | 2.6 | 0.5 | 1.9 | -0.5 |
| Nordland | 1.7 | 1.1 | 2.3 | -0.7 |
| Troms | 2.0 | 0.0 | 2.6 | 1.1 |
| Finnmark | -0.6 | 0.3 | 2.1 | 0.4 |
| Landet | 3.0 | 1.9 | 2.6 | 0.4 |
Tabell 7.9 forts. Finansielle indikatorer 1995-1998. Fylkeskommunene. Prosent av driftsinntekter.
Langsiktig lånegjeld | Korrigert kontantbeholdning | Akkumulert regnskapsresultat | |||||||||||
| 1995 | 1996 | 1997 | 1998 | 1995 | 1996 | 1997 | 1998 | 1995 | 1996 | 1997 | 1998 | ||
| Østfold | 23.0 | 24.9 | 25.0 | 25.2 | 0.4 | 2.3 | 2.5 | 1.1 | 0.7 | 2.1 | 0.1 | 0.8 | |
| Akershus | 15.7 | 16.9 | 15.2 | 17.2 | -1.5 | -1.4 | 0.4 | -0.8 | 0.4 | 0.0 | 0.0 | 0.4 | |
| Hedmark | 42.0 | 35.8 | 36.1 | 33.3 | -3.6 | -2.5 | -0.8 | -2.2 | -1.0 | 1.5 | 0.0 | 0.0 | |
| Oppland | 22.4 | 24.7 | 21.0 | 18.6 | -0.6 | 1.5 | 2.0 | 0.7 | 1.0 | 0.8 | 0.7 | 0.0 | |
| Buskerud | 33.9 | 32.3 | 34.1 | 30.6 | -1.2 | 1.2 | 1.9 | -3.1 | 2.8 | 1.5 | 2.6 | 1.8 | |
| Vestfold | 40.4 | 42.5 | 41.8 | 39.7 | -0.4 | -3.3 | -5.9 | -12.8 | 2.5 | 0.7 | 0.0 | 0.0 | |
| Telemark | 22.1 | 27.0 | 33.0 | 34.4 | 1.3 | 2.4 | 2.8 | -2.9 | 1.6 | 0.0 | 0.0 | 0.0 | |
| Aust-Agder | 25.3 | 23.7 | 23.7 | 25.1 | 0.2 | 2.4 | 4.3 | 3.8 | 1.6 | 0.2 | 1.1 | 0.6 | |
| Vest-Agder | 47.6 | 47.4 | 44.4 | 44.6 | -2.8 | -1.3 | -0.8 | -1.6 | 0.4 | 0.5 | 1.1 | 0.0 | |
| Rogaland | 33.1 | 34.4 | 32.1 | 29.9 | -3.5 | -5.6 | -5.9 | -3.8 | 0.0 | -1.9 | -2.5 | -0.6 | |
| Hordaland | 42.9 | 36.1 | 32.1 | 31.0 | -1.3 | -3.3 | -1.1 | -3.7 | 2.0 | 0.0 | 0.1 | 0.1 | |
| Sogn og Fjordane | 42.0 | 39.5 | 37.8 | 38.4 | -4.4 | -4.4 | -3.4 | -3.4 | -2.0 | -1.1 | -0.7 | -1.1 | |
| Møre og Romsdal | 28.5 | 27.5 | 22.8 | 18.8 | -1.5 | -2.2 | -2.6 | -7.1 | -0.6 | -0.5 | -0.3 | -0.3 | |
| Sør-Trøndelag | 30.3 | 29.2 | 34.5 | 30.4 | -0.9 | -3.8 | -2.5 | -7.8 | 2.0 | 0.1 | 0.7 | -0.1 | |
| Nord-Trøndelag | 49.7 | 48.5 | 46.2 | 46.9 | 0.5 | -0.5 | -0.1 | -1.1 | 1.5 | 0.6 | 0.2 | -0.1 | |
| Nordland | 13.9 | 11.4 | 10.8 | 9.7 | -2.9 | -4.6 | -4.5 | -5.4 | 0.5 | 0.0 | 0.0 | 0.0 | |
| Troms | 55.7 | 51.5 | 48.0 | 44.4 | 4.9 | 1.9 | 1.8 | 0.9 | 1.3 | 0.0 | 0.0 | 0.0 | |
| Finnmark | 34.5 | 33.5 | 32.9 | 31.3 | 0.0 | 0.4 | 6.4 | 3.9 | 0.1 | 0.0 | 1.5 | 0.0 | |
| Landet | 32.6 | 31.4 | 30.4 | 29.0 | -1.1 | -1.6 | -0.9 | -3.1 | 0.9 | 0.2 | 0.1 | 0.1 | |
Tabell 7.9 forts.
Disposisjonsfond | ||||
| 1995 | 1996 | 1997 | 1998 | |
| Østfold | 2.4 | 2.8 | 4.7 | 2.4 |
| Akershus | 4.3 | 5.1 | 6.9 | 6.0 |
| Hedmark | 0.6 | 0.4 | 2.1 | 1.2 |
| Oppland | 2.1 | 3.2 | 4.5 | 4.6 |
| Buskerud | 0.1 | 3.6 | 2.7 | 2.1 |
| Vestfold | 1.5 | 2.4 | 2.1 | 1.7 |
| Telemark | 3.4 | 6.3 | 4.9 | 4.7 |
| Aust-Agder | 1.5 | 4.9 | 5.6 | 5.7 |
| Vest-Agder | 1.1 | 1.8 | 0.9 | 0.9 |
| Rogaland | 0.5 | 0.3 | 0.3 | 0.4 |
| Hordaland | 1.3 | 2.7 | 4.7 | 3.7 |
| Sogn og Fjordane | 0.2 | 0.1 | 0.6 | 0.9 |
| Møre og Romsdal | 2.8 | 2.7 | 2.1 | 1.3 |
| Sør-Trøndelag | 0.4 | 1.8 | 0.2 | 0.1 |
| Nord-Trøndelag | 1.3 | 1.0 | 2.0 | 1.6 |
| Nordland | 2.5 | 2.0 | 1.4 | 0.5 |
| Troms | 7.5 | 6.5 | 5.4 | 3.7 |
| Finnmark | 1.5 | 1.9 | 6.3 | 5.3 |
| Landet | 2.1 | 2.8 | 3.2 | 2.5 |
Tabell 7.10 Andre økonomiske indikatorer 1995-1998. Fylkeskommunene. Prosent av driftsinntekter.
Netto renter og avdrag | Brutto investeringsutgifter | |||||||
| 1995 | 1996 | 1997 | 1998 | 1995 | 1996 | 1997 | 1998 | |
| Østfold | 1.8 | 1.6 | 2.1 | 1.0 | 8.0 | 9.5 | 5.0 | 4.4 |
| Akershus | 2.0 | 2.2 | 0.5 | 1.1 | 5.5 | 6.4 | 6.2 | 9.0 |
| Hedmark | 4.7 | 4.4 | 3.9 | 3.3 | 5.3 | 3.4 | 5.5 | 4.0 |
| Oppland | 2.3 | 2.4 | 2.6 | 2.1 | 7.3 | 6.2 | 4.4 | 5.6 |
| Buskerud | 3.1 | 1.7 | 1.7 | 1.5 | 3.7 | 4.3 | 6.4 | 8.0 |
| Vestfold | 1.9 | 3.2 | 3.7 | 5.8 | 13.6 | 14.1 | 14.0 | 15.8 |
| Telemark | 2.5 | 2.2 | 2.6 | 3.3 | 8.4 | 10.3 | 12.1 | 10.2 |
| Aust-Agder | 4.5 | 4.0 | 2.7 | 2.9 | 3.9 | 3.6 | 4.7 | 5.5 |
| Vest-Agder | 5.7 | 4.8 | 4.6 | 4.4 | 2.6 | 5.7 | 5.1 | 6.9 |
| Rogaland | 4.7 | 3.6 | 4.6 | 4.7 | 5.7 | 5.9 | 5.3 | 6.1 |
| Hordaland | 6.3 | 5.9 | 5.6 | 5.3 | 6.3 | 6.4 | 7.4 | 7.3 |
| Sogn og Fjordane | 4.3 | 4.3 | 4.0 | 3.1 | 4.2 | 4.2 | 5.5 | 7.2 |
| Møre og Romsdal | 4.6 | 4.0 | 3.0 | 3.1 | 6.7 | 5.4 | 3.1 | 7.5 |
| Sør-Trøndelag | 4.7 | 4.5 | 3.6 | 4.2 | 4.7 | 6.6 | 7.5 | 9.4 |
| Nord-Trøndelag | 4.6 | 4.3 | 2.8 | 3.0 | 4.9 | 6.0 | 5.8 | 5.5 |
| Nordland | 2.5 | 2.3 | 2.4 | 2.1 | 6.3 | 4.9 | 4.8 | 5.9 |
| Troms | 5.0 | 5.1 | 4.1 | 3.2 | 5.2 | 4.2 | 3.7 | 4.5 |
| Finnmark | 3.5 | 4.0 | 3.9 | 3.7 | 9.6 | 4.7 | 6.4 | 5.2 |
| Landet | 3.9 | 3.6 | 3.3 | 3.3 | 6.1 | 6.3 | 6.2 | 7.2 |
Netto renter og avdrag er rente- og avdragsutgifter fratrukket renteinntekter og mottatte avdrag på formidlingslån. Brutto investeringsutgifter er utgifter til investering i realkapital.
Vedlegg 8
Inntekter korrigert for variasjoner i utgiftsbehov
| Knr | Knavn | Korrigerte inntekter 1998 | Korrigerte inntekter ekskl. eiend.skatt og kons. |
| 101 | Halden | 91 | 89 |
| 104 | Moss | 93 | 94 |
| 105 | Sarpsborg | 94 | 90 |
| 106 | Fredrikstad | 91 | 90 |
| 111 | Hvaler | 89 | 92 |
| 118 | Aremark | 101 | 104 |
| 119 | Marker | 93 | 96 |
| 121 | Rømskog | 95 | 98 |
| 122 | Trøgstad | 90 | 92 |
| 123 | Spydeberg | 95 | 96 |
| 124 | Askim | 91 | 93 |
| 125 | Eidsberg | 87 | 90 |
| 127 | Skiptvet | 95 | 95 |
| 128 | Rakkestad | 87 | 90 |
| 135 | Råde | 90 | 94 |
| 136 | Rygge | 93 | 93 |
| 137 | Våler | 95 | 98 |
| 138 | Hobøl | 93 | 96 |
| Østfold | 92 | 91 | |
| 211 | Vestby | 92 | 95 |
| 213 | Ski | 98 | 102 |
| 214 | Ås | 96 | 99 |
| 215 | Frogn | 97 | 100 |
| 216 | Nesodden | 89 | 92 |
| 217 | Oppegård | 109 | 113 |
| 219 | Bærum | 120 | 124 |
| 220 | Asker | 117 | 121 |
| 221 | Aurskog-Høland | 89 | 92 |
| 226 | Sørum | 92 | 95 |
| 227 | Fet | 95 | 98 |
| 228 | Rælingen | 93 | 96 |
| 229 | Enebakk | 96 | 99 |
| 230 | Lørenskog | 105 | 109 |
| 231 | Skedsmo | 99 | 102 |
| 233 | Nittedal | 100 | 104 |
| 234 | Gjerdrum | 100 | 104 |
| 235 | Ullensaker | 106 | 110 |
| 236 | Nes | 90 | 93 |
| 237 | Eidsvoll | 86 | 89 |
| 238 | Nannestad | 100 | 103 |
| 239 | Hurdal | 95 | 98 |
| Akershus | 104 | 108 | |
| 301 | Oslo | 120 | 122 |
| 402 | Kongsvinger | 89 | 90 |
| 403 | Hamar | 87 | 88 |
| 412 | Ringsaker | 88 | 91 |
| 415 | Løten | 88 | 91 |
| 417 | Stange | 86 | 89 |
| 418 | Nord-Odal | 86 | 89 |
| 419 | Sør-Odal | 95 | 96 |
| 420 | Eidskog | 87 | 90 |
| 423 | Grue | 90 | 93 |
| 425 | Åsnes | 88 | 91 |
| 426 | Våler | 96 | 96 |
| 427 | Elverum | 89 | 90 |
| 428 | Trysil | 92 | 94 |
| 429 | Åmot | 102 | 100 |
| 430 | Stor-Elvdal | 97 | 99 |
| 432 | Rendalen | 108 | 103 |
| 434 | Engerdal | 114 | 118 |
| 436 | Tolga | 106 | 108 |
| 437 | Tynset | 99 | 92 |
| 438 | Alvdal | 105 | 103 |
| 439 | Folldal | 114 | 113 |
| 441 | Os | 99 | 103 |
| Hedmark | 91 | 92 | |
| 501 | Lillehammer | 91 | 90 |
| 502 | Gjøvik | 90 | 90 |
| 511 | Dovre | 100 | 102 |
| 512 | Lesja | 93 | 96 |
| 513 | Skjåk | 97 | 97 |
| 514 | Lom | 102 | 103 |
| 515 | Vågå | 96 | 94 |
| 516 | Nord-Fron | 102 | 93 |
| 517 | Sel | 90 | 92 |
| 519 | Sør-Fron | 94 | 96 |
| 520 | Ringebu | 92 | 93 |
| 521 | Øyer | 93 | 92 |
| 522 | Gausdal | 95 | 98 |
| 528 | Østre Toten | 88 | 91 |
| 529 | Vestre Toten | 89 | 92 |
| 532 | Jevnaker | 92 | 93 |
| 533 | Lunner | 90 | 94 |
| 534 | Gran | 86 | 88 |
| 536 | Søndre Land | 95 | 98 |
| 538 | Nordre Land | 96 | 91 |
| 540 | Sør-Aurdal | 96 | 95 |
| 541 | Etnedal | 115 | 119 |
| 542 | Nord-Aurdal | 97 | 93 |
| 543 | Vestre Slidre | 104 | 104 |
| 544 | Øystre Slidre | 91 | 94 |
| 545 | Vang | 104 | 99 |
| Oppland | 93 | 93 | |
| 602 | Drammen | 88 | 91 |
| 604 | Kongsberg | 97 | 96 |
| 605 | Ringerike | 91 | 91 |
| 612 | Hole | 111 | 115 |
| 615 | Flå | 101 | 101 |
| 616 | Nes | 110 | 101 |
| 617 | Gol | 102 | 99 |
| 618 | Hemsedal | 126 | 118 |
| 619 | Ål | 101 | 94 |
| 620 | Hol | 129 | 114 |
| 621 | Sigdal | 95 | 99 |
| 622 | Krødsherad | 96 | 99 |
| 623 | Modum | 89 | 88 |
| 624 | Øvre Eiker | 86 | 89 |
| 625 | Nedre Eiker | 86 | 89 |
| 626 | Lier | 94 | 97 |
| 627 | Røyken | 92 | 95 |
| 628 | Hurum | 91 | 95 |
| 631 | Flesberg | 98 | 99 |
| 632 | Rollag | 99 | 95 |
| 633 | Nore og Uvdal | 132 | 110 |
| Buskerud | 93 | 94 | |
| 701 | Borre | 85 | 87 |
| 702 | Holmestrand | 91 | 93 |
| 704 | Tønsberg | 86 | 89 |
| 706 | Sandefjord | 85 | 88 |
| 709 | Larvik | 85 | 87 |
| 711 | Svelvik | 93 | 95 |
| 713 | Sande | 91 | 94 |
| 714 | Hof | 93 | 97 |
| 716 | Våle | 88 | 91 |
| 718 | Ramnes | 89 | 92 |
| 719 | Andebu | 88 | 91 |
| 720 | Stokke | 89 | 93 |
| 722 | Nøtterøy | 85 | 88 |
| 723 | Tjøme | 87 | 90 |
| 728 | Lardal | 99 | 103 |
| Vestfold | 86 | 89 | |
| 805 | Porsgrunn | 95 | 89 |
| 806 | Skien | 93 | 91 |
| 807 | Notodden | 95 | 93 |
| 811 | Siljan | 99 | 100 |
| 814 | Bamble | 101 | 93 |
| 815 | Kragerø | 88 | 90 |
| 817 | Drangedal | 93 | 95 |
| 819 | Nome | 95 | 94 |
| 821 | Bø | 94 | 95 |
| 822 | Sauherad | 95 | 95 |
| 826 | Tinn | 142 | 110 |
| 827 | Hjartdal | 106 | 97 |
| 828 | Seljord | 99 | 97 |
| 829 | Kviteseid | 93 | 94 |
| 830 | Nissedal | 115 | 105 |
| 831 | Fyresdal | 130 | 105 |
| 833 | Tokke | 175 | 113 |
| 834 | Vinje | 123 | 116 |
| Telemark | 99 | 94 | |
| 901 | Risør | 87 | 90 |
| 904 | Grimstad | 89 | 92 |
| 906 | Arendal | 88 | 91 |
| 911 | Gjerstad | 89 | 92 |
| 912 | Vegårshei | 100 | 103 |
| 914 | Tvedestrand | 90 | 93 |
| 919 | Froland | 96 | 96 |
| 926 | Lillesand | 89 | 92 |
| 928 | Birkenes | 92 | 94 |
| 929 | Åmli | 105 | 101 |
| 935 | Iveland | 110 | 104 |
| 937 | Evje og Hornnes | 97 | 99 |
| 938 | Bygland | 120 | 105 |
| 940 | Valle | 201 | 119 |
| 941 | Bykle | 500 | 184 |
| Aust-Agder | 97 | 94 | |
| 1001 | Kristiansand | 92 | 91 |
| 1002 | Mandal | 88 | 91 |
| 1003 | Farsund | 91 | 94 |
| 1004 | Flekkefjord | 90 | 90 |
| 1014 | Vennesla | 94 | 93 |
| 1017 | Songdalen | 88 | 91 |
| 1018 | Søgne | 90 | 93 |
| 1021 | Marnardal | 101 | 94 |
| 1026 | Åseral | 176 | 129 |
| 1027 | Audnedal | 103 | 105 |
| 1029 | Lindesnes | 90 | 93 |
| 1032 | Lyngdal | 90 | 93 |
| 1034 | Hægebostad | 99 | 102 |
| 1037 | Kvinesdal | 118 | 101 |
| 1046 | Sirdal | 231 | 151 |
| Vest-Agder | 95 | 93 | |
| 1101 | Eigersund | 90 | 90 |
| 1102 | Sandnes | 88 | 91 |
| 1103 | Stavanger | 106 | 106 |
| 1106 | Haugesund | 88 | 88 |
| 1111 | Sokndal | 89 | 91 |
| 1112 | Lund | 98 | 102 |
| 1114 | Bjerkreim | 103 | 104 |
| 1119 | Hå | 93 | 96 |
| 1120 | Klepp | 99 | 100 |
| 1121 | Time | 90 | 93 |
| 1122 | Gjesdal | 97 | 96 |
| 1124 | Sola | 103 | 106 |
| 1127 | Randaberg | 101 | 102 |
| 1129 | Forsand | 183 | 133 |
| 1130 | Strand | 98 | 96 |
| 1133 | Hjelmeland | 158 | 122 |
| 1134 | Suldal | 196 | 126 |
| 1135 | Sauda | 108 | 97 |
| 1141 | Finnøy | 96 | 99 |
| 1142 | Rennesøy | 95 | 98 |
| 1144 | Kvitsøy | 114 | 117 |
| 1145 | Bokn | 101 | 105 |
| 1146 | Tysvær | 110 | 93 |
| 1149 | Karmøy | 93 | 91 |
| 1151 | Utsira | 114 | 115 |
| 1154 | Vindafjord | 90 | 93 |
| Rogaland | 100 | 98 | |
| 1201 | Bergen | 91 | 90 |
| 1211 | Etne | 97 | 96 |
| 1214 | Ølen | 94 | 96 |
| 1216 | Sveio | 88 | 91 |
| 1219 | Bømlo | 88 | 91 |
| 1221 | Stord | 91 | 94 |
| 1222 | Fitjar | 98 | 102 |
| 1223 | Tysnes | 91 | 94 |
| 1224 | Kvinnherad | 97 | 90 |
| 1227 | Jondal | 106 | 104 |
| 1228 | Odda | 129 | 109 |
| 1231 | Ullensvang | 100 | 95 |
| 1232 | Eidfjord | 256 | 162 |
| 1233 | Ulvik | 138 | 111 |
| 1234 | Granvin | 111 | 115 |
| 1235 | Voss | 94 | 93 |
| 1238 | Kvam | 92 | 90 |
| 1241 | Fusa | 106 | 107 |
| 1242 | Samnanger | 100 | 98 |
| 1243 | Os | 92 | 95 |
| 1244 | Austevoll | 96 | 99 |
| 1245 | Sund | 93 | 96 |
| 1246 | Fjell | 92 | 95 |
| 1247 | Askøy | 91 | 94 |
| 1251 | Vaksdal | 105 | 94 |
| 1252 | Modalen | 207 | 148 |
| 1253 | Osterøy | 92 | 95 |
| 1256 | Meland | 96 | 100 |
| 1259 | Øygarden | 179 | 93 |
| 1260 | Radøy | 91 | 94 |
| 1263 | Lindås | 98 | 89 |
| 1264 | Austrheim | 108 | 106 |
| 1265 | Fedje | 110 | 113 |
| 1266 | Masfjorden | 128 | 109 |
| Hordaland | 95 | 93 | |
| 1401 | Flora | 94 | 94 |
| 1411 | Gulen | 102 | 105 |
| 1412 | Solund | 116 | 120 |
| 1413 | Hyllestad | 97 | 100 |
| 1416 | Høyanger | 126 | 111 |
| 1417 | Vik | 116 | 97 |
| 1418 | Balestrand | 114 | 103 |
| 1419 | Leikanger | 99 | 102 |
| 1420 | Sogndal | 102 | 100 |
| 1421 | Aurland | 205 | 143 |
| 1422 | Lærdal | 127 | 110 |
| 1424 | Årdal | 133 | 117 |
| 1426 | Luster | 134 | 103 |
| 1428 | Askvoll | 98 | 101 |
| 1429 | Fjaler | 94 | 97 |
| 1430 | Gaular | 96 | 99 |
| 1431 | Jølster | 99 | 102 |
| 1432 | Førde | 98 | 97 |
| 1433 | Naustdal | 103 | 107 |
| 1438 | Bremanger | 111 | 98 |
| 1439 | Vågsøy | 94 | 97 |
| 1441 | Selje | 93 | 96 |
| 1443 | Eid | 94 | 97 |
| 1444 | Hornindal | 105 | 108 |
| 1445 | Gloppen | 91 | 94 |
| 1449 | Stryn | 91 | 94 |
| Sogn og Fjordane | 106 | 101 | |
| 1502 | Molde | 96 | 94 |
| 1503 | Kristiansund | 94 | 91 |
| 1504 | Ålesund | 90 | 91 |
| 1511 | Vanylven | 93 | 96 |
| 1514 | Sande | 95 | 98 |
| 1515 | Herøy | 98 | 102 |
| 1516 | Ulstein | 102 | 106 |
| 1517 | Hareid | 89 | 92 |
| 1519 | Volda | 91 | 94 |
| 1520 | Ørsta | 90 | 94 |
| 1523 | Ørskog | 102 | 105 |
| 1524 | Norddal | 126 | 104 |
| 1525 | Stranda | 101 | 105 |
| 1526 | Stordal | 97 | 100 |
| 1528 | Sykkylven | 93 | 96 |
| 1529 | Skodje | 91 | 94 |
| 1531 | Sula | 90 | 93 |
| 1532 | Giske | 92 | 95 |
| 1534 | Haram | 89 | 93 |
| 1535 | Vestnes | 97 | 100 |
| 1539 | Rauma | 94 | 91 |
| 1543 | Nesset | 101 | 95 |
| 1545 | Midsund | 101 | 104 |
| 1546 | Sandøy | 104 | 108 |
| 1547 | Aukra | 94 | 97 |
| 1548 | Fræna | 90 | 93 |
| 1551 | Eide | 96 | 100 |
| 1554 | Averøy | 89 | 92 |
| 1556 | Frei | 91 | 94 |
| 1557 | Gjemnes | 100 | 103 |
| 1560 | Tingvoll | 91 | 94 |
| 1563 | Sunndal | 112 | 98 |
| 1566 | Surnadal | 96 | 90 |
| 1567 | Rindal | 107 | 99 |
| 1569 | Aure | 112 | 96 |
| 1571 | Halsa | 98 | 101 |
| 1572 | Tustna | 99 | 102 |
| 1573 | Smøla | 100 | 103 |
| Møre og Romsdal | 95 | 95 | |
| 1601 | Trondheim | 94 | 93 |
| 1612 | Hemne | 105 | 98 |
| 1613 | Snillfjord | 110 | 114 |
| 1617 | Hitra | 95 | 94 |
| 1620 | Frøya | 95 | 98 |
| 1621 | Ørland | 92 | 95 |
| 1622 | Agdenes | 95 | 98 |
| 1624 | Rissa | 91 | 94 |
| 1627 | Bjugn | 91 | 94 |
| 1630 | Åfjord | 93 | 96 |
| 1632 | Roan | 98 | 102 |
| 1633 | Osen | 108 | 111 |
| 1634 | Oppdal | 96 | 95 |
| 1635 | Rennebu | 108 | 96 |
| 1636 | Meldal | 91 | 94 |
| 1638 | Orkdal | 92 | 95 |
| 1640 | Røros | 94 | 95 |
| 1644 | Holtålen | 89 | 92 |
| 1648 | Midtre Gauldal | 90 | 92 |
| 1653 | Melhus | 89 | 91 |
| 1657 | Skaun | 92 | 95 |
| 1662 | Klæbu | 101 | 100 |
| 1663 | Malvik | 91 | 94 |
| 1664 | Selbu | 100 | 95 |
| 1665 | Tydal | 187 | 137 |
| Sør-Trøndelag | 94 | 95 | |
| 1702 | Steinkjer | 90 | 91 |
| 1703 | Namsos | 90 | 91 |
| 1711 | Meråker | 105 | 99 |
| 1714 | Stjørdal | 87 | 90 |
| 1717 | Frosta | 90 | 93 |
| 1718 | Leksvik | 95 | 98 |
| 1719 | Levanger | 87 | 90 |
| 1721 | Verdal | 88 | 91 |
| 1723 | Mosvik | 102 | 101 |
| 1724 | Verran | 105 | 103 |
| 1725 | Namdalseid | 105 | 108 |
| 1729 | Inderøy | 93 | 97 |
| 1736 | Snåsa | 103 | 104 |
| 1738 | Lierne | 116 | 114 |
| 1739 | Røyrvik | 173 | 127 |
| 1740 | Namsskogan | 148 | 123 |
| 1742 | Grong | 102 | 98 |
| 1743 | Høylandet | 101 | 104 |
| 1744 | Overhalla | 95 | 97 |
| 1748 | Fosnes | 119 | 123 |
| 1749 | Flatanger | 114 | 118 |
| 1750 | Vikna | 100 | 103 |
| 1751 | Nærøy | 96 | 99 |
| 1755 | Leka | 139 | 144 |
| Nord-Trøndelag | 94 | 96 | |
| 1804 | Bodø | 100 | 100 |
| 1805 | Narvik | 103 | 98 |
| 1811 | Bindal | 110 | 103 |
| 1812 | Sømna | 104 | 107 |
| 1813 | Brønnøy | 97 | 99 |
| 1815 | Vega | 111 | 115 |
| 1816 | Vevelstad | 132 | 136 |
| 1818 | Herøy | 114 | 118 |
| 1820 | Alstahaug | 103 | 102 |
| 1822 | Leirfjord | 99 | 102 |
| 1824 | Vefsn | 99 | 97 |
| 1825 | Grane | 113 | 113 |
| 1826 | Hattfjelldal | 115 | 116 |
| 1827 | Dønna | 112 | 115 |
| 1828 | Nesna | 112 | 116 |
| 1832 | Hemnes | 83 | 104 |
| 1833 | Rana | 101 | 99 |
| 1834 | Lurøy | 105 | 108 |
| 1835 | Træna | 128 | 132 |
| 1836 | Rødøy | 115 | 115 |
| 1837 | Meløy | 111 | 96 |
| 1838 | Gildeskål | 106 | 104 |
| 1839 | Beiarn | 123 | 107 |
| 1840 | Saltdal | 102 | 104 |
| 1841 | Fauske | 108 | 99 |
| 1842 | Skjerstad | 108 | 110 |
| 1845 | Sørfold | 140 | 115 |
| 1848 | Steigen | 104 | 107 |
| 1849 | Hamarøy | 108 | 103 |
| 1850 | Tysfjord | 109 | 99 |
| 1851 | Lødingen | 98 | 101 |
| 1852 | Tjeldsund | 110 | 113 |
| 1853 | Evenes | 105 | 109 |
| 1854 | Ballangen | 107 | 109 |
| 1856 | Røst | 121 | 125 |
| 1857 | Værøy | 119 | 123 |
| 1859 | Flakstad | 109 | 112 |
| 1860 | Vestvågøy | 94 | 97 |
| 1865 | Vågan | 96 | 98 |
| 1866 | Hadsel | 99 | 101 |
| 1867 | Bø | 98 | 101 |
| 1868 | Øksnes | 100 | 103 |
| 1870 | Sortland | 100 | 100 |
| 1871 | Andøy | 98 | 101 |
| 1874 | Moskenes | 117 | 121 |
| Nordland | 103 | 107 | |
| 1901 | Harstad | 107 | 107 |
| 1902 | Tromsø | 112 | 112 |
| 1911 | Kvæfjord | 107 | 111 |
| 1913 | Skånland | 102 | 106 |
| 1915 | Bjarkøy | 115 | 119 |
| 1917 | Ibestad | 109 | 112 |
| 1919 | Gratangen | 112 | 116 |
| 1920 | Lavangen | 122 | 126 |
| 1922 | Bardu | 124 | 111 |
| 1923 | Salangen | 106 | 109 |
| 1924 | Målselv | 110 | 109 |
| 1925 | Sørreisa | 103 | 107 |
| 1926 | Dyrøy | 115 | 119 |
| 1927 | Tranøy | 114 | 118 |
| 1928 | Torsken | 121 | 125 |
| 1929 | Berg | 113 | 114 |
| 1931 | Lenvik | 107 | 109 |
| 1933 | Balsfjord | 101 | 105 |
| 1936 | Karlsøy | 114 | 118 |
| 1938 | Lyngen | 102 | 105 |
| 1939 | Storfjord | 123 | 115 |
| 1940 | Kåfjord | 118 | 113 |
| 1941 | Skjervøy | 114 | 118 |
| 1942 | Nordreisa | 106 | 107 |
| 1943 | Kvænangen | 119 | 114 |
| Troms | 110 | 111 | |
| 2002 | Vardø | 137 | 140 |
| 2003 | Vadsø | 127 | 129 |
| 2004 | Hammerfest | 128 | 131 |
| 2011 | Kautokeino | 137 | 140 |
| 2012 | Alta | 119 | 120 |
| 2014 | Loppa | 134 | 138 |
| 2015 | Hasvik | 160 | 165 |
| 2017 | Kvalsund | 136 | 141 |
| 2018 | Måsøy | 138 | 143 |
| 2019 | Nordkapp | 129 | 134 |
| 2020 | Porsanger | 127 | 131 |
| 2021 | Karasjok | 149 | 154 |
| 2022 | Lebesby | 157 | 151 |
| 2023 | Gamvik | 165 | 170 |
| 2024 | Berlevåg | 158 | 162 |
| 2025 | Deatnu-Tana | 128 | 132 |
| 2027 | Nesseby | 131 | 135 |
| 2028 | Båtsfjord | 139 | 144 |
| 2030 | Sør-Varanger | 124 | 124 |
| Finnmark | 131 | 133 | |
| Landet | 100 | 100 | |
Vedlegg 9
Utvalgets mandat og sammensetning
I kongelig resolusjon av 2. mars 1979 om oppnevning av utvalget ble mandatet formulert slik:
«Det blir oppnemnt eit berekningsutval til å utvikle eit system for rapportering, statistisk beabeiding og fagleg vurdering av data som gjeld økonomien i kommunane og fylkeskommunane».
I premissene til resolusjonen ble mandatet nærmere presisert:
«Utvalget bør ha til oppgåve å gjere opplegg til og gjennomføre faglege analyser av økonomiske tilhøve i kommunane og fylkeskommunane. Utvalget bør gje råd om kva slags data som bør hentast inn og om korleis dette bør gjerast ut frå ei fagleg vurdering. Siktemålet må vere etter kvart å utvikle eit praktisk tenleg rapporteringssystem og analyseopplegg for kommuneøkonomi med eintydig terminologi. Utvalget skal dessutan gje departementet og Regjeringa faglege vurderingar og råd i spørsmål som gjeld økonomiske tilhøve i kommunane og fylkeskommunane, dette m.a. i samband med tiltak som kan ha kommunaløkonomiske konsekvensar».
I brev av 20. januar 1981 til de berørte instanser ga departementet en ytterligere presisering av Utvalgets oppgaver. Spesielt gjaldt dette arbeidet med spørsmål som har tilknytning til fastlegging av den statlige politikk for økonomien i kommuner og fylkeskommuner. Departementet uttalte bl.a.:
1) Det blir året igjennom arbeidd med saker og
gjort vedtak som har verknader
for kommunal og fylkeskommunal økonomi. Dei endelege rammene
for kommunal og fylkeskommunal økonomi for neste år blir stort sett
fastlagt og
gjennom arbeidet med revidert nasjonalbudsjett og
skatteutjamningsproposisjonen om våren. Det tekniske
berekningsutvalet skal
til arbeidet med desse sakene og elles når departementet ber
om det, leggje
fram eit materiale som kan gjeve best mogleg grunnlag for
utforminga av den
statlege politikken som gjeld økonomien i kommunane og
fylkeskommunane.
Bakgrunnsmaterialet bør innehalde:
- ei oversikt over dei tilhøve utvalet meiner er viktige for vurderinga av økonomien i kommunar og fylkeskommunar, og ei vurdering av desse tilhøva og av utviklings- tendensane. Vurderingane bør gjelde både kommunane og fylkeskommunane sett under eitt og så langt råd er og gjeva oversyn over variasjonane mellom dei ulike kommunar og fylkeskommunar,
- ei analyse av korleis framlegg til statlege tiltak vil påverke økonomien i kommunane og fylkeskommunane,
- så langt utvalet finn det forsvarleg, oversyn over og analyse av hovudproblem i den næraste tida framover.
Utgreiingane bør så langt råd er, byggje på statistikk, men når statistikk manglar, bør utvalet basere analyser på overslag som utvalet sjølv utarbeider. Utgreiingane frå utvalet skal avgjevast til Kommunaldepartementet.
2) Ansvaret for innhenting av data og det statistiske arbeidet med desse skal etter føresetnadene liggje til Statistisk Sentralbyrå. Byrået må og organisere innrapporteringsrutinane og herunder utnytte datatilfang som alt ligg føre, m.a. i dataanlegg. Men utvalet må gjeva råd om kva for data som bør hentast inn og kva tid dei bør liggje føre, med andre ord formulere krav som må stillast til analysegrunnlag og innrapporteringssystem. Det vil og vere sjølvsagt at utvalet etter kvart under sitt arbeid, peikar på manglar ved statistikken og på ny statistikk som trengst.
3) Ut over det som er nevnt under 1 og 2 meiner departementet at det er aktuelt at utvalet tek initiativ til å få utvikle berekningsmodellar slik at det etter kvart på grunnlag av dei data som vil liggje føre, kan hjelpe departementet med konsekvensberekningar både for kommuneøkonomien samla og fordelt på kommunar og fylkeskommunar og for ulike typar av kommuner».
Utvalget har for tiden følgende sammensetning:
Utvalgsmedlemmer:
Professor Rune Sørensen, BI, leder
Avdelingsdirektør Eivind Dale, Kommunal- og
regionaldepartementet
Avdelingsdirektør Thor Bernstrøm, Kommunal- og
regionaldepartementet
Regionalutviklingssjef Arnhild Danielsen, Buskerud
fylkeskommune
Seksjonssjef Mads Rye, Kommunenes Sentralforbund
Underdirektør Sigrid Russwurm, Finansdepartementet
Rådgiver Målfrid Bjærum, Finansdepartementet
Seksjonssjef Ann Lisbet Brathaug, Statistisk sentralbyrå
Konsulent Lilian Høverstad, Fürst og Høverstad ANS
Avdelingsdirektør Alette Schreiner, Kirke-, undervisnings-
og forskningsdepartementet
Ekspedisjonssjef Hans Knut Hauge, Sosial- og
helsedepartementet
Forbundssekretær Jan Stenersen, Norsk Kommuneforbund
Sekretariatet:
Underdirektør Anders Harildstad,
Finansdepartementet
Rådgiver Trond Hjelmervik Hansen, Kommunenes
Sentralforbund
Førstekonsulent Irene Arnesen, Statistisk
sentralbyrå
Førstekonsulent Pål Drevland, Statistisk sentralbyrå
Forsker Audun Langørgen, Statistisk sentralbyrå
Rådgiver Grete Lilleschulstad, Kommunal- og
regionaldepartementet
Rådgiver Einar Bye, Kommunal- og regionaldepartementet
Prosjektleder Grethe Hjelle, Kommunal- og
regionaldepartementet