Del 3
Yrkesdeltaking og pensjoneringsatferd – utfordringer og analyse
9 Demografi og makroøkonomiske utfordringer
9.1 Innledning
Den demografiske utviklingen innebærer for de fleste industrialiserte land at andelen eldre personer i befolkningen vil øke i tiårene framover. I tillegg trekker folk seg stadig tidligere tilbake fra arbeidslivet. Dette kan få betydelige konsekvenser for offentlige finanser og finansieringsbyrden for de yrkesaktive. Også Norge står overfor en utvikling med en økende andel eldre. I avsnitt 9.4 under drøftes noen av de makroøkonomiske utfordringene dette stiller landet overfor de neste tiårene. Som en bakgrunn gis det først en gjennomgang av noen sentrale demografiske utviklingstrekk (avsnitt 9.2) og utviklingen i antall pensjonister og folketrygdens utgifter (avsnitt 9.3).
Forsørgelsesbyrden for de yrkesaktive, det vil si den byrden de pålegges for å finansiere utbetalinger til trygdede og pensjonister, vil øke som følge av flere forhold i årene framover. For det første bidrar både den demografiske utviklingen og tendensen til lavere pensjoneringsalder til at det blir relativt sett færre yrkesaktive. I tillegg øker de gjennomsnittlige pensjonsutbetalingene, som følge av at folketrygdsystemet er under oppbygging fram til 2007 og fordi kvinner tjener opp større tilleggspensjoner. Lavere yrkesdeltaking reduserer også skattegrunnlaget, og svekker muligheten til å holde en ønsket standard på det offentlige tjenestetilbudet.
Dette er vektige argumenter for å legge forholdene bedre til rette for lange arbeidslivskarrierer, og understreker betydningen av at de som er friske og arbeidsføre i størst mulig grad gis anledning og oppmuntres til å skaffe seg inntekter gjennom eget arbeid. Det er viktig å merke seg at det ikke er noen motsetning mellom den enkelte arbeidstakers og samfunnets interesser på dette punktet; arbeid fremfor pensjonering kan for en del eldre være en mulighet til å sikre et mer meningsfullt og tilfredsstillende liv .
Arbeidsmarkedets evne til å tilpasse seg den endrede aldersstrukturen i arbeidsstyrken er viktig for den økonomiske utviklingen framover. Produksjonen må i større utstrekning enn tidligere baseres på arbeidstakere som nærmer seg slutten av sin yrkeskarriere, og det er viktig at forholdene legges til rette for at denne gruppen skal fungere tilfredsstillende i forhold til de kravene som stilles.
9.2 Demografi og arbeidsstyrke
Befolkningsutviklingen følger utviklingen i fruktbarhet, dødelighet og inn- og utvandring. Statistisk sentralbyrå lager med jevne mellomrom framskrivinger av befolkningsutviklingen i Norge, basert på ulike anslag for utviklingen i disse faktorene. De siste framskrivingene (fra 1996) er basert på tre ulike sett av forutsetninger, der to (de såkalte høy- (H) og lavalternativene (L)) danner en øvre og nedre grense for en sannsynlig utvikling i folketallet, mens det tredje alternativet ligger mellom de to første (mellomalternativet (M)). I tabell 9.1 vises noen av de viktigste forutsetningene for de tre framskrivingene.
Tabell 9.1 Forutsetninger bak Statistisk sentralbyrås befolkningsframskrivinger.
| L | M | H | |
|---|---|---|---|
| Fruktbarhet i 2010 og senere år | 1,68 | 1,86 | 2,10 |
| Forventet levealder for menn i 2050 | 77,0 | 80,0 | 83,0 |
| Forventet levealder for kvinner i 2050 | 81,5 | 84,5 | 87,5 |
| Netto innvandring i 2001 og senere år | 3000 | 7000 | 11000 |
Kilde: Statistisk sentralbyrå
Alle framskrivingene viser vekst i folketallet de kommende tiårene. Etter 2025 viser det lave alternativet nedgang i folketallet. I mellomalternativet flater veksten ut mot slutten av framskrivingsperioden, mens den fortsetter i det høye alternativet. Dette innebærer at befolkningen i 2050 er om lag på dagens nivå, 4,3 millioner personer, i lavalternativet. I mellomalternativet og høyalternativet antas befolkningen på samme tidspunkt å ha økt til henholdsvis 5,1 og 6,1 millioner personer. I figur 9.1 under, vises utviklingen i befolkningen for mellomalternativet, og for de to andre framskrivingene i utvalgte år.

Figur 9.1 Antall personer i befolkningen.1000
Kilde: Statistisk sentralbyrå
Utviklingen i de ulike aldersgruppene i befolkningen, avhenger av hvordan fruktbarheten og dødeligheten utvikler seg i forhold til hverandre, og av sammensetningen av inn- og utvandringen. Generelt er det slik at jo lavere fruktbarheten og jo høyere den forventede levealderen er, desto høyere blir andelen eldre i befolkningen. I de tre framskrivingene øker både fruktbarheten og forventet levealder fra lav- til mellom- og til høyalternativet. I sum innebærer imidlertid forutsetningene at andelen eldre i befolkningen øker i alle alternativene. Økningen som finner sted de første tiårene etter 2000 skyldes de store fødselskullene etter den andre verdenskrigen. I figur 9.2 er framskrivingen av antall personer i ulike aldersgrupper vist for mellomalternativet.

Figur 9.2 Antall personer i ulike aldersgrupper. 1997=100. Mellomalternativet.
Kilde: Statistisk sentralbyrå
Figur 9.2 viser at mens antall personer i aldersgruppen 20–49 år er om lag uendret i løpet av de nærmeste 50 årene, øker antallet i de eldre aldersgruppene til dels kraftig. Antall personer over 60 år øker med mellom 60 og 70 pst, mens det blir i overkant av 20 pst flere personer i aldersgruppen 50–59 år. Dette innebærer at andelen i befolkningen som er i alderen 20–49 år, reduseres fra 43 pst i 1997 til 36 pst i 2050, se figur 9.3. Andelen i aldersgruppen over 60 år øker fra 19 pst i 1997 til 28 pst i 2050, mens andelen i alderen 50–59 år er om lag uendret på i overkant av 10 pst gjennom hele perioden.

Figur 9.3 Personer i ulike aldersgrupper. Andel av befolkningen. Mellomalternativet
Kilde: Statistisk sentralbyrå
Dersom en fokuserer på utviklingen de nærmeste årene, ser vi av figur 9.2 at det ligger an til en sterk økning i antall personer mellom 50 og 66 år. Antall 50–59 åringer øker i følge framskrivingen med 20 pst fram til 2010, og er deretter relativt konstant. Antall i alderen 60–66 år øker med 60 pst til 2020. Den sterke veksten i antall personer over 66 år tar til fra rundt 2010.
Med forutsetninger om en moderat økning i yrkesfrekvensene for kvinner og ungdom fram til 2010 og konstante yrkesfrekvenser for alle grupper etter dette, slik som lagt til grunn i regjeringen Jaglands langtidsprogram, vil arbeidsstyrken i mellomalternativet øke fra 2,3 millioner personer i 1998 til 2,4 millioner i 2050, se figur 9.4. Veksten finner hovedsakelig sted i første del av framskrivingsperioden. Andelen av befolkningen som er i arbeidsstyrken øker fra 50 pst i 1997 til 52 pst i 2010, men synker deretter og kommer ned i 48 pst i 2050.

Figur 9.4 Arbeidsstyrken. Antall personer i 1000 og andel av befolkningen
Kilde: Statistisk sentralbyrå og Finansdepartementet
Hvor stor andel av befolkningen som vil være i arbeidsstyrken i årene framover, avhenger blant annet av hvordan yrkesfrekvensene for ulike grupper utvikler seg. Hvis yrkesfrekvensene utvikler seg annerledes enn antatt i beregningene over, vil også arbeidsstyrken påvirkes.
I kapittel 4 er det vist at det de siste årene har vært en tendens til fallende yrkesdeltakelse blant eldre menn, og økende yrkesdeltakelse blant eldre kvinner. I tabell 9.2 vises resultater fra to beregninger, der det er antatt at disse utviklingstrekkene fortsetter. Det er tatt utgangspunkt i yrkesfrekvensene som ligger til grunn for arbeidsstyrken i figur 9.4. Effekten av lavere yrkesdeltakelse blant menn er beregnet ved at yrkesfrekvensene for menn i alderen 55–74 år, reduseres fra og med 2010 til samme nivå som for kvinner i samme aldersgruppe i de opprinnelige beregningene. Dette innebærer en reduksjon i yrkesfrekvensene for menn over 55 år på omkring 10 prosentpoeng. Tilsvarende er effekten av høyere yrkesdeltakelse for kvinner i alderen 55–74 beregnet ved at denne gruppens yrkesfrekvenser fra og med 2010 økes til samme nivå som for menn i samme aldersgruppe i de opprinnelige beregningene.
Tabell 9.2 Endring i arbeidsstyrken ved alternative forutsetninger om utviklingen i yrkesfrekvensene for personer i alderen 55–74 år. Antall personer og prosentpoeng
| Redusert yrkesdeltakelse for menn | Økt yrkesdeltakelse for kvinner | |||
|---|---|---|---|---|
| Antall | Andel av befolkningen | Antall | Andel av befolkningen | |
| 2010 | –50 600 | –1½ | 51 800 | 1½ |
| 2050 | –53 600 | –1½ | 55 400 | 1½ |
Kilde: Statistisk sentralbyrå og Finansdepartementet
Som tabell 9.2 viser, reduseres arbeidsstyrken med i overkant av 50 000 personer i 2010 hvis yrkesfrekvensen for menn over 55 år reduseres til samme nivå som for kvinner i samme aldersgruppe. Målt som andel av arbeidsstyrken, innebærer dette en reduksjon på 1½ prosentpoeng. Tilsvarende øker arbeidsstyrken med nærmere 52 000 personer i 2010 hvis yrkesdeltakelsen for kvinner i alderen 55 år og eldre øker til tilsvarende nivå som for menn i samme aldersgruppe.
9.3 Utviklingen i antall pensjonister og folketrygdens utgifter
Statistisk sentralbyrås mikrosimuleringsmodell MOSART kan brukes til å framskrive utviklingen i antall pensjonister og gjennomsnittlig pensjonsutbetaling for ulike typer pensjonsordninger (se vedlegg 2 for en nærmere beskrivelse av modellen og forutsetninger bak framskrivingene). Modellen inkluderer alders-, uføre- og etterlattepensjon, attføring og avtalefestet pensjon, og gir dermed også anslag på utviklingen i folketrygdens samlede pensjonsutgifter. Kostnadsanslagene er basert på en forutsetning om at folketrygdens grunnbeløp øker i takt med lønningene og at satsene for særtillegg ikke endres.
I figur 9.5 vises utviklingen i antall folketrygdpensjonister i perioden 1997 til 2050 i et referansealternativ fra MOSART. Antall pensjonister i folketrygden øker i denne perioden med nær 460 000, eller 50 pst. Simuleringen av antall pensjonister er estimert på grunnlag av beregnede sannsynligheter for overgang til de ulike pensjonsordningene. Overgangssannsynlighetene er konstante over framskrivingsperioden, men varierer med blant annet kjønn, alder og utdanningsnivå. Den sterkeste veksten i antall pensjonister finner sted fra 2010 til 2030. Økningen skyldes i det alt vesentlige økningen i antall alderspensjonister. Alderspensjonister inkluderer her også AFP-pensjonister. Antall alderspensjonister øker i disse beregningene med vel 430 000, eller 70 pst fra 1997 til 2050.

Figur 9.5 Antall pensjonister i folketrygden. Totalt og alderspensjonister.1
Kilde: Statistisk sentralbyrå 1Inkludert AFP-pensjonister
Også den gjennomsnittlige pensjonsutbetalingen øker i løpet av framskrivingsperioden. Totalt øker den gjennomsnittlige pensjonsytelsen fra folketrygden ifølge denne MOSART-beregningen fra i overkant av 81 000 1993-kroner i 1997 til nær 100 000 1993-kroner i 2050. Økningen skyldes i hovedsak at folketrygden er under oppbygging fram til 2007, og at kvinner får stadig høyere pensjonsgivende inntekt og flere opptjeningsår.
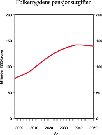
Flere pensjonister og økte gjennomsnittlige pensjoner, medfører at folketrygdens pensjonsutgifter øker, se figur 9.6. I perioden 1997–2050 øker utgiftene med 62 mrd 1993-kroner, eller 80 pst.

Figur 9.6 Folketrygdens pensjonsutgifter. Milliarder 1993-kroner
Kilde: Statistisk sentralbyrå
Som vist i figur 9.4, ventes det bare en svak vekst i antall personer i arbeidsstyrken etter århundreskiftet. Figur 9.5 viser derimot at veksten i antall pensjonister kan bli relativt kraftig. Denne utviklingen vil forrykke forholdstallet mellom antall yrkesaktive og antall pensjonister, og således medføre økt forsørgelsesbyrde for de yrkesaktive. Basert på tallene i figurene 9.4 og 9.5 reduseres antall yrkesaktive per pensjonist fra i underkant av 2½ i 2000 til 1¾ i 2050, se figur 9.7.

Figur 9.7 Antall yrkesaktive per pensjonist
Kilde: Statistisk sentralbyrå og Finansdepartementet
9.4 Langsiktige utviklingstrekk for norsk økonomi
Etter konjunkturomslaget i 1988 opplevde Norge en lang periode med lav økonomisk vekst, økende ledighet og svak sysselsettingsutvikling. I enkelte år falt sysselsettingen. Denne utviklingen bidro til å forsterke tendensen til at eldre gikk tidlig ut av arbeidslivet, se kapittel 4. Norge er imidlertid nå inne i det femte året på rad av en sterk konjunkturoppgang. Siden 1993 har det vært sterk vekst i produksjon og innenlandsk forbruk, sysselsettingen har økt og arbeidsledigheten er nesten halvert siden toppen ble passert i 1993. Også langtidsledigheten har gått betydelig ned. Langtidsledigheten blant eldre arbeidssøkere har gått noe mindre ned enn langtidsledigheten generelt, men også for denne gruppen har det funnet sted en klar reduksjon.
Den demografiske utviklingen som er beskrevet i avsnitt 9.2 innebærer at en står overfor økte utfordringer innenfor helse- og omsorgssektoren. I Velferdsmeldingen (St meld nr 35 (1994–95)) er det gjort beregninger som indikerer at den demografiske utviklingen alene vil kunne medføre at tallet på brukere av pleie- og omsorgstjenester øker fra om lag 160 000 i 1993 til i underkant av 300 000 i 2030. Disse utfordringene kommer i tillegg til den anslått sterke veksten i pensjonsutgiftene. Sett i sammenheng med det forventede fallet i inntekter fra petroleumssektoren, stiller dette den økonomiske politikken overfor store utfordringer i årene som kommer. I dette avsnittet illustreres dette gjennom ulike makroøkonomiske framskrivninger for norsk økonomi. Slike beregninger må naturlig nok baseres på forenklede forutsetninger om utviklingen i sentrale økonomiske størrelser som demografiske utviklingstrekk, utviklingen i antall utførte timeverk, skatte-, avgifts- og stønadsregler, produktivitetsutvikling i de ulike produksjonssektorene, utviklingen i petroleumssektoren og framtidig rentenivå.
9.4.1 Sentrale forutsetninger bak framskrivingene
I forbindelse med regjeringen Jaglands langtidsprogram (St meld nr 4 (1996–97)) ble det gjennomført en framskriving som viste en jevn og balansert økonomisk utvikling fram til 2050, det såkalt «basisalternativet». Beregningene som presenteres her er en oppdateringer av basisalternativet som ble foretatt i forbindelse med Molandutvalgets arbeid.
Til grunn for denne beregningen ligger det en utvikling i blant annet folketall, arbeidsstyrke og antall pensjonister tilsvarende den som er beskrevet i avsnittene 9.2 og 9.3. Det er også laget anslag på utviklingen i en rekke andre størrelser som har betydning for den økonomiske utviklingen framover. Under fokuseres det spesielt på forutsetninger som har betydning for offentlig sektors finansielle handlingsrom. For en nærmere gjennomgang av forutsetningene, vises til Molandutvalgets rapport (NOU 1998: 10 Fondering av folketrygden?).
Det føres en politikk som sikrer langsiktig balanse i utenriksøkonomien og offentlige finanser.
Pensjonsutgiftene i folketrygden øker fra 8 pst av BNP i 1998 til 17 pst i 2050. Dette skyldes utviklingen i demografiske faktorer som andelen eldre i befolkningen, samt utviklingen i de gjennomsnittlige pensjonsytelsene.
Statens netto kontantstrøm fra petroleumsvirksomheten øker fra 4 pst av BNP i 1998, til 10 pst av BNP i 2005. Etter dette faller den kraftig, som følge av redusert aktivitet i sektoren, og avtar til 4 pst i 2020 og videre til 2 pst i 2050.
Det reelle skatte- og avgiftsnivået holdes på samme nivå som i dag. Denne forutsetningen gjelder for alle husholdninger under ett. Som påpekt over, vil andelen pensjonister øke vesentlig i tiårene framover. En økende andel av de samlede inntektene vil dermed opptjenes av pensjonister. Pensjonister har i dag lavere skatteprosent enn yrkesaktive, og beregningene impliserer således enten en tilnærming mellom beskatningen av pensjonister og yrkesaktive, eller en økning i skatteprosenten for de yrkesaktive. Det kan argumenteres for at mulighetene for økte skatteinntekter er begrensede. Dette skyldes dels at skattenivået i Fastlands-Norge allerede er høyt i forhold til andre OECD-land, og dels at økt internasjonal integrasjon bidrar til en utjevning av kravene til kapitalavkastning etter skatt mellom land. Også økt mobilitet av konsum og arbeidskraft over landegrensene gjør en ensidig norsk skatteøkning vanskelig.
Det legges til grunn en lav vekst i samlet antall timeverk. Dette skyldes tilnærmet uendret gjennomsnittlig arbeidstid og lav vekst i arbeidsstyrken. Det er lagt til grunn at antall timeverk i statsforvaltningen holdes uendret fra 2005 og ut beregningsperioden. I kommunal forvaltning øker timeverkene i gjennomsnitt med snaut ¾ pst per år. Alt i alt tilsvarer dette en økning i den offentlige sysselsettingen med rundt ½ pst per år. Til sammenlikning var den årlige veksten i sysselsettingen i offentlig forvaltning i perioden 1970 til 1995 om lag 2¼ pst.
9.4.2 Noen hovedresultater fra basisalternativet
Vekstutsiktene for norsk økonomi på lang sikt synes å være moderate. Bruttonasjonalproduktet for Fastlands-Norge anslås å øke med om lag 1¾ pst per år i perioden 2010–2030. Videre fram mot 2050 er den anslåtte veksten noe lavere. Forutsetningen om stabilt skattenivå begrenser det finansielle rommet for offentlig aktivitet, gitt den forventede økningen i pensjonsutgiftene og etterspørselen etter helse- og omsorgstjenester.
Privat konsum som andel av BNP øker fra et nivå på nær 50 pst av BNP i 1995 til et nivå på 65–70 pst mot slutten av framskrivingsperioden, se tabell 9.3. Denne utviklingen kan blant annet forklares ved at oppbyggingen av realkapital i tradisjonell industri, petroleumsvirksomhet og vannkraft vil avta. Bruttoinvesteringenes andel av BNP faller derfor over tid. Uendrede skatte- og avgiftssatser tilsier at den andelen av BNP som går til offentlig konsum vil holde seg om lag på dagens nivå.
Tabell 9.3 Innenlandsk anvendelse og eksportoverskudd. Prosent av BNP
| 1995 | 2010 | 2030 | 2050 | |
|---|---|---|---|---|
| Privat konsum | 49½ | 54 | 66 | 68½ |
| Offentlig konsum | 20½ | 21 | 21 | 19½ |
| Bruttoinvesteringer | 24 | 18 | 18 | 16½ |
| Eksportoverskudd | 6 | 6½ | –5½ | –4½ |
Kilde: Statistisk sentralbyrå og Finansdepartementet
Framskrivingene innebærer at vekstratene i forbruk og verdiskapning per innbygger er på linje med eller lavere enn veksten i perioden før andre verdenskrig, og betydelig lavere enn etter andre verdenskrig og fram til i dag.
Vekstanslagene for sysselsettingen i offentlig forvaltning er omtrent tilstrekkelig til at en kan opprettholde uendret standard og dekningsgrad på kommunale tjenester innenfor utdanning, helse og omsorg. Det er da tatt hensyn til at den økende eldrebefolkningen medfører at det vil bli behov for styrket innsats i helse-, pleie- og omsorgssektoren. Økt innsats på prioriterte områder må dermed dekkes inn ved omprioriteringer eller ved økt brukerbetaling for offentlige tjenester. Vridningen i offentlig konsum mot mer kommunalt konsum, innebærer at gebyrandelen av det offentlige konsumet øker noe i framskrivingene.
Dagens store overskudd på handelsbalansen, som utnyttes til å bygge opp petroleumsfondet og andre finansielle fordringer, blir erstattet av et handelsunderskudd på lengre sikt, se tabell 9.3. Dette underskuddet blir finansiert ved avkastningen på finansformuen. Omplasseringen av petroleumsformuen til finansformue gjør det dermed mulig å jevne ut forbruket over tid.
Et markant trekk ved framskrivingene er at sparingen for landet blir om lag halvert i forhold til dagens nivå fram mot 2050, målt som andel av disponibel inntekt. Dette skyldes i første rekke at staten gradvis sparer mindre, som følge av økte pensjonsutbetalinger og reduserte inntekter fra petroleumsvirksomheten.
Husholdningenes sparerate anslås å øke noe fram til 2010, for så å falle til et nivå som er lavere enn dagens. Dette skyldes den demografiske utviklingen i retning av flere eldre, og at husholdningene antas å ville jevne ut forbruket over livsløpet. Den demografiske utviklingen og økningen i pensjonene medfører at en større andel av husholdningenes inntekter kommer i form av stønader fra det offentlige, se tabell 9.4.
Tabell 9.4 Husholdningenes inntekter, utgifter og sparing. Prosent av BNP
| 1995 | 2010 | 2030 | 2050 | |
|---|---|---|---|---|
| Lønn | 41½ | 44 | 48½ | 49 |
| Stønader fra det offentlige | 16 | 19 | 27½ | 28½ |
| Netto eierinntekter | 14 | 16½ | 19 | 21 |
| Direkte skatter og trygdeavgift | 16 | 17½ | 21 | 22 |
| = Brutto konsumdisponibel inntekt | 55½ | 62½ | 73½ | 76½ |
| – Privat konsum | 49½ | 54 | 66 | 68½ |
| = Brutto sparing | 6 | 8½ | 7½ | 8 |
| – Brutto realinvesteringer | 4½ | 4 | 6½ | 6 |
| = Finansinvesteringer | 1½ | 4½ | 1 | 2 |
Kilde: Statistisk sentralbyrå, Norges Bank og Finansdepartementet
9.4.3 Alternative forutsetninger
Formålet med langsiktige beregninger av den typen som er presentert tidligere i dette avsnittet, er å utnytte den informasjonen som foreligger til å kaste lys over mulige langsiktige konsekvenser av beslutninger som tas i dag. Makroøkonomiske framskrivinger langt fram i tid er likevel svært usikre. Dette skyldes at det må lages anslag på utviklingen i en del sentrale størrelser, og at sammenhengene mellom ulike variable som ligger inne i modellen ikke gjenspeiler de faktiske forholdene fullt ut eller kan endres over tid.
Modellbaserte skiftanalyser kan vise konsekvenser av endringer i sentrale forutsetninger. I tabell 9.5 gjengis noen hovedresultater fra alternative beregninger basert på følgende endringer i forutsetningene:
Kortere normalarbeidstid. Om lag halvparten av produktivitetsveksten tas ut i økt fritid. Dette svarer til en normalarbeidsdag på 6 timer i 2030, og enda kortere i 2050.
Lavere gjennomsnittlig pensjoneringsalder. Personer over 50 år reduserer yrkesfrekvensene til det nivået som i dag gjelder for personer som er ett år eldre.
Økt netto kontantstrøm fra petroleumssektoren. Sentrale variable i petrolemssektoren opprettholdes på et nivå tilsvarende situasjonen i 1997 fra og med 2009. Sammenliknet med basisalternativet innebærer dette høyere netto kontantstrøm fra petroleumssektoren til staten, høyere verdensmarkedspriser på petroleumsprodukter, høyere produksjon av petroleum og høyere investeringer.
Høyere offentlig sysselsetting. Den gjennomsnittlige veksten i antall timeverk i offentlig forvaltning økes fra rundt ½ pst per år i perioden 1995–2020 i basisalternativet til et gjennomsnitt på 1½ pst per år.
Tabell 9.5 Endring i forhold til basisalternativet. Volumendring i prosent i 2030
| Kortere normalarbeidstid | Lavere gj.snittlig pensjoneringsalder | Høyere kontantstrøm fra petroleums- virksomheten | Høyere offentlig sysselsetting (sprekk-alternativet) | |
|---|---|---|---|---|
| Netto disponibel realinntekt for Norge | –18,0 | –1,5 | 3,1 | –18,9 |
| Utførte timeverk | –23,7 | –2,6 | 0,0 | 0,0 |
| Utførte timeverk i off. forvaltning | –24,1 | –6,1 | 2,2 | –33,3 |
| BNP | –19,8 | –1,5 | 2,9 | –1,2 |
| BNP Fastlands-Norge | –21,5 | –1,6 | –2,7 | –1,3 |
| Bruttoprodukt industri | –26,8 | –1,2 | –12,1 | 29,4 |
| Privat konsum | –16,9 | –0,6 | 2,8 | –6,6 |
| Offentlig konsum | –18,8 | –5,7 | 1,9 | –31,7 |
| Reallønn per timeverk | 11,5 | 0,5 | 5,6 | –15,4 |
Kilde: Finansdepartementet
I tre av disse beregningene, beregningen med kortere normalarbeidstid, lavere pensjoneringsalder og høyere offentlig sysselsetting, reduseres det offentlige handlingsrommet til dels betydelig. I den fjerde beregningen, beregningen med økt kontantstrøm fra petroleumssektoren, blir det offentlige handlingsrommet noe utvidet, men ikke nok til at finansieringsproblemene i offentlig sektor blir vesentlig mindre. Dette til tross for at forutsetningene som ligger inne om utviklingen i petroleumssektoren er svært optimistiske.
Nedenfor gjennomgås virkningene av redusert gjennomsnittlig pensjoneringsalder nærmere. For en nærmere gjennomgang av de øvrige beregningene i tabell 9.5, vises det til Langtidsprogrammet 1998–2001 (St meld nr 4 (1996–97)) og Moland-utvalgets rapport (NOU 1998:10 Fondering av folketrygden?).
Nærmere om virkningene av redusert gjennomsnittlig pensjoneringsalder
Hvis arbeidsstyrken reduseres, enten som følge av at gjennomsnittlig pensjoneringsalder eller gjennomsnittlig arbeidstid går ned, blir det mindre ressurser tilgjengelig for produksjon av varer og tjenester. Arbeidskraft er det klart viktigste grunnlaget for verdiskapingen. De menneskelige ressursene omfatter verdien av framtidig arbeidsinnsats, som igjen avhenger av teknologi, kunnskapsnivå, helsetilstand og arbeidsinnsats over livet. Statistisk sentralbyrå har anslått at denne komponenten utgjør 2/3 av den norske nasjonalformuen. Til sammenligning er petroleumsformuen anslått å utgjøre om lag 6 pst av nasjonalformuen.
I beregningen med lavere gjennomsnittlig pensjoneringsalder er det forutsatt at aldersgruppene over 50 år reduserer yrkesfrekvensene til det nivået som i dag gjelder for personer som er ett år eldre. Det forutsettes videre at de som velger å fortsette i arbeidsstyrken mottar gjennomsnittlig lønn, og at de årlige pensjonsutbetalingene per pensjonist forblir uendret. Også skattenivået og egenbetalinger for offentlige tjenester er forutsatt uendret i forhold til i referansekjøringen, og det er også her lagt til grunn krav om en balansert utvikling i offentlige finanser.
Antall utførte timeverk reduseres i denne beregningen med om lag 2½ pst i 2030 i forhold til basisalternativet, se figur 9.8. Antall pensjonister øker med om lag 5 pst. Pensjonsutgiftene øker med drøyt 6 pst i forhold til basisalternativet i 2030. Dette tilsvarer at pensjonsutgiftenes andel av BNP øker med vel ett prosentpoeng, fra 15 til 16¼ pst, se figur 9.9. Redusert arbeidstilbud fører til høyere reallønnsvekst. Dette oppveier langt på vei de negative etterspørselsimpulsene fra inntektsreduksjonen for de som går over fra arbeidsinntekt til trygd. Privat konsum endres derfor lite. Bruttoproduktet for Fastlands-Norge reduseres med 1½ pst i 2030.

Figur 9.8 Pensjonsutgifter i folketrygden. Andel av BNP
Kilde: Statistisk sentralbyrå og Finansdepartementet

Figur 9.9 Endring i utførte timeverk. Totalt og i offentlig forvaltning. Basisalternativet =100
Kilde: Statistisk sentralbyrå og Finansdepartementet
Offentlig sektor påvirkes relativt sterkt av de endrede forutsetningene. Dette skyldes først og fremst at andre offentlige utgifter enn pensjonsutgiftene må reduseres for å opprettholde budsjettbalansen. I dette tilfellet reduseres offentlig konsum med vel 5½ pst i forhold til basisalternativet i 2030, se figur 9.10. Sysselsettingen i offentlig sektor målt ved antall utførte timeverk faller med om lag 6 pst.

Figur 9.10 Endring i offentlig konsum. Basisalternativet =100
Kilde: Statistisk sentralbyrå og Finansdepartementet
9.4.4 Generasjonsregnskapet
De langsiktige framskrivingene i punkt 9.4.2 indikerer at forpliktelsene i folketrygden kan innfris og dagens standard og dekningsgrad på offentlige tjenester opprettholdes, uten at det er nødvendig å øke skattenivået på lengre sikt. En slik utvikling forutsetter imidlertid en langsiktig forsvarlig budsjettpolitikk for offentlig forvaltning under ett, der det blant annet bygges opp betydelige finansielle fordringer. Utviklingen er også følsom for sjokk i økonomien som påvirker de offentlige balansene negativt.
For å analysere offentlig forvaltnings økonomiske forpliktelser på lang sikt, er det også utarbeidet et såkalt «generasjonsregnskap». Generasjonsregnskapsberegninger bygger blant annet på at offentlige utgifter før eller siden må betales, enten av nålevende eller av framtidige generasjoner. Betalte skatter og overføringer for nålevende generasjoner framskrives med utgangspunkt i befolkningsprognoser og dagens budsjett og regelverk. Videre tas det hensyn til de framtidige forpliktelsene som ligger i dagens folketrygdsystem. På denne bakgrunnen beregnes det hva budsjettbalansen bør være i dag for å sikre langsiktig balanse i offentlige budsjetter.
Generasjonsregnskapsberegninger ble presentert første gang i forbindelse med statsbudsjettet for 1995. Siden dette har den generasjonsmessige balansen gradvis blitt forbedret, blant annet som følge av oppjusterte prognoser for framtidige petroleumsinntekter, den sterke oppgangen i norsk økonomi og en viss innstramming i finanspolitikken.
Beregninger viser at det budsjetterte overskuddet i statsbudsjettet for 1999 er omtrent i den størrelsesorden som kreves for å unngå å velte byrder over på framtidige generasjoner. Generasjonsregnskapsbalansen avhenger imidlertid kritisk av:
Verdien av (statens andel av) petroleumsreservene. Den store usikkerheten som knytter seg til framtidige petroleumsinntekter, trekker isolert sett i retning av at budsjettbalansen bør styrkes.
Veksten i reallønn. I beregningene er det lagt inn en trendmessig vekst i reallønn på om lag 1 pst i året. Hvis et høyere vekstanslag legges til grunn, for eksempel, 1¼ pst, svekkes balansen med om lag 7 mrd kroner.
Realrenten. Ved en realrente på 3 pst i steden for 4 pst, svekkes den generasjonsmessige balansen med om lag 25 mrd kroner.
Størrelsen på yrkesbefolkningen og pensjoneringsatferden.
Også en endring i pensjoneringsatferden vil påvirke statens utgifter og skatteinntekter. Hvis for eksempel antall AFP-pensjonister øker, øker statens utgifter i forbindelse med den statlige finansieringen av denne ordningen. I tillegg blir skatteinntektene lavere som følge av at AFP-pensjonistene har lavere inntekter enn de hadde som yrkesaktive, og fordi det betales lavere skatt på pensjoner enn på arbeidsinntekt. For å dekke opp det reduserte overskuddet i offentlig forvaltning, må skattebelastningen for de yrkesaktive, dagens eller framtidens, økes.
Utvalget har fått utført generasjonsregnskapsberegninger basert på at dagens tilgang til førtidspensjon øker på lang sikt. På tilsvarende måte som i beregningene på mikrosimuleringsmodellen MOSART i vedlegg 2, er det antatt at pensjoneringen forskyves ned mot den nye aldersgrensen, slik at en større andel pensjonerer seg ved lavere alderstrinn enn de ellers ville ha gjort. Ifølge disse beregningene, kan det være nødvendig å øke overskuddet med i størrelsesorden fem mrd kroner i 1999, sammenliknet med budsjettbalansen i det budsjettet som ble framlagt i Nasjonalbudsjettet 1999.
10 Eldre arbeidstakeres motivasjon og mulighet til å stå i arbeid
10.1 Innledning
Siden begynnelsen av 1980-årene er eldres yrkesaktivitet gått markert ned i Norge, se kapittel 4. Denne utviklingen er ikke særnorsk, og i internasjonal sammenheng er yrkesdeltakelsen blant eldre fortsatt høy i Norge. Yrkesfrekvensene for menn i aldersgruppen 64–66 år har falt betydelig i perioden 1980 til 1997, fra 66 pst til 40 pst. For aldersgruppen 60–63 år har yrkesfrekvensen i samme periode endret seg mindre, og økt noe fra 1993. Den reduserte yrkesdeltakelsen for eldre må ses i lys av blant annet økt uførepensjonering og en tiltakende bruk av AFP-ordningen etter 1988. For eldre kvinner har yrkesfrekvensene økt noe i samme periode, men dette skyldes at kvinners yrkesdeltakelse generelt har økt.
Det er flere faktorer som ligger til grunn for den økte tilbøyeligheten til tidlipensjonering, herunder helse- og slitasjeproblemer etter mange år i arbeidslivet, forhold i arbeidssituasjonen, holdninger til eldre og ønsker om mer fritid. Samtidig har det vokst fram tidligpensjonsordninger som har gitt eldre arbeidstakere mulighet til å gå av tidlig. Vurderingen av eldres muligheter og motivasjon til å stå lenger i arbeid må derfor omfatte et betydelig antall faktorer som enkeltvis og samlet påvirker pensjoneringsbeslutningen.
I avsnitt 10.2 ser en nærmere på eldre som arbeidskraftressurs. Forskning om aldringsprosesser (gerontologi) gir få holdepunkter for at eldre opp til 70 års alder skal ha problemer med å mestre arbeidssituasjonen som følge av alderssvekkelse og alderssykdommer. Enkelte egenskaper kan svekkes med alderen, men dette kan kompenseres på andre områder gjennom blant annet erfaring.
Etter en nærmere presentasjon av kompensasjonsnivået i ulike pensjonsordninger i Norge, drøftes betydningen av økonomiske forhold for pensjoneringsatferden i avsnitt 10.3.
Nasjonale og internasjonal studier som er referert i avsnitt 10.4, peker mot en generell tendens til at eldre blir diskriminert i arbeidslivet, både ved nyansettelser, forfremmelser og opplæringstilbud.
I avsnitt 10.5 redegjøres det for offentlige ordninger og tiltak med sikte på å motivere og gi mulighet til å stå i arbeid, herunder arbeidsmarkedspolitikk, rehabilitering og tiltak for redusert sykefravær og uførepensjonering.
Internasjonalisering, økt konkurranse og den teknologiske utviklingen peker i retning av økt omstilling og dermed behov for en arbeidsstyrke som både er fleksibel og i stand til å skaffe seg ny kompetanse gjennom hele yrkeskarrieren. Nasjonale og internasjonale erfaringer og forskningsresultater tyder på at mange eldre har et kunnskaps- og kompetanseproblem. Etter- og videreutdanning er nærmere omtalt i avsnitt 10.6.
I avsnitt 10.7 gjengis og drøftes hovedtrekk i Fafo-rapporten «Mellom arbeid og pensjon», mens fleksibilitet mellom arbeid og pensjon mot slutten av yrkeskarrieren drøftes i avsnitt 10.8.
10.2 Eldre som arbeidskraftressurs
10.2.1 Litt om grunnlaget for tidligavgang
Det har de siste årene blitt fokusert stadig mer på at enkelte arbeidstakere kan ha behov for å trekke seg ut av arbeidsmarkedet før oppnådd pensjonsalder. At eldre arbeidstakere trekker seg ut av arbeidslivet har også til en viss grad blitt betraktet som en fordel for arbeidsgiverne, ut fra en antagelse om at eldre er mindre effektiv arbeidskraft enn yngre. I dette avsnittet vil vi se nærmere på noen sammenhenger mellom alder og evner som kan påvirke eldres tilpasning i arbeidslivet.
Vanlige argumenter for at eldre arbeidstakere er mindre attraktive enn yngre, er at de er mindre produktive, mindre villige eller i stand til å lære nye ting og at de har kortere forventet gjenværende tid i arbeidsforholdet, slik at det framstår som lite lønnsomt for arbeidsgiveren å tilby opplæring eller videreutdanning. Ulike studier tyder imidlertid på man ikke på generelt grunnlag kan si at eldre er mindre produktive enn yngre. I en oppsummering av resultater fra ulike studier utført av gerontologer og psykologer, konkluderes det i en artikkel av Warr (1994) med at det ikke er en signifikant forskjell i jobbprestasjoner mellom eldre og yngre arbeidstakere, og at forskjellene mellom individer innenfor samme aldersgruppe i de aller fleste tilfeller er betydelig større enn forskjellene mellom individer i ulike aldersgrupper.
I det følgende drøftes noen sentrale momenter for å belyse i hvilken grad aldringsprosess og alderssykdommer har betydning for pensjoneringsspørsmålet, se også vedlegg 3.
Det er i hovedsak tre ulike forhold ved aldersprosessen som kan ha betydning når det gjelder eldres funksjon i arbeidslivet – fysiske, mentale og sosiale forhold.
Den fysiske yteevnen er på topp ved 20-års alder, og reduseres deretter gradvis med alderen. I hvilken grad og med hvilken hastighet dette skjer, er avhengig av mange ulike faktorer. Ikke minst er livsstil av betydning, herunder fysisk aktivitet, røyking, kosthold osv. Som eksempel kan nevnes at en godt trent 65-åring har samme fysiske yteevne som en gjennomsnittlig 25-åring, målt ved maksimalt oksygenopptak.
Videre fører den fysiske aldringsprosessen til en gradvis reduksjon i kapasitet i de fleste organer i kroppen. Imidlertid er vi fra fødsel av utstyrt med en så betydelig reservekapasitet at det for individer som ikke rammes av sykdom, vil være stor nok kapasitet igjen til å opprettholde normal funksjon langt ut over de aldersnivå man snakker om i pensjoneringssammenheng.
Sammenfattende kan det derfor ikke sies at det finnes klare grenser for når en person fysisk sett er for gammel til å utføre en bestemt jobb. Dette vil avgjøres av individuelle forhold i relasjon til de krav til fysisk yteevne den aktuelle jobben stiller.
Når det gjelder den mentale aldringsprosessen, kan det forenklet sies at eldre blir langsommere, men ikke dummere. Det vil ofte være slik at eldre har et noe redusert arbeidstempo og trenger lenger tid til å tilegne seg ny kunnskap. Dette kan selvsagt by på problemer i en arbeidssituasjon preget av store mengder ny informasjon og raske teknologiske endringer. På den andre siden vil dette ofte kompenseres av den erfaring, omtanke og grundighet som eldre har i større grad enn yngre. Det er grunn til å tro at samarbeids- og kommunikasjonsevner samt evne til å vurdere ny informasjon på grunnlag av tidligere erfaringer, er positive fortrinn hos mange eldre arbeidstakere.
Det faktum at evnen til å lære hurtig svekkes med alderen, understreker behovet for å tilrettelegge kurs og opplæringsprogrammer spesielt for eldre arbeidstakere. Videre er det dokumentert at lese- og skriveferdighetene generelt svekkes dersom de ikke holdes ved like. Også av denne grunn er det derfor viktig å opprettholde stimulerende og individuelt utviklende arbeidsmiljø gjennom hele yrkeskarrieren.
Sosiale forhold har stor betydning gjennom hele livsløpet, og har således også innflytelse på aldringsprosessen. Negative holdninger til eldre i arbeidsmarkedet vil påvirke sosiale relasjoner og bidra til et svekket selvbilde hos eldre. Dette vil føre til redusert trivsel på arbeidsplassen, som igjen kan bidra til tilbaketrekking fra arbeidslivet.
Å bidra til at eldre arbeidstakere føler personlig tilfredsstillelse av arbeidet – «work satisfaction» – og at det de gjør blir satt pris på – «work gratification» – er faktorer som antas å ha stor betydning for å få eldre arbeidstakere til å velge fortsatt arbeid framfor pensjon.
Som når det gjelder fysisk aldring, kan det sammenfattes også når det gjelder mental og sosial aldring at det ikke finnes noen klare grenser for når et individ er for gammelt til å kunne utføre meningsfylt arbeid.
Et spørsmål til drøfting kan imidlertid være om det er lønnsomt for en arbeidsgiver å oppdatere eldres kunnskaper. Et argument for at det nødvendigvis ikke er lønnsomt er at jo eldre en person er, desto kortere er det igjen til vedkommende pensjoneres. Dette fører til en kort høstingsperiode for bedriften av de ressursene som benyttes til opplæringen av eldre. Dette argumentet bygger imidlertid på at eldre personer har kortere forventet gjenværende ansettelsestid enn yngre. Tall fra OECD tyder på at dette ikke nødvendigvis er tilfelle, noe som skyldes at det er større turnover blant yngre arbeidstakere enn blant eldre. Casey (1997) viser til studier som indikererer at bedrifter som tilbyr opplæring til både yngre og eldre arbeidstakere, opplever at den siste gruppen blir værende i bedriften lengre enn den første. Som følge av teknologiske endringer og ny kunnskap, reduseres også stadig den tiden det tar før en arbeidstakers kompetanse er foreldet, slik at ny opplæring i alle tilfeller vil være nødvendig etter noen år. Dette trekker også i retning av at høy alder i seg selv ikke bør være en hindring for å satse på opplæringstiltak.
10.2.2 Begrepene sykdom og helse
Med sykdom forstås vanligvis at det foreligger en tilstand hvor en person tilfredsstiller nærmere definerte kriterier for en eller annen fysisk eller psykisk diagnose som representerer et avvik fra det som er normalt. Det å være syk er ikke noe entydig, men gir rom for ulike oppfatninger. I praksis er det legene som fastslår sykdom ved at de er gitt muligheten for å stille diagnose og foreskrive behandling. Det skjer imidlertid en kontinuerlig påvirkning fra samfunnet til legene om hva som er sykdom.
Når det gjelder helse er det gitt en rekke definisjoner. Ett ytterpunkt kan være at «du er ikke dårligere enn du føler deg», men mer vanlig er å bruke Verdens helseorganisasjons (WHO) definisjon hvor det heter at «med helse må forstås at et menneske ikke bare er fri for sykdom og svakhet, men at det nyter fullstendig fysisk, psykisk og sosialt velvære». Denne definisjonen kan sies å utgjøre et annet ytterpunkt. Verdens helseorganisasjons helsebegrep er imidlertid både en definisjon og en målbeskrivelse. Som operativ definisjon på helse er den blitt kritisert blant annet fordi helse virker uoppnåelig. Peter Hjort (se vedlegg 3) definerer helse som overskudd i forhold til hverdagens krav, og ikke som fravær fra sykdom.
I vanlig tale sidestilles ofte sykdom og helsesvekkelse. Begrepsmessig vil ikke dette nødvendigvis være helt korrekt. I NOU 1990: 23 Sykelønnsordningen, drøftes begrepene helse og sykdom inngående. Her heter det at sykdom bare vil være en av flere former for helsesvekkelse. Fysisk, psykisk og sosialt velvære er forutsetninger for helse, mens mangel på denne typen velvære ikke er ensbetydende med sykdom. Sagt på en annen måte kan man være frisk selv om man har fysiske, psykiske og sosiale plager eller problemer. I tilknytning til eldre kan dette også ses på som forskjellen mellom gerontologien, som er vitenskapen om den normale aldersprosessen, og geriatrien som er vitenskapen om alderssykdommene. Aldersprosessen opplever alle, mens alderssykdommer rammer den enkelte.
Spørsmålet om det foreligger sykdom eller ikke, avgjøres i medisinsk praksis på bakgrunn av objektive funn og subjektive symptomer. I trygdesammenheng er det imidlertid behov for mest mulig presis definisjon av begrepet sykdom for å kunne avgjøre om det foreligger rett til sykepenger. Etter folketrygdloven ytes det sykepenger «…til den som er arbeidsufør på grunn av en funksjonsnedsettelse som klart skyldes sykdom eller skade. Arbeidsuførhet som skyldes sosiale eller økonomiske problemer og lignende, gir ikke rett til sykepenger».
Arbeidsuførhet på grunn av sykdom er et av de sentrale vilkårene for rett til sykepenger. For å få rett til sykepenger er det ikke tilstrekkelig at medlemmet er arbeidsufør. Funksjonsnedsettelsen må klart skyldes sykdom eller skade. Blant annet som følge av sykelønnsutvalgets innstilling er det presisert at arbeidsuførhet klart skal skyldes sykdom, og at arbeidsuførhet som skyldes sosiale, økonomiske eller andre livsproblemer ikke gir rett til sykepenger.
Helsesvikt er altså et langt videre begrep enn sykdom. I trygdesammenheng er sykdom objektivt konstaterbart – i hvert fall når det gjelder yrkesaktive. For det første foreligger det en medisinsk vurdering, og legen har skrevet ut en sykemelding dersom sykdommen er av en viss varighet. Videre er det registrert et sykefravær og det er utbetalt sykepenger. Helsesvikt er en mer subjektiv oppfatning av egen tilstand, som ikke på tilsvarende måte trenger å føre til noe objektivt registrerbart. Det er derfor ikke uproblematisk å drøfte sammenhengen mellom helsetilstand og tendensen til tidligpensjonering fra arbeidslivet. Problemer knyttet til beskrivelse av utvikling i helsetilstand er drøftet nærmere i avsnitt 4.5.
10.2.3 Tidligpensjonering og helsetilstanden
Generelt sett må det kunne antas at god helse er en viktig forutsetning for å kunne stå lenge i arbeidslivet. Det kan derfor forventes at de som går av som tidligpensjonister har dårligere helse enn de som står i arbeid fram til folketrygdens pensjonsalder på 67 år eller lengre. Tilsvarende kan det forventes at de som utsetter pensjoneringen vil ha en bedre helsetilstand enn de som går av tidligere. Med tidligpensjonister menes her alle former for pensjonering fra arbeidslivet før folketrygdens ordinære pensjonsalder på 67 år, også uførepensjonister.
Mange sykdommer, herunder hjertesykdommer og kreft, opptrer i økende grad med alder. Andre diagnoser, som for eksempel psykiske lidelser og muskel- og skjelettsykdommer, opptrer jevnere fordelt over hele livsløpet. Noen sykdommer opptrer først og fremst i alderdommen og betegnes derfor som alderssykdommer. Dette gjelder blant annet aldersdemens, slag og parkinsonisme. Når det gjelder spørsmålet om pensjonering, er det viktig å være klar over at forekomsten av disse alderssykdommene først begynner å stige kraftig etter 80-års alder, og at de derfor har liten eller ingen betydning for diskusjoner om pensjoneringsalder.
Svekket helse er den viktigste årsaken til at arbeidstakere går ut av arbeidslivet før ordinær pensjonsalder. Om lag 90 000 personer i aldersgruppen 60 til 67 år er i dag uførepensjonert. Dette tilsvarer noe over 1/3 av denne aldersgruppen. I aldersgruppen 50 til 59 år er om lag 87 000 uførepensjonister. Muskel- og skjelettlidelser og mentale lidelser er de klart vanligste diagnosene for uførepensjonerte, både blant uførepensjonerte menn og kvinner. Totalt sett utgjorde diagnosene mentale lidelser 29,1 pst og muskel- og skjelettsykdommer 32,7 pst av samtlige uførepensjonstilfeller per 31. desember 1997. For nye uførepensjonister i 1997 utgjorde de samme diagnosene henholdsvis 23,0 og 34,4 pst. Andelen med sykdommer i muskel- og skjelettsystemet øker med alderen, mens andelen med mentale lidelser avtar.
Til sammenlikning var det ved utgangen av 1997 om lag 14 000 personer i aldersgruppen 63 til 67 år som mottok avtalefestet pensjon. I tillegg er det omtrent like mange som mottar andre former for førtidspensjon. Når det gjelder tilgangen i de forskjellige tidligpensjonsordningene, er det imidlertid i aldersgruppen 64 til 66 år i 1996 omtrent dobbelt så mange som tok ut AFP i forhold til nye uførepensjonister. Dette er nærmere omtalt i kapittel 6.
Som nevnt er det ikke uproblematisk å knytte tendensen til tidligpensjonering til helsebegrepet. For å vurdere sammenhengen mellom helse og avgangsalder kan imidlertid tendensen til sykefravær før pensjoneringstidspunktet være en indikator. Trygdeetatens sykepengeregister kan i denne sammenhengen være et nyttig hjelpemiddel. Registeret omfatter imidlertid ikke arbeidstakere i statlig sektor. I tillegg registreres bare sykefravær utover 14 dager, slik at korttidsfravær faller utenfor.
Tabell 10.1 viser sykefraværet til nye pensjonister i alderen 60 til 69 år i 1995 fordelt etter om de er registrert som mottakere av sykepenger i årene 1990–1995.
Tabell 10.1 Nye pensjonister i 1995 (60–69 år) innen ulike pensjonsordninger fordelt etter om de er registrert som mottaker av sykepenger i årene 1990–1995. Andeler i prosent
| Pensjonsordning | Tilgang i 1995 | Mottakere av sykepenger ved sykefravær ut over 14 dager som andel av nye pensjonstilfeller | Uten sykepenger | ||||
|---|---|---|---|---|---|---|---|
| 1990 | 1991 | 1992 | 1993 | 1994 | |||
| Hel uførepensjon (60–66 år) | 6 913 | 29,7 | 32,3 | 37,2 | 48,9 | 71,5 | 13,9 |
| AFP privat | 2 007 | 18,9 | 16,8 | 19,5 | 20,7 | 25,0 | 43,4 |
| AFP kommune | 1 274 | 22,9 | 22,6 | 21,9 | 23,5 | 30,7 | 35,9 |
| Særaldersgrense kommune | 328 | 22,9 | 25,3 | 26,5 | 29,3 | 41,8 | 30,5 |
| Sjømanns- pensjon | 1 118 | 14,7 | 17,5 | 18,2 | 19,9 | 20,8 | 50,0 |
| Sum tidligpensjon | 11 640 | 25,4 | 27,0 | 30,4 | 37,9 | 53,3 | 25,3 |
| Hel førstegangsalderspensjon | 10 085 | 12,8 | 12,8 | 11,6 | 11,5 | 12,5 | 65,0 |
| Ventere | 2 724 | 10,2 | 10,2 | 10,6 | 10,4 | 11,9 | 70,6 |
Kilde: Rikstrygdeverket
Tabell 10.1 viser en klar tendens til at de som går av med uførepensjon eller velger å gå av med førtidspensjon før fylte 67 år, har hatt et høyere sykefravær i årene før pensjoneringstidspunktet enn de som går av med alderspensjon ved fylte 67 år eller som venter med å ta ut pensjon til etter fylte 67 år. Hele 71,5 pst av de som ble uførepensjonert i aldersgruppen 60–66 år i 1995 var sykmeldt utover 14 dager året før. For personer med særaldersgrense i kommunene var andelen nær 42 pst. Dette skyldes nok i stor grad den høye andelen kvinnelig helse- og omsorgspersonell i kommunesektoren. Denne yrkesgruppen har et gjennomsnittlig høyt sykefravær. For de andre tidligpensjonistene var det registrerte sykefraværet lavere, men likevel høyere enn for alderpensjonister som gikk av ved fylte 67 år og ventere. Forskjellen i sykefravær er liten mellom de som velger å utsette pensjoneringstidspunktet og de som går av ved 67 år.
For øvrig øker andelen med sykefravær sterkt fram mot pensjonering for uførepensjonistene, mens denne andelen bare er svakt økende for andre tidligpensjonister. AFP-pensjonister i kommunal sektor utgjør et unntak, med forholdsvis markert økning året før overgang til AFP. For ordinære alderspensjonister og ventere er andelen med registrert sykefravær mer eller mindre uforandret fram mot pensjoneringstidspunktet.
Bruk av trygdeetatens sykepengeregistre for å vurdere sammenhengen mellom helse og avgangsalder synes altså å kunne støtte opp under antakelsen om at mange av dem som går av før fylte 67 år gjør dette delvis av helsemessige grunner og at de som venter med å ta ut pensjon har gode helsemessige forutsetninger for nettopp å kunne arbeide lenger.
10.3 Økonomiske forhold
10.3.1 Innledning
Overgang fra yrkesaktivitet til pensjonstilværelse innebærer at arbeidsinntekt erstattes med pensjonsinntekt. Pensjonsbeslutningen vil derfor påvirkes av forholdet mellom de inntektene det er mulig å oppnå som pensjonist i forhold til arbeidsinntekten. Med en forholdsvis høy pensjonsinntekt i forhold til arbeidsinntekt, vil det isolert sett være mer attraktivt å gå av med pensjon, enn om overgangen til pensjonisttilværelsen innebærer en betydelig inntektsreduksjon. Forholdet mellom pensjonsinntekt og lønnsinntekt uttrykkes med kompensasjonsnivået. Ettersom det er den samlede disponible inntekten som påvirker pensjoneringsbeslutningen, må det også tas hensyn til andre økonomiske forhold, som f eks tæring på oppspart formue.
I kapittel 12 er det gitt en prinsipiell tilnærming til pensjoneringsbeslutninger med bakgrunn i økonomisk teori. I dette avsnittet vurderes økonomiske forhold i pensjonsordninger i Norge som kan ha betydning for når den enkelte ønsker å gå fra yrkesaktivitet til pensjon. Det er komplisert å gi en fullstendig oversikt over de økonomiske konsekvensene ved overgang fra yrkesaktivitet til pensjon, fordi det er mange forskjellige pensjonsordninger med blant annet ulikt pensjonsgrunnlag og ulike ytelsesnivåer. Pensjonsordningene kan også virke i kombinasjon. Dessuten endrer regelverket for de ulike ordningene seg over tid. Ettersom arbeidsinntekt og pensjonsinntekt skattlegges forskjellig, bidrar skattereglene til å komplisere bildet ytterligere. Det er også forskjellige skatteregler for ulike pensjonsytelser.
I kapittel 5 er det er det gjennomført en del beregninger av kompensasjonsnivået i ulike pensjonsordninger for arbeidstakere både i privat og i offentlig sektor. I punkt 10.3.2 nedenfor foretas det en nærmere sammenligning mellom ytelser fra de aktuelle pensjonsordningene både før og etter skatt. Beregningene er basert på trygde- og skatteregler for 1998. De kan brukes som grunnlag for å vise hvordan dagens regelverk faktisk fungerer, og som utgangspunkt for å vurdere mulige justeringer i de aktuelle ordningene.
Ved vurderinger knyttet til kompensasjonsnivået vil hensynet til inntektsnedgangen som følge av overgang fra yrkesaktivitet til pensjon være sentral. Vurderinger som innebærer en sammenligning av inntekt umiddelbart før og etter pensjonering, har en kortere horisont enn pensjonsformuesbetrakninger som er nærmere beskrevet i kapittel 8 og 12. I vurderingen av å gå fra arbeid til pensjon er det grunn til å tro at den enkelte vil ta hensyn til forventet utvikling over en lengre periode. Faktorer som forventet gjenværende levetid, utsiktene til framtidig lønnsutvikling og regulering av pensjonsytelsen i forhold til lønnsutviklingen for øvrig, vil ha betydning for de samlede økonomiske virkningene av å gå fra yrkesaktivitet til pensjon. Slike langsiktige vurderinger er nærmere knyttet til pensjonsformuen, mens beregninger av kompensasjonsgrader i hovedsak er knyttet til virkningene av å gå fra yrkesaktivitet til pensjon på et bestemt tidspunkt.
Etter en gjennomgang av kompensasjonsnivået i tidligpensjonsordninger i Norge i neste avsnitt, gis det i punkt 10.3.3 en kortfattet oppsummering av nyere norske studier hvor betydningen av kompensasjonsnivået for pensjoneringsatferd er vurdert.
10.3.2 Nærmere om kompensasjonsnivået i ulike pensjonsordninger
Kompensasjonsnivået i folketrygden er relativt høyt for lave lønnsinntekter. Ved helt lave inntektsnivåer kan kompensasjonsnivået faktisk overstige 100 pst av tidligere inntekt. Dette har sammenheng med at folketrygden gir alle en minimumssikring uavhengig av tidligere inntekt. Som følge av økt minstepensjon fra 1. mai 1998, har denne fordelingseffekten blitt ytterligere forsterket. Pensjonsopptjeningen i folketrygden bidrar dessuten til en omfordeling ved at det gis et høyere kompensasjonsnivå ved lavere inntekter enn ved høyere inntekter. At kompensasjonsnivået faller for økende inntekter, skyldes dels fordelingselementer i dagens system, og dels at det har skjedd regelverksendringer. Alderspensjon i folketrygden utbetales med en fast grunnpensjon tilsvarende grunnbeløpet i folketrygden (1 G) og en tilleggspensjon som utgjør 42 pst av inntekten over grunnbeløpet. Jo lavere tilleggspensjonsprosent, desto sterkere blir omfordelingselementet. I seg selv sikrer dette en omfordeling ved at grunnpensjonen utgjør en høyere andel jo lavere pensjonsnivået er. Fordelingselementet forsterkes ytterligere ved at bare en tredel av inntekten mellom 6 G og 12 G er pensjonsgivende fra 1. januar 1992, da knekkpunktet for pensjonsopptjening ble redusert fra 8 G til 6 G. Inntekt over 12 G gir ikke pensjonsopptjening. På grunn av besteårsregelen vil de pensjonsmessige konsekvensene av at knekkpunktet er redusert fra 8 G til 6 G og at tilleggspensjonsprosenten er redusert fra 45 til 42 få gradvis virkning. For personer som har jevn inntekt i yrkeskarrieren, vil det ta flere år før regelendringene får full virkning, mens det for personer med kraftig lønnsvekst vil kunne ta noe kortere tid. Figur 10.1 illustrerer at kompensasjonsnivået faller gradvis for høyere inntekter. I diagrammet ligger knekkpunktet på om lag 8 ganger folketrygdens grunnbeløp. Dette skyldes forutsetningene om at pensjoneringstidspunktet er satt til 1. januar 1999 og at vedkommende pensjonist har hatt en jevn inntekt i løpet av hele yrkeskarrieren.
Når det gjelder AFP i privat sektor og den folketrygdberegnede delen av AFP i offentlig sektor, gis det lavere kompensasjon ved lavere inntektsnivåer enn det som er tilfelle i folketrygden. Dette har sammenheng med regelen om at pensjonen ikke skal overstige 70 pst av tidligere inntekt. Siden AFP ellers beregnes som en folketrygdpensjon, er kompensasjonsprofilen svært lik folketrygdens, men på grunn av AFP-tillegget er ytelsesnivået i AFP noe høyere. I diagrammet er AFP-tillegget i Fellesordningen LO/NHO på 950 kroner per måned lagt til grunn. I de andre AFP-ordningene i privat sektor og i offentlig sektor er AFP-tillegget satt til 1 700 kroner per måned, slik at brutto kompensasjonsnivå i disse ordningene ligger noe over det som er tilfellet for Fellesordningen LO/NHO. AFP-tillegget i LO/NHO-ordningen er imidlertid skattefritt, mens det høyere AFP-tillegget i de andre ordningene er skattepliktig.
AFP-tillegget i Fellesordningen LO/NHO er en del av den såkalte sluttvederlagsordningen. Sluttvederlag i form av et engangsbeløp gis også til arbeidstakere som innvilges uførepensjon, eller som må slutte i sitt arbeid på grunn av kronisk sykdom. For å ha rett til sluttvederlag må arbeidstakeren ha fylt 50 år, men ikke 67 år ved sluttdatoen. Sluttvederlaget varierer mellom 11 400 kroner og 57 000 kroner.
For de som mottar gavepensjon på toppen av AFP vil kompensasjonsgraden kunne bli vesentlig høyere. Ofte er bruken av gavepensjon utformet slik at det sikrer en minimumskompensasjon, for eksempel 80 pst av lønnen. En nærmere beskrivelse av utbredelsen og bruken av gavepensjon er gitt i punkt 11.2.3.
I de viktigste offentlige tjenestepensjonsordningene er kompensasjonsnivået før skatt det samme på alle inntektsnivåer opp til en sluttlønn på 8 G. Kompensasjonsnivået er imidlertid synkende for inntekter over 8 G. Dette skyldes at bare 1/3 av inntekter mellom 8 G og 12 G er pensjonsgivende.
I figur 10.1 illustreres kompensasjonsnivået før skatt for alderspensjon i folketrygden, AFP (Fellesordningen LO/NHO) og offentlige tjenestepensjonsordninger. Det er lagt til grunn full opptjening av pensjon i alle ordningene og at det tas ut pensjon fra 1. januar 1999. Ved manglende opptjening vil kompensasjonsnivået nødvendigvis bli noe lavere enn det som er illustrert i diagrammet. Det er videre lagt til grunn et skattefritt AFP-tillegg på 11 400 kroner per år.
Det er også forutsatt at pensjonisten er enslig. For alderspensjon fra folketrygden og for AFP innebærer dette at det ytes grunnpensjon tilsvarende folketrygdens grunnbeløp (45 370 kroner fra 1. mai 1998). For samboende og gifte ytes det imidlertid lavere grunnpensjon på ¾ av grunnbeløpet, for tiden tilsvarende 11 340 kroner mindre enn for enslige.

Figur 10.1 Kompensasjonsnivået før skatt for alderspensjon i folketrygden, AFP (Fellesordningen LO/NHO) og offentlige tjenestepensjonsordninger.
Figur 10.1 viser tydelig at folketrygden på grunn av minstesikringsnivået, har et noe høyere kompensasjonsnivå ved lavere inntekter enn både AFP og tjenestepensjon. Diagrammet illustrerer videre at AFP har et høyere kompensasjonsnivå enn folketrygden fra et tidligere inntektsnivå i underkant av 2,5 G. Ved inntektsnivåer opptil 3,5 G har AFP et noe høyere kompensasjonsnivå enn tjenestepensjon. Ellers viser diagrammet at tjenestepensjon gir bedre kompensasjon ved høyere inntektsnivåer enn de to andre pensjonsordningene.
I offentlig sektor vil AFP-pensjonister som er 65 eller 66 år gamle vanligvis få pensjonen beregnet som tjenestepensjon, noe som kan (avhengig av opptjeningstid) medføre bedre dekning enn i privat sektor for midlere og høyere inntekter. For AFP-pensjonister i offentlig sektor som er 62, 63 eller 64 år gamle gjelder i hovedsak tilsvarende ordning som i privat sektor.
I 1997 var gjennomsnittlig alderspensjon i folketrygden på om lag 86 000 kroner. For menn var gjennomsnittet på 102 100 kroner og for kvinner var gjennomsnittet på 74 000 kroner. I 1998 vil ytelsene ventelig bli noe høyere, blant annet som følge av økt minstepensjon. For enslige utgjør den nye årlige minstepensjonen 81 360 kroner (fra 1. mai 1998). For gifte og samboende utgjør minstepensjonen 70 020 kroner.
Til sammenlikning var gjennomsnittlig ytelse i AFP-ordningen i privat sektor på 113 000 kroner, 124 800 kroner for menn og 80 595 kroner for kvinner. I tillegg kommer det skattefrie AFP-tillegget på 11 400 kroner per år i Fellesordningen LO/NHO og det skattepliktige AFP-tillegget på 20 400 kroner per år i de to andre AFP-ordningene i privat sektor. I statlig sektor var gjennomsnittlig ytelse av folketrygdberegnet AFP (for 62-, 63- og 64-åringer) på 113 300 kroner, 125 000 kroner for menn og 94 500 kroner for kvinner. I kommunal sektor var gjennomsnittlig ytelse av folketrygdberegnet AFP noe lavere enn i staten. Den gjennomsnittlige ytelsen i 1997 var på 84 720 kroner, for menn på 116 245 kroner og for kvinner på 69 564 kroner. I tillegg kommer det skattepliktige AFP tillegget på 20 400 kroner både i statlig og kommunal sektor.
Alderspensjon fra Statens Pensjonskasse var i 1997 før samordning gjennomsnittlig på 119 905 kroner. For menn var gjennomsnittet på 143 182 kroner og 84 058 for kvinner. Alderspensjon fra de kommunale tjenestepensjonsordningene var før samordning gjennomsnittlig på 70 413 kroner. For menn var gjennomsnittet på 106 597 kroner og for kvinner var det på 58 349 kroner.
Som følge av at inntekt fra de ulike pensjonsordningene (AFP, folketrygd og tjenestepensjon i staten) behandles forskjellig skattemessig, blir det relativt komplisert å sammenlikne ytelsesnivået i de tre aktuelle pensjonsordningene når det skal tas hensyn til skatt.
Det betales lav trygdeavgift (3 pst) av alle pensjonsytelser.
AFP-tillegget i Fellesordningen LO/NHO på 11 400 kroner per år er skattefritt, mens AFP-tillegget i de andre AFP-ordningene på 20 400 kroner per år er skattepliktig. Det skattepliktige AFP-tillegget er tilpasset det skattefrie tillegget ved at det etter skatt (i skattebegrensningsområdet) blir tilnærmet likt det skattefrie AFP-tillegget.
Alders- og uførepensjonister i folketrygden har rett til særfradrag i inntekten. Fradraget er på 12 000 kroner per år for alderspensjonister og 17 600 kroner per år for uførepensjonister. AFP-pensjonister har ikke rett til dette særfradraget. Det samme gjelder tjenestepensjonister som ikke også mottar alders- eller uførepensjon fra folketrygden.
AFP-pensjonister og alders- og uførepensjonister i folketrygden er omfattet av den såkalte skattebegrensningsregelen. Tjenestepensjonister omfattes ikke av denne regelen dersom de ikke også mottar alders- eller uførepensjon. Skattebegrensningsregelen medfører at enslige pensjonister uten andre inntekter enn pensjon, uten nettoformue over 200 000 kroner og uten andre fradrag enn standardfradrag, kan ha opptil 87 125 kroner i pensjon i 1998 uten å betale skatt. Det tilsvarende nivået for pensjonistektepar er 135 625 kroner i 1998. Skattebegrensningsregelen er nærmere beskrevet i kapittel 5.
Det at arbeidsinntekt og pensjonsinntekt skattlegges forskjellig, understreker betydningen av å sammenlikne kompensasjonsnivået også etter skatt. Ulik skattemessig behandling av pensjonsinntekt fra ulike pensjonsordninger forsterker dette. Det er inntekten etter skatt som er det interessante sammenlikningsgrunnlaget for den enkelte i vurderingen av å gå fra yrkesaktivitet til pensjon. Så lenge pensjonsinntekter er mildere beskattet enn arbeidsinntekt, vil kompensasjonsnivået før skatt gi et feil bilde av hvor stor andel av den tidligere disponible inntekten den enkelte sitter igjen med etter pensjonering.

Figur 10.2 Kompensasjonsnivået etter skatt for alderspensjon i folketrygden, AFP (Fellesordningen LO/NHO) og i offentlige tjenestepensjonsordninger.
I figur 10.2 er det tatt utgangspunkt i alderspensjon i folketrygden, pensjon fra en offentlig tjenestepensjonsordning før fylte 67 år og AFP i Fellesordningen LO/NHO. Som forventet er kompensasjonsnivået etter skatt høyere enn kompensasjonsnivået før skatt for alle ordningene. Beregningene av kompensasjonsnivået etter skatt endrer heller ikke på hovedresultatene fra figur 10.1 om kompensasjonsnivået før skatt. Tjenestepensjon gir høyere kompensasjonsnivå for høyere inntekter, mens folketrygden fortsatt har høyest kompensasjonsnivå for de laveste inntektene. Beregningene av kompensasjonsnivået etter skatt illustrerer imidlertid at både AFP og folketrygdpensjon skattlegges etter gunstigere regler enn tjenestepensjon. Nettoinntekten som pensjonist vil være høyere med folketrygdpensjon opp til et tidligere inntektsnivå på rundt 4 G. Før skatt ligger krysningspunktet for tjenestepensjon og folketrygdpensjon på en tidligere inntekt noe under 3 G. Årsaken til at krysningspunktet har flyttet seg, er at folketrygdpensjon gir særfradrag og omfattes av skattebegrensningsregelen.
AFP vil gi høyere kompensasjon etter skatt enn tjenestepensjon opp til et tidligere inntektsnivå rundt 5 G. Så lenge det ikke gis særfradrag i tilknytning til AFP-pensjon, er det skattebegrensningsregelen som er hovedforklaringen på at krysningspunktet forskyver seg. Figur 10.2 illustrerer også virkningen av begrensningen på 70 pst bruttokompensasjon i AFP kombinert med effekten av skattebegrensningsregelen. Kompensasjonsnivået etter skatt vil øke for AFP-pensjonister med tidligere inntekter opp mot om lag 3 G. Dette skyldes at begrensningen på 70 pst bruttokompensasjon innebærer at alle med lave inntekter vil komme inn under skattebegrensningsregelen, slik at det ikke betales skatt på pensjonsinntekter opp til om lag 2 G. Deretter er det en effektiv marginalskatt på 44 pst. Uten begrensningen på 70 pst i forhold til tidligere inntekt ville kompensasjonsnivået etter skatt vært mer i tråd med nivået i folketrygden også for lavere inntekter.
Boks 10.1 Skatt på inntekt fra ulike inntekskilder (1998-regler)
| Ved et inntektsnivå på 100 000 kroner skal det bli betalt skatt som følger: | |
|---|---|
| Arbeidsinntekt | 23 200 kroner |
| Alderspensjon fra folketrygden | 5 665 kroner |
| AFP Fellesordningen LO/NHO | 605 kroner |
| AFP offentlig sektor | 5 665 kroner |
| Tjenestepensjon før fylte 67 år | 18 400 kroner |
| Ved et inntektsnivå på 125 000 kroner skal det bli betalt skatt som følger: | |
| Arbeidsinntekt | 30 750 kroner |
| Alderspensjon fra folketrygden | 16 665 kroner |
| AFP Fellesordningen LO/NHO | 11 606 kroner |
| AFP offentlig sektor | 16 665 kroner |
| Tjenestepensjon før fylte 67 år | 24 750 kroner |
| Ved et inntektsnivå på 150 000 kroner skal det bli betalt skatt som følger: | |
| Arbeidsinntekt | 38 300 kroner |
| Alderspensjon fra folketrygden | 27 666 kroner |
| AFP Fellesordningen LO/NHO | 22 600 kroner |
| AFP offentlig sektor | 27 666 kroner |
| Tjenestepensjon før fylte 67 år | 31 100 kroner |
| Ved et inntektsnivå på 175 000 kroner skal det bli betalt skatt som følger: | |
| Arbeidsinntekt | 46 522 kroner |
| Alderspensjon fra folketrygden | 34 762 kroner |
| AFP Fellesordningen LO/NHO | 33 715 kroner |
| AFP offentlig sektor | 38 122 kroner |
| Tjenestepensjon før fylte 67 år | 38 122 kroner |
I boks 10.1 er det forutsatt at vedkommende skattyter er ugift, at han eller hun ikke har skattbar formue, andre inntekter eller fradrag utover minstefradraget (bortsett fra et særfradrag for alder på 12 000 kroner ved alderspensjon).
Det må tas i betraktning at de aktuelle pensjonsinntektene i regneeksemplene er avledet fra en arbeidsinntekt på et høyere nivå, se figur 10.1.
Med tjenestepensjon før fylte 67 år menes at vedkommende har gått av med pensjon i forbindelse med en særaldersgrense i tjenestepensjonssystemet. I AFP offentlig sektor kan det som tidligere nevnt ytes tjenestepensjonsberegnet AFP fra fylte 65 år. Tjenestepensjonsberegnet AFP vil bli skattlagt etter de samme reglene som folketrygdberegnet AFP, slik at betegnelsen AFP offentlig sektor inkluderer både tjenestepensjonsberegnet og folketrygdberegnet AFP.
I beregningene er det skattefrie AFP-tillegg på 11 400 kroner per år inkludert i inntekten før skatt når det gjelder AFP Fellesordningen LO/NHO. Det skattepliktige AFP-tillegget på 20 400 kroner i AFP offentlig sektor er også inkludert i inntekten. For øvrig har AFP-ordningen i bank og finansnæringen og AFP-ordningen i NAVO-området også et skattepliktig AFP-tillegg på 20 400 kroner, og vil bli skattlagt etter de samme reglene som AFP offentlig sektor. Det skattefrie og det skattepliktige AFP-tillegget er tilpasset hverandre, slik at det skattepliktige AFP-tillegget etter skatt skal være tilnærmet likt det skattefrie AFP-tillegget. Innenfor det området den såkalte skattebegrensningsregelen gjelder, vil AFP-tilleggene utgjøre nær det samme beløpet. Med en effektiv marginalskatt på 44 pst, utgjør det skattepliktige AFP-tillegget 11 424 kroner etter skatt. Utenfor dette området er marginalskatten lavere, slik at det skattepliktige AFP-tillegget etter skatt overstiger det skattefrie AFP-tillegget. Dette innebærer at skatt på AFP Fellesordningen LO/NHO og AFP offentlig sektor i boks 10.1 kan hevdes ikke å være fullt ut sammenliknbare. Beregningen bør likevel gi et rimelig godt uttrykk for hvordan de ulike pensjonsytelsene skattlegges.
Enslige pensjonister som omfattes av skattereduksjonsregelen, med lavere nettoformue enn 200 000 kroner og som ikke har andre fradrag enn standardfradrag, skal som tidligere nevnt bare betale skatt når inntekten overstiger 87 125 kroner i 1998. Effektiv marginalskatt er 44 pst i skattebegrensningsområdet. I det første eksempelet i boks 10.1 er det lagt til grunn et inntektsnivå på 100 000 kroner. Inntekten til alderspensjonister og pensjonister i AFP offentlig sektor overstiger dette «fribeløpet» med 12 875 kroner, og det skal dermed betales 5 665 kroner i skatt. I det andre og det tredje eksempelet overstiger inntekten «fribeløpet» med 37 875 kroner og 62 875 kroner, og det skal dermed betales henholdsvis 16 665 kroner og 27 666 kroner i skatt. I det fjerde eksempelet er inntekten for alderspensjonistene og AFP-pensjonistene i offentlig sektor for høy til at de kan bli skattlagt etter skattereduksjonsregelen. Det skal da betales skatt etter de ordinære skattereglene. Det vil si 3 pst i trygdeavgift og 28 pst av inntekt over standardfradrag. På grunn av at alderspensjonister i folketrygden har krav på særfradrag, vil AFP-pensjonistene i offentlig sektor måtte betale noe mer i skatt ved høyere inntektsnivåer.
I de tre første eksemplene overstiger inntekten for AFP-pensjonistene i Fellesordningen LO/NHO fribeløpet med henholdsvis 12 875 kroner, 37 875 kroner og 62 875 kroner. Inkludert i inntekten har disse pensjonistene det skattefrie AFP-tillegget på 11 400 kroner. Det innebærer at skattepliktig beløp utgjør 44 pst av henholdsvis 1 475 kroner, 26 475 kroner og 51 475 kroner. Det vil si at skattepliktig beløp for en inntekt på 100 000 kroner er 605 kroner, for en inntekt på 125 000 kroner er skattepliktig beløp på 11 606 kroner, og for en inntekt på 150 000 kroner skal det betales en skatt på 22 600 kroner. I det fjerde eksempelet ligger inntekten over det området hvor skattereduksjonsregelen gjelder, og det skal dermed betales skatt etter de ordinære skattereglene.
Den eneste forskjellen på skatt av arbeidsinntekt og skatt av tjenestepensjon før fylte 67 år, er ulik trygdeavgift. Trygdeavgiften av arbeidsinntekt er på 7,8 pst, mens trygdeavgiften på pensjonsytelser er 3 pst. Når skatt av arbeidsinntekt og tjenestepensjon før fylte 67 år sammenliknes, ser en at differansen i alle eksemplene utgjør 4,8 pst av bruttoinntekten. Når det ytes tjenestepensjon samtidig med alderspensjon fra folketrygden, vil imidlertid pensjonisten ha krav på særfradrag og ha rett til å bli skattlagt etter skattebegrensningsregelen.
Regneeksemplene bekrefter at det skal betales mer skatt for arbeidsinntekt enn for pensjonsinntekt på samme nivå, og at kompensasjonsnivået etter skatt i de ulike pensjonsordningene dermed er høyere enn kompensasjonsnivået før skatt. Dette skyldes først og fremst at trygdeavgiften er høyere på arbeidsinntekt enn på pensjonsinntekt. Dernest at enkelte pensjonsytelser kommer inn under særskilte skatteregler. For lavere pensjonsinntekter har den såkalte skattereduksjonsregelen relativt stor betydning. Ellers viser eksemplene at tjenestepensjon skattlegges noe strengere enn ytelser fra de andre pensjonsordningene.
10.3.3 Kompensasjonsnivåets innvirkning på pensjoneringsatferd i Norge
Mange av de tidligere studiene som er gjennomført for å vurdere hvilke faktorer som har betydning for pensjoneringsatferden i Norge er basert på intervjuundersøkelser. Én slik undersøkelse er nærmere beskrevet i avsnitt 10.7. I dette punktet redegjøres det nærmere for to forholdsvis nye undersøkelser basert på registerdata. Undersøkelser som benytter registerdata baserer seg på observert atferd på et gitt tidspunkt eller over tid og knytter denne atferden opp mot enkelte forhold en i utgangspunktet forventer kan ha innvirkning på pensjoneringsatferden. På denne måten kan en se om det er sammenheng mellom disse forholdene og den faktiske atferden. I intervjuundersøkelser trekkes det slutninger fra individuell oppfatning av disse forholdene (basert på svar fra den enkelte) til observert atferd.
På oppdrag fra utvalget har Stiftelsen for samfunns- og næringslivsforskning (SNF) analysert tidligpensjonering og pensjonsatferd i lys av de økonomiske insentivene i pensjons-, skatte- og overføringssystemet, samt utviklingen i sosiale normer (Thøgersen m fl 1998).
På bakgrunn av en gjennomgang av ulike nordiske studier som tar for seg faktorer som ligger til grunn for valg av vei ut av arbeidsmarkedet, konkluderes det med at mye tyder på at det er forskjeller mellom personlige egenskaper og arbeidsmarkedserfaring til de som blir uførepensjonister og de som benytter andre typer tidligpensjonsordninger. Mens helsetilstand er vesentlig for uførepensjonering, er økonomisk kompensasjonsgrad av betydning for tidligpensjonister. Dette peker mot at de som går over på en tidligpensjonsordning har større valgmuligheter enn de som blir uførepensjonert, noe som også er i tråd med intensjonen med ordningene. Så lenge den enkelte har valgmuligheter blir det også interessant å se nærmere på hvilke faktorer som påvirker individuelle valg.
SNF viser imidlertid til at det er behov for presise analyser for å vurdere forskjeller mellom uførepensjonister og andre tidligpensjonister, samt for å danne et bedre bilde av hvilke elementer som påvirker tidligpensjonering. Som en del av arbeidet har SNF derfor foretatt en empirisk forløpsanalyse av tidligpensjonsatferd i Norge på bakgrunn av data fra Rikstrygdeverkets «MOTIPE» database, se omtale i avsnitt 6.3.
I forløpsanalysen benyttes en rekke forklaringsvariabler knyttet til både økonomiske og andre forhold, herunder kjønn, sivil status, ektefelles hovedaktivitet, næring og tidligere sykefravær, for å se på hva som ligger til grunn for overgang til AFP, uførepensjon og dagpenger.
Undersøkelsen vurderer også om det er systematiske forskjeller mellom dem som forlater arbeidslivet med uførepensjon, i forhold til dem som går av med AFP. Denne delen av undersøkelsen er nærmere beskrevet i kapittel 6.
Utvalget i analysen består av personer som fyller 64 år i perioden november 1993 til juli 1994 og som er i arbeid når de fyller 64 år. Disse personene følges så i 2½ år, det vil si ut 1996 for de som fylte 64 år mot slutten av uttaksperioden. Dette gir et utvalg på vel 6 500 personer, hvorav om lag 70 pst, eller vel 4 600 personer, har rett på AFP dersom de oppfyller de individuelle kravene. Forløpsanalysen viser at etter 2½ år er over 60 pst av dem som ikke har rett til AFP i arbeid, mens andelen for dem som har rett til AFP er under 40 pst. Vel 50 pst av dem som har rett til AFP har benyttet seg av muligheten, og det er en klar tendens til overgang til AFP i det aldersgrensen nås. Over 25 pst tar ut AFP-pensjon 1–2 måneder etter nådd aldersgrense, det vil si ved fylte 64 år i 1996. Etter ett år er det også en klar økning i overgangen til AFP. Særlig gjelder dette i offentlig sektor. Dette må trolig ses i sammenheng med at AFP i offentlig sektor fra 65 år kan beregnes som tjenestepensjon, noe som innebærer et høyere kompensasjonsnivå for de fleste. Dette gir en indikasjon på at kompensasjonsnivået er av betydning for AFP-pensjoneringen.
Dette underbygges også av resultatene fra estimeringene som er gjort på bakgrunn av den observerte atferden som er registrert i MOTIPE-databasen. Effekten av å øke kompensasjonsnivået med for eksempel 10 prosentpoeng er at risikoen for overgang til AFP øker med 7,4 pst. Det er imidlertid stor forskjell i kompensasjonsnivåets betydning på AFP-pensjoneringen i statlig, kommunal og privat sektor. På bakgrunn av estimeringen kan en 10-prosentsøkning i kompensasjonsnivået anslås til å øke sannsynligheten for overgang til AFP med 2,6 pst i privat sektor, og med 12,1 pst og 17,6 pst i henholdsvis kommunal og statlig sektor. Kompensasjonsnivået var for øvrig ikke signifikant for privat sektor, mens den var klart signifikant i de to øvrige sektorene. For utvalget som helhet heter det i rapporten at «kompensasjonsgraden øker hasarden til AFP med overveldende signifikans».
På blant annet denne bakgrunn oppsummerer SNF forløpsanalysen med at:
«Økonomisk kompensasjonsgrad har sterk effekt på omfanget av AFP pensjonering. Dette gjelder både kvinner og menn. Ser man på ulike sektorer finner man at kompensasjonsgraden for AFP primært har sterk betydning i statlig og kommunal sektor og mindre i privat sektor. Økonomisk kompensasjonsgrad har liten effekt på omfanget av uførepensjonering.»
Dette resultatet er i tråd med det en skulle forvente, og underbygger at AFP er en pensjoneringsmulighet mens valgmulighetene er mindre ved uførepensjonering.
SNF finner som nevnt ovenfor at det er forholdsvis store forskjeller i AFP-pensjonering i statlig, kommunal og privat sektor. Mens kompensasjonsnivået har stor betydning for AFP-pensjoneringen i offentlig sektor, er det ikke en signifikant sammenheng mellom kompensasjonsnivået og AFP-pensjonering i privat sektor. En bakgrunn for dette kan i henhold til denne studien være at utstøtingsmekanismene er sterkere i privat enn i offentlig sektor. Dette underbygges blant annet med at tidligere perioder som arbeidsledig ikke har innvirkning på overgang til AFP i offentlig og kommunal sektor, mens denne variabelen har betydning for AFP-pensjonering i privat sektor. I privat sektor har også tidligere sykemeldingsperioder sterkere innvirkning på AFP-pensjonering i privat sektor enn i offentlig sektor.
Denne analysen er nærmere beskrevet i vedlegg 1.
SNF Oslo har tidligere gjennomført en analyse basert på registerdata for å vurdere økonomiske betingelser for pensjonsbeslutninger (Hernæs m fl 1997). Denne analysen bygger imidlertid på et betydelig mindre og mer usikkert datamateriale enn den ovennevnte analysen. I tillegg er undersøkelsen gjennomført på bakgrunn av pensjoneringsatferd i perioden 1990–92, mens AFP fortsatt var en ny og lite utbredt ordning. Dette påvirker også resultatene i analysen.
På bakgrunn av observert atferd i datamaterialet har SNF utarbeidet en modell for pensjoneringsatferd som benyttes til å vurdere tilpasningen i arbeidsmarkedet i lys av egenskaper ved den enkelte og hvilke økonomiske betingelser den enkelte står overfor. Betydningen av økonomisk kompensasjonsgrad er testet ved å estimere endret sannsynlighet for å bli pensjonist dersom inntekten ved å stå i arbeid øker med 10 000 kroner. Dette gir et utslag i den forventede retningen ved at sannsynligheten for å pensjoneres blir mindre, men effekten er liten. Overgangssannsynligheten fra en aktiv til en passiv tilstand reduseres fra 22 til 20 pst. Overgangen fra en delvis aktiv til en passiv tilstand endres med ett prosentpoeng dersom inntekten som delvis aktiv øker med 10 000 kroner. På denne bakgrunnen konkluderes det med at kompensasjonsgrad har en viss betydning, men at den ikke er sterk.
Modellen er også benyttet til å vurdere hvordan en kan forvente at eldre vil tilpasse seg endringer i regelverket for AFP. Blant annet er det sett på hvordan en avkorting av pensjonen ved tidliguttak og påslag ved å stå lenger vil påvirke atferden. Estimeringene i modellen viser da at det må betydelige justeringer i pensjonsnivået før det får stor innvirkning på pensjoneringsatferden. Dette er imidlertid ikke overraskende, så lenge modellen estimeringene baseres på, viser at kompensasjonsnivået i AFP bare i liten grad påvirker atferden.
Det er grunn til å tro at datamaterialet som er benyttet i denne undersøkelsen i stor grad påvirker resultatene. Modellen bygger på utnyttelse av AFP de første årene etter at ordningen ble innført og ordningen var lite kjent. Det virker ikke urimelig at de som benyttet AFP de første årene var sterkt motiverte for pensjonering, og derfor i mindre grad la vekt på kompensasjonsnivået i ordningen. Med dagens bruksrater i AFP er det grunn til å tro at resultatene i simuleringene ville kunne blitt noe annerledes.
Analysene det er redegjort for ovenfor, viser at det er grunn til å tro at kompensasjonsnivået i AFP-ordningen har betydning for omfanget av tidligpensjonering i Norge. Internasjonale studier om kompensasjonsnivåets betydning for pensjonatferd, viser imidlertid ikke entydige resultater som støtter dette. På bakgrunn av en sammenlikning av pensjoneringsatferd i flere land, konkluderer OECD med at det ikke er kompensasjonsnivået som sådan som har sterkest innvirkning på pensjonsatferden, men at en må vurdere pensjonsopptjening og ytelser i sammenheng i for å vurdere om det gis insentiver til å fortsett i arbeid. Denne vinklingen er basert på en pensjonsformuetankegang som også fanger opp konsekvenser av pensjonering i et mer langsiktig perspektiv for den enkelte. En annen grunn til at OECD ikke vektlegger betydningen av kompensasjonsnivå som sentralt, kan også være at sammenlikningen mellom land viser at gjennomgående har alle pensjonister om lag samme kompensasjonsnivå, men at inntektskildene varierer. Betydningen av det offentlige pensjonssystemet blir mindre dersom det er lagt opp til at en i større grad skal bygge opp egen formue gjennom andre spareordninger.
I punkt 10.3.5 nedenfor drøftes betydningen av formue for pensjoneringsatferd i Norge. Det er et inntrykk at eldre i liten grad tærer på formue i løpet av pensjonisttilværelsen. Dette kan være en forklaring på at kompensasjonsnivået i pensjonsordningene i Norge for tiden har forholdsvis stor betydning for tidligpensjonering.
10.3.4 Nye pensjonisters inntekt året før overgang til pensjon
Kompensasjonsnivået gir en illustrasjon på hvor stort inntektsbortfallet blir ved overgang fra arbeid til pensjon. I punkt 10.3.3 ovenfor vises det til en forløpsanalyse utført av SNF som konkluderer med at økonomisk kompensasjonsgrad målt som forholdet mellom pensjonsinntekt og arbeidsinntekt på et bestemt tidspunkt, har betydelig effekt på omfanget av AFP-pensjonering.
Dette gir klare indikasjoner på at kompensasjonsnivået i pensjonsordningene har betydning for valg av pensjoneringstidspunkt. Kompensasjonsnivået er fallende for høyere inntekter i de pensjonsordningene som er omtalt i punkt 10.3.2. Isolert sett kan det derfor forventes en sterkere tilbøyelighet til tidligpensjonering blant personer med relativt lave inntekter. På den annen side vil personer med høy inntekt kunne ønske og ha mulighet til å gå av før fylte 67 år, for eksempel ved at de i større grad vil kunne supplere pensjonen med oppsparte midler, se nærmere om dette i punkt 10.3.5.
For å drøfte om og i hvilken utstrekning kompensasjonsnivået i pensjonsordningene har betydning for valg av pensjoneringstidspunkt, kan det være nyttig å se nærmere på sammenhengen mellom avgangsalder og gjennomsnittlig inntekt som yrkesaktiv.
I figur 10.3 nedenfor vises den gjennomsnittlige inntekten i 1995 til nye pensjonister i 1996 i alderen 60 til 69 år. I figuren inngår alle former for pensjonering fra arbeidslivet i alderen 60 til 66 år som tidligpensjonister, også uførepensjonister. Tidligpensjonistgruppen omfatter også personer som tar ut gradert pensjon i den aktuelle aldersgruppen (gradert pensjon kan være gradert uførepensjon eller andre former for kombinasjon av pensjon og arbeidsinntekt). Alderspensjonister omfatter de som ikke har tatt ut pensjon før fylte 67 år, men som er registrert som alderspensjonister før de fyller 67 år og to måneder. Det er bare de med tidligere yrkestilknytning som inngår i gruppen alderspensjonister. Gruppen ventere er definert som alle som ikke er registrert som pensjonsmottakere 67 år og to måneder.

Figur 10.3 Gjennomsnittlig inntekt for nye pensjonister (60–69 år) i 1996 året før pensjonering.
Kilde: Rikstrygdeverket
Som det framgår av figur 10.3, har ventere i gjennomsnitt høyere pensjonsgivende inntekt enn de andre pensjonistgruppene. Ventere hadde en gjennomsnittsinntekt på vel 215 000 kroner, nær 70 000 kroner mer enn alderspensjonistene. Alderspensjonistene har den klart laveste gjennomsnittsinntekten. Tidligpensjonistenes inntekt på gjennomsnittlig vel 190 000 kroner ligger om lag midt mellom disse. En forklaring på at vi finner såvidt lave inntekter blant de som går av idet de fyller 67 år, kan være at mange av dem er kvinner. Og at de har begrensede muligheter til valg av pensjoneringstidspunkt enten fordi de ikke omfattes av noen tidligpensjonsordning, eller at de ikke oppfyller vilkårene for tidligpensjonering.
Menn har gjennomgående en høyere gjennomsnittlig inntekt enn kvinner, uansett avgangsalder. Blant menn har ventere den høyeste inntekten, etterfulgt av tidligpensjonister. Også blant kvinnene har ventere høyest gjennomsnittlig inntekt. Lavest inntekt finner vi blant kvinnelige alderspensjonister med en inntekt på vel 100 000 kroner i 1995. Differansen mellom menn og kvinner er størst blant tidlig- og alderspensjonistene (80 000 kroner) og minst blant ventere (60 000 kroner).
Alt i alt er det til dels betydelige inntektsforskjeller både mellom gruppene tidligpensjonister, alderspensjonister og ventere og mellom menn og kvinner. Den antatte sammenhengen mellom utsatt pensjonsuttak og høy inntekt synes dermed å få en viss støtte. Årsakene til at personer med høy inntekt i større grad utsetter pensjoneringstidspunktet kan også ha en sammenheng med at jobbinnholdet gjør det attraktivt å fortsette.
I tabell 10.2 nedenfor vises gjennomsnittlig antall opptjeningsår i prosent av mulige poengår og gjennomsnittlig inntekt året før pensjonering for nye pensjonister i perioden 1992–97. Begrepene tidligpensjonister, alderspensjonister og ventere er definert på tilsvarende måte som i figur 10.3.
Tabell 10.2 Nye pensjonister fordelt etter poengopptjeningsår og inntekt (1000 kr)
| 1992 | 1994 | 1996 | |||||||
|---|---|---|---|---|---|---|---|---|---|
| Alle | M | K | Alle | M | K | Alle | M | K | |
| Tidligpensjonister: | |||||||||
| Gj.snittlig antall opptj.år i prosent av mulige | 90,0 | 96,8 | 76,4 | 90,0 | 97,4 | 78,1 | 88,3 | 96,9 | 75,9 |
| Gj.snittsinnt. året før pensjonering (1996-kr) | 194 | 219 | 146 | 191 | 221 | 144 | 194 | 227 | 146 |
| Alderspensjonister: | |||||||||
| Gj.snittlig antall opptj.år i prosent av mulige | 72,8 | 94,4 | 55,6 | 72,2 | 94,4 | 53,3 | 73,4 | 94,8 | 55,5 |
| Gj.snittsinnt. året før pensjonering (1996-kr) | 145 | 186 | 101 | 142 | 178 | 101 | 146 | 182 | 104 |
| Ventere: | |||||||||
| Gj.snittlig antall opptj.år i prosent av mulige | 88,4 | 93,6 | 77,6 | 89,3 | 93,0 | 80,0 | 87,9 | 92,4 | 76,6 |
| Gj.snittsinnt. året før pensjonering (1996-kr) | 211 | 231 | 170 | 213 | 227 | 181 | 216 | 233 | 171 |
Kilde: Rikstrygdeverket
Beregningene viser at mannlige ventere i gjennomsnitt både har færre antall poengopptjeningsår og høyere inntekt enn menn i de to andre pensjonistgruppene. Dette kan være en indikasjon på at mannlige ventere har kommet sent ut i arbeidslivet, for eksempel etter en forholdsvis lang utdanning. Disse opplysningene gir imidlertid ikke grunnlag til å si noe entydig om hvorvidt det er økonomiske insentiver innarbeidet i pensjonssystemet, eller andre forhold ved arbeidssituasjonen som er grunnen til at disse utsetter pensjoneringen. Oversikten i tabell 10.2 viser bare opptjening i folketrygden, mens det for mange vil være opptjeningen i tjenestepensjonsordningen som er av størst betydning for det samlede pensjonsresultat. Kravet til antall opptjeningsår for full tjenestepensjon er som oftest 30 år, slik at mange ventere i tabell 10.2 likevel kan ha full opptjening i en tjenestepensjonsordning.
Kvinnelige ventere har både høyere inntekt og flere opptjeningsår enn nye kvinnelige pensjonister i de andre gruppene. En forklaring kan være at personer med høy inntekt gjennomgående har høyere utdanning og kanskje bedre helse enn de med lav inntekt, og av den grunn også har bedre forutsetninger til å fortsette i arbeid.
Tidligpensjonistene har en gjennomsnittsinntekt som ligger litt under venterne, men klart høyere enn alderspensjonistene. I tillegg har mannlige tidligpensjonister i gjennomsnitt tilnærmet full opptjening i folketrygden. Disse observasjonene gir heller ikke klare indikasjoner på hvilke effekter som kan sies å ha en innvirkning på pensjoneringsatferden. Det er også grunn til å understreke at gjennomsnittstall kan skjule forholdsvis store forskjeller innenfor gruppene. Dette vil i så fall ytterligere bidra til å gjøre det vanskelig å tolke informasjonen i tabell 10.2.
Pensjonsordningene i Norge er utformet slik at det varige pensjonsnivået i liten grad er påvirket av om en går av ved første mulighet (62 år for AFP-pensjonister) eller utsetter pensjoneringen til etter oppnådd pensjonsalder i folketrygden. Et høyt kompensasjonsnivå for personer med lave inntekter kombinert med at uttak av tidligpensjon ikke fører til reduserte pensjonsytelser i forhold til å fortsette i arbeid, gir insentiver til tidligavgang for lavtlønnede. For personer med høyere inntekt, vil det heller ikke være særlige insentiver til å stå i arbeid utover full opptjeningstid ettersom dette bare i liten grad påvirker de framtidige pensjonsytelsene. Dette gir insentiver til høytlønnede til å gå av tidlig. Personer med høy lønn vil også ha høyere formue som de kan benytte til å kompensere for bortfall av arbeidsinntekt. Dette understreker betydningen både av at husholdningenes totale økonomiske situasjon må tas i betraktning ved analyse av pensjoneringsatferd, samt at det ikke er tilstrekkelig å se på kompensjonsnivået uttrykt ved pensjonsinntekt i forhold til tidligere arbeidsinntekt på et gitt tidspunkt for å vurdere hvordan pensjonssystemet påvirker pensjoneringsbeslutninger. I punkt 10.3.5 vurderes andre økonomiske forhold som kan påvirke de individuelle valgene, mens vurderinger knyttet til pensjonsformue er gitt i kapittel 12.
10.3.5 Andre økonomiske forhold som kan ha betydning for pensjoneringsatferden
Normale antakelser om sparing og formuesoppbygging tar utgangspunkt i den enkeltes avveining mellom forbruk i dag og i framtiden. I livsløpshypotesen, som er en standard referanse for individuell sparings, investerings og konsumatferd, tas det utgangspunkt i at den enkelte vil velge å fordele konsumet forholdsvis jevnt over livsløpet. Med standard forutsetninger innebærer dette låneopptak tidlig i livet, for eksempel ved utdanning og etablering, oppbygging av formue i løpet av yrkeskarrieren og formuestæring i pensjonistperioden. Det er imidlertid ikke gitt at hele formuen bygges ned. Arvemotiver er også sentrale for sparing og formuesoppbygging. Empiriske undersøkelser gir i stor grad støtte til livsløpsmodellen bortsett fra at det spares mer, noe som nettopp innebærer arv.
Obligatoriske pensjonsordninger påvirker formuessammensetningen ettersom behovet for individuell formuesoppbygging reduseres. Det individuelle sparemotivet bortfaller imidlertid ikke, både som følge av at pensjonsrettigheter har et begrenset bruksområde og at det vil være usikkerhet knyttet til framtidige pensjonsytelser.
Med en generell velstandsvekst og uendret sparerate vil den samlede formuesoppbyggingen øke. Hvilke formuesobjektene det spares i kan imidlertid variere. Økt sparing kan for den enkelte gi seg utslag i blant annet høyere boligstandarden og økt boligformue, investering i fritidshus eller oppsparing av finansformue gjennom bankinnskudd eller aksjer og andre verdipapirer.
I avsnitt 4.4 er det gitt en oversikt over inntekts- og formuesutviklingen blant eldre de siste årene. Når det gjelder inntekter, viser det seg at nye årganger pensjonister er rikere enn eldre årskull og at den samlede inntekten i stadig større grad er sammensatt av andre komponenter enn alderspensjon fra folketrygden.
Tjenestepensjoner og kapitalinntekt utgjør vesentlige deler av inntektene for personer i aldersgruppen 60–70 år. Variasjoner i kapitalinntekt må imidlertid også ses i lys av renteutviklingen ettersom eldre har en forholdsvis stor del av finansformuen i bankinnskudd. De siste årene har rentene vært lave, men likevel utgjør kapitalinntekter 14 pst av samlet husholdningsinntekt for husholdninger der hovedinntektstakeren er i aldersgruppen 60–70 år, mot 10 pst i 1986 da rentenivået var betydelig høyere. Tjenestepensjonenes andel er økt fra 4 pst i 1986 til 13 pst i 1996.
Utviklingen i formue er det noe vanskeligere å si noe sikkert om. Formuesopplysninger som er hentet fra selvangivelsen (likningsdata), er beheftet med betydelige mangler. De største problemene knytter seg til realkapital som bolig, bil og fritidshus, ettersom disse ofte er lavt verdsatt og at det er betydelige fradrag i verdi, for eksempel verdi av innbo og løsøre. Det er også store og usystematiske forskjeller i likningsverdien som vanskeliggjør sammenlikning mellom grupper. Når det gjelder finansformue er for eksempel aksjer i børsnoterte selskaper også verdsatt lavere enn antatt markedsverdi. Endringer i forbindelse med skattereformen i 1992 fører til problemer med å sammenlikne formuestall før og etter 1992. Nedenfor er det likevel redegjort for enkelte hovedtrekk i formuesutviklingen de siste årene.
Oversikten over formuesutviklingen for aldersgruppen 60–70 år i avsnitt 4.4 viser at den gjennomsnittlige nettoformuen er høyere for denne aldersgruppen enn for befolkningen ellers. Nesten hver tredje husholdning blant 60–70-åringene hadde en likningsformue over 500 000 kroner i 1996, mens tilsvarende andel for husholdninger flest var 15 pst. I levekårsundersøkelsen fra 1997 er markedsverdi av boliger og fritidshus inkludert. Denne viser at det ikke er særlig forskjell i gjennomsnittlig markedsverdi på bolighus mellom 60–70-åringer og andre, men at markedsverdien av hytter/fritidshus ligger noe høyere. Tatt i betraktning av at eldre i større grad har nedbetalt boligen, vil likevel netto boligformuen til eldre være høyere.
I 1986 hadde pensjonister og trygdede i gjennomsnitt om lag like store bankinnskudd som gjennomsnittet for alle husholdningene. I 1996 utgjorde imidlertid pensjonistenes og trygdedes bankinnskudd vel 150 pst av gjennomsnittet for alle. Denne utviklingen skyldes heller ikke at yngre plasserer større deler av formuen i aksjer og andre verdipapirer, ettersom pensjonister og trygdede har nærmet seg gjennomsnittet for alle husholdninger for verdien av aksjer i norske selskaper.
Individuell pensjonsformue kan bygges opp med skattefordel gjennom såkalte individuelle pensjonsavtaler (IPA). IPA ble etablert i 1997 og erstattet ordningen for egen pensjon etter skatteloven (EPES-ordningen) fra og med 1998. Gjennom 1997 eksisterte de to ordningene parallelt. Oppslutningen om EPES har vært avtakende de siste årene. I følge Selvangivelsesregisteret (SSB) hadde 167 000 personer fradrag for egen pensjonsforsikring på selvangivelsen for 1996, med et totalt fradrag på 1,2 mrd kroner. I 1994 foretok i underkant av 200 000 personer innskudd i en EPES-ordning, hvor de samlede innskuddene utgjorde om lag 1,5 mrd kroner. IPA-reglene ligger på enkelte felt tett opp til de tidligere EPES-reglene, men innen IPA kan en inngå enten en pensjonsspareavtale eller en pensjonsforsikringsavtale. Det kan imidlertid ikke utelukkes at sparing til egne pensjonsordninger vil øke, i og med etableringen av IPA og et utvidet produktspekter i tilknytning til dette.
Selv om pensjonistenes formue har økt, er det ikke like klare tegn til at pensjonistene tærer på formuen. Dette vil i så fall bety at formuen ikke nødvendigvis spiller så stor rolle i valget mellom arbeid og pensjon, foruten at den utgjør en sikkerhet som i seg selv kan gjøre det mindre risikofylt å forlate yrkeslivet.
Dette skyldes selvsagt at mye av formuen er plassert i bolig, og at den enkelte ikke uten videre finner det ønskelig eller hensiktsmessig å realisere denne verdien med tanke på forbruk. Det kunne riktignok tenkes at pensjonister var mer tilbøyelige til å bruke av annen form for oppspart kapital, for eksempel bankinnskudd – i det minste av avkastningen. I en studie av Charlotte Koren (1997) sammenliknes bankinnskuddene til pensjonshusholdninger under 80 år på midten av 1980-årene, med bankinnskuddene til de samme pensjonshusholdningen i midten av 1990 årene. Hun fant at innskuddene, grovt regnet var fordoblet i nominelle kroner. På den bakgrunn konkluderes det i studien med at pensjonistene ikke har tært på formuen, men at mange heller har latt renteinntektene legges til formuen år for år. Dette er i tråd med omtalen i avsnitt 4.4 der det vises at likningsformuen har økt både blant dem mellom 60 og 66 år og dem mellom 67 og 70 år, noe som peker mot at det ikke skjer en formuesnedbygging etter overgang til pensjonisttilværelsen.
Det kan imidlertid ikke utelukkes at dette skyldes en generasjonseffekt, og at det derfor kan forventes at framtidige generasjoner av eldre i større grad vil bygge ned formuen gjennom alderdommen. Det kan heller ikke utelukkes at før- og etterkrigsgenerasjonen har ulike holdninger til å ta opp lån. Førkrigsgenerasjonen har tradisjonelt vært adskillig mer restriktiv med tanke på å bygge opp stor gjeld. Mens etterkrigsgenerasjonene i mye større utstrekning har vært tilbøyelige til å ta opp lån både til anskaffelse av formuesgjenstander og til forbruk. Dersom dette også kan si noe om tilbøyeligheten til å bruke oppsparte midler, vil kommende generasjoner kunne bli mer tilbøyelige til å bruke oppsparte midler for å kompensere for inntektsbortfall i forbindelse med pensjonering. I så fall vil den enkeltes formuessituasjon etter hvert kunne få større betydning for valg av pensjoneringstidspunkt.
Det er vanskelig å si noe om formuesutviklingen i framtiden. Verdsetting av ulike formuesobjekter er usikker, og sparingen vil blant annet avhenge av velstandsutviklingen og de individuelle ønskene om å utsette konsummuligheter knyttet til inntekt i yrkeskarrieren til senere livsfaser. Dersom det legges til grunn at spareatferden ikke vil endres vesentlig, er det grunn til å tro at framtidens pensjonister vil ha større formuer enn i dag. Dette skyldes både en forventet velstandsvekst og at det kan forventes økt overføring mellom generasjonene som følge av arv.
10.4 Holdninger til eldre arbeidstakere
I kapittel 4 vises det at eldre arbeidssøkere har vanskeligere enn yngre for å komme tilbake i arbeid i forbindelse med arbeidsledighet. Det viser seg også at eldre stort sett er de første som må forlate arbeidsplassen ved omstillingsprosesser og nedbemanning i bedriftene, se omtale i kapittel 11. Dette kan skyldes flere forhold, blant annet at eldre har lav og/eller lite relevant kompetanse, liten motivasjon for å finne ny jobb eller dårlig kjennskap til hva som kreves for å komme tilbake i ordinært arbeid. Det kan heller ikke utelukkes at eldre i noen grad er gjenstand for holdninger blant arbeidsgivere og andre som bidrar til at arbeidsmarkedssituasjonen for eldre blir vanskeligere enn egenskapene deres isolert sett skulle tilsi.
Det er foretatt flere studier som forsøker å belyse negative holdninger til eldre i arbeidslivet og hvor utbredt slike holdninger eventuelt er. I en nylig utgitt rapport fra NOVA har forskeren Per Erik Solem (1998) oppsummert en del norske og internasjonale studier om dette.
Norske studier har særlig tatt utgangspunkt i rekrutteringsanalyser hvor arbeidsgivere er blitt spurt om hvem som foretrekkes ved nyansettelser. I Hardoy (1993) ble 1248 tilfeldig utvalgte arbeidsgivere spurt om hvem de ville foretrekke å rekruttere til en stilling med relativt enkelt rutinearbeid. Det kunne bare rekrutteres blant arbeidsledige i grupper som generelt står svakt på arbeidsmarkedet; ungdom under 25 år, eldre over 60 år, langtidsledige, attføringsmottakere og flyktninger. Alle var forutsatt ikke å ha utdanning utover grunnskolenivå. Bare 8 pst av arbeidsgiverne oppgav at de primært ønsket eldre arbeidskraft, mens 61 pst rangerte ungdom først. Også attføringsmottakere og flyktninger ble i svært få tilfeller ønsket. Solem konkluderer med at dette tyder på at eldre er lite attraktive ved nyansettelser selv når de konkurrerer med andre som står svakt i arbeidsmarkedet. Det kan imidlertid være flere grunner til at eldre ikke ble prioritert. Aldersgrensen for eldre var satt forholdsvis høyt, ved 60 år. Det kan derfor ikke utelukkes at arbeidsgivere valgte å prioritere eldre lavt ut fra et ønske om å «skåne» eldre for rutinemessig arbeid, og at dette ble ansett som mest passende for yngre. Riktignok er også dette en type diskriminering ettersom eldre som er motiverte for en slik jobb, uansett ville stille svakere utelukkende som følge av høy alder.
Solem viser dessuten til andre studier hvor grensen for eldre var satt betydelig lavere, faktisk så lavt som 35 år (Larsen, 1991). Denne analysen omfatter 2 500 ledige stillinger som ble besatt kort tid etter utlysning. Det ble i undersøkelsen blant annet spurt om hvor mange års erfaring som ble betraktet som ideelt for stillingen, samtidig som det ble forutsatt at lønnen ikke ville være avhengig av tidligere avlønning. Til over halvparten (56 pst) av jobbene foretrakk arbeidsgiverne unge personer under 35 år. Resultatet av de faktiske ansettelsene viste at 66 pst av de ledige stillingene ble besatt av personer under 35 år. Resultatene er imidlertid ikke justert for søkermassens alderssammensetning og at yngre gjerne har lavere lønn. Solem peker også på at denne undersøkelsen kun tar for seg nyansettelser og at det derfor ikke kan utelukkes at holdningen til eldre er annerledes i jobber som allerede er besatt.
En liknende studie er omtalt i ECON-rapport 98/97 (ECON, 1997). Denne analysen bygger på informasjon fra Rekrutteringsundersøkelsen 1995. På bakgrunn av arbeidsgiveres vurdering av ønsket erfaring dannes det et bilde av seniorarbeidsmarkedet ved å fordele jobbene etter arbeidsgiveres vurderinger av den mest produktive lengden på arbeidserfaringen. Det skilles mellom seks typer av jobber avhengig av krav til minste og lengste yrkeserfaring som ønskes i de ulike jobbene. Seniorerfaring tilsier minst 30 års yrkeserfaring. Av dem med seniorerfaring var nesten 75 pst over 50 år.
Undersøkelsen viser at seniorerfaring var ønsket i et helt ubetydelig antall stillinger (0,1 pst). Seniorjobber ble imidlertid noe videre definert, ved også å inkludere jobber hvor eldre anses som å kunne være like produktive som yngre. Med denne utvidelsen utgjør seniorjobbene 38,1 pst, men det er da viktig å understreke at dette er jobber hvor seniorerfaring ikke blir ansett som en direkte ulempe. Resultatene fra tilsvarende analyser i 1991 og 1993 gir en andel på 40,5 pst, altså har det vært en svak nedgang i andelen seniorjobber. ECON oppsummerer undersøkelsen med at det som særpreger seniorarbeidsmarkedet er at seniorer ikke har et produktivitetsmessig fortrinn i noen typer jobber. I motsetning til unge og personer med noe erfaring, har de ikke et eget segment av arbeidsmarkedet hvor deres egenskaper anses som mest produktiv. På den annen side utgjør seniorene bare om lag 35 pst av befolkningen i alderen 16–74 år, slik at med tilpasset kompetanse er det et tilstrekkelig antall jobber hvor lang yrkeserfaring ikke anses som å svekke jobbmulighetene.
Solem viser også til en opinionsundersøkelse i EU-landene som viser at et stort flertall, uansett alder og kjønn, mener eldre blir diskriminert i arbeidslivet, både ved ansettelser, opplæring og forfremmelser. Det er også et flertall som mener at det bør innføres lover som forbyr diskriminering på bakgrunn av alder. Resultater fra USA, som har hatt en slik lov, viser imidlertid at lovbestemmelsen ikke har vært en åpenbar suksess for å fjerne denne typen diskriminering. I en kommentar til denne undersøkelsen peker OECD på at innføring av en antidiskrimineringslov kan få en midlertidig positiv effekt ved å sette problemstillingen på dagsorden. OECD viser imidlertid også til at det er blitt hevdet at en slik lov vil bidra til å gjøre eldres situasjon på arbeidsmarkedet vanskeligere.
Solem nyanserer imidlertid bildet av holdningene til eldre ved å vise til flere studier som peker i retning av at eldre oppfattes som effektiv, produktiv og konstruktiv arbeidskraft. Særlig er det mange som har et positivt inntrykk av egne eldre ansatte, selv om det tilsynelatende ikke påvirker rekrutteringen eller praksisen ved overtallighet og nedbemanning. Det virker derfor som det kan være forskjell på uttrykte oppfatninger og faktiske handlinger. Solem mener dette muligens kan forklares med sammenhengen mellom de kognitive (hva en tror eller mener om eldre), de affektive (hva en føler i forhold til eldre) og de atferdsmessige (disposisjon til å handle på en bestemt måte overfor eldre) elementene i holdningene overfor eldre. Selv om elementene henger sammen, trenger de ikke å være i samsvar. Solem viser til at selv om en mener eldre arbeidskraft er like produktiv som yngre, trenger en ikke ønske å ansette eldre. Hva som har størst innvirkning på atferdsdisposisjonen og den faktiske atferden kan derfor variere. Solem utelukker ikke at negative følelser kan overskygge positive tanker og føre til at en ikke gjør det en mener det hadde vært bra å gjøre. Dessuten kan følelsen påvirke meningene indirekte, slik at det dannes forenklede oppfatninger (stereotypier) om eldres egenskaper.
10.5 Offentlige ordninger for å sikre mulighet til å stå i arbeid
Det er flere mulige veier ut av arbeidslivet for eldre, herunder førtidspensjon, uførhet og ulike stønadsordninger i tilknytning til sykdom eller arbeidsledighet, se figur 10.4.

Figur 10.4 Veier fra yrkesaktivitet til alderspensjon.
Som det framgår av figuren kan en tenke seg svært mange ulike veier fra yrkesaktivitet til alderspensjon. I figuren kan det skilles mellom fire hovedveier. For det første er det direkte overgang fra yrkesaktivitet til alderspensjon. Det vil være personer som står i jobb helt fram til aldersgrensen i pensjonsordningen nås. Videre er det de som velger å benytte seg av en førtidspensjonsordning.
De to siste hovedveiene er knyttet til sykdom/skade eller perioder som arbeidsledig. Mens de to hovedveiene knyttet til pensjonssystemet innebærer varig tilbaketrekking fra arbeidslivet, forholder de to sistnevnte seg til tilstander der målsettingen er tilbakeføring til yrkesaktivitet. Uførepensjon skiller seg her noe ut, men det er en uttalt målsetting fra myndighetene at flere uførepensjonister skal forsøke seg i arbeidslivet igjen etter uførepensjonering. Dette er markert med en stiplet pil tilbake mot yrkesaktivitet. Ordninger som skal stimulere til fortsatt yrkesaktivitet blant uførepensjonister er nærmere beskrevet nedenfor.
Etter flere år med nedgang i sykefraværet, har det økt sterkt etter 1994. Langtidsfraværet har økt mest. Antall stønadsmottakere med rehabiliteringspenger har også økt sterkt de siste årene, mens andelen som kommer i arbeid etter avsluttet rehabiliteringsperiode har vært relativt konstant. Færre går fra rehabiliteringspenger til yrkesrettet attføring, mens en stadig større andel av de som avslutter stønadsperioden med rehabiliteringspenger går direkte over på uførepensjon. Tilstrømmingen til yrkesrettet attføring har vært forholdsvis stabil de siste årene, mens det har vært en økning i andelen som går ut i aktive løsninger som arbeid og utdanning. Antallet uførepensjonister har økt kraftig de senere årene, etter en utflating etter at de medisinske vilkårene for uførepensjon ble strammet inn på begynnelsen av 1990-tallet. Tilgangen har vært særlig sterk blant yngre og sterkere blant kvinner enn blant menn. Tilgangen til uførepensjonsordningen vil bli høyere i 1998 enn noen gang tidligere.
Tendensen er at mange vandrer mellom ulike stønadsordninger og at stadig flere ender opp med uførepensjon. Nærmere 20 pst av de som avsluttet perioden med rehabiliteringspenger i 1995, hadde uførepensjon ved utgangen av året. Ett år senere var nesten 40 pst uførepensjonert.
Dette understreker betydningen av at tiltak settes inn tidlig for å forebygge tidlig avgang fra arbeidslivet.
I dette avsnittet omtales offentlig tjenestetilbud og stønadsordninger i tilknytning til de to siste hovedveiene – via sykdom/skade eller via arbeidsledighet. Omtalen av arbeidsmarkedspolitikken vil i større grad enn andre deler være særskilt rettet mot eldre og deres spesielle problemer. Bakgrunnen for dette er blant annet at sykdom og skade som oppstår tidligere i yrkeskarrieren kan legge sterke føringer på valget mellom pensjonering eller yrkesaktivitet senere, mens det i mindre grad er grunn til å tro at arbeidsledighet tidlig i yrkeskarrieren har så stor innvirkning på dette valget. Det viser seg dessuten at mange eldre ikke kommer tilbake i ordinært arbeid dersom de blir ledige.
10.5.1 Arbeidsmarkedspolitikken rettet mot eldre arbeidstakere
Innledning
Målsettingen med arbeidsmarkedspolitikken er å bidra til et effektivt fungerende arbeidsmarked, blant annet ved at ledige jobber blir besatt uten at det oppstår lønns- og prispress. Samtidig skal et effektivt fungerende arbeidsmarked bidra til høy sysselsetting og lav ledighet. Arbeidsmarkedspolitikken har en hovedmålsetting som ikke er rettet mot særskilte arbeidstakergrupper eller ledige. Arbeidsmarkedspolitikkens siktemål vil imidlertid være å bidra til at den enkelte gis mulighet og motivasjon til å være i arbeid, herunder selvfølgelig også eldre.
Norge har vært et av landene i Europa som har satset på aktiv arbeidsmarkedspolitikk både for å redusere ledigheten og de negative samfunnsmessige konsekvensene av ledighet. Det er grunn til å tro at aktiv arbeidsmarkedspolitikk gjennom blant annet oppfølging av arbeidsledige med arbeidsmarkedstiltak, krav til aktivisering og attføring for å komme tilbake til yrkeslivet etter at arbeidsevnen er blitt redusert, har bidratt til at omfanget av ledighetsproblemet er blitt mindre i Norge enn i enkelte andre land der en i større grad har innrettet politikken med sikte på inntektssikring.
Selv om yrkesfrekvensen blant eldre i Norge er relativt høy sammenliknet med mange andre land, viser det seg at dersom eldre først mister jobben, vil de i mange tilfeller ha store problemer med å komme inn i arbeidsmarkedet igjen. Dette illustreres blant annet ved at langtidsledige som andel av alle ledige i aldersgruppen øker med alderen. Det kan være flere grunner til dette, som for eksempel strukturelle forhold i arbeidsmarkedet og forholdsvis lav søkeintensitet blant eldre.
For å kunne gi en grunngitt vurdering av arbeidsmarkedspolitikkens virkemåte overfor eldre, er det viktig å ha en formening av hvilke særskilte behov eller særtrekk denne gruppen eventuelt har. Den arbeidsmarkedspolitiske oppfølgingen av eldre må i så fall innrettes på en noe annen måte enn oppfølgingen overfor yngre.
I dette avsnittet vil det først kort gjøres rede for arbeidsmarkedsetatens virkemidler overfor ledige, med særlig vekt på eldres bruk av disse. Deretter vil enkelte resultater fra en vurdering av arbeidsmarkedspolitikken overfor eldre som nylig er gjennomført av ECON Senter for økonomisk analyse, bli gjengitt og drøftet. Til slutt gis det noen vurderinger om i hvilken retning det kan være mulig å dreie innsatsen i arbeidsmarkedsetaten for i større grad å ta hensyn til særlige forhold som angår eldre som får problemer på arbeidsmarkedet.
Virkemidler i arbeidsmarkedspolitikken
Arbeidsmarkedsetatens innsats for arbeidsledige er trinnvis innrettet. Først gis informasjon om ledige jobber slik at ledige selv kan orientere seg om mulighetene på arbeidsmarkedet. For dem som trenger ekstra bistand kan arbeidskontoret være behjelpelig med formidling direkte til ledige jobber. For personer som ikke får nytt arbeid gjennom å utnytte informasjon og formidling, kan arbeidsmarkedsetaten gi tilbud om arbeidsmarkedstiltak. De siste årene, med stadig bedring i arbeidsmarkedet, har antallet plasser under arbeidsmarkedstiltakene blitt trappet betydelig ned, mens etatens formidlingsinnsats er vesentlig styrket. Særlig er korte, yrkesrettede tiltak som kvalifiserer til jobber i bransjer med stor etterspørsel etter arbeidskraft, blitt prioritert.
Arbeidsmarkedspolitikken har, foruten en strukturell og velferdspolitisk funksjon, også en beredskapsmessig funksjon. Dette innebærer at innsatsen må tilpasses konjunktursituasjonen blant annet når det gjelder nivået på arbeidsmarkedstiltakene, innretningen av tiltakene og grad av fokusering på formidling i forhold til arbeidstrening og kompetanseheving. Dette kan blant annet innebære at sterk fokusering på enkelte grupper/problemstillinger i én fase av konjunktursituasjonen, vil bli dempet og avløst av andre problemstillinger i en annen fase.
Arbeidsmarkedstiltakene skal bidra til at arbeidsevnen opprettholdes under ledighet, at nødvendig kompetanse og arbeidstrening tilføres/opprettholdes i forhold til arbeidslivets behov, samtidig som de skal motvirke utstøting fra arbeidsmarkedet og lette omstillinger i arbeidslivet.
De ordinære arbeidsmarkedstiltakene kan inndeles i kvalifiserings-, formidlings- og sysselsettingstiltak. Kvalifiseringstiltakene tilfører de arbeidsledige kompetanse som øker deres muligheter i arbeidsmarkedet. Sysselsettingstiltak skal bidra til å opprettholde arbeidsevnen til de ledige gjennom ekstraordinær sysselsetting og derigjennom bidra til å forhindre varig utstøting fra arbeidslivet. Ved lønnstilskudd, som er et formidlingstiltak, søker en å motivere arbeidsgivere i privat og offentlig sektor til å ansette arbeidsledige på ordinære vilkår.
Fra 1. juli 1997 ble det innført et nytt tiltakstilbud til langtidsledige som mister dagpengerettighetene etter lang dagpengeperiode. Målgruppen for tiltakstilbudet er helt ledige uten dagpengerettigheter som har passert sin andre 80-ukers dagpengeperiode. Så langt er det forholdsvis få som deltar på det nye arbeidsmarkedstiltaket. Dette kan imidlertid endre seg dersom konjunkturene snur med tilhørende økende ledighet.
Blant deltakere på arbeidsmarkedstiltak viser det seg at eldre er underrepresentert i forhold til yngre aldersgrupper. Ser en på alle aldersgrupper samlet viser tall fra 1997 at det er én tiltaksdeltaker for hver tredje arbeidsledig. Tilsvarende er det bare én tiltaksdeltaker for hver 30 arbeidsledig blant de over 60 år. I aldersgruppen 50–59 år er det én tiltaksdeltaker for hver sjette arbeidsledig.
Den lave andelen eldre som deltar på ordinære arbeidsmarkedstiltak kan skyldes flere forhold. Arbeidsmarkedstiltak er en knapp ressurs som ikke kan tilbys alle ledige. I tillegg har trolig den sterke prioriteringen av ungdom i arbeidsmarkedspolitikken påvirket etatens innsats overfor andre grupper arbeidsledige.
Den lave andelen eldre tiltaksdeltakere kan også ha sammenheng med at de eldre i mindre grad ønsker å delta på tiltak. Mange eldre arbeidsledige føler seg slitne etter et langt yrkesliv og er primært interessert i å sikre inntekten. Denne gruppen eldre arbeidsledige kan i første rekke være interessert i få utbetalt dagpenger fra arbeidskontoret og i mindre grad være interessert i tilbud om tiltak. Muligheten til å motta dagpenger fra fylte 61 år fram til pensjonsalder forsterker dette. Siden ledige som ikke tar i mot tilbudet om arbeidsmarkedstiltak skal avstenges fra dagpenger, kan arbeidskontorene velge å ikke gi tilbud til eldre arbeidstakere ut fra en vurdering om at andre grupper har større utbytte av tiltakene. Ved å gi eldre arbeidsledige mulighet til å motta dagpenger i en betydelig lenger periode enn andre ledige samt å stille mindre sterke krav til aktivitet i håndteringen av dagpengeregelverket, kan en si at myndighetene indirekte har gitt et signal om at tilbakeføring til arbeid er underordnet behovet for inntektssikring for denne gruppen. Utformingen av regelverket vil påvirke holdningene både til arbeidstakerne selv, arbeidsgiverne og arbeidsmarkedsetaten. De særskilte dagpengereglene for eldre arbeidssøkere kan derfor påvirke den øvrige innsatsen rettet mot arbeidsledige eldre.
Arbeidssøkere som har en fysisk, psykisk eller sosial funksjonshemming med betydning for deres muligheter til å få eller beholde arbeid, blir registrert som yrkeshemmede i arbeidsmarkedsetaten. Retningslinjene for inntak til yrkesrettet attføring innebærer at alle som har et reelt behov for og kan gjøre seg nytte av yrkesrettet attføring, kan få tilbud om det. Arbeidsmarkedsetaten har et bredt spekter av tilbud for yrkesmessig attføring. Foruten de spesielle arbeidsmarkedstiltakene rettet mot yrkeshemmede, kan yrkeshemmede også delta på ordinære tiltak. I tillegg kommer ordinær skolegang og hospitering på ordinære arbeidsplasser finansiert over folketrygdens ytelser til yrkesrettet attføring. De fleste tiltakene for yrkeshemmede er tidsbegrensede, men det tilbys også varige tiltak for personer med betydelige yrkeshemminger. Hvilke tiltak som settes inn vil avhenge av individuelle behov hos den yrkeshemmede.
Tiltaket bedriftsintern attføring er et arbeidstreningstiltak som skal bidra til at yrkeshemmede arbeidstakere i ordinære bedrifter får attføring og opprettholder sitt arbeidsforhold. Tiltaket gjennomføres i nært samarbeid mellom arbeidsmarkedsetaten og bedriften. En nærmere omtale av erfaringene med bedriftsintern attføring er gitt i avsnitt 11.5. Det er imidlertid viktig å presisere at begrepet bedriftsintern attføring omfatter mye mer enn arbeidsmarkedstiltaket i regi av arbeidsmarkedsetaten. Bedriftsintern attføring gjennomføres i tillegg med økonomiske tilskudd og støtteordninger under folketrygden, herunder aktiv sykmelding, samt at store deler av den bedriftsinterne attføringen gjennomføres i virksomhetene uten at det ytes særskilt tilskudd eller støtte fra det offentlige.
Personer mellom 50–59 utgjør en ikke uvesentlig andel av deltakerne på attføringstiltak, mens det er svært få over 60 år på denne typen tiltak. Ettersom en meget høy andel av de som er registrert yrkeshemmede deltar på aktive tiltak, er det ikke store forskjeller i deltakelsesandelene mellom aldersgruppene.
Arbeidslivstjenesten er en rådgivingstjeneste for bedriftene i arbeidet med utvikling av en god og ivaretakende bedriftskultur som skal ivareta utsatte medarbeidere. Arbeidslivstjenesten ble opprettet i 1994 i forbindelse med samlingen av ansvaret for yrkesrettet attføring i arbeidsmarkedsetaten. Målet med tjenesten er å motvirke fravær og frafall i arbeidslivet ved å gi råd og veiledning på systemnivå til arbeidsgiverne. Tjenesten er uten formelle sanksjonsmidler, og bistanden er gratis. Det er om lag 100 ansatte i arbeidslivstjenesten på landsbasis.
Tjenesten ble opprettet blant annet fordi arbeidsgivere i tidligere undersøkelser oppga at de i fremste rekke hadde behov for informasjon om offentlige støtteordninger og konkret veiledning, se Fafo sin undersøkelse referert til under bedriftsintern attføring i avsnitt 11.5. Det har derfor blitt lagt økt vekt på å gi arbeidsgivere slik støtte fra arbeidsmarkedsetaten blant annet gjennom Arbeidslivstjenesten.
Arbeidslivstjenestens bistand omfatter blant annet utvikling av bedriftsorganisasjonen for at denne skal være hensiktsmessig med tanke på et godt forebyggende helse-, miljø- og sikkerhetsarbeid. Arbeidslivstjenestens skal bidra til aktiv medvirkning og partssamarbeid, sikring av interne kommunikasjonskanaler og forståelse av den nære sammenhengen mellom kvalitetssikring av produksjonen og arbeidsmiljø. Arbeidslivstjenesten orienterer også om aktuelle lover og forskrifter, systematisk sykefraværsoppfølging og bedriftsintern attføring.
Arbeidslivstjenesten ble evaluert av Arbeidsforskningsinstituttet i etableringsfasen. Evalueringen viste at tjenesten hadde konsentrert seg om følgende tre hovedoppgaver: informasjonsspredning om offentlige virkemidler og regelverk, rådgivning om hvordan bedriftene bør organisere arbeidet med sykefravær og bedriftsintern attføring, samt veiledning om arbeidsmiljøforbedring i bedriftene.
Vurdering av arbeidsmarkedspolitikken overfor eldre arbeidssøkere
I sin drøfting av arbeidsmarkedspolitikken overfor eldre arbeidstakere anbefalte Lund-utvalget at arbeidsmarkedsmyndighetene vurderte nærmere hvordan innsatsen overfor eldre kan styrkes. Utvalget oppfordret blant annet til at det ble vurdert hvordan etatens tjenester kan nå flere eldre ledige, og hvorvidt etaten gjennom sine virkemidler mer effektivt kan kobles inn i tilfeller der eldre arbeidstakere står i fare for å bli sagt opp. På denne bakgrunn har ECON Senter for økonomisk analyse på oppdrag fra det daværende Kommunal- og arbeidsdepartementet utarbeidet en rapport om arbeidsmarkedspolitikken overfor eldre arbeidssøkere (ECON 1997).
I oppdraget ble ECON bedt om å gi en bred evaluering av arbeidsmarkedspolitikken overfor ledige over 50 år. En viktig del av ECONs utredning er en intervjuundersøkelse i arbeidsmarkedsetaten som ble gjennomført sommeren 1997. Til sammen ble om lag 100 medarbeidere i arbeidsmarkedsetaten og kursarrangører intervjuet.
I det følgende vil enkelte resultater fra intervjuundersøkelsen gjengis og kommenteres. Deretter drøftes resultatene, med henblikk på muligheten for å justere arbeidsmarkedspolitikken noe for å sikre en bedre tilpasning til eldres særskilte behov. I drøftingen av ECONs rapport må det tas hensyn til at den bygger på et noe begrenset datamateriale. I tillegg kan situasjonen også for eldre ha endret seg som følge av bedringen i arbeidsmarkedet de siste årene.
Formidling
De siste årenes fokus på å mobilisere arbeidskraft og å unngå flaskehalser i arbeidsmarkedet har medført at resultatkravene overfor arbeidsmarkedsetaten med hensyn til antall gjennomførte formidlinger er økt kraftig. I rapporten fra ECON utelukkes det ikke at de lave formidlingstallene overfor eldre arbeidssøkere til en viss grad kan forklares med at arbeidsmarkedsetaten fokuserer så sterkt på antallet formidlinger at sterke arbeidssøkere prioriteres. Ettersom unge personer erfaringsmessig er lettere å formidle vil det være mer «lønnsomt» for ansatte i arbeidsmarkedsetaten å konsentrere seg om denne gruppen, mens ledige som har større problemer med å komme inn i en ordinær jobb, får mindre oppmerksomhet enn ønskelig. Dette gjelder ofte eldre arbeidsledige.
I undersøkelsen legges det vekt på at arbeidssøkers egne holdninger til jobbsøkerprosessen i stor grad påvirker sannsynligheten for å finne nytt arbeid. Momenter som egenaktivitet, kvalitet i søkeprosessen og realistiske forventninger til hvilke typer jobber en kan forvente å få, trekkes fram som viktige betingelser for mulighetene til å komme tilbake til arbeid. Blant annet gis det i intervjuundersøkelsen uttrykk for at mange arbeidsledige ikke legger nok vekt på å søke ledige jobber, at mange eldre ikke søker på en riktig måte og at de søker på jobber de ikke er kvalifisert for. Dette kan også virke inn på arbeidsmarkedsetatens motivasjon og vilje til å prioritere eldre arbeidssøkere.
Resultatene nevnt ovenfor reflekterer synspunkter som gjør seg gjeldende blant ansatte i arbeidsmarkedsetaten. En skal være noe forsiktig med å generalisere fra slike uttrykk, men det er grunn til å tro de gjenspeiler holdninger en finner igjen i bredere grupper av samfunnet. Lav motivasjon og noe urealistiske forventninger til hva slags jobb en kan få, være delforklaringer på hvorfor eldre ledige har en tendens til å ha større problemer enn andre i arbeidsmarkedet. Dette forsterkes av dagpengeregelverket som sikrer eldre over 61 muligheten til inntektssikring fram til pensjonsalderen.
Arbeidsmarkedstiltakene
Lønnstilskudd var det tiltaket som alt i alt ble omtalt som mest virkningsfullt overfor eldre arbeidssøkere i ECON-undersøkelsen. Tiltaket fungerer som en god døråpner for mange arbeidssøkere, samt at lønnstilskudd også er det tiltaket hvor regelverket er særlig tilrettelagt for eldre arbeidssøkere.
Det synes videre å være en hovedvurdering blant de intervjuede i arbeidsmarkedsetaten at det gjennomgående er lite relevant å bruke arbeidsmarkedsopplæringen (AMO-kursene) for å lette overgangen fra ledighet til arbeid for eldre arbeidssøkere. Det ble imidlertid understreket at korte, klart yrkesrettede kurs med relativt klare utsikter til jobb har en positiv effekt.
Det gis et varierende inntrykk av erfaringene med jobbklubb. Det rapporteres om stor variasjon i bruken av tiltaket og blandete resultater der det er benyttet. Et hovedinntrykk er likevel at kvaliteten på tiltaket i stor grad er avhengig av at opplegget for kurset er godt.
Praksisplass har tidligere vært lite benyttet overfor eldre arbeidssøkere. Med innføringen av det nye tiltakstilbudet fra 1. juli 1997 for ledige som går ut av sin andre 80-ukers dagpengeperiode og som står uten dagpengerettigheter vil dette kunne endres noe.
Når det gjelder mulige endringer som kan gjøre tiltakene bedre rettet mot eldre arbeidssøkere, pekes det i intervjuundersøkelsen på at de særskilte reglene for eldre over 60 år i lønnstilskuddsordningene bør kunne gis også til noe yngre grupper, samt at AMO-kursene bør legges nært opp til næringslivets behov, og at kursene må være korte og yrkesrettede.
Attføringstiltakene
Den vanligste bakgrunnen for at eldre blir yrkeshemmet, er muskel- og skjelettlidelser. Denne gruppen utgjør godt over halvparten av de yrkeshemmede over 50 år. I tillegg er diagnosen psykiske lidelser relativt hyppig forekommende, og økende. Det kan ikke utelukkes at disse diagnosene ikke gir et fullstendig bilde av situasjonen for den enkelte og at det ofte er mer sammensatte problemer i forhold til arbeidsmarkedet som ligger til grunn for yrkeshemmingen. I tillegg har mange i denne gruppen forholdsvis lav formell utdanning, lang karriere i ensidige industrijobber, lav motivasjon til å prøve nye yrker, lite engasjement i jobbsøkerprosesser og dårlig selvtillit.
Dette innebærer at attføringsprosessen blir vanskelig. Utredningsfasen, som kommer forut for overgang til aktive tiltak, blir derfor svært viktig. I denne fasen utarbeides det en egen handlingsplan for den enkelte, hvor den yrkeshemmedes kvalifikasjoner og utsikter til nytt arbeid inngår som viktige elementer i vurderingen av en attføringsplan. I denne fasen kan medarbeiderne i arbeidsmarkedsetaten påvirke holdninger og motivasjon, og tilpasse attføringsplanen til individuelle behov. De ansatte i arbeidsmarkedsetaten la i intervjuundersøkelsen stor vekt på behovet for en god utredning av den enkeltes arbeidsevne. I tillegg ble det vektlagt at attføringsplanen hadde en konkret tidsplan som den enkelte kunne forholde seg til fram mot formidling til ordinært arbeid.
De mest brukte attføringstiltaket for eldre yrkeshemmede er arbeidstreningstiltaket sysselsetting for yrkeshemmede i offentlig sektor. Det påpekes at tiltaket sjelden fører fram til en varig sysselsetting. De gangene tiltaket har hatt en positiv effekt kjennetegnes imidlertid ved:
at arbeidsgiver tilrettelegger arbeidssituasjonen og følger opp den yrkeshemmede innenfor et målrettet attføringsopplegg,
at tiltaket er utformet som en praksisperiode i etterkant av utdanning, og
at den yrkeshemmede må se tiltaket som en del av en samlet attføringsplan.
Dette er imidlertid trekk ved et vellykket attføringsopplegg som ikke gjelder utelukkende for eldre, men bør inngå i attføringstiltakene uansett alder. Et hovedinntrykk fra intervjuundersøkelsen bekrefter dette bildet. I liten grad er kommentarene knyttet til de eldres situasjon spesielt.
Når det gjelder arbeidsmarkedsbedriftene er inntrykket blant de intervjuede at disse gjør en god jobb i vurderingen av den enkeltes restarbeidsevne, men at det attføringsfaglige arbeidet ikke alltid holder like høy standard. Det blir lagt vekt på at det er stor forskjell mellom bedriftene, og at forutsetningene for et vellykket resultat kan avhenge av flere faktorer, herunder at attføringsarbeidet prioriteres høyt, at personer med forholdsvis lik yrkeshemming får jobbe sammen og at bedriftene samarbeider aktivt med andre virksomheter i nærmiljøet.
Lønnstilskudd for yrkeshemmede framheves som det beste tiltaket for gruppen over 50 år. Det blir videre lagt vekt på at private bedrifter gjennomgående løser integreringen av den yrkeshemmede i virksomheten bedre enn institusjoner i offentlig sektor. Mulige forklaringer på det kan være at de har mindre problemer med fagforeninger som hevder at tiltaksdeltakere fortrenger annen arbeidskraft, samt at private bedrifter lettere kan ansatte folk som har vært på tiltak uten formelle ansettelsesprosedyrer.
Oppsummering
Arbeidsmarkedspolitikken skal bidra til et effektivt fungerende arbeidsmarked med høy sysselsetting og lav ledighet. Generelt er arbeidsmarkedssituasjonen i Norge for tiden meget god, men det viser seg at enkelte grupper har større problemer enn andre med å komme tilbake i jobb etter ledighet. Dette gjelder særlig eldre over 60 år. Erfaring viser at sannsynligheten for å komme over i ny jobb etter at ledighet har inntruffet reduseres raskere for eldre enn for andre grupper.
Arbeidsmarkedsetaten har et bredt register av tiltak for å bistå ledige til å komme i jobb og forhindre utstøting fra arbeidsmarkedet. Det kan dannes et inntrykk av at det er andre grupper enn eldre arbeidssøkere som har vært prioritert i arbeidsmarkedsetatens virksomhet. Det kan være flere grunner til det, herunder satsing på å få unge inn i arbeidsmarkedet for å forhindre varig utstøting av en gruppe som har en lang arbeidslivskarriere foran seg, men lavere motivasjon hos eldre arbeidssøkere til å delta på tiltak og til å være aktive jobbsøkere har nok også bidratt til å påvirke prioriteringene.
De senere årene er arbeidsmarkedstiltakene i stor grad blitt dreid i retning av korte, yrkesrettede kurs. I tillegg utgjør denne typen tiltak en større andel av de samlede tiltakene. Dette skulle tilsi at tiltaksinnrettingen nå i noen grad kan være bedre tilrettelagt for eldre arbeidstakere enn tidligere.
Som nevnt ovenfor er det bare i lønnstilskuddsordningen det er innarbeidet særlige regler for eldre (i denne sammenheng personer over 60 år). Det trenger likevel ikke være et problem at de ulike tiltak ikke er skreddersydd for enkelte aldersgrupper. For det første ville dette føre til en rigid tiltaksstruktur for arbeidsmarkedsetaten og for det andre er ingen av tiltakene så fastlåste at det ikke er mulig å tilrettelegge disse for særskilte behov.
Det kan likevel ikke utelukkes at tiltakene ikke har vært tilstrekkelig tilrettelagt for eldre arbeidssøkere, samt at denne gruppen har blitt noe nedprioritert ved tildeling av tiltak. Ved eventuelle justeringer av tiltakene er det imidlertid viktig å ta hensyn til at eldre gjennomgående kan ha noe forskjellige behov enn andre arbeidsledige.
Mens det for yngre arbeidssøkere er viktig å ikke komme for tidlig inn med tiltak og tett oppfølging for å hindre innlåsingseffekter, kan det være behov for noe raskere inngrep overfor eldre arbeidssøkere. Dette underbygges blant annet av at sannsynligheten for at eldre skal komme inn i en ny jobb reduseres betydelig raskere enn for yngre arbeidssøkere.
10.5.2 Rehabilitering for å gi flere mulighet til å stå lenge i arbeidslivet
Kvaliteten på rehabiliteringsaktiviteten vil ha betydning for om personer med funksjonsproblemer gis en reell mulighet til å komme tilbake til yrkesaktivitet. Rehabilitering er ikke et særskilt tiltak rettet mot eldre i arbeidslivet, men ettersom problemer som har oppstått tidlig i yrkeskarrieren over tid kan ha betydelig innvirkning på evnen og viljen til å stå i arbeid, vil rehabiliteringstilbudet kunne påvirke arbeidsmarkedstilpasningen senere i yrkeskarrieren. Effektiv og målrettet rehabilitering kan således også være et ledd i en bred strategi for å øke den forventede tilbaketrekkingsalderen fra arbeidslivet.
Det kan være vanskelig å avgrense rehabilitering mot behandling innenfor tradisjonell medisin på den ene siden og arbeidsmarkedspolitikk på den annen. Rehabilitering vil ofte finne sted etter et medisinsk behandlingsopplegg og gjerne munne ut i yrkesrettet attføring før tilbakevending til arbeidslivet eller eventuelt uførepensjonering. Rehabilitering omfatter både opptrening for restitusjon tilbake til normalfungering etter en sykdom eller skade og omstilling i forbindelse med omfattende medfødte eller ervervede funksjonsproblemer.
Virkemidlene innen rehabilitering går på tvers av sektorer, og avspeiler betydningen av å utarbeide tilpassede opplegg for den enkelte. Slike rehabiliteringsopplegg vil ofte omfatte en eller flere former for bistand og tiltak. Dette gjenspeiles også i at tjenestetilbudet i forbindelse med rehabilitering for voksne er fordelt på kommunalt, fylkeskommunalt og statlig nivå.
Kommunene har rehabilitering som en lovfestet oppgave i henhold til kommunehelsetjenesteloven. Loven sier imidlertid ikke noe om hvordan rehabiliteringsaktiviteten skal organiseres og tilrettelegges. Flere institusjoner på kommunalt nivå er involvert i rehabiliteringsaktiviteten. Helsestasjon og fysioterapi vil være sentrale. Samtidig har sosialtjenesten en generell opplysnings-, veilednings- og rådgivningsplikt for å løse eller forebygge sosiale problemer som også kan ha relevans i rehabiliteringsarbeidet. Dette kan omfatte praktisk bistand og opplæring for å sikre at enkeltpersoner skal kunne fortsette i arbeid, utdanning eller annen aktivitet. Kommunenes kanskje viktigste oppgave er å koordinere rehabiliteringsinnsatsen for den enkelte overfor blant annet trygdeetaten og arbeidsmarkedsetaten.
Trygdekontorene har fått en viktigere rolle som oppfølger og pådriver i tilknytning til rehabilitering. De siste årene er det satset mye på tettere oppfølging av sykmeldte, se omtale nedenfor. Etter 1994 har arbeidsmarkedsetaten ansvaret for den yrkesrettede attføringen. Mens trygdeetaten skal vurdere og avgjøre om de medisinske vilkårene for rett til yrkesmessig attføring er oppfylt, skal arbeidsmarkedsetaten ut fra kjennskap til arbeidsmarkedet og dets krav, vurdere om attføringstiltak er nødvendige og hensiktsmessige for at den trygdede skal bli i stand til å skaffe seg eller beholde høvelig arbeid.
Rehabilitering er også en del av spesialisthelsetjenesten. Premissene og oppstartingen av et rehabiliteringsløp legges ofte i spesialisthelsetjenesten. I tillegg er det nå en hjelpemiddelsentral i hvert fylke. Hjelpemiddelsentralene skal bistå som veiledere og formidlere når det gjelder tekniske hjelpemidler for å mestre hverdagslivet og en eventuell arbeidssituasjon.
I tillegg finnes det et stort antall opptreningsinstitusjoner, spesielle helseinstitusjoner og kompetansemiljøer som tilbyr kortvarige opphold som kan inngå i en rehabiliteringsprosess.
Det store antallet tilbud fordelt på mange ulike sektorer og forvaltningsnivåer innebærer også at det er mange fagprofesjoner involvert i rehabiliteringsarbeidet. Dette øker behovet for samarbeid og samordning ytterligere.
Erfaringer med rehabiliteringsarbeid tilsier at det er viktig å komme forholdsvis tidlig inn med aktive rehabiliteringstiltak og at en vellykket rehabilitering ofte vil kreve at helsetjenesten samarbeider med andre etater og instanser (trygdeetaten, sosialtjenesten, arbeidsmarkedsetaten, partene i arbeidslivet osv).
Dette tyder på at samarbeid mellom ulike etater og mellom ulike forvaltningsnivåer er sentralt for å oppnå tilfredsstillende rehabiliteringsopplegg. Samtidig er det et generelt inntrykk at rehabiliteringsarbeidet ikke er satt tilstrekkelig i system, at det er mangel på helhetstenkning og at det kan være tilfeldig hva slags tilbud den enkelte får. En landsomfattende kartlegging av kommunenes tilbud, aktiviteter og organisering av rehabiliteringaktiviteten, bekrefter dette inntrykket (Feiring m fl 1997). Undersøkelsen viser blant annet at det er svært store forskjeller mellom kommunene når det gjelder dimensjonering, organisering og kompetanse i det lokale rehabiliteringsarbeidet, og at to av tre kommuner ikke er fornøyd med utviklingen av egen rehabiliteringsvirksomhet.
Det er derfor grunn til å tro ulike tiltak som kan bidra til mer systematisk kunnskap om hvilke typer rehabiliteringsopplegg som fungerer godt, i tillegg til tiltak som bidrar til å bedre samarbeidet mellom de ulike aktørene (profesjonene, forvaltningsnivåene og brukeren) og til å klargjøre ansvarsforholdene innenfor rehabiliteringsaktiviteten, vil kunne føre til bedre kvalitet og målretting. På den måten kan flere få en reell mulighet til å fungere bedre i arbeidslivet.
10.5.3 Sykefravær og uførhet
Sykefravær
Formålet med folketrygdens sykepengeordning er å dekke bortfall av arbeidsinntekt for yrkesaktive som er midlertidig arbeidsuføre på grunn av sykdom eller skade.
Sykepenger ytes med 100 pst av inntekt opp til seks ganger folketrygdens grunnbeløp i inntil 52 uker. Arbeidsgiveren dekker de første 16 dagene av sykdomsperioden, og folketrygden resten. I statsbudsjettet for 1999 er det foreslått å utvide den såkalte arbeidsgiverperioden til 3 uker fra 1. april 1999. Dersom arbeidstakeren har en langvarig eller kronisk sykdom som medfører risiko for særlig stort sykefravær, kan arbeidstakeren selv eller arbeidsgiveren, søke om at trygden dekker utgiftene til sykepenger i arbeidsgiverperioden.
Siden siste halvdel av 1994 har det vært en sterk og kontinuerlig økning i sykefraværet. Økningen har vært spesielt stor i 1996 og 1997, med henholdsvis 10 og 8,5 pst flere sykepengedager erstattet av trygden per år i forhold til året før. Tendensen er den samme både i privat, kommunal og statlig sektor.
Sykefraværet avtar med stigende utdanningsnivå. Dette kan gjenspeile ulikheter i arbeidsforhold når det gjelder arbeidsmiljøbelastninger, rutinearbeid og grad av kontroll over egen arbeidssituasjon.
Det er en liten andel av de sysselsatte som står for mesteparten av sykefraværet. Rundt 1 pst av arbeidstakerene står for 30 pst av det samlede fraværet, mens 5 pst av arbeidstakerne har mer enn 80 pst av det samlede antallet sykefraværsdager. Dette indikerer hvor viktig det er at virkemidlene for å motvirke sykefravær rettes mot grupper der fraværet er høyt.
De siste årene har oppfølging av sykmeldte blitt prioritert i trygdeetaten. Det er etablert flere nye virkemidler for oppfølgingsarbeidet de siste årene. Dette gjelder mulighet for å yte sykepenger under aktivisering og arbeidstrening (aktiv sykmelding), arbeidsgivers plikt til å gi en redegjørelse om muligheter for tiltak på arbeidsplassen, plikt for den enkelte til å ta imot tilbud om behandling, rehabilitering eller yrkesrettet attføring, samt trygdekontorets plikt til å treffe et særskilt vedtak i sykepengesaker med varighet over 12 uker. Hensikten med tidlig oppfølging av sykmeldte er å sikre at så få som mulig mister kontakten med arbeidsplassen i forbindelse med sykdom og fravær, samt bidra til redusert overgang til varige trygdeytelser som for eksempel uførepensjon.
Graderte sykepenger
Ved delvis arbeidsuførhet kan det ytes graderte sykepenger hvis inntektsevnen er satt ned med minst 20 pst. Det betyr at man jobber for eksempel to dager og er sykmeldt i tre dager, eller man kan jobbe halv dag.
Sykmeldingsattest II
Etter åtte uker skal legen avgi en legeerklæring «sykmeldingsattest II». Ved utfylling av sykmeldingsattest II må legen vurdere diagnosen på nytt, oppsummere sykehistorien og redegjøre for de viktigste funnene i de undersøkelser som er foretatt. Videre skal legen gi en vurdering av mulighetene for at vedkommende kan bli arbeidsfør igjen og redegjøre for det videre behandlingsopplegget. Legen skal herunder gi en begrunnet funksjonsvurdering i forhold til det arbeid den sykmeldte har. Hensikten er å få langtidssykmeldte tilbake til arbeid så raskt som mulig, blant annet ved spesielle behandlings- og attføringstiltak.
12 ukers-vedtaket
Dersom vedkommende er syk lenger enn 12 uker, skal trygdekontoret gjøre skriftlig vedtak om videre rett til sykepenger. Vedtaket blir gjort etter en totalvurdering av alle foreliggende opplysninger. Ordningen trådte i kraft i 1993 og må ses i lys av målsettingen om å komme tidlig inn med tiltak overfor sykmeldte.
Intensjonen er at trygdekontoret skal lage en konkret oppfølgingsplan i samråd med behandlende lege, den sykmeldte selv, arbeidsgiveren og arbeidskontoret eller andre involverte instanser. Trygdekontoret må da vurdere om det er behov for medisinske, yrkesrettede eller andre tiltak.
Aktiv sykemelding
For en periode på opptil 12 uker, kan trygdekontoret godkjenne at det ytes sykepenger under arbeidstrening og aktivisering på arbeidsplassen, såkalt aktiv sykmelding. Siktemålet er tidlig og mer aktiv oppfølging av den enkelte for å hindre utvikling av langvarige sykefravær, opprettholde tilknytning til arbeidslivet og motvirke overgang til varige trygdeordninger. Aktiv sykmelding må avtales med trygdekontoret.
Før trygdekontoret godkjenner arbeidstrening eller bedriftsintern attføring må det foreligge en konkret plan for arbeidstrening eller andre tiltak på arbeidsplassen. Trygdekontoret bør også vurdere om bedriftsinterne attføringstiltak er nødvendig og hensiktsmessig for at arbeidstakeren skal kunne beholde sin arbeidsplass i bedriften.
I løpet av 12-ukersperioden er det et mål å kunne klarlegge om den sykmeldte kan gå tilbake til tidligere arbeidsoppgaver eller om det er behov for særlig tilrettelegging på permanent basis. Det kan også ytes sykepenger utover 12-ukersperioden dersom arbeidstrening eller annen bedriftsintern attføring er nødvendig og hensiktsmessig for at den sykmeldte skal kunne beholde arbeidet.
Støtte til hjelpemidler på egen arbeidsplass
Det er først og fremst arbeidsgivers ansvar å legge forholdene til rette for de ansatte. Men trygdekontoret kan gi støtte til hjelpemidler, ombygging av maskiner osv, hvis det er nødvendig for at den enkelte kan fortsette i arbeid.
Kjøp av behandling til sykmeldte
Trygdeetaten vil i løpet av 1997 og 1998 gjennomføre forsøk hvor trygdeetaten gis anledning til å kjøpe utredning og behandling av sykmeldte i nabofylker. Prosjektet er fra inneværende år i prinsippet tilgjengelig for sykmeldte fra hele landet. Erfaringene så langt viser at det er noe administrativt krevende å etablere ordningen. Det viser seg at behovet i noen tilfelle er litt mindre enn antatt. En stor andel av pasientene blir friskmeldt etter nærmere utredning, noen har kompliserende tilleggslidelser, mens andre takker nei til tilbudet. En evaluering av tiltakene vil foreligge i løpet av 1999.
Uførepensjon
Formålet med folketrygdens uførepensjon er å sikre inntekt for personer som har fått sin inntektsevne eller arbeidsevne varig nedsatt på grunn av sykdom, skade eller lyte. Det er et vilkår for rett til uførepensjon at vedkommende har gjennomgått hensiktsmessig behandling og attføring. Når et behandlings- eller attføringstiltak skal vurderes, legges det vekt på alder, evner, utdanning, yrkesbakgrunn og arbeidsmuligheter.
Det er et vilkår for rett til uførepensjon at evnen til å utføre inntektsgivende arbeid er varig nedsatt med minst halvparten. Ved vurderingen av hvor mye inntektsevnen er nedsatt (hvor høy uføregraden er), skal inntektsmulighetene i ethvert arbeid som vedkommende kan utføre, sammenliknet med de inntektsmulighetene vedkommende hadde før sykdommen, skaden eller lytet oppstod. Når inntektsmulighetene vurderes skal det legges vekt på alder, evner, utdanning, yrkesbakgrunn, arbeidsmuligheter på hjemstedet og arbeidsmuligheter på andre steder der det er rimelig at vedkommende tar arbeid.
Det er et mål at flest mulig som ønsker og har helse til det skal kunne være selvforsørget ved eget arbeid. Uførepensjonsordningen skal stimulere til arbeid og arbeidstilknytning for personer i yrkesaktiv alder, samtidig som de skal gi trygghet ved tap av inntekt. I forbindelse med Velferdsmeldingen ble innført endringer i ordningen med sikte på større fleksibilitet med hensyn til å prøve seg i arbeidslivet uten å miste retten til pensjon og til å få bedre muligheter til å utnytte restarbeidsevnen.
Høyere inntektsgrense for revurdering av uføregraden
Uførepensjon skal som hovedregel utgjøre så stor del av hel uførepensjon som svarer til graden av nedsettelse i uførepensjonistens inntektsevne. Dersom den faktiske inntekten etter inntrådt uførhet blir større enn det den medisinske tilstanden og inntektsmulighetene på uføretidspunktet ellers skulle tilsi, vil dette medføre en lavere uføregrad. Med virkning fra 1. mai 1997 ble inntektsgrensen for revurdering av uføregraden økt fra ½ G til 1 G.
Økningen av friinntektsgrensen ble begrunnet med at det vil gi uførepensjonister større muligheter til inntektsøkning og avansement i arbeidslivet, og at dette må anses som et viktig virkemiddel for å motivere uførepensjonerte til større yrkesaktivitet. På den annen side kan særlig personer med hel uførepenjon oppnå en relativt god samlet inntekt ved å kombinere trygd og arbeidsinntekt opp til 1 G. Dette kan dempe motivasjonen til å øke arbeidsinnsatsen ut over friintektsgrensen.
Utvidelse av frysperioden for pensjonsretten under arbeidsforsøk
Retten til uførepensjon beholdes så lenge uførepensjonisten er i lønnet og tidsbegrenset arbeidstrening som er godkjent av arbeidsmarkedsetaten. Uførepensjon ytes og ved kortere perioder i ordinært eller annet varig arbeid. Selve utbetalingen av pensjonen stanses eller reduseres i forhold til inntekten. Denne perioden omtales ofte som «frysperioden» for uførepensjon.
Vedkommende får tilbake uførepensjonen uten ny søknadsprosedyre dersom arbeidsforsøket mislykkes.
Frysperioden skal gi uførepensjonister anledning til å prøve ut om de er i stand til å arbeide. En begrensning på hvor lenge man kan prøve seg i arbeidslivet før retten til uførepensjon faller bort, kan føre til at enkelte har betenkeligheter med å delta i arbeidsforsøk fordi de ønsker å være sikret den økonomiske tryggheten uførepensjon gir.
For å motivere flere uføre til å prøve seg i arbeidslivet ble det i forbindelse med behandlingen og oppfølgingen av Velferdsmeldingen bestemt at frysperioden skulle økes fra ett til tre år. Økningen ble begrunnet med at tre år vil i de fleste tilfeller være nok til å kunne ta stilling til om vedkommende er i stand til å etablere et varig arbeidsforhold, eller om han eller hun vil måtte gå tilbake til uførepensjon.
Forsøk med lavere gradering av uførepensjon enn 50 pst
Som nevnt ovenfor er det et vilkår for rett til uførepensjon at evnen til å utføre inntektsgivende arbeid er nedsatt med minst halvparten. I Velferdsmeldingen pekes det på at en konsekvens kan være at man prøver å oppnå 50 pst uførepensjon for ikke å stå uten noen stønad. Det ble også vist til at personer med 50 pst uføregrad kan oppfatte det som urimelig at uførepensjonen vil falle bort dersom de forsøker å øke stillingsandelen. På denne bakgrunn ble det innført en forsøksordning med lavere uførepensjon enn 50 pst slik at flere kan kombinere arbeid og trygd. Erfaringene så langt viser imidlertid at få personer benytter denne muligheten.
Oppsummering
Det har i de senere årene vært en sterk og bekymringsfull økning i sykefraværet og tilgangen på nye uførepensjonister, etter en viss nedgang i begynnelsen av 1990-årene. Det er imidlertid vanskelig å si noe sikkert om hva som ligger til grunn for denne utviklingen. Forskningsarbeider vektlegger flere årsaksfaktorer for sykefraværsutviklingen, herunder kompensasjonsnivå, arbeidsmarkedssituasjonen, arbeidsforhold og arbeidsmiljø, fraværskultur, holdninger og familiesituasjon. Selv om forskningen gir kunnskap om noen av faktorenes betydning isolert sett, har en fortsatt en svak forståelse av faktorenes relative bidrag til sykefraværsutviklingen.
Det er uklart hvor stor effekt de enkelte tiltakene omtalt ovenfor har bidratt til å redusere sykefraværet og til at flere får mulighet til å stå lenge i arbeid. Flere av ordningene har blitt relativt lite benyttet. Dette kan tyde på at de enten er lite ønsket av enten den enkelte eller tjenesteapparatet eller at ordningene fortsatt er lite kjent.
På bakgrunn av utviklingen i sykefraværet og uførepensjonering de siste årene, og de velferdsmessige problemer dette skaper knyttet både til den budsjettmessige handlefriheten og med å opprettholde en høy yrkesdeltaking, er det i Statsbudsjettet 1999 varslet at regjeringen vil sette ned et offentlig utvalg til å utrede årsaker til økningen i sykefravær og nytilgang til uførepensjon, kartlegge ordningens sosialpolitiske og samfunnsøkonomiske rolle, og foreslå tiltak som kan bidra til å redusere sykefraværet og uføretilgangen. En viktig oppgave for dette utvalget vil være å bidra til å sammenfatte eksisterende kunnskap og bidra til ny kunnskap om drivkreftene bak utviklingen de senere årene.
10.6 Etter- og videreutdanning
Flere utviklingstrekk i samfunnet, som for eksempel internasjonalisering, økt konkurranse og den teknologiske utviklingen peker i retning av økt omstilling og dermed behov for en arbeidsstyrke som er fleksibel og i stand til kontinuerlig å skaffe seg ny kompetanse. Oppdatering og fornyelse av yrkes- og fagkompetanse gjennom hele yrkeskarrieren er derfor vesentlig for at hele arbeidsstyrken kan få mulighet til å ta i bruk og gjøre seg nytte av ny kunnskap og teknologi. Etter- og videreutdanning for voksne vil også gjøre denne gruppen bedre i stand til å konkurrere om de nye jobbene.
10.6.1 Etter- og videreutdanningsaktivitet blant eldre
Det er i dag stor etter- og videreutdanningsaktivitet i arbeidslivet. I Arbeidslivs- og bedriftsundersøkelsen 1995 (ABU) svarer vel 1/3 av alle norske arbeidstakere at de hadde fått formell utdanning i løpet av de siste tolv månedene. I følge ABU benyttes i gjennomsnitt 10–12 arbeidsdager til slik virksomhet. Kurslengden varierer, men det framgikk at de fleste hadde deltatt på kurs av en ukes varighet. I en utvalgsundersøkelse fra 1996 (Larsen m fl 1997) spørres det om opplæring over en litt lengre tidsperiode. Her svarer om lag 3/4 av alle arbeidstakere at de har deltatt på ett eller flere formelle kurs i løpet av de siste fem årene. Formålet for de fleste arbeidstakerne har vært å øke kvalifikasjonskravene i nåværende jobb. Mens 61 pst har deltatt på interne kurs med dette som formål, har 45 pst deltatt på eksterne kurs av denne typen.
Etter- og videreutdanningsvirksomheten kjennetegnes med at det er liten forskjell i deltakelse mellom kvinner og menn, er mer utbredt i offentlig enn i privat sektor, vanligst i tjenesteytende næringer og blant de som har høy grunnutdanning. Gjennomgående deltar yngre arbeidstakere mer på etter- og videreutdanningstiltak enn eldre. I henhold til Arbeidsgiver- og bedriftsundersøkelsen 1995 deltar i underkant av 40 pst i aldersgruppen 30–49 år på arbeidsgiverfinansiert etter- og videreutdanningsaktivitet, mens andelen er om lag 32 pst for aldersgruppen 50–59 år. For arbeidstakere over 60 år er deltakelsen betydelig lavere, om lag 20 pst. Lavest kursdeltakelse har uorganiserte kvinner over 50 år som har en stilling som ikke krever fagutdanning. Det samme mønstret finner en i nyere AKU-statistikk, selv om dette er over en kortere periode, se figur 10.5.

Figur 10.5 Deltakelse på jobbrelevant kurs og utdanning med lønn fra arbeidsgiver
Det kan være flere grunner til at eldre i mindre grad enn yngre deltar på kunnskapsutviklende tiltak. Gerontologisk forskning indikerer at evnen til å lære hurtig blir dårligere med alderen, spesielt hvis den nye kunnskapen er kvalitativt forskjellig fra tidligere evner. Dette kan føre til at arbeidsgivere anser det som mindre lønnsomt å satse på kompetanseutvikling blant eldre. På den annen side kan de problemene enkelte eldre har i forhold til læring, i stor grad være knyttet til organiseringen av opplæringen. Tilpassede kurs og opplæringsprogrammer for eldre arbeidstakere som tar utgangspunkt i de egenskapene og det erfaringsgrunnlaget denne gruppen har kan bøte på dette problemet. OECD anbefaler for eksempel at opplæringsprogrammer for eldre personer bør (Casey, 1997):
inneholde «learning by doing»,
bygge på eksisterende strukturer,
være direkte anvendbare og
ha et tilpasset tempo.
Det er imidlertid en balansegang her. Studier viser at virksomheter som har oppnådd best resultater ved etter- og videreutdanning av eldre, har lagt vekt på at opplæringen ikke har vært rettet mot de «eldre arbeidstakerne», men mot arbeidstakere generelt (OECD 1997).
Det er også blitt pekt på at jo eldre en person er, desto kortere er det igjen til vedkommende pensjoneres, og dermed kan «tilbakebetalingstiden» for bedriften i investeringer i eldres kunnskap synes tilsvarende kort. Tall fra OECD tyder imidlertid på at dette ikke nødvendigvis er tilfelle. Gjennomgående skifter yngre arbeidstakere jobb oftere enn eldre, slik at gjenværende ansettelsestid ofte er lenger for eldre arbeidstakere enn for yngre. Studier indikerer også at bedrifter som tilbyr opplæring til både yngre og eldre arbeidstakere, opplever at den siste gruppen blir værende i bedriften lengre enn den første. Som følge av teknologiske endringer og ny kunnskap reduseres i tillegg stadig den tiden det tar før ny kompetanse er foreldet, slik at ny opplæring i alle tilfeller vil være nødvendig etter noen år. Dette trekker i retning av at selv arbeidstakere med relativt kort tid igjen til pensjonsalderen vil kunne ha lang nok forventet gjenværende ansettelsestid til at opplæring gir tilfredsstillende avkastning.
Arbeidstakernes motivasjon for å ta etter- og videreutdanning er i stor grad knyttet til forventninger om at kompetansehevingen skal komme til nytte i den jobben de har. Dette kommer klart fram i en undersøkelse om etter- og videreutdanning blant et representativt utvalg av arbeidstakere (MMI 1996). Denne undersøkelsen viser også at det er sjelden arbeidsgivere sier nei til arbeidstakeres initiativ til å delta i organisert opplærling. På spørsmål om hva arbeidstakerne først og fremst la vekt på som motivasjon for å delta på kompetansefremmende tiltak, nevnte godt over halvparten større faglig sikkerhet i jobben mens nær 20 pst ønsket å bli mer tilfreds med seg selv.
10.6.2 Dokumentasjon av realkompetanse
Det har de siste tiårene funnet sted en fundamental endring i utdanningsmønstre som har ført til store ulikheter mellom generasjonene, se avsnitt 4.3. Yngre generasjoner vil ha eksamenspapirer fra videregående eller høyere utdanning, mens de eldre i større grad ikke vil ha det. Eksamenspapirer er en inngangsbillett til videre utdanning samtidig som formell dokumentasjon fra videregående opplæring har fått større betydning ved ansettelser. Dette skyldes til dels at de fleste som kommer inn i arbeidsmarkedet har det, og at krav til formell utdanning kan bli en utsilingsmetode ved nyansettelser. I deler av arbeidslivet er det også en økende tendens til at ansattes formelle kompetanse blir vektlagt, blant annet i bedriftenes konkurranse om anbud og ved inngåelse av større kontrakter. Det blir også stadig mer vanlig at virksomhetene stilles overfor krav om at arbeidsstokken skal ha visse typer kompetanse for å få ulike typer sertifisering og kvalitetsgodkjenning.
Denne utviklingen kan føre til at eldre arbeidstakere uten dokumentert kompetanse blir mindre attraktiv enn yngre, selv om realkompetansenivået mellom dem ikke skulle tilsi det. Realkompetanse blir i stor grad tilegnet gjennom organisert opplæring i arbeidslivet, og ved at det er utviklet ulike typer opplæringskrav og sertifiseringsordninger uavhengig av det offentlige utdanningssystemet. Dokumentasjonsordninger for å godtgjøre realkompetanse kan derfor være viktig for å sikre eldre mulighet til å beholde en jobb etter omstruktureringsprosesser og konkurrere om nye jobber i forbindelse med arbeidsledighet. Dokumentasjon og verdsetting av realkompetanse vil også kunne føre til at den enkelte blir mer bevisst sine kvalifikasjoner og utviklingsbehov, noe som kan gi økt trygghet og motivasjon og derigjennom også grunnlag for fortsatt faglig utvikling.
Ervervet realkompetanse i arbeids- og samfunnslivet blir i noen grad dokumentert gjennom ulike former for attester. Anerkjennelsen av denne formen for dokumentasjon i samfunnet er i vesentlig grad avhengig av på hvilken bakgrunn og hvordan attesten er utformet, og ikke minst hvilken institusjon som har utstedt den.
I henhold til voksenopplæringsloven skal staten sørge for at voksne får adgang til å dokumentere sine kunnskaper og ferdigheter på alle nivåer og områder i det offentlige utdanningssystemet, uavhengig av på hvilken måte de har skaffet seg kunnskapene. For personer med arbeidslivserfaring vil særlig muligheten til å ta fagprøve etter § 20 i lov om fagopplæring i arbeidslivet (§ 20-ordningen) være aktuell for å dokumentere kompetanse ervervet gjennom praktisering av et yrke (se boks 10.2). Inntrykket er at denne ordningen er verdsatt høyt i næringslivet, og at den er vurdert som en sentral ordning for å kunne dokumentere nødvendig kompetanse i ulike steg i produksjonen.
Boks 10.2 § 20-ordningen
§ 20-ordningen er en dokumentasjons- og prøveordning som gir voksne anledning til å få godskrevet arbeidspraksis som grunnlag for å avlegge yrkesteoriprøven til fagbrev. De nye fagene som er kommet til etter Reform 94, har økt ordningens betydning, og antall § 20-kandidater har økt. Ordningen er delvis en dokumentasjonsordning. Det kreves en bestemt dokumentert allsidig praksis i faget før fagprøven kan avlegges, men det kreves ikke dokumentert noen forutgående teoretisk opplæring.
Formålet med § 20-ordningen er:
å la voksne med relevant yrkeskompetanse få anledning til å dokumentere sin kompetanse uten krav til tidligere utdanning ved å avlegge fagprøve
å sikre kvalifiserte fagarbeidere for næringslivet
å bidra til rekruttering av instruktører og faglige ledere i fagopplæringen
å øke omstillingsevnen.
Gjennom § 20-ordningen får bedrifter også mulighet til raskt å bygge opp nødvendig kompetanse innenfor nye fag og bli godkjent som lærebedrift.
Nesten halvparten av alle fagprøver avlegges av § 20-kandidater. Den «gjennomsnittlige» § 20-kandidaten er en mann mellom 30 og 40 år. Bakgrunn og tidligere utdanning som ikke har direkte relevans for godkjenning av praksis, registreres ikke.
Erfaringer tilsier at § 20-kandidatene avlegger fag- eller svenneprøve ut fra motiver som økt lønn, økt yrkesstatus, økt selvfølelse og yrkesstolthet, tryggere ansettelsesforhold og sterkere posisjon som arbeidssøker.
Videre har arbeidstakeren i henhold til arbeidsmiljøloven § 68, krav på sluttattest som inneholder ulike sentrale opplysninger om blant annet hva arbeidet har bestått i og arbeidsforholdet for øvrig. I tillegg har arbeidstakeren krav på en mer utførlig attest hvor dette er sedvane og ikke annet er fastsatt i tariffavtale. En slik attest kan være en dokumentasjon av ervervet realkompetanse dersom den inneholder opplysninger om arbeidsform og opplæring som arbeidstaker har deltatt i, både eksternt og internt.
Utvalget som utredet etter- og videreutdanning for voksne (NOU 1997: 25) la vekt på at de tradisjonelle attestene ikke strekker til i en situasjon hvor det stilles økende krav til arbeidsstokkens dokumenterte kunnskaper og ferdigheter. For å sikre et bedre system for dokumentasjon av realkompetanse i arbeidslivet foreslo utvalget derfor at det etableres systemer slik at intensjonen i lov om voksenopplæring blir oppfylt. Utvalget anbefalte at partene i arbeidslivet og utdanningssektorene i samarbeid definerte et prosjekt om utvikling og utprøving av konkrete dokumentasjonsordninger til bruk i arbeidslivet og som grunnlag for fastsetting av realkompetanse i det offentlige utdanningssystemet. Det ble lagt vekt på at en slik dokumentasjonsordning skal ha basis i arbeidslivet, og at det derfor er viktig at arbeidslivets organisasjoner tar del i utviklingen og driften.
I forhold til utdanningssystemet foreslo utvalget ingen endringer i tilknytning til grunnskolenivået. På videregående nivå mente utvalget det er behov for et system for dokumentasjon og eventuell likestilling av realkompetanse som en fullverdig del av videregående opplæring. Konkret foreslo utvalget at fylkeskommunen fortsatt skal ha ansvaret for å fastsette den enkeltes kompetanse innen videregående opplæring, inklusive fagopplæringen. I arbeidet med å vurdere realkompetansen foreslo utvalget at fylkeskommunen benytter en rådgivende kompetansenemnd som får ansvar for å fastsette kompetansen på en slik måte at den enkelte kan ta fatt på videregående opplæring på et nivå som står i forhold til ervervet realkompetanse.
I høyere utdanning mente utvalget prinsippene kunne være de samme som for videregående opplæring, men med et noe annerledes institusjonelt rammeverk.
I høringsrunden støttet stort sett alle høringsinstansene behovet for nye dokumentasjonsordninger. Det ble gitt generell tilslutning til et system som har relevans og anerkjennelse både i arbeidslivet og i forhold til utdanningssystemet.
I St meld nr 42 (1997–98) Om kompetansereformen understreker Kirke-, utdannings- og forskningsdepartementet behovet for at § 3 i lov om voksenopplæring blir realisert i tråd med intensjonene, og at det derfor er nødvendig å få etablert et system for fastsetting av realkompetanse så snart som mulig.
Departementet legger vekt på at privatist- og dokumentasjonsordningene er nødvendige som en del av fastsettingen av realkompetanse, og at disse må opprettholdes og videreutvikles. Videre understreker departementet at det i tillegg må bygges opp et system som supplerer disse ordningene, og at dette må være basert på følgende prinsipper:
Det må ta utgangspunkt i den realkompetansen som ikke er identisk med den kompetansen som er fastsatt i offentlige læreplaner og som testes ved offentlige eksamener, men som kan betraktes som likeverdig med denne. Kompetansen kan være tilegnet i arbeid, gjennom forskjellige typer utdanning og i andre typer erfaringssituasjoner.
Det må bygges opp et system der de dokumentasjonsordningene som utvikles innenfor arbeidslivet, relativt enkelt kan kobles til de offentlige ordningene for kompetansefastsetting. Det må være ett dokumentasjonssystem som i størst mulig grad har legitimitet både i arbeidslivet og i utdanningssystemet – og der også koblingene foretas internasjonalt.
Departementet tar i stortingsmeldingen ikke endelig stilling til hvordan en skal nå målsettingen, men i forslaget til statsbudsjett for 1999 peker Regjeringen på at etablering av et system for dokumentasjon og verdsetting av realkompetanse må prioriteres i startfasen av reformprosessen. Det framheves at systemet må ha legitimitet både i arbeidslivet og utdanningssystemet, og at det kreves et nært samarbeid mellom de involverte partene. Det foreslås bevilget 10 mill kroner i 1999-budsjettet til arbeid med dokumentasjon av realkompetanse inn mot videregående opplæring.
10.7 Fafo-rapporten Mellom arbeid og pensjon
10.7.1 Innledning
På oppdrag fra Sosial- og helsedepartementet foretok Fafo i 1997 en kartlegging av den faktiske pensjoneringsatferden blant personer i aldersgruppen 60 til 70 år (West Pedersen 1997).Kartleggingen er utformet som en kvantitativt orientert intervjuundersøkelse og omfatter foruten kartelegging av pensjoneringsatferden også analyser av respondentenes oppgitte grunner til pensjonering og reaksjon på hypotetiske endringer i arbeidssituasjonen og pensjonssystemet. Formålet med undersøkelsen har blant annet vært å kombinere beskrivelsen av faktisk avgangsmønster med et forsøk på å avdekke hvilke behov og preferanser personene i de aktuelle aldersgruppene gir uttrykk for og oppfatter som viktige for sine tilpasninger i overgangen mellom arbeid og pensjon.
Undersøkelsen er basert på telefonintervjuer med et tilfeldig utvalg på 1500 personer. I tillegg er det trukket ut et spesialutvalg på 500 AFP-pensjonister fra Rikstrygdeverkets registre. Svarprosenten fra det opprinnelige utvalget er på 64,1 pst. Omlag 1/3 av utvalget var yrkesaktive på intervjutidspunktet, mens knapt halvparten hadde forlatt arbeidslivet etter fylte 55 år. I denne gruppen var 45,2 pst pensjonister, mens 3,5 pst verken var pensjonister eller yrkesaktive, det vil si at denne gruppen må ha blitt forsørget på annen måte. Den resterende gruppen på 20 pst bestod av personer som enten aldri hadde vært yrkesaktive eller hadde forlatt yrkeslivet før fylte 55 år.
10.7.2 Egenrapporterte grunner for å gå av med pensjon
Figuren nedenfor viser hvilke grunner de spurte selv oppgir som utslagsgivende for deres valg av avgangstidspunkt. Med utgangspunkt i respondentenes opplysninger om eget faktisk avgangstidspunkt (pensjonistene) eller forventet avgangstidspunkt (de yrkesaktive) ble de spurt om grunnen til at de gikk av på et gitt tidspunkt eller kommer til å gå av nettopp da, framfor å fortsette i arbeid. Spørsmålene vedrørende egenrapporterte grunner til å gå av med pensjon er av hypotetisk karakter for de yrkesaktive. Det er derfor særlig usikkerhet knyttet til disse resultatene.

Figur 10.6 Grunner til forventet og faktisk pensjonering framfor fortsatt yrkesaktivitet.
Det er klare forskjeller mellom de yrkesaktive og pensjonistene når det gjelder grunner til å gå av. Nesten halvparten av pensjonistene (46 pst) oppgav at helsesvekkelse var viktig, mens 17 pst av de yrkesaktive regnet med å gå av grunnet helseproblemer. Denne gruppen vektlegger i sterkere grad mer fritid (32 pst), at det blir for anstrengende å jobbe (21 pst), og at de har en alder der det er vanlig å gå av (21 pst) som årsaker for pensjonering. En viktig forklaring på denne forskjellen er at mange pensjonister har gått av på grunn av helseproblemer, mens mange eldre arbeidstakere fortsatt er i arbeid nettopp takket være god helse.
Forskjellen i oppgitte grunner til å gå av med pensjon mellom de yrkesaktive og pensjonistene kan også gi en indikasjon på utstøting fra arbeidslivet som forklaring på pensjoneringsatferd. Avgang på grunn av forventninger fra arbeidsgiver eller kollegaer, oppsigelse og i en viss grad som følge av at jobben er for anstrengende peker mot utstøtingsmekanismer. Av pensjonistene oppgir 14 pst en av de to førstnevnte grunnene for avgang, mens 5 pst av de yrkesaktive regner med at dette vil være årsaken til pensjonering. En av fem yrkesaktive regner med å gå av med pensjon fordi jobben blir for anstrengende, mens vel 10 pst av pensjonistene oppgir denne grunnen til pensjonering.
Som nevnt foran synes det å være forskjeller mellom yngre og eldre i den aktuelle aldersgruppen når det gjelder begrunnelser for pensjonering, noe som kan tyde på at det skjer en holdningsendring mellom kohorter eller over tid. For å undersøke dette nøyere er svarene fra de yrkesaktive gruppert i tre alderskategorier; 60–63 år, 64–66 år og 67–70 år. Disse gruppenes oppgitte grunner for pensjonering kan sammenliknes innbyrdes og med pensjonistene i utvalget. Ønsket om mer fritid er den årsaken som klarest skiller gruppene. Mer enn 1/3 av den yngste gruppen oppgir denne grunnen, mens ¼ av den eldste gruppen gjør det. Dette styrker antakelsen om at yngre yrkesaktive vektlegger fritid i større grad enn eldre.
Fordelingen av svarene på spørsmålene i figur 10.6 er også inndelt i fire undergrupper i henhold til hvilken pensjonsordning de benyttet eller vil benytte: AFP, uførepensjon, annen tidligpensjon eller alderspensjon som første pensjon. Som forventet oppgis sviktende helse som hovedgrunn for pensjonering blant uførepensjonistene. Blant AFP-pensjonistene dominerer ønsket om mer fritid, i tillegg til at 1/4 oppgir at jobben er for anstrengende. Andre tidligpensjonister oppgir også ønsket om mer fritid som hovedgrunn, fulgt av fastsatte særaldersgrenser eller trussel om oppsigelse fra arbeidsgiver. I gruppen som går av med ordinær alderspensjon som første pensjon, er det en stor andel som oppgir at det er vanlig å gå av ved denne alderen. Om lag 1/5 av alderspensjonistene sier at dårlig helse eller en anstrengende jobb er hovedårsak til pensjoneringen. I alle gruppene unntatt blant uførepensjonistene oppgav mellom 20 og 30 pst «andre grunner» som viktige for deres valg av avgangstidspunkt. Dette viser at det finnes andre viktige motiver bak pensjoneringsbeslutningen som ikke er fanget opp av Fafos undersøkelse.
I undersøkelsen er det også trukket et eget spesialutvalg bestående av 500 AFP-pensjonister for å belyse hvorvidt deres preferanser avviker fra andre pensjonister. Mens pensjonistene i det opprinnelige utvalget samlet sett angir dårlig helse (46 pst) og ønske om mer fritid (12 pst) som hovedgrunner for å gå av, oppgir AFP-pensjonistene for anstrengende arbeid (41 pst) foran ønsket om mer fritid (36 pst) og helse (19 pst). Hovedårsaken til disse variasjonene ligger trolig i at en stor del av pensjonistene er uførepensjonister og følgelig har gått av grunnet sviktende helse, mens en større del av AFP-pensjonistene går av på grunn av slitasjeproblemer.
10.7.3 Egenrapporterte grunner til å fortsette i jobb
I undersøkelsen ble både pensjonistene og de yrkesaktive også spurt om de faktisk gikk av eller forventer å gå av ved første mulige anledning (det vil si nådd pensjonsalderen i AFP, pensjonsalderen i folketrygden eller aldersgrensen i en tjenestepensjonsordning), eller om de ble/blir stående i arbeid ut over dette. Andelen av utvalget som oppgav at de står i arbeid lengre enn nødvendig utgjør et mindretall på ca 30 pst. Denne gruppen består av pensjonister som i sin tid utsatte pensjoneringen så vel som yrkesaktive. Alderssammensetningen er 60–70 år som i resten av undersøkelsen. Gruppen omfatter 43 pst av de yrkesaktive og 17 pst av pensjonistene.
Ved å se nærmere på hvilke grunner denne gruppen oppgir for å bli stående i arbeid, kan en få kjennskap til hvilke tiltak som kunne bidra til å øke avgangsalderen i tiden framover. Undersøkelsen belyser også hvorvidt disse personene betrakter sitt valg om å utsette pensjoneringen som frivillig eller som nødvendig grunnet økonomiske vurderinger eller andre forhold.

Figur 10.7 Ulike grunner til å stå lengre i arbeid enn nødvendig blant pensjonister og yrkesaktive som utsetter pensjoneringen.
Den enkeltfaktoren som framheves sterkest er kvaliteter ved jobben. Om lag 87 pst av de yrkesaktive og 82 pst av pensjonistene oppgir at det er ganske eller svært viktig at jobben er interessant. Drøyt halvparten av utvalget sier at det er viktig at bedriften legger forholdene til rette og en tilsvarende gruppe vektlegger at arbeidsgiver har behov for dem. Dette peker klart i retning av at forholdene ved den enkelte arbeidsplass har stor betydning for hvorvidt den enkelte velger å pensjonere seg eller å fortsette i arbeid.
En annen type begrunnelse for å utsette pensjoneringstidspunktet er knyttet til vurderinger omkring personlig økonomi. Vel halvparten av de yrkesaktive og vel 1/3 av pensjonistene oppgir at de ikke har råd som grunn til å utsette pensjoneringstidspunktet. Av de yrkesaktive oppgir 36 pst at det spiller en viktig rolle at de kan opparbeide en høyere pensjon ved å utsette pensjoneringstidspunktet, mens 23 pst av pensjonistene oppgir dette som hovedårsak.
Pensjonistene og de som fortsatt er yrkesaktive oppgir stort sett de samme grunnene til å fortsette. De yrkesaktive påpeker imidlertid i større grad økonomiske hensyn/gevinst som begrunnelse.
10.7.4 Tiltak som kan påvirke pensjonsbeslutningen
Intervjuobjektene i undersøkelsen ble også spurt om tilpasninger i jobbsituasjonen eller endringer i ytelsesnivået i pensjonsordningen kunne bidra til utsatt pensjonering. Hovedinntrykket er at tiltak i tilknytning til arbeidssituasjonen bare i liten grad kan bidra til endret pensjoneringsatferd. Blant de yrkesaktive var det en noe større tilbøyelighet enn blant pensjonistene til å mene at endret jobbsituasjonen gjennom enklere mulighet til å kombinere arbeid og pensjon, individuell tilpasning av arbeidstiden, arbeidstempoet eller arbeidsoppgavene kunne påvirke pensjoneringsbeslutningen. 30 pst av de yrkesaktive hadde denne innstillingen, mens bare 20 pst av pensjonistene hadde det. Lettere kombinasjon av arbeid og pensjon var det tiltaket som flest oppgav som betydningsfullt. Spesialutvalget med AFP-pensjonister responderte på samme vis som pensjonistene i hovedutvalget.
I undersøkelsen gis det også et inntrykk av at pensjoneringsbeslutningen bare i liten grad kan påvirkes gjennom høyere pensjonsytelser som premiering for å stå lenger i arbeid. Nær 45 pst i hovedutvalget oppgir at de ikke ville gått av/vurdere å gå av senere uansett påslag i pensjonen. Om lag 35 pst oppgir at de ikke er sikre, mens et flertall av dem som oppgir et beløp mener den årlig framtidige pensjonen måtte økes med 20 000 kroner eller mer.
På den annen side ser det ut til at økonomiske insentiver har en betydelig effekt dersom de årlige pensjonsytelsene ble redusert mot å kunne gå av ett år tidligere. 55 pst av hovedutvalget oppgir at det ikke er aktuelt uansett, mens 33 pst oppgir usikkerhet. De som oppgir at en redusert varig ytelse kunne være aktuelt, mener det må dreie seg om en forholdsvis beskjeden kostnad, det vil si under 10 000 kroner i årlig redusert ytelse. Blant AFP-pensjonistene oppgav nær 70 pst at reduserte ytelser mot å gå av tidligere ikke var aktuelt uansett.
Ovenstående kan tyde på at det er en klar asymmetri i reaksjonene på økonomiske insentiver. Pensjoneringsatferden er tilsynelatende meget følsom for avkorting av ytelsene ved tidligavgang, mens premiering for å stå lenger så å si ikke har noen effekt. West Pedersen legger imidlertid vekt på metodiske problemer med å bruke denne typen hypotetiske tiltak som del av intervjuundersøkelsen. Det er uklart om intervjuobjektene har tilstrekkelig selvinnsikt og andre forutsetninger til å kunne forutsi sine egne reaksjoner. Det er også en forutsetning at spørsmålet er klart og realistisk beskrevet. I tillegg er det grunn til å tro at særlig de som allerede er pensjonert, vil ha en tilbøyelighet til å forsvare sine egne valg. Det at pensjonistgruppene gjennomgående i mindre grad enn yrkesaktive ga uttrykk for at endringer i rammebetingelsene kunne føre til endret atferd, kan underbygge dette.
Det er derfor grunn til å være forsiktig med å trekke slutninger fra svar på denne typen spørsmål til hva en kan forvente av faktiske atferdsendringer. West Pedersen understreker også tydelig usikkerheten som er knyttet til sammenhengen mellom preferansene som kommer til uttrykk gjennom svarene og faktisk reaksjon.
Dersom resultatene fra denne undersøkelse likevel skal legges til grunn for å anbefale tiltak for å øke gjennomsnittlig avgangsalder, peker kvaliteter ved jobben, forhold på arbeidsplassen samt helsefremmende tiltak seg ut som særlig viktig. Avkorting av pensjonsytelsene ved tidligavgang framstår også som et effektivt virkemiddel, mens premiering ved å stå lenger i liten grad kan forventes å ha stor effekt.
10.8 Fleksibilitet arbeid – pensjon
For en del eldre arbeidstakere i fysisk tunge yrker eller yrker hvor det er krav til høyt tempo, kan full arbeidsdag eller -uke være tungt. Fra arbeidstakersiden har det derfor blitt argumentert for en bedre tilrettelegging både fra myndigheter og bedrifter, slik at det kan være mulig med en mer gradvis nedtrapping av arbeidsinnsatsen. Deltidspensjonering, hvor en arbeider redusert arbeidsuke samtidig som en mottar noe pensjon har vært en nærliggende løsning. Dette kan føre til at arbeidstakere som ellers ville gått av med førtidspensjonering, står lenger i arbeid. I så fall kan dette bidra til en høyere gjennomsnittlig avgangsalder.Virkningen på arbeidstilbudet kan imidlertid like gjerne bli motsatt, idet personer som ellers ville stått i fullt arbeid velger å trappe ned tidligere. Utformingen av regelverket for pensjon vil kunne være avgjørende for nettoeffekten på arbeidstilbudet. Denne diskusjonen kommer en tilbake til i kapittel 12.
Fra AFP-ordningen ble innført og fram til 1997, forutsatte den at mottakere av pensjonen måtte slutte helt i sitt arbeid. Resultatet av tariffoppgjøret i 1997 gav imidlertid mulighet til å kombinere AFP-pensjonen med arbeid. Muligheten ble begrenset til å trappe ned yrkesaktiviteten 1 eller 2 hele arbeidsdager per uke. Bedrift og arbeidstaker må i hvert enkelt tilfelle inngå skriftlig avtale om dette.
I følge en arbeidsgrupperapport nedsatt av LO og NHO var bakgrunnen for denne endringen:
«Begrunnelsen for en deltidspensjonsordning er at når pensjonsordningen krever full tilbaketrekking fra arbeidslivet for å kunne benyttes tvinges mange eldre, som ønsker å arbeide deltid, helt ut av arbeidsmarkedet. Dette reduserer både velferden for den enkelte og øker forsørgelsesbyrden for samfunnet. Mulighet for gradvis tilbaketrekking er derfor ønskelig for å kunne utnytte den såkalte restarbeidskraften, og bremse tendensen til tilbaketrekking.»
I en intervjuundersøkelse blant pensjonister og yrkesaktive fra 1997 (West Pedersen 1997), ble intervjuobjektene spurt blant annet om det kunne ha gjort det aktuelt å utsette pensjoneringsbeslutningen hvis det ble lettere å kombinere arbeid og pensjon (intervjuene ble gjennomført i perioden 27.1–17.2.97, det vil si før den omtalte endringen i AFP-regelverket). 23 pst av de som fortsatt var yrkesaktive, ga uttrykk for at «bedre muligheter til å kombinere arbeid og pensjon ville kunne fått dem til å overveie å utsette den endelige yrkesavgangen.» Blant de som allerede var pensjonert gav vel 10 pst uttrykk for det samme. I et spesialutvalg blant AFP-pensjonister svarte 14 pst at en slik mulighet kunne fått dem til å utsette den permanente avgangen fra arbeidslivet.
Det er mange forbehold en må ta når en skal vurdere resultatene av intervju-undersøkelser. Intervjuobjektene presenteres for hypotetiske problemstillinger og det er forhold som kan påvirke den enkeltes valg som ikke er presisert. En kan ut fra denne undersøkelsen ikke hevde at det gjennomgående foreligger noe sterkt behov eller ønske om å kombinere arbeid og pensjon etter det som ellers ville være pensjoneringstidspunktet.
11 Arbeidsgivernes motivasjon og mulighet til å sysselsette eldre arbeidstakere
11.1 Innledning
Arbeidsgivernes ønsker og muligheter til å sysselsette eldre må ses i lys av ulike faktorer. Sentrale elementer vil være virksomhetenes samlede arbeidskraftbehov og hvordan sammensetningen av denne på en best mulig måte kan bidra til å fremme virksomhetens mål. Sammensetningen av arbeidsstokken må både drøftes i lys av eventuelle produktivitets- eller kostnadsfordeler knyttet til enkelte grupper arbeidstakere, og det at aldersfordelingen i seg selv kan påvirke virksomhetens totale produktivitet. I vurderingen av bemanningssituasjonen vil arbeidsgiveren stå overfor ulike typer rammebetingelser som direkte og indirekte påvirker motivasjonen og muligheten til å sysselsette eldre arbeidstakere.
Mange av de faktorene arbeidsgiveren vurderer i tilknytning til arbeidstakerne er omtalt i kapittel 10, herunder eldres kompetanse og helse. Det er ikke mulig å trekke et klart skille mellom forhold som i hovedsak kan knyttes til arbeidstakerne og forhold som i større grad kan knyttes til arbeidsgiverne og deres valg i bemanningsspørsmål. Det er hvordan slike vurderinger virker sammen som er bestemmende for eldres sysselsettingsmuligheter.
I avsnitt 11.2 ser en nærmere på arbeidsgivers kostnader forbundet med eldre arbeidstakere sett opp mot kostnadene knyttet til yngre. Kostnadene må også vurderes i forhold til hva den enkelte bidrar med i virksomhetens samlede produktivitet. Eldre arbeidstakeres produktivitet er nærmere omtalt i avsnitt 11.3.
Eldre arbeidstakere viser seg å være særlig utsatt i omstillings- og nedbemanningsprosesser. Ulike forklaringer på dette drøftes i avsnitt 11.4, mens det i avsnitt 11.5 ses nærmere på personalpolitikkens betydning for å få eldre arbeidstakere til å stå lenger i arbeid. Seniorperspektivet i personalpolitikken vektlegges særlig. Arbeidsmiljøet er også en sentral del av arbeidsgivers ansvar i forhold til arbeidstakernes samlede rammebetingelser. Hvilke arbeidsmiljøfaktorer som i særlig grad påvirker tidligpensjonering er omtalt i avsnitt 11.5.
11.2 Arbeidsgivers kostnader ved bruk av eldre arbeidstakere sammenliknet med andre aldersgrupper
I dette avsnittet tas det sikte på å drøfte en del faktorer av økonomisk karakter som bidrar til å påvirke bedriftenes holdning når det gjelder sysselsetting av eldre arbeidstakere sammenliknet med andre aldersgrupper. Selv om framstillingen i dette avsnittet i hovedsak konsentrerer seg om økonomiske forhold vedrørende bruk av eldre arbeidskraft, er det på det rene at også flere andre forhold er med på å påvirke arbeidsgivers syn på bruk av eldre arbeidstakere. Blant annet viser undersøkelser at eldre arbeidstakere rangeres høyere enn yngre når det gjelder ansvarsfølelse, pålitelighet, omhyggelighet og faglig dyktighet.
I NOU 1997: 25 Ny kompetanse, er det pekt på at når flere arbeider sammen i grupper, organisasjoner og bedrifter, kan det utvikles såkalt felleskompetanse. Felleskompetanse i slike grupper er mer enn summen av de individuelle egenskapene, og vil blant annet være avhengig av hvordan de ulike individuelle kompetansene står til hverandre, hvordan de kombineres og av gjensidig læring. I den utstrekning virksomhetene ser betydningen av høyest mulig felleskompetanse, vil den bestrebe seg på å bygge opp team med balansert og variert alderssammensetting.
Arbeidsgivers avveininger mellom å ansette eller beholde eldre arbeidstakere framfor andre aldersgrupper vil følgelig være påvirket av flere faktorer, og ikke av kostnadssiden isolert.
Ut over direkte lønnskostnader er det en rekke andre kostnader knyttet til bruk av arbeidskraft som kan variere med arbeidstakerens alder. I NOU 1994: 2 Fra arbeid til pensjon, ble det i tillegg til lønn skilt mellom ansettelseskostnader, indirekte lønnskostnader og oppsigelseskostnader.
Virksomhetenes ansettelseskostnader vil bli drøftet i punkt 11.2.1, indirekte lønnskostnader i forbindelse med eldre arbeidstakere blir drøftet i punkt 11.2.2 og oppsigelseskostnader blir drøftet i punkt 11.2.3.
11.2.1 Ansettelseskostnader
Det vil ofte være en viss usikkerhet knyttet til verdien av å endre arbeidsstokken i en bedrift. Dette gjelder blant annet spørsmål vedrørende rene ansettelseskostnader, arbeidssøkernes produktivitet, kostnader ved å lære opp nyansatte og hvor lenge nyansatte vil bli i bedriften.
En grundig kartlegging av flere søkere til en stilling vil kunne være kostbar, men vil også gi bedriften et bedre grunnlag for å foreta vellykkede ansettelser. Kartleggingen vil også kunne bidra til å redusere opplæringskostnadene ved at bedriften med større grad av sikkerhet kan ansette en person med den kompetanse den er på jakt etter. Både bedriftens innsats i form av direkte rekrutteringskostnader og kostnader til opplæring, vil påvirke den forventede produktiviteten til en nyansatt. På den annen side vil høy kompetanse hos en nyansatt gjerne gjenspeiles i lønnsbetingelsene, og dermed påvirke bedriftenes direkte lønnskostnader.
Rekrutteringskostnader vil variere mellom yrker og mellom de oppgavene som skal utføres i stillingen. Det er naturlig å tenke seg at det brukes relativt sett store ressurser på ansettelse av nøkkelpersonell og personer til enkelte ledende stillinger. Rekrutteringskostnadene vil også påvirkes av i hvilken grad bedriften benytter interne ansettelser eller egne bekjentskaper ved tilsettingen.
Rekrutteringskostnader ved nyansettelser kan være utgifter i tilknytning til annonsering, siling av søknader, intervju, sjekking av referanser og dekning av eventuelle flyttekostnader.
Hvor lenge den ansatte forventes å være ansatt i bedriften vil påvirke kravet til produktivitet i forhold til de ansettelses- og oppsigelseskostnadene bedriften påføres. Forventer bedriften en relativt kortvarig ansettelse, vil dette øke kravet til produktivitet i den perioden den ansatte effektivt deltar i verdiskapningen. Motsatt vil et forventet langvarig ansettelsesforhold redusere den årlige produktivitet som kreves for å dekke ansettelseskostnadene. Samtidig vil naturlig nok forventet lengde på ansettelsen også påvirke omfanget av investeringer i opplæring både for nytilsatte og allerede ansatte. Bedriftenes forventninger om hvor lenge et ansettelsesforhold vil vare, vil trolig variere kraftig mellom både yrker og næringer samt etter alderen på den nyansatte.
Hvis bedriften ønsker stabile, langvarige ansettelsesforhold, er det naturlig å anta at alderen på arbeidssøkeren vil tillegges en visst betydning. Høy alder og dermed kort tid igjen til pensjonsalder vil kunne gi eldre arbeidssøkere en kortere forventet ansettelsestid enn andre arbeidssøkere. Det er derfor grunn til å tro at bedrifter som foretar ansettelser med slike preferanser, under ellers like forhold, foretrekker å ansette en yngre arbeidstaker framfor en eldre. Dersom bedriften er omfattet av en førtidspensjonsordning, for eksempel AFP, der pensjonsalderen jevnlig er blitt justert nedover, vil slike refleksjoner gjøre seg gjeldende for stadig yngre aldersgrupper. Tilsvarende vurderinger vil også kunne gjøre seg gjeldende i tilfeller hvor bedriften vurderer kompetanseheving av den eksisterende arbeidsstokken, eventuelt i forhold til å ansette yngre arbeidskraft med mer oppdatert kompetanse. Bedriftenes direkte kostnader ved at deres abeidstakere har anledning til å benytte AFP-ordningen, kan påvirke bedriftene til å bli bedre til å ta vare på sine eldre arbeidstakere.
På den annen side viser undersøkelser at yngre arbeidstakere hyppigere skifter jobb enn eldre. Dette taler for at en eldre arbeidstaker likevel kan oppfattes som en «sikrere investering» enn andre grupper arbeidstakere ut fra et ønske om langvarige ansettelsesforhold.
Når det gjelder spørsmålet om opplæring, kan det være slik at bedriften ofte opplever at eldre arbeidstakere utfører sitt arbeid tilfredsstillende og at de derfor ikke har noe særlig behov for videre- og etterutdanning. Dette kan også ha sammenheng med at eldre som har relativt kort tid igjen til pensjonsalderen, synes at de selv får lite igjen for de anstrengelsene som er forbundet med slik utdanning. Det er også grunn til å tro at yngre arbeidstakere har større vilje til å tilegne seg ny kunnskap om for eksempel ny teknologi. Uten at det avspeiler faktiske forskjeller i læringsevne, kan bedriftene være av den oppfatning at eldre arbeidstakere gjennomgående har større problemer med å tilegne seg ny kunnskap enn yngre arbeidstakere. Yngre arbeidstakere vil også kunne foretrekkes i tilfeller der det stilles spesielle krav om oppdatert grunnutdanning innen arbeidsfeltet.
På den annen side vil en eldre arbeidssøker ha et fortrinn i forhold til en nyutdannet ved at han kan dokumentere tidligere praksis og vandel på arbeidsplassen. Dette vil både gjøre det lettere for bedriften å foreta en vellykket ansettelse og redusere rekrutteringskostnadene. Hvis den eldre arbeidssøkeren søker arbeid innen et yrke hvor han har erfaring, vil opplæringsbehovet i de fleste tilfeller være lavere enn hos en person uten arbeidserfaring.
Som påpekt i NOU 1997: 25 Ny kompetanse, er det i dag allerede en stor etter- og videreutdanningsaktivitet både i privat og i offentlig sektor. Arbeids- og næringslivet anvender store ressurser for å sikre relevant kompetanse. Bedriftenes opplæringskostnader vil for det første være påvirket av den ansattes basiskompetanse. Andre faktorer som kan påvirke opplæringskostnadene vil være forventet ansettelsestid og i hvilken grad den opplæringen som gis er rettet mot bedriftens spesielle behov. Permisjoner i forbindelse med slik aktivitet påfører også arbeidslivet kostnader, både i form av eventuelle lønnskostnader og produksjonsbortfall. Selv om arbeidsgiver ikke dekker lønnskostnadene, kan det være store kostnader ved at en arbeidstaker er borte. I sykefraværsprosjektet mellom LO og NHO er det beregnet at indirekte kostnader ved fravær beløper seg til i overkant av 500 kroner per arbeidstaker per dag (se NOU 1997: 25 Ny kompetanse) Dette er kostnader i form av blant annet administrasjon, ekstra tilrettelegging, kvalitetssvikt, kompetansetap, produksjonsforstyrrelser, overtidstillegg, vikarer, forsinkelser og økt press. På den annen side kan virksomhetene ha en gevinst i å investere i videreutdanning av arbeidstakerne, i form av økt kompetanse, økt produksjon eller økt effektivitet.
11.2.2 Indirekte lønnskostnader
I tillegg til direkte lønnskostnader må virksomhetene betale en rekke indirekte kostnader ved å holde en person ansatt. Ulike indirekte lønnskostnader kan være administrasjonsutgifter, lønn for ikke arbeidet tid (ferie, sykdom, permisjon), arbeidsgiveravgift, medlemspremier til pensjonsordninger og forsikringsordninger, opplæring og utgifter til sosiale ordninger, slik som barnehage med videre. Disse ordningene vil dels være regulert gjennom lovgivning og dels gjennom avtaleverket. Det er ikke uten videre gitt at det er høyere indirekte kostnader knyttet til eldre arbeidstakere enn for andre aldersgrupper. Dette vil sannsynligvis variere mellom bransjer og også mellom ulike bedrifter i samme bransje. I dette avsnittet tas det imidlertid sikte på å peke på og drøfte enkelte områder hvor de indirekte lønnskostnadene synes å være høyere for eldre arbeidstakere enn for andre grupper arbeidstakere.
Private tjenestepensjonsordninger
I inndelingen av pensjonssystemer går det et skille mellom såkalte innskuddsbaserte og ytelsesbaserte ordninger. I et ytelsesbasert system defineres selve pensjonsytelsen og pensjonspremien blir beregnet ut fra dette. I et innskuddsbasert pensjonssystem er det imidlertid premien som blir definert og pensjonsytelsen blir et resultat av innbetalinger og fondsavkastninger.
De nåværende ordningene for tjenestepensjon etter skatteloven (TPES) er i utgangspunktet rene ytelsesbaserte tjenestepensjonsordninger. Etter dagens opptjeningsregler vil de årlige premieinnbetalingene knyttet til hver enkelt ansatt være progressive, det vil si øke som andel av lønnen over tid. Mot slutten av den yrkesaktive perioden kan premieinnbetalingen være svært høy og endog overstige arbeidstakerens utbetalte lønn.
Forslaget om lineær opptjening i NOU 1998: 1 Utkast til lov om foretakspensjon, innebærer at premieinnbetalingen til tjenestepensjonsordningene for eldre arbeidstakere ikke blir fullt så høy som den kan bli etter dagens regler. Lineær opptjening vil dermed bidra til å styrke eldre arbeidstakeres stilling på arbeidsmarkedet siden innbetalingene til tjenestepensjonsordningene de siste årene vil bli lavere enn ved dagens opptjeningsmodell. Det må imidlertid understrekes at premieinnbetalingen til pensjonsordningen fortsatt vil kunne være atskillig høyere for eldre arbeidstakere enn for yngre arbeidstakere. Dette skyldes at premieinnbetaling for lønnsøkninger i slutten av yrkeskarrieren må kompensere for lavere innbetaling tidligere år.
Når det gjelder finansieringen av de kommunale tjenestepensjonsordningene skjer den gjennom årlige premieinnbetalinger hvor arbeidstakeren – på samme måte som i staten – betaler to pst av lønnen, mens arbeidsgiveren betaler resten. I KLP betales det en fast prosentandel av pensjonsgrunnlaget i premie for alle arbeidstakerne for å finansiere den nødvendige fondsoppbyggingen. Å sysselsette eldre arbeidstakere i kommunale virksomheter er dermed ikke forbundet med høyere innbetalinger til tjenestepensjonsordningen, slik som i privat sektor.
Et annet forhold av betydning når det gjelder dagens TPES-regelverk er at arbeidstakere som er omfattet av en tjenestepensjonsordning etter skatteloven ikke har anledning til å fortsette i sin stilling etter nådd pensjonsalder på 67 år eller eventuelt enda tidligere dersom vedkommende har en særaldersgrense. I tråd med det uttalte målet om mer fleksibilitet i pensjonssystemet for arbeidstakere som ønsker å stå i arbeid ut over pensjonsalderen foreslås det i NOU 1998: 1 Utkast til lov om foretakspensjon
at arbeidstakere som etter å ha nådd pensjonsalderen fortsatt har fulltids- eller deltidsstilling i foretaket, beholder sin rett til medlemskap i pensjonsordningen, og
at arbeidstakerens rett til utbetaling fra pensjonsordningen bortfaller så lenge og i samme forhold som arbeidstakeren mottar lønn fra foretaket. Dette betyr at en arbeidstaker som har full lønn, ikke samtidig kan få pensjon fra foretakets pensjonsordning. Har arbeidstakeren deltidsstilling, får han pensjon for den delen han ikke arbeider.
Arbeidstakere som ved oppnådd pensjonsalder ikke har opptjent full pensjon, og som etter dette tidspunktet fortsetter å arbeide i foretaket, skal etter forslaget godskrives etterfølgende tjenestetid. Dette betyr at arbeidstakere som mangler full opptjening i foretakspensjonsordningen, får anledning til å fortsette å tjene opp rettigheter dersom de arbeider etter å ha nådd pensjonsalderen.
Dersom arbeidstakeren har opptjent full pensjon ved oppnådd pensjonsalder eller for øvrig før fratredelsen, kunne man hevde at lønn ville være et tilstrekkelig insentiv for å fortsette å arbeide ut over pensjonsalderen. Foretakspensjonsutvalget er imidlertid av den oppfatning at arbeid etter nådd pensjonsalder også bør føre til økt pensjon. Det foreslås derfor at det skal foretas en omberegning av pensjonen på grunnlag av den premiereserve som på tidspunktet for fratreden er knyttet til opptjent pensjon. Denne omberegningen vil gi høyere utbetalinger til arbeidstakeren fra pensjoneringstidspunktet.
I motsetning til dagens ytelsesbaserte tjenestepensjonssystem innebærer en ordning med innskuddsbasert pensjon at arbeidsgiver tilfører hvert medlems pensjonskonto et innskudd av nærmere angitt størrelse. Arbeidsgivers pensjonsforpliktelse oppfylles gjennom betaling av innskuddet. Ved disse ordningene er innbetalingene spesifisert, mens ytelsene blir et resultat av innbetalte midler med tillegg av fondsavkastning,
Som nevnt ovenfor, påfører dagens ytelsesbaserte ordninger arbeidsgivere i privat sektor større pensjonskostnader for eldre arbeidstakere enn for yngre arbeidstakere. Dette kan bidra til at arbeidsgivere i større grad ønsker å beholde yngre arbeidstakere enn eldre arbeidstakere, og vil samtidig være et insitament til å rekruttere yngre arbeidstakere framfor eldre arbeidstakere.
Som nevnt i kapittel 5 avgav en arbeidsgruppe nedsatt av Finansdepartementet den 20. august 1998 en rapport med forslag til alternative modeller for innskuddsbaserte tjenestepensjonsordninger.
Innskuddsbaserte tjenestepensjonsordninger kan muliggjøre like pensjonskostnader for eldre og yngre arbeidstakere, og vil således bidra til å styrke eldres posisjon i arbeidsmarkedet i forhold til i dag. Innskuddsbaserte ordninger kan også bidra til at eldre arbeidstakere velger å stå lenger i arbeid, fordi vedkommendes pensjon vokser med et definert tilskudd for hvert år.
Den femte ferieuken for eldre arbeidstakere
Med virkning fra 1. mai 1976 ble den tidligere ferieloven (lov 14. november 1947 nr 3) endret slik at alle arbeidstakere over 60 år fikk rett til en ekstra ferieuke – den femte ferieuken. Som kompensasjon for lønnsbortfall i ekstraferien fikk arbeidstakerne rett til en forhøyet feriegodtgjøring. Arbeidsgiverne forskutterte feriegodtgjørelsen for ekstraferien, og kunne etter tidligere regler kreve dette refundert fra folketrygden. Ved innføring av den nye ferieloven (lov 29. april 1988 nr 21) ble imidlertid kostnadene ved den forhøyde feriegodtgjøringen overført fra folketrygden til arbeidsgiverne, se Ot prp nr 54 for 1986–87.
Den nye ferieloven innførte et såkalt kildeprinsipp, som går ut på at den som utbetaler en ytelse også skal betale feriepenger for ytelsen. Forslaget gikk ut på at arbeidsgiver skal betale feriepenger av sykepenger i arbeidsgiverperioden, mens folketrygden skal betale feriepenger av trygdeytelser (sykepenger utover arbeidsgiverperioden og fødselspenger). Samtidig ble det foreslått at refusjonsordningen for den forhøyede feriegodtgjøringen skulle oppheves, og at det økonomiske ansvaret dermed skulle overføres fra folketrygden til arbeidsgiverne.
Folketrygdens besparelse som følge av at det økonomiske ansvaret ble overført til arbeidsgiverne ble den gang anslått til 390 millioner kroner. Arbeidsgivernes utgifter ble anslått til å øke tilsvarende. Plikten til å betale feriepenger av sykepenger og fødselspenger ble kostnadsberegnet til rundt 420 millioner kroner. Da den nye ferieloven ble vedtatt, innebar innføringen av kildeprinsippet et bytte mellom arbeidsgiverne og folketrygden som økonomisk sett nærmest gikk opp i opp.
Isolert sett innebærer imidlertid den femte ferieuken merutgifter for arbeidsgivere ved å ha arbeidstakere over 60 år i forhold til yngre arbeidstakere. I LO og NHO sin utredning av mer reell valgfrihet om pensjoneringstidspunkt (1998), foreslås det at det økonomiske ansvaret for denne ekstra ferieuken tilbakeføres til folketrygden igjen. Merutgiftene for folketrygden anslås i utredningen til å ligge rundt 400-500 millioner kroner per år.
I tillegg til at arbeidsgiverne har ekstra kostnader i forbindelse med den femte ferieuken i form av høyere feriepenger, får de et inntektstap på grunn av tapt produksjon i den utvidede ferietiden.
Den femte ferieuken for arbeidstakere over 60 år synes å være begrunnet ut fra at eldre arbeidstakere er mer slitne og således har et behov for å kunne ta ut mer fritid enn yngre arbeidstakere. Den femte ferieuken kan også betraktes som et viktig bidrag for å gi eldre mulighet til nødvendig fritid og rekreasjon nettopp for at de skal kunne stå lenger i arbeid.
Det kan imidlertid hevdes at også andre grupper arbeidstakere kan ha et vel så begrunnet behov for å kunne ta ut mer ferie i løpet av året. Det er her nærliggende å tenke på arbeidstakere med kronisk sykdom eller funksjonshemminger, samt arbeidstakere med omsorgsoppgaver av et visst omfang.
Ordningen med at arbeidstakere over 60 år skal ha lenger ferie enn andre kan dessuten virke stigmatiserende. Det kan ligge en fare i ikke å gi de samme rettigheter til yngre som til eldre arbeidstakere. En unødig skåning av eldre arbeidstakere, som i mange tilfeller kan være fullt på høyde med sine yngre kollegaer, kan bidra til utstøting gjennom synkende forventninger til ytelse og evner fra omgivelsene.
Sykefravær
Formålet med å yte sykepenger er å kompensere for bortfalt arbeidsinntekt på grunn av sykdom. Som hovedregel kreves det at arbeidsforholdet har vart i minst to uker. Arbeidstakere får kompensert 100 pst av inntektsgrunnlaget opptil 6 ganger folketrygdens grunnbeløp (272 220 kroner per 1. mai 1998). Vanligvis ytes det sykepenger fra folketrygden først etter 16 fraværsdager. Arbeidstakere får sykepenger for de 16 første fraværsdagene (kalenderdager) utbetalt av arbeidsgiver (arbeidsgiverperioden). Dersom en arbeidstaker har langvarig eller kronisk sykdom som medfører risiko for særlig stort sykefravær, kan arbeidstakeren selv eller arbeidsgiveren søke om at trygden dekker utgiftene til sykepenger også i arbeidsgiverperioden. Det samme gjelder for en arbeidstaker som har en sykdom som medfører risiko for gjentatte fravær i en begrenset periode.
Arbeidsuførhet på grunn av sykdom er et av de sentrale vilkårene i folketrygdloven for rett til sykepenger. For å få rett til sykepenger er det ikke tilstrekkelig at medlemmet er arbeidsufør. Funksjonsnedsettelsen må klart skyldes sykdom eller skade. Loven inneholder ingen definisjon av begrepet sykdom. Hvorvidt det dreier seg om en sykdomstilstand, vil være avhengig av hvordan den medisinske vitenskapen til enhver tid utformer sykdomsbegrepet og den praksis som har utviklet seg på området.
På bakgrunn av en betydelig økning i sykefraværet i løpet av 1980-årene ble det ved lov 14. mai 1993 nr 46 foretatt en innskjerping av det medisinske vilkår for rett til sykepenger. I lovens forarbeider ble det vist til at økningen i sykefraværet indikerte at det hadde skjedd en gradvis liberalisering av sykdomsbegrepet ved at sosiale problemer, konflikter og vanskelige livssituasjoner ble likestilt med sykdom. Utviklingen kunne for en del også tilskrives utviklingen på arbeidsmarkedet, blant annet at det hadde foregått en tiltakende utstøting av eldre og andre grupper arbeidskraft som ble oppfattet å være mindre effektive. I den nye lovteksten ble det derfor presisert at arbeidsuførhet som skyldes sosiale, økonomiske eller andre livsproblemer ikke gir rett til sykepenger.
Blant annet på grunn av at det økonomiske ansvaret for sykepengeordningen er delt mellom arbeidsgiverne og folketrygden, har vi i dag ingen fullgod og samlet sykefraværsstatistikk. Det er imidlertid satt i gang et arbeid med å bedre denne statistikken.
Lengden på sykefraværet varierer med alderen, se blant annet NOU 1990: 23 Sykelønnsordningen og LO og NHO sin utredning av mer reel valgfrihet om pensjoneringstidspunkt (1998). Unge mennesker har ofte korte og hyppige fravær, mens eldre vanligvis har få og lengre fravær. I LO og NHO sin Utredning av mer reell valgfrihet om pensjoneringstidspunkt (1998), vises det til at arbeidsgiverperioden og eventuelle utvidelser av denne kan virke utstøtende for eldre, fordi eldre arbeidskraft framstår som dyrere for bedriften enn yngre. I utredningen pekes det på at en mulighet for å minske utstøting av eldre arbeidstakere kan være å redusere arbeidsgiverperioden for personer over en viss alder. LO og NHO anslår at dersom folketrygden overtar hele arbeidsgiverperioden for personer over 60 år, vil merutgiftene for folketrygden være om lag 250 millioner kroner årlig.
Selv om bedriften bare yter sykepenger i arbeidsgiverperioden, påføres den et tap i hele sykeperioden som følge av redusert produksjon eller høyere overtidskostnader når antall ansatte reduseres midlertidig.
Alt i alt synes et forslag om at staten skal overta finansieringsansvaret for arbeidsgiverperioden i sykepengeordningen for eldre arbeidstakere å være lite treffsikkert. Eldre arbeidstakere har færre korttidsfravær enn yngre arbeidstakere. Dessuten må også et slikt tiltak på sikt motsvares med økte skatteinntekter eller reduserte utgifter, slik at tiltaket blir lite kostnadseffektivt.
Arbeidsgiveravgift
Arbeidsgiveravgiften er i dag differensiert geografisk, men er uavhengig av arbeidstakers alder. På grunn av at sysselsettingen er klart lavere blant eldre aldersgrupper enn blant yngre, har redusert arbeidsgiveravgift for eldre i mange sammenhenger blitt framholdt som et mulig virkemiddel for å gjøre denne aldersgruppen mer attraktiv i arbeidsmarkedet.
Isolert sett vil en generell reduksjon av arbeidsgiveravgiften for eldre arbeidstakere kunne virke gunstig på sysselsettingen for denne aldersgruppen. På den annen side kan et slikt tiltak også virke stigmatiserende. Redusert arbeidsgiveravgift for eldre arbeidstakere vil i tillegg føre til et inntektstap for staten.
I LO og NHO sin rapport Utredning av mer reell valgfrihet om pensjoneringstidspunkt (1998) avvises en reduksjon av arbeidsgiveravgiften for eldre arbeidstakere som mulig tiltak for å fremme sysselsettingen blant eldre arbeidstakere, blant annet på bakgrunn av ovennevnte vurderinger.
En nedsettelse av arbeidsgiveravgiften overfor eldre arbeidstakere som ikke dekkes ved økning av avgiften overfor andre grupper, kan isolert sett føre til økt sysselsetting for eldre. En differensiering av arbeidsgiveravgiften etter alder vil imidlertid fort reise krav om tilsvarende lettelser for andre grupper. Tiltaket vil svekke offentlige finanser på permanent basis. På sikt må en slik ordning motsvares av en økning i andre skatteinntekter eller reduserte utgifter over statsbudsjettet. Dette vil ha en negativ effekt på den samlede sysselsettingen, slik at nettoeffekten av en reduksjon i arbeidsgiveravgiften trolig blir liten. Det vises til den generelle drøftingen av virkningen av en «grønn skattereform», se blant annet NOU 1996: 9 Grønne skatter – en politikk for bedre miljø og høy sysselsetting.
11.2.3 Oppsigelseskostnader
Lovgivning og tariffavtaler knyttet til oppsigelse vil kunne påvirke bedriftens tilpasning av arbeidsstokken. Dels vil regelverket kunne legge absolutte føringer på mulighetene til å si opp ansatte, dels knytter det seg ulike direkte kostnader til bedriftenes valg.
Oppsigelsesvern og oppsigelsesfrister
Arbeidsmiljøloven stiller på flere områder krav til forholdet mellom arbeidsgiver og arbeidstaker. I dette avsnittet omtales kun forhold som kan ha direkte betydning for eldre arbeidstakere. De fleste bestemmelsene i arbeidsmiljøloven er imidlertid av generell karakter og kommer til anvendelse overfor alle arbeidstakere uavhengig av alder. I tillegg kommer en del særbestemmelser overfor enkeltgrupper. Med unntak av reglene om oppsigelsesfrister, som drøftes nedenfor gjelder ingen særregler for eldre arbeidstakere med lang ansiennitet når det gjelder ansettelse og oppsigelse.
Loven regulerer ikke uttømmende hva som anses som usaklig oppsigelse, men understreker at arbeidstakeren ikke kan sies opp uten at det er saklig begrunnet i virksomhetens, arbeidsgiverens eller arbeidstakerens forhold. Oppsigelse med fratreden før fylte 70 år som bare skyldes at arbeidstakeren har nådd pensjonsalderen i folketrygden er ikke å regne som saklig. Videre er oppsigelse på grunn av driftsinnskrenkninger eller rasjonaliseringer å anse som usaklig dersom virksomheten har annet arbeid å tilby arbeidstaker.
Ved driftsinnskrenkninger og rasjonaliseringstiltak er et sentralt spørsmål på hvilket grunnlag man skal velge ut arbeidstakere som skal fratre. Arbeidsmiljøloven inneholder ingen regler om utvelgelse, og det er heller ikke lovfestet noe alminnelig ansiennitetsprinsipp.
Oppsigelse av arbeidsforhold skal skje med bestemte frister. Lovens utgangspunkt er en gjensidig oppsigelsesfrist på en måned. Kortere eller lengre frist kan imidlertid avtales eller fastsettes ved tariffavtale.
Arbeidstakere som har vært tilsatt i virksomheten i minst fem år har en oppsigelsesfrist på minst 2 måneder. Ved ansettelse i minst 10 år gjelder en lovfestet oppsigelsesfrist på minst 3 måneder. Dette er minstefrister som ikke kan fravikes ved avtale.
Eldre arbeidstakere som i tillegg har lang tjenestetid, har et ytterligere vern ved forlengede oppsigelsesfrister. For arbeidstakere som har vært tilsatt sammenhengende i virksomheten i minst 10 år, og som har fylt 50 år, gjelder en oppsigelsesfrist på minst 4 måneder. Ved fylte 55 år er oppsigelsesfristen minst 5 måneder og ved fylte 60 år minst 6 måneder. Også dette er minstefrister som ikke kan fravikes til ugunst for arbeidstakeren.
Lengre oppsigelsesfrister for eldre arbeidstakere med lang ansiennitet bidrar til at oppsigelseskostnadene synes å være høyere for denne gruppen enn for andre ansatte.
Nærmere regler om bruk av ansiennitetsprinsippet er fastsatt ved en rekke avtaler i arbeidslivet. Utenfor avtaleområdene er ansiennitetsprinsippet også lagt til grunn av domstolen som et relevant utvalgskriterium. Både når det gjelder tariffavtaler og domstolens praksis på området, er det imidlertid viktig å merke seg at ansiennitetsprinsippet ikke er det første og eneste utvelgelseskriterium. I følge tariffavtalene og rettspraksis er det tre kriterier i nevnte rekkefølge som skal vurderes; kvalifikasjoner, ansiennitet og sosiale behov.
De avtalte reglene for ansiennitet begrenser dermed – alt annet likt – bedriftens muligheter til å si opp eldre arbeidstakere framfor yngre med kortere ansiennitet. Bedriftene har imidlertid muligheter for å omgå ansiennitetsbestemmelsene. Ved å tilby for eksempel gavepensjon, eventuelt ved siden av AFP, kan bedriften gi en ekstra ytelse til eldre arbeidstakere som kompensasjon for fratredelsen. Gavepensjon er omtalt i et eget avsnitt nedenfor.
Sluttvederlagsordningen
NHO har inngått avtale med både LO og YS om sluttvederlag til arbeidstaker som blir sagt opp etter fylte 50 år, og som har vært tilsatt i bedriften i en nærmere angitt periode. I følge ordningen har arbeidstakere over 50 år med ansiennitet på minst 10 år og arbeidere over 50 år med minst 20 års ansiennitet, rett på et sluttvederlag på mellom 11 400 og 57 000 kroner avhengig av alder, hvis ansettelsesforholdet opphører grunnet oppsigelse, sykdom eller svekket helse. Ordningen finansieres ved at bedriften betaler en generell avgift på 0,35 pst av brutto årslønn på inntil 210 000 kroner per arbeidstaker, slik at samlet kostnad for bedriften er uavhengig av i hvor stor grad den faktisk benyttes.
Kostnader i forbindelse med bruk av avtalefestet pensjon (AFP)
Ordningen med AFP er en arbeidsmarkedsbasert pensjon med laveste pensjonsalder på 62 år. Som nevnt under avsnitt 5.6 har de forskjellige AFP-ordningene ulike finansieringssystemer. Ved bruk av ordningene vil den enkelte arbeidsgivers kostnader være avhengig av hvilken ordning bedriften er tilsluttet.
I privat sektor dekker staten 40 pst av de løpende pensjonskostnadene for 64-, 65- og 66-åringer.
I Fellesordningen LO/NHO er finansieringen lagt opp slik at alle arbeidsgivere tilsluttet ordningen betaler en avgift etter hvor mange ansatte det er i bedriften. Avgiften, som for tiden er satt til 120 kroner per måned per ansatt, finansierer et pensjonsfond. I tillegg betaler den enkelte arbeidsgiver på det tidspunktet pensjonen tas ut 10 pst av pensjonsutgiftene til «sine» AFP-pensjonister (egenandel). Denne egenbetalingen er imidlertid avtalt forhøyet til 20 pst fra 1. januar 1999.
I NAVO-ordningen finansieres de utgiftene som ikke dekkes av staten, gjennom at hver virksomhet foretar interne avsetninger for arbeidstakere over 50 år, fastsatt slik at bedriften fram til arbeidstakeren fyller 62 år bygger opp midler som dekker forventede AFP-kostnader. For hver ny AFP-pensjonist innbetaler arbeidsgiveren et «AFP-innskudd» til pensjonsordningen som tilsvarer kontantverdien av arbeidsgiverens del av pensjonsutgiftene fra uttakstidspunktet til 67 år.
I bank- og finansnæringen dekkes den delen av pensjonsutgiftene som ikke blir finansiert av staten, fullt ut av den enkelte arbeidsgiver.
Når det gjelder avtalefestet pensjon i statlig sektor, finansieres ordningen av staten som arbeidsgiver gjennom Statens pensjonskasse. Særskilt innlemmede virksomheter hvor det er inngått tariffavtale om AFP, betaler 10 pst av de løpende pensjonsutgiftene i tillegg til en økt arbeidsgiverandel.
I kommunal sektor finansieres AFP-ordningen for 65- og 66 åringer som tjenestepensjonsordningen ellers gjennom medlemspremie og arbeidsgivertilskudd. Når det gjelder AFP for 62-,63- og 64-åringer, finansieres ordningen av arbeidsgiverne.
AFP-ordningen er som tidligere nevnt rettighetsbasert, det vil si at beslutning om pensjonering tas av den enkelte arbeidstaker. I forbindelse med nedbemanningsprosesser kan imidlertid arbeidsgiver velge å «spe på» pensjonen med gavepensjon for å gjøre det mer attraktivt for den enkelte arbeidstaker å gå av med pensjon. I slike situasjoner vil finansieringen av AFP-ordningen kunne være relevant. Jo mindre den enkelte arbeidsgiver selv må bidra med til «sine» AFP-pensjonister, jo enklere vil det kunne være å tilby gavepensjon ved siden av pensjonen.
Ett ytterpunkt i så henseende er ordningen i bank- og finansnæringen, hvor den delen av pensjonene som ikke finansieres av staten, skal dekkes over driften av den enkelte arbeidsgiver. Det innebærer at den enkelte bedrift fullt ut må finansiere løpende pensjonsutgifter for 62- og 63-åringer. I Fellesordningen LO/NHO er den enkelte arbeidsgiver inntil videre forpliktet til bare å betale 10 pst av de løpende pensjonsutgiftene. For arbeidsgivere tilsluttet denne ordningen kan det være mer fristende å tilby gavepensjon ved siden av AFP enn for arbeidsgivere i bank- og finansnæringen. Det skal i denne sammenheng også nevnes at kommunalt ansatte lærere er medlemmer av Statens Pensjonskasse. Bruk av AFP for denne yrkesgruppen innebærer således ingen kostnader for den enkelte kommunale arbeidsgiver. I offentlig sektor for øvrig betaler den enkelte virksomhet bare i liten grad egenandeler i forbindelse med at egne ansatte benytter seg av AFP-ordningen.
I LO og NHO sin rapport Gjennomføringen av en avtalefestet tidligpensjon for 62- og 63-åringer (1997) drøftes finansieringen av AFP-ordningen, og herunder størrelsen på egenandelen. Det vises til at de samlede AFP-utgiftene utlignes på samtlige bedrifter som er tilsluttet ordningen, bortsett fra bedriftens egenandel, og at arbeidstakerenes bruk av ordningen varierer sterkt mellom bedrifter og til dels bransjer. Motsetningen mellom bruk og finansiering oppleves av de bedrifter som først og fremst er ytere som en belastning. Isolert sett tilsier dette at kostnadene i størst mulig grad må bæres av den enkelte virksomhet. Gjennom en egenbetaling vil bedriftene belastes direkte med pensjoneringskostnadene. Økt egenbetaling kan i tillegg redusere et eventuelt press fra arbeidsgiver som fører til at arbeidstakere må gå av med AFP, uten at de selv ønsker det.
På den annen side kan det hevdes at det er urimelig at de bedrifter som tilfeldigvis sysselsetter eldre arbeidstakere skal bære hele kostnaden ved ordningen. Lang yrkesaktivitet kan være oppnådd gjennom sysselsetting i mange bedrifter. En høy egenandel vil kunne føre til at flere personer kvier seg for å ta ut AFP av hensyn til bedriftens økonomi. Særlig kan dette være tilfelle i mindre virksomheter med mange eldre, der konsekvensene av en høy egenandel kan ha stor betydning for bedriftens økonomiske situasjon. Høy egenandel kan også føre til et større press på andre ordninger, som for eksempel dagpengeordningen.
Gavepensjon
I situasjoner der en bedrift ønsker å bruke førtidspensjonering som virkemiddel, for eksempel for å nedbemanne eller omorganisere arbeidsstokken, kan den tilby gavepensjoner til de som sier seg villige til å avslutte arbeidsforholdet. Tidligere har det blant annet blitt gitt gavepensjon i forbindelse med at eldre arbeidstakere har melde seg arbeidsledige eller søkt om uføretrygd.
Praksisen med å gi gavepensjon i forbindelse med dagpengeordningen var bakgrunnen for at Lundutvalget i sin rapport (NOU 1994: 2) påpekte at dagpengeordningen ble brukt som en uformell avgangsordning. Utvalgets flertall foreslo at det skulle utarbeides forskrifter til folketrygdloven om samordning av dagpenger og gavepensjon for å forhindre at dagpengeordningen ble brukt til å støte ut eldre arbeidskraft. Utvalget viste også til at uførepensjon tidligere ble brukt som uformell tidligavgangsordning, men at mye tyder på at denne bruken har blitt redusert etter presiseringen av inngangskriteriene i 1991. Flertallet foreslo likevel at det ble innført hjemmel folketrygdloven også for å samordne gavepensjoner og uførepensjon. Mindretallet gav uttrykk for at det er urealistisk å fjerne muligheten for å kombinere uførepensjon eller dagpenger med gavepensjon uten at AFP dekker opp denne funksjonen.
Forslaget om samordning av dagpenger og gavepensjon er fulgt opp ved en forskriftsendring av 9. desember 1994. Forskriften går ut på at dagpengene reduseres med samme beløp som en eventuell økonomisk engangsytelse eller periodiske ytelser til livsopphold som gis fra en arbeidsgiver eller tidligere arbeidsgiver i forbindelse med oppsigelse eller fratreden. Ved slik samordning skal dagpengene likevel ikke reduseres i større utstrekning enn at summen per uke av dagpenger og de ytelser det samordnes med, svarer til minst 3 pst av grunnbeløpet.
Når det gjelder kombinasjon av uførepensjon og gavepensjon gikk regjeringen Brundtland i Velferdsmeldingen inn for at det skulle innføres en samordning av uførepensjon og gavepensjon fra arbeidsgiver på tilsvarende måte som for arbeidsledighetstrygd (St meld nr 35 for 1994–95). Stortingets sosialkomite støttet forslaget (Innst S nr 180 for 1995–96). Avkorting av uførepensjon for ytelser fra arbeidsgiver (gavepensjon) er vedtatt ved lov 28. februar 1997 nr 19. Bestemmelsen går ut på at når en arbeidsgiver gir en uførepensjonist økonomiske ytelser som ikke er pensjonsgivende inntekt, skal uførepensjonen reduseres med tilsvarende beløp. Dette gjelder dersom ytelsen blir avtalt i forbindelse med fratreden eller reduksjon av arbeidstiden.
Etter at ordningen med avtalefestet pensjon (AFP) ble innført på slutten av 1980-tallet, har gavepensjon blitt benyttet også i kombinasjon med denne.
Opinion AS har på oppdrag fra dette utvalget kartlagt utbredelsen av ulike former for gavepensjonsordninger blant private bedrifter i Norge. Utvalgsundersøkelsen omfatter 612 bedrifter i privat sektor, og er basert på telefonintervjuer med personalansvarlig eller tilsvarende i løpet av august 1998. Resultatene fra denne undersøkelsen refereres nedenfor.
Gavepensjonsordninger kan forekomme uavhengig av om bedriften er tilknyttet AFP-ordningen eller ikke. I bedrifter, som er tilknyttet AFP-ordningen, kan de bedriftsvise ordningene være utformet som et supplement til ytelsene fra AFP, eller som et alternativ der det ikke forutsettes at arbeidstakeren i tillegg tar ut AFP. I det siste tilfellet kan ordningen også omfatte ansatte som av forskjellige grunner ikke er kvalifisert for AFP, for eksempel de som er for unge.
I tabell 11.1 er bedriftene gruppert etter om de i løpet av de siste fire årene har tilbudt de ansatte gavepensjoner, og eventuelt hvordan forholdet mellom den bedriftsinterne ordningen og AFP-ordningen er.
I overkant av en tredjedel av bedriftene i utvalget oppgav at de hadde benyttet en form for egen gavepensjonsordning i løpet av de siste fire årene. Tilbud om gavepensjon var klart vanligere i bedrifter som var tilknyttet AFP-ordningen enn i de som ikke var det. Om lag halvparten av de bedriftene som var tilsluttet AFP-ordningen hadde tilbudt sine ansatte gavepensjon de siste fire årene, mens tilsvarende tilbud bare var gitt i 15 pst av de bedriftene som ikke var tilknyttet AFP-ordningen. Blant AFP-bedriftene var det 36 pst som brukte gavepensjon som et supplement til AFP-ytelsen. 19 pst tilbød gavepensjon til ansatte som av forskjellige grunner ikke kvalifiserer for AFP.
Tabell 11.1 Andel bedrifter som har benyttet seg av gavepensjonsordninger over de siste fire årene - etter svar på spørsmål om tilslutning til AFP.
| Omfattet av AFP | Alle | ||
|---|---|---|---|
| Nei (+ikke sikker) | Ja | ||
| Ingen egen ordning | 85 % | 55 % | 63 % |
| Supplement til AFP | 0 % | 25 % | 19 % |
| Alternativ til AFP | 15 % | 8 % | 10 % |
| Både supplement og alternativ til AFP | 0 % | 11 % | 8 % |
| Antall | 152 | 460 | 612 |
Kilde: Opinion AS
Bruken av egne førtidspensjonsordninger er langt mer utbredt i store enn i små bedrifter, se tabell 11.2. Blant bedrifter med færre enn 50 ansatte, oppgir 89 pst at de ikke har gitt tilbud om noen form for gavepensjon. Blant bedrifter med over 500 ansatte, gjelder dette bare i underkant av en tredjedel. Til sammen 53 pst av bedriftene med flere enn 500 ansatte oppgir at de har gitt supplerende ytelser til ansatte som gjør bruk av AFP, 35 pst oppgir at de har hatt andre former for førtidspensjonsordninger.
Tabell 11.2 Andel bedrifter som oppgir at de i løpet av de siste 4 årene har hatt et eget tilbud om førtidspensjon - etter antall ansatte.
| Antall ansatte | Alle | |||||
|---|---|---|---|---|---|---|
| Inntil 49 ansatte | 50–99 ansatte | 100–199 ansatte | 200–499 ansatte | Over 500 ansatte | ||
| Ingen egen ordning | 89 % | 79 % | 61 % | 53 % | 32 % | 63 % |
| Supplement til AFP | 6 % | 12 % | 17 % | 28 % | 32 % | 19 % |
| Alternativ til AFP | 4 % | 5 % | 14 % | 11 % | 14 % | 10 % |
| Både supplement og alternativ til AFP | 1 % | 4 % | 8 % | 9 % | 21 % | 8 % |
| Antall | 140 | 94 | 115 | 152 | 111 | 612 |
Kilde: Opinion AS
Bruken av gavepensjonsordninger varierer videre etter hvilken bransje bedriften tilhører. Den største andelen med bedriftsvise ordninger, 49 pst, finner en i gruppen som inkluderer sektorene industri, olje og kraft. Den laveste dekningen, 21 pst, har gruppen med bygg- og anlegg, varehandel, hotell og restaurant. Blant den første bransjegruppen oppgir hele 43 pst å tilby supplerende ytelser til ansatte som går av med AFP-pensjon.
Utbredelsen av ordninger med gavepensjon kan videre antas å variere med aldersstrukturen blant de ansatte. Førtidspensjonsordninger vil naturlig nok være mest aktuelle i bedrifter med mange eldre arbeidstakere.
I tabell 11.3 vises forekomsten av gavepensjonsordninger blant bedrifter etter andelen ansatte over 50 år. Resultatene er som forventet. Blant bedrifter med under 10 pst ansatte over 50 år, er det svært få som rapporterer om bruk av gavepensjonsordninger. Andelen øker desto større andel av de ansatte som er over 50 år. Blant bedrifter med en høy andel eldre (over 30 pst) oppgir halvparten at de har hatt et eget førtidspensjonstilbud.
Tabell 11.3 Andel bedrifter som oppgir at de i løpet av de siste 4 årene har hatt et eget tilbud om førtidspensjon - etter andel av de ansatte over 50 år.
| Andel av de ansatte over 50 år | Alle | |||||
|---|---|---|---|---|---|---|
| Ingen | Mellom 0 og 10 % | Mellom 10 og 20 % | Mellom 20 og 30 % | Over 30 % | ||
| Ingen egen ordning | 92 % | 83 % | 62 % | 57 % | 50 % | 62 % |
| Supplement til AFP | 8 % | 7 % | 18 % | 24 % | 26 % | 19 % |
| Alternativ til AFP | 0 % | 5 % | 10 % | 8 % | 14 % | 9 % |
| Både supplement og alternativ til AFP | 0 % | 5 % | 10 % | 10 % | 10 % | 9 % |
| Antall | 24 | 110 | 155 | 165 | 150 | 604 |
Kilde: Opinion AS
Førtidspensjonsordninger er klart mest utbredt blant bedrifter som har hatt en reduksjon i antall ansatte i løpet av de siste fire årene. Blant disse hadde 64 pst tilbud om en eller annen form for gavepensjon. Tilsvarende tall for bedrifter som hadde stabilitet eller økning i antall ansatte i løpet av den siste fireårsperioden, var henholdsvis 31 og 28 pst.
Førtidspensjonsordninger er også noe mer brukt i bedrifter som hadde vært igjennom større endringer eller omstillinger. Vel 50 pst av disse bedriftene rapporterte om en egen førtidspensjonsordning som supplement og/eller alternativ til AFP, mens det samme bare gjaldt 24 pst av bedriftene som ikke har gjennomført omstillinger.
De bedriftene som rapporterte om egne førtidspensjonstilbud over de siste fire årene, ble også spurt om tilbudet gjelder i dag. 38 pst svarte nei eller vet ikke på dette spørsmålet, mens 62 pst svarte at bedriften også i dag gir tilbud om førtidspensjonering som supplement eller alternativ til AFP. De bedriftene, som gav uttrykk for at de hadde avviklet tilbudet om gavepensjon, ble bedt om å angi den viktigste grunnen til dette. Kun 25 pst oppgir senking av pensjonsalderen i AFP som grunn. Dette resultatet bidrar til å forsterke det generelle inntrykket at mange førtidspensjonsordninger i dag har blitt tilpasset slik at de fungerer som supplement til AFP-ordningen.
11.3 Eldre arbeidstakeres produktivitet
Til grunn for ethvert ansettelsesforhold i en bedrift uansett alder, kjønn og utdanning på den aktuelle arbeidstakeren, er en forventning fra bedriftens side om at den ansatte vil være med og skape verdier som er minst på høyde med kostnadene. Produktiviteten til den ansatte, eller mer generelt den enkeltes bidrag til verdiskapingen, er derfor en viktig komponent både i beslutninger om nyansettelser eller ved nedbemanning.
I en drøfting av tidligavgang og pensjoneringsmønstre vil sentrale spørsmål blant annet være om det er klare tendenser til at produktiviteten endres med alder og spesielt hvordan eldre arbeidstakeres produktivitet er sammenliknet med yngre. Videre må en sammenholde arbeidstakerens produktivitet mot de direkte og indirekte lønnskostnadene, herunder hvilke faktorer som er med på å bestemme lønn og lønnsutvikling. Innledningsvis er det grunn til å understreke at det generelt er store individuelle forskjeller når det gjelder produktivitet blant yngre og eldre arbeidstakere. Videre vil bedriften eller arbeidsgiver legge stor vekt på organisasjonens produktivitet, slik at det er den enkeltes bidrag til denne helheten som bør få oppmerksomhet. En viktig forutsetning for de fleste godt fungerende organisasjoner er at det er variasjon knyttet til medarbeidernes arbeidserfaring og alder og at sammensetningen er valgt ut fra organisasjonens evne til samarbeid og teambygging. I en slik vurdering vil en også kunne verdsette betydningen av å holde på eldre, erfarne arbeidstakere.
11.3.1 Alder og produktivitet
Det er en ikke uvanlig oppfatning at eldre arbeidstakere er mindre produktive enn yngre, og at dette kan være én årsak til at eldre arbeidstakere har blitt presset ut av arbeidslivet før ordinær pensjonsalder, spesielt knyttet til nedbemanningssituasjoner. Oppmerksomheten rundt slitne, eldre arbeidstakere med et langt yrkesliv bak seg innen fysisk krevende yrker, kan ha vært med på å skape et lite nyansert bilde av eldre arbeidstakere. Videre viser resultater fra kontrollerte forsøk at eldre kommmer dårligere ut når det gjelder evnen til raskt å gjøre bruk av ny kunnskap og teknikk. Uansett om det faktisk er klare produktivitetsforskjeller eller ikke, vil arbeidsgiveres holdninger og antakelser om dette være med på å bestemme arbeidsgiverpolitikken overfor eldre arbeidstakere.
Produktivitet hos den enkelte arbeidstaker er vanskelig å måle, og en har lite kunnskap om i hvilken grad arbeidsgivere observerer og eventuelt søker å tilpasse seg produktivitetsforskjeller mellom ansatte. Selv om det er praktisk vanskelig og kanskje heller ikke ønskelig å måle arbeidsproduktivitet på den enkelte arbeidsplass, vil arbeidsgiver likevel kunne ha en kvalifisert oppfatning av de enkelte arbeidstakeres relative bidrag til oppgaveløsning og verdiskaping. En kan her tenke seg ulike kriterier lagt til grunn.
I en artikkel av Warr (1994) om alder og jobbutførelse, oppsummeres resultater fra ulike studier utført av gerontologer og psykologer. Som et hovedresultat fra en gjennomgang av mer enn 100 forskningsarbeider konkluderes det med at det ikke er noen signifikant forskjell mellom jobbutførelse blant eldre og yngre arbeidstakere. Det er videre et generelt mønster at variasjonene innen hver aldersgruppe er større enn de gjennomsnittlige forskjellene mellom aldersgruppene. Det må imidlertid legges til at det i flesteparten av de studiene som ble gjennomgått ikke er gjort forsøk på presise produktivitetsmålinger, men i stedet er basert på overordnedes vurderinger av effektivitet uttrykt gjennom for eksempel et poengsystem for jobbutførelse eller kun ved rangering.
I Warrs studie blir eldre arbeidstakere i gjennomsnitt vurdert som vel så effektive som yngre (selvfølgelig avhengig av hvor en setter grensen mellom de to gruppene, og type arbeid), men i forhold til enkelte viktige kriterier kommer de dårligere ut. Det er en klar tendens til at den fysiske kapasiteten og evnen til å utføre fysisk krevende jobber avtar med alderen. Videre er det en klar oppfatning om at tilpasningsevnen også avtar. Tilpasningsevne kan vurderes ut fra evnen til å gripe tak i og forstå nye ideer, kunne tilpasse seg endringer på arbeidsplassen som for eksempel innføring av ny teknologi, evnen til å lære raskt og være motivert og interessert i videre kompetanseoppbygging. Når eldre arbeidstakere likevel anses som like effektive samlet sett, blir det lagt vekt på forhold som pålitelighet, lojalitet til bedriften, at de er mer samvittighetsfulle i arbeidet og at de med sin erfaring i større grad unngår skader og ulykker som forekommer i en del yrker. Samtidig understrekes det at i forhold til begge disse kriteriene er det store individuelle forskjeller blant gruppene av yngre og eldre.
I den nevnte artikkelen av Warr drøfter forfatteren hvilke forhold i utførelsen av en jobb som kan forventes å være relativt stabile over yrkeskarrieren og hvor en kan forvente variasjoner over livsløpet. Som utgangspunkt for diskusjonen blir typer av arbeid forsøkt delt inn i 4 kategorier.
I den første kategorien har en plassert arbeidsoppgaver som krever et høyt ytelsesnivå, og som blir stadig vanskeligere å innfri etter hvert som en blir eldre. Typisk for denne kategorien vil være arbeidsoppgaver med krav om rask bearbeiding av informasjon og data, rask reaksjonsevne, utpreget god hukommelse, evne til raskt å lære nye teknikker og metoder, og fysisk anstrengende arbeid med for eksempel tunge løft. Karakteristisk for en del av denne typen jobber vil være raske og hyppige endringer i arbeidsinnholdet, slik at opparbeidet kunnskap og ferdigheter kan bli avleggs. Et eksempel på dette kan være innenfor ingeniøryrkene hvor den tekniske kunnskapen de har opparbeidet gjennom utdannelsen gradvis blir utdatert. Innenfor denne kategorien arbeid vil erfaring spille en mindre rolle for jobbutførelsen, mens videreutdanning i noen grad kan opprettholde produktiviteten. I kategori 1 forventes det at produktiviteten synker med alderen.
I det andre ytterpunktet, kategori 4, vil kravet til ytelsesnivå og arbeidstempo i all hovedsak ligge innenfor den enkeltes kapasitet i hele den yrkesaktive perioden. I denne typen arbeid vil erfaring virke positivt inn slik at produktiviteten kan øke med alderen (i hvert fall inntil en viss alder). Stikkord kan her være kunnskapsbaserte jobber hvor arbeidstakere med lengre erfaring og stadig økte kunnskaper opparbeider seg «ekspertise». Slik kompetanse er forbundet med at personen i utstrakt grad har tilegnet seg faktakunnskaper og har opparbeidet erfaring med hvordan disse kan nyttiggjøres i ulike situasjoner. Gjennom stadig trening og læring opparbeides også evne til å takle nye problemstillinger eller ta hensyn til ny informasjon, slik at oppgaveløsingen kan gå raskere. Et eksempel innenfor denne kategorien kan være personer som arbeider med salg innenfor bedrifter eller organisasjoner med et bredt produktspekter. Det vil kunne ta mange år å tilegne seg kunnskap om tekniske spesifikasjoner og praktisk bruk hvis antall produkter er svært høyt.
I en mellomkategori (kategori 2) plasserer Warr ulike typer faglært arbeid. Spesielt for denne kategorien er at etter hvert som den fysiske kapasiteten og evnen til å bearbeide ny informasjon svekkes med alderen, er arbeidstakeren i stand til å kompensere for dette på andre måter. En kan opparbeide seg mer rasjonelle arbeidsvaner hvor en sparer tid og krefter og en kan bedre effektiviteten ved økende grad av spesialisering.
I den andre mellomkategorien (kategori 3) kan en plassere type arbeid som er relativt enkelt og rutinepreget. Det er her hverken store fysiske utfordringer eller krav om utpreget erfaringsgrunnlag eller omstillingsevne. Følgelig forventes at produktiviteten er upåvirket av alder.
Inndelingen i typer arbeid som skissert av Warr er tildels vag, og kategoriene vil i noen grad overlappe hverandre. En fordeling av eksisterende yrker og arbeidsoppgaver innenfor de 4 kategoriene vil følgelig kunne bli tilfeldig. Foruten at det vil være store individuelle variasjoner, peker imidlertid inndelingen og drøftingen på at sammenhengen mellom alder og produktivitet ikke er entydig. Bortsett fra de mest fysisk krevende jobbene (som det blir stadig færre av) og yrker hvor arbeidsoppgavene er meget kompliserte og tidspresset stort, er det ikke grunnlag i denne nevnte empiriske forskningen for å hevde at eldre arbeidstakere gjennomgående er mindre produktive enn andre. Langt på vei vil det være mulig å opprettholde produktiviten (eller holde følge med produktivitetsutviklingen) ved kontinuerlig videreopplæring. Det er imidlertid et spørsmål om hvem som skal finansiere denne opplæringen, noe en kommer inn på nedenfor.
11.3.2 Produktivitet og lønn
Som påpekt innledningsvis, er det forholdet mellom kostnader knyttet til den enkelte arbeidstakeren og produktivitet som er viktig sett fra bedriftens side, ikke produktivitet og eventuelle produktivitetsforskjeller alene. Et sentralt spørsmål er hvorvidt det er for dårlig samsvar mellom eldre arbeidstakeres produktivitet og lønn. Hvis det er tilfellet kan bedriftene ha et økonomisk insentiv til å oppfordre eller skyve eldre ut av arbeidslivet.
Det er i denne sammenhengen viktig å søke forklaringer på hvorfor vi observerer at lønn stiger med alder, i hvert fall opp til et visst punkt. Videre er det en klar tendens til at eldre arbeidssøkere har problemer med å skaffe nytt arbeid samtidig som bedriftene i liten grad går til direkte oppsigelse av eldre arbeidstakere.
En teori som forsøker å forklare sammenhengen mellom lønn og alder bygger på at den ansatte ses på som et investeringsobjekt som en kan investere utdannelse og opplæring i og få økt produktivitet tilbake (humankapital-teorien). Økt lønn forklares derfor med at produktiviteten øker med ansiennitet og jobberfaring, noe som delvis kan skyldes investeringer i opplæring tidlig i ansettelsesperioden. Hvis bedriften betaler opplæringen, må den regne med å få en avkastning i form av at verdiskapingen øker mer enn samlet lønnsutbetalinger, inklusive opplæringskostnader. Hvis den ansatte selv betaler opplæringen, må denne være sikret en samlet lønnsutbetaling som er tilstrekkelig mye høyere enn det vedkommende kunne oppnådd uten utdanning, slik at investeringen også for arbeidstakeren blir lønnsom.
Denne teorien kan bidra til å forklare hvorfor lønn stiger med ansiennitet, ved at arbeidstakerne blir mer produktive over tid. Den kan også bidra til å forklare hvorfor eldre arbeidstakere ikke sies opp (ser i denne sammenhengen bort fra oppsigelsesvern) selv om bedriften kan ansette yngre arbeidstakere som vil godta en lavere lønn. Bedriftsspesifikk kompetanse kan begrunne hvorfor eldre arbeidstakere har problemer med å skaffe seg nytt arbeid, i det en eventuell ny arbeidsgiver ikke kan nyttiggjøre seg av denne kompetansen og samtidig anser at tiden fram til pensjonering er for kort til at det vil lønne seg helt eller delvis å finansiere opplæringskostnadene. Det vil gjøre det mindre interessant også for arbeidstaker å finne ny arbeidsgiver idet avlønningen vil kunne være vesentlig lavere fordi en ikke kan bruke sin faglige kompetanse.
I et arbeide fra Statistisk sentralbyrå undersøkes det om observerte lønnsforskjeller mellom mannlige og kvinnlige arbeidere med ulik utdannelsesgrad og forskjellig erfaringsnivå faktisk reflekterer forskjeller i produktivitet (Hægeland og Klette, 1997). Analysen bygger på data for norske bedrifter i perioden 1986–93. Erfaringsnivå blir målt som antall år hvor en potensielt kan ha opparbeidet seg erfaring og vil derfor ha nær sammenheng med arbeidstakerens alder. Erfaringsnivået er inndelt i 3 intervaller; 0–7, 8–15 og mer enn 15 år. Resultatene viser at det er positiv samvariasjon mellom antall års erfaring og produktivitet, og at økt erfaring gir høyere lønn. Sett i forhold til referansegruppen «ufaglærte mannlige arbeidere med 0–7 års erfaring», tyder resultatene på at lønnsforskjellen mellom denne og gruppen med 8–15 års erfaring er mindre enn produktivitetsforskjellen. For gruppen med mer enn 15 års erfaring er forholdet motsatt; lønnsforskjellen kan ikke fullt ut forklares med høyere produktivitet.
Disse resultatene er ifølge forfatterne i tråd med humankapital-teorien. Tallmaterialet tyder på at det er utstrakt bruk av intern opplæring og investeringer i økt kompetanse i bedriftene de første 15 årene av arbeidstakernes yrkeskarriere. Bare deler av den produktivitetsøkningen dette gir blir reflektert i den faktiske lønnsutviklingen i denne perioden. På den annen side opprettholdes lønnen selv om produktiviteten kan falle mot slutten av yrkeskarrieren.
Det kan imidlertid være hensiktsmessig å skille mellom hvordan lønnen påvirkes av alder og samlet arbeidserfaring på den ene siden, og ansettelsestid i den enkelte virksomhet på den annen.
Som omtalt vil man typisk observere at lønnen øker med alder og generell arbeidsmarkedserfaring, i hvert fall opp til et visst punkt. Dette kan skyldes oppbygging av personkapital, men kan også skyldes at arbeiderne ettersom tiden går finner seg bedre jobber – de kommer på «sin rette hylle» (Manning, 1998). At timelønnen tilsynelatende faller noe mot slutten av yrkeskarrieren kan i en viss grad skyldes målefeil. Redusert arbeidsinnsats vil i empiriske studier bare delvis kunne skilles fra redusert timelønn.
Lønnen har også en tendens til å stige som en funksjon av ansettelsestiden i den enkelte virksomhet. Dette kan skyldes seleksjonsmekanismer (de som har en gunstig lønnsutvikling blir i bedriften, de andre slutter), eller det kan skyldes at lønnen virkelig stiger som en funksjon av ansettelsestiden.
I en norsk studie (Barth, 1997), benyttes norske bedriftsdata for å skille de ulike effektene fra hverandre. Barth finner at det også innenfor hver enkelt bedrift er en tendens til at lønnen stiger både som en funksjon av alder, samlet erfaring og ansettelsestid i bedriften. Alders- og erfaringseffektene er imidlertid avtakende med alder, og blir negative mot slutten av yrkeskarrieren. For eksempel vil den anslåtte samlede lønnsendringen som følge av ett år høyere alder, ett år mer samlet erfaring og ett år lengre ansettelsestid i bedriften være en økning på 1,8 pst for en 30 åring (med 10 års yrkeserfaring) og en nedgang 0,4 pst for en 60-åring (med 30 års yrkeserfaring). Ettersom disse estimatene er basert på tverrsnittsdata er det imidlertid vanskelig å vite om de reflekterer sanne livsløpseffekter, eller om de reflekterer kohorteffekter.
Den stigende lønnsprofilen henger dels sammen med oppbygging av generell og bedriftsspesifikk personkapital, og dels med insentiv- strukturen i lønnssystemet. En stigende lønnsprofil gir insentiver til å bli i bedriften, og til å yte høy arbeidsinnsats. Isolert sett kan dette innebære at en del arbeidere på et eller annet tidspunkt blir vurdert som ulønnsomme for bedriften, selv om produktiviteten er like høy eller til og med høyere enn før. Men normer og implisitte avtaler gjør at disse arbeiderne beholdes i bedriften, i hvert fall til det melder seg mer akseptable metoder for å avslutte arbeidsforholdet (slik som førtidspensjonsordninger). Dersom bedriften utsettes for store økonomiske sjokk (konkurs, trussel om konkurs, fusjon m v) kan det tenkes at bedriften ikke lenger føler seg forpliktet av eller har mulighet til å overholde sin del av den implisitte avtalen. De eldre arbeidstakerne som da mister jobben vil ha liten eller ingen mulighet til å oppnå like gode lønnsbetingelser som det de hadde i andre bedrifter (Ellis og Holden, 1991). Dette problemet forsterkes av at bedrifter som ansetter personer som nærmer seg pensjonsalderen også må bære kostnader knyttet til høye pensjonsinnbetalinger og eventuell førtidspensjonering. Dette kan være en av årsakene til at eldre arbeidere har svært lav overgangsrate til jobb, når de først er blitt arbeidsledige.
11.4 Omstillingsprosesser og nedbemanning i virksomheter
11.4.1 Innledning
De siste tiårene har vært preget av høy omstillingstakt i arbeidslivet. Stiftelsen for samfunns- og næringslivsforskning (SNF) har undersøkt hvor mange jobber som hvert år ble skapt eller forsvant innenfor norsk industri i perioden 1976–92. Undersøkelsen viser at den årlige tilgangen og avgangen av arbeidsplasser hver for seg tilsvarer 7–9 pst av det eksisterende antall arbeidsplasser. Internasjonale sammenlikninger viser at graden av omstilling og jobbskaping i norsk industri er på nivå med de andre OECD-landene i Europa, mens USA og Canada har en noe høyere omstillingshastighet. Samtidig er det et vanlig inntrykk at eldre arbeidstakere ofte er de første som rammes ved omstillingsprosesser og at eldre har større problemer enn andre med å komme inn i arbeid igjen dersom de først har blitt arbeidsledige.
Utgangspunktet for en diskusjon av eldre arbeidstakeres situasjon i arbeidsmarkedet generelt og i forbindelse med omstillingsprosesser spesielt, kan derfor ikke være å drøfte hvorfor nedbemanninger finner sted, men å se nærmere på hvordan nedbemanninger gjennomføres. Særlig må det legges vekt på forhold som bidrar til å forklare at eldre arbeidstakere ofte er de første som må forlate virksomheten i slike situasjoner.
I dette avsnittet drøftes hvilke faktorer som påvirker hvordan virksomheter vil velge å gjennomføre en nedbemanning. Det vil bli lagt vekt på institusjonelle faktorer, og det gjøres et hovedskille mellom forhold som er regulert gjennom lover og avtaler og forhold som knytter seg til normer og holdninger.
11.4.2 Betingelser for valg av nedbemanningsstrategi
Selv om det er vekst i den samlede sysselsettingen, vil det hele tiden finne sted nedbemanningsprosesser i ulike deler av arbeidslivet. Nedbemanning gjennomføres både i offentlig og privat sektor. De siste årene har det i Norge vært en relativt omfattende nedbemanning i ulike offentlige virksomheter innenfor blant annet samferdselssektoren og i forsvaret.
Nedbemanning kan defineres som en handling for å redusere arbeidsstyrken med sikte på å øke organisasjonens effektivitet og lønnsomhet (Dahl og Nesheim, 1997). Nedbemanning er med andre ord ikke noe som tilfeldigvis oppstår i en virksomhet, men er resultatet av en ønsket og planlagt handling. Det kan likevel ligge svært ulike forhold til grunn for behovet for å redusere antallet ansatte. Nedbemanning kan like gjerne være del av en offensiv strategi for utvidet markedstilgang som en defensiv strategi for fortsatt eksistensberettigelse. De bakenforliggende grunnene til å redusere arbeidsstokken kan blant annet være økt konkurranse, teknologisk endring og behov for ny kompetanse, bransjespesifikke utviklingstrekk, redusert etterspørsel eller behov for å redusere kostnader. De siste årene har det blitt fokusert en del på såkalt «outsourcing» som innebærer at virksomheten setter ut enkelte oppgaver til bedrifter som har spesialisert seg på denne tjenesten, for eksempel regnskapsføring, kantinedrift, renhold osv.
Gitt at en virksomhet har et behov for å redusere arbeidsstokken, hvilke faktorer er det da som påvirker måten dette gjøres på? Dahl og Nesheim skiller mellom mekanismer som er påvirket av lover og avtaleverk og normativt betingede mekanismer hvor virksomhetens handlinger ses i lys av hvordan de påvirker virksomhetens anseelse i forhold til f.eks. nærmiljø og media. Rene økonomiske faktorer, som er nærmere omtalt i avsnitt 11.2, blir i liten grad tatt opp eksplisitt her, men de underliggende faktorene av betydning vil gjerne være av økonomisk karakter, enten det gjelder for eksempel utsiktene til framtidig inntjening eller rekrutteringsmuligheter.
Lover og avtaleverkets innvirkning på valg av nedbemanningsstrategi
Lover, regler og avtaleverk er rammebetingelser for nedbemanning som direkte kan legge klare begrensninger på valg av strategi både direkte og indirekte ved å påvirke virksomhetens kostnader. I Norge er det hensiktsmessig å ta utgangspunkt i arbeidsmiljøloven, kollektive avtaler og folketrygden i en diskusjon av denne typen rammebetingelser.
I arbeidsmiljøloven er det gitt et generelt vern mot usaklig oppsigelse ved at ingen kan sies opp uten at det er saklig begrunnet i virksomhetens, arbeidsgiverens eller arbeidstakerens forhold. I tillegg er det innarbeidet et ansiennitets- og alderskriterium i forbindelse med oppsigelse, se nærmere omtale av arbeidsmiljøloven i avsnitt 11.2.
Dahl og Nesheim peker imidlertid på at regelverket som har til hensikt å beskytte eldre arbeidstakere fra oppsigelse, fører til at arbeidsgiverne velger alternative måter å redusere antallet ansatte på. Selv om både de generelle bestemmelsene om oppsigelse og de alders- og ansiennitetsspesifikke bestemmelsene bidrar til å redusere villigheten til å benytte oppsigelse som nedbemanningsform, velger de fleste arbeidsgivere ifølge undersøkelsen, naturlig avgang eller ulike former for tidligpensjonering som alternativ til oppsigelse. Gjennom slike løsninger blir eldre arbeidstakere mer utsatt for å måtte forlate arbeidet ved nedbemanning. En viktig årsak til dette er selvfølgelig at det ikke finnes tilsvarende, permanente ordninger som for eksempel AFP for yngre arbeidstakere. Alternativene for yngre arbeidstakere er oppsigelse med overgang til dagpengeordningen, en løsning mange arbeidsgivere ønsker å unngå dersom det finnes alternativer.
Også i Hovedavtalen mellom LO og NHO og tilsvarende reguleringer i statlig og kommunal sektor er det nedfelt et ansiennitetsprinsipp i forbindelse med innskrenkninger av bemanningen. Dette punktet i avtalen underbygger og forsterker bestemmelsen i arbeidsmiljøloven. Arbeidsgiverne i undersøkelsen til Dahl og Nesheim rapporterer at disse bestemmelsene er viktige rammebetingelser som bidrar til at alternativer til oppsigelse velges ved nedbemanning. I stedet for å forsterke oppsigelsesvernet av de eldre, mener disse forskerne det ikke kan utelukkes at det motsatte er tilfellet. I stedet for å bli i arbeid, kan bestemmelsene i enkelte tilfeller bidra til at eldre arbeidstakere trer noe tidligere ut av arbeidslivet enn de ellers ville gjort.
Lov- og avtaleverket bidrar altså til å redusere det samlede antallet oppsigelser, men det kan også innebære at eldre trer tidlig ut av arbeidslivet. For at bedriften skal få aksept for en slik løsning hos de ansatte og deres representanter, må de kompensere eldre arbeidstakere som sier seg villig til å slutte gjennom å tilby gunstige avgangsbetingelser. I praksis vil dette først og fremst si tidligpensjonsordninger med forholdsvis god økonomisk kompensasjon i forhold til yrkesinntekten. For bedriften vil da valget stå mellom å etablere en egen, bedriftsbasert førtidspensjonsordning, benytte eksisterende førtidspensjonsordninger som AFP, eller å forsøke å benytte seg av eksisterende offentlige ordninger som uførepensjon og arbeidsledighetstrygd som uformelle avgangsordninger.
Dahl og Nesheim viser til at folketrygdordninger er en attraktiv løsning for arbeidsgiveren ved bemanningsinnskrenkninger ettersom kostnadene ved oppsigelse i stor grad kan veltes over på en tredjepart. Dette innebærer at kompensasjonsgraden, tilgjengeligheten (kvalifikasjonskravene) og varigheten på ytelsene i folketrygdordningene blir viktige komponenter for valgene. Lang varighet, enkel tilgjengelig og høy kompensasjon gjør det enkelt for arbeidsgiver å motivere ansatte til å gå over på disse ordningene. Arbeidstakeren vil være interessert i å komme økonomisk så godt ut av situasjonen som mulig.
Endringer i folketrygdens regelverk vil derfor kunne føre til endret atferd hos arbeidsgiverne, se omtale i avsnitt 11.2 om muligheten for å kombinere dagpenger og uførepensjon med gavepensjon fra virksomheten.
Generelle tilbud fra arbeidsgiver i forbindelse med nedbemanning vil også framstå som populære både for arbeidsgiver og arbeidstaker fordi de er administrativt enkle å gjennomføre og ikke krever en individuell vurdering av den enkelte. Dette er blitt omtalt som «statistisk diskriminering» ved at alle over en viss alder er blitt ansett som egnet til å gå av med pensjon. En konsekvens av å gi alle eldre arbeidstakere det samme tilbudet til tidligspensjonsordning, for eksempel AFP kombinert med gavepensjon fra bedriften, kan derfor også føre til at sentrale arbeidstakere i den aktuelle aldersgruppen velger å gå av slik at virksomheten mister viktig kompetanse.
Normative betingelser for valg av nedbemanningsstrategi
Alle virksomheter må forholde seg til et sett av normer, holdninger og oppfatninger om hva som er akseptert atferd og handlingsmønstre. Brudd på disse normene kan føre til svekket renommé, negativ omtale i media og økte kostnader i forbindelse med for eksempel rekruttering og markedsføring.
I Norge er det en sterk generell holdning til at ansatte ikke skal sies opp dersom det ikke ligger åpenbare økonomiske forhold til grunn. Dette er også til dels nedfelt i lovverket. Arbeidsgivernes atferd må ses i lys av disse holdningene ettersom det er grunn til å tro at de vil ønske å beskytte og holde på et godt renommé og derfor forsøke å tilpasse seg media slik at negativ omtale kan unngås.
Et flertall av arbeidsgiverne Dahl og Nesheim intervjuet viste til at ønsket om å beskytte virksomhetens renommévar et viktig motiv for ikke å redusere arbeidsstokken, eller valget av nedbemanningsstrategi, dersom slik reduksjon var gjennomført. Konsekvenser av å bryte normene kan blant annet være svekket tillit både til bedriften som sådan og til kvaliteten på produktene. I tillegg ble det gitt uttrykk for frykt for at andre ansatte kunne føle usikkerhet og dermed slutte selv om dette var i strid med ledelsens ønsker, samt muligheter for framtidige rekrutteringsproblemer.
For å tilpasse seg normene valgte virksomhetene å si opp færre ansatte enn de opprinnelig hadde ønsket, eller benytte seg av naturlig avgang eller tidligpensjonering. Det kan heller ikke utelukkes at økonomiske grunner for nedbemanning ble framhevet ettersom dette gjennomgående er akseptert. Andre studier viser også at bedriftene gir uttrykk for en utbredt og sterk motvilje mot bruk av oppsigelser. Uro, frykt og misnøye internt i bedriften, og dårlig anseelse utad er gjennomgående forklaringer for motviljen til å bruke oppsigelse. Oppsigelser medfører dermed implisitte kostnader for bedriftene, og disse kan i noen tilfeller vurderes å være så høye at en i stedet velger å ta de direkte økonomiske kostnadene ved førtidspensjonering. Kun dersom omfanget av nedbemanning er særlig stort, eller at bedriften er i en meget trengt økonomisk situasjon, synes arbeidsgiverne å ty til oppsigelser.
Dahl (1993) stiller spørsmål om tiltakende bruk av tidligpensjonering kan være en selvoppfyllende profeti. Forventninger om tidligpensjonering av eldre arbeidstakere fører til at arbeidsgiverne investerer mindre i opplæring, noe som svekker de eldres kompetanse gradvis. Dette bidrar til å øke sannsynligheten for utstøting dersom det blir behov for omstilling eller nedbemanning. Gjennom holdninger og signaler kan dermed pensjoneringsalderen bli presset nedover.
Holdninger mot bruk av oppsigelser kan føre til at bedriften inngår såkalte implisitte kontrakter med de ansatte om at for eksempel ingen skal sies opp før pensjonering. Med implisitte kontrakter menes en uformell overenskomst mellom ledelsen og de ansatte om enkelte trekk ved personalpolitikken, for eksempel oppsigelser. Virksomhetenes motiv for å inngå denne typen avtaler kan være hensynet til dens rykte blant kunder, leverandører, lokalbefolkningen, politiske myndigheter, finansieringsinstitusjoner osv. I henhold til Dahl og Nesheims undersøkelse var det en generell erfaring arbeidsgiverne hadde at bruk av oppsigelser/permitteringer kunne gi stor pressedekning, og at dette var en form for negativ oppmerksomhet en forsøkte å unngå.
Holdninger, også blant de eldre arbeidstakerne om at oppsigelser bør unngås, bidrar til å forsterke tendensen til at eldre forsvinner først ut. Det anses bedre at en eldre arbeidstaker kan gå over på en eller annen varig overføringsordning, framfor at en yngre arbeidstaker skal bli arbeidsledig. Dahl (1993) uttrykker det som at «når valget står mellom to onder – å sparke de eldre eller å sparke de yngre – angir normen at de yngre må spares». Dette forsterkes selvfølgelig av at en i mange tilfeller slipper å sparke de eldre ettersom det finnes alternative inntektsmuligheter enn lønnsinntekt.
Halvorsen og Johannesen (1991) beskriver det de kaller en «shake-out»-strategi. Bedriften går da tidlig ut og annonserer behovet for nedbemanning. En del ansatte vil bli skremt av dette og slutter frivillig. Bedriften kan i tillegg antyde at eldre ansatte bør vurdere førtidspensjon. Både de eldre ansatte og fagforeningen vil da lettere godta at ansiennitetsprinsippet viker for «solidaritetsprinsippet» (eldre arbeidstakere viker for yngre).
Dette inntrykket blir delvis bekreftet i Thøgersen m fl (1998). I en intervjuundersøkelse blant personalsjef eller tilsvarende i seks virksomheter, ble det i fire av virksomhetene lagt vekt på tidligpensjonering som en attraktiv måte å redusere arbeidsstokken på.
Resultatene fra denne intervjuundersøkelsen tyder for øvrig på at det er stor variasjon mellom ulike virksomheter i synet på eldre arbeidstakere. Selv om et flertall av virksomhetene gav uttrykk for at AFP og uførepensjon er enkle og attraktive ordninger å ty til ved behov for nedbemanning, hadde flere av virksomhetene et positivt syn på eldre arbeidstakere og hvordan disse fungerte i bedriften. To av bedriftene gav også uttrykk for at det kan være vanskelig å holde på eldre arbeidstakere ettersom mange ressurssterke eldre ønsker å gå av tidlig. Andre bedrifter hadde imidlertid et inntrykk av at eldre stort sett var utbrente og generelt gav ubetydelige bidrag til bedriftens virksomhet.
Media er en viktig formidler av normer og holdninger. Det blir derfor viktig for virksomhetene å unngå negativ presseomtale. Dette fører også til at virksomhetene forsøker å komme fram til løsninger som i minst mulig grad går på tvers av de generelle holdningene i samfunnet. Dette innebærer også at naturlig avgang og tidligpensjonering prioriteres.
Dahl og Nesheim peker på at færre arbeidsgivere gav uttrykk for at mulighetene for negativ presseomtale påvirket nedbemanningsstrategi i 1995 i forhold til i 1990. Dette kan kanskje forklares med at det i nedgangskonjunkturen i Norge fra 1988–1993 var et forholdsvis høyt antall oppsigelser, og at denne formen for nedbemanning derfor er blitt noe mindre stigmatisert.
Diskusjonen ovenfor viser at det er en rekke faktorer som påvirker virksomhetenes valg av nedbemanningsstrategi. Dels kan disse være påvirket gjennom formelle rammebetingelser som lov- og avtaleverk og dels gjennom uformelle faktorer som normer og holdninger. Til en viss grad vil disse påvirke hverandre, for eksempel ved at det i Norge er en generelt sterk motstand til bruk av oppsigelser, noe som også er nedfelt i lov- og avtaleverk. Arbeidsgiverne vil forholde seg strategisk til formelle og uformelle rammebetingelser for å unngå problemer i forbindelse med rettslig etterspill, konfrontasjoner med fagforening eller dårlig renommé. Dette kan ha ført til at arbeidsgiverne i liten grad benytter seg av oppsigelser, og i større grad lar eldre arbeidstakere gå av med ulike pensjonsordninger, gjerne kombinert med gavepensjon. Samtidig kan dette også være forenlig med ønsker og behov hos mange av de eldre arbeidstakerne. Dette fører til at utstøtings- og tiltrekkingsmekanismer virker sammen i forbindelse med nedbemannings- og omstruktureringsprosesser.
11.5 Arbeidsmiljø og personalpolitikk
I en gjennomgang av kvalitative analyser om den rolle personalpolitikk kan spille for eldres situasjon i arbeidsmarkedet mente Lund-utvalget (NOU 1994:2) det kunne tegnes et nokså dystert bilde av den personalpolitikken som føres i norske bedrifter. Både nasjonalt og internasjonalt har det de siste årene vært økende interesse for utforming av personalpolitikk med sikte på å øke eldre arbeidstakeres motivasjon og mulighet til å stå lengre i arbeid. Begreper som seniorpolitikk og livsfasejustert personalpolitikk er viet større oppmerksomhet, og et økende antall bedrifter og organisasjoner fokuserer sterkere på problemstillinger knyttet til aldring av arbeidsstokken.
Arbeidsmiljøet har betydning for muligheter og motivasjon til å stå lenge i arbeid. Med et dårlig arbeidsmiljø kan både fysiske og psykiske problemer oppstå som fører til at tilbaketrekking isolert sett blir mer attraktivt. Arbeidsmiljøutvikling og forebyggende tiltak for å hindre utstøting vil derfor være virkemidler som kan bidra til at flere gis mulighet til å stå lenger i arbeid. I en undersøkelse om omstilling og arbeidsmiljø gjennomført i 1998 (referat i Ukens statistikk 44/98, SSB), sier 37 pst av respondentene at de har bedre muligheter til å foreta selvstendige avgjørelser og bestemmelser i utføringen av jobben nå enn for to år siden. I tillegg gir nær halvparten uttrykk for økt tilfredshet og arbeidsglede, og at de har et bedre arbeidsmiljø enn i 1996.
11.5.1 Personalpolitikk
Personalpolitikk kan spenne over et vidt register. I et forsøk på å klassifisere personalpolitiske tiltak skiller Waldrop (1992) mellom fire kategorier, to av langsiktig karakter og to av kortsiktig karakter. De langsiktige tiltakene kan deles i generelle og framtidsrettede tiltak, mens de kortsiktige kan deles i inkluderende og ekskluderende tiltak. Eksistensen og omfanget av langsiktige tiltak er kjennetegn på det som kan betegnes en personalpolitisk strategi. Denne typen tiltak benyttes særlig i bedrifter som betrakter de ansatte som en ressurs det er viktig å ta vare på.
Generelle tiltak er ikke spesielt innrettet mot eldre arbeidstakere, men er ordninger av mer velferdsmessig art som blant annet tjenestepensjonsordninger og bedriftshelsetjeneste. Framtidsrettede tiltak er forebyggende tiltak som tar sikte på å hindre at arbeidstakerne blir presset ut av arbeidslivet av helsemessige eller kompetansemessige årsaker. Målsettingne med denne typen tiltak vil være å gjøre arbeidstakerne i stand til å holde seg oppdaterte på sitt fagfelt og innføre forebyggende helsetiltak som skal bidra til å unngå at arbeidstakere må forlate arbeidslivet unødvendig tidlig av helsemessige årsaker.
De kortsiktige tiltakene settes inn når situasjonen krever det (ad hoc tiltak), for eksempel dersom det oppstår et nedbemanningsproblem eller det er ansatte som av helsemessige eller teknologiske årsaker ikke lenger kan fungere i sin stilling.
Kortsiktige inkluderende tiltak tar sikte på å legge forholdene til rette for at den ansatte kan fortsette sitt yrkesaktive liv. Dette kan være ulike attføringstiltak som tilpasning av tidligere jobb, omskolering, videreutdanning, omplassering, deltidsarbeid osv. Kortsiktige ekskluderende tiltak på sin side er forsøk fra bedriftens side på å kvitte seg med «problematiske» ansatte. Dette kan for eksempel være førtidspensjonsordninger som er utformet for å løse et nedbemanningsproblem, se avsnitt 11.4.
En godt tilpasset personalpolitikk vil med andre ord være en generell satsing på langsiktige personalpolitiske tiltak, og dersom det blir behov for ad hoc tiltak, bør inkluderende tiltak prioriteres.
Waldrop (1992) hevder at det eksisterer et skille mellom den formelle personalpolitikken for eldre og hva som skjer i praksis. Årsakene til dette kan være flere.
Når bedriften er nødt til å foreta økonomiske innstramminger vil inkluderende tiltak erstattes av ekskluderende tiltak. Et eksempel på dette er bedrifter som «i gode tider» har økonomi til å gjennomføre forskjellige attføringstiltak for eldre arbeidstakere som av helsemessige eller teknologiske årsaker ikke lenger klarer å fungere i jobben. Disse attføringstiltakene kan i seg selv medføre en bedriftsøkonomisk kostnad, i hvert fall på kort sikt. I en strammere økonomisk situasjon kan bedriften være ute av stand til å videreføre tiltakene. I tillegg kan mulighetene for intern omplassering av arbeidskraft reduseres.
Videre kan holdningen til eldre arbeidstakere både fra bedriftsledelsens og fra yngre kollegers side være med på å forme en ekskluderende personalpolitikk for eldre. En konsekvens av negative holdninger til eldre arbeidstakere kan være at både bedriftsledelsen og fagforeningene har interesse av å holde disse utenfor de framtidsrettede tiltakene. Statistikk viser for eksempel at eldre i mindre grad enn andre deltar på kurs i forbindelse med sitt arbeid, se avsnitt 10.6. Holdningene til de eldres ferdigheter kan også bidra til enighet om å la de ekskluderende tiltakene kun gjelde for eldre ansatte. Det kan også være problemer med å få eldre arbeidstakere til å delta på kurs og opplærlingstiltak.
Selv om mange undersøkelser tyder på at det i mange tilfeller har vært ført en ekskluderende personalpolitikk overfor eldre arbeidstakere, finnes det tegn på at det tenkes i nye baner på dette feltet. Dahl (1993) trekker fram eksempler på at norske bedrifter nå begynner å legge mer vekt på eldre ansattes kompetanse og erfaring, og at bedriftsledelsen inntar en mer positiv holdning til eldre ansatte. Videre er en opptatt av å gi eldre ansatte redusert ansvar, mindre fysisk anstrengende arbeid, muligheter for kortere arbeidstid osv. Basert på data fra Levekårsundersøkelsen 1991 hevder Dahl at det kan se ut som om norske bedrifter i visse henseende fører en mer inkluderende personalpolitikk for eldre arbeidstakere enn det bildet som tradisjonelt er blitt tegnet. Dahl mener dette til en viss grad kan skyldes stor forskjell på formell og uformell personalpolitikk også i den forstand at en rekke tilpasninger som gjøres for den enkelte arbeidstaker ikke oppfattes som personalpolitikk i tradisjonell forstand. Forskjellen mellom formell og reell personalpolitikk får i Dahls analyse et annet fortegn enn i Waldorps analyse. Det kan imidlertid ikke utelukkes at disse resultatene skyldes seleksjon ved at eldre som står i arbeid er attraktive for arbeidsgiver, og at arbeidssituasjonen for disse derfor blir særskilt tilrettelagt.
Et inkluderende personalpolitisk tiltak er bedriftsintern attføring. I en undersøkelse blant 512 bedrifter i NHO-området, gjennomført av Mary Visher (1993) ved Fafo, viste det seg at over halvparten av de ansatte i undersøkelsen jobber i bedrifter som har drevet med bedriftsintern attføring. Om lag en fjerdedel av bedriftene i undersøkelsen hadde drevet med attføring, noe som indikerer at dette er mest vanlig i de største bedriftene. Det var stort samsvar mellom bedriftsledelsen og de ansatte om hvor godt behovet for attføring var dekket. Undersøkelsen konkluderer med at: norske bedrifter gjør en bedre jobb med å tilfredsstille sine medarbeideres behov for attføring enn de fleste kanskje trodde. I den grad bedrifter ikke driver med attføring, skyldes dette oftere manglende behov enn manglende motivasjon og/eller ressurser.
I en oppfølgingsstudie forsøker Fafo-forskeren Tone Fløtten (1994) å se nærmere på enkelte av resultatene fra Vishers utredning. Fløtten bruker det samme datamaterialet som Visher. Med utgangspunkt i at det i hovedsak er store bedrifter som gjennomfører bedriftsintern attføring, forsøker Fløtten å se om det er andre forhold enn størrelse som betinger innsatsen. I tillegg ser hun nærmere på om og eventuelt hvordan store og små virksomheter skiller seg fra hverandre i forhold til prosessene som leder fram til attføring, i gjennomføringen av attføringsarbeidet og i dekningen av behovet for attføring.
Fløtten finner at størrelse har en klar egeneffekt for sannsynligheten for at det gjennomføres bedriftsintern attføring. Det er da tatt hensyn til forventet viktige faktorer som blant annet etablering av et attføringsapparat (arbeidsmiljøutvalg, attføringsutvalg og bedriftshelsetjeneste). Med et mindre velorganisert attføringsapparat må trolig behovene være mer manifeste i mindre bedrifter før attføring finner sted. Videre er det en tendens til at det rapporterte behovet for attføring er mindre i små bedrifter enn i store bedrifter. En forholdsvis større andel av de ansatte i store bedrifter mener ledelsen ikke er tilstrekkelig motivert til å gjennomføre bedriftsintern attføring. Det er bare de ansatte i mellomstore bedrifter som i stor grad mener at bedriftsintern attføring ikke gjennomføres på bakgrunn av økonomiske forhold. Ledelsen i bedriftene legger i liten grad vekt på dette argumentet.
Undersøkelsen peker mot at store bedrifter i langt større grad enn små og mellomstore bedrifter benytter seg av det offentlige støtteapparatet (trygdekontor og arbeidskontor) i gjennomføringen av attføring. Ikke uventet finner Fløtten også at det i hovedsak er de store bedriftene som benytter seg av offentlige økonomiske støtteordninger. Videre viser det seg at bedriftsledelsen er betydelig mer aktiv og involvert i attføringsarbeidet i små bedrifter i forhold til både store og mellomstore bedrifter.
Samlet kan dette tyde på at kjennskap til attføring og hvilke støtteordninger som finnes kan være mindre i små og mellomstore bedrifter. Videre viser Fløtten til at et stort flertall av bedriftslederne i særlig grad etterspør mer informasjon, og i mindre grad trekker fram behov for økte økonomiske støtteordninger.
Blant annet på bakgrunn av denne Fafo-studien har Arbeids- og administrasjonsdepartementet utarbeidet forslag til nye forskrifter for arbeidsmarkedsetatens tilbud i tilknytning til bedriftsintern attføring. Forslaget går i hovedsak ut på å forenkle regelverket slik at små- og mellomstore bedrifter lettere kan gjøre seg nytte av tilbudet til arbeidsmarkedsetaten. Ett av forslagene innebærer at det ikke lenger skal stilles krav til mønsteravtale. Ettersom det stort sett er forholdsvis store bedrifter som har mønsteravtale, har dette kravet ført til at mange mindre bedrifter ikke har benyttet dette tilbudet.
Nærmere om livsfasetilpasset personalpolitikk/seniorpolitikk
Seniorpolitikken henvender seg til erfarne arbeidstakere. Selv om begrepet seniorpolitikk kan peke mot særlige tiltak og tilpasninger mot slutten av yrkeskarrieren, er det en normal forståelse av begrepet at det innebærer et lengre perspektiv. Det er blitt presentert ulike aldersgrenser for seniorperioden. I St meld nr 35 (1991–92) legges det til grunn at seniorperioden er fra 55-årsalderen, og dermed stort sett sammenfaller med de siste 10 år av yrkeslivet for de gruppene som har ordinær aldersgrense. Det er senere blitt vist til at erfaringer fra arbeidet med seniortiltak pekes mot at det er viktig å komme i gang tidlig, og i god tid før avslutningen av yrkeskarrieren (Administrasjonsdepartementet 1996). Det er i dag derfor vanlig å legge til grunn at seniorperioden begynner rundt midten av 40-årene. Det er blitt argumentert med at fordeler med å utvide seniorperioden ned til 45 års alder kan være:
Ved 45-årsalderen er de fleste om lag midt i yrkeskarrieren. Dette er blitt betegnet som en konsolideringsfase hvor store deler av grunnlaget for seinkarrieren legges. Ved å utvide seniorperioden gis det bedre rom for langsiktighet og aktiv planlegging av den videre yrkeskarrieren.
Ensidig fokus på avtrappingsdelen av yrkeslivet motvirkes, og medarbeiderne gis mulighet til å forholde seg aktivt til utviklingstiltak i en lengre periode av yrkeslivet.
Hensynet til særaldersgrenser ivaretas bedre.
I Fafo-rapporten «Bedre føre var…» understreker Dahl (1993) betydningen av langsiktige personalpolitiske utviklingstiltak før 50-årsalderen og peker blant annet på jobbrotasjon, stillingsomforming, kompetanseutvikling og en mer målrettet individuell plan for midt- og seinkarrieren. Samtidig pekes det på behovet for å etablere kortsiktige inkluderende tiltak i seinkarrieren, som for eksempel jobbtilpasning, omplassering, deltid og kombinasjon av arbeid og pensjon.
I Åsmund Lundes vedlegg til utvalgets rapport framheves i tillegg betydningen av at holdningsskapende arbeid må finne sted parallelt med de mer aktivt rettede tiltakene. Bevisstgjøring kan bidra til at eldre får større selvtillit og økt motivasjon, samt at kollegers verdsetting av de eldre kan styrkes blant annet ved å avsanne myter om eldre arbeidstakere i forhold til for eksempel omstillingsevne, fysiske yteevne, evne til å tilegne seg ny kunnskap og mulighet til å bidra positivt for virksomhetens samlede produksjon.
Det kan likevel ikke utelukkes at seniorbetegnelsen kan oppfattes som negativ og stigmatiserende for enkelte. Ut fra et generelt inntrykk av at livsfaseperspektivet med endringer over livsløpet i liten grad er innarbeidet i personalpolitikken, kan det likevel være grunnlag for å peke på at manglende eller uheldig personalpolitisk oppfølging, særlig i enkelte faser av yrkeskarrieren, kan få betydelige konsekvenser for framtidige pensjoneringsbeslutninger. Den kommende endringen i arbeidsstyrkens alderssammensetning understreker ytterligere behovet for å legge til rette for at flere eldre motiveres og gis mulighet til å fortsette i arbeid etter at første mulighet til pensjonering er passert.
Hensikten med seniorpolitikk vil blant annet være å:
styrke kompetansen som den eldste gruppen av arbeidstakere har til beste for virksomheten og dens brukere/kunder,
Motvirke unødvendig tilstivning i yrkeskarrieren og stimulere til flere valgmuligheter og større mobilitet i midtkarrierefasen,
stimulere til et aktivt, stimulerende og lærende arbeidsmiljø,
bidra til at den enkelte er produktiv i hele yrkeskarrieren,
bidra til å øke den forventede pensjoneringsalderen i samfunnet.
Seniorpolitikk må utformes i samspill med omgivelsene. Ulike forhold kan støtte opp under en seniorpolitikk eller bidra til å gjøre det vanskelig å oppnå de ønskede resultatene. Pensjonssystemet er en viktig faktor her. I Danmark oppgir mange arbeidsgivere at det er vanskelig å konkurrere med etterlønnsordningen i arbeidet med å fastholde flere i eldre i arbeidslivet.
For å utvikle en vellykket seniorpolitikk er det vist til at det særlig er viktig å forankre satsingen i virksomhetens toppledelse, selv om utformingen kan variere i forhold til den enkelte virksomhets spesielle situasjon og rammevilkår. Videre peker Lunde på betydningen av at seniorpolitikk er en integrert del av virksomhetens personalpolitikk, herunder at de yngre må involveres og se nytten av dette i arbeidsmiljøet. I dette ligger også at seniorpolitikk ikke skal være en del av virksomhetens sosialpolitikk, men ha som mål å bidra til økt konkurransekraft og bedret økonomi. Kjennskap til og forståelse av hva aldring innebærer er også sentralt for å kunne legge til rette for en god seniorpolitikk. Dersom en utformer personalpolitikken på grunnlag av misforståelser eller gale oppfatninger av hvordan aldring påvirker arbeidsinnsatsen, når aldringsrelaterte problemer blir betydningsfulle og ikke tar hensyn til individuelle forskjeller mellom eldre og mellom eldre og yngre, kan tiltakene som gjennomføres få liten, eller i verste fall, negativ effekt. For mer detaljert orientering om seniorpolitikk vises det til omtale av Senter for Senior Planlegging i boks 11.1 og vedlegg 4.
Boks 11.1 Senter for senior Planlegging
Senter for Senior Planlegging er en frittstående organisasjon med representasjon fra til sammen 23 landsdekkende organisasjoner og institusjoner, blant annet fra tre departement, fra de store arbeidslivsorganisasjonene og fra frivillige organisasjoner.
Sosial- og helsedepartementet gir årlig statsstøtte til Senter for Senior Planlegging. Hensikten med støtten er å stimulere arbeidslivet og den enkelte arbeidstaker til å forberede tilværelsen som pensjonist, bidra til et godt arbeidsmiljø og systematisere og målrette informasjon mot bedrifter og etater.
Senteret jobber innenfor følgende hovedområder:
Konsulent- og rådgivningsbistand overfor bedrifter når det gjelder utvikling av seniorpolitikk.
Kartlegging og bearbeiding av informasjon om eldre og middelaldrende arbeidstakeres (45 år og eldre) situasjon når det gjelder arbeidsforhold, individuell kapasitet og evner, holdninger, myter og fordommer.
Holdningsskapende arbeid rettet mot ulike målgrupper, herunder arbeidstakere, toppledelse, personalledere, fagbevegelsen, andre relevante organisasjoner, samt det politiske beslutningsapparatet.
Informasjonsspredning gjennom kurs og informasjonsmateriell med sikte på å spre kunnskap om praktiske og funksjonelle personalpolitiske modeller (beste praksis), og gjennom nettverksdannelser som skal sikre informasjonsutveksling mellom virksomheter.
Forskningskoordinering gjennom programmet «Yrkesliv, aldring og livsløp – arbeidsmiljø og personalpolitikk».
11.5.2 Nærmere om arbeidsmiljøet
Ugunstig arbeidsmiljø må antas å ha en kumulativ effekt over tid. Det å jobbe under ugunstige arbeidsforhold vil etter en viss tid kunne slå ut i økt sykefravær, redusert yteevne og lavere motivasjon til å stå i arbeid. Forskerne Per Erik Solem og Reidar Mykletun analyserer i rapporten «Arbeidsmiljø og yrkesavgang» hvordan ulike arbeidsmiljøfaktorer påvirker sannsynligheten for tidlig avgang fra yrkeslivet (Solem og Mykletun 1996). I tillegg til arbeidsmiljøfaktorer ser Solem og Mykletun også på effekten av helse, ulike yrkesvariabler, aktivitet utenom jobben og demografi. Av de til sammen 21 variablene som inngår i studien, finner Solem og Mykletun at blant annet følgende forhold bidrar til tidlig yrkesavgang:
Redusert arbeidsevne på grunn av sykdom
Høy alder
Lav utdanning
Serviceyrker (mens primærnæringsyrker bidrar til lav yrkesavgang)
Psykiske problemer
Liten aktivitet i foreninger utenom jobben
Hyppig samarbeid med andre
Lite oppjaget og masete arbeidssituasjon
Lite varierte arbeidsoppgaver
Luftmiljøbelastninger
Solem og Mykletun konkluderer med at psykososiale og organisatoriske sider ved arbeidet er de mest framtredende av arbeidsmiljøfaktorene som årsak til tidlig avgang fra yrkeslivet. Variasjon i arbeidsoppgavene forhindrer monotone og lite stimulerende arbeidsdager. Det kan være grunn til å tro at eldre arbeidstakere er særlig utsatt for å bli hengende med de samme arbeidsoppgavene over lang tid.
Det kan være noe overraskende at de som samarbeider mye med andre ansatte kan ha en tendens til å gå av tidlig. En skulle tro at eldre arbeidstakere som var involvert i prosesser og deltok i samarbeid med andre ville finne arbeidsdagen givende og stimulerende. Mye samarbeid er i undersøkelsen definert som mer enn halvparten av arbeidsdagen, og Solem og Mykletun mener at dette kan bidra til at arbeidsdagen blir oppstykket og hektisk.
Lite samarbeid med arbeidskolleger har blitt trukket fram som en indikasjon på at eldre i noen grad skjermes fra, eller holder seg unna konfliktfylte prosesser, se Lahn (1996). Dette kan være del av en mer generell utstøting, eller frivillig tilbaketrekking, som etterhvert fører fram til tidlig yrkesavgang. Deltakelse i sentrale prosesser skaper identitet, engasjement og tilhørighet i virksomheten, noe som bidrar til å øke motivasjonen til å stå i arbeid. Skjerming og frivillig tilbaketrekking kan være tegn på at eldre holdes utenfor sentrale prosesser og kan oppfattes som et signal i retning av at vedkommende bør vurdere sin framtid i virksomheten.
Solem og Mykletun finner også at det fysiske arbeidsmiljøet har en betydning for tidlig yrkesavgang. Store luftmiljøbelastninger vil påvirke helsen og kunne bidra til redusert arbeidsevne på grunn av sykdom. Helseproblemer blir i flere tilsvarende studier trukket fram som en av de aller viktigste årsakene til tidlig tilbaketrekking fra arbeidslivet, se blant annet West Pedersen (1997), Dahl og Midtsundstad (1994) og Lahn (1996). I likhet med Andersen (1994), som har sett på faktorer som påvirker sykefraværet, finner ikke Solem og Mykletun at ergonomiske problemer (sterke rystninger/vibrasjoner, dårlige lysforhold, tunge løft, belastende arbeidsstillinger og gjentatte/ensidige bevegelser) har sentral betydning for yrkesavgangen. Forskerne peker på at det kan synes som om det ergonomiske arbeidsmiljøet er rimelig bra for de aller fleste, og at dette støtter opp under resultater fra sykefraværsprosjektet som viste at tiltak overfor psykososiale sider ved arbeidsmiljøet bidro til å forklare redusert sykefravær enn tiltak rettet mot tekniske og materielle forhold.
Solem og Mykletun sammenfatter drøftingen med at alder i seg selv antakelig har for stor betydning for hvordan arbeidsgivere forholder seg til eldre i arbeidslivet, og hvordan eldre ser på seg selv i arbeidssituasjonen. De vektlegger at forebygging av sykdom er sentralt, men at det også må fokuseres på psykososiale forhold, herunder mulighet til både å samarbeide med kollegaer og få tid til å konsentrere seg om selvstendige og varierte arbeidsoppgaver.
Samlet sett kan det være grunn til å tro at utstrakt bruk av særordninger for enkelte aldersgrupper kan være uheldig ettersom det fører til en konkret særbehandling av disse. Dette innebærer dels en sterk fokusering på at alder i seg selv krever særlige tilpasninger og tiltak. Variasjoner mellom eldre kan bli nedvurdert på bekostning av behovet for individuell tilrettelegging. Dessuten kan det føre til at virksomhetene går glipp av de positive effektene som kan oppstå når forskjellige personer med ulike erfaringer og referansebakgrunner møtes. Dette må ikke tolkes til at en i personalpolitikken ikke skal ta hensyn til individuelle ønsker og behov, også de som gjerne er relatert til alder (livsfasejustert personalpolitikk). Det synes videre som om det er viktig at det stilles forventninger og krav også til eldre arbeidstakere. Det kan ikke utelukkes at skjerming av eldre kan bli oppfattet som et signal i retning av at vedkommende ikke lenger strekker godt nok til og kan påskynde tidlig avgang fra yrkeslivet.
12 Pensjoneringsbeslutninger, økonomiske insentiver og velferd
12.1 Innledning
Målsettingen om å få den enkelte til å stå lenger i arbeid har sin begrunnelse i at gjennomsnittlig pensjoneringsalder i Norge i dag er betydelig lavere enn 67 år. Trenden både i Norge og internasjonalt er at arbeidstakere går stadig tidligere ut av arbeidsstyrken og over på pensjon. Videre viser demografiske framskrivinger, basert på fortsatt økning i levealder og lave fødselsrater, en klar økning i antall pensjonister relativt til yrkesaktive utover i neste århundre. Følgelig blir forsørgelsesbyrden på de yrkesaktive vesentlig tyngre enn i dag. Betydelige skatteøkninger kan bli nødvendig for å finansiere økte pensjoner, noe som igjen vil virke negativt inn på den økonomiske utviklingen og samlet velferd.
Økt tidligpensjonering som reduserer produksjonskapasiteten i økonomien, kombinert med eldrebølgen og framtidig økt press på offentlige budsjetter, er ikke særnorske problemstillinger. De har blitt viet stor oppmerksomhet internasjonalt de siste årene, ikke minst innenfor OECD-samarbeidet. I de felles tilrådingene som er kommet ut av arbeidet innenfor OECD, er det lagt stor vekt på ulike tiltak som kan bidra til å opprettholde produksjonskapasiteten og lette den framtidige finansieringsbyrden. En hovedmålsetting er å sikre at folk står lenger i arbeid. OECD understreker behovet for å se offentlige pensjonsordninger, skattesystemet og overføringsordninger for øvrig i sammenheng. Organisasjonen anbefaler at disse gjennomgås med sikte på å fjerne økonomiske insentiver til tidligpensjonering og disinsentiver til å utsette pensjoneringstidspunktet. Samtidig påpeker OECD behovet for en rekke andre reformer for å styrke de eldres muligheter i arbeidsmarkedet, herunder behovet for livslang læring. I kapittel 8 er det gitt en fyldigere omtale av OECDs anbefalinger.
Eldre arbeidstakere er en svært heterogen gruppe med tanke på antall yrkesaktive år, helse og utdanning. Videre vil typen arbeid innvirke på hvor lenge den enkelte har en rimelig mulighet til å fortsette som yrkesaktiv. Den subjektive verdsettingen av (mer) fritid vil også være forskjellig. Dette er noe av bakgrunnen for behovet for å diskutere fleksibilitet når det gjelder avgangsalder og hvordan en eventuelt kan gi mulighet for å kombinere arbeid og pensjon de siste årene av yrkeskarrieren.
I dette kapitlet vil en konsentrere seg om å belyse hvordan ulike sider ved utformingen av pensjonsordningene påvirker avveiningen mellom arbeid og pensjon. Et hovedspørsmål som drøftes er muligheten for den enkelte til selv å velge avgangstidspunkt, uten at det leder til større samlet forsørgingsbyrde for dem som fortsatt er i arbeid. Hovedbudskapet fra denne gjennomgangen er at fleksible pensjonsordninger langt på vei bør utformes slik at arbeidstakerne selv bærer en vesentlig del av kostnadene forbundet med den økte fritiden ved tidligavgang. Hvis ikke vil ordningen i for sterk grad stimulere til tidligavgang og dette vil bidra til en lavere pensjoneringsalder enn det som er samfunnsøkonomisk ønskelig. Ut fra referanserammen som skisseres i den prinsipielle gjennomgangen i avsnitt 12.2, vurderes enkelte trekk ved dagens pensjonsordninger i avsnitt 12.3. Det påpekes at elementer ved gjeldende norske pensjonsordninger i for liten grad premierer eldre arbeidstakere til å stå i arbeid. Kombinasjonsløsninger med deltidsarbeid og delpensjon drøftes i avsnitt 12.4, og i avsnitt 12.5 ser en nærmere på dagens regler for kombinasjon av AFP-pensjon og arbeidsinntekt. Ordninger som gir mulighet til å gå av tidligere enn 67 år, vil over tid kunne påvirke holdningene i samfunnet og legge press på folketrygdens aldersnorm. Betydningen av normer diskuteres i avsnitt 12.6.
12.2 Enkelte prinsipielle betraktninger om utformingen av alderspensjonsordninger
En rekke forhold påvirker pensjoneringsatferden blant arbeidstakerne, se gjennomgangen i kapittel 10 og 11. I dette avsnittet vil en imidlertid konsentrere seg om på hvilken måte utformingen av pensjonsordningene kan påvirke folks valg av pensjoneringstidspunkt.
Valg av pensjoneringstidspunkt for den enkelte arbeidstaker vil være påvirket av hvilke avveininger denne gjør i valget mellom arbeid og fritid (dvs pensjonering). Hvis vedkommende fortsatt står i arbeid, vil det gi høyere netto livsinntekt, men det vil også medføre at en utsetter muligheten til økt fritid. På et tidspunkt vil oppofrelsen ved fortsatt å stå i arbeid vurderes som større enn nytten av ytterligere noe høyere livsinntekt, og arbeidstakeren vil da ønske å pensjonere seg.
Disse avveiningene kan framstilles i en enkel teoretisk modell, illustrert i figur 12.1. 1 Det legges her til grunn at individet fritt kan velge pensjoneringstidspunkt. Figuren gir et bilde av hvordan avveiningen mellom yrkesaktivitet og fritid (dvs pensjonering) leder til valg av pensjoneringsalder. En slik modellramme er selvfølgelig sterkt forenklet. Den gir likevel et nyttig referansepunkt for en prinsipiell diskusjon av utformingen av fleksible alderspensjonsordninger. For en mer utførlig beskrivelse og drøfting av modellrammen, vises det til vedlegg 1.
Til grunn for modellen ligger en forutsetning om at individets produktivitet og avlønning er stigende gjennom yrkeskarrieren, men at den etter hvert flater noe ut og eventuelt også avtar mot slutten. Det siste er imidlertid ikke avgjørende for analysen. Marginalverdien av fortsatt yrkesaktivitet og arbeidsinntekten (og konsumet) dette gir, er representert ved MY-kurven. Individets marginale verdi av fritid antas etter en viss alder å øke med årene, se den stigende MP-kurven. Dette kan f eks forklares med at svekket fysikk og helse gjør ubehaget knyttet til arbeid, og dermed preferanse for fritid og pensjonering, større. Foreløpig ser vi bort fra offentlige eller private pensjonsordninger, skatter og andre overføringsordninger.
Med disse forutsetningene kan det i figur 12.1 gis et skjematisk bilde av individets avveining mellom arbeid og pensjonering. Individet vil velge sin optimale pensjonsalder lik P*, hvor de to kurvene krysser hverandre. Før man har nådd denne alderen verdsettes avlønningen ved fortsatt yrkesaktivitet så høyt relativt til fritid, at man velger å fortsette i arbeid. Det motsatte vil være tilfelle etter at man har nådd P*.

Figur 12.1 Bestemmelse av optimal pensjonsalder (P*)
Den enkelte har ulik avlønning og forskjellig preferanse for fritid. Den optimale pensjoneringsalderen vil derfor variere fra individ til individ. Høyt lønnsnivå vil innebære et høyt nivå på MY-kurven og isolert sett trekke i retning av høy optimal pensjoneringsalder. På samme måte vil høy verdsetting av fritid, bidra til at MP-kurven ligger høyt og dermed trekke i retning av en lav optimal pensjoneringsalder.
Hvis det er slik at den marginale avlønningen til individene gjenspeiler deres marginale bidrag til verdiskapingen, vil individets valg av pensjoneringstidspunkt også være den samfunnsøkonomisk optimale pensjonsalderen.
Et viktig resultat som følger av denne enkle modellen er at det ikke vil være samfunnsøkonomisk optimalt å ha lik pensjoneringsalder for alle individer. Tvert i mot er det ønskelig både individuelt og samfunnsøkonomisk med fleksibilitet med hensyn til valg av pensjoneringsalder. En felles, obligatorisk pensjonsalder vil føre til at de fleste tvinges til å gå av tidligere eller senere enn det optimale. Ulik produktivitet, forskjellige opplevelser av jobbsituasjoner og ulike preferanser når det gjelder fritid er derfor momenter som taler for å ha et fleksibelt pensjonssystem, hvor individet (i noen grad) selv kan bestemme pensjoneringstidspunktet.
Thøgersen et al. (1998), viser at vi uavhengig av skatte- og overføringssystemet kan forvente at en generell produktivitets- og velstandsvekst over tid trekker i retning av lavere pensjoneringsalder. Til grunn for dette ligger en forutsetning om at inntektsvekst øker både ordinært konsum og uttak av fritid i betydningen lavere pensjoneringsalder. Innenfor den skisserte modellrammen betyr dette at produktivitetsvekst bidrar til at MY-kurven i figur 12.1 skifter nedover, ettersom marginalnytten man realiserer av en gitt inntektsøkning avtar med stigende inntektsnivå.
Ulike krav til kompetanse og arbeidstakernes evne til å tilegne seg ny kunnskap kan påvirke pensjoneringsbeslutningen. Arbeidstakere som har problemer med å tilpasse seg ny teknologi eller andre skjerpede krav i arbeidslivet, vil kunne oppleve et utstøtingspress. Satt inn i den skisserte modellrammen, kan dette uttrykkes som et skift oppover i MP-kurven. Individets følelse av økt utilstrekkelighet og ubehag knyttet til bl.a. innføring av ny teknologi, gjør at alternativet, pensjonering, framstår som relativt mer attraktivt.
Pensjoneringsbeslutninger foretas og bør analyseres innenfor et livsløpsperspektiv. En sentral problemstilling er hvordan yrkesaktivitet i ulike faser av livsløpet påvirker skattebelastning og pensjonsnivå, og videre hvordan utformingen av skatte- og overføringssystemet påvirker samlet netto livsinntekt. En rimelig tolkning av MY-kurven i figur 12.1 er at den reflekterer hvordan fortsatt yrkesaktivitet påvirker netto livsinntekt. Netto livsinntekt vil være påvirket av hva individet kan oppnå av nettoinntekt ved å stå i arbeid ytterligere én periode (f eks et år), hva dette vil gi av ytterligere pensjonsopptjening og hva personen alternativt kunne fått i pensjon neste og senere perioder ved å trekke seg ut av arbeid nå.
Som et referansepunkt for diskusjonen kan det være nyttig å studere effektene av en fullstendig forsikringsbasert ordning, utformet f eks som et rendyrket innskuddsbasert pensjonssystem. I en slik ordning blir pensjonsytelsene bestemt av de innbetalte pensjonspremiene samt påløpt avkastning, slik at den forventede nåverdien av alle premieinnbetalingene tilsvarer pensjonsutbetalingene for det enkelte individ. Et rent aktuarisk pensjonssystem vil således være sammenfallende med en tilpasning der individene sparer til egen alderdom. Introduksjon av et aktuarisk pensjonssystem vil derfor ikke påvirke individets netto livsinntekt og vil heller ikke påvirke avveiningen med hensyn til konsum eller pensjoneringsalder. 2
Innenfor et aktuarisk pensjonssystem med helt fleksibel pensjonsalder, vil hvert enkelt individ se seg tjent med å velge den samfunnsøkonomisk optimale pensjoneringsalderen. Hovedpoenget er at innenfor et aktuarisk system vil individer med relativt sterk preferanse for tidligpensjonering velge en relativt lav pensjoneringsalder og selv betale prisen for dette i form av lavere pensjonsytelser. Sterke preferanser for tidligpensjonering vil også komme til uttrykk gjennom at individet i sterkere grad prioriterer pensjonssparing. Har en derimot svakere preferanse for tidligpensjonering, velges en høyere pensjoneringsalder, slik at pensjonsutbetalingene fordeles på færre år. Med en gitt oppsparing av pensjonsmidler oppnås dermed høyere årlig pensjonsutbetaling den dagen en går av. Fordi individet selv står overfor kostnadene, så vel som nytten knyttet til sin egen pensjoneringsbeslutning, er det i dette tilfellet samsvar mellom privatøkonomisk og samfunnsøkonomisk optimalitet.
Framstillingen knyttet til figur 12.1 er sterkt forenklet, men peker på noen sentrale poenger. Ved gjennomføring av konkrete analyser av pensjoneringsatferd er det behov for å finne fram til et noe mer praktisk anvendbart begrepsapparat. I avsnittet nedenfor ser en nærmere på enkelte begreper og sammenhenger som er benyttet i slike analyser.
Pensjonsformue og implisitt skatt på arbeid
Både norske og internasjonale analyser framhever kompensasjonsnivået og hvordan dette varierer med inntektsnivået som yrkesaktiv, som sentral for pensjoneringsbeslutningen, se kapittel 10. Kompensasjonsnivå eller dekningsgrad er definert som hva en kan få av ytelser som pensjonist i forhold til inntekt som yrkesaktiv. Kompensasjonsnivået vil imidlertid ikke på noen fullgod måte gjenspeile hvilke insentiveffekter som ligger innbakt i pensjons- og skattesystemet, hvis fokuset særlig skal være rettet mot pensjonsordningenes virkninger på eldre arbeidstakeres arbeidstilbud. Denne typen analyser må ta utgangspunkt i at pensjoneringsbeslutninger ses i et lengre perspektiv, se ovenfor. Her vil ikke bare kompensasjonsnivået ved pensjoneringstidspunktet ha betydning, men også hvordan kompensasjonsnivået varierer avhengig av avgangstidspunkt.
Dette kan illustreres ved å betrakte en person som har nådd en alder hvor vedkommende har mulighet til å gå av med pensjon. Den neddiskonterte verdien av de framtidige pensjonsytelsene fratrukket framtidig skatt på pensjon, utgjør pensjonsformuen. Det sentrale for pensjoneringsbeslutningen innenfor denne rammen er hvordan pensjonsformuen vil påvirkes av å fortsette i arbeid. I omtalen nedenfor ser en for enkelhets skyld bort fra at fortsatt yrkesaktivitet kan gi økt pensjonsopptjening og isolert sett øke pensjonsformuen. Ved å fortsette i arbeid ett år, vil antall år som pensjonsmottaker reduseres tilsvarende. Hvis pensjonsformuen fortsatt skal være den samme ved starten på pensjonisttilværelsen, må derfor de årlige pensjonsytelsene settes høyere. Tilveksten eller endringen i pensjonsformuen kan være positiv, null eller negativ, avhengig av hvordan ordningen er utformet. Det relative forholdet mellom endringen i pensjonsformuen og lønnsinntekt etter skatt, vil representere en implisitt skatt på fortsatt arbeid hvis endringen i pensjonsformuen er negativ og et implisitt subsidium hvis den er positiv. 3 En pensjonsordning og et skattesystem som sammen bidrar til at pensjonsformuen øker ved å stå ett år til i arbeid, innebærer derfor at fortsatt arbeid subsidieres. I motsatt fall vil de økonomiske insentivene trekke i retning av tidligavgang. Er endringen i pensjonsformuen ved å stå ett år til i arbeid lik null, kan ordningen sies å være nøytral med hensyn til pensjoneringsbeslutningen. En fleksibel pensjonsordning med forsikringsmessig avkorting vil være innrettet slik at pensjonsformuen er upåvirket av avgangstidspunkt.
I tillegg til å være påvirket av utformingen av pensjonssystemet, vil også endringer i skattesystemet påvirke den implisitte skatteraten slik den her er definert. Hvis pensjonssystemet i utgangspunktet er innrettet slik at pensjonsformuen reduseres ved å stå lenger i arbeid, vil en gunstigere beskatning av pensjonsinntekt i forhold til arbeidsinntekt isolert sett medvirke til høyere implisitt skatt på arbeid.
Denne tilnærmingen og begrepsbruken er benyttet i en rekke studier av hvordan pensjonssystemene påvirker pensjoneringsatferden. En vil her bl a vise til det omfattende arbeidet i regi av OECD 4 og av National Bureau of Economic Research i USA. Sistnevnte har utført 11 separate landstudier, for USA, Canada og ni europeiske land, og analysert og sammenfattet resultatene fra disse. 5
For de landene hvor denne typen studier har blitt gjennomført, viser resultatene uten unntak at for eldre arbeidstakere vil fortsatt yrkesaktivitet innebære en reduksjon i pensjonsformuen. I de fleste landene skyldes dette at de årlige pensjonsytelsene blir uendret eller ikke forhøyes tilstrekkelig med redusert periode som pensjonsmottaker, kombinert med høy kompensasjonsgrad og lempeligere skatteregler for pensjonsinntekt. Pensjons- og skattesystemene medfører en implisitt skatt på arbeid for eldre arbeidstakere og gir derfor insentiver til å gå ut av arbeidsstyrken. I avsnitt 12.3 presenteres enkelte beregninger av implisitte skatterater knyttet til førtidspensjonsordninger og skattesystem i Norge.
I Gruber og Wise (1997) påvises en sterk statistisk sammenheng mellom graden av implisitt skatt på arbeid som skyldes pensjonssystemet og eldre arbeidstakeres yrkesdeltakelse. Land som Belgia og Italia særpreges av pensjonssystemer som innebærer høye implisitte skatterater på arbeid for aldersgruppen 55–65 år, og samtidig svært lav yrkesdeltakelse blant personer i denne aldersgruppen. I det andre ytterpunktet finner en Japan og Island med høy yrkesdeltakelse og et pensjonssystem som bare i liten grad innebærer en implisitt skatt på arbeid.
OECD har i sin gjennomgang av pensjonssystemene, og som grunnlag for å angi retningslinjer for pensjonspolitikken, gjennomført en rekke empiriske analyser hvor en undersøker hvilke faktorer som bestemmer pensjoneringsbeslutningen blant eldre arbeidstakere. Studiene er gjennomført både som sammenliknende analyser mellom land basert på data for et lengre tidsrom og som mer inngående mikroøkonometriske studier av pensjoneringsmønstre i et mindre antall land. 6 I begge analysene er forklaringsmodellen vidt spesifisert med en rekke mulige forklaringsfaktorer for pensjoneringsatferden. Felles for resultatene fra disse studiene er at økonomiske insentiver har en signifikant effekt på pensjoneringsbeslutninger. Alternativkostnaden ved fortsatt å stå i arbeid, indirekte uttrykt ved endringer i pensjonsformuen, er høy. Dette er, sammen med en rekke andre faktorer, med på å forklare den sterke utbredelsen av tidligpensjonering i nesten alle medlemslandene.
Et interessant trekk som framheves i disse analysene, er den markerte aldersprofilen for når arbeidstakerne velger å gå av med pensjon. I alle landene viser avgangsmønsteret at folk i stor grad velger å gå over på pensjon når den nedre aldersgrensen i ordningen nås. De observerte overgangsratene (hasardratene) fra arbeid til pensjon er gjennomgående svært høye på de alderstrinnene hvor en tidligpensjonsordning først blir tilgjengelig. Dette kan skyldes mange forhold, men er likevel en klar indikasjon på at tidligpensjonsordningene gjør det økonomisk lite attraktivt å velge fortsatt yrkesaktivitet.
12.3 Trekk ved alderspensjonsordninger, herunder framveksten av førtidspensjonsordninger i Norge
Med bakgrunn i referanserammen og begrepsapparatet som ble skissert og drøftet i avsnitt 12.2, vil det være interessant å vurdere enkelte hovedtrekk ved det norske skatte- og overføringssystemet.
Finansieringen av folketrygdpensjonene er basert på at dagens pensjonsutbetalinger betales av dagens yrkesaktive. Dagens yrkesaktive bygger ikke opp noen pensjonsformue gjennom folketrygden som de senere tærer på. Systemet baseres på at de neste generasjonene av yrkesaktive finansierer pensjonen for dagens yrkesaktive. I realiteten finansieres folketrygden fullt ut gjennom den løpende, generelle beskatningen av yrkesaktive. Et prinsipp i folketrygden har vært at pensjonsytelsene både skal sikre en tilstrekkelig god minstestandard og at det samtidig skal være et rimelig forhold mellom tidligere inntekt og pensjon. Det er imidlertid klart at ønsket om en stadig høyere minstestandard har vært dominerende helt siden slutten av 60-årene, kort tid etter at folketrygden ble innført. Særtillegget, som er hovedvirkemiddelet for å oppnå høyere minsteytelse, har blitt økt på bekostning av utviklingen i grunnbeløpet. Ved en økning av minsteytelsene gjennom særtillegget har samtidig den reelle verdien av rettigheter til tilleggspensjon blitt redusert. Beregningsreglene for tilleggspensjon har også blitt endret. Særlig vil regelendringene fra 1992, der tilleggspensjonsprosenten og beregningsgrunnlaget ble endret, etter hvert få stor effekt. Beregninger som har blitt utført, viser at gapet mellom minstepensjon og maksimal pensjon som kan oppnås, har blitt mer enn halvert i perioden 1975–1998. 7
Utviklingen i det norske folketrygdsystemet har dermed gått i retning av en stadig svakere sammenheng mellom yrkesaktivitet (og derav pensjonsopptjening) og nivået på pensjonsytelsene. Mer konkret kan en peke på følgende trekk ved alderspensjonssystemet i folketrygden:
Den gradvise og over tid sterke veksten i minstepensjonene har isolert sett gitt sterkere insentiver til å gå av ved første mulige anledning.
Avkorting av særtillegg mot tilleggspensjon krone mot krone, medfører at verdien av opparbeidede pensjonsrettigheter reduseres eller tas bort for et betydelig antall kommende pensjonister. Dette svekker sammenhengen mellom yrkesaktivitet og pensjonsytelse, og gir isolert sett svakere insentiver til å stå i arbeid.
Reduksjon av tilleggspensjonsprosenten og taket for opptjening vil gradvis redusere sammenhengen mellom yrkesaktivitet og pensjonsnivå, og vil ha samme effekt som avkortingen av særtillegget.
Dette er drøftet nærmere i vedlegg 1.
AFP representerer den første mer allment baserte alderspensjonsordningen i Norge hvor det er gitt mulighet for store grupper til å gå av før fylte 67 år. AFP ble etablert som en del av inntektsoppgjøret i 1988. I første omgang ga ordningen mulighet til å gå av ved fylte 65 år. Senere ble aldersgrensen gjennom tariffoppgjøret i 1992 senket til 64 år, og ved inntektsoppgjøret i 1997 ble det avtalt 62- års grense med virkning fra 1. mars 1998. Regelverket for AFP er nærmere beskrevet i kapittel 5, men nedenfor vil en likevel vise til enkelte hovedtrekk.
Innenfor AFP er det ingen avkorting i pensjon ved tidliguttak. Derimot får AFP-pensjonisten godskrevet poengopptjening for årene mellom fylte 62 og 67 år som om en fortsatt var i arbeid. Dels gir dette effekt gjennom flere poengår i alt (40-årsregelen). I tillegg vil de siste 5 (eller færre) årene fram til fylte 67 år for mange også komme inn blant de beste 20 poengårene. Begge deler bidrar til å øke pensjonen i forhold til et regelsett hvor en ikke fikk godskrevet poengår som tidligpensjonist. Ett års godskrevet poengopptjening tilsier i dag en varig økning av tilleggspensjonen på i gjennomsnitt om lag 2 000 kroner per år. Fem års opptjening, fra 62 til 67 år, gir således en varig pensjonsøkning på om lag 10 000 kroner per år.
Kontanttilskuddet gjennom sluttvederlagsordningen medfører at for de fleste AFP-pensjonister vil deres samlede årlige pensjonsutbetaling være høyere i den perioden de er tidligpensjonister enn den pensjonen de ville fått fra fylte 67 år hvis de hadde stått i arbeid til dette tidspunktet. Kontanttilskuddet gis skattefritt og er på 11 400 kroner per år. I offentlig sektor er tillegget skattepliktig, men tilsvarende høyere.
Beregninger for de norske førtidspensjonsordningene viser høye implisitte skatterater på arbeid for eldre arbeidstakere. Regelverket for AFP og folketrygden medfører at den årlige pensjonen for de aller fleste vil være uavhengig av når en går av mellom 62 og 67 år. Det skyldes at det ikke er noen form for justering av den årlige pensjonen knyttet til alder ved uttak, samtidig som pensjonen blir beregnet som om vedkommende stod i arbeid til fylte 67 år. Alderspensjonen fra folketrygden etter fylte 67 år blir derfor heller ikke noe lavere.
Som et eksempel kan en betrakte en arbeidstaker på 62 år som har valget mellom å gå av på AFP-pensjon eller fortsette ytterligere ett år i arbeid. Brutto lønnsinntekt forutsettes her å være 250 000 kroner, noe som også legges til grunn ved beregning av AFP-pensjonen. Sammen med det skattefrie sluttvederlaget gir dette en pensjon etter skatt på nær 122 000 kroner. Hvis arbeidstakeren skulle velge å stå ett år til i arbeid, vil vedkommende derfor gi avkall på 122 000 kroner (samt mer fritid). Dette vil utgjøre endringen i nåverdien av pensjonsformuen, siden de framtidige, årlige pensjonsutbetalingene er uendret. Med en arbeidsinntekt etter skatt på vel 176 000 kroner, kan den implisitte skatteraten knyttet til pensjonssystemet beregnes til vel 69 pst (ved å benytte samme definisjon som Gruber og Wise, se avsnitt 12.2). Denne må ikke forveksles med formelle skattesatser, men gir uttrykk for hvordan pensjonssystemet, gjennom et samspill med skattesystemet påvirker avkastningen av å stå i arbeid for eldre arbeidstakere. Pensjonssystemet bidrar vesentlig til den høye implisitte skatteraten gjennom mangel på varig avkorting av pensjonen ved tidliguttak, samt «gratis» poengopptjening mellom 62 og 67 år. Skattesystemet medvirker gjennom at pensjonsinntekt og lønnsinntekt blir behandlet ulikt. I tabell 12.1 har en presentert tilsvarende eksempler også for enkelte andre inntektsnivåer.
Tabell 12.1 Implisitte skatterater, utvalgte eksempler i AFP 1)
| Arbeidsinntekt | AFP-pensjon | Implisitt skatterate, pst. |
| 150 000 | 99 452 | 88,7 |
| 200 000 | 119 776 | 76,4 |
| 250 000 | 140 101 | 69,1 |
| 300 000 | 160 426 | 65,7 |
| 350 000 | 191 097 | 59,9 |
1) Det er forutsatt at vedkommende er enslig og er 62 år når det tas ut pensjon 1. januar 1999. Videre har han eller hun hatt en jevn inntekt i de 20 beste årene. Likeledes ytes det et skattefritt AFP-tillegg på 11 400 kroner per år.
Disse talleksemplene gir en illustrasjon på hvor liten den privatøkonomiske avkastningen vil være for eldre arbeidstakere av å stå lenger i arbeid. Sagt på en annen måte vil de privatøkonomiske kostnadene være svært lave ved å velge pensjonering og dermed mer fritid. Samfunnsøkonomisk vil kostnadene knyttet til tapt produksjonskapasitet og verdiskaping gjennomgående være langt høyere. Et pensjons- og skattesystem som gir sterke økonomiske insentiver til å gå av tidlig kan derfor samlet sett gi et betydelig samfunnsøkonomisk tap.
En fleksibel pensjonsordning hvor de årlige pensjonsytelsene justeres i forhold til uttakstidspunktet, vil bidra til lavere implisitt skatt på arbeid enn i dagens norske system. Innenfor en pensjonsformuetankegang vil en avkorting ved tidliguttak (og påslag ved utsatt pensjonering) basert på forsikringsmessige fradrag og tillegg, i prinsippet være nøytral med hensyn til pensjoneringsbeslutningen. Det vil innebære at pensjonsformuen vil være upåvirket av fra når uttaket skjer, når en i denne omgang ser bort fra at fortsatt arbeid kan påvirke de samlede pensjonsrettighetene.
I en eventuell generell, fleksibel ordning i Norge gjennom folketrygden, er det naturlig at 67 år opprettholdes som norm for pensjonering. Det innebærer at uten endringer i opptjeningsreglene, vil pensjonsytelsen for en som går av ved fylte 67 år bli uforandret. Beregninger for å fastsette fradrag ved tidlig pensjonering og tillegg ved utsatt pensjonering, vil derfor ta utgangspunkt i opparbeidet alderspensjon for denne pensjoneringsalderen. Ved slike beregninger må det bl a gjøres forutsetninger om forventet levealder.
Forskjellige personer eller grupper vil ha forskjellig forventet gjenstående levealder, noe som vil påvirke beregnede fradrag og tillegg. I prinsippet kunne en tenke seg disse beregnet på individuelt grunnlag, på bakgrunn av et sett av relevante kjennetegn for vedkommende. En mer aggregert inndeling kunne være å behandle kvinner og menn hver for seg, siden kvinner har høyere forventet levealder enn menn. I tabellen nedenfor har en imidlertid beregnet fradrag og tillegg med en felles sats for kvinner og menn. Tillegg og fradrag må over tid rekalkuleres for å ta hensyn til at yngre kohorter vil kunne ha lengre forventet gjenstående levetid.
En forsikringsmessig justering av pensjonen er basert på at nåverdien av opparbeidet alderspensjon er uavhengig av avgangstidspunkt. De beregnede fradragene og tilleggene vil også være avhengig av valg av diskonteringsrente. Tabell 12.2 ovenfor viser beregnede fradrags- og tilleggsfaktorene for aktuelle aldre og med ulike diskonteringsrenter. Beregningene gjelder kvinner og menn under ett. 8
Tabell 12.2 Forsikringsmessig fradrag og tillegg ved pensjonering ved fylte 62 – 70 år i forhold til pensjonering ved 67 år. Med henholdsvis 0, 3 og 6 pst diskoneringsrente .
| Rente | 62 år | 63 år | 64 år | 65 år | 66 år | 67 år | 68 år | 69 år | 70 år |
| 0 % | 76 | 80 | 85 | 89 | 94 | 100 | 106 | 113 | 121 |
| 3 % | 69 | 74 | 80 | 86 | 93 | 100 | 108 | 118 | 129 |
| 6 % | 62 | 68 | 75 | 82 | 91 | 100 | 111 | 123 | 137 |
Kilde: Aktuar Pål Lillevold
Med 3 pst diskonteringsrente vil en varig avkorting i pensjonen på 0,5 pst per måned for tidligere uttak enn ved 67 år, ligge nær en modell med forsikringsmessig avkorting. Tilsvarende vil den som velger å stå i arbeid etter fylte 67 år kunne få et varig tillegg per måned på 0,8 pst fram til fylte 70 år. Hvis en legger til grunn en diskonteringsrente på 6 pst vil tilsvarende avkorting måtte bli om lag 0,6 pst per måned, mens det varige tillegget ved å stå i arbeid etter fylte 67 år blir 1 pst. Uten noen inngående drøfting av valg av diskonteringsrente, vil en her vise til Kostnadsberegningsutvalgets rapport (NOU 1998: 16), der det konkluderes med at staten i andre sammenhenger bør legge til grunn en risikofri rente (realrente) på 3,5 pst.
Til sammenlikning kan det nevnes at Sverige og Finland, som har en ordinær pensjonsalder på 65 år, i dag har en fradragsprosent på 0,5 pst per måned ved pensjonsuttak mellom 60 og 65 år. Tilleggsprosenten ved uttak etter ordinær pensjonsalder er 0,7 pst i Sverige og 1 pst i Finland.
En fleksibel pensjonsordning i folketrygden basert på forsikringsmessig avkorting/tillegg og 67 år som ordinær pensjoneringsalder, vil være kostnadsnøytral i forhold til et regelverk hvor alle går av ved 67 år. I prinsippet vil en slik ordning også være nøytral i forhold til pensjoneringsbeslutningen. Arbeidstakerne velger det tidspunktet som best svarer til deres ønsker og behov, og er i denne valgsituasjonen stilt overfor kostnader og gevinster ved tidlig eller utsatt pensjonering som avspeiler de samfunnsøkonomiske virkningene av deres valg.
Sammenliknet med et pensjonssystem som ivaretar samfunnsøkonomiske effektivitetshensyn kan en konkludere at dagens AFP-ordning gir for sterke økonomiske insentiver til å gå tidlig ut av yrkeslivet. Jo senere en velger å gå av med pensjon innenfor AFP-ordningen, jo lavere vil pensjonsformuen være.
Så langt har effektivitetsegenskaper ved et skatte- og overføringssystem hatt en sentral plass i drøftingen. I en diskusjon av hva som samfunnsøkonomisk sett er den beste løsningen, kan en imidlertid ikke bare legge vekt på effektivitetsegenskaper ved et pensjonssystem. I Norge har en lagt betydelig vekt på fordelingshensyn ved utforming av pensjonssystemer. Innenfor et rent aktuarisk system vil betydelige grupper kunne få en svært lav pensjon. Dette gjelder både for lavinntektsgrupper generelt samt de personer som i perioder har en svak tilknytning til arbeidsmarkedet. Felles for disse er at de ikke har opparbeidet tilstrekkelige rettigheter til at en fleksibel ordning representerer et reelt valg. Det eksisterer dermed en målkonflikt mellom effektivitetshensyn på den ene siden og fordelingshensyn på den andre. Utfordringen består i å utforme pensjonssystemet slik at det ivaretar fordelingshensynene med lavest mulig effektivitetstap.
I en vurdering av førtidspensjonsordninger i Norge og drøfting av mulige endringer, må en legge til grunn at fordelingshensynet fortsatt vil stå sterkt. Sterk vektlegging av fordelingshensyn kan imidlertid føre til at pensjonsordningene i for sterk grad bidrar til tidligpensjonering slik at forholdet mellom antall yrkesaktive og yrkespassive avtar sterkt. Det vil gi en økt finansieringsbyrde for de yrkesaktive og kan gjøre det nødvendig med betydelige skatteøkninger og/eller en nedbygging av offentlig sektor (noe som igjen vil virke negativt inn på den økonomiske utviklingen og samlet velferd). Nettopp dette er bakgrunnen for at en i mange land i dag er opptatt av disse problemstillingene.
12.4 Kombinasjon arbeid – pensjon
Bakgrunn
Et sentralt spørsmål ved et system for fleksibel pensjonering er muligheten for delvis eller gradvis tilbaketrekking fra arbeidslivet. Positive sider ved en slik mulighet er bl a at:
det gir mulighet til en mykere overgang til pensjonisttilværelsen
arbeidslivets krav bedre kan tilpasses en mulig reduksjon i arbeidskapasitet som følge av alder
det gjør det mulig for arbeidstakere å stå lenger i arbeid, der alternativet ellers ville vært full tilbaketrekking. I så fall kan det bidra til å dempe presset på pensjonssystemet (forsørgelsesbyrden)
det kan gi mulighet for å gjennomføre mer skånsomme nedbemanningstiltak der dette er nødvendig
det kan gi bedre kontinuitet ved at en beholder erfaren arbeidskraft lenger innenfor den enkelte organisasjonen
Til tross for at en kan peke på en rekke attraktive sider ved ordninger som gjør det mulig å kombinere arbeid og pensjon, er den faktiske utbredelsen av delvis pensjonering svært liten i OECD-landene (Casey, 1997). En rekke land har riktignok forsøkt å legge til rette for dette gjennom regelverket, men utnyttelsen har til nå vært lav. En av de mulige årsakene som er trukket fram, er at pensjons- eller førtidspensjonsordningene har vært så generøse at de aller fleste har valgt å ta ut full pensjon. Videre kan det være praktiske vanskeligheter for arbeidsgiver knyttet til å tilrettelegge for økt andel av deltidsarbeidende.
Noen prinsipielle betraktninger
En sentral målsetting for pensjonspolitikken er å bidra til å opprettholde arbeidsstyrken og få arbeidstakere til å stå lenger i arbeid. I tilrådingene som har kommet ut av arbeidet innenfor OECD de siste årene, er det lagt stor vekt på at en bør utforme pensjonsordningene slik at de ikke gir for sterke økonomiske insentiver til tidligavgang. Diskusjonen av ordninger hvor en kan kombinere arbeid og pensjon bør ha dette som et sentralt utgangspunkt.
I den prinsipielle diskusjonen av fleksibel pensjonsalder i avsnitt 12.2 er et hovedbudskap at fleksibilitet med hensyn til alder kan være riktig, vurdert både ut fra at den enkelte kan oppnå høyere nytte og at det samlet vil kunne gi samfunnsøkonomiske gevinster. Denne konklusjonen bygger bl a på at arbeidstakerne har ulike preferanser med hensyn til arbeid og fritid og at deres produktivitet kan være forskjellig. For at det skal være samsvar mellom individuelle og samfunnsøkonomiske avveininger, er det imidlertid en viktig forutsetning at arbeidstakere som går av tidlig blir stilt overfor kostnadene på den økte fritiden.
Mange pensjonsordninger har som krav for å tilstå pensjon at en må gå helt ut av arbeidslivet. Ut fra målsettingen om å stimulere til yrkesaktivitet synes det lite rasjonelt å ha ordninger som gjør det vanskelig for pensjonister å ta lønnet arbeid. Det vil tilsynelatende kunne være klare gevinster å hente både for den enkelte og for samfunnet om eldre arbeidstakere som ellers ville gå av med full pensjon, kunne motta delvis pensjon sammen med lønn for deltidsarbeid. Det er imidlertid problemer knyttet til utformingen av et regelverk for slike kombinasjonsordninger.
Anta som et utgangspunkt at den enkelte arbeidstaker sparer til egen alderdom, dvs at det ikke finnes noen offentlig pensjonsordning eller andre overføringsordninger. Den dagen vedkommende går ut av yrkeslivet må hun eller han tære på egne, oppsparte midler. Med fleksibel pensjoneringsalder vil vedkommende velge tidspunktet for pensjonering når verdien av fritid (eller belastningen ved å jobbe) på marginen overgår avkastningen dvs lønnen for arbeidsinnsatsen. På samme måte kan en betrakte en gradvis nedtrapping av arbeidsinnsatsen. Hvis verdsettingen av fritid endrer seg med alderen, vil arbeidstakeren kunne ønske en gradvis nedtrapping av arbeidsinnsatsen. Hvis en går fra et system hvor en enten må arbeide full tid per dag eller trekke seg helt ut, og til et system som åpner for at eldre arbeidstakere kan ha mer fleksibel arbeidstid, er det intuitivt rimelig å legge til grunn at arbeidstakerens samlede velferd vil kunne bli høyere. Mer generelt vil en mer fleksibel arbeidstid i prinsippet gi individuelle og samfunnsmessige gevinster så lenge den enkelte står overfor riktige priser. Innenfor en slik stilisert tankemodell trenger en heller ikke å utforme egne avkortingsregler mellom arbeids- og pensjonsinntekt. «Avkortingen» skjer ved at vedkommende som velger å redusere arbeidstiden mister noe arbeidsinntekt og pensjonssparing, og begynner tidligere å tære på egne, oppsparte midler.
Problemet med å fastsette regler for avkorting mellom pensjon og arbeidsinntekt oppstår når pensjonsordningen ikke er nøytralt utformet med forsikringsmessig fradrag ved tidligpensjonering. Spørsmålet er hvor sterk avkortingen av pensjon mot arbeidsinntekt bør være. Behovet for avkorting kan ses på fra to sider. På den ene siden kan en fokusere på en arbeidstaker som har valgt å ta ut full pensjon. Gitt dette utgangspunktet, kan målsettingen om at arbeidstakeren fortsatt skal velge noe arbeid tilsi at avkortingsreglene bør være lite restriktive. Selv om samlet inntekt kan bli vesentlig høyere enn tidligere arbeidsinntekt, kan en anse dette for å være fornuftig fordi det stimulerer til fortsatt arbeid.
Alternativt kan vi betrakte en arbeidstaker som er i fullt arbeid, men vurderer å gå over på førtidspensjon. Valget står mellom å fortsette i fullt arbeid eller å gå over på pensjon kombinert med redusert arbeidstid. Med dette som utgangspunkt og med svak avkorting av pensjon mot arbeidsinntekt, se ovenfor, vil vedkommende oppleve at effektiv marginalskatt ved å fortsette i full stilling blir svært høy. Det vil således være sterke økonomiske insentiver til å redusere arbeidsinnsatsen.
Disse to eksemplene illustrerer at regler for kombinasjon av arbeid og pensjon kan ha forskjellige effekter på arbeidstilbudet, avhengig av hva arbeidstakerne ville valgt uten denne muligheten. Dilemmaet knyttet til hva slags avkortingsregler en skal velge, avhenger av utformingen av den fleksible pensjonsordningen, og spesielt om hvor «insentivriktig» systemet er.
Som beskrevet ovenfor, vil det innenfor et system hvor pensjonsoppbygging skjer kun ved egen sparing (f eks et rent innskuddsbasert system) ikke være nødvendig med noen egne avkortingsregler mellom pensjons- og arbeidsinntekt. La denne modellen være en illustrasjon på ett yttertilfelle, A. En ordning hvor den årlige pensjonsytelsen er uavhengig av avgangstidspunkt, kan representere et annet yttertilfelle, B. La B være en pensjonsordning som gir om lag 70 pst kompensasjonsgrad ved fulltids pensjon (etter skatt). Med alternativ B som basis vil en innføre mulighet til delpensjon, samtidig som en ønsker å ivareta hovedhensynet om at det alltid skal lønne seg økonomisk å stå i arbeid. Problemet vil være å finne regler for avkorting mellom arbeidsinntekt og pensjon som tilfredsstiller dette (det er her rimelig å legge til grunn at det må være en form for avkorting). Avkortingsreglene bør være slik at kombinasjonen 50 pst pensjonsgrad og 50 pst stilling gir en samlet disponibel inntekt som er klart lavere enn disponibel inntekt ved full stilling. Dette kan ivaretas med en høy avkortingssats. For å stimulere til arbeidsinnsats må imidlertid også forskjellen i samlet inntekt mellom 50 pst delpensjon/50 pst lønn og full pensjon være tilstrekkelig stor til at vedkommende vil velge å fortsette i 50 pst stilling framfor å bli heltids pensjonist. Gitt at det første kravet ble innfridd ved å benytte en høy avkortingssats, vil det med utgangspunkt i en såpass høy kompensasjonsgrad være vanskelig å innfri det andre. Tilsvarende problem vil en møte hvis en forutsetter en lav avkortingssats. Dette eksempelet antyder hvor vanskelig det er å finne avkortingsregler som i ulike valgsituasjoner alltid gjør det økonomisk lønnsomt å velge arbeid, fordi spillerommet mellom full pensjon og full lønn er begrenset.
En ordning som ligger et sted mellom disse yttertilfellene, dvs en ordning med varig, men ikke forsikringsmessig avkorting ved tidligavgang, vil i større grad enn alternativ B stimulere til fortsatt arbeid. Framtidig pensjon blir høyere ved å stå lenger i arbeid. Den avkortede pensjonsytelsen ved tidligavgang vil her gi en lavere dekningsgrad enn i alternativ B, slik at avstanden mellom kun pensjonsinntekt og full lønn blir større. En vil derfor ha noe større spillerom når en skal fastsette avkortingsreglene.
12.5 Drøfting av dagens regler for kombinasjon av AFP-pensjon og arbeidsinntekt
Ønsket om å etablere en ordning hvor det er mulig å kombinere arbeid og pensjon har vært framme i den politiske debatten i Norge i lang tid. I 1978 ble det satt ned et offentlig utvalg som skulle utrede deltidspensjon og førtidspensjon fra folketrygden. Utredningen fra det såkalte Danielsen-utvalget ble lagt fram høsten 1980, hvor utvalget skisserte noen mulige løsninger for et regelverk som skulle gjøre det mulig å kombinere arbeid og pensjon (NOU 1980:54). Utvalgsinnstillingen ble fulgt opp av regjeringen Brundtland gjennom Ot prp nr 87 våren 1981, hvor det ble åpnet for delvis pensjonering. Stortinget rakk imidlertid ikke å behandle saken før valget 1981. Problemstillingen har fått ny aktualitet de seneste par årene. I forbindelse med tariffoppgjøret i 1997 ble det åpnet for å kombinere arbeid og pensjon innenfor AFP-ordningen. Videre ble regelverket i folketrygden for kombinasjon arbeid pensjon etter fylte 67 år, endret i forbindelse med behandlingen av Velferdsmeldingen.
I kapittel 5 redegjøres det for regelverket i Norge når det gjelder avkorting av AFP-pensjon mot arbeidsinntekt. Som beskrevet avkortes AFP med 50 pst av arbeidsinntekt som overstiger folketrygdens grunnbeløp. Summen av arbeidsinntekt og pensjon skal heller ikke overstige tidligere inntekt. Sluttvederlaget regnes ikke med i forbindelse med denne grensen på 100 pst av tidligere inntekt.
Dagens regler om kombinasjon av pensjon og arbeidsinntekt innebærer at redusert arbeidsinnsats opp til et visst inntektsnivå kan resultere i økt disponibel inntekt. Det kan videre lønne seg å redusere arbeidsinnsatsen med to dager framfor én dag per uke.
Nedenfor vises det regneeksempler på hvordan forskjellige regelalternativer slår ut på brutto- og nettoinntekt ved henholdsvis 4 G og 8 G som tidligere pensjonsgivende inntekt når en person reduserer sin yrkesaktivitet med 20 pst og med 40 pst. Det forutsettes at arbeidstakeren blir AFP-pensjonist 1. januar 1999, og at vedkommende har hatt en jevn inntekt de siste 20 årene. Skattereglene for 1998 er imidlertid lagt til grunn ved beregning av disponibel inntekt (inntekt etter skatt). I eksemplene har en sett på virkningen av å redusere den øvre begrensningen på summen av pensjon og arbeidsinntekt på 100 pst av tidligere inntekt til 90 pst av tidligere inntekt.
Det er forutsatt at AFP-pensjonisten er enslig. Det er således ikke tatt hensyn til at mange vil være gift eller samboer med en annen pensjonist. I slike tilfeller skal AFP-pensjonistens grunnpensjon reduseres til 75 pst av grunnbeløpet. Fra 1. januar 1998 skal grunnpensjonen til en pensjonist som er gift eller samboer med en selvforsørget ektefelle med inntekt over 2 ganger folketrygdens grunnbeløp også reduseres til 75 pst av grunnbeløpet. Det vil si at full pensjon på folketrygdnivå i eksemplene (G lik 45 370 kroner) er 11 343 kroner høyere enn om AFP-pensjonisten hadde vært gift eller samboer.
Det er videre forutsatt at det gis et skattefritt AFP-tillegg på 950 kroner per måned som reduseres forholdsmessig i samsvar med pensjonen. Det er bare i LO/NHO-ordningen at AFP-tillegget er 950 kroner. I de andre AFP-ordningene er AFP-tillegget 1700 kroner per måned, som er skattepliktig.
Tabell 12.3 Arbeidsinntekt på 4 G – 20 pst pensjonsgrad
| Arbeidsinntekt som yrkesaktiv | 181 480 | Nettoinntekt som yrkesaktiv | 132 667 |
| Arbeidsinntekt som AFP-mottaker | 145 184 | ||
| Full pensjon – folketrygdnivå | 100 801 | ||
| Fullt AFP-tillegg | 11 400 | ||
| Dagens avkortingsregler: | |||
| Pensjon etter inntektsprøving | 40 401 | ||
| Samlet bruttoinntekt | 185 585 | Samlet nettoinntekt som pensjonist | 142 080 |
| Dagens avkortingsregler med 90 pst tak: | |||
| Pensjon etter inntektsprøving | 20 200 | ||
| Samlet bruttoinntekt | 165 384 | Samlet nettoinntekt som pensjonist | 131 834 |
| Dagens avkortingsregler med G som fribeløp: | |||
| Pensjon etter inntektsprøving | 40 401 | ||
| Samlet bruttoinntekt | 185 585 | Samlet nettoinntekt som pensjonist | 142 080 |
| Dagens avkortingsregler med G som fribeløp og 90 pst tak: | |||
| Pensjon etter inntektsprøving | 20 200 | ||
| Samlet bruttoinntekt | 165 384 | Samlet nettoinntekt som pensjonist | 131 834 |
I tabell 12.3 vil samlet nettopensjon klart overstige netto lønnsinntekt som yrkesaktiv med dagens avkortingsregler. Ser en på pensjonen etter inntektsprøving er fradraget i pensjonen likevel betydelig fordi en blir berørt av 100 pst taket. Taket gjelder imidlertid lønn og AFP-pensjonen eksklusive AFP-tillegget, der det sistnevnte i stedet reduseres i samme forhold som AFP-pensjonen er blitt redusert. Likevel blir samlet bruttoinntekt som deltidsarbeider høyere enn vedkommendes bruttolønn i fulltids stilling. I valget mellom å jobbe 4 eller 5 dagers arbeidsuke taper således arbeidstakeren på å jobbe full tid. Disse resultatene som viser hvor gunstig det er å velge delpensjon, er selvfølgelig en konsekvens av AFP-ytelsene og dagens regelverk for avkorting som framgår av tabellen. Videre er nettoinntektsberegningene påvirket av at pensjonsinntekt beskattes lempeligere enn lønnsinntekt. I tillegg må en ta med i vurderingen at arbeidstakeren ved å trappe ned arbeidsinnsatsen heller ikke taper noe når det gjelder framtidig pensjonsopptjening.
Ved å erstatte 100 pst taket med et tak på 90 pst. framgår det av tabellen at pensjonen etter avkorting blir betydelig lavere. Effekten av lavere tak reduserer den AFP-pensjonen som blir tilbake og gir dermed også et større fradrag i AFP-tillegget. Likevel vil nettoinntekten bli om lag som med 100 pst stillingsandel.
I tabellene har en også tatt med regneeksempler der fribeløpet endres fra 1 G til ½ G. For typeeksempelet i tabell 12.3 vil dette ikke ha noen betydning fordi taket på samlet lønns- og pensjonsinntekt er effektivt i begge alternativene (100 og 90 pst tak).
Tabell 12.4 Arbeidsinntekt på 4 G - 40 pst pensjonsgrad
| Arbeidsinntekt som yrkesaktiv | 181 480 | Nettoinntekt som yrkesaktiv | 132 667 |
| Arbeidsinntekt som AFP-mottaker | 108 888 | ||
| Full pensjon – folketrygdnivå | 100 801 | ||
| Fullt AFP-tillegg | 11 400 | ||
| Dagens avkortingsregler: | |||
| Pensjon etter inntektsprøving | 76 850 | ||
| Samlet bruttoinntekt | 185 738 | Samlet nettoinntekt som pensjonist | 144 158 |
| Dagens avkortingsregler med 90 pst tak: | |||
| Pensjon etter inntektsprøving | 60 601 | ||
| Samlet bruttoinntekt | 169 489 | Samlet nettoinntekt som pensjonist | 135 939 |
| Dagens avkortingsregler med G som fribeløp: | |||
| Pensjon etter inntektsprøving | 64 225 | ||
| Samlet bruttoinntekt | 173 113 | Samlet nettoinntekt som pensjonist | 137 804 |
| Dagens avkortingsregler med G som fribeløp og 90 pst tak: | |||
| Pensjon etter inntektsprøving | 60 601 | ||
| Samlet bruttoinntekt | 169 489 | Samlet nettoinntekt som pensjonist | 135 939 |
I tabell 12.4 er det lagt til grunn samme nivå på arbeidsinntekten, men til forskjell fra tabell 12.3 er fulltidsarbeid her sammenliknet med 60 pst deltidsarbeid.
Som det framgår av tabellen, vil nettoinntekten ved 60 pst deltidsarbeid være høyere enn nettoinntekt i heltids stilling både med dagens regler og et lavere tak (for både 1 G og ½ G som fribeløp). Ved å sammenlikne tabell 12.3 og 12.4 ser en også at vedkommende under alle regelalternativene bortsett fra ett, faktisk kommer bedre ut ved å arbeide 3 dager i uken enn ved å arbeide 4 dagers uke. Taket for samlet lønns- og pensjonsinntekt er effektivt i alle alternativene i tabell 12.3. Det samme er tilfellet i tabell 12.4, bortsett fra i alternativene med dagens avkortingsregler og 1 G eller ½ G som fribeløp. For alle de andre alternativene er taket effektivt i begge eksemplene. Sammensetningen av bruttoinntekten som deltidsarbeider vil imidlertid være forskjellig. Med lavere lønnsinntekt vil fradraget som må til i AFP-pensjon bli mindre, og dette gir i tabell 12.4 et lavere fradrag i AFP-tillegget (som ikke skal tas med under taket). Samlet bruttoinntekt blir derfor høyere enn for alternativene i tabell 12.3 (bortsett fra alternativet med dagens avkortingsregler og ½ G som fribeløp). Det andre momentet som har betydning for nettointektsberegningene, er at med større andel pensjonsinntekt for en gitt samlet bruttoinntekt blir beregnet skatt lavere. Dette slår ut til fordel for en som arbeider 60 pst.
Tabell 12.5 Arbeidsinntekt på 8 G – 20 pst. pensjonsgrad
| Arbeidsinntekt som yrkesaktiv | 362 960 | Nettoinntekt som yrkesaktiv | 234 437 |
| Arbeidsinntekt som AFP-mottaker | 290 368 | ||
| Full pensjon – folketrygdnivå | 174 709 | ||
| Fullt AFP-tillegg | 11 400 | ||
| Dagens avkortingsregler: | |||
| Pensjon etter inntektsprøving | 55 616 | ||
| Samlet bruttoinntekt | 345 984 | Samlet nettoinntekt som pensjonist | 230 064 |
| Dagens avkortingsregler med 90 pst tak: | |||
| Pensjon etter inntektsprøving | 38 664 | ||
| Samlet bruttoinntekt | 329 032 | Samlet nettoinntekt som pensjonist | 220 223 |
| Dagens avkortingsregler med G som fribeløp: | |||
| Pensjon etter inntektsprøving | 43 534 | ||
| Samlet bruttoinntekt | 333 902 | Samlet nettoinntekt som pensjonist | 223 036 |
| Dagens avkortingsregler med G som fribeløp og 90 pst tak: | |||
| Pensjon etter inntektsprøving | 38 664 | ||
| Samlet bruttoinntekt | 329 032 | Samlet nettoinntekt som pensjonist | 220 223 |
I tabell 12.5 og 12.6 har en sett på tilsvarende eksempler som i henholdsvis tabell 12.3 og 12.4, men nå med et nivå på arbeidsinntekten på 8 G. Som det framgår av tabell 12.5 og 12.6, vil det ikke være tilfeller hvor en kommer bedre ut som deltidsarbeider enn som fulltidsarbeider. Tapet ved redusert arbeidsinnsats er imidlertid begrenset.
Tabell 12.6 Arbeidsinntekt på 8 G – 40 pst. pensjonsgrad
| Arbeidsinntekt som yrkesaktiv | 362 960 | Nettoinntekt som yrkesaktiv | 234 437 |
| Arbeidsinntekt som AFP-mottaker | 217 776 | ||
| Full pensjon – folketrygdnivå | 174 709 | ||
| Fullt AFP-tillegg | 11 400 | ||
| Dagens avkortingsregler: | |||
| Pensjon etter inntektsprøving | 94 281 | ||
| Samlet bruttoinntekt | 312 057 | Samlet nettoinntekt som pensjonist | 215 848 |
| Dagens avkortingsregler med 90 pst tak: | |||
| Pensjon etter inntektsprøving | 94 281 | ||
| Samlet bruttoinntekt | 312 057 | Samlet nettoinntekt som pensjonist | 215 848 |
| Dagens avkortingsregler med G som fribeløp: | |||
| Pensjon etter inntektsprøving | 82 198 | ||
| Samlet bruttoinntekt | 299 974 | Samlet nettoinntekt som pensjonist | 208 819 |
| Dagens avkortingsregler med G som fribeløp og 90 pst tak: | |||
| Pensjon etter inntektsprøving | 82 198 | ||
| Samlet bruttoinntekt | 299 974 | Samlet nettoinntekt som pensjonist | 208 819 |
Eksemplene bekrefter at dagens regler fører til at AFP-pensjonister opp til et visst inntektsnivå kan få en høyere inntekt enn de hadde som fullt yrkesaktive når arbeidsinnsatsen reduseres med én eller to dager i uken. Dette gjelder både bruttinntekt (inntekt før skatt) og i enda sterkere grad nettoinntekt (inntekt etter skatt).
Begrunnelsen for at AFP ble opprettet var først og fremst hensynet til eldre arbeidstakere som var slitne etter lange yrkeskarrierer. Disse skulle gis mulighet til å gå av tidligere enn ved 67 år. Reglene for beregning av pensjon ble en kopi av uføreordningens regelverk. Gitt at det var denne type arbeidstakere som faktisk benyttet seg av AFP-ordningen, kan det argumenteres med at det er fornuftig å legge opp til generøse kombinasjonsløsninger for å få folk til å fortsette i delvis arbeid. AFP-ordningen har imidlertid utviklet seg i retning av en generell ordning hvor de fleste har et reellt valg mellom å fortsette i fullt arbeid eller gå av med pensjon. Reglene som i dag gjelder for avkorting av pensjon mot arbeidsinntekt framstår dermed som svært gunstige, og gir eldre arbeidstakere sterke insentiver til å trappe ned på arbeidsinnsatsen etter fylte 62 år.
12.6 Betydningen av normer
Sosiale normer har betydning for hvordan folk oppfører seg og tilpasser seg på en rekke områder i samfunnslivet. Også når det gjelder pensjoneringsatferd vil sosiale normer ha betydning. Normene endrer seg over tid. I mange land har utviklingen gått i retning av redusert pensjonsalder, selv om den ordinære pensjonsalderen har ligget fast på 65 år eller høyere. Pensjoneringsatferden påvirkes også av en rekke andre forhold, som velstandsutvikling og hvilke økonomiske insentiver som er innebygd i pensjonsordningene. Normer og insentiver virker trolig i et samspill og påvirker atferden både på kort og lengre sikt.
Dette er forhold som har vært vektlagt bl a av den svenske økonomen Assar Lindbäck. 9 Det kan angis tilsynelatende gode argumenter for at ulike velferdsordninger ikke bør være for restriktivt utformet og gi for lave ytelser. Det grunnleggende dilemmaet i en velferdsstat er imidlertid at jo høyere ytelser, jo flere vil ordningen trekke til seg. Over tid vil samspillet mellom normer og insentiver kunne lede til en overutnyttelse. Lindbäcks hovedhypotese er nettopp at tilpasningen til et nytt regelsett vil ta tid. Normer endres sakte, og på kort sikt kan eksistensen av sterke sosiale normer begrense effekten av økonomiske insitamenter på folks atferd, idet det for den enkelte kan være kostnader forbundet med å bryte eksisterende sosiale regler eller fordi en selv har en oppfatning av at eksisterende normer fortsatt bør følges. Etter hvert som flere og flere «bryter ut» vil forankringen til gamle normer bli svakere, holdninger endres og virker til slutt forsterkende i samspillet med de økonomiske faktorene. Ifølge Lindbäck kan endringer i vaner, normer og holdninger slå raskere i gjennom når nye generasjoner kommer inn i arbeidslivet og former sine holdninger og normer ut fra det nye settet av regler.
Hvis en følger Lindbäcks hypoteser og resonnementer, kan det gi en pekepinn på hvordan bruken av tidligpensjonsordninger utvikler seg over tid. En tidligpensjonsordning blir ofte etablert for å dekke et behov hos en bestemt gruppe slitne, eldre arbeidstakere, men får likevel en allmenn utforming. En vanlig erfaring er at et begrenset antall personer de første årene går over på den nye ordningen. Det eksisterer følgelig fortsatt et sosialt miljø på arbeidsplassene blant eldre arbeidstakere. Gradvis vil flere av de fullt arbeidsføre kunne finne det økonomisk interessant å benytte seg av ordningen. De har også hatt tid å forberede seg praktisk og mentalt på en tidligere avgang fra yrkeslivet. Eldre og yngre kollegaer observerer dette og holdningene til tidligpensjonering påvirkes. Faren ved dette er at etter hvert som det blir mer og mer vanlig at eldre arbeidstakere avslutter yrkeslivet f eks tidlig i 60-årsalderen, forsvinner seniormiljøet på arbeidsplassene. Det kan føre til at friske, arbeidsføre 60-åringer som faktisk ønsker å stå i arbeid, ikke lenger finner likesinnede kollegaer. På denne måten kan et nytt avgangsmønster på arbeidsplassene bli etablert. Dette kan samtidig påvirke holdningene og normene ellers i samfunnet.
Et generelt trekk ved utviklingen i OECD-området de siste 25 årene er at pensjonsalderen i pensjonsordningene gradvis har blitt senket. Kraftige negative konjunktursjokk i 1970-årene ga vedvarende høy arbeidsledighet i mange av disse landene. I denne situasjonen valgte flere land, bl a Danmark, Finland og Nederland, en arbeidsmarkedspolitikk hvor tidligpensjon var et sentralt virkemiddel. Tanken var at en reduksjon av antall eldre arbeidstakere ville skape rom for de yngre. Disse landene, som for lang tid tilbake lanserte generøse pensjonsordninger, har imidlertid også i dag vesentlig lavere yrkesdeltakelse enn f eks Sverige og Norge.
Nederland representerer et ekstremtilfelle når det gjelder lav yrkesdeltakelse blant menn over 55 år, se kapittel 8. Dette særtrekket har i stor grad sammenheng med at det i 1970-årene og videre i 1980-årene ble etablert en rekke ordninger for at eldre arbeidstakere kunne gå ut av yrkesaktivitet og over på en stønadsordning. Ordningene som ble etablert, var ulike fra bransje til bransje og i mange tilfeller fra bedrift til bedrift innen samme bransje. I 1988 hadde en i Nederland 121 sektorspesifikke og 335 bedriftspesifikke førtidspensjonsordninger i privat sektor og 16 forskjellige ordninger i offentlig sektor. Nedre pensjonsalder i mange av ordningene var under 60 år og kompensasjonsnivået mellom 70 og 90 pst (brutto). I tillegg kunne arbeidstakere benytte seg av liberale ordninger for ledighetstrygd i årene før de kvalifiserte for førtidspensjon. Konsekvensen ble til slutt at hovedparten av arbeidstakere over 55 år ble borte fra arbeidsmarkedet.
Dette påvirket også oppfatningen om hva som var sosialt akseptabel eller normal pensjonsalder. Hvor langt holdningsendringene hadde gått kan illustreres ved at mens alderskriteriet for medlemskap i ulike eldreorganisasjoner var 65 år på slutten av 1970 – tallet, var dette senket til 55 og i enkelte tilfeller helt ned til 50 år på slutten av 1980-tallet. På dette tidspunktet hadde det imidlertid vokst fram en sterk bekymring for den langsiktige effekten på arbeidstilbudet, og forsøk ble gjort for å reversere utviklingen. Dette viste seg umiddelbart å være vanskelig, ikke minst fordi det hadde festnet seg en lav aldersnorm blant aktørene.
Normer bør derfor stå sentralt i en diskusjon av i hvilken grad og på hvilken måte en kan bruke økonomiske virkemidler for å få folk til å stå lenger i arbeid. Økonomiske insitamenter har betydning for folks valg av pensjoneringstidspunkt, og som argumentert ovenfor vil de over tid ha betydning for hvilken aldersnorm som festner seg. Hvis aldersnormene først forskyves nedover, viser erfaringer at det må relativt sterke virkemidler til for å gjenopprette en tidligere aldersnorm.
Samspillet mellom normer og økonomiske insentiver kan tilsi at med uendrete regler i dagens tidligpensjonsordninger, vil gjennomsnittlig pensjoneringsalder gå ned. Utfordringen er derfor å se etter løsninger hvor en kan beholde en viss grad av valgfrihet for den enkelte og kanskje også øke denne, samtidig som det isolert sett vil bidra til økt gjennomsnittlig avgangsalder. Gjennomgangen i de tidligere avsnittene påpeker behovet for mer insentivriktige pensjonsordninger.
Fotnoter
Basert på Thøgersen et. al (1998)
Dette er på en enkel måte vist i f eks Lazear (1986)
Definisjonene og begrepsbruken er hentet fra Gruber og Wise (1997).
Oppsummering og konklusjoner fra dette arbeidet er presentert i rapporten «Maintaining Prosperity in an Ageing Society». OECD 1998.
Gruber og Wise (1997)
Blöndal, S. og Scarpetta, S., 1998. Her presenteres analyser basert på aggregerte tidsseriedata fra 15 land for perioden 1971 – 1995 og mikroøkonometriske studier innen 5 av medlemslandene.
Se f eks LOs samfunnsnotat nr. 2/98.
Basert på Aktuelle befolkningstall 6/97, SSB.
Se Lindbäck, 1995 a, b.