3 Den økonomiske politikken
3.1 Budsjettpolitikken
3.1.1 Hovedtrekk i budsjettpolitikken
Regjeringens hovedmål for den økonomiske politikken er arbeid for alle, en rettferdig fordeling, å videreutvikle det norske velferdssamfunnet og å bidra til en bærekraftig utvikling. De ulike delene av den økonomiske politikken må virke sammen for å nå disse målene.
I tråd med beskrivelsen i Regjeringens langtidsprogram skal budsjettpolitikken, som en viktig del av den økonomiske politikken, ivareta følgende hovedhensyn:
Budsjettpolitikken må bidra til en stabil økonomisk utvikling, hvor en unngår unødig sterke konjunkturutslag. Midlene som disponeres over statsbudsjettet, utgjør en så stor andel av den samlede økonomien i Norge at det i praksis ikke er mulig å oppnå en stabil økonomisk utvikling uten at budsjettpolitikken tar et hovedansvar.
Budsjettpolitikken må være opprettholdbar over tid, slik at det ikke etter noen år blir nødvendig med store politikkomlegginger som svekker grunnlaget for velferden. Med utsikter til senere nedgang i petroleumsinntektene og kraftig økning i utgiftene til pensjoner og omsorg, må store deler av de høye oljeinntektene det nærmeste tiåret avsettes i Petroleumsfondet.
Budsjettpolitikken må bidra til en effektiv utnyttelse av ressursene både i offentlig og privat sektor. Handlingsrommet i budsjettpolitikken bestemmes ikke primært av hvor mye oljeinntekter som er tilgjengelig, men av arbeidsstyrkens størrelse og kompetanse og av hvor effektivt vi utnytter våre ressurser. Over tid er derfor en styrking av arbeidslinjen i sysselsettings- og trygdepolitikken, arbeidet med å styrke og fornye offentlig sektor, og andre tiltak for å forbedre økonomiens virkemåte avgjørende for å trygge og videreutvikle våre velferdsordninger.
I forslaget til endringer i statsbudsjettet for 2001 som presenteres i denne meldingen, legger Regjeringen stor vekt på at statsbudsjettet gjennomføres ut fra de rammene Stortinget har vedtatt. Som omtalt i kapittel 2, er det ikke kommet ny informasjon om konjunkturutviklingen som tilsier endringer i budsjettpolitikken for 2001. Arbeidsmarkedet er fortsatt preget av betydelig mangel på arbeidskraft i mange sektorer, og pris- og lønnsveksten er høyere enn hos våre handelspartnere. I denne situasjonen vil Regjeringen advare mot å svekke budsjettet i forhold til de rammene Stortinget har vedtatt.
De nye retningslinjene for budsjettpolitikken, som ble lagt fram i St.meld. nr. 29 (2000-2001) tilsier ingen økning i bruken av oljeinntekter over statsbudsjettet i 2001. Det strukturelle, oljekorrigerte underskuddet for inneværende år ligger høyere enn det som ville vært nivået, dersom en hadde lagt de nye retningslinjene til grunn for budsjettpolitikken allerede fra 2001.
Regjeringen holder dermed fast ved samme innretning av statsbudsjettet for 2001 som det Stortinget har vedtatt. Hovedtrekkene i budsjettopplegget for 2001 er:
Et strukturelt, oljekorrigert budsjettunderskudd i 2001 på om lag 1,9 pst. av trend-BNP for Fastlands-Norge, eller vel 20 mrd. kroner. Sist høst ble det strukturelle oljekorrigerte budsjettunderskuddet anslått å være uendret fra 2000 til 2001. Ny informasjon om regnskapet for 2000 gjør at underskuddet i 2000 nå anslås til 1,6 pst. av trend-BNP for Fastlands-Norge.
En reell økning i innbetalte skatter og avgifter, inkludert endringer i barnetrygden, på vel 6,7 mrd. kroner. Påløpte skatter og avgifter øker med knapt 4,6 mrd. kroner fra 2000 til 2001. Dette er om lag det samme som anslått ved salderingen av budsjettet for inneværende år.
En reell, underliggende vekst i statsbudsjettets utgifter fra 2000 til 2001 på om lag 2¾ pst.
En realvekst på om lag 4½ mrd. kroner i kommuneforvaltningens samlede inntekter, tilsvarende om lag 2 pst. Dette er moderat høyere enn i saldert budsjett.
Et oljekorrigert underskudd på statsbudsjettet for 2001 anslått til 5,3 mrd. kroner. Dette er en reduksjon på 6,6 mrd. kroner fra saldert budsjett. Det oljekorrigerte underskuddet dekkes ved en tilsvarende overføring fra Statens petroleumsfond.
Et anslag for statens netto kontantstrøm fra petroleumsvirksomheten på 222,5 mrd. kroner i 2001. Dette er en økning på 33,5 mrd. kroner i forhold til saldert budsjett, som i hovedsak skyldes at anslaget for gjennomsnittlig oljepris for inneværende år er oppjustert fra 180 til 225 kroner pr. fat. Medregnet renter og utbytte mv. i Petroleumsfondet på 16 mrd. kroner, anslås det samlede overskuddet på statsbudsjettet og i Statens petroleumsfond til 233,2 mrd. kroner. Dette er 41,0 mrd. kroner mer enn anslått i saldert budsjett. Ved utgangen av 2001 anslås den samlede kapitalen i Statens petroleumsfond til 631,7 mrd. kroner. Anslaget er økt med om lag 42,6 mrd. kroner siden Nasjonalbudsjettet 2001.
For offentlig forvaltning i alt, som i tillegg til statsforvaltningen også omfatter kommuneforvaltningen, anslås nettofinansinvesteringer i 2001 til 240,5 mrd. kroner eller 16,2 pst. av BNP. Tabell 3.4 viser hvordan offentlig forvaltnings nettofinansinvesteringer framkommer. Medregnet kapitalen i Petroleumsfondet og kapitalinnskudd i statlig forretningsdrift, anslås offentlig forvaltnings nettofordringer ved utgangen av 2001 til knapt 940 mrd. kroner, tilsvarende 63 pst. av BNP.
Statsbudsjettets inntekter og utgifter er vist i tabellene 3.1 og 3.2, mens tabell 3.3 gir inntekter og utgifter i Statens petroleumsfond. Gjennomføringen av budsjettpolitikken i 2001 er nærmere omtalt i avsnitt 3.1.3.
Inntekter fra planlagt salg av SDØE-andeler og aksjer i Statoil er ikke innarbeidet i anslag på regnskap eller tallene for Statens petroleumsfond gitt i denne meldingen. Det er inngått avtale mellom Olje- og energidepartementet og Statoil om salg av SDØE-andeler til Statoil, hvor det er tatt forbehold om Stortingets godkjennelse. Stortinget er i St.prp. nr. 68 (2000-2001) invitert til å gi slik godkjennelse. Det arbeides videre med sikte på å gjennomføre salg av aksjer i Statoil før sommeren, men det er fortsatt en del usikkerhet rundt tidspunkt for og størrelse på denne transaksjonen.
Ifølge retningslinjene for Statens petroleumsfond skal Regjeringen i Revidert nasjonalbudsjett gi anslag for avsetningen i Statens petroleumsfond i det påfølgende år, basert på foreløpige forutsetninger om budsjettpolitikken. Anslagene for 2002 som presenteres i denne meldingen, er basert på den økonomiske utviklingen som er beskrevet i kapittel 2. Det er lagt til grunn en budsjettpolitikk i tråd med de nye retningslinjene som er trukket opp i St.meld. nr. 29 (2000-2001).
Med disse forutsetningene anslås statsbudsjettets oljekorrigerte underskudd til om lag 33 mrd. kroner i 2002. Underskuddet påvirkes av at det i forbindelse med den statlige overtakelsen av sykehusene er lagt opp til et gjeldsoppgjør mellom staten og fylkeskommunene, jf. omtale i St.prp. nr. 82 (2000-2001), Kommuneproposisjonen. Statlige bevilgninger til reduksjon av fylkeskommunenes gjeld anslås isolert sett å bidra til å øke det oljekorrigerte underskuddet med om lag 18 mrd. kroner. Samtidig reduseres bevilgningene til fylkeskommunene med 1,9 mrd. kroner som følge av at deres utgifter til gjeldsbetjening går ned.
Statens netto kontantstrøm fra petroleumsvirksomheten i 2002 anslås til 211,2 mrd. kroner, bl. a. basert på en forutsetning om en gjennomsnittlig oljepris på 190 kroner pr. fat (2001-priser). Etter overføring av midler til statsbudsjettet for å dekke det oljekorrigerte underskuddet, anslås avsetningen i Statens petroleumsfond til 178,3 mrd. kroner i 2002. I tillegg anslås rente- og utbytteinntektene i Statens petroleumsfond til 23,2 mrd. kroner. Dette gir et overskudd på statsbudsjettet og i Statens petroleumsfond på 201,5 mrd. kroner.
3.1.2 Statsregnskapet for 2000
Statsregnskapet for 2000 viser et samlet overskudd på statsbudsjettet og i Statens petroleumsfond på 164,3 mrd. kroner, jf. tabell 3.1 og tabell 3.2. I det salderte statsbudsjettet, som ble vedtatt av Stortinget høsten 1999, ble overskuddet anslått til 79,2 mrd. kroner. Økningen skyldes først og fremst at inntektene fra petroleumsvirksomheten er justert opp fra 85,1 mrd. kroner i saldert budsjett, til 161,4 mrd. kroner i statsregnskapet for 2000.
Tabell 3.1 Hovedtall på statsbudsjettet og i Statens petroleumsfond. Mrd. kroner
| Regnskap | Anslag på regnskap | Teknisk framskriving | |||
| 1999 | 2000 | 2001 | 2002 | ||
| Totale inntekter | 499,6 | 643,6 | 728,3 | ||
| 1 | Inntekter fra petroleumsvirksomhet | 75,6 | 184,6 | 243,6 | |
| 1.1 Skatter og avgifter | 18,7 | 61,5 | 110,0 | ||
| 1.2 Andre petroleumsinntekter | 56,9 | 123,2 | 133,6 | ||
| 2 | Inntekter utenom petroleumsinntekter | 424,0 | 459,0 | 484,7 | |
| 2.1 Skatter og avgifter fra Fastlands-Norge | 379,7 | 406,7 | 426,9 | ||
| 2.2 Andre inntekter | 44,3 | 52,4 | 57,8 | ||
| Totale utgifter | 467,0 | 490,2 | 511,1 | ||
| 1 | Utgifter til petroleumsvirksomhet | 31,0 | 23,3 | 21,1 | |
| 2 | Utgifter utenom petroleumsvirksomhet | 436,0 | 467,0 | ||
| 2.1 Kjøp av varer og tjenester | 104,5 | 106,0 | 101,8 | ||
| 2.2 Overføringer | 331,5 | 360,9 | 388,2 | ||
| Overskudd på statsbudsjettet før overføring til Statens petroleumsfond | 32,6 | 153,4 | 217,2 | 178,3 | |
| - | Netto kontantstrøm fra petroleumsvirksomhet | 44,6 | 161,4 | 222,5 | 211,2 |
| = | Oljekorrigert overskudd | -12,1 | -7,9 | -5,3 | -33,01) |
| + | Overført fra Statens petroleumsfond | 18,5 | 9,5 | 5,3 | 33,0 |
| = | Overskudd på statsbudsjettet | 6,4 | 1,5 | 0,0 | 0,0 |
| + | Netto avsatt i Statens petroleumsfond | 26,1 | 151,9 | 217,2 | 178,3 |
| + | Rente- og utbytteinntekter mv. i Statens petroleumsfond | 7,3 | 10,9 | 16,0 | 23,2 |
| = | Samlet overskudd på statsbudsjettet og i Statens petroleumsfond | 39,9 | 164,3 | 233,2 | 201,5 |
| Memo: | |||||
| Kapital i Statens petroleumsfond pr. 31.12 målt til markedsverdi | 220,9 | 386,6 | 631,7 | 850,7 | |
1) I forbindelse med statlig overtakelse av sykehusene er det lagt opp til et gjeldsoppgjør for fylkeskommunene. Statlige bevilgninger til dette anslås å bidra til å øke det oljekorrigerte underskuddet i 2002 med om lag 18 mrd. kroner
Kilde: Finansdepartementet.
Det oljekorrigerte underskuddet i regnskapet for 2000 ble 7,9 mrd. kroner, som er 5,3 mrd. kroner lavere enn anslått i det salderte budsjettet. Rente- og utbytteinntekter mv. i Statens petroleumsfond utgjorde 10,9 mrd. kroner, en økning på 3,5 mrd. kroner sammenliknet med saldert budsjett, jf. tabell 3.5.
Regnskapet for 2000 innebærer en reell, underliggende vekst i statsbudsjettets utgifter fra 1999 til 2000 på 1¾ pst.
I St. meld. nr. 29 (2000-2001) ble den strukturelle, oljekorrigerte budsjettbalansen for 2000 anslått til knapt 20 mrd. kroner, eller 1,9 pst. som andel av trend-BNP for Fastlands-Norge. Statsregnskapet for 2000 viser et lavere oljekorrigert underskudd enn anslått i St. meld. nr. 29 (2000-2001), som også innebærer et lavere strukturelt, oljekorrigert underskudd. Det strukturelle, oljekorrigerte budsjettunderskuddet for 2000 anslås nå til 16,8 mrd. kroner, tilsvarende om lag 1,6 pst. av trend-BNP for Fastlands-Norge.

Figur 3.1 Hovedtrekk i budsjettpolitikken
1) Tilsvarer den olje-, rente- og aktivitetskorrigerte budsjettindikatoren.
2) Statsbudsjettets utgifter korrigert bl.a. for utgifter til oljevirksomhet, dagpenger og renter.
Kilde: Statistisk sentralbyrå og Finansdepartementet.
3.1.3 Endringer i statsbudsjettet for 2001
I arbeidet med Revidert nasjonalbudsjett for 2001 har Regjeringen lagt til grunn at budsjettet skal ha samme innretning som det Stortinget vedtok før jul. Dette svarer til et strukturelt, oljekorrigert budsjettunderskudd på om lag 1,9 pst. av trend-BNP for Fastlands-Norge.
Regjeringen foreslår i forbindelse med Revidert nasjonalbudsjett økte bevilgninger for å dekke merutgifter på til sammen 4,2 mrd. kroner. De største økningene gjelder kompensasjon til kommunene for økte etterlatte- og barnepensjoner, slik det ble lagt opp til i budsjettforliket, samt økt verftsstøtte på bakgrunn av høy ordreinngang mot slutten av 2000. Tidligere i år er det fremmet forslag som har økt utgiftene med 0,9 mrd. kroner. Dette gjelder bl.a. gjennomføring av fastlegereformen og gjennomgang av Rikshospitalets økonomi. Utgiftsøkningene motsvares dels av lavere utgifter under folketrygden og lavere utgifter under ordningen med innsatsstyrt finansiering av sykehus. Om lag 0,9 mrd. kroner av utgiftsøkningene har karakter av regnskapsmessige omlegginger. Videre er det lagt opp til at 2,4 mrd. kroner dekkes opp ved redusert reserve for tilleggsbevilgninger, og at budsjettets inntektsside styrkes med om lag 0,2 mrd. kroner.
Basert på det materialet som nå legges fram, kan det samlede overskuddet på statsbudsjettet og i Statens petroleumsfond for 2001 anslås til 233,2 mrd. kroner. Dette er 41,0 mrd. kroner høyere enn i saldert budsjett, jf. tabell 3.6. Oppjusteringen er i hovedsak knyttet til økt netto kontantstrøm fra petroleumsvirksomheten (opp 33,5 mrd. kroner) pga. oppjusterte anslag for oljeprisen. Som omtalt i avsnitt 3.1.1 er inntekter fra salg av SDØE-andeler og aksjer i Statoil ikke innarbeidet i anslaget på regnskap i denne meldingen.
Det oljekorrigerte underskuddet i 2001 anslås til 5,3 mrd. kroner. Dette er 6,6 mrd. lavere enn anslått i saldert budsjett.
Tabell 3.6 viser bidrag fra ulike inntekts- og utgiftsposter:
Samlede skatter og avgifter fra Fastlands-Norge er oppjustert med 10,3 mrd. kroner i forhold til saldert budsjett. Dette skyldes i hovedsak at anslagene for skatte- og avgiftsinntektene i 2000 ble betydelig oppjustert i nysaldert budsjett for 2000. Disse oppjusteringene skyldes i stor grad økte etterskuddsskatter fra bedrifter, og høyere inntekter fra merverdiavgiften. Oppjusteringen er videreført til 2001. I de oppjusterte skatte- og avgiftsinntektene i 2001 er det også tatt hensyn til en observert økning i skatteinngangen til og med mars måned i inneværende år.
Netto renteinntekter, dvs. renteinntekter fratrukket renteutgifter, er nedjustert med 1,1 mrd. kroner.
Inntekter utenom skatter og avgifter og renter er oppjustert med 0,6 mrd. kroner.
Utgifter utenom dagpenger og renter netto er økt med 3,2 mrd. kroner i forhold til saldert budsjett, jf. tabell 3.6. Denne økningen omfatter blant annet den nevnte tilleggsbevilgningen til kommunesektoren på 1 250 mill. kroner for å dekke avsetninger til etterlatte- og barnepensjoner. I tillegg kommer bl.a. 503 mill. kroner knyttet til omlegging til nettobudsjettering ved universitetene, 427 mill. kroner til arbeidsmarkedstiltak og 500 mill. kroner som følge av en overførbar bevilgning i 2000-budsjettet til pasientbehandling i utlandet.
Den reelle, underliggende veksten i statsbudsjettets utgifter fra 2000 til 2001 anslås etter dette til om lag 2¾ pst.
Tallene i denne meldingen viser et strukturelt, oljekorrigert budsjettunderskudd i 2001 på om lag 1,9 pst. av trend-BNP for Fastlands-Norge, eller vel 20 mrd. kroner. Sist høst ble det strukturelle, oljekorrigerte budsjettunderskuddet anslått å være uendret fra 2000 til 2001. Ny informasjon om regnskapet for 2000 gjør at underskuddet i 2000 nå anslås til 1,6 pst. av trend-BNP for Fastlands- Norge. Det er nærmere redegjort for den strukturelle, oljekorrigerte budsjettbalansen i boks 3.1.
Offentlig forvaltning omfatter statsbudsjettet medregnet folketrygden, Statens petroleumsfond og andre statsregnskaper, bl.a. Folketrygdfondet, samt kommuneforvaltningen. Nettofinansinvesteringer i offentlig forvaltning, som er et mål på det samlede budsjettoverskuddet for stats- og kommuneforvaltningen, anslås til 240,5 mrd. kroner i 2001. Dette tilsvarer 16,2 pst. av BNP, jf. tabell 3.4 og figur 3.2.A. Staten har betydelig høyere fordringer enn gjeld, slik at offentlig forvaltning samlet sett er i netto fordringsposisjon. Totale netto fordringer i offentlig forvaltning, medregnet kapitalen i Statens petroleumsfond, kapitalinnskudd i oljevirksomheten og annen statlig forretningsdrift, er anslått til knapt 940 mrd. kroner ved utgangen av år 2001, eller om lag 63 pst. av BNP. Av dette utgjør kapitalen i Statens petroleumsfond om lag 632 mrd. kroner, eller om lag 43 pst. av BNP (jf. figur 3.2.B). Oppbyggingen av statens finansformue er i hovedsak knyttet til inntektene fra olje- og gassvirksomheten, og har dermed delvis en motpost i at statens petroleumsformue bygges ned.
Tabell 3.2 Statsbudsjettets inntekter og utgifter. Mill. kroner
| Prosentvis endring | |||||||
| Mill. kroner | fra foregående år | ||||||
| 1999 | 2000 | 2001 | 2000 | 2001 | |||
| A | Inntekter utenom overføringer fra Statens petroleumsfond | 499 570 | 643 649 | 728 270 | 28,8 | 13,1 | |
| A.1 | Inntekter fra petroleumsvirksomhet | 75 589 | 184 623 | 243 568 | 144,2 | 31,9 | |
| 1 | Skatter og avgifter fra petroleumsvirksomhet | 18 736 | 61 455 | 110 000 | 228,0 | 79,0 | |
| 2 | Inntekter fra statlig petroleumsvirksomhet | 56 853 | 123 168 | 133 568 | 116,6 | 8,4 | |
| - Driftsresultat i statlig petroleumsvirksomhet | 32 457 | 95 396 | 100 000 | 193,9 | 4,8 | ||
| - Renteinntekter | 8 400 | 8 411 | 8 400 | 0,1 | -0,1 | ||
| - Tilbakeføring av kapitalinnskudd | 15 343 | 17 006 | 19 500 | 10,8 | 14,7 | ||
| - Andre petroleumsinntekter | 652 | 2 355 | 5 668 | 261,1 | 140,7 | ||
| A.2 | Inntekter utenom oljeskatter og inntekter fra statlig petroleumsvirksomhet | 423 981 | 459 026 | 484 702 | 8,3 | 5,6 | |
| 1 | Skatter og avgifter fra Fastlands-Norge | 379 709 | 406 666 | 426 864 | 7,1 | 5,0 | |
| - Skatt på inntekt, formue og kapital | 204 270 | 220 151 | 231 300 | 7,8 | 5,1 | ||
| - Produksjonsavgifter | 175 439 | 186 516 | 195 564 | 6,3 | 4,9 | ||
| 2 | Overført fra Norges Bank | 3 401 | 10 685 | 10 685 | 214,2 | 0,0 | |
| 3 | Renteinntekter | 14 235 | 14 764 | 18 539 | 3,7 | 25,6 | |
| 4 | Andre inntekter | 26 636 | 26 911 | 28 615 | 1,0 | 6,3 | |
| B | Utgifter utenom overføringer til Statens petroleumsfond | 467 009 | 490 219 | 511 077 | 5,0 | 4,3 | |
| B.1 | Utgifter til statlig petroleumsvirksomhet | 30 962 | 23 250 | 21 062 | -24,9 | -9,4 | |
| - Investeringer i statlig petroleumsvirksomhet | 30 337 | 22 647 | 20 100 | -25,3 | -11,2 | ||
| - Andre utgifter i statlig petroleumsvirksomhet | 625 | 603 | 962 | -3,5 | 59,6 | ||
| B.2 | Utgifter utenom petroleumsvirksomhet | 436 047 | 466 969 | 490 015 | 7,1 | 4,9 | |
| 1 | Kjøp av varer og tjenester | 104 536 | 106 050 | 101 820 | 1,4 | -4,0 | |
| - Sivile formål | 78 719 | 80 512 | 74 988 | 2,3 | -6,9 | ||
| - Forsvarsformål | 25 817 | 25 538 | 26 831 | -1,1 | 5,1 | ||
| 2 | Overføringer | 331 511 | 360 919 | 388 196 | 8,9 | 7,6 | |
| 1 | kommuneforvaltningen | 83 191 | 91 433 | 95 253 | 9,9 | 4,2 | |
| - Renteutgifter | 15 615 | 15 401 | 18 604 | -1,4 | 20,8 | ||
| - Til private og utlandet | 232 705 | 254 085 | 274 339 | 9,2 | 8,0 | ||
| C.1 | Overskudd før overføringer til Statens petroleumsfond | 32 561 | 153 430 | 217 193 | 371,2 | 41,6 | |
| - Netto kontantstrøm fra petroleumsvirksomhet | 44 627 | 161 373 | 222 506 | 261,6 | 37,9 | ||
| C.2 | = | Oljekorrigert budsjettoverskudd | -12 066 | -7 943 | -5 313 | -34,2 | -33,1 |
| + | Overført fra Statens petroleumsfond | 18 494 | 9 468 | 5 313 | -48,8 | -43,9 | |
| C.3 | = | Overskudd før lånetransaksjoner | 6 428 | 1525 | 0 | -76,3 | -100,0 |
| D.1 | Lånetransaksjoner, netto | 36 136 | 5 691 | 52 269 | -84,2 | 853,5 | |
| 1 | Utlån | 12 315 | 1 930 | 9 854 | -84,3 | 410,4 | |
| 2 | Gjeldsavdrag: | 23 821 | 3 761 | 44 415 | -84,2 | 1 080,9 | |
| E.1 | Finansieringsbehov (D.1-C.3) | 29 707 | 4 166 | 54 269 | -86,0 | 1 202,5 | |
Kilde: Finansdepartementet.
Figur 3.2 C viser utviklingen i offentlige utgifter for Norge sammenliknet med EU-landene og landene i OECD-området. Tallene for Norge er basert på anslagene i denne meldingen.
Under den sterke konjunkturoppgangen i Norge i perioden fra 1993 til 1998 var veksten i statsbudsjettets utgifter klart lavere enn veksten i verdiskapingen. Det framgår av figuren at de offentlige utgiftene sank fra rundt 52 pst. av samlet BNP i 1992 til 45,8 pst. av BNP i 1999. De offentlige utgiftene som andel av BNP for Fastlands-Norge ble redusert fra 61,4 pst. av BNP i 1992 til 54,9 pst. i 1999. Som følge av avdempet vekst i fastlandsøkonomien og høyere vekst i offentlige utgifter, anslås utgiftene å øke igjen til vel 55 pst. av Fastlands-Norges BNP både i 2000 og 2001.
Utgiftsnivået for offentlig forvaltning i Norge, målt som andel av BNP, har de siste årene vært på linje med gjennomsnittet for EU-landene, men høyere enn gjennomsnittet for landene i OECD- området. Relativt lave utgiftsnivåer i land som USA og Japan bidrar til at gjennomsnittet for OECD-området trekkes ned i forhold til gjennomsnittet for EU-landene. Ved sammenlikning av nivået på offentlige utgifter må en ta hensyn til at landenes gjeldssituasjon kan variere betydelig. For EU-landene under ett bidrar høy offentlig gjeld til at renteutgiftene utgjør en betydelig del av de offentlige utgiftene.
Tabell 3.3 Inntekter og utgifter i Statens petroleumsfond. Mrd. kroner
| 1999 | 2000 | 2001 | 2002 | |
| Inntekter | 51,9 | 172,3 | 238,5 | 234,4 |
| - Netto kontantstrøm fra petroleumsvirksomhet | 44,6 | 161,4 | 222,5 | 211,2 |
| - Renteinntekter og utbytte mv. | 7,3 | 10,9 | 16,0 | 23,2 |
| Utgifter | 18,5 | 9,5 | 5,3 | 33,0 |
| - Overføring til statskassen | 18,5 | 9,5 | 5,3 | 33,0 |
| Overskudd i Statens petroleumsfond | 33,4 | 162,8 | 233,2 | 201,5 |
| Valutakurs- og verdipapirgevinster | 22,8 | 2,9 | 11,9 | 17,5 |
| Kapital i fondet pr. 31.12 målt til markedsverdi | 220,9 | 386,6 | 631,7 | 850,7 |
Kilde: Finansdepartementet.
Tabell 3.4 Nettofinansinvesteringer i offentlig forvaltning. Mill. kroner og pst. av BNP
| 1999 | 2000 | 2001 | ||
| A. | Netto finansinvesteringer i statsforvaltningen, påløpt verdi | 77 605 | 217 098 | 243 702 |
| Statsbudsjettets overskudd | 6 428 | 1 525 | 0 | |
| Overskudd i Statens petroleumsfond | 33 429 | 162 825 | 233 193 | |
| Overskudd i andre stats- og trygderegnskap | 3 796 | -591 | 5 316 | |
| Definisjonsforskjell statsregnskapet/nasjonalregnskapet1) | 17 427 | 49 238 | 4 822 | |
| Kapitalinnskudd i forretningsdriften | 16 524 | 4 101 | 371 | |
| B. | Netto finansinvesteringer i kommuneforvaltningen, påløpt verdi | -8 466 | -7 768 | -3 244 |
| Kommuneforvaltningens overskudd, bokført verdi | -9 765 | -7 309 | -6 454 | |
| Påløpte, men ikke bokførte kommuneskatter | 1 299 | -459 | 3 210 | |
| C. | Offentlig forvaltnings nettofinansinvesteringer (=A+B) | 69 139 | 209 330 | 240 458 |
| Målt som andel av BNP | 5,8% | 14,7% | 16,2% |
1) Inkluderer statsforvaltningens påløpte, men ikke bokførte skatter.
Kilde: Statistisk sentralbyrå og Finansdepartementet.
3.1.4 Langsiktige utfordringer i budsjettpolitikken
Med betydelige overskudd for offentlig forvaltning i de neste ti årene, kan en lett få inntrykk av at problemstillinger knyttet til den langsiktige opprettholdbarheten av budsjettpolitikken er lite aktuelle for Norge. De store, løpende overskuddene i offentlige finanser gir imidlertid et misvisende bilde av handlefriheten i budsjettpolitikken. Dette har særlig sammenheng med de langsiktige utsiktene for petroleumsinntektene og folketrygdens utgifter:
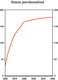
På grunn av høy produksjon av olje og gass og høye oljepriser ligger statens petroleumsinntekter i dag betydelig over det nivået en kan regne med på sikt, jf figur 3.3. Oppbyggingen av kapital i Statens petroleumsfond har en motpost i en reduksjon i formuesverdien av petroleumsreservene.
Forpliktelsene knyttet til folketrygdens alders- og uførepensjon øker sterkt. Dette er ikke reflektert i offentlige budsjetter. Forpliktelsene er anslått til om lag 3000 mrd. kroner ved inngangen til 2001 og 3200 mrd. kroner ved inngangen til 2002. I løpet av de neste 30 årene ventes utbetalingene til alders- og uførepensjon å dobles som andel av samlet verdiskaping, jf. figur 3.3.
Veksten i antall eldre, spesielt over 80 år, vil etter hvert kreve økte ressurser til pleie- og omsorgstjenester. Vedtatte velferdsreformer vil også bidra til å øke ressursbehovet i offentlig tjenesteyting i årene framover.
Evnen til å møte disse utfordringene reduseres samtidig av at veksten i antall personer i yrkesaktiv alder gradvis vil stanse opp, og av avgang fra arbeidsstyrken til trygdeordninger og tidligpensjonering.
Store petroleumsinntekter gjør likevel at Norge har et bedre utgangspunkt enn mange andre land for å møte de utfordringene som er knyttet til en aldrende befolkning. Dette understrekes bl. a. ved at generasjonsregnskapet er om lag i balanse, mens slike beregninger viser underskudd for de fleste andre land, jf. omtalen i Langtidsprogrammet 2002-2005. Petroleumsinntektene antas imidlertid å falle utover i dette århundret. I perioder med høye petroleumsinntekter er det derfor nødvendig å sette til side betydelige midler. Dette er et hovedformål med oppsparingen i Statens petroleumsfond.
Tabell 3.5 Statsbudsjettets inntekter og utgifter i 2000. Endringer fra saldert budsjett til regnskap. Mill. kroner
| 1 | 2 | 3=1+2 | 4 | 5=3+4 | 6=5-1 | ||
| Saldert budsjett | Endring | Nysaldert budsjett | Endring | Regnskap | Memo: Endring fra saldert budsjett til regnskap | ||
| A | Inntekter utenom petroleumsinntekter | 439 237 | 17 521 | 456 759 | 2 268 | 459 026 | 19 789 |
| 1 Skatter og avgifter fra Fastlands-Norge | 390 272 | 17 243 | 407 515 | -849 | 406 666 | ||
| 2 Renteinntekter | 12 673 | 2 247 | 14 920 | -157 | 14 764 | 2 091 | |
| 3 Overføringer fra Norges Bank | 10 685 | 0 | 10 685 | 0 | 10 685 | 0 | |
| 4 Andre inntekter | 25 607 | -1 969 | 23 638 | 3 273 | 26 911 | 1 304 | |
| B | Utgifter utenom petroleumsvirksomhet | 452 519 | 13 707 | 466 227 | 743 | 466 969 | 14 450 |
| 1 Renteutgifter | 14 662 | 975 | 15 637 | -236 | 15 401 | 739 | |
| 2 Dagpenger | 6 648 | -307 | 6 341 | -135 | 6 206 | -442 | |
| 3 Andre utgifter | 431 210 | 13 039 | 444 249 | 1 113 | 445 362 | 14 152 | |
| C | Oljekorrigert overskudd (A+B) | -13 282 | 3 814 | -9 468 | 1 525 | -7 943 | 5 339 |
| D | Kontantstrøm fra petroleumsvirksomheten | 85 120 | 75 943 | 161 063 | 310 | 161 373 | 76 253 |
| E | Avsetning til Statens petroleumsfond | 71 838 | 79 757 | 151 595 | 310 | 151 905 | 80 067 |
| F | Overskudd før lånetransaksjoner (C+D-E) | 0 | 0 | 0 | 1 525 | 1 525 | 1 525 |
| G | Rente- og utbytteinntekter mv. i Statens petroleumsfond | 7 400 | 3 000 | 10 400 | 520 | 10 920 | 3 520 |
| H | Samlet overskudd på statsbudsjettet og Statens petroleumsfond (E+F+G) | 79 238 | 82 757 | 161 995 | 2 354 | 164 349 | 85 111 |
Kilde: Finansdepartementet.
I Langtidsprogrammet 2000-2005 er det presentert ulike makroøkonomiske framskrivinger som illustrerer langsiktige utfordringer i den økonomiske politikken. Beregningene er utarbeidet særlig med sikte på å belyse følgende sentrale problemstillinger:
Dersom det ikke gjennomføres tiltak for å oppnå en mer effektiv ressursbruk, styrking av arbeidslinjen og en fornyelse av offentlig sektor, vil handlefriheten i den økonomiske politikken bli svært begrenset i årene framover. Disse utfordringene er illustrert gjennom Fornyelsesalternativet i langtidsprogrammet. Dette beregningsalternativet illustrerer hva slags tiltak som må til for å trygge og videreutvikle velferdsordningene i et langsiktig perspektiv.
Rask oppbygging av kapitalen i Statens petroleumsfond og utsikter til betydelige avsetninger i fondet også i årene framover, har gjort det nødvendig med en robust handlingsregel for hvordan oljeinntektene skal brukes i norsk økonomi. I St.meld. 29 (2000-2001) la Regjeringen til grunn en bruk av oljeinntektene over statsbudsjettet i tråd med forventet realavkastning av Petroleumsfondet. Det ble presentert beregninger som viste at dette gir en jevn og forsvarlig innfasing av oljeinntektene i økonomien, jf. også boks 3.2.
Figur 3.4 illustrerer noen hovedmekanismer knyttet til innfasingen av petroleumsinntektene:
Ved å sette av tilstrekkelige midler i Petroleumsfondet til å møte den framtidige utgiftsveksten knyttet til bl.a. økende pensjoner, er det mulig å sikre en jevn utvikling i de offentlige velferdstilbudene uten å måtte stramme inn på andre områder, jf utviklingen i Referansealternativet. Dette alternativet innebærer at bruken av petroleumsinntekter øker forholdsvis svakt de nærmeste 20 årene, for så å øke sterkt. Referansealternativet illustrerer at dersom det ikke gjennomføres politikkomlegginger som bidrar til å effektivisere offentlig sektor, eller styrke offentlige budsjetter på annen måte, er det ikke rom for å bruke mer av petroleumsinntektene enn det som direkte følger av endringene i befolkningssammensetningen og modningen av folketrygden.
Med en videreføring av veksten i offentlig sysselsetting som på 1990-tallet, vil det oljekorrigerte underskuddet stige raskt, og det vil tvinge seg fram en kraftig innstramming i offentlige finanser noe fram i tid, jf. utviklingen i Vegringsalternativet. Petroleumsinntektene vil i dette tilfellet i stor grad bli brukt opp i løpet av de nærmeste 20 årene. En slik rask økning i bruken av petroleumsinntekter de nærmeste årene vil motsvares av økt reallønnsvekst og nedbygging av konkurranseutsatt næringsliv. Denne svekkelsen av konkurranseevnen vil senere måtte reverseres gjennom en sterk innstramming i budsjettpolitikken.
Sammenliknet med de øvrige beregningsalternativene, gir alternativet med bruk av forventet realavkastning av Petroleumsfondet en jevnere innfasing av petroleumsinntektene. En slik politikkstrategi sikrer dessuten at en ikke tærer på denne delen av statens formue, jf. figur 3.5
Alternativet innebærer en gradvis økning i bruken av petroleumsinntekter fram til 2020. I framskrivingen i langtidsprogrammet er det lagt til grunn at dette benyttes dels til økt offentlig sysselsetting og dels til reduserte skatter. Også med en slik innfasing av oljeinntektene må det imidlertid etter hvert gjennomføres tiltak som bidrar til å begrense veksten i offentlig sektors utgifter, eller styrke inntektene, selv om omfanget i dette alternativet er vesentlig mindre enn i Vegringsalternativet.
I et langsiktig perspektiv vil oljeinntektene være av begrenset betydning for den økonomiske velstanden og velferdsnivået i Norge. På lang sikt er det først og fremst vekstevnen i fastlandsøkonomien som bestemmer velferdsutviklingen i Norge. I en slik sammenheng er det størrelsen på og utnyttelsen av arbeidstyrken og andre ressurser som betyr mest for den økonomiske veksten, og dermed for omfanget av de offentlige velferdsordningene. Dette understreker betydningen av tiltak for å fornye offentlig sektor, for å bedre produktiviteten og for å holde et høyt nivå på arbeidsstyrken. Tiltak for å styrke vekstevnen i næringslivet og for å fornye og effektivisere offentlig sektor gir grunnlag for en fortsatt sterk konkurranseutsatt sektor. Regjeringen signaliserte i St. meld. nr. 29 (2000-2001) at økt bruk av oljeinntekter over tid vil gi rom for lavere skatter og avgifter, bl. a. ved at skatten på arbeid reduseres. Tiltak for bedret infrastruktur samt intensivert forskningsinnsats vil også være viktige bidrag for å styrke vekstevnen. Det vises til langtidsprogrammet for en nærmere omtale av Regjeringens politikk på disse områdene.
Tabell 3.6 Statsbudsjettets inntekter og utgifter i 2001. Endringer fra Nasjonalbudsjettet til Revidert nasjonalbudsjett. Mill. kroner
| 1 | 2 | 3=1+2 | 4 | 5=3+4 | ||
| Nasjonalbudsjettet 2001 | Endring | Saldert budsjett 2001 | Endring | Revidert nasjonalbudsjett. | ||
| A | Inntekter utenom petroleumsinntekter | 475 227 | -1 796 | 473 431 | 11 271 | 484 702 |
| 1 Skatter og avgifter fra Fastlands-Norge | 419 243 | -2 702 | 416 541 | 10 323 | 426 864 | |
| 2 Renteinntekter | 18 144 | 44 | 18 188 | 350 | 18 539 | |
| 3 Overføringer fra Norges Bank | 10 685 | 0 | 10 685 | 0 | 10 685 | |
| 4 Andre inntekter | 227 155 | 862 | 28 017 | 598 | 28 615 | |
| B | Utgifter utenom petroleumsvirksomhet | 487 185 | -1 796 | 485 389 | 4 626 | 490 015 |
| 1 Renteutgifter | 17 165 | 0 | 17 165 | 1 439 | 18 604 | |
| 2 Dagpenger | 6 564 | 0 | 6 564 | 0 | 6 564 | |
| 3 Andre utgifter | 463 456 | -1 796 | 461 660 | 3 187 | 464 847 | |
| C | Oljekorrigert overskudd (A+B) | -11 958 | 0 | 11 958 | 6 645 | -5 313 |
| D | Kontantstrøm fra petroleumsvirksomheten | 188 980 | 0 | 188 980 | 33 526 | 222 506 |
| E | Avsetning til Statens petroleumsfond | 177 022 | 0 | 177 022 | 40 171 | 217 193 |
| F | Rente- og utbytteinntekter mv. i Statens petroleumsfond | 15 200 | 0 | 15 200 | 800 | 16 000 |
| G | Samlet overskudd på statsbudsjettet og Statens petroleumsfond | 192 222 | 0 | 192 222 | 40 971 | 233 193 |
Kilde: Finansdepartementet.
Boks 3.1 Den strukturelle, oljekorrigerte budsjettbalansen
Siden Nasjonalbudsjettet 1987 har Finansdepartementet brukt endringen i den såkalte olje-, rente- og aktivitetskorrigerte budsjettbalansen som en indikator for innretningen av budsjettpolitikken. I beregningen av indikatoren holdes inntekter og utgifter som ikke antas å påvirke aktivitetsnivået i økonomien, utenfor. Det olje-, rente- og aktivitetskorrigerte budsjettoverskuddet framkommer ved å korrigere det oljekorrigerte overskuddet på statsbudsjettet for rentestrømmer mellom staten og Norges Bank og mellom staten og utlandet, for overføringer fra Norges Bank til statsbudsjettet, og for inntekter og utgifter som kan knyttes til den aktuelle konjunktursituasjonen og enkelte regnskapsforhold, f.eks. endrede føringsmåter i statsregnskapet
For å ha et holdepunkt for å vurdere hvor mye av oljeinntektene som brukes over statsbudsjettet, er det gjort to endringer i beregningene sammenliknet med tidligere. Det korrigeres nå bare for avviket mellom normalnivået på overføringene fra Norges Bank og de faktiske overføringene. Normalnivået er anslått til drøyt 5 mrd. kroner i 2001. Tilsvarende korrigeres det bare for avviket mellom normalnivået og det faktiske nivået for statens netto renteinntekter fra Norges Bank og utlandet. For netto renteinntekter er normalnivået anslått til 3,8 mrd. kroner i 2001. Denne omleggingen påvirker nivåtallene for det olje-, rente- og aktivitetskorrigerte overskuddet, mens endringstallene fra et år til det neste (budsjettindikatoren) i liten grad blir påvirket. De nye nivåtallene omtales som den strukturelle, oljekorrigerte budsjettbalansen. Det strukturelle, oljekorrigerte budsjettunderskuddet for 2001 anslås til vel 20 mrd. kroner, eller 1,9 pst. av trend-BNP for Fastlands-Norge.
Den olje-, rente- og aktivitetskorrigerte budsjettindikatoren viser endringen i det strukturelle, oljekorrigerte budsjettoverskuddet, jf. nederste linje i tabell 3.7.
Tabell 3.7 Den strukturelle, oljekorrigerte busjettbalansen og den olje-, rente- og aktivitetskorrigerte budsjettindikatoren. Mill. kroner
| 1999 | 2000 | 2001 | ||
| Oljekorrigert overskudd på statsbudsjettet | -12 066 | -7 943 | -5 313 | |
| - Overføringer fra Norges Bank utover beregnet trendnivå | -2 022 | 5 358 | 5 473 | |
| - Netto renteinntekter fra Norges Bank og utlandet utover beregnet trendnivå | -2 402 | -1 489 | 504 | |
| - Særskilte regnskapsforhold | 1 770 | -6 712 | 2 586 | |
| - Aktivitetskorrigeringer | 10 430 | 11 700 | 6 515 | |
| = Strukturelt, oljekorrigert overskudd | -19 842 | -16 800 | -20 391 | |
| Målt i prosent av trend-BNP for Fastlands-Norge | -2,0 | -1,6 | -1,9 | |
| Endring fra året før (den olje-, rente- og aktivitetskorrigerte budsjettindikatoren) i prosentpoeng | 0,9 | 0,4 | -0,3 |

Figur 3.2 Perspektiver for budsjettpolitikken
Kilde: Statistisk sentralbyrå og Finansdepartementet.
Boks 3.2 Nærmere om handlingsregelen om å bruke forventet realavkastning av Statens petroleumsfond
Statens petroleumsfond har nå nådd et betydelig nivå, og det forventes at fondet vil vokse kraftig også i årene framover. På denne bakgrunn så Regjeringen et behov for en robust handlingsregel for bruken av petroleumsinntektene, og en klarere forankring av pengepolitikkens rolle i å støtte opp om en stabil økonomisk utvikling. I tråd med dette ble det i St.meld. nr. 29 (2000-2001) lagt fram følgende retningslinje for budsjettpolitikken:
Det må legges stor vekt på å jevne ut svingninger i økonomien for å sikre god kapasitetsutnyttelse og lav arbeidsledighet.
Petroleumsinntektene fases gradvis inn i økonomien. Det legges til grunn en innfasing om lag i takt med forventet realavkastning av Petroleumsfondet.
I meldingen ble det også presentert beregninger for utviklingen i den strukturelle, oljekorrigerte budsjettbalansen (jf. boks 3.1) og Statens petroleumsfond fram til 2010, basert på handlingsregelen. Beregningene bygget på følgende hovedforutsetninger:
En oljepris på 225 kroner pr. fat i 2001, som er forutsatt å falle gradvis til 135 kroner pr. fat i 2010 målt i 2001-priser. Sammen med en anslått nedgang i samlet petroleumsproduksjon, bidrar dette til å redusere anslaget på statens netto kontantstrøm fra petroleumsvirksomheten fra 222,5 mrd. kroner i 2001 til om lag 128 mrd. kroner i 2010.
En forventet realavkastning av Petroleumsfondet på 4 pst. Dette samsvarer med forutsetningen som lenge er blitt brukt ved framskrivninger av Petroleumsfondet.
Det strukturelle, oljekorrigerte budsjettunderskuddet beregnes med utgangspunkt i forventet realavkastning av akkumulert verdi i Petroleumsfondet ved inngangen til budsjettåret.
Basert på disse forutsetningene og budsjettallene i denne meldingen, viser tabell 3.8 oppdaterte anslag for utviklingen i bruken av oljeinntekter over statsbudsjettet målt i henholdsvis løpende priser, faste 2001-priser og i pst. av trend-BNP for Fastlands-Norge. Tabellen viser også den tilhørende utviklingen i kapitalen i Statens petroleumsfond.
Tallene illustrerer at handlingsregelen om å bruke forventet realavkastning av Statens petroleumsfond innebærer en forholdsvis jevn innfasing av oljeinntekter. Med de forutsetningene om oljepris mv. som er lagt til grunn, gir regelen en gjennomsnittlig, årlig økning i bruken av oljeinntekter over statsbudsjettet for årene fra 2002 til 2010 på om lag 0,4 pst. av trend-BNP for Fastlands-Norge. Regnet i 2001-priser vil det strukturelle, oljekorrigerte budsjettunderskuddet i 2010 ifølge dette anslaget utgjøre om lag 65 mrd. kroner, tilsvarende vel 5 pst. av trend-BNP for Fastlands-Norge. For 2001 er denne andelen anslått til 1,9 pst. For 2002 innebærer beregningen en økning i bruken av oljeinntekter på om lag 4 mrd. kroner. Regjeringen vil komme tilbake til konkrete politikkvurderinger for kommende år i Nasjonalbudsjettet 2002.
Tabell 3.8 Konsekvenser av handlingsregelen oom å bruke forventet realavkastning av Statens petroleumsfond
| Strukturelt, oljekorrigert underskudd, mrd. kroner | Strukturelt, oljekorrigert underskudd, mrd. kroner 2001-priser | Strukturelt, oljekorrigert underskudd, pst. av trend-BNP for Fastlands-Norge | Statens petroleumsfond, pst. av totalt BNP | ||
| 2002 | -25,2 | -24,5 | -2,2 | 56,3 | |
| 2003 | -34,0 | -32,1 | -2,8 | 68,8 | |
| 2004 | -41,9 | -38,4 | -3,3 | 78,2 | |
| 2005 | -49,2 | -43,7 | -3,7 | 86,6 | |
| 2006 | -56,6 | -48,8 | -4,1 | 95,5 | |
| 2007 | -64,0 | -53,6 | -4,4 | 104,1 | |
| 2008 | -71,3 | -58,0 | -4,7 | 111,8 | |
| 2009 | -78,5 | -62,0 | -4,9 | 118,7 | |
| 2010 | -85,4 | -65,4 | -5,1 | 125,1 |
Kilde: Finansdepartementet.

Figur 3.3 Noen langsiktige utviklingstrekk som påvirker offentlige finanser

Figur 3.4 Utviklingen i statsbudsjettets oljekorrigerte underskudd og offentlig sysselsetting
1) MAKKO-alternativet i Langtidsprogrammet 2002-2005 viser det sysselsettingsnivået som er nødvendig for å gjennomføre vedtatte reformer og ellers opprettholde endrede standarder og dekningsgrader.

Figur 3.5 Statens petroleumsfond ved ny handlingsregel for budsjettpolitikken. Prosent av totalt BNP
3.2 Nærmere om kommuneforvaltningens økonomi
3.2.1 Noen bakgrunnstall
Kommunesektoren har fått betydelig økte ressurser de siste årene. Dette illustreres i figurene 3.6A-D. Fra 1989 til 2000 anslås den reelle inntektsveksten til knapt 50 mrd. 2000-kroner, tilsvarende en gjennomsnittlig årlig vekst på om lag 2,3 pst. pr. år. Økningen må ses i sammenheng med at det i denne perioden er lagt nye oppgaver til kommunesektoren.
Figur 3.6A viser at det var en spesielt sterk realinntektsvekst i 1997. Realveksten året etter var svak. Dette må i stor grad tilskrives lønnsoppgjøret i 1998, som ga høy prisvekst på kommunale tjenester. Fra 1998 til 1999 økte inntektene reelt med 1½ pst. Fra 1999 til 2000 anslås nå realinntektsveksten til 1,4 pst., eller om lag 2,9 mrd. kroner.
Utviklingen i kommunesektorens inntekter og utgifter framgår av tabell 11 (Detaljerte anslagstall) i vedlegg 3.
Sysselsettingen i kommunene målt i timeverk økte ifølge foreløpige regnskapstall med 0,7 pst. fra 1999 til 2000. Dette er betydelig mindre enn året før, da veksten var 2,5 pst. I perioden fra 1989 til 2000 økte sysselsettingen målt i timeverk med knapt 27 pst., eller gjennomsnittlig drøyt 2 pst. pr. år. Antall personer ansatt i kommuneforvaltningen økte i samme periode med om lag 142 000 til knapt 560 000, jf. figur 3.6C. Nivået i 2000 utgjorde 24,4 pst. av samlet sysselsetting, mens tilsvarende andel i 1989 var om lag 20 pst. Kommunal sysselsetting som andel av total sysselsetting økte på begynnelsen av 1990-tallet og fram til 1993, men har deretter vært relativt stabil. Dette må ses i sammenheng med sterk generell sysselsettingsvekst i siste halvdel av 1990-tallet.
I figur 3.6B er aktivitetsveksten i kommunesektoren sammenholdt med veksten i Fastlands-Norges BNP fra 1980 og fram til i dag. For å måle utviklingen i den økonomiske aktiviteten i kommuneforvaltningen bruker bl.a. Det tekniske beregningsutvalg for kommunal og fylkeskommunal økonomi en indikator der endringer i sysselsetting målt i timeverk, produktinnsats (vareinnsats) i faste priser og bruttorealinvesteringer i faste priser veies sammen.
Aktiviteten i kommunesektoren økte betydelig mer enn BNP for Fastlands-Norge i andre halvdel av 1980-årene og fram til 1992. I de etterfølgende årene fram til og med 1996 økte den økonomiske aktiviteten i kommunene svakere enn BNP for Fastlands-Norge, noe som må ses i sammenheng med den kraftige veksten i privat etterspørsel i denne perioden. I 1997 økte aktiviteten i kommunesektoren med vel 5 pst., i første rekke som følge av høye investeringer i forbindelse med grunnskolereformen. I 1998 var aktivitetsveksten i kommunesektoren drøyt 2 pst., klart lavere enn veksten i Fastlands-Norge. For 1999 anslås aktivitetsveksten i kommunesektoren til 3,4 pst, som var betydelig høyere enn veksten i fastlandsøkonomien. For 2000 anslås en reduksjon i aktivitetsnivået med reelt 0,2 pst., pga. en reell nedgang i investeringene på knapt 8 pst. Til sammenlikning er veksten i Fastlands-Norges BNP anslått til 1,8 pst. fra 1999 til 2000. Veksten i kommunenes inntekter fra 1999 til 2000 var 1,4 pst., reelt. Sysselsettingen økte i samme periode med anslagsvis 0,7 pst., mens produktinnsatsen ifølge foreløpige tall steg med 1,8 pst.
Med unntak av 2000 har aktiviteten i kommunesektoren de siste årene økt klart sterkere enn inntektene, og dette reflekteres i høye underskudd, jf. figur 3.6D. Kommuneforvaltningens underskudd utgjorde i 2000 anslagsvis 3,3 pst. av samlede inntekter. Underskuddene de siste årene skyldes både høye investeringer og svake driftsresultater. Nivået på underskuddene f.o.m. 1996 må ellers ses i sammenheng med grunnskolereformen og eldresatsingen. Finansieringsmåten for disse reformene medfører at kommunesektorens investeringsutgifter direkte reduserer overskuddet i investeringsperioden, mens størstedelen av de statlige overføringene knyttet til å dekke disse utgiftene tilføres kommunene over en lengre tidsperiode. Figur 3.6D viser at nettogjelden som andel av inntektene i kommunesektoren var nærmere 50 pst. på slutten av 1980-tallet. Gjeldsandelen ble kraftig redusert fram til 1998, da den var på om lag 30 pst. Fra 1999 anslås igjen nettogjelden å øke som andel av inntektene til et nivå på om lag 35 pst. ved utgangen av 2001.
3.2.2 Kommuneforvaltningens inntekter og utgifter i 2001
I Nasjonalbudsjettet 2001 ble det lagt opp til en reell økning i kommunesektorens samlede inntekter fra 2000 til 2001 på vel 1¾ pst. eller vel 4 mrd. kroner. I tillegg ble kommunesektoren kompensert for økte kostnader ved forlenget ferie og lønnsoppgjøret for lærere, tilsvarende i alt 3,4 mrd. kroner.
I budsjettavtalen med sentrumspartiene om statsbudsjettet for 2001 ble det enighet om å kompensere for kommunenes avsetninger som følge av endringer i barne- og etterlattepensjoner for inntil 1¼ mrd. kroner. Det ble lagt til grunn at overføringene benyttes til å bygge opp pensjonsfond, og at overføringene således kan betraktes som en form for tvungen sparing på linje med avsetningene til utvidet ferie i 2001 og 2002. En slik bevilgning blir foreslått i denne meldingen som en del av endringene i statsbudsjettet for 2001. Kompensasjonen påvirker imidlertid ikke anslaget for den reelle veksten i kommunene fra 2000 til 2001, fordi økte pensjonsavsetninger vil motsvares av en høyere prisindeks (deflator) for kommunal tjenesteyting.

Figur 3.6 Kommuneforvaltningen
Kilde: Statistisk sentralbyrå og Finansdepartementet.
Følgende forhold av betydning for det reelle inntektsnivået i 2001 er innarbeidet i kommuneopplegget etter salderingen av statsbudsjettet for 2001:
Skatteanslaget for kommunesektoren er oppjustert med 1 mrd. kroner i forhold til saldert budsjett, blant annet basert på skatteinngangen hittil i år.
Høyere lønnsvekst og høyere prisvekst på konsum- og investeringsvarer enn lagt til grunn i Nasjonalbudsjettet 2001 er isolert sett anslått å redusere realveksten i kommunesektorens inntekter med om lag 800 mill kroner.
Utenom kompensasjonen for økte utgifter til etterlatte- og barnepensjoner, foreslås det netto økte bevilgninger over statsbudsjettet til kommuner og fylkeskommuner på om lag 150 mill. kroner. Dette er blant annet knyttet til kompensasjon til kommunesektoren for økte pensjonspremier for lærere i Statens Pensjonskasse på 455 mill. kroner. Omfanget av innsatsstyrt finansiering av sykehus ble lavere enn forutsatt i 2000. Det reduserte nivået videreføres i 2001. Samlet bidrar dette til å trekke bevilgningene til innsatsstyrt finansiering av sykehus ned med knapt 500 mill. kroner.
Utenom de nevnte postene foreslås det økte bevilgninger til asylsøkere og flyktninger på om lag 400 mill. kroner. Disse midlene holdes utenom kommuneopplegget.
Lavere utbygging av barnehageplasser enn forutsatt i fjor innebærer isolert sett en reduksjon i barnehagetilskuddet i 2001 på 240 mill. kroner. Dette motsvares av at satsene for tilskudd til barnehager foreslås oppjustert med virkning fra 1. juli 2001.
Den reelle veksten i kommunenes samlede inntekter fra 2000 til 2001 anslås etter dette til om lag 2 pst. eller om lag 4½ mrd. kroner, dvs. om lag ½ mrd. kroner høyere enn lagt til grunn i Nasjonalbudsjettet 2001.
Den reelle veksten i frie inntekter fra 2000 til 2001 ble i Nasjonalbudsjettet 2001 anslått til 1,6 mrd. kroner. Realveksten anslås nå til 1,8 mrd. kroner (vel 1 pst).
Nedgang i investeringene bidro til at underskuddet i kommunesektoren ble redusert fra 9,8 mrd. kroner i 1999 til 7,3 mrd. kroner i 2000. Fra 2000 til 2001 anslås investeringene å holde seg reelt uendret. Med en forutsetning om realvekst i kommunenes øvrige aktivitet på linje med realinntektsutviklingen fra 2000 til 2001, antas kommunesektoren å få et underskudd før lånetransaksjoner på om lag 6½ mrd. kroner i 2001. Som nevnt ovenfor, kan en betydelig del av et slikt underskudd tilskrives finansieringsprinsippene for grunnskolereformen og eldresatsingen.
3.3 Enkelte skatte- og avgiftspolitiske spørsmål
3.3.1 Innledning
I forbindelse med denne meldingen har Regjeringen foreslått enkelte mindre endringer i skatte- og avgiftsreglene:
Det foreslås enkelte endringer i merverdiavgiftsreformen fra 1. juli 2001. All omsetning av retten til å bruke lokaler, anlegg mv. for utøvelse av idrettsaktiviteter er foreslått unntatt fra merverdiavgiften. Også matservering i studentkantiner og guidetjenester foreslås unntatt fra merverdiavgiften. Forslagene til endringer av merverdiavgiften gir et provenytap på om lag 120 mill. kroner på 2001-budsjettet og drøyt 360 mill. kroner på årsbasis. Forslagene er nærmere omtalt i Ot.prp. nr. 94 (2000-2001) Endringer i skatte- og avgiftslovgivningen.
Det foreslås noen mindre tekniske endringer i avgiftene på kjøretøy. Disse forslagene har ubetydelige provenyvirkninger, og er nærmere omtalt i St.prp. nr. 84 (2000-2001).
Det foreslås også enkelte mindre endringer i skattelovgivningen som ikke har budsjettkonsekvenser i 2001. Disse forslagene er omtalt i Ot.prp. nr. 94 (2000-2001).
Forslagene til regelendringer i forbindelse med Revidert nasjonalbudsjett 2001 gir isolert sett en lettelse på om lag 120 mill. kroner på 2001-budsjettet. Regjeringen har tidligere foreslått å øke avskrivningssatsen for driftsbygninger i landbruket, jf. Ot.prp. nr. 50 (2000-2001). Dette gir et ytterligere provenytap på om lag 90 mill. kroner på 2001-budsjettet. Departementet har også valgt å frita ekstrautstyr fra engangsavgiften på kjøretøy, noe som reduserer inntektene fra engangsavgiften med 75 mill. kroner på 2001-budsjettet. Til sammen innebærer gjennomførte og foreslåtte regelendringer siden saldert budsjett et provenytap på om lag 285 mill. kroner på 2001- budsjettet.
På bakgrunn av ny informasjon er anslagene for inntektene fra endringen i merverdiavgiften fra 1. juli 2001 blitt justert opp med om lag 280 mill. kroner på 2001-budsjettet, jf. omtale i avsnitt 3.3.2. Sammen med forslagene til regelendringer, innebærer denne anslagsendringen at innstrammingen i bokførte skatter og avgifter anslås til om lag samme nivå som i saldert budsjett.
I forbindelse med budsjettforliket i fjor høst ble avskrivningssatsene redusert. Innstrammingen ble på usikkert grunnlag anslått å gi et merproveny på om lag 2,85 mrd. kroner på 2001- budsjettet. En nærmere gjennomgang tilsier at provenyanslagene knyttet til de enkelte saldogruppene bør justeres, mens totalanslaget på 2,85 mrd. kroner holdes uendret, jf. avsnitt 3.3.3.
Finansdepartementet har mottatt henvendelser fra kommuner som ønsker kompensasjon for redusert eiendomsskatt på kraftanlegg. Departementet foreslår at enkeltkommuner skal kunne be om midlertidig ekstratilskudd i tilfeller der reduksjonen av eiendomsskatteinntektene er særlig stor og der dette skaper særlige problemer for kommunene, jf. avsnitt 3.3.4. Det settes av 25 mill. kroner til denne ordningen.
Ved behandlingen av merverdiavgiftsreformen ba Finanskomiteen Regjeringen om en vurdering av reformens virkning på forholdet mellom tjenester utført av egne ansatte og kjøp av tjenester. I avsnitt 3.3.5 er det gitt en slik vurdering.
I avsnitt 3.3.6 er det gitt en kort redegjørelse over grensehandelen med Sverige basert på en kartlegging i 2000.
EU-kommisjonen har vedtatt nye retningslinjer for støtte til miljøtiltak. Dette er kort omtalt i avsnitt 3.3.7.
Regjeringen vil etablere toll- og kvotefri markedsadgang for alle produkter fra de minst utviklede landene (MUL) fra 1. januar 2002, jf. avsnitt 3.3.8.
I avsnitt 3.3.9 er det redegjort for statlige engangsinntekter fra tildeling av konsesjoner og salg av Oslo Børs.
3.3.2 Provenyanslag for endringer i merverdiavgiften
Ved behandlingen av 2001-budsjettet ble det benyttet et anslag på om lag 6,5 mrd. kroner i provenytap på årsbasis ved å innføre redusert merverdiavgift på matvarer fra 24 pst. til 12 pst. I anslaget ble den definisjonen av matvarer som er brukt i Statistisk sentralbyrås Forbruksundersøkelse lagt til grunn. Denne definisjonen inkluderer ikke alkoholholdige drikkevarer, mineralvann og brus, alkoholfri øl og vin. I forslaget til avgrensning som er sendt høring, får alle alkoholfrie drikkevarer lav merverdiavgiftssats. Dette innebærer et provenytap på om lag 150 mill. kroner på årsbasis, eller drøyt 50 mill. kroner bokført på 2001-budsjettet sammenliknet med anslaget i vedtatt budsjett.
De økte inntektene fra merverdiavgift på flere tjenester ble anslått til i overkant av 1,5 mrd. kroner på årsbasis da merverdiavgiftsreformen ble vedtatt i fjor høst. Dette anslaget baserte seg i stor grad på detaljerte beregninger v.h.a. Statistisk sentralbyrås nasjonalregnskap. I omtalen i Ot. prp. nr. 2 (2000-2001) om merverdiavgiftsreformen ble usikkerheten ved beregningene vektlagt. Det ble bl.a. vist til bruken av nasjonalregnskapstall, som i utgangspunktet ble ansett som godt egnet for slike omfattende og kompliserte beregninger, også kan ha visse begrensninger. En begrensning er at tjenesteleveranser ikke er tilstrekkelig spesifisert til å kunne ivareta alle egenskapene ved merverdiavgiftsreglene. For tjenestesektoren er detaljeringsnivået mindre og statistikkgrunnlaget generelt noe dårligere enn for vareproduserende næringer. I tillegg er nasjonalregnskapstallene ikke oppdatert til dagens nivå. En har dermed ikke tatt hensyn til større endringer som kan ha skjedd i produksjons- og forbruksmønsteret de siste årene. Det ble imidlertid forsøkt å ta hensyn til dette.
Ved at merverdiavgiftspliktig virksomhet får fradrag for inngående merverdiavgift, er det merverdiavgiftspliktig omsetning til aktører utenfor merverdiavgiftssystemet som gir inntekter til staten. Det er dermed omsetning til bl.a. husholdninger, offentlig forvaltning, finansnæringen og andre sektorer som fortsatt blir stående utenfor systemet som gir staten inntekter. Ny informasjon kan tyde på at belastningen for både statsforvaltningen og finansnæringen som følge av merverdiavgift på flere tjenester er større enn det som er lagt til grunn tidligere. Dette kan tyde på at statens inntekter fra merverdiavgiftsutvidelsen har vært anslått for lavt. På grunnlag av dette justeres provenyet fra utvidelsen av merverdiavgiften opp med om lag 1 mrd. kroner på årsbasis og med om lag 320 mill. kroner på 2001-budsjettet. Provenyjusteringen fordeler seg om lag likt på statsforvaltningen og finansnæringen. Det knytter seg fortsatt stor usikkerhet til anslaget for provenyet fra merverdiavgift på flere tjenester.
Medregnet endringer i merverdiavgiften på matvarer, er anslaget for endringen i merverdiavgiften fra 1. juli 2001 blitt justert opp med til sammen om lag 280 mill. kroner på 2001-budsjettet.
3.3.3 Vurdering av provenyanslagene for virkningene av innstrammingene i avskrivningssatsene
Bakgrunn
I forbindelse med budsjettforliket mellom Regjeringen og sentrumspartiene ble det vedtatt å redusere avskrivningssatsene på driftsmidler f.o.m. inntektsåret 2000. Departementet har tidligere anslått innstrammingene i avskrivningssatsene til i størrelsesorden 2,85 mrd. kroner. Anslaget er basert på Statistisk sentralbyrås saldostatistikk for 1998. I tillegg ble det skjønnsmessig justert for at ikke alle foretakene er i skatteposisjon.
Det er stor usikkerhet knyttet til slike beregninger, særlig fordi datagrunnlaget er mangelfullt. Det finnes bl.a. ikke tall for det skattemessige avskrivningsgrunnlaget i alle næringer. For de næringene der en har slike tall, er disse dessuten basert på utvalgsundersøkelser for inntektsåret 1998. I tillegg vil det være usikkerhet knyttet til forutsetningene om skatteposisjon i ulike næringer og for ulike driftsmidler.
I svar av 3. april på spørsmål fra Høyres stortingsgruppe knyttet til Dok. 8:54 har Finansdepartementet varslet at forutsetningene og statistikkgrunnlaget som ligger til grunn for disse provenyberegningene, vil bli vurdert på nytt. Departementet har på denne bakgrunn, og med utgangspunkt i et mer detaljert datagrunnlag, foretatt en ny gjennomgang av provenyanslagene.
Nærmere om forutsetningene om skatteposisjon
I departementets tidligere anslag ble det beregningsteknisk lagt til grunn at 75 pst. av det økte skattegrunnlaget ville føre til økte skatteinntekter. Departementet har nå innhentet mer detaljerte data for sammenhengen mellom avskrivningsgrunnlaget og skatteposisjon som viser at forutsetningen om 75 pst. gjennomsnittlig skatteposisjon er for høy. Det fører isolert sett til at provenyvirkningen av innstrammingene i avskrivningssatsene i departementets tidligere anslag er overvurdert.
Mer detaljerte opplysninger fra Statistisk sentralbyrå viser at i 1998 var knapt 60 pst. av aksjeselskapenes avskrivningsgrunnlag knyttet til selskaper i skatteposisjon. Andelen var relativt lik i de ulike saldogruppene, bortsett fra i saldogruppene b og e der andelen var vesentlig lavere (hhv. knapt 10 pst. og knapt 30 pst.). Det må imidlertid også tas hensyn til at innstrammingene i avskrivningssatsene kan føre til at flere selskaper kommer i skatteposisjon, og at andelen selskaper i skatteposisjon derfor vil øke som følge av dette. På den annen side viser det seg at flere foretak som er i skatteposisjon, av ulike grunner likevel ikke benytter avskrivningsadgangen fullt ut selv om det fører til at innbetalte skatter blir høyere.
Tall fra Statistisk sentralbyrås selvangivelseregister viser videre at om lag 85 pst. av de næringsdrivende var i skatteposisjon i 1999. I tillegg kan de reduserte avskrivningssatsene også føre til økt positiv beregnet personinntekt for denne gruppen.
Når en benytter mer detaljerte tall for sammenhengen mellom avskrivningsgrunnnlaget og skatteposisjon, vil den bokførte provenyvirkningen av innstrammingene i avskrivningssatsene isolert sett være i størrelsesorden 400 mill. kroner lavere enn i departementets anslag på 2,85 mrd. kroner. Det er da skjønnsmessig tatt hensyn til at innstrammingen vil føre til at flere foretak kommer i skatteposisjon, og at innstrammingene i avskrivningssatsene også kan føre til økt beregnet personinntekt (og dermed økt trygdeavgift og toppskatt) for næringsdrivende.
Nærmere om avskrivningsgrunnlaget
Avskrivningsgrunnlaget i enkelte næringer er ikke med i saldostatistikken som dannet grunnlaget for departementets provenyanslag. Dette gjelder finansielle foretak, selvstendige statsforetak mv., kraftvirksomhet og jordbruket.
For finansielle foretak og selvstendige statsforetak finnes det ikke statistikk over det skattemessige avskrivningsgrunnlaget, og det er derfor nødvendig å benytte regnskapsmessige verdier. Dette er en ytterligere usikkerhet ettersom regnskapsmessige verdier på driftsmidlene kan avvike betydelig fra det skattemessige avskrivningsgrunnlaget.
For landbruket og til en viss grad også kraftverk mv. finnes det statistikk over skattemessige verdier. For næringsdrivende i landbruket finnes det en samlesaldo for alle driftsmidlene i statussammendraget for landbruket, mens det finnes skattemessige åpningsbalanser for driftsmidler i kraftsektoren pr. 1.1.1997.
Etter en skjønnsmessig justering av forskjellen mellom regnskapsmessige og skattemessige verdier kan virkningen av å inkludere disse næringene isolert sett anslås til et økt proveny på i størrelsesorden 400 mill. kroner. I dette anslaget er det tatt hensyn til opplysninger om skatteposisjonen mv. i de aktuelle næringene.
Oppsummering
Tabell 3.9 oppsummerer og sammenlikner de nye provenyanslagene med de tidligere beregningene.
Tabell 3.9 Provenyanslag for endringer i avskrivningssatser basert på ulike forutsetninger. Bokført 2001
| Tidligere anslag | Korrigert anslag | ||
| a | - Kontormaskiner mv. (fra 30 til 25 pst.) | 200 | 180 |
| b | - Ervervet forretningsverdi (fra 30 til 20) | 220 | 100 |
| c | - Vogntog, lastebiler, busser mv. (fra 25 til 20 pst.) | 260 | 300 |
| d | - Personbiler, maskiner, inventar mv. (fra 20 til 15 pst.) | 1 360 | 1 250 |
| e | - Skip, rigger mv. (fra 20 til 14 pst.) | 100 | 90 |
| g | - Bygg og anlegg, hoteller mv. (fra 4(8) til 2(6) pst.) | 490 | 690 |
| h | - Forretningsbygg (fra 1(2) til 0(1) pst.) | 220 | 240 |
| Totalt | 2 850 | 2 850 | |
Kilde: Finansdepartementet.
Tabellen viser at fordelingen mellom de ulike saldogruppene avviker noe fra det departementet tidligere har anslått. Spesielt i saldogruppe b og g er avvikene relativt store. I saldogruppe b er provenyanslaget nedjustert med 120 mill. kroner, hovedsakelig fordi gjennomsnittlig skatteposisjon er vesentlig lavere enn det departementet la til grunn i sitt opprinnelige provenyanslag. Det er oppjustert med 200 mill. kroner i saldogruppe g, hovedsakelig som følge av at departementet nå har inkludert virkningen for bl.a. landbruket og kraftprodusentene i beregningene.
Etter departementets vurdering gir ikke denne gjennomgangen grunnlag for å endre departementets tidligere anslag på den samlede virkningen av innstrammingene på 2,85 mrd. kroner. Det understrekes imidlertid at anslaget fortsatt er usikkert, spesielt innenfor de enkelte saldogruppene.
Det gjøres for øvrig oppmerksom på at det i tabell 3.9 ikke er tatt hensyn til forslaget om å øke avskrivningssatsen for driftsbygninger i landbruk til 4 pst., jf. Ot.prp. nr. 50 (2000-2001). Dette forslaget reduserer innstrammingen i saldogruppe g med om lag 90 mill. kroner, slik at den samlede innstrammingen reduseres til om lag 2,76 mrd. kroner.
3.3.4 Eiendomsskatt for kraftanlegg
Bakgrunn
Stortinget har vedtatt å innføre nye verdsettelses- og fordelingsregler for eiendomsskattegrunnlaget for kraftproduksjonsanlegg med virkning f.o.m. skatteåret 2001.
Under Odelstingets behandling av Ot.prp. nr. 24 (2000-2001) understreket finansministeren bl.a. at Finansdepartementet ville komme tilbake til Stortinget med en vurdering av virkningene for enkeltkommuner av de nye reglene. Departementet har i den forbindelse bedt Skattedirektoratet samle inn data fra samtlige kommuner med skatteinntekter fra kraftanlegg. Resultatene fra denne undersøkelsen vil danne grunnlag for denne vurderingen, og vil etter planen være klar i løpet av juli.
Finansdepartementet har også mottatt henvendelser fra 11 kommuner som har rapportert om reduserte inntekter i 2001 som følge av de nye reglene for verdsettelse og/eller fordeling av eiendomsskatt på kraftanlegg. Disse kommunene framhever at reduksjonen er så vidt stor at det bør gis kompensasjon. Departementet gir her en foreløpig vurdering av dette.
Reduksjon i inntekter som følge av nye verdsettelsesregler
Som Finansdepartementet har redegjort for tidligere, bl.a. i Nasjonalbudsjettet 2000 og Ot.prp. nr. 47 (1999-2000), må en reduksjon i inntektene som følge av de nye verdsettelsesreglene generelt anses som forventet. I gjennomsnitt reduseres inntektene for kommunene samlet sett med anslagsvis 15 pst. fra 2000 til 2001. Reduksjonen i inntekter fra eiendomsskatt vil for enkeltkommuner kunne være større eller mindre enn dette. Ettersom de nye verdsettelsesreglene i større grad enn før er basert på kraftproduksjonsanleggenes lønnsomhet, er det forventet at enkelte kommuner vil få en reduksjon som er større enn 15 pst., særlig i perioder med svært lave kraftpriser. Noen kommuner vil også få økte inntekter fra eiendomsskatt.
Reduksjonen i kraftkommunenes samlede inntekter fra eiendomsskatt på kraftanlegg fra 2000 til 2001 skyldes hovedsakelig at kraftprisene de siste årene har vært svært lave. Hittil i 2001 har kraftprisene vært betydelig høyere enn i perioden 1997-2000. Dersom kraftprisene fortsetter å være høyere enn i de siste årene, vil kommunenes inntekter fra eiendomsskatt kunne øke betydelig i løpet av få år, gradvis f.o.m. 2003.
Reduksjon i inntekter som følge av tvister om fordelingsavtaler
I forbindelse med de nye reglene for verdsettelse av kraftanlegg for eiendomsskatteformål, var det også behov for å etablere regler for kommunefordeling av eiendomsskattegrunnlaget for kommunekryssende kraftanlegg. Stortinget vedtok slike kommunefordelingsregler som er basert på en fordeling etter anleggsdelenes gjenanskaffelsesverdi (GAV) fastsatt av NVE, jf. Ot.prp. nr. 1 (2000-2001) og Innst.O. nr. 23 (2000-2001).
For flere kraftanlegg er det imidlertid i tidligere år inngått særskilte interkommunale avtaler for hvordan eiendomsskattegrunnlaget skal fordeles mellom kommuner som er berørt av utbyggingen av kraftanlegg. Disse avtalene ble gjerne inngått i forbindelse med lokalisering av anleggene og var i enkelte tilfeller også en viktig premiss for tildeling av konsesjon. Fordeling etter slike avtaler kan innebære en fordeling som avviker vesentlig fra den fordelingen som følger av de nye fordelingsreglene. De nye fordelingsreglene er imidlertid ikke til hinder for at slike særskilte fordelingsavtaler kan videreføres. Selv om de nye kommunefordelingsreglene avskjærer kommunene fra å inngå avtaler om omfordeling av selve skattegrunnlaget, står kommunene fritt til å avtale en særskilt fordeling av skatteinntektene som er i tråd med den fordeling som følger av de gjeldende fordelingsavtalene.
Finansdepartementet kjenner imidlertid til et fåtall tilfeller der én eller flere kommuner har benyttet de nye fordelingsreglene som begrunnelse for å si opp gjeldende fordelingsavtaler. Dette har medført tvister mellom de berørte kommunene. I den utstrekning slike avtaler settes til side, vil inntektene fra eiendomsskatt på enkelte kraftanlegg bli omfordelt mellom disse kommunene. Enkelte kommuner vil få en økt andel av eiendomsskatteinntektene fra kraftanlegget på bekostning av andre. Det har imidlertid vært Finansdepartementets klare forutsetning at de nye fordelingsreglene ikke griper inn i de forutsetninger som tidligere inngåtte fordelingsavtaler bygger på, og at gjeldende fordelingsavtaler skal kunne videreføres etter sin intensjon. Dette har departementet også gitt uttrykk for ved flere anledninger, sist ved brev av 6. april 2001 til Kvinesdal og Valle kommuner. Reduksjon i inntekter for enkeltkommuner som følge av slike tvister om fordelingsavtaler vil etter departementets oppfatning mest sannsynlig være av midlertidig karakter, dvs. inntil tvistene blir avgjort.
Særskilt kompensasjon til kraftkommuner
Mye kan tyde på at reduksjonen i eiendomsskatteinntektene fra 2000 til 2001 er av midlertidig karakter. Dette gjelder både reduksjonen som følger av nye verdsettelsesregler og de reduksjoner/omfordelingsvirkninger som skyldes tvister om fordelingsavtaler. Etter Regjeringens syn er det derfor ikke grunnlag for å opprette en ny permanent støtteordning for kraftkommunene.
Regjeringen ser imidlertid at en betydelig nedgang i inntektene fra eiendomsskatt fra kraftanlegg fra 2000 til 2001 kan medføre problemer for enkelte kommuner på kort sikt. Regjeringen foreslår derfor å åpne for at det kan gis en midlertidig kompensasjon til enkelte kommuner for å avhjelpe dette i en overgangsperiode.
Selv om man foreløpig ikke har oversikt over effektene av de nye reglene for samtlige kommuner, antas det at det samlede behovet for støtte i 2001 vil være relativt begrenset. Tabell 3.10 gir en oversikt over skatteinntekter pr. innbygger for de kommunene som har henvendt seg til Finansdepartementet. Dersom en ikke inkluderer inntekter fra eiendomsskatt og konsesjonskraft, viser tabellen at 8 av de 11 kommunene hadde skatteinntekter pr. innbygger over landsgjennomsnittet i 1999. Inkluderes inntektene fra eiendomsskatt og konsesjonskraft, hadde to av kommunene skatteinntekter pr. innbygger under landsgjennomsnittet. De resterende kommunene lå mellom 136 pst. og 251 pst. av landsgjennomsnittet.
Tabell 3.10 Skatteinntekter med og uten eiendomsskatt og konsesjonskraftinntekter pr. innbygger for 11 kraftkommuner som har sendt klage til Finansdepartementet. 1999
| Skatteinntekter ekskl. eiendomsskatt og konsesjonskraftinntekter | Skatteinntekter inkl. eiendomsskatt og konsesjonskraftinntekter | |||||||
| Skatteinntekter | I prosent | Skatteintekter | I prosent | |||||
| Innbyggere | pr. innb. | av lands- | pr. innb. | av lands- | ||||
| K.nr. | Kommune | pr. 1.1.99 | Kroner | gj.snittet | Rangering | Kroner | gj.snittet | Rangering |
| 940 | Valle | 1 421 | 21 028 | 179 | 11 | 33 110 | 251 | 10 |
| 1233 | Ulvik | 1 231 | 18 507 | 158 | 15 | 30 204 | 229 | 13 |
| 1133 | Hjelmeland | 2 762 | 18 316 | 156 | 16 | 24 555 | 186 | 19 |
| 1426 | Luster | 5 035 | 16 159 | 138 | 28 | 22 505 | 170 | 21 |
| 1037 | Kvinesdal | 5 562 | 14 170 | 121 | 50 | 18 815 | 142 | 34 |
| 1227 | Jondal | 1 171 | 13 134 | 112 | 74 | 17 520 | 133 | 44 |
| 938 | Bygland | 1 314 | 11 968 | 102 | 122 | 17 420 | 132 | 47 |
| 1837 | Meløy | 6 763 | 11 691 | 100 | 149 | 18 317 | 139 | 38 |
| 1839 | Beiarn | 1 312 | 10 944 | 93 | 221 | 17 934 | 136 | 42 |
| 929 | Åmli | 1 866 | 10 887 | 93 | 226 | 12 917 | 98 | 134 |
| 538 | Nordre Land | 6 967 | 10 140 | 86 | 298 | 11 529 | 87 | 218 |
| Landsgj.snittet | 11 724 | 13 217 | ||||||
Kilde: Det tekniske beregningsutvalget for kommunal og fylkeskommunal økonomi, Statistisk sentralbyrå og Finansdepartementet.
På denne bakgrunn foreslår Regjeringen en særskilt bevilgning for 2001 på 25 mill. kroner til en overgangsordning der kraftkommuner som har fått en vesentlig reduksjon i inntektene fra eiendomsskatt på kraftanlegg, kan be om et midlertidig ekstratilskudd.
Kommuner som får en betydelig reduksjon i inntekter fra eiendomsskatt på kort sikt som følge av tvister om fordelingsavtaler, vil normalt kvalifisere til å få ekstratilskudd for den delen av inntektsbortfallet som skyldes en slik eventuell tvist. Kommuner som får tilbakeført inntekter fra eiendomsskatt etter at slike tvister er løst, må betale tilbake slike ekstratilskudd.
Også andre kommuner som får en vesentlig reduksjon i eiendomsskatteinntektene fra kraftproduksjonsanlegg, fortrinnsvis som følge av endrede verdsettelsesregler, kan i enkelte tilfeller kvalifisere for kompensasjon. Reduksjonen i inntektene fra eiendomsskatt på kraftanlegg må være betydelig større enn den gjennomsnittlige reduksjonen på 15 pst. fra 2000 til 2001 for å kunne få tilskudd, og et eventuelt tilskudd vil kun dekke deler av provenytapet. Hvorvidt reduksjonen skyldes de nye verdsettelses- eller kommunefordelingsreglene, vil inngå i en samlet vurdering av kompensasjonsbehovet. Det er ikke tatt endelig stilling til i hvilken grad slike ekstratilskudd må betales tilbake, men en eventuell tilbakebetaling vil i så fall først skje når det er avklart om den særskilt store reduksjonen i eiendomsskatteinntektene har vært midlertidig.
Det foreslås å knytte ordningen opp til skjønnsdelen av rammetilskuddet til kommunene, som administreres av Kommunal- og regionaldepartementet. Eventuell tilbakebetaling fra kommunene vil skje i form av trekk i rammetilskuddet til den enkelte kommune.
Finansdepartementet og Kommunal- og regionaldepartementet vil samarbeide om utformingen av de endelige kriteriene for tildeling og eventuell tilbakebetaling av kompensasjonen fra denne ordningen.
Endelig tildeling av særskilt ekstratilskudd til enkeltkommuner fra ordningen vil skje når resultatene av Skattedirektoratets undersøkelse foreligger, dvs. trolig senest i løpet av september.
3.3.5 Merverdiavgiften og konkurransevridninger
Bakgrunn
Et viktig prinsipp som ble lagt til grunn i merverdiavgiftsreformen, er at like tjenester skal behandles likt uavhengig av hvem som yter tjenesten, jf. Ot.prp. nr. 2 (2000-2001) Merverdiavgiftsreformen 2001. Dette vil bidra til større grad av likebehandling av ulike tjenesteleverandører.
Et kjennetegn ved merverdiavgiften som forbruksavgift, er retten til fradrag for inngående avgift. Fradragsretten betyr at merverdiavgiftspliktige næringsdrivende ikke blir belastet avgift ved sine kjøp av varer og tjenester til virksomheten. Avgiftsbelastningen vil først framkomme ved salg til den som anses som forbruker i systemet. Forbruker i denne sammenheng omfatter også næringsdrivende og offentlige institusjoner som ikke er avgiftspliktige. Som følge av at virksomhetene vil befinne seg utenfor merverdiavgiftssystemet, har de heller ikke fradragsrett for inngående merverdiavgift. For slike virksomheter vil det dermed kunne oppstå et konkurransevridningsproblem knyttet til egenproduksjon.
Et bredere merverdiavgiftsgrunnlag vil bidra til større nøytralitet mellom vare- og tjenesteanskaffelser som allerede er avgiftsbelagte, og tjenesteanskaffelser som nå blir merverdiavgiftspliktig. Et bredere grunnlag vil dessuten innebære at flere virksomheter blir avgiftspliktige og får fradragsrett for inngående merverdiavgift. Det vil dermed bli færre virksomheter som vil ha et avgiftsmotiv for å produsere tjenestene selv. For de virksomhetene som fortsatt blir stående utenfor merverdiavgiftssystemet, vil imidlertid flere tjenester som anskaffes bli omfattet av merverdiavgiften.
På bakgrunn av omtalen av disse problemstillingene i Ot. prp. nr. 2 (2000-2001), ba Finanskomiteen Regjeringen om å komme tilbake i Revidert nasjonalbudsjett 2001 med en nærmere vurdering av merverdiavgiftsreformens virkning på forholdet mellom tjenester utført av egne ansatte og kjøp av tjenester. Det vises til Budsjett- innst. S.I. (2000-2001).
Tidligere vurderinger
Spørsmålet om konkurransevridninger i merverdiavgiftssystemet har vært drøftet i flere sammenhenger siden merverdiavgiften ble innført i 1970.
I 1985 ble det oppnevnt et offentlig utvalg for å vurdere bl.a. konkurransevridningsspørsmål i merverdiavgiftssystemet. Utvalget avga sin innstilling i desember 1991 jf. NOU 1991: 30 Forbedret merverdiavgiftslov (Zimmer-utvalget). På bakgrunn av dette ble det i St. meld. nr. 21 (1993-94) Merverdiavgift og offentlig sektor skissert to alternativer for å løse konkurransevridningsproblemene i kommunal virksomhet. En løsning som ble skissert, var en begrenset kompensasjonsordning utenfor merverdiavgiftssystemet. Denne kunne innføres relativt raskt. Den andre løsningen var å skille ut deler av den kommunale virksomheten i egne regnskapsenheter og innføre avgiftsplikt for omsetning fra disse enhetene. Dette vil imidlertid kreve omfattende endringer i kommunale regnskapsregler, og denne løsningen ville være mer tidkrevende å iverksette. På lengre sikt ble imidlertid dette ansett som en mer tilfredsstillende løsning.
For å motvirke konkurransevridninger knyttet til statlige virksomheter ble det vist til en mulig løsning der statlige institusjoner budsjetterer og avregner sine utgifter eksklusive merverdiavgift (såkalt nettobudsjettering). Et alternativ kunne være å gi instruks til statlige virksomheter om å se bort i fra avgiften ved valg mellom egenregi og anskaffelse fra private. I Innst. S. nr. 94 (1993-94) gikk flertallet i Finanskomiteen inn for en begrenset kompensasjonsordning for kommunal sektor på områder der omfanget av konkurransevridning ble ansett som tilstrekkelig stort. For statlig virksomhet viste flertallet til at begge de skisserte løsningene kunne være aktuelle og burde vurderes nærmere. På denne bakgrunn ble det i Salderingsproposisjonen 1995 foreslått å vurdere ordninger for å begrense konkurransevridningen for statlige virksomheter for tjenestene renhold og bygg og anlegg. I St. prp. nr. 1 (1995-96) (Gul bok) ble dette vurdert, men det ble da ikke ansett som hensiktsmessig å innføre en slik begrenset ordning.
Kompensasjonsordningen for kommunene
Fra 1. mai 1995 ble det innført en kompensasjonsordning for kommunesektoren for merverdiavgift ved kjøp av visse tjenester fra registrerte næringsdrivende, jf. Ot. prp. nr. 18 (1994-95) Lov om kompensasjon til kommuner og fylkeskommuner. Kompensasjonsordningen er begrenset til å gjelde anskaffelser til eget bruk av tjenester knyttet til vask og rens av tekstiler og arbeid på bygg, anlegg og annen fast eiendom. Kompensasjonsordningen finansieres av kommunene selv. I Ot.prp. nr. 18 (1994-95) ble renhold foreslått inkludert i ordningen. Flertallet på Stortinget gikk imidlertid mot å inkludere denne tjenesten i ordningen, jf. Innst. O. nr. 25 (1994-95).
I salderingsproposisjonen for 1995 ble det vurdert om ordningen skulle utvides til å gjelde flere tjenester. I proposisjonen ble det gitt en begrunnelse for hvorfor avgiftsbelagte tjenester som for eksempel renovasjon og avfallsbehandling, kjøkken og kantinedrift og trykkeritjenester ikke burde omfattes av ordningen. Senere er ordningen utvidet til å gjelde private og ideelle virksomheter som er tatt med i offentlige planer som en integrert del av det kommunale eller fylkeskommunale tjenestetilbudet, og som er finansiert fullt ut med offentlige midler og eventuell brukerbetaling på linje med tilsvarende offentlig virksomhet, jf. Dokument 8:99 og Innst. S. nr. 3 (1996-97).
På en rekke tjenesteområder er kommunal egenproduksjon lite aktuelt. Det synes derfor lite hensiktsmessig å kompensere for merverdiavgift ved kjøp av telekommunikasjonstjenester, post og godstransport. Ordningen er allerede i dag administrativt krevende og innebærer betydelig arbeid knyttet til utfylling og dokumentasjon av refusjonskrav. Det kan i denne sammenheng vises til forutsetningene som ble lagt til grunn av Finanskomiteens flertall om at valg av tiltak må stå i rimelig forhold til problemets omfang, jf. Innst. S. nr. 94 (1993-94). Flertallet viste videre til at endringer i regelverket fortrinnsvis bør skje for bransjer hvor det praktiske omfanget av konkurransevridning antas å være betydelig.
Regjeringen foreslo heller ingen utvidelse av kompensasjonsordningen i forbindelse med merverdiavgiftsreformen, jf. Ot.prp. nr. 2 (2000- 2001). Begrunnelsen for dette var at departementet ikke kunne se at det forelå noen sterkere økonomisk motivasjon for kommunene til egenproduksjon av de nye merverdiavgiftspliktige tjenestene, enn for dagens avgiftspliktige tjenester som ikke er omfattet av kompensasjonsordningen. Finanskomiteens flertall tok til etterretning at Regjeringen ikke foreslo endringer i kompensasjonsloven, jf. Innst. O. nr. 24 (2000-2001). Komiteens flertall viste imidlertid til budsjettavtalens pkt. 6 hvor Regjeringen bes om å komme tilbake i Revidert nasjonalbudsjett 2001 med en nærmere vurdering av virkningen av merverdiavgiftsreformens på forholdet mellom tjenester utført av egne ansatte og kjøp av tjenester.
Nærmere om merverdiavgiftens betydning for egenproduksjon og kjøp fra andre
Konsekvensene av en eventuell konkurransevridning mellom egenproduksjon og kjøp fra andre vil dels avhenge av hvor store tjenesteleveranser som blir berørt av merverdiavgiftsreformen, og om det er hensiktsmessig å drive egenproduksjon av disse tjenestene. Effektivitetstap oppstår når tjenester produseres mindre effektivt ved egenproduksjon enn ved kjøp fra andre. Hvorvidt det er økonomisk hensiktsmessig å produsere tjenesten selv, avhenger imidlertid av både forskjeller i effektivitet og merverdiavgiftsbelastning.
Det er imidlertid flere forhold som vil motvirke en vridning til egenproduksjon. For enkelte tjenester kan det være store etableringskostnader som gjør det lite effektivt å produsere mindre volum. Det kan også være effektivitetsgevinster i selve produksjonen ved at arbeidskraften kan utnyttes bedre ved større produksjonsvolum. Utviklingen har gått i retning av anskaffelser av tjenester som krever mer spesialisert kompetanse. Normalt vil det være hensiktsmessig å konsentrere denne kompetansen i færre og spesialiserte enheter. Det er grunn til å tro at mange enheter innen bl.a. offentlig forvaltning vil være så små at det ikke vil være aktuelt med egenproduksjon.
Det er flere tjenester som blir omfattet av merverdiavgiften fra 1. juli 2001 som i liten grad er aktuelle for egenproduksjon. Posttjenester vil f.eks. ikke være egnet for egenproduksjon. Dette skyldes at det knytter seg stordriftsfordeler til det etablerte postsystemet som Posten har enerett på å drive. Stordriftsfordelene skyldes bl.a. store etableringskostnader og fordeler gjennom en mer effektiv utnyttelse av arbeidskraften ved større volum. Postsendinger utgjør en stor del av tjenesteleveransene som blir avgiftspliktige 1. juli. Beregninger fra Statistisk sentralbyrå viser at posttjenester utgjør om lag en fjerdedel av leveransene av disse tjenestene som omsettes til sektorer uten fradragsrett.
I mange tilfeller vil det heller ikke være aktuelt å produsere vikartjenester selv. Behovet for virkartjenester kan ofte komme uventet og behovet kan være kortvarig. I slike tilfeller er det ikke aktuelt å vurdere egne ansettelser. For virksomheter med mange ansatte kan det imidlertid være aktuelt å ansette flere enn det strengt tatt er behov for med bakgrunn i at en til enhver tid må regne med midlertidlige fravær.
Leveransen av konsulent- og advokattjenester, bedriftsrådgivning og revisor og regnskapstjenester, utgjør om lag halvparten av de tjenesteleveransene som blir avgiftsbelagt fra 1. juli, og som omsettes til sektorer uten fradragsrett. Dette er tjenester som det i prinsippet kan være aktuelt å produsere selv, men mange av tjenestene krever også spesiell kompetanse som det neppe vil være aktuelt å anskaffe i mindre virksomheter.
Kjøreopplæring kjøpes i ubetydelig grad av virksomheter som er utenfor merverdiavgiftssystemet. For ordinære forbrukere kan det imidlertid være aktuelt å erstatte deler av opplæringen i regi av kjøreskoler med egen opplæring.
Nærmere om sektorer som ikke har fradragsrett
Flere tjenesteområder vil fortsatt være unntatt fra merverdiavgiften, bl.a. finansielle tjenester, undervisning, persontransport, overnatting og andre reiselivsbaserte tjenester. Offentlig forvaltning og frivillige organisasjoner står også for en stor grad utenfor. Tabell 3.11 gir en oversikt over anskaffelser av tjenester som blir omfattet av merverdiavgiftsreformen for kommunal og statlig forvaltning, finansnæringen og frivillige organisasjoner. Tallene er anslått på bakgrunn av Statistisk sentralbyrås nasjonalregnskap for 1997. Det knytter seg imidlertid stor usikkerhet til disse tallene, og som omtalt i avsnitt 3.3.2 har anslagene for provenyet fra merverdiavgiftsreformen blitt justert opp. Anslagene fra nasjonalregnskapet kan likevel egne seg til å belyse hvilke merverdiavgiftspliktige tjenester som kan være av størst betydning for virksomheter som står utenfor merverdiavgiftssystemet. Det går fram av tabellen at anskaffelsene av tjenester som nå blir merverdiavgiftspliktige synes å utgjøre en meget liten andel av sektorenes totale anskaffelser av varer og tjenester.
Tabell 3.11 Anskaffelser av tjenester som blir merverdiavgiftpliktige fra 1. juli 2001 i utvalgte sektorer uten fradragsrett. Mill. kroner. 1997
| Tjenester som omfattes av mva reformen | Kommuneforvaltning | Statsforvaltning | Finansnæringen | Frivillige organisasjoner |
| Økonomisk og jur. rådgivning | 340 | 520 | 2 040 | 310 |
| Post | 180 | 240 | 1090 | 140 |
| Vikartjenester | 140 | 190 | 50 | 40 |
| Andre tjenester | 110 | 170 | 90 | 70 |
| Sum tjenester | 770 | 1 120 | 3 270 | 560 |
| Sum produktinnsats | 37 821 | 36 525 | 19 500 | 13 700 |
Kilde: Kilde Statistisk sentralbyrå.
Stat, kommune og institusjoner som eies eller drives av stat og kommune er, på samme måte som næringsdrivende, avgiftspliktige når de driver omsetning av varer eller tjenester. En stor del av den offentlige virksomheten er imidlertid forvaltningsoppgaver som i liten grad retter seg inn mot omsetning av varer og tjenester. Leveranser av tjenester til offentlig forvaltning som blir merverdiavgiftspliktige fra 1. juli utgjorde i 1997 knapt 1,9 mrd. kroner. Av disse leveransene utgjør økonomisk og juridisk rådgivning mv. (konsulenttjenester) om lag halvparten, mens posttjenester utgjør vel 20 pst. og vikartjenester om lag 17 pst. På bakgrunn av drøftingen ovenfor er det ikke grunn til å tro at merverdiavgiftsreformen vil bidra til en betydelig konkurransevridning fra offentlig kjøp av tjenester til egenproduksjon.
Tjenester fra organisasjoner og foreninger vil fremdeles unntas merverdiavgiftsplikt i den grad det ikke foreligger betydelig omsetning. Dette omfatter bl.a. idrettslag, humanitære og religiøse organisasjoner. Avgiftsplikt for veldedige og allmennyttige institusjoner og organisasjoner foreligger først ved en omsetning over 140 000 kroner, eller ved omsetning av varer under spesielle arrangementer.
Frivillige organisasjoner er i en særstilling ved at de ikke driver regulær økonomisk virksomhet, og at de i stor grad baserer seg på frivillig innsats. En stor del av organisasjonenes egenproduksjon av tjenester skyldes nettopp at organisasjonene kan produsere tjenestene selv til mye lavere kostnader enn ved kjøp fra andre. Anskaffelsene av nye merverdiavgiftspliktige tjenester var anslått til knapt 600 mill. kroner i 1997. Det er post-, revisjons- og regnskapstjenester som utgjør den største andelen.
Finansielle tjenester består av en rekke ulike tjenesteområder innen bank og finans. De fleste av disse tjenestene er foreslått unntatt fra merverdiavgiften. Post-, konsulent- og advokattjenester utgjør den største andelen av tjenesteleveransene som omsettes til finansnæringen og som blir omfattet av merverdiavgiftsutvidelsen fra 1. juli. Samlet er leveransene anslått til om lag 3,3 mrd. kroner i 1997. Posttjenester har en andel på om lag 30 pst., advokattjenester om lag 15 pst. og andre konsulenttjenester om lag 50 pst. Av konsulenttjenestene antas IT- tjenester å utgjøre en betydelig andel. Utviklingen i informasjons- og kommunikasjonsteknologi har bidratt til å gjøre det enklere å sette ut deler av produksjonen utenfor egen virksomhet. For finansnæringen, som er en næring med betydelig innkjøp av IT-tjenester, har egenproduksjon av slike tjenester i stadig større grad blitt erstattet med innkjøp fra eksterne tjenesteleverandører. Denne utviklingen kan bidra til at tallmaterialet fra nasjonalregnskapet i 1997 kan undervurdere omfanget av finansnæringens kjøp av tjenester fra andre og at tallene i tabellen dermed muligens vil undervurdere mulighetene for egenproduksjon.
Oppsummering og vurdering
Generell merverdiavgift på flere tjenester bidrar til økt likebehandling av varer og tjenester. Et bredere avgiftsgrunnlag fører til at flere virksomheter får fradrag for merverdiavgift. For disse virksomhetene vil egenproduksjon av tjenester framstå som mindre lønnsomt enn tidligere. For sektorer som fortsatt står utenfor merverdiavgiften, kan merverdiavgiftsreformen gjøre egenproduksjon av enkelte tjenester mer lønnsomt enn tidligere. Overgang til egenproduksjon som utelukkende skyldes merverdiavgift, vil normalt lede til dårligere bruk av samfunnets ressurser.
Av de tjenestene som blir omfattet av merverdiavgiften fra 1. juli 2001, utgjør økonomisk og juridisk rådgivning og posttjenester de klart største anskaffelsene til sektorer som står utenfor merverdiavgiften. Enkelte former for økonomisk og juridisk rådgivning kan være egnet for egenproduksjon innen større virksomheter, mens det er liten grunn til å tro at posttjenester vil bli utført utenom det etablerte postsystemet.
Departementet har ikke funnet grunnlag for å endre konklusjonene i Ot. prp. nr. 2 (2000-2001). Det legges derfor ikke opp til å innføre særskilte ordninger for å motvirke eventuelle vridninger til egenproduksjon for sektorer som fortsatt står utenfor merverdiavgiftssystemet.
3.3.6 Grensehandelen med Sverige
I Revidert nasjonalbudsjett 1998 ble det varslet at det var ønskelig å få gjennomført en kartlegging av den samlede grensehandelen med Sverige. Bakgrunnen var mangel på fullgod statistikk. På oppdrag av Finansdepartementet og Nærings- og handelsdepartementet har Stiftelsen Østfoldforskning gjennomført en kartlegging for året 2000.
Undersøkelsen er gjennomført ved at et representativt utvalg av husholdninger og personer som har reist med biler og busser fra Sverige og inn i Norge, har blitt intervjuet eller fylt ut spørreskjemaer. Foruten grenseovergangene er også trafikken på fergen Strømstad-Sandefjord regnet med. Materialet viser at personbiltrafikken står for over 95 pst. av handelen. For å beregne totaltall for grensehandelen, har en benyttet Vegdirektoratets registreringer av kjøretøy som passerer grensen mellom Sverige og Norge.
Undersøkelsen viser at den samlede grensehandelen på veg og ferge fra Sverige utgjorde om lag 3,2-3,5 mrd. norske kroner i 2000. Dette tilsvarte om lag 3/4 pst. av samlet innenlands detaljhandel i 2000. Disse tallene for grensehandel er lavere enn anslag som det i ulike sammenhenger har vært operert med tidligere. I Revidert nasjonalbudsjett 1997 ble grensehandelen på usikkert grunnlag anslått til i overkant av 3 mrd. kroner i 1996, eller om lag 1,3 pst. av innenlands detaljhandel.
Når det gjelder fordeling på varegrupper, viser undersøkelsen at tobakksvarer, kjøttvarer og andre mat- og dagligvarer utgjør nesten to tredeler av den samlede grensehandelen, jf. figur 3.7. Det synes som at tobakk utgjør en større andel av grensehandelen enn tidligere antatt.
Blant husholdninger i norskregistrerte biler som passerte inn i Norge, var det om lag 70 pst. som oppga at de hadde handletur som hovedformål med turen. Denne andelen varierer imidlertid mellom grenseovergangene. Blant innpasserende over Svinesund oppga nærmere 75 pst. handletur som hovedformål, mens andelen over Teveldal (Storlien) var under 50 pst.
Mange av husholdningene som handler på den andre siden av grensen, bor relativt nært grensen. Ved de store grenseovergangene på Østlandet, dvs. Svinesund, Ørje og Magnor, utgjør de som bor i Østfold, Oslo og Akershus om lag 70 pst. av handletrafikken. Det er også noen langveisfarende. Av trafikken over Svinesund er det en andel på om lag 6 pst. som bor i Vestfold og Telemark.
Svenske husholdninger handler også i noen utstrekning i Norge. Denne handelen er imidlertid relativt liten. Det er i undersøkelsen beregnet at verdien utgjorde i størrelsesorden 100 mill. kroner for 2000.

Figur 3.7 Sammensetningen av grensehandelen med Sverige i 2000. Prosent
Kilde: Stiftelsen Østfoldforskning.
Statistiske undersøkelser er generelt beheftet med usikkerhet. Ved undersøkelser av grensehandel kan feil oppstå ved at folk oppgir at de har med mindre mengde av bestemte varer inn i landet enn det som er faktisk riktig. Dette kan gjelde varer med innførselskvoter slik som alkohol, tobakk og kjøttvarer. Siden grensehandelen kan ha betydelige sesongvariasjoner, kan det være vanskelig å trekke et representativt utvalg av tidspunkter på døgnet og fordelt over året. Østfoldforskning, som har gjennomført undersøkelsen, har imidlertid sammenholdt sluttresultatet med tall over samlet varehandelsomsetning i de aktuelle svenske grensehandelskommunene mot Norge. Østfoldforskning har på dette grunnlag konkludert med at resultatene fra grensehandelsundersøkelsen synes å være rimelige.
3.3.7 EUs nye retningslinjer for støtte til miljøtiltak
EU-kommisjonen har vedtatt nye retningslinjer for godkjenning av miljøstøtte. EFTAs overvåkingsorgan (ESA) legger opp til å vedta tilsvarende retningslinjer i løpet av første halvår 2001. Retningslinjene omfatter både tradisjonelle virkemidler, slik som tilskudd, lån og garantier til miljøinvesteringer, men også regler for godkjenning av fritak fra eller redusert betaling av miljøavgifter. EU-kommisjonen og ESA legger opp til at EØS-landene skal forplikte seg til å tilpasse sine eksisterende ordninger til de nye bestemmelsene innen 1. januar 2002.
De nye retningslinjene har mer omfattende bestemmelser enn tidligere om hvilke vilkår ESA og EU-kommisjonen mener bør være oppfylt for å godkjenne støtte i form av fritak eller lettelser fra miljøavgifter.
Retningslinjene åpner for at avgiftslettelser kan godkjennes når de nasjonale miljøavgiftene ikke er harmoniserte innen EU eller når en på nasjonalt nivå går lenger enn det som kreves etter felles EU-regler. Godkjenning forutsetter at avgiften har en positiv miljøeffekt på tross av avgiftslettelsen. Det forutsettes videre at avgiftsfritaket ble etablert da avgiften ble innført, eller har blitt nødvendig siden på grunn av betydelig endringer i den økonomiske situasjonen. Retningslinjene åpner bare for en midlertidig forlengelse av avgiftslettelsen, og krever at en av punktene under er oppfylt:
Det kan gis fullt avgiftsfritak i 10 år dersom foretakene foretak påtar seg forpliktelser eller inngår avtaler med myndighetene om gjennomføring av tiltak for å nå bestemte miljømål i perioden, eller myndighetene innfører vilkår knyttet til skattefritaket som vil utløse miljøtiltak med samme effekt som frivillige forpliktelser.
Dersom det ikke er lagt opp til miljøtiltak som skissert ovenfor, kan avgiftslettelser godkjennes over en periode på 10 år dersom foretaket likevel betaler en betydelig andel av den nasjonale avgiften.
Det kan videre gis avgiftslettelse over en femårsperiode, dersom lettelsen trappes ned gradvist i løpet av perioden, eller maksimalt utgjør 50 prosent hvert år i perioden.
Regjeringen har dialog med næringen om saken, og vil komme tilbake til Stortinget med en vurdering av hvilke konsekvenser de nye retningslinjene kan få for det norske avgiftssystemet.
3.3.8 Toll- og kvotefri markedsadgang for de minst utviklede landene (MUL)
Norge har i likhet med andre industriland et tollpreferansesystem overfor utviklingslandene (GSP) som åpner for at det gis tollfrihet eller ilegges reduserte tollavgifter ved import av varer fra GSP-landene til Norge. I henhold til den norske GSP-ordningen ble det fra 1995 gitt tollfrihet for import fra de minst utviklede landene (MUL) for alle produkter unntatt korn, mel og kraftfôr.
GSP-ordningen har en sikkerhetsmekanisme som innebærer at det kan treffes tiltak dersom varene «importeres i slike mengder og under slike omstendigheter at de forårsaker eller truer med å forårsake markedsforstyrrelser». For årene 1998- 2001 har det vært vedtatt et årlig nivå for utløsning av GSP-ordningens sikkerhetsmekanisme ved import fra land med MUL-status på 2 700 tonn utbenet storfekjøtt. Importen fra MUL har så langt ikke nådd dette nivået i noen av årene.
Regjeringen vil etablere toll- og kvotefri markedsadgang fra 1. januar 2002 for alle produkter fra land som til enhver tid er oppført på FNs MUL-liste. Eksisterende sikkerhetsmekanisme under GSP-systemet videreføres.
Toll- og kvotefri markedsadgang gjøres gjeldende for korn, mel og kraftfôr fra 1. juli 2002. Markedsordningen for korn, som innføres 1. juli 2001, skal videreføres med Felleskjøpet som markedsregulator. Det er en forutsetning for endringer i importbetingelsene for MUL at markedsbalansen på korn, mel og kraftfôr skal ivaretas i samsvar med intensjonene i markedsordningen. Det etableres en sikkerhetsmekanisme for korn, mel og kraftfôr som administreres av Statens Landbruksforvaltning (SLF), og som utløses når SLF vurderer at markedsbalansen er i fare. Berørte departementer orienteres i forkant av beslutningen om utløsning av sikkerhetsmekanismen. Det vil bli utarbeidet nærmere kriterier for utløsning av sikkerhetsmekanismen med sikte på å ivareta hensynet til forutsigbarhet og åpenhet. Dagens overvåkningssystem gjennomgås og nødvendige tilpasninger gjennomføres innen ovennevnte ordninger iverksettes. Det må videre sikres at importen under ordningen reelt sett kommer fra MUL. De nåværende ordninger for import fra Botswana og Namibia videreføres.
Det antas at endringene ikke vil medføre stor økning i importen fra MUL, i hvert fall ikke på kort sikt. Endringene antas derfor heller ikke å ha provenykonsekvenser på kort sikt.
MUL har bl.a. i WTO-sammenheng krevd bundet toll- og kvotefri markedsadgang for alle deres produkter. I arbeidet for å oppnå enighet om en ny bred forhandlingsrunde i WTO står tillitsskapende tiltak overfor utviklingslandene sentralt. Fra norsk side vil en arbeide aktivt med sikte på å få oppslutning fra andre industriland om binding i WTO av toll- og kvotefri markedsadgang for alle produkter fra MUL. Bindingen vil måtte knyttes til tilfredsstillende sikkerhetsmekanismer i WTO.
3.3.9 Inntekter fra tildeling av konsesjoner og omdanning av Oslo Børs
Det er for 2001 budsjettert med blant annet 2 mrd. kroner i samlede inntekter fra tildeling av konsesjoner og salg av Oslo børs under kap. 5309 Ymse inntekter. Stortinget gjorde følgende plenarvedtak om inntekter ved tildeling av konsesjoner, jf. Budsjett-innst. S. nr. 1 (2000-2001):
«a.
Inntekter ved tildeling av konsesjoner (kap. 5309)
§ 1. For 2001 kan departementet innhente inntekter ved tildeling av konsesjoner for:
Oppdrett av laks og ørret.
Frekvenser knyttet til etablering og drift av andregenerasjons mobilkommunikasjonssystem.
Riksdekkende reklamefjernsyn.
§ 2. Inntektene innhentes ved tildeling av konsesjoner. Beløpet skal innbetales til statskassen.
§ 3. Departementet gir forskrifter om innbetaling og oppkreving av beløpet.
b.
Stortinget ber Regjeringen snarest legge fram for Stortinget nærmere retningslinjer for innkreving av inntektene.»
Tildelingene kan sannsynligvis gjennomføres inneværende år, slik at inntektene vil bli bokført i 2001. Det er imidlertid fortsatt stor usikkerhet om provenyet fra engangsinntektene.
Nedenfor gis en kort redegjørelse for saksforløpet knyttet til de ulike engangsinntektene.
Salg av aksjer i Oslo Børs Holding ASA
Lov 17. november 2000 nr. 80 om børsvirksomhet m.m. (børsloven) trådte i kraft 31. mars 2001. Selskapet Oslo Børs ASA, som skal overta virksomheten til Oslo Børs, fikk 23. april 2001 konsesjon til å utøve børsvirksomhet etter den nye loven. Omdanning må i henhold til den nye loven gjennomføres i løpet av to år. Oslo Børs har lagt opp til at overføringen av virksomheten fra Oslo Børs til Oslo Børs ASA, og salg av aksjene i Oslo Børs Holding ASA, skal gjennomføres i løpet av mai 2001. I henhold til loven § 10-2 annet ledd skal provenyet fra aksjesalget overføres til Staten.
Stortinget vedtok 3. november 2000 følgende anmodning (vedtak nr. 46):
«Stortinget ber Regjeringen i forbindelse med Revidert nasjonalbudsjett 2001 legge fram forslag til oppretting og omfang av et fond for å fremme økt kunnskap om kapitaldannelse, øke bevisstheten og innsikten rundt nærigslivsetikk og også forskning på disse områdene.
(Jf. Innst. O. nr. 3)».
Anmodningsvedtaket ble fattet i forbindelse med vedtagelsen av den nye børsloven. Departementet har lagt til grunn at deler av inntektene fra salget av aksjene i det nye Oslo Børs Holding ASA skal nyttes til et slikt fond. Siden salget ikke er gjennomført, og omfanget av provenyet ikke er kjent, er det etter departementets syn nå for tidlig å legge fram forslag til oppretting og omfang av et slikt fond. En legger opp til å komme tilbake med forslag om dette når salget er gjennomført og provenyet overført, og regner med at saken vil kunne bli drøftet i Nasjonalbudsjettet 2002.
Oppdrett av laks og ørret
Fiskeridepartementet la 6. april 2001 fram forslag om endringer i lov 14. juni 1985 nr. 68 om oppdrett av fisk, skalldyr m.v. (oppdrettsloven), jf. Ot. prp. nr. 65 (2000-2001). I proposisjonen foreslås det hjemmel til å ta vederlag ved tildeling av tillatelser (konsesjoner) for oppdrett av matfisk av laks og ørret, og at departementet kan differensiere vederlagets størrelse. Fiskeridepartementet tar sikte på å tildele i størrelsesorden 30 til 35 nye konsesjoner for oppdrett av matfisk av laks og ørret i løpet av 2001. I årene som kommer vil det bli jevnlige tildelinger av nye konsesjoner.
I proposisjonen gis det også en oversikt over hovedprinsipper for tildeling av konsesjoner og for beregning av vederlag. Ved fastsettelsen av vederlaget vil Fiskeridepartementet ta utgangspunkt i beregninger av konsesjonenes verdi basert på objektive kriterier. Det tas sikte på at prisen for selve konsesjonsdokumentet vil være rimelig sett i forhold til de muligheter konsesjonen gir for framtidig inntjening, slik at potensielle, kvalifiserte drivere av de nye konsesjonene kan ha mulighet for å forrente den kapital som er nødvendig både til vederlaget og til de øvrige innsatsfaktorene. Videre tas det sikte på at prisen på konsesjonene kan differensieres etter objektive kriterier som gir grunnlag for lavere pris, som for eksempel kostnader knyttet til avstand eller andre relevante forhold. Differensiering av vederlaget vil skje i samsvar med de internasjonale forpliktelsene Norge til enhver tid har.
Vederlaget vil bli fastsatt i forbindelse med utlysing av konsesjonene. Forslag til tildelingsforskrift vil bli sendt på høring etter at Stortinget har behandlet forslaget om endringer i oppdrettsloven.
Annen generasjons mobilkommunikasjonssystem
Samferdselsdepartementet har igangsatt et arbeid med sikte på å tildele frekvenser knyttet til annen generasjons systemer for mobilkommunikasjon (2G) ved auksjon. Det tas sikte på å auksjonere ut de ledige frekvensressursene i 900- og 1800 MHz-båndene i løpet av inneværende år. Tildelingen vil skje i samsvar med forutsetningene i St.prp. nr. 1 (2000-2001) Skatte-, avgifts- og tollvedtak, der det bl.a. legges opp til at det ikke vil bli stilt særskilte krav til dekning.
For å sikre at konsesjoner etter teleloven kan tildeles ved auksjon, finner Samferdselsdepartementet det nødvendig å gjøre endringer i gjeldende telelov. Det er derfor fremmet et forslag om ny forskriftshjemmel for telemyndigheten til å kunne vedta nærmere bestemmelser om tildeling av tillatelser etter teleloven, herunder regler som kan avvike fra de alminnelige saksbehandlingsreglene etter forvaltningsretten. Berørte institusjoner og organisasjoner har hatt anledning til å uttale seg om lovforslaget gjennom en høringsrunde. Lovforslaget ble lagt fram for Stortinget 4. mai 2001 ved Ot.prp. nr. 87 (2001-2002) Om lov om endringer i lov 23. juni 1995 nr. 23 om telekommunikasjon (teleloven).
For å kunne kartlegge etterspørselen etter de ledige frekvensene og inndele frekvensbåndene på en hensiktsmessig måte, har aktørene gjennom en høringsrunde i tillegg hatt anledning til å kommentere planleggingen av de ledige frekvensene i 900- og 1800 MHz-båndene.
Samferdselsdepartementet legger opp til å finne fram til en hensiktsmessig auksjonsform, tilpasset etterspørselen i markedet for de ledige frekvensressursene. Med bakgrunn i erfaringer fra andre land som tidligere har gjennomført tilsvarende frekvensauksjoner, mener Samferdselsdepartementet at en lukket auksjon (én budrunde) vil kunne være en egnet auksjonsform. Det legges opp til å tildele konsesjoner for frekvenser i 900- og 1800 MHz-båndene ved auksjon i løpet av høsten 2001. Egen forskrift med nærmere bestemmelser om auksjonen vil bli fastsatt i løpet av sommeren 2001.
Riksdekkende reklamefjernsyn
Stortinget fattet vedtak om at det skal kreves vederlag for konsesjon for rettigheter til riksdekkende, reklamefinansiert fjernsyn også ved behandlingen av familie-, kultur- og administrasjonskomiteens innstilling om bevilgninger på statsbudsjettet for 2001, jf. Budsjett-innst. S. nr. 2 (2000-2001). Ifølge Stortingets vedtak kan slikt vederlag ikke fastsettes ved auksjon, mens øvrige avgjørelser tas av Regjeringen som konsesjonsmyndighet.
Kulturdepartementet utlyste 29. mars 2001 en ny konsesjon for riksdekkende, reklamefinansiert fjernsyn fra 1. januar 2003 med syv års varighet. Konsesjonæren skal betale 150 mill. kroner ved tildelingen. I tillegg kommer en årlig inntektsavhengig avgift. Alternativt kan konsesjonæren velge å betale et engangsbeløp på 500 mill. kroner ved tildeling av konsesjonen. Av konsesjonsavgiften, uavhengig av modell, øremerkes et årlig tilskudd til norsk film- og fjernsynsproduksjon på 25 mill. kroner. Frist for å søke er satt til 30. mai 2001, og konsesjonen vil bli tildelt i løpet av 2001.
Kulturdepartementet sendte 2. april 2001 på høring forslag til endringer i kringkastingsloven, med frist 20. april 2001 for eventuelle merknader. Hensikten med forslaget er å innføre en hjemmel som gir adgang til å kreve avgift ved tildeling av konsesjon for riksdekkende, reklamefinansiert fjernsyn. Kulturdepartementet foreslår i høringsnotatet at hjemmelen gjøres generell, slik at den også kan gjøres gjeldende for riksdekkende, reklamefinansiert radio. Det vil med det første fremmes en egen odelstingsproposisjon om saken.
3.4 Pengepolitikken mv.
3.4.1 Nye retningslinjer for pengepolitikken
I St.meld. nr. 29 (2000-2001) Retningslinjer for den økonomiske politikken ble handlingsregelen om en innfasing av petroleumsinntektene i norsk økonomi i takt med forventet realavkastning av Petroleumsfondet introdusert, jf. avsnitt 3.1 over. Samtidig ble det fastsatt nye retningslinjer for pengepolitikken. Norge er nå i en periode hvor budsjettpolitikken skal tilpasses en gradvis og opprettholdbar økning i bruken av petroleumsinntektene i norsk økonomi. Dette må skje på en måte hvor en legger stor vekt på å sikre en fortsatt sterk konkurranseutsatt sektor, og slik at en får en langsiktig balansert utvikling i norsk økonomi.
I denne situasjonen var det behov for en klarere forankring av pengepolitikkens rolle i å støtte opp om en stabil økonomisk utvikling, jf. St.meld. nr. 29 (2000-2001). Nye retningslinjer for pengepolitikken ble fastsatt i forskrift ved kronprinsregentens resolusjon av 29. mars 2001, jf. boks 3.3.
I St.meld. nr. 29 ble det gitt en nærmere drøfting av de enkelte paragrafene i forskriften: I forskriftens § 1 første ledd heter det at «Pengepolitikken skal sikte mot stabilitet i den norske krones nasjonale og internasjonale verdi, herunder også bidra til stabile forventninger om valutakursutviklingen. Pengepolitikken skal samtidig understøtte finanspolitikken ved å bidra til å stabilisere utviklingen i produksjon og sysselsetting.» Over tid vil det normalt være en klar og gjensidig sammenheng mellom utviklingen i kronens kjøpekraft i Norge og utviklingen i kronens verdi målt i forhold til våre handelspartnere. Stabil valutakurs kan bidra til forventninger om fortsatt lav inflasjon, som igjen har betydning for både pris- og lønnsfastsettingen. En stabil økonomisk utvikling, med moderat pris- og kostnadsvekst, vil samtidig være en forutsetning for en stabil valutakursutvikling over tid.
I forskriftens § 1 tredje ledd heter det at «Norges Banks operative gjennomføring av pengepolitikken skal i samsvar med første ledd rettes inn mot lav og stabil inflasjon. Det operative målet for pengepolitikken skal være en årsvekst i konsumprisene som over tid er nær 2,5 pst.» Det forventes at konsumprisveksten som en hovedregel vil ligge innenfor et intervall på +/- 1 prosentpoeng rundt målet for prisstigningen. Bestemmelsen skal forstås slik at avvik mellom den faktiske prisutviklingen og målet i en periode ikke skal kompenseres i en senere periode. Dersom prisstigningen i en periode avviker vesentlig fra målet, skal Norges Bank sette renten med sikte på at konsumprisveksten gradvis bringes tilbake til målet, slik at en unngår unødige svingninger i produksjon og sysselsetting.
Boks 3.3 Forskrift om pengepolitikken
Fastsatt ved kronprinsregentens resolusjon 29. mars 2001 med hjemmel i sentralbankloven § 2 tredje ledd og § 4 annet ledd
I
§ 1.
Pengepolitikken skal sikte mot stabilitet i den norske krones nasjonale og internasjonale verdi, herunder også bidra til stabile forventninger om valutakursutviklingen. Pengepolitikken skal samtidig understøtte finanspolitikken ved å bidra til å stabilisere utviklingen i produksjon og sysselsetting.
Norges Bank forestår den operative gjennomføringen av pengepolitikken.
Norges Banks operative gjennomføring av pengepolitikken skal i samsvar med første ledd rettes inn mot lav og stabil inflasjon. Det operative målet for pengepolitikken skal være en årsvekst i konsumprisene som over tid er nær 2,5 pst.
Det skal i utgangspunktet ikke tas hensyn til direkte effekter på konsumprisene som skyldes endringer i rentenivået, skatter, avgifter og særskilte, midlertidige forstyrrelser.
§ 2.
Norges Bank skal jevnlig offentliggjøre de vurderingene som ligger til grunn for den operative gjennomføringen av pengepolitikken.
§ 3.
Den norske krones internasjonale verdi fastlegges på grunnlag av kursene i valutamarkedet.
§ 4.
Norges Bank gir på statens vegne de meddelelser om kursordningen som følger av deltagelse i Det internasjonale valutafond, jf. lov om Norges Bank og pengevesenet § 25 første ledd.
II
Denne forskrift trer i kraft straks. Samtidig oppheves forskrift av 6. mai 1994 nr. 0331 om den norske krones kursordning
I forskriftens § 1 fjerde ledd heter det at «Det skal i utgangspunktet ikke tas hensyn til direkte effekter på konsumprisene som skyldes endringer i rentenivået, skatter, avgifter og særskilte, midlertidige forstyrrelser.» Norges Banks rentesetting skal være framoverskuende og ta tilbørlig hensyn til usikkerheten knyttet til makroøkonomiske anslag og vurderinger. Den skal ta hensyn til at det kan ta tid før politikkendringer får effekt, og den bør se bort fra forstyrrelser av midlertidig karakter som ikke vurderes å påvirke den underliggende pris- og kostnadsveksten. Pengepolitikken skal således i utgangspunktet ikke reagere på direkte effekter på prisnivået som skyldes endringer i rentenivået, skatter, avgifter og særskilte, midlertidige forstyrrelser.
Et mål på årlig vekst i konsumprisene nær 2,5 pst. over tid er om lag som gjennomsnittet for prisstigningen i Norge i 1990-årene. Den europeiske sentralbanken har definert et prisstigningsmål på under 2 pst. Samtidig har eksempelvis Storbritannia og Australia tilsvarende mål for inflasjonen som Norge. USA har ikke et tallfestet mål for inflasjonen, men den gjennomsnittlige prisstigningstakten på 1990-tallet lå på 3 pst.
De nye retningslinjene for pengepolitikken medfører at Norges Bank skal utøve et saklig, avgrenset skjønn innenfor sitt mandat. De nye retningslinjene representerer en endring i bankens mandat, men bør ikke i seg selv innebære en vesentlig annerledes innretting av de pengepolitiske virkemidlene. Retningslinjene vil således innebære kontinuitet i utøvelsen av pengepolitikken, og vil legge et godt grunnlag for at Norges Bank kan videreføre en pengepolitikk som har tillit både i finansmarkedet og i samfunnet for øvrig. De nye retningslinjene for pengepolitikken, sammen med retningslinjene for budsjettpolitikken som ble trukket opp i St.meld. nr. 29 (2000- 2001), vil legge et godt grunnlag for fortsatt stabilitet i valutakursen.
Norges Bank har holdt styringsrenten uendret på 7 pst. siden september i fjor, etter å ha satt opp rentene med til sammen 1,5 prosentpoeng gjennom 2000.
3.4.2 Kontanthåndtering - Norges Banks distriktsavdelinger
I henhold til sentralbankloven § 2 forela Norges Bank 18. januar i år sine planer om å etablere et datterselskap for kontanthåndtering for Finansdepartementet.
Norges Banks kontanthåndtering utføres i dag i hovedsak av bankens distriktsavdelinger. Begrepet kontanthåndtering kan i utgangspunktet omfatte en rekke forskjellige funksjoner, fra å bestemme pålydende og utforming ved utstedelse av sedler og mynt til å yte tjenester på forretningsmessig grunnlag, som for eksempel sortering av mottatte betalingsmidler og pakking av kassetter til minibanker.
I henhold til de forelagte planene skal utstedelse av sedler og mynt fortsatt forestås av Norges Bank. Andre funksjoner, som forsyning, destruksjon, innløsning og innskudd/mottak av betalingsmidler, samt det arbeidet som utføres i forbindelse med sortering og pakking av sedler og mynt, foreslås overført til et nyopprettet aksjeselskap.
Norges Bank har opplyst at forslaget innebærer at distriktsavdelingene nedlegges, og at virksomheten overføres til det nyopprettede selskapet.
Norges Bank legger opp til å være deleier av selskapet, og de andre eierne antas å bli forretnings- og sparebanker. Eierne vil kjøpe tjenester fra selskapet, og også Norges Bank vil ved behov kjøpe tjenester fra selskapet.
Norges Bank har videre opplyst at de vil sørge for at det nye selskapet har tilfredsstillende rutiner for utførelsen av kontanthåndteringsfunksjonene, og vil kontrollere at disse blir fulgt.
Etter Norges Banks syn vil et felles kontanthåndteringsselskap innebære en betydelig strukturrasjonalisering innen kontanthåndtering i Norge. Det antas at stordriftsfordelene og kundegrunnlaget i et felles selskap vil bidra til opprettholdelse av virksomheten ved det som nå er avdelinger i Norges Bank. Norges Bank ser det også som viktig at det oppnås balanse mellom Norges Banks eierandel og kundeandel, blant annet for å bidra til rasjonell drift og riktig prising. Til å begynne med tar Norges Bank sikte på å eie to tredeler av aksjene i selskapet. Det tas sikte på å få inn flere eiere, slik at Norges Banks eierandel reduseres, men Norges Bank har opplyst at de tar sikte på å eie over en tredel av aksjene «... til selskapet er vel innarbeidet».
Stortinget vedtok høsten 1999 § 8a i sentralbankloven. Første ledd lyder:
«Representantskapet kan etter forslag fra hovedstyret bestemme at produksjon av pengesedler og mynter eller annen forretningsmessig virksomhet som faller inn under denne loven, skal utøves av selskap som banken helt eller delvis eier. Hovedstyret representerer banken som eier i slike selskaper.»
Bestemmelsen setter vide grenser for bankens adgang til å sette ut deler av sin virksomhet i egne foretak. I Ot.prp. nr. 96 (1998-99) s. 53 er det uttalt at blant annet distribusjon og destruksjon av sedler og mynt vil kunne falle inn under begrepet «annen forretningsmessig virksomhet».
Det framgår av sentralbankloven § 13 at Norges Bank selv skal utstede sedler og mynter. Som nevnt er det ikke foreslått å sette ut denne oppgaven til det nye selskapet.
Departementet er enig med Norges Bank i at den foreslåtte overføringen av kontanthåndteringen til et eget selskap er i samsvar med denne bestemmelsen.
Etter sentralbankloven § 8a er det krav om at Norges Bank skal eie det aktuelle selskapet delvis. Det følger av § 8a annet ledd at Norges Banks representantskap skal føre tilsyn med et selskap som nevnt. Norges Bank har som nevnt opplyst at de regner med at de etter hvert vil reduserer sin eierandel til en tredel. Departementet legger til grunn at en eierandel på en tredel vil oppfylle sentralbanklovens krav. Departementet legger også til grunn at en reduksjon av eierandelen under en tredel vil være en sak av særlig viktighet, som skal forelegges departementet.
Det er adgang til å instruere Norges Bank i henhold til de særskilte formreglene i sentralbankloven § 2. Departementet har etter en samlet vurdering kommet til at en ikke vil gå inn for at Norges Bank instrueres om ikke å gjennomføre den planlagte etableringen av et selskap for kontanthåndtering og overføring av virksomheten i distriktsavdelingene til dette selskapet. Det legges blant annet vekt på at et alternativ for Norges Bank vil kunne være å vesentlig bygge ned omfanget av bankens kontanthåndtering. Det legges også vekt på at de ansatte i Norges Bank har gitt til kjenne at de ser dette som en måte å opprettholde arbeidsplasser på, og støtter planen, dog med forbehold om at de ønsker at Norges Bank skal opprettholde en høy eierandel i selskapet.
Saken er likevel så omfattende at departementet finner det riktig å gi Stortinget en orientering, og anledning til å gi synspunkter, før departementet tar endelig stilling til foreleggelsen fra Norges Bank.
3.5 Statens petroleumsfond og Folketrygdfondet
3.5.1 Statens petroleumsfond
3.5.1.1 Generelt
Statens petroleumsfond hadde i 2000 en avkastning på 2,5 pst., målt i utenlandsk valuta i samsvar med valutasammensetningen til fondets referanseportefølje. Denne måten å måle avkastningen på viser utviklingen i fondets internasjonale kjøpekraft. Målt i norske kroner var avkastningen på 6,5 pst. Forskjellen mellom de to avkastningstallene skyldes at den norske kronen falt i verdi i forhold til fondets valutakurv i løpet av perioden.
Avkastningen på Petroleumfondets aksjeportefølje var - 5,8 pst. målt i utenlandsk valuta, mens avkastningen på obligasjoner var 8,4 pst. Siden begynnelsen av 1998 har den samlede avkastningen vært 45 pst. på aksjeinvesteringene og 17 pst. på obligasjonsinvesteringene. Fondets samlede avkastning over denne perioden har utgjort 26 pst., eller 8,7 pst. målt som gjennomsnittlig årlig avkastning, jf. figur 3.8. Fondets reelle avkastning målt i utenlandsk valuta, hvor det er justert for prisstigning i de landene fondet er investert i, er beregnet til 6,5 pst. som gjennomsnittlig årlig avkastning siden 1998. Dette er trolig høyere enn hva man kan forvente som langsiktig realavkastning.
Finansdepartementet har definert en referanseportefølje for forvaltningen av Statens petroleumsfond. Referanseporteføljen er en tenkt portefølje av verdipapirer som er satt sammen ved hjelp av anerkjente aksje- og obligasjonsindekser. Denne porteføljen danner utgangspunktet for Norges Banks forvaltning av midlene og for risikostyringen. Ved å sammenlikne fondets avkastning med avkastningen på referanseporteføljen over tid, får man en indikasjon på hvor godt midlene forvaltes. I 2000 ga forvaltningen av Petroleumsfondet en avkastning som var 0,2 prosentpoeng høyere enn referanseporteføljens avkastning. I perioden 1998-2000 ble det oppnådd en årlig meravkastning på i gjennomsnitt 0,55 prosentpoeng. Gitt den risikoeksponeringen det er lagt opp til i forvaltningen, vil en slik meravkastning være tegn på en god forvaltning, dersom den vedvarer over tid.

Figur 3.8 Akkumulert avkastning i Petroleumsfondet. Fondets valutakurv, indeks 31. desember 1997=100
Kilde: Norges Bank
Finansdepartementet har satt en grense for markedsrisikoen i den faktiske porteføljen regnet i forhold til referanseporteføljen, ved å kreve at forventet relativ volatilitet skal være lavere enn 1,5 prosentpoeng. Litt forenklet betyr dette at Petroleumsfondet i to av tre år vil ha en avkastning som ikke avviker fra referanseporteføljens avkastning med mer enn pluss/minus 1,5 prosentpoeng, gitt at Norges Bank utnytter grensen for relativ volatilitet. Banken har holdt seg godt innenfor risikogrensen.
I henhold til loven om Statens petroleumsfond har Finansdepartementet ansvar for forvaltningen av Petroleumsfondet. Den operative forvaltningen av fondets midler er overlatt til Norges Bank. Forholdet mellom Finansdepartementet og Norges Bank i arbeidet med Statens petroleumsfond er regulert gjennom forskriften om forvaltning av fondet, som er fastsatt med hjemmel i loven om Statens petroleumsfond, og gjennom andre retningslinjer og bestemmelser som er meddelt Norges Bank i brev fra Finansdepartementet. I tillegg er det inngått en forvaltningsavtale mellom Finansdepartementet og Norges Bank om Petroleumsfondet. I denne avtalen heter det at Norges Bank skal motta godtgjøring for forvaltningen av fondet med utgangspunkt i prinsippet om full kostnadsdekning. Godtgjøringen trekkes fra fondets bruttoavkastning før nettoavkastningen tilføres fondets kronekonto den 31. desember hvert år. Satsene for godtgjøring i 2000 var 0,148 pst. av den gjennomsnittlige verdien som i henhold til referanseporteføljen kunne plasseres i aksjer, og 0,046 pst. av verdien som kunne plasseres i obligasjoner. I tillegg skal godtgjøringen dekke honorarer til eksterne forvaltere som følger av oppnådd meravkastning. Slike avtaler er inngått med de fleste eksterne aktive forvaltere, og er i hvert enkelt tilfelle godkjent av Finansdepartementet. I alt mottok Norges Bank en godtgjøring på 330 mill. kroner for forvaltningen av Petroleumsfondet i 2000. Dette må anses som moderat sett i forhold til andre fond av tilsvarende størrelse, jf. også resultatene fra det canadiske konsulentselskapet Cost Effectiveness Measurement Inc. som er nærmere omtalt i Norges Banks årsrapport om forvaltning av Statens petroleumsfond 2000. Kostnadsnivået må ses i sammenheng med det store innslaget av indeksforvaltning. Indeksforvaltning innebærer at plasseringene ligger svært nær referanseporteføljen for fondet.
Satsene skal i henhold til forvaltningsavtalen gjennomgås på nytt i september hvert år og evt. justeres på bakgrunn av faktisk kostnadsutvikling. Norges Banks godtgjøring for forvaltning av Petroleumsfondet har økt betydelig de senere år som følge av stor økning i forvaltet kapital. I lys av dette ønsker Finansdepartementet å vurdere alternative systemer for godtgjøring til banken med sikte på å stimulere til effektiv forvaltning av fondet. Finansdepartementet har på denne bakgrunn bedt Norges Bank om å utarbeide et utkast til beregningsmåte for godtgjøring, og tar sikte på å melde tilbake til Stortinget om dette i Nasjonalbudsjettet 2002.
Ved utgangen av 2000 var verdien av Statens petroleumsfond 386,6 mrd. kroner, jf. St.meld. nr. 3 (2000-2001) Statsrekneskapen 2000. Dette tilsvarer egenkapitalen i fondet. Det var ved utgangen av året en mellomregning på 519 mill. kroner mellom fondet og statskassen som skyldes at fondet var tilført mindre midler enn netto avsetning til Petroleumsfondet etter statsregnskapet skulle tilsi. Den bokførte verdien av fondets portefølje av utenlandske verdipapirer var derfor 519 mill. kroner lavere enn fondets egenkapital ved årsskiftet.
I tråd med omtalen i Nasjonalbudsjettet 1998 skjer overføringene fra statskassen til fondet i utgangspunktet ved utgangen av hvert kvartal. For 4. kvartal 2000 ble overføringstidspunktet satt til 30. november, bl.a. for å unngå høye transaksjonskostnader rundt årsskiftet. For 2001 er det overført midler til fondet ved utgangen av januar i tillegg til ordinær overføring for 1. kvartal. Overføringen i januar på 10 mrd. kroner ble foretatt i forbindelse med opprettelsen av Miljøfondet og inkludering av de fem framvoksende markedene i aksjeporteføljen. Hellas ble samtidig tatt med blant de utviklede markedene i aksje- og obligasjonsindeksene 31. januar i år. Ved utgangen av 1. kvartal ble det overført 45 519 mill. kroner. Av dette tilsvarte 519 mill. kroner det som ble for lite overført til fondet for 2000.
I henhold til anslagene i denne meldingen vil nettoavsetningen i Petroleumsfondet i 2001 bli 217,2 mrd. kroner, jf. avsnitt 3.1. Statens netto kontantstrøm fra petroleumsvirksomheten anslås til 222,5 mrd. kroner mens det foreslås en overføring fra fondet til statsbudsjettet på 5,3 mrd. kroner for å dekke det oljekorrigerte underskuddet. Markedsverdien av Petroleumsfondet ved utgangen av 2001 er anslått til 631,7 mrd. kroner. Inntekter fra planlagt salg av SDØE-andeler og aksjer i Statoil er ikke medregnet i disse tallene. Det vises til nærmere omtale i avsnitt 3.1.
Miljøfondet ble opprettet 31. januar 2001 med en kapital på 1 mrd. kroner, jf. omtale i Nasjonalbudsjettet 2001 og St.prp. nr. 32 om ny saldering av 2000-budsjettet. Miljøfondet, som bare blir investert i egenkapitalinstrumenter (aksjer), blir investert i 22 utviklede markeder i Europa, Amerika og Asia/Oceania. Fondet kan investeres i selskaper som antas å ha liten negativ innflytelse på miljøet samt i selskaper som oppfyller gitte krav til miljørapportering og sertifisering. Miljøkravene er basert på analyser fra det britiske konsulentselskapet Ethical Investment Research Service (EIRIS). Miljøfondet vil bli evaluert etter tre år. Miljøfondet vil omfatte om lag 80 pst. av markedsverdien til selskapene som er med i FTSE-indeksene i de aktuelle landene.
3.5.1.2 Forvaltningen av fondet
Petroleumsfondet forvaltes både av eksterne forvaltere og internt i Norges Bank. Norges Bank redegjorde i brev av 5. september 2000, som fulgte som vedlegg til Nasjonalbudsjettet 2001, for hvilken strategi som legges til grunn for å velge mellom forvaltning internt i banken og utsetting til eksterne forvaltningsorganisasjoner. Ved utgangen av sist år ble i alt 37 pst. av fondet forvaltet eksternt. Den eksterne forvaltningen var fordelt på til sammen 17 eksterne mandater.
Hovedtyngden av aksjeporteføljen forvaltes av eksterne indeksforvaltere. Ved utgangen av 2000 ble 52 pst. av aksjeporteføljen forvaltet på denne måten. Andelen såkalt aktiv aksjeforvaltning har økt gradvis siden aksjer ble inkludert som en del av porteføljen. Aktiv forvaltning skiller seg fra indeksforvaltning ved at forvalterne i større grad tillates å avvike fra referanseporteføljen, og at forvalterne utnytter denne muligheten til å velge aksjer ut fra et mål om å oppnå meravkastning i forhold til referanseporteføljen. I alt 27 pst. av aksjeporteføljen var ved utgangen av første halvår i år plassert i eksterne aktive mandater. Fra andre halvår 1999 ble det i noen grad startet med egen aktiv aksjeforvaltning i Norges Bank. Ved utgangen av 2000 utgjorde den interne aktive aksjeforvaltningen 12 pst. av samlet aksjeportefølje. Norges Bank startet i 2000 egen aksjeforvaltning innen såkalt utvidet indeksering. Med utvidet indeksering menes her en forvaltningsstrategi som ligger nært opp til indeksforvaltning, men som innehar enkelte aktive posisjoner. Formålet med slik forvaltning er å oppnå noe høyere avkastning enn referanseporteføljen ved å utnytte spesielle prisingssituasjoner. Denne porteføljen utgjorde 8 pst. av aksjeporteføljen ved utgangen av året.
Andelen av fondet som er aktivt forvaltet vil i praksis være lavere enn hva prosenttallene som er referert til ovenfor kan tyde på. Grunnen er at med de risikorammer som de aktive forvalterne er pålagt av Norges Bank, vil også disse investere deler av porteføljen sin i aksjer som inngår i referanseindeksen.
Norges Bank hadde ved utgangen av 2000 i alt tolv eksterne mandater for aksjeforvaltning. Tre nye aktive aksjemandater er blitt tildelt i løpet av 2000: et aktivt sektormandat i Nord-Amerika, et aktivt mandat i Japan og et aktivt mandat i Europa. Samtidig ble et aktivt mandat i Stillehavsområdet utenom Japan avviklet i løpet av 2000.
Petroleumsfondets portefølje av rentebærende papirer forvaltes i all hovedsak internt i Norges Bank. Gjennom 2000 ble tre forvaltere tilført midler til forvaltning. Disse forvaltet ved utgangen av 2000 7 pst. av renteporteføljen. Mandatene har samme referanseportefølje som gjelder for fondets renteportefølje. Risikonivået i det enkelte mandat, målt ved forventet relativ volatilitet, er avtalt særskilt for hvert mandat. Forvaltningsmandatene er alle globale og forvalterne er gitt tilnærmet det samme investeringsunivers som gjelder for den interne renteforvaltningen.

Figur 3.9 Ekstern og intern forvaltning av Petroleumsfondet ved utgangen av 2000. Aksjer og renteinstrumenter. Mrd. kroner.
Kilde: Norges Bank.
Ved utgangen av sist år var i underkant av 2 pst. av Petroleumsfondets markedsverdi forvaltet som såkalt taktisk aktivaallokering. Dette er en type aktiv forvaltning hvor investeringene flyttes mellom ulike land, valutaslag og aktivaklasser (aksjer og obligasjoner). Hoveddelen av denne forvaltningen skjer gjennom to eksterne forvaltere, som i løpet av 2000 ble tilført midler. Mandatene har samme referanseportefølje som rentedelen av Petroleumsfondet. Risikonivået er avtalt for hvert mandat, og er høyt i forhold til den portefølje de har fått tildelt. Målt i forhold til hele Petroleumsfondet er risikotakingen likevel beskjeden.
For mer informasjon om forvaltningen av fondet vises det til Norges Banks årsrapport for forvaltningen av Statens petroleumsfond for 2000, som fulgte som utrykt vedlegg til St.meld. nr. 3 (2000-2001) Statsrekneskapen medrekna folketrygda for 2000.
3.5.1.3 Endringer av referanseporteføljen
Retningslinjene for Petroleumsfondet er gitt ved forskrift av 3. oktober 1997 med senere endringer og ved utfyllende bestemmelser i brev fra Finansdepartementet til Norges Bank. Forskriften definerer hvilke investeringsmuligheter fondet har, også kalt fondets «investeringsunivers».
Det er i forskriften ikke satt begrensninger for hvilke type obligasjoner fondet kan være investert i. I referanseporteføljen til Petroleumsfondet inngår bare statsobligasjoner i utviklede markeder. Norges Bank har imidlertid i henhold til retningslinjene mulighet til å investere inntil 10 pst. av renteporteføljen i ikke-statsgaranterte obligasjoner så lenge de oppfyller tilfredsstillende krav til kredittrisiko (såkalt «Investment Grade», som er middels til lav kredittrisiko fra de to anerkjente kredittvurderingsbyråene Moody's og Standard & Poor's).
Norges Bank foreslår i brev til Finansdepartementet av 15. mars i år å utvide referanseporteføljen for obligasjonsdelen til Petroleumsfondet til å omfatte alle typer obligasjoner innenfor investeringsuniverset så lenge de oppfyller et nærmere angitt kredittvurderingskrav. Brevet følger som trykt vedlegg til denne meldingen. Norges Bank begrunner forslaget bl.a. med at:
Referanseporteføljen vil bli mer representativ for de investeringsmulighetene som fondet har. I forhold til fondets investeringsunivers, representerer dagens referanseindeks vel 27 pst. av investeringsuniverset i USA og vel 60 pst. i Europa.
Utviklingen i det offentliges utestående gjeld (utenom Japan) tyder på at statsobligasjoner vil utgjøre en stadig mindre andel av obligasjonsmarkedene i årene framover.
Referanseporteføljens forventede langsiktige avkastning vil bli noe høyere hvis den utvides.
Norges Bank peker på at det å endre fordelingen mellom statsgaranterte og ikke-statsgaranterte obligasjoner trolig bare vil få mindre konsekvenser for porteføljens totale risiko. Dette skyldes at samvariasjonen mellom statsobligasjoner og ikke-statsgaranterte obligasjoner (med middels til lav kredittrisiko) tradisjonelt har vært svært høy. I USA er korrelasjonskoeffisienten mellom den månedlige avkastningen på statsobligasjoner og øvrige segmenter i obligasjonsmarkedet i perioden 1990-2000 rundt 0,9.
Den effektive renten til forfall er høyere for ikke-statsgaranterte obligasjoner enn for statsobligasjoner. Renteforskjellen er en kompensasjon for ekstra risiko som investoren påtar seg ved investering i ikke-statsgaranterte obligasjoner. Risikoen knytter seg dels til mulighet for forventede tap i framtiden, som kan oppstå hvis utstederen får betalingsproblemer eller hvis utstederens kredittverdighet nedjusteres slik at prisen på obligasjonene synker. Det årlige gjennomsnittlige tapet som følge av betalingsproblemer på BBB-vurderte obligasjoner i USA i perioden 1970-99 har vært 0,06 pst. Renteforskjellen er også en kompensasjon investoren mottar for å investere i mer risikable og mindre likvide obligasjoner.
De viktigste typene ikke-statsgaranterte obligasjoner i USA er obligasjoner som er utstedt av private selskaper og verdipapiriserte boliglån. I perioden 1989-97 har selskapsobligasjoner i USA med lang tid til forfall gitt 0,5 prosentpoeng høyere avkastning enn tilsvarende statsobligasjoner. For perioden 1998-2000 har private selskapsobligasjoner derimot gitt lavere avkastning enn statsobligasjoner. Dette skyldes blant annet store gjenkjøp av amerikanske statsobligasjoner fra myndighetenes side. Meravkastningen ved verdipapiriserte boliglån har vært om lag 0,3 prosentpoeng i perioden 1989-97. Transaksjonskostnadene knyttet til å vedlikeholde en bred obligasjonsindeks er høyere enn for en statsobligasjonsindeks, men det er ikke sannsynlig at dette vil motvirke den meravkastning det er referert til.
Finansdepartementet tilrår å følge Norges Banks faglige råd i denne saken, og det tas sikte på å inkludere ikke-statsgaranterte obligasjoner i referanseporteføljen fra 1. kvartal 2002. Finansdepartementet vil komme tilbake til valg av ny referanseindeks i forbindelse med Nasjonalbudsjettet 2002.
Ved den foreslåtte utvidelse av referanseporteføljen må en vurdere behovet for endringer i enkelte av retningslinjene for Petroleumsfondet:
Det er i dag fastsatt i retningslinjene at kredittrisiko skal begrenses gjennom utstrakt bruk av diversifisering. Når ikke-statsgaranterte obligasjoner tas inn i porteføljen, vil enkelte store utstedere i USA stå for en forholdsvis stor andel av obligasjonsutstedelsene. Disse selskapene har i dag høyest mulig kredittvurdering. Norges Bank har bedt Finansdepartementet vurdere om investeringer i obligasjoner fra de store boliglånsutstederne er konsistente med kravet til diversifisering.
Finansdepartementet har fastsatt at ikke mer enn 10 pst. av den rentebærende porteføljen kan være plassert i ikke-statsgaranterte verdipapirer. Norges Bank mener at dette bør ses i forhold til andelen ikke-statsgaranterte verdipapirer i renteporteføljens referanseindeks.
Ifølge retningslinjene kan investeringer i hovedsak bare foretas i verdipapirer som begge de to store kredittvurderingsbyråene har klassifisert som «Investment Grade». Laveste kredittvurdering legges til grunn. Norges Bank foreslår å endre retningslinjene slik at investeringer tillates selv om bare ett kredittvurderingsbyrå har gitt en tilfredsstillende kredittvurdering («Investment Grade»).
Ifølge § 6 i forskriften for forvaltningen av Petroleumsfondet, må utsteder av en obligasjon høre hjemme i et av de samme 22 land som er definert som tillatte markeder for obligasjonsinvesteringer, eller være en internasjonal organisasjon. Norges Bank foreslår at regelen om at utsteder av rentebærende instrumenter skal være hjemmehørende i et av de godkjente landene oppheves. Det vil etter dette være tillatt å investere i alle obligasjoner som er utstedt i de 22 tillatte markeder/valutaer, forutsatt at utsteder tilfredsstiller krav til kredittverdighet.
Finansdepartementet vil vurdere spørsmålene under punktene a-d nærmere fram mot Nasjonalbudsjettet 2002.
Ved siden av spørsmålet om å inkludere ikke- statsgaranterte obligasjoner i fondets referanseportefølje, er det er også andre justeringer i fondets investeringsstrategi som det vil være naturlig å vurdere i tiden framover. Finansdepartementet ba i brev til Norges Bank av 20. desember 2000 om en vurdering av forhold som er relevante for vurdering av Petroleumsfondets aksjeandel. I Norges Banks brev av 15. mars 2001 følger en analyse av Petroleumsfondets aksjeandel. Valg av aksjeandel er den enkeltbeslutning som vil ha størst betydning for fondets avkastning og risiko. Departementet tar sikte på å vurdere fordelingen mellom aksjer og obligasjoner i Nasjonalbudsjettet 2002.
En vil i 2002 på ny starte en vurdering av landlisten for investering av aksjer i framvoksende markeder, og det vil samtidig være naturlig også å vurdere obligasjonsinvesteringer i framvoksende markeder. Det vil over tid også være behov for å se nærmere på om det vil være hensiktsmessig å utvide Petroleumsfondets investeringer til andre aktivaklasser, selv om fondet ikke nødvendigvis kommer til å bli investert i disse. Eksempler på andre aktivaklasser som er vanlig blant store, institusjonelle investorer, er indekserte (inflasjonsbeskyttede) obligasjoner, ikke-børsnoterte aksjer, «hedge funds», råvarer og eiendom.
Referanseporteføljen må oppdateres for å reflektere kursutviklingen og endringene i landindeksene. Slike oppdateringer kalles rebalanseringer. Referanseporteføljen rebalanseres i dag hvert kvartal ifm. overføringene fra statskassen. Det vurderes å endre system for rebalanseringer.
Finansdepartementet er i løpende dialog med Norges Bank om spørsmål om Petroleumsfondets investeringsstrategi og forvaltning. Viktige spørsmål vil på ordinær måte bli lagt fram for Stortinget på forhånd.
3.5.1.4 Etiske hensyn i forvaltningen av Petroleumsfondet
Bakgrunn
Statens petroleumsfond er et finanspolitisk styringsredskap for å synliggjøre bruken av petroleumsinntektene og å sette til side de store budsjettoverskuddene for å dekke framtidige utgifter. Det har vært bred enighet i Stortinget om fondets investeringsstrategi. Petroleumsfondet skal forvaltes på en forsvarlig måte, hvor siktemålet er høy avkastning med moderat risiko, for på den måten å bidra til å sikre grunnlaget for framtidig velferd, herunder pensjoner. Dette kan best oppnås ved at fondet opptrer som en finansiell investor. Deler av fondets kapital er plassert i aksjer. Eierandelen i enkeltselskaper er liten, og fondet plasseres slik at det gir en avkastning på linje med bredt sammensatte aksje- og obligasjonsindekser i land med velutviklet selskaps-, børs- og verdipapirlovgivning.
Både regjeringen Jagland og regjeringen Bondevik vurderte spørsmålet om å ta særskilte etiske hensyn i tilknytning til forvaltningen av Statens petroleumsfond. Regjeringen Jagland kom til at generelle etiske retningslinjer som på forhånd utelukker enkeltselskaper ikke var hensiktsmessige, jf. omtale i Nasjonalbudsjettet 1998. Stortinget sluttet seg til regjeringen Jaglands vurderinger.
Regjeringen Bondevik tok opp spørsmålet i Revidert nasjonalbudsjett 1999 og foreslo:
å skille ut en mindre del av fondet som forvaltes etter særskilte miljøkriterier
å benytte stemmerettighetene knyttet til fondets aksjer, for å fremme hensynet til menneskerettigheter og miljø
å forby fondet å investere i selskaper som har produksjon av tobakksprodukter som sin hovedaktivitet
Bare etablering av Miljøfondet fikk tilslutning i Stortinget.
Nærmere om forholdet til Norges folkerettslige forpliktelser
Det har i den offentlige debatt vært reist spørsmål om staten gjennom Petroleumsfondet kan sies å bryte internasjonale avtaler eller norsk gjennomføringslov dersom det investeres i selskaper med virksomhet som er regulert etter internasjonale avtaler som Norge er part i. Spørsmålet har særlig blitt reist i forhold til Norges forpliktelser under Konvensjon 18. september 1997 om forbud mot bruk, lagring, produksjon og overføring av antipersonellminer og om ødeleggelse av slike miner (minekonvensjonen).
Staten vil gjennom Petroleumsfondet være eier av aksjer i et stort antall selskaper notert på børser i nærmere angitte land Petroleumsfondet kan investere i. Eierandelene i de enkelte selskapene vil være små. Det følger av forskrift 3. oktober 1997 nr. 1078 om forvaltning av Statens petroleumsfond § 10 at fondet kan eie inntil 3 prosent av aksjene i et enkelt selskap. Ved utgangen av 2000 var Petroleumsfondet investert i nær 1 800 selskaper, med en gjennomsnittlig eierandel på om lag 0,8 promille.
Det følger av minekonvensjonen at en stat som er part, bl.a. ikke skal medvirke til produksjon av antipersonellminer. Medvirkningsforbudet er definert meget vidt i konvensjonens artikkel 1 (1) bokstav c. Artikkel 1 (1) lyder i sin helhet:
«Hver part forplikter seg til aldri under noen omstendighet:
e) å bruke antipersonellminer,
f) å utvikle, produsere, på annen måte erverve, lagre, oppbevare eller overføre antipersonellminer til noen direkte eller indirekte,
g) å bistå, oppmuntre eller påvirke noen, på noen som helst måte, til å delta i en aktivitet som er forbudt for en part etter denne konvensjon.»
Justisdepartementets Lovavdeling har vurdert spørsmålet om Norge bryter medvirkningsforbudet i konvensjonen ved å eie mindre aksjeposter i foretak under forutsetning av at foretaket produserer antipersonellminer som er forbudt iht. konvensjonen. Etter Lovavdelingens syn kan erverv av slike aksjeposter innebære et brudd på medvirkningsforbudet, men Lovavdelingen sier også at dette vil bero på en vurdering hvor flere momenter vil inngå. På den ene siden fremheves at det ikke er naturlig å anse staten som «medvirker» dersom det er snakk om aksjeposter som verken gir bestemmende innflytelse eller negativ kontroll over selskapet som eventuelt produserer antipersonellminer. Dette antas især å gjelde dersom investeringen knytter seg til et foretak som ikke selv produserer antipersonellminer, men som har større eller mindre eierinteresser i slike foretak (avledet eierskap). På den andre siden antar Lovavdelingen bl.a. at erverv av aksjer i et foretak etter omstendighetene vil kunne rammes av medvirkningsforbudet, især dersom Norges eierskap bidrar til at også andre stater investerer i foretaket. Lovavdelingen uttaler videre:
«Konvensjonens formål og ordlyden i § 1 nr. 1 bokstav c trekker i retning av at medvirkningsansvaret bør strekkes langt, selv om det kan være noe usikkert hvor grensen går. Når det gjelder ulike former for avledet eierskap, vil det bl.a. ha betydning hvor mange ledd det er tale om, og hvor store de respektive eierpostene er.»
Internasjonale avtaler vil normalt gjennomføres i norsk rett ved egne gjennomføringslover. Norges Bank vil ved sin utøvelse av forvaltningen av Petroleumsfondet for Finansdepartementet være bundet av intern norsk rett. Det kan imidlertid tenkes at internasjonale forpliktelser i enkelte tilfeller går lenger enn det som følger av intern norsk rett. I forhold til minekonvensjonen er det f.eks i den norske gjennomføringsloven § 5 fastsatt at «medvirkning» til brudd på gjennomføringsloven straffes på samme måte som selvstendig brudd på gjennomføringsloven. Når begrepet «medvirkning» er brukt, må rekkevidden av medvirkningsansvaret fastsettes på grunnlag av den alminnelige medvirkningslæren i norsk strafferett.
I vurderingen av eventuelt medvirkningsansvar etter den norske loven som gjennomfører minekonvensjonen skriver Lovavdelingen bl.a. følgende:
«Hvis eierskapet derimot er passivt, og aksjonæren ikke påvirker selskapet til å utføre virksomhet som er straffbar etter gjennomføringsloven, er medvirkningsansvaret etter § 5 mindre aktuelt. Selv om selskapet ikke kan eksistere uten at noen er villig til å være aksjonær, er det ved passivt eierskap så lang distanse mellom eierskapet og de handlinger selskapet utfører, at det er lite naturlig å karakterisere forholdet som «medvirkning» til de straffbare forholdene. Vi stiller oss med andre ord tvilende til om kunnskapen om den etter norsk rett ulovlige produksjonen i seg selv kan utløse medvirkningsansvar for en aksjonær. Eierskapet blir i slike tilfeller lettere nøytralisert til en forretningsmessig relasjon som ikke er forbundet med straffansvar.»
Det kan derfor ikke utelukkes at staten kan bryte folkerettslige forpliktelser, selv om forvaltningen utføres etter norsk lov.
Regjeringens vurderinger
Regjeringen er opptatt av at etiske hensyn også tillegges vekt i forvaltningen av Petroleumsfondet. Det legges til grunn at forvaltningen av Statens petroleumsfond skal være i tråd med målene for norsk utenrikspolitikk. Fondet plasseres i land og selskaper Norge har omfattende samhandel med, og er underlagt de generelle retningslinjene utenrikspolitikken legger for økonomisk samkvem med omverdenen. Fondet kan investeres i obligasjoner i 22 angitte land og i aksjer notert på børser i 28 angitte land, hvorav 16 av landene ligger i Europa. Det er lagt vekt på at landene skal ha velutviklet selskaps-, børs- og verdipapirlovgivning. Disse børsnoterte selskapene er gjenstand for stor grad av kontroll og åpenhet. I retningslinjene for forvaltningen av Statens petroleumsfond stilles det krav om at de forvalterne som får i oppdrag å forvalte deler av Petroleumsfondet, har utarbeidet betryggende interne etiske retningslinjer for sin egen virksomhet. Det vil på denne måten bli satt en høy standard for åpenhet, skikkelighet og forsvarlighet for fondets plasseringer, på samme måte som for annen statlig og privat virksomhet i Norge.
Spørsmålet om å ta etiske hensyn er ofte reist i tilknytning til forvaltningen av Statens petroleumsfond. Problemstillingen er imidlertid like relevant for annen statlig virksomhet. På samme måte som statens øvrige økonomiske samkvem med andre land, bygger Petroleumsfondets investeringer på at selskaper forholder seg til hjemlandets lover og regler. Dette betyr at vi i stor grad handler med og investerer i bedrifter som ikke er underlagt de samme lover, regler og standarder som gjelder i Norge, selv om fondet plasseres for en stor del i land og selskaper Norge har omfattende samhandel med.
Dersom en skulle velge å etablere regler som på forhånd begrenser Petroleumsfondets investeringsmuligheter på grunnlag av en gitt virksomhet, vil dette kunne være inkonsistent i forhold til for eksempel statlig forretningsdrift eller statlige innkjøp. Staten har betydelige eierinteresser i norske selskaper som driver mange typer virksomhet, også virksomhet som vil kunne være i strid med et gitt sett av regler. Det er nærliggende å tro at selskaper med statlig eierandel vil kunne levere til eller kjøpe varer fra selskaper som ville ha blitt utelukket fra Petroleumsfondet hvis investeringsmulighetene skulle begrenses etter et slikt regelsett. Det er også mulig at staten gjennom selskaper med statlig eierandel likevel vil kunne ha eierandeler i selskaper som eventuelt ville ha blitt utelukket fra Petroleumsfondet. Det kan også oppstå situasjoner der staten ville stå i et direkte forretningsforhold til selskaper som ville være utelukket, f. eks. gjennom leveranser til forsvaret.
Det vil være vanskelig å finne en egnet avgrensning for hvilke aktiviteter som eventuelt skulle omfattes av regler som på forhånd begrenser fondets investeringsmuligheter. I den offentlige debatten har det ofte vært trukket fram produksjon av våpen, tobakk og alkohol, brudd på menneskerettigheter, arbeidstakerrettigheter eller utnyttelse av barnearbeid, samt virksomhet som kan være miljøskadelig, f.eks. genmodifisering. Selv om en velger ett eller flere kriterier, vil det likevel kunne trekkes fram kritikkverdige forhold om enkeltbedrifter. Videre vil det være vanskelig å komme fram til kriterier som er objektive og behandler alle selskaper likt. Virksomheter i ulike deler av næringslivet er sterkt innvevd i hverandre. Det vil være en utfordring å avgrense seg i forhold til leverandører, kunder, deleide selskaper etc.
Som nevnt behandlet Stortinget spørsmålet om etiske hensyn i forvaltningen av Statens petroleumsfond så sent som i 1999. En vedtok da å opprette Miljøfondet, som ble etablert 31. januar 2001, og det ble forutsatt at retningslinjene for dette fondet skal ligge fast i tre år. Deretter skal Miljøfondets økonomiske og miljømessige resultater evalueres med tanke på en eventuell utvidelse av kapitalen, og det er naturlig at også utvalgskriteriene for selskapene i fondet da vurderes på nytt. Erfaringene i forbindelse med evalueringen av Miljøfondet vil gi et godt grunnlag for å vurdere hvordan en på en bedre måte kan ivareta etiske hensyn i forvaltningen av det samlede Petroleumsfondet.
Selv om kapitalforvaltning på grunnlag av etiske retningslinjer i dag ikke har et stort omfang, er både andelen og oppmerksomheten knyttet til saksområdet økende, både i Norge og internasjonalt. Fra norsk side vil vi aktivt følge den internasjonale utviklingen og erfaringer som høstes ved ulike former for etiske retningslinjer.
En bør imidlertid være varsom med å anvende Statens petroleumsfond som et aktivt virkemiddel til å fremme andre politiske målsettinger. Dette er sammenfallende med hvordan Norge har innrettet salget av petroleumsressursene, hvor det har vært lagt til grunn at beslutninger knyttet til hvem som skal kjøpe norsk olje og gass, ikke skal inngå som en del av utenrikspolitikken, så lenge det ikke er snakk om boikottiltak vedtatt av FN e.l.
Regjeringen har derfor som utgangspunkt at det ikke bør etableres regler som begrenser Petroleumsfondets investeringsmuligheter på grunnlag av en gitt virksomhet. Enkelte av eksemplene som har vært trukket fram den siste tiden, blant annet en mulig produsent av antipersonell landminer i Singapore, viser imidlertid at investeringer i enkelte selskaper stiller oss overfor spesielt vanskelige juridiske, etiske og politiske dilemmaer. En har så langt ikke fått bekreftet påstander om at selskaper som Petroleumsfondet investerer i faktisk produserer antipersonell landminer. Dersom Petroleumsfondet er investert i et selskap som produserer antipersonell landminer, kan det ikke utelukkes at staten bryter minekonvensjonen. Det vises til brevet fra Justisdepartementets lovavdeling som er omtalt over. Slike eksempler viser at det er nødvendig å sette ytterligere etiske rammer for Petroleumsfondets virksomhet.
Regjeringen vil derfor ta initiativ til å endre forskriften for forvaltningen av Statens petroleumsfond på en slik måte at det er mulig at en i helt spesielle situasjoner kan utelukke enkeltselskaper. Departementet arbeider på denne bakgrunn med å etablere en uttrekningsmekanisme som innebærer at Finansdepartementet, etter en nærmere juridisk og faktisk vurdering, kan bestemme at selskaper tas ut av investeringsuniverset for Petroleumsfondet dersom aksjeeiet i slike selskaper kan være i strid med Norges folkerettslige forpliktelser.
Før en går til det skritt å utelukke selskaper fra Petroleumsfondets investeringsunivers, må det både fastslås hva slags virksomhet selskapet faktisk driver, og om virksomheten innebærer at Norge ved investeringer i dette selskapet kan bryte internasjonale forpliktelser. Bl.a. for å opprettholde Petroleumsfondets ry som en seriøs investor, bør det i det minste kreves en høy grad av sannsynlighet for å legge et angitt faktum til grunn. Påstander om at et angitt foretak driver virksomhet av en viss art, bør derfor ikke legges til grunn uten at disse er underbygget av nærmere undersøkelser.
En konkret beslutning om å utelukke et selskap på grunnlag som nevnt ovenfor vil innebære en endring av det mandat Finansdepartementet har gitt Norges Bank for utøvelsen av denne forvaltningen. Etter departementets syn vil det derfor være naturlig at rammene og prosedyrene for en slik uttrekningsmekanisme nedfelles i forskriften for forvaltningen av fondet.
I henhold til forvaltningsavtalen med Norges Bank skal Norges Bank ha anledning til å uttale seg før det foretas endringer i forskrifter, vedtak eller retningslinjer om forvaltningen, og skal ha varsel i rimelig tid for å kunne foreta eventuelle endringer i porteføljen. Det vil kunne kreve en del arbeid å foreta de nødvendige faktiske og juridiske vurderinger i enkelttilfelle. Regjeringen tar sikte på å komme tilbake med en bredere redegjørelse om dette i Nasjonalbudsjettet 2002.
Vektlegging av etiske hensyn i forvaltningen av Statens petroleumsfond, slik Regjeringen legger opp til, vil kunne ha en viss holdningsskapende effekt og vil kunne være et positivt bidrag i den internasjonale dialogen om disse spørsmålene. Regjeringen vil derfor ha spørsmålet om etiske rammer for Petroleumsfondet fortløpende til vurdering.
3.5.2 Folketrygdfondet
3.5.2.1 Generelt
Folketrygdfondet kan, i henhold til retningslinjene som Stortinget har gitt, plassere sine midler i aksjer mv., obligasjoner og sertifikater, kontolån til statskassen og som bankinnskudd. I medhold av § 9 i retningslinjene kan Kongen gi nærmere regler om fondsforvaltningen. Denne adgangen er ved kgl. res. av 17. januar 1992 delegert til Finansdepartementet. For 2001 har Finansdepartementet fastsatt en øvre ramme på 2,0 mrd. kroner for Folketrygdfondets samlede beholdningsøkning av private og kommunale obligasjoner og sertifikater (uten statsgaranti), bankinnskudd og aksjer mv. Øvrig plasseringsøkning skal skje i stats- og statsgaranterte papirer eller som kontolån til statskassen.
Folketrygdfondets kapital utgjorde 128,4 mrd. kroner ved utgangen av 2000, målt til markedsverdi. Av dette utgjorde plasseringer i egenkapitalinstrumenter 21 mrd. kroner. En betydelig andel (62,5 pst.) av fondets verdipapirportefølje (målt til markedsverdi) er plassert i stats- og statsgaranterte verdipapirer.
Folketrygdfondet oppnådde et realisert resultat på 8 637 mill. kroner i 2000, noe som tilsvarer en avkastningsrate på 7,5 pst. Urealiserte kursgevinster beløp seg til 4 464 mill. kroner. Verdikorrigert resultat, dvs. realisert resultat korrigert for endringer i urealiserte kursgevinster, var på 7 808 mill. kroner, som tilsvarer en avkastningsrate på 6,5 pst. Det vil bli gitt en nærmere omtale av resultatene for Folketrygdfondet i Kredittmeldingen 2000, som legges fram til høsten.
3.5.2.2 Etablering av risikostyringssystemer
Finansdepartementet er ansvarlig for oppfølgingen av Folketrygdfondet. Oppfølgingen av fondets resultater er en sentral del av dette ansvaret. I denne forbindelse har Finansdepartementet i samarbeid med Folketrygdfondet arbeidet med sikte på at det etableres et betryggende risikosystem for forvaltningen av fondet, jf. Nasjonalbudsjettet 1999 og Revidert nasjonalbudsjett 2000.
Ved behandlingen av St.prp. nr. 61 (1999- 2000) Omprioriteringer og tilleggsbevilgninger på statsbudsjettet 2000 sluttet Stortinget seg til følgende tilføyelse til § 5, første ledd i reglementet for Folketrygdfondet:
«Styret skal påse at det er etablert et betryggende risikostyringssystem for fondets forvaltning.»
Folketrygdfondets styre fastsatte i desember 2000 risikorammer for den norske aksjeporteføljen, for fondets renteportefølje og for fondets totalportefølje for 2001. For fondets norske aksjeportefølje har styret fastsatt totalindeksen ved Oslo Børs som referanseportefølje. Risikorammene er meddelt Finansdepartementet, men vil ikke bli offentliggjort, da Folketrygdfondet anser dette som markedssensitiv informasjon. Det vil imidlertid bli redegjort for utviklingen i den faktiske relative volatiliteten for totalporteføljen og delporteføljene i årsrapporten. Folketrygdfondets aksjeportefølje hadde en relativ volatilitet i forhold til totalindeksen ved Oslo Børs på 7,7 pst. for 2000.
Folketrygdfondet er fra 2001 gitt adgang til å investere i aksjer notert på børsene i Sverige, Finland og Danmark, jf. Stortingets vedtak om endring i reglementet i forbindelse med Nasjonalbudsjettet 2001. Folketrygdfondets styre har fastsatt en referanseindeks som utgangspunkt for fondets referanseportefølje for aksjeinvesteringer i Danmark, Finland og Sverige. Risikorammen for investeringer i de øvrige nordiske land er satt til 1,5 prosentpoeng for forventet, relativ volatilitet.
3.6 Inntekts- og sysselsettingspolitikken
3.6.1 Inntektspolitikken
Det inntektspolitiske samarbeidet har vært en sentral del av den økonomiske politikken i Norge gjennom hele etterkrigstiden. Hensikten har vært, gjennom en koordinert lønnsdannelse, å oppnå lavere arbeidsledighet på varig basis enn det som ville vært mulig uten slik koordinering. Det inntektspolitiske samarbeidet har bidratt til at vi de siste 30 årene har hatt lavere arbeidsledighet enn de fleste andre OECD-land. Gjennomføringen av Solidaritetsalternativet, som sprang ut av arbeidet til Sysselsettingsutvalget, har gitt gode resultater med økt sysselsetting og redusert arbeidsledighet. Den økonomiske utviklingen på 1990-tallet i Norge ville neppe vært like god hvis ikke myndighetene og partene i arbeidslivet gjennom et forpliktende inntektspolitisk samarbeid hadde vist vilje og evne til å møte de krevende utfordringene norsk økonomi har stått overfor.
Det inntektspolitiske samarbeidet har de siste årene blitt stilt overfor betydelige utfordringer. Økende aktivitet i økonomien, med knapphet på arbeidskraft i mange sektorer, førte etter hvert til tiltakende lønnsvekst, jf. figur 3.10.A. Siden 1996 har timelønnskostnadene økt klart raskere i Norge enn hos våre handelspartnere. I 1998 ble årslønnsveksten om lag dobbelt så høy i norsk industri som i industrien til våre handelspartnere. Fra 1998 til 2000 har lønnsveksten tiltatt noe internasjonalt, samtidig som årslønnsveksten i Norge har blitt redusert. Det tekniske beregningsutvalget for inntektsoppgjørene anslår den gjennomsnittlige årslønnsveksten fra 1999 til 2000 til 4½ pst., mens lønnsveksten hos våre handelspartnere til sammenlikning var i underkant av 4 pst., jf. figur 3.10.B.

Figur 3.10 Lønnsutviklingen
Kilde: Det tekniske beregningsutvalg for inntektsoppgjørene, Statistisk sentralbyrå, Finansdepartementet.
I fjorårets lønnsoppgjør ble det avtalt sentrale tillegg både for 2000 og 2001 i alle de store forhandlingsområdene. Dermed vil det ikke bli gjennomført sentrale forhandlinger i år. Det er imidlertid fortsatt usikkerhet knyttet til utfallet av de lokale forhandlingene. Årslønnsveksten fra 2000 til 2001 anslås nå til om lag 4½ pst. Det er da forutsatt at tillegg i de lokale forhandlingene blir lavere enn i fjor. Hos våre handelspartnere anslås lønnsveksten å bli om lag 4 pst. i inneværende år.
Det ble i fjorårets oppgjør avtalt å utvide ferien med 2 dager i 2001 og ytterligere 2 dager i 2002. Kostnadene knyttet til utvidet ferie påløper imidlertid for bedriftene i 2000 og 2001. I tråd med beregningene til det tekniske beregningsutvalg for inntektsoppgjørene er det lagt til grunn at økt ferie vil bidra til å trekke veksten i timelønnskostnadene opp med ¾ prosentpoeng i hvert av disse årene, utover veksten i årslønnen. I tillegg medfører utviklingen i sykefraværet økte kostnader for bedriftene.
Anslagene i denne meldingen innebærer en gjennomsnittlig reallønnsvekst fra 2000 til 2001 på 1½ pst. Dette er noe lavere enn den gjennomsnittlige årlige reallønnsveksten på 1990-tallet, men klart høyere enn gjennomsnittet for 1980-tallet.
Som understreket blant annet i Langtidsprogrammet 2002-2005 er en fortsatt sterk konkurranseutsatt sektor en nødvendig forutsetning for å få en langsiktig balansert utvikling i norsk økonomi. Regjeringen legger derfor stor vekt på å videreføre det inntektspolitiske samarbeidet, hvor partene i arbeidslivet gjennom moderate lønnsoppgjør skal bidra til å opprettholde konkurranseevnen. Dersom forskjellen i lønnskostnader mellom Norge og våre konkurrentland blir for stor, vil dette svekke mulighetene til å holde høy sysselsetting og lav ledighet.
Som et ledd i arbeidet med å videreutvikle og styrke det inntektspolitiske samarbeidet satte regjeringen Bondevik ned fire partssammensatte utvalg. To av utvalgene, Utvalget for forberedelse av 1999-oppgjøret (Arntsen-utvalget) og Arbeidslivsutvalget (Colbjørnsen-utvalget), avgav sine innstillinger i 1999, mens innstillingen fra Utvalget for sysselsetting og verdiskaping (Holden-utvalget) ble lagt fram i juni 2000. I april i år la utvalget som fikk i oppgave å vurdere tarifforhandlingssystemet (Stabel-utvalget) fram sin innstilling. Utvalget støtter samlet hovedpunktene i innstillingen til Holden-utvalget (NOU 2000:21). For å videreutvikle det inntektspolitiske samarbeidet anbefaler utvalget blant annet å gi Det tekniske beregningsutvalget en mer sentral rolle knyttet til å klargjøre de lønns- og tariffmessige forutsetningene for inntektsoppgjørene og å kostnadsberegne eventuelle sosiale reformer. Etter utvalgets vurdering bør eventuelle endringer i sosiale ordninger og velferdsreformer så langt som mulig koordineres mellom organisasjonene før avtaler inngås. Utvalget anbefaler også å gi Kontaktutvalget en mer aktiv rolle i det inntektspolitiske samarbeidet. Utvalget foreslår også endringer i systemet for lønnsforhandlinger. Blant annet har meglingsreglene i arbeidstvistloven fått stor oppmerksomhet, og utvalget foreslår her enkelte endringer. Utvalgets innstilling er nå sendt ut på høring med 1. oktober 2001 som høringsfrist.
3.6.2 Sysselsettingspolitikken
Den sterke veksten i norsk økonomi gjennom mesteparten av 1990-tallet har resultert i rekordhøy yrkesdeltaking og lav arbeidsledighet. Sysselsettingen økte med nesten 260 000 personer fra 1993 til 2000. Samtidig ble arbeidsledigheten nær halvert i dette tidsrommet. Det er nå knapphet på arbeidskraft i mange sektorer, og særlig er mangelen på kvalifisert arbeidskraft stor innenfor helse- og omsorgssektoren.
I årene framover anslås veksten i arbeidsstyrken å bli vesentlig lavere enn i de senere tiårene. Mens arbeidsstyrken har økt med om lag 25 000 personer i gjennomsnitt pr. år siden begynnelsen av 1970-årene, kan veksten fram til 2010 anslås til vel 10 000 personer pr. år i gjennomsnitt. Deretter anslås veksten gradvis å stoppe opp. Dersom nedgangen i gjennomsnittlig arbeidstid fortsetter, vil antall utførte timeverk vokse langsommere enn arbeidsstyrken. Samtidig vil behovet for arbeidskraft i helse- og omsorgssektoren øke kraftig etter hvert som befolkningen eldes og vedtatte velferdsreformer iverksettes.
Sammen med den sterke veksten i arbeidsstyrken har bruken av uførepensjons- og sykelønnsordningene økt sterkt. Det er imidlertid tegn til at veksten i antall nye uføretrygdede og veksten i sykefraværet er noe avdempet den siste tiden. Likevel er tidligavgangen fra arbeidsstyrken bekymringsfull. Fra 2000 til 2001 anslås arbeidsstyrken å øke med til sammen 9 000 personer, jf. tabell 3.12. Samtidig anslås antallet uførepensjonister å øke med 9 000 personer, mens antallet personer på attføring og rehabilitering ventes å vokse med 10 000 personer. Fortsatt vekst i sykefraværet kan isolert sett bidra til å redusere den effektive arbeidsstyrken med til sammen nesten 6 000 årsverk fra 2000 til 2001.
I Langtidsprogrammet 2002-2005 har Regjeringen påpekt at det er nødvendig å stimulere yrkesdeltakelsen og begrense avgangen fra arbeidslivet for å sikre framtidig verdiskaping. Regjeringen har allerede startet arbeidet med å reaktivisere uførepensjonister som har utsikter til å komme tilbake til arbeidslivet og å stille strengere krav til at attføring skal være forsøkt før det innvilges uførepensjon. Regjeringen vil også gjøre det lettere å rekruttere faglært utenlandsk arbeidskraft, og vil om kort tid legge fram en odeltingsproposisjon med forslag til endringer i Utlendingsloven. I oppfølgingen av Sandman-utvalget, vil Regjeringen senere i år komme med forslag til en politikk som kan redusere sykefraværet og tilgangen på nye uførepensjonister uten å svekke arbeidstakernes rettigheter i sykelønnsordningen. I den sammenheng vil det bl.a. bli vurdert endrede regler for å kombinere uføretrygd og arbeid.
Tabell 3.12 Faktorer som begrenser arbeidstilbudet
| Antall personer | ||
| Vekst fra | ||
| Nivå i 2000 | 2000 til 2001 | |
| Arbeidsstyrken i personer | 2 350 000 | 9 000 |
| Tilbaketrekking fra arbeidsmarkedet: | ||
| Antall uførepensjonister | 275 000 | 9 000 |
| Antall AFP-pensjonister | 30 000 | |
| Antall personer på folketrygdens attføringsytelser | 34 000 | 4 000 |
| Antall personer på rehabilitering | 33 000 | 6 000 |
| Reduksjon i effektiv arbeidsstyrke (regnet som årsverk) som følge av: | ||
| Sykefravær i trygdeperioden | 87 000 | 6 000 |
Kilde: Statistisk sentralbyrå, Rikstrygdeverket og Finansdepartementet.
En sentral oppgave for arbeidsmarkedsetaten (Aetat) i dagens situasjon i arbeidsmarkedet, er å framskaffe informasjon om ledige stillinger og arbeidssøkeres kvalifikasjoner og presentere slik informasjon lett tilgjengelig for brukerne. Målrettet formidlingsbistand til arbeidssøkere og rekrutteringsbistand til arbeidsgivere er viktig for å sikre en god utnyttelse av arbeidskraften. De ordinære arbeidsmarkedstiltakene settes i første rekke inn overfor ungdom og langtidsledige. I tillegg brukes tiltakene for å mobilisere arbeidskraftressursene blant innvandrere, blant annet gjennom kvalifisering av nylig bosatte flyktninger i kommunene. Budsjettet for 2001 gir rom for 9000 plasser under de ordinære arbeidsmarkedstiltakene, og utviklingen på arbeidsmarkedet siden budsjettet ble framlagt tilsier at en fastholder dette tiltaksnivået.
På grunn av økt satsing på å reaktivisere uførepensjonister og skjerpede krav til at attføring skal være forsøkt før uførepensjon kan innvilges, har tilstrømmingen av yrkeshemmede til Aetat økt. Regjeringen vil derfor øke attføringsinnsatsen ytterligere. Under de spesielle arbeidsmarkedstiltakene for yrkeshemmede gir bevilgningen for 2001 rom for et gjennomsnittlig nivå på om lag 20 450 plasser. Regjeringen foreslår å øke bevilgningene til tiltak og personell med totalt 75 mill. kr.
En stor andel av de registrerte yrkeshemmede i Aetat mottar ytelser fra folketrygdens bevilgning til yrkesrettet attføring. Den økte tilstrømmingen tilsier en oppjustering av bevilgningen til ytelser under yrkesrettet attføring med om lag 270 mill. kr.
I forbindelse med behandlingen av Revidert nasjonalbudsjett 2000 ga Stortinget Regjeringen fullmakt til å la Aetat starte med salg av bedriftstjenester, herunder utleie av arbeidskraft, direkte fra Aetat til sluttbruker. Samtidig ble Regjeringen bedt om å legge fram forslag til endelig organisering av disse tjenestene for Stortinget i forbindelse med statsbudsjettet 2001.
I St.prp.nr.1 ( 2000-2001) Arbeids- og administrasjonsdepartementet ble det lagt til grunn en videreføring av modellen med salg direkte fra Aetat, som Stortinget ga grunnlag for med sitt vedtak sommeren 2000. Denne delen av etatens virksomhet ble forutsatt organisert gjennom en egen organisasjonsmessig enhet i Aetat Arbeidsdirektoratet (Aetat Bedrift) og egne organisasjonsmessige enheter ved de større Aetat lokal. Det ble understreket at modellen stiller store krav til organisering for å sikre at en ikke kommer i konflikt med konkurransereglene i EØS-avtalen.
I B.innst.S. nr. 5 (2000-2001) var Kommunalkomiteen blant annet opptatt av de konkurransemessige utfordringene som følger av en slik organisering. Komiteen ba derfor Regjeringen komme tilbake til organiseringen i egen sak våren 2001 eller i forbindelse med Revidert nasjonalbudsjett 2001.
I tildelingsbrevet til Aetat for 2001 ba Arbeids- og administrasjonsdepartementet om at Aetat Bedrift i alle ledd (sentralt, fylke og lokalt) skulle være adskilt fra Aetats ordinære forvaltningsorganisasjon. Arbeidsgivere som kontaktet et lokalt arbeidskontor for å kjøpe tjenester skulle henvises til nærmeste enhet av Aetat Bedrift. Aetat Bedrifts andel av eventuelle felleskostnader med den øvrige virksomheten skulle faktureres Aetat Bedrift. Aetat har i 2001 arbeidet med å innføre denne modellen.
Regjeringen har etter en nærmere gjennomgang likevel kommet til at det kan reises tvil om dagens organisering av betalingstjenestene er holdbar i forhold til reglene for statsstøtte. Det har blant annet sammenheng med at et forvaltningsorgan som Aetat ikke kan gå konkurs og at det heller ikke betaler skatt. Regjeringen har derfor vurdert to modeller som begge vil være mer robuste i forhold til konkurranseregelverkets krav:
Omdanne Aetat Bedrift til en egen juridisk enhet, for eksempel statsaksjeselskap.
Innføre utleie som et arbeidsmarkedstiltak. De som leies ut skal i så fall være innenfor de prioriterte målgruppene i arbeidsmarkedspolitikken.
Regjeringen ønsker å bruke utleie som et virkemiddel for å gi utsatte arbeidssøkere et fotfeste på arbeidsmarkedet. For å være konkurransedyktig vil et statsaksjeselskap neppe kunne ta andre hensyn enn konkurrentene, for eksempel i forhold til utsatte grupper på arbeidsmarkedet. Etter Regjeringens vurdering vil derfor opprettelse av et statsaksjeselskap ikke være i tråd med målsettingene i arbeidsmarkedspolitikken. Samtidig vil staten løpe en høy økonomisk risiko, da det er stor konkurranse i vikarmarkedet. Regjeringen vurderer derfor denne modellen som uaktuell.
Ved å organisere utleie som et arbeidsmarkedstiltak for målgruppene i arbeidsmarkedspolitikken, vil utleievirksomheten være et virkemiddel knyttet til etatens kjerneoppgaver. Samtidig vil konkurransen med private vikarbyråer bli beskjeden, siden de i begrenset grad leier ut disse gruppene. Utleien vil i dette tilfellet skje direkte fra Aetat, organisert gjennom egne enheter i etaten. Ved å konsentrere utleien til utsatte grupper for å prøve ut deres arbeidsevne, vil det imidlertid kunne være behov for tilskudd av arbeidsmarkedsmidlene til arbeidsgiverne. Arbeids- og administrasjonsdepartementets vurdering er at det er rom for bruk av slike tilskudd innenfor konkurranseregelverkets rammer, hvis dette er nødvendig for å hjelpe arbeidssøkere i jobb. En slik innretning av utleievirksomheten er i tråd med Regjeringens ambisjoner omkring fornyelsesprogrammets arbeidskraftsreform. Regjeringen har derfor kommet til at avgrensning av utleie til særskilte målgrupper er den beste måten å ivareta arbeidsmarkedspolitiske målsettinger på innenfor konkurranseregelverkets rammer. Regjeringen vil komme nærmere tilbake til saken i forbindelse med statsbudsjettet for 2002. I den forbindelse vil en også vurdere en eventuell videreføring av etatens øvrige bedriftstjenester.
De kontraktene Aetat Bedrift allerede har inngått, vil bli gjennomført. Det betyr at dagens utleievirksomhet vil måtte videreføres ut inneværende år i begrenset omfang. Den foreslåtte omleggingen av Aetats utleievirksomhet vil imidlertid få betydelige konsekvenser for vedtatt budsjett for Aetats salg av arbeidsmarkedstjenester (kap. 1593 og kap. 4593). Regjeringen vil komme nærmere tilbake til dette høsten 2001.
I februar 2001 vedtok Stortinget på grunnlag av dokument 8:14 (2000-2001) - at det skal iverksettes forsøk med konkurranse om tiltak og arbeidsformidling av funksjonshemmede, yrkeshemmede, sosialklienter og andre personer som krever ekstra tilrettelegging og oppfølging i arbeidsmarkedet. Arbeids- og administrasjonsdepartementet har på dette grunnlaget arbeidet med utforming av ulike modeller for slike forsøk. Dette har avdekket at det er en rekke forhold som bør avklares og vurderes nærmere før en iverksetter slike forsøk. Det gjelder blant annet valg av økonomisk støtteordning og finansiering, utvelgelse av arbeidssøkere og adgangen til taushetsbelagte opplysninger om personene. Videre kreves det nærmere avklaringer av hvilke tjenester som kan inngå i et forsøk og spesielt hvem som skal velge hvilke aktører som kan delta. Dette må også ses i sammenheng med det arbeid som for tiden foregår for å utvikle bedre tjenester og tilbud til de nevnte gruppene gjennom Aetat, blant annet gjennom forenkling av regelverket for tiltakene. En oppfølging av Sandman-utvalget vil også kunne bidra til bedre og mer samordnede tiltak. Aetats arbeid for de aktuelle gruppene vil være mer målrettet enn usikre forsøk og dette bør derfor prioriteres slik at det kan skapes bedre oversiktlighet og klarhet for de gruppene forsøkene skal hjelpe. Det er ikke mulig raskt å iverksette forsøk. Departementet vil komme tilbake til denne saken i statsbudsjettet for 2002.
3.7 Om rammevilkårene for kraftproduksjon
Ved behandlingen av St.meld. nr. 29 (1998- 1999) Om energipolitikken uttalte et flertall i energi- og miljøkomiteen, medlemmene fra Arbeiderpartiet, Fremskrittspartiet og Høyre, i Innst. S. nr. 122 (1999-2000), blant annet at:
«....kraftforsyningen i Norge nå er en konkurranseutsatt næring med behov for mer like rammevilkår som andre bransjer, blant annet på skattesiden. Denne næringen konkurrerer også i et åpent nordisk/nordeuropeisk marked.
Flertallet viser til at det er ulike oppfatninger av rammevilkårene for norske kraftprodusenter i forhold til andre kraftprodusenter som mer og mer vil komme inn på markedet.
Et annet flertall, medlemmene fra Arbeiderpartiet og Høyre, er derfor av den oppfatning at Regjeringen må kartlegge de faktiske forhold og komme tilbake til Stortinget med dette. Regjeringen må innenfor det vedtatte kraftskatteregimet for 1996 arbeide for mer like rammevilkår for kraftprodusentene som det konkurrentene i Norden/Nord-Europa har.»
Dette avsnittet og vedlegg 1 beskriver enkelte sentrale rammevilkår for kraftproduksjon i Norge, Sverige, Finland og Danmark. Rammevilkårene til en næring kan i utgangspunktet omfatte svært mange ytre faktorer som påvirker næringens lønnsomhet og utvikling, som tilgang på naturressurser, arbeidskraft og kapital, lokalisering i forhold til markedet, organisatoriske og juridiske rammer mv. Omtalen her avgrenses til de mest sentrale særordningene som er pålagt kraftsektoren av myndighetene i Norge, Sverige, Finland og Danmark, i form av skatter, avgifter, støtteordninger, tariffer, enkelte konsesjonsvilkår og nettregulering. Gjennomgangen fokuserer primært på rammevilkårenes virkninger på den løpende virksomheten i kraftsektoren. Rammevilkårenes virkninger på lønnsomheten av investeringer er ikke særskilt vurdert. Det er heller ikke foretatt en nærmere vurdering av reglenes formål, hensiktsmessighet og konsekvenser. Avgifter mv. på forbruk er ikke omtalt.
Selv om de myndighetsskapte rammebetingelsene kan være forskjellig i ulike land for næringer som konkurrerer internasjonalt, behøver ikke de samlede konkurransevilkårene være særlig forskjellige. For eksempel vil bedrifter som kan utnytte naturgitte fortrinn i et land, kunne bære et høyere kostnadsnivå for øvrig enn konkurrerende bedrifter i andre land. Når en næring utnytter en begrenset naturressurs, slik vannkraftprodusentene gjør, kan det gi opphav til en avkastning utover normalavkastningen (grunnrente). Denne grunnrenten kan i prinsippet trekkes inn gjennom skattlegging, uten at rammevilkårene samlet sett blir dårligere enn i land hvor kraftproduksjonen ikke er knyttet til en naturressurs. En korrekt utformet grunnrenteskatt vil redusere kraftprodusentenes finansielle overskudd etter skatt, men vil isolert sett ikke påvirke motivene til å investere i norsk vannkraftproduksjon, selv om tilsvarende skatter ikke finnes i andre nordiske land.
Det er vanskelig å sammenlikne rammevilkårene for kraftproduksjon mellom land. Regelverket er komplisert og i mange tilfeller er det statistiske grunnlaget mangelfullt. Gjennomgangen er til dels basert på sekundære kilder, hvor skjønnsmessige vurderinger inngår. Det understrekes derfor at det er usikkerhet knyttet til beskrivelsen av reglene og de finansielle virkningene.
Kraftprodusentene må betale inntektsskatt og eiendomsskatt i alle landene. Det statistiske materialet om innbetalt inntektsskatt fra kraftproduksjon er ufullstendig. I den grad det finnes tallmateriale over inntektsskatt for kraftnæringen, inkluderes ofte inntekt fra andre forretningsområder enn kraftproduksjon. I tillegg er avskrivningssatser og avskrivningsgrunnlag ulike i landene. Dette gjør det vanskelig å anslå virkningen av inntektsskatten. Satsen for inntektsskatt er imidlertid omtrent den samme; 28 pst. i Norge og Sverige, 29 pst. i Finland, og 32 pst. i Danmark, og er den samme som for andre næringer i det enkelte land. I sammenlikningen mellom land er det sett bort fra inntektsskatten. Når det gjelder eiendomsskatten, er det betydelige variasjoner både i skattegrunnlag og skattesatser.
Norge er det eneste landet med en grunnrente- og naturressursskatt på vannkraftproduksjon, og omfattende vilkår om konsesjonsavgift og konsesjonskraftavståelse. Sverige har flere typer særskatter, hvorav skattene på kjernekraft er de mest omfattende. Den svenske vannkraftproduksjonen har vilkår tilsvarende konsesjonsavgift og konsesjonskraftavståelse, men av betydelig mindre omfang. I Finland er det en forhøyet skattesats for eiendomsskatt på kraftproduksjonsanlegg. Danmark har særskatter på varmekraft.
Danmark har svært omfattende støtteordninger for utvalgte energiteknologier. Dette må sees i sammenheng med at Danmark har vesentlig høyere forbruksavgifter på elektrisitet enn de andre landene.
Ulikhetene i skattearter skyldes delvis store forskjeller i naturressurser og ulike produksjonsteknologier mellom landene, og dermed ulik kostnadsstruktur og lønnsomhet. I Sverige er kjernekraft og vannkraft dominerende, i tillegg til noe varmekraft. I Finland er varmekraft og kjernekraft de dominerende produksjonsteknologiene, men Finland har også betydelig vannkraftproduksjon. Den danske produksjonen dekkes i hovedsak med varmekraft, i tillegg til vindkraft. I Norge er vannkraft den dominerende produksjonsteknologien.
Tabell 3.13 viser samlet innbetalt skatt i 2000 pr. produsert kWh. Dette året var preget av rekordhøy vannkraftproduksjon i Norge og relativ lav produksjon i svenske kjernekraftverk og danske varmekraftverk. For å korrigere for virkningen av dette, er skatten fordelt på mer representative produksjonstall istedenfor på faktisk produksjon i 2000. I beregningen av totale skatter er inntektsskatten og den delen av naturressursskatten som er samordnet med inntektsskatten, ikke tatt med. Deretter foretas en beregning der den delen av naturressursskatten som ikke ble samordnet med inntektsskatten i Norge og den svenske avgiften for dekning av fremtidige utgifter til avfallshåndtering mv., holdes utenom. Til slutt foretas en beregning der en i tillegg ser bort fra utgifter til konsesjonsavgifter og konsesjonskraftavståelse i vannkraftproduksjon.
Tabell 3.13 Skatter og avgifter for gjennomsnittlig kraftproduksjon. 2000. Øre/kWh
| Norge | Sverige | Finland | Danmark | |
| Totale skatter, all produksjon | 2,2 | 2,3 | 0,3 | 2,2 |
| - uten naturress.skatt, kjernekraftavg. | 1,6 | 1,9 | 0,3 | 2,2 |
| - uten konsesjonsavgifter/-kraft | 1,2 | 1,9 | 0,3 | 2,2 |
| Gjennomsnittlig totalproduksjon, TWh | 118,7 | 139,0 | 67,0 | 37,0 |
| Totale skatter, vannkraft | 2,2 | 0,9 | 0,3 | - |
| - uten naturress.skatt | 1,7 | 0,9 | 0,3 | - |
| - uten konsesjonsavgifter/-kraft | 1,2 | 0,8 | 0,3 | - |
| Middelproduksjon vannkraft, TWh | 118,0 | 64,0 | 13,0 | - |
Kilde: Svensk Energi og Olje- og energidepartementet.
Den totale skattebetalingen i 2000 var om lag lik i Norge, Sverige og Danmark. Når en ser bort fra ikke samordnet naturressursskatt i Norge og avgiften for dekning av framtidige utgifter til avfallshåndtering mv. i Sverige, var skattebetalingen høyest i Danmark. Danmark har imidlertid svært omfattende støtteordninger til utvalgte produksjonsteknologier, som medfører at samlet finansiell støtte til danske kraftprodusenter i 2000 var betydelig større enn betalte skatter. Finske produsenter betalte vesentlig mindre skatt enn de øvrige. Når en kun ser på vannkraftproduksjon, var skattene høyest i Norge.
Kraftprisen var lav i 2000. Spotmarkedsprisen i Norge på om lag 10 øre/kWh var den laveste siden 1993. Ved en økning i kraftprisene vil inntektsskatten øke i alle landene. Det norske systemet skiller seg ut ved at en økning i kraftprisene også innebærer en automatisk økning i særskattene. Ved en prisøkning på 5 øre/kWh i forhold til 2000-nivået, anslås det at grunnrenteskatten og verdien på konsesjonskraftavståelsen vil øke med om lag 1 øre/kWh. Ved en prisøkning på 10 øre/ kWh, anslås økningen til i størrelsesorden 2,5 øre/kWh. Når en tar hensyn til alle skattearter og verdien av konsesjonskraftavståelse, kan marginalskatten for norske vannkraftprodusenter komme opp i 60 pst. for avkastning utover normalavkastning. I de øvrige nordiske landene er marginalskatten 28-32 pst. Ettersom den norske grunnrenteskatten kun ilegges særskilt høyt overskudd i det enkelte kraftverk, vil imidlertid forskjellene i gjennomsnittsskatten i Norge og i de andre landene være vesentlig mindre enn dette. Sammenlikningen ovenfor fanger ikke opp muligheten for at provenyet kan bli endret gjennom vedtak om endrede skattesatser/-grunnlag, eller innføring av nye skatter og avgifter.
Avgiftene for innmating til sentralnettet er høyere i Norge enn i de andre landene. Det henger dels sammen med sentralnettstariffens samlede nivå, og dels fordelingen av tariffinntekter mellom innmating og uttak. Gjennomsnittlig fastledd for produksjon i sentralnettstariffen i Norge var i 2000 om lag 1,1 øre/kWh. I Sverige og Finland, var gjennomsnittet henholdsvis knapt 0,5 og 0,1 øre/kWh. I Danmark var gjennomsnittlig fastledd for produksjon om lag 0,4 øre/kWh på Jylland og null på Sjælland. De nordiske sentralnettselskapene legger opp til at de faste leddene i tariffene til produsentene i gjennomsnitt skal ligge i intervallet 0,5 +/- 0,3 øre/kWh fra og med 2002.
Det er kun Norge som har regler om hjemfall og forkjøpsrett for det offentlige ved eierskifter mv. Disse bestemmelsene medfører ikke løpende inntektsoverføringer fra norske kraftprodusenter til det offentlige, men kan ha innvirkning på organisasjons- og eierstrukturen i næringen. De øvrige landene har ikke tilsvarende regler.
Også reguleringen av nettselskapene varierer noe mellom de nordiske landene. De norske nettselskapene har fra 1997 vært underlagt inntekts- rammeregulering. Et liknende system er innført i Danmark fra 2000. Sverige og Finland har en regulering av selskapenes inntekter som gir rom for høyere avkastning. I 1997 hadde svenske og finske nettselskaper en gjennomsnittlig avkastning som var om lag 3 prosentpoeng høyere enn for norske nettselskaper. De danske nettselskapene hadde samme år betydelig lavere avkastning enn de norske selskapene.
Vedlegg 1 inneholder en mer detaljert redegjørelse for rammevilkårene for kraftproduksjon i Norge, Sverige, Finland og Danmark.
Etter at St.meld. nr. 29 (1998-1999) Om energipolitikken ble behandlet i Stortinget, har næringen fått utarbeidet flere konsulentutredninger hvor rammevilkårene for bransjen er vurdert. Blant annet på bakgrunn av disse utredningene, hevder Energibedriftenes landsforening (EBL) at den norske kraftnæringen er underlagt strengere rammevilkår enn i de øvrige nordiske landene, og i forhold til andre konkurranseutsatte næringer i Norge. EBL viser blant annet til utredninger fra konsulentselskapet ECON hvor det konkluderes med at konsesjonsreglene, skattene, innmatingstariffene og inntektsreguleringen av nettselskapene, svekker norske selskapers inntjening og reduserer evnen til omstrukturering i norske kraftselskaper. ECON hevder at dette samlet, og i kombinasjon med at enkelte offentlige eiere mangler kapital, har resultert i en svekkelse av norske kraftselskapers muligheter til å utvikle konkurranseevne i den europeiske kraftsektoren. EBL foreslår at grunnrenteskatten fjernes eller reduseres kraftig, konsesjonslovene gjennomgås og endres, og at nettreguleringen endres.
Landssamanslutninga av Vasskraftkommunar (LVK) mener at bransjens rammevilkår må vurderes samlet dersom det skal tas stilling til om det er behov for endringer av enkelte vilkår ut fra konkurransehensyn. LVK hevder at dersom ett land har lave produksjonskostnader på grunn av naturgitte forhold, kan det gi opphav til en skatt eller avgift til samfunnet som det ikke finnes tilsvarende grunnlag for i et annet land. En slik skatt innebærer ingen konkurransevridning, men er mer å se på som en hel eller delvis inndragning av et naturgitt konkurransefortrinn til samfunnet. LVK mener at en sammenlikning av konkurransevilkårene også krever en vurdering av bransjens lønnsomhet.
Departementet vil peke på at offentlig fastsatte rammevilkår kan ha konsekvenser på enkeltområder som ut fra en isolert betraktning kan være uheldige. Dette gjaldt også før kraftmarkedet ble deregulert. Med konkurranse i markedet blir imidlertid konsekvensene annerledes. Før innføringen av energiloven hadde eksempelvis skattenivået i kraftnæringen primært konsekvenser for den kraftprisen som forbrukerne betalte. Nå har skattenivået i første rekke konsekvenser for resultater og avkastning i kraftnæringen, og for lønnsomheten av investeringer i næringen. I sin tur kan dette blant annet ha betydning for næringens utvikling og konkurranseevne, og for landets energi- og effektbalanse. Kraftskattereformen fra 1997 innebar en overgang til mer lønnsomhetsbasert beskatning av vannkraftproduksjon, og dette har trolig isolert sett hatt en positiv innvirkning på motivene til investeringer i næringen.
Mye tyder på at de norske konsesjonsreglene har medvirket til mindre omstrukturering av kraftproduksjonen, lavere konsentrasjon, større innslag av krysseierskap og mindre innslag av privat eierskap enn i for eksempel Sverige og Finland.
Skatter, avgifter, konsesjonskraftavståelse og hjemfall av kraftanlegg innebærer en inntektsoverføring fra kraftselskapene til staten, kommuner og fylkeskommuner. I tillegg til fiskale forhold er det også andre hensyn knyttet til rammevilkårene, som for eksempel kompensasjon for naturinngrep, ivaretakelse av offentlig styring og kontroll over vannfallene, virkning på motivene til å investere og en samfunnsmessig rasjonell nettvirksomhet. Ved en vurdering av om rammevilkårene er hensiktsmessige, må disse formålene veies opp mot de eventuelle uønskede virkninger som rammevilkårene kan medføre.