10 Tilgang på og møter med helsetjenester
10.1 Innledning
De fleste kvinner vil ha erfart å gå til lege med en klar og udramatisk «bestilling» eller forventning, det kan være prevensjonsråd, fornyelse av en resept, sykemelding fordi feberen sitter i kroppen på fjerde døgnet, eller mistanke om bruddskade etter fall på isen. Mange har også vært hos fysioterapeut en eller annen gang i løpet av livet, vært innlagt på sykehus, og enten som barn eller som mor vært i kontakt med helsestasjonen.
Men andre ganger kommer pasienten til møtet med en beretning om plager hun ikke finner ut av, ikke finner seg i å ha lenger, som ødelegger arbeidsevnen, som gir undring eller bekymring. Pasienter forteller sin historie – legen lytter etter det som kan skrives om til «sykehistorien». I selve møtet foregår med andre ord en fortolkningsprosess – ofte fulgt av fysisk undersøkelse og prøvetaking for å få objektive manifestasjoner av det fortalte – med det formål å gi plagene et navn og en (be)handlingsanvisning – en diagnose. Noen ganger er diagnosen enkel å stille, andre ganger trengs mange møter hos mange leger. Iblant blir feil diagnose stilt, iblant ingen – og heller ingen hjelp.
Møtene med leger har både et klinisk (medisinsk) og et menneskelig aspekt, Ofte går disse over i hverandre, men ikke alltid. «Dyktige bøller» og «hyggelige, men udugelige leger» finnes.
Boks 10.15
Utgiftene til helsetjenesten i Norge utgjør om lag 8 prosent av brutto nasjonalprodukt, og det utgjør om lag 80 milliarder kroner per år (trygdeutgifter ikke medtatt). Av dette går i overkant av 20 milliarder til sykehussektoren, og om lag 30 milliarder til pleie og omsorgstjenestene i kommunene.
Helsetjenestens oppgave er å ta hånd om befolkningens helse- og sykdomsproblemer. Vi gir i kapittel 9 en framstilling av systematiske kjønnsforskjeller i levetid, sykelighet, forekomst og forløp av sykdommer. For spørsmål i tilknytning til kjønnsforskjeller i behandling av spesifikke sykdommer og lidelser henvises dit. Til en viss grad er det der også beskrevet hva som er anbefalt behandling, og tilgang til aktuelle behandlingsformer er vurdert.
Kvinners helsetjenestebruk, interaksjon med helsepersonell og tilgang på og resultater av behandling må vurderes – og kan langt på vei forklares – i lys av helse- og sykdomsforholdene. En rekke kjønnsskjevheter er påvist som resultat av lik behandling i den internasjonale litteraturen. Fra Norge finnes noen eksempler, blant annet Emblem og Stray Pedersens (1998) undersøkelse av resultatene etter fjerning av endetarm. Kvinnene fikk andre og flere plager etter operasjonen enn menn, og plagene kunne vært unngått dersom operasjonsteknikken hadde vært bedre tilpasset kvinners anatomi. Grå stæroperasjoner hos kvinner har gitt flere komplikasjoner som kan skyldes kvinners kortere øyne. Liv Storstein (1994) har vist at kvinner fikk flere komplikasjoner enn menn av legemidler mot blodpropp. En sentral forutsetning for god behandling er derfor å utvikle og integrere kjønnsspesifikk kunnskap.
Men også andre strukturelle forhold virker inn på bruk av helsetjenesten: De livssammenhenger og sosiale og materielle levekår som påvirker kvinners helsetilstand, slik dette er beskrevet i kapitlene 5 og 6, virker også inn på helsetjenestebruk, tilgjengelighet til spesifikke behandlingsformer, samhandling med helsepersonell – og på behandlingsresultatene. Endelig kan helsetjenestebruk forstås ut fra tjenestenes tilbud og organisering, og de forståelsesmåtene og kommunikasjonsmønstrene som finnes der.
10.1.1 Helsetjenestebruk – både tilbud og etterspørsel
Mange av kontaktene mellom befolkningen og helsetjenesten skjer fordi leger er døråpnere til noen rettigheter – uten at det nødvendigvis er egentlig legeråd som etterspørres (som sykemelding ved ikke-behandlingstrengende influensa). Helsetjenesten er også i økende grad mottaker av et stort spekter av befolkningens eksistensielle problemer. Men kontakt kommer også i stand på helsetjenestens initiativ og invitasjon til friske mennesker i forebyggende øyemed. Sterke normative føringer formidles overfor kvinner i forbindelse med svangerskap, prevensjon og rutinekontroller for livmorhalskreft (celleprøver) og brystundersøkelser. Kvinner oppfordres til å bruke helsetjenesten, og kvinnene kommer. Det er mulig at mange kvinner gjennom dette blir bedre kjent med helsetjenesten enn hva menn gjør. Forholdet mellom behov for helsehjelp, etterspørsel, tilbud og kontakter med helsetjenesten er altså ikke entydig eller enkelt. Det er ikke nødvendigvis slik at «etterspørsel» er behovsstyrt ut fra grad av sykelighet/helsetilstand, eller for den del fører til kontakt. Det er mange og ulike grunner til kontakt.
På den annen side blir de pasienter som tas inn og behandlet silt og selektert, blant annet på grunnlag av helsepolitiske prioriteringer, faglig skjønn, kompetanse og behandlingskapasitet. Seleksjon og prioritering skjer i alle deler av helsetjenesten, men er sterkere jo mer spesialiserte tjenester det dreier seg om. Det er altså i betydelig grad helsepersonell som regulerer forbruket av tjenester. Primærleger skriver rekvisisjoner til spesialister, fysioterapeuter m.v., bestiller time til røntgenundersøkelse, søker om innleggelse i sykehus for utredning og behandling, og om opphold på alders- og sykehjem. Høyspesialiserte tjenester vil i større grad være tilbudsstyrt enn primærhelsetjenester – hvor den enkelte pasients artikulering av behov har større sjanse for å gi tilgang og sette premisser for tilbudet som gis.
Helsetjenesten kan med andre ord beskrives ut fra dens egen oppbygging, hva den tilbyr – men også ut fra brukerens behov, initiativ til kontakt og bevegelser gjennom systemet.
10.1.2 Forutsetninger i tilbudet
10.1.2.1 Et spesialisert organisasjonskart
«Organisasjonskartet» for helsetjenesten, med allmennhelsetjenester og en sterkt spesialisert annenlinje og sykehusstruktur, kan minne om et kart for produksjonsbedrifter. Det fins retningslinjer og prosedyrer for hvordan prosessene gjennom systemet skal skje – i form av henvisninger, journaler og epikriser. Men for mange av pasientene kan prosessen bli langt mindre strømlinjeformet enn forventet. Helsevesenet arbeider etter de samme skillelinjene som medisinens – der kroppen er dekonstruert til organer og deres delfunksjoner. Vi har avdelinger for øre-nese-hals, og for hjerte- og karsykdommer. Vi har avdelinger som reparerer syke kropper med kniv og tråd (kirurgi) og avdelinger som reparerer med medisiner. Vi har tradisjonelt hatt egne kvinneklinikker, men de har, til tross for navnet, ikke beskjeftiget seg med syke kvinner, men bare med fødselshjelp. Selv omsorg etter fødsel gis et annet sted. Kropp og sjel behandles ofte atskilt, ved at psykiatrien er tatt ut av den generelle medisinen, og det er laget egne strukturer for dem som lider av psykiske sykdommer. Resultatet er at helsevesenet er funksjonelt for noen tilstander, mindre for andre, og aller minst for mennesker med alvorlige og sammensatte plager.
Disse systemene er så vel innarbeidet at de fleste aksepterer at det «må vel være slik». Likevel er det mange som ser at denne formen for organisering ikke klarer å fange opp og behandle pasientene som hele mennesker – ikke engang som hele kropper. Den enkelte spesialavdeling ser pasientene sine som ferdigbehandlet når det ikke er mer de kan gjøre. Dersom et brukket ben er naglet, er pasienten utskrivbar fra ortopedisk avdeling, selv om hun enda ikke klarer å gå særlig bra. Derfor er det mange syke mennesker som utskrives til sykehus, eller som ikke har noen klar plass i systemet. Jo mer ubestemt og omfattende en sykdom er, jo flere samsykdommer, desto vanskeligere er det å finne riktig plass for pasienten. Pasienter kan bli kasteballer mellom avdelinger, poliklinikk og primærlege. Ventetider på epikriser, prøvesvar og ny innleggelse kan bli lang. I prinsippet er det derfor allmennmedisinen som skal ha det helhetlige grepet, og som skal kanalisere pasienten via de rette kanaler. Selv om han eller hun skal forholde seg til «hele pasienten» viser nyere forskning at det bare er et fåtall som virkelig kjenner pasientens sosiale kontekst.
Det er også geografiske variasjoner når det gjelder innhold i behandling og tilgjengelighet til ulike behandlingstilbud. Det gjelder både høyteknologiske og lavteknologiske behandlingsformer og er ofte et spørsmål om hvordan kompetanse er fordelt og tjenestene organisert. Operasjoner for inkontinens og sterilisering er noen eksempler på tilstander der det er store regionale forskjeller og lang ventetid. Noen regioner har gode tilbud for den typen sykdommer og plager kvinner ofte har, andre steder er tilbudene best utviklet overfor helseplager som oftere rammer menn. Derfor vil også kjønnsforskjeller kunne variere geografisk.
Kjønnsforskjeller når det gjelder tilgang til ulike behandlingsformer, for eksempel strålebehandling og visse former for avansert behandling er i liten grad undersøkt i Norge. Det har heller ikke vært anledning til å undersøke disse forholdene spesielt innenfor rammen av denne utredningen. Internasjonale studier gir imidlertid grunn til å reise en rekke spørsmål, og etterlyse slik kunnskap også om norske forhold.
10.1.2.2 Kjønnsstrukturen blant ansatte i helsevesenet
De fleste som arbeider med klienter i helsesektoren er kvinner utdannet i sykepleie, hjelpepleie og vernepleie. Kjønnsfordelingen er litt jevnere innen fysioterapi, farmasi, laboratoriefag og psykologi, og i de spesialiserte etterutdanningene. At det er et stort antall kvinner innenfor en profesjon, behøver ikke uten videre bety at det er anlagt et kjønnsperspektiv i utdannelsen. Selv om det er en rekke ulike faggrupper og profesjonsutøvere som har sitt arbeid i helsesektoren, er det likevel i medisinstudiet og på de medisinske fakultetene mange av de faglige premissene for virksomheten legges. Det er et mindretall menn som søker seg til sykepleieryrket, og pleie og behandlingssektoren er feminisert. Dette betyr ikke at kvinner uten videre kommer inn i makt- og beslutningsposisjoner, der sitter det fremdeles flest menn. Dette kan være en av forklaringene på at meget få av utdanningsinstitusjonene har noen eksplisitt likestillingspolitikk, strategi for forskning i et kjønnsperspektiv, eller undervisning om kjønn og helse. De fagplanene som har et kjønnsperspektiv innebygget, har det på grunn av ildsjeler som har tatt fatt på dette i kraft av at de har hatt interesse for det, ikke fordi det er en eksplisitt del av stillingsinstruks eller fagplan.
Den skjeve kjønnsfordelingen bidrar til at menn står for de viktigste beslutningene i helsevesenet. Disse beslutningene kan dreie seg om alt fra rammene for virksomhetens budsjett, tilbud om prosjekttilknytning, lederopplæring eller anbefalinger om terapivalg. Det betyr også at det er vanskelig for kvinnelige fagpersoner å komme inn i beslutningsprosessene med sine premisser. En del av profesjonskampen mellom sykepleiere og leger kan også sees som konflikter der kjønn spiller en stor rolle. Kvinner og menn fordeler seg også ulikt mellom offentlig og privat helsevesen. Kvinnene dominerer i offentlig sektor, der lønnen er lavere. Der kan de også få lederstillinger. I privat sektor er det nesten bare menn i lederposisjoner. Dette kan på sikt bety at vi får et høystatus og et lavstatus helsevesen som også er kjønnsdelt.
Fagstrukturen i helsevesenet er delt mellom kvinner og menn, slik at det tradisjonelt har vært flest mannlige leger, og flest kvinnelige sykepleiere. For en del av de andre behandlings-, støtte- og pleiefunksjonene i helsevesenet er også arbeidet preget av at det er kvinner som er sekretærer, arbeider som hjelpepleiere, vaskehjelper og bioingeniører, mens menn ofte er medisinske ingeniører, teknikere, portører, ambulansesjåfører, administrative ledere og direktører.
Boks 10.16 Hvor mange kvinner har makt?
På Statens Institutt for Folkehelse er toppsjefen mann, og det er kun en kvinnelig avdelingsleder, og ingen kvinnelige seksjonsledere. I Statens helsetilsyn er toppsjefen kvinne, 7 av 11 fagsjefer er kvinner, og 3 av 6 avdelingsdirektører er kvinner. I fylkeslegeetaten er 5 av 19 fylkesleger kvinner, og 11 av 35 assisterende fylkesleger likeså. Man har noen kvinnelige sykehusdirektører, og noen flere kvinnelige kommunehelsesjefer. I Sosial- og helsedepartementet er en av sju ekspedisjonssjefer kvinner. Der man har kvinnelige sjefer, i Helsetilsynet og Kreftregisteret, ser man at institusjonene faktisk prioriterer kvinnehelsespørsmål høyt. Helsetilsynet har en egen satsning på kvinnehelse, og Kreftregisteret organiserer store kvinnehelseundersøkelser (screening) for livmorhals- og brystkreft.
I og med at ledelse i helsevesenet ofte har vært lagt til stillingskategorien lege, har lederens kjønn – mann – kommet automatisk. Kampen om å få delt ledelse på sykehus, mellom leger og sykepleiere, kan også sees ut fra en kjønnssynsvinkel. De viktigste beslutninger i helsevesenet tas i institusjonene, i budsjett- og prioriteringsdiskusjoner, i fagmiljøer og i kommunene. I stillinger med makt og innflytelse i helsevesenet sitter det flest menn. Det er mange flere mannlige enn kvinnelige leger som er ledere. Mannlige ledere har ofte doktorgrad og spesialistkompetanse, det vil si at de har faglig spisskompetanse som en viktig forutsetning for lederskapet. Det kan være grunn til å tro at mannlige ledere fatter andre typer beslutninger og gjør andre prioriteringer enn kvinner ville gjort. Mangelen på kvinner i ledende stillinger i institusjoner med stor innflytelse på beslutninger om hva helsevesenet skal drive med eller prioritere, kan være en faktor å forklaring på hvorfor det er så vanskelig å finne noe gjennomgripende kjønnsperspektiv i helsevesenet.
Flest menn sitter i posisjoner der det skal besluttes hva som er viktig kunnskap. Der hvor kvinner tas med i beslutningene, kan dette ofte være kvinner som har «seiret» i den maskuline karrieremodellen, og som er lite opptatte av å bringe inn et kjønnsperspektiv. Den etablerte karrieremodellen har stor betydning for opplæring av nye kandidater i helsefagene, og i valg av forskningsfelt og problemstillinger innen akademisk medisin.
10.1.2.3 Karriereveier for menn og kvinner i medisinen
På alle de medisinske fakultetene har andelen kvinnelige søkere og opptatte studenter økt dramatisk. I framtiden kan man regne med at halvparten av de nyutdannede legene vil være kvinner. Det er derfor av betydning å se hvordan kvinner og menn innenfor medisinske fag velger spesialitet, kommer i beslutningsposisjoner, blir ledere eller bringer kvinne- eller kjønnsperspektivet inn i faget sitt.
Det er få kvinnelige medisinere sammenlignet med menn som oppnår lederposisjoner, og mannlige sykepleiere blir oftere ledere til tross for sitt kvantitative mindretall. Slik sett har man fått et kjønnsdelt hierarki i helsevesenet, der menn er ledere og kvinner utfører det daglige arbeidet. Både menn og kvinner preges av at ledere oftest er menn, og det er skjulte og åpne mekanismer som hindrer kvinner som vil bli ledere å oppnå slike verv. For kvinnelige leger er det lettere å bli ledere i offentlig primærhelsetjeneste, fordi kravene til kvalifikasjoner her er mer formalstyrt (ansiennitet og utdanning) enn i det private helsevesenet. Vanskeligst er det å bli leder på universitetsnivå (se ramme).
Kvinner og menn i medisinen velger dessuten ulike spesialiteter. Kvinner er å finne i barnepsykiatri (53 prosent), i gynekologi (29 prosent), i pediatri (21 prosent), i allmennmedisin (20 prosent) og til dels i psykiatri, radiologi og patologi. Det er få kvinner i kirurgi (4 prosent), i øre-nese-hals spesialiteten (5 prosent) og i hjertesykdommer(6 prosent). Det er en viss tendens til utjevning med økende andel kvinnelige leger, og det er nå (1998) kvinner i flere spesialiteter enn for noen tiår tilbake, da det var mange spesialområder som overhodet ikke hadde kvinner i noen av sine stillinger. Det kan være mange forklaringer på dette mønsteret; både at visse spesialiteter er vanskelige å kombinere med familieliv, og at noen miljøer er så mannsdominerte at de virker ekskluderende på kvinner. Noen mener også at menn foretrekker tekniske tilnærminger mens kvinner er mer opptatt av omsorgsverdier, også i medisinen. Endringene kommer, men sakte. Det er vanskelig for unge kvinner å velge utradisjonelt dersom det ikke finnes gode rollemodeller. Enkelte fag vil trolig av den grunn mangle kjønnsperspektiver i lang tid framover.
Boks 10.17
Av fast akademisk personale i overordnet stilling (amanuensis og professor) er det både i Tromsø, Bergen, Trondheim og Oslo en meget stor overvekt av menn. Vi viser her en tabell over hvor stor andel av seniorene på de medisinske fakultetene (vi har også tatt med de odontologiske og idrettsfaglige fakultetene i fagområdet medisin) ved de fire universitetene som er kvinner (NIFU 1998)
Tabell 10.1 Andel kvinner blant professorer og førsteamanuenser ved de medisinske fakultetene 1997.
| Oslo | Bergen | Trondheim | Tromsø | |
| Professor 1 | ||||
| Antall | 26/180 | 13/100 | 1(2)/32 | 4/47 |
| Prosent | 14 | 13 | 3(6) | 9 |
| Første-amanuensis | ||||
| Antall | 27/58 | 13/63 | 9/26 | 15/36 |
| Prosent | 46 | 20 | 35 | 42 |
Kilde: NIFU
Det medisinske fakultetet ved Universitetet i Oslo har i flere år finansiert en deltidsstilling (professor 2) i medisinsk kvinneforskning. Professoratet har vært knyttet til Senter for kvinneforskning
De fleste kvinnene har stillinger som førsteamanuensis i odontologi eller samfunnsmedisin. I basalmedisin og klinisk medisin, og på professornivå er kvinneandelen lavere. Det er litt mer kjønnslikhet i farmasi, der 2 av 5 professor I er kvinner. Blant stipendiatene, som er de akademisk ansatte som er lavest på rangstigen, er det tilnærmet like mange kvinner som menn. Det er uttrykt stor bekymring omkring rekrutteringen til akademisk medisin i framtiden. Foreløpig er det ikke mye som tyder på at dette er en oppnåelig karrierevei for det store antallet kvinnelige medisinerstudenter. Mange kvinner faller av en akademisk karriere etter oppnådd doktorgrad.
10.1.3 Etterspørsel og kommunikasjon – mulige kjønnsforskjeller
Ved siden av å forstå helsetjenesten ut fra medisinens kategorier og skjemaer (sykdommer og behandlingsmåter) og ut fra tjenestenes oppbygging, kan vi også reise spørsmål om hva kjønn betyr ut fra brukerens perspektiv, og hennes gang gjennom de ulike leddene i behandlingskjeden. Brukerens kjønn kan tenkes å ha betydning for:
Hvordan kvinner og menn oppfatter og tolker kroppens signaler. I avsnittet om arbeidshelse (5.3) så vi at ved like målinger for forhøyet stressnivå, oppfattet mennene seg selv som sinte, mens kvinnene oppga at de var lei seg.
Hvordan kvinner og menn vurderer behovet for å oppsøke helsetjenester. Dette kan for eksempel preges av hvordan symptomer og plager forstyrrer de forpliktelsene en har – som jo er systematisk forskjellige for menn og kvinner (med hensyn til omsorgsforpliktelser, tungt arbeid, deltidsarbeid). Vurderingen av om en trenger å oppsøke helsevesenet kan også preges av hvilke forventninger en har til å føle seg vel eller være frisk og sterk, og av at kvinner synes å være mer opptatte av egen kropp, helse og velvære.
Hvordan en presenterer problemer og behov når en oppsøker helsetjenesten. Det er vist store systematiske ulikheter i måten kvinner og menn kommuniserer på, og kvinner har en tendens til å ta større ansvar for den andres følelser og «den gode stemningen». Kanskje har kvinner større barrierer mot å belemre legen eller andre med sine plager, eller formulere tydelige behov.
Hvordan en blir fortolket, utredet, diagnostisert, viderehenvist, behandlet eller gitt råd og veiledning. Det er vist på en rekke områder at den andre personens kjønn har betydning for hvilke egenskaper vi tillegger vedkommende, og hvordan vi tolker det han eller hun sier (se også 3.1.2.3). Slike mønstre kan også gjenfinnes i helsevesenet.
For en rekke av disse punktene vil også helsepersonellets kjønn ha betydning. Alle momenter knyttet til hvordan problemer presenteres og fortolkes vil få større betydning når pasienten oppsøker helsevesenet med plager som ikke passer greit inn i det medisinske skjemaet; for eksempel sammensatte, ubestemte eller psykiske plager.
Kunnskapen om de spørsmålene som er reist ovenfor, er mangelfull. Det finnes internasjonale studier som bekrefter at det er på sin plass å stille slike spørsmål, men dokumentasjon for norske forhold er ytterst sparsom. Momentene drøftes noe nærmere under avsnitt 10.3.7.
10.1.4 Data
Det er altså mange faktorer som påvirker bruken av helsetjenester: tilbudsstyring og initiativ til friske mennesker, fysisk tilgjengelighet til tjenestene, kunnskap om tjenestene, pasientenes holdninger, legenes diagnostiserings- og henvisningspraksis. Statistikkene gjenspeiler summen av effektene av alle disse faktorene.
Det finnes mye statistikk om innskrivinger og utskrivinger til og fra sykehus, fordelt på diagnose. Det finnes også tall for omfang av helsetjenestekontakt hos ulike grupper av befolkningen. Noe blir rapportert rutinemessig for begge kjønn, annet ikke. Kompleksiteten i prosessene i helsetjenesten fanges ikke opp av denne statistikken. Det trengs først og fremst mer kunnskap om helsetjenestebehov og helsetjenestetilbud i forløpet av kroniske sykdommer, dessuten om gangen gjennom helsetjenesten – og endelig om behandlingsresultater – basert på longitudinelle individdata.
Fra befolkningsundersøkelser og praksisundersøkelser har vi tall for allmennlegekontakter. Disse tallene muliggjør sammenlikning mellom kvinner og menn i ulike aldersgrupper. De viser først og fremst at kvinneinnslaget hos allmennlegene er stort, særlig i aldersgruppen mellom 16 og 66 år. Vi har dårlig grunnlag for å beskrive andre kjennetegn ved brukerne. Grunnene og hensiktene til kvinner som oppsøker lege er ofte dårlig beskrevet ved de diagnosene som registreres. De som ikke kommer, finnes det også lite kunnskap om. Om oppsøking av annet helsepersonell enn legene er opplysningene sparsomme.
Både utvalgsundersøkelser og kvalitative studier kaster lys over ulike sider ved kvinners forhold til leger, mens det for andre personellgrupper finnes knapt med kunnskap (se også 10.3.1). De konfliktfylte møtene har vært omfattet med interesse fra forskerhold. Internasjonalt finnes det flere studier både om kjønnsforskjeller i kommunikasjon mellom pasient og lege, og om behandling og henvisningspraksis. Vi trenger flere studier i Norge om slike forhold.
10.1.5 Framstillingen videre
To trekk framstår særlig tydelig i beskrivelser av kvinners helsetjenestebruk. For det første har kvinner mer kontakt med helsevesenet enn menn. For det andre beskrives ofte kvinners møter med helsevesenet som problematiske, konfliktfylte eller lite konstruktive. I neste seksjon vil vi derfor presentere en kvantitativ beskrivelse av kvinners kontaktflate med helsetjenestens ulike deler, sammenliknet med menns (10.2). Dernest beskriver vi ulike aspekter ved kvinners «problem- eller konfliktfylte møter» (10.3). Avslutningsvis skisserer og drøfter vi noen eksempler på og kriterier for hva som er gode tilbud og møter for kvinner (10.4). Deler av framstillingen bygger på Mia Vasøs rapport «Kvinners møte med helsetjenesten. En kunnskapsoversikt» (Vabø 1998).
10.2 Kvinners kontaktflate til helsetjenesten – sammenliknet med menns
«Helsetjenester» omfatter både offentlige – kommunale, fylkeskommunale og statlige – og private helsetjenester utført av offentlig godkjent personell. Av helsetjenestens ulike funksjoner vil hovedfokus i dette kapitlet rettes mot de offentlige kurative (behandlende) tjenestene i regi av primærhelsetjenesten, spesialisthelsetjenesten og sykehusene. I tillegg vil det bli presentert en diskusjon av masseundersøkelser (screening).
Rehabiliterings-, pleie- og omsorgstjenester vil bli omtalt, mens de forebyggende tjenestene i kommunene, som for eksempel helsestasjoner, skolehelsetjeneste og miljørettet helsevern ikke blir tatt opp. En rekke forebyggingstiltak drøftes imidlertid i andre deler av utredningen (for eksempel vedrørende utdanning og arbeidsliv i kapittel 5, omsorgsarbeid, likestilling, helseatferd og vold i kapittel 6). Når det gjelder svangerskapsomsorg og jordmortjenester, som er blant kjerneoppgavene for kommunal helsestasjonsvirksomhet, vil vi henvise til avsnittet om kvinners reproduktive helse i kapittel 8. At fokuset er rettet mot de kurative helsetjenestene, er også fordi vi her har det største kunnskapstilfanget – både kvantitative oversikter som gjør det mulig å sammenlikne kvinner og menns kontaktmønster, og studier av innholdet i kvinners møter.
10.2.1 Kommunale helsetjenester
10.2.1.1 Allmennlegetjenester
Det er kommuneleger, allmennleger i kommunehelsetjenesten med driftstilskudd og privatpraktiserende allmennleger uten kommunalt driftstilskudd som i hovedsak utfører allmennlegetjenester. En ny organisering av denne tjenesten vil bli introdusert med fastlegeordningen fra 1. januar år 2 000. Dette er den delen av helsetjenesten som har bredest kontaktflate til befolkningen, som det fremgår av figur 10.1. I Helseundersøkelsen 1995 oppgir nesten 77 prosent av alle kvinnene at de har vært hos allmennlege i løpet av siste 12 måneder, og 70 prosent av mennene.

Figur 10.1 Kontakthyppighet og fordeling på tjenestetyper
Kilde: SSB/Helseundersøkelsen 1995
Dette bildet; at kvinner er hos allmennleger hyppigere enn menn, understøttes av praksisregistreringer og mindre utvalgsundersøkelser, som gir tall for gjennomsnittlig antall kontakter med allmennleger per år. Resultatene varierer noe fra undersøkelse til undersøkelse, men undersøkelsene tyder grovt sett på at kvinner i gjennomsnitt har to-tre legekontakter i året, mens menn har mellom en og to. Dette mønsteret finner man også med visse variasjoner i de andre skandinaviske land, og det er rapportert i internasjonal litteratur for øvrig. Den tettere tilknytningen mellom allmennlegetjenesten og kvinnene i Norge framgår også av oversikter over hvor mange som har en «fast» allmennlege eller et «fast» allmennlegesenter de er knyttet til. I Helseundersøkelsen 1995 oppga hele 87 prosent av kvinnene at de hadde en slik fast tilknytning, mot 78 prosent av mennene. Dette har endret seg lite siden den forrige Helseundersøkelsen i 1985. Også flere kvinner enn menn har såkalt «frikort».
Kontakthyppigheten varierer imidlertid betydelig blant kvinner og menn innbyrdes. Mens det store flertall kvinner har tre eller færre kontakter per år, er det en mindre del av den kvinnelige befolkningen, mellom 5 og 8 prosent, som har flere enn 11 legebesøk per år. Det er også vist at kvinner har flere gjenbesøk (flere konsultasjoner i forbindelse med samme tilstand) enn menn.
Fordi kvinnene gjennomsnittlig har flere legebesøk i løpet av ett år enn menn, vil tre av fem konsultasjoner i allmennpraksis dreie seg om kvinner. Hver tredje kvinnelige pasient en allmennlege ser, vil være en kvinne med hyppige besøk.
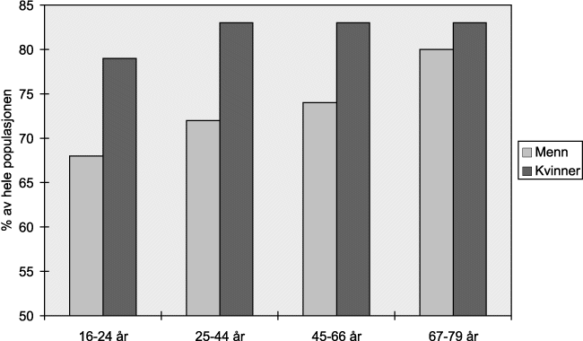
Det er først og fremst kvinner mellom 16 og 66 år som oftere enn menn oppsøker lege; blant yngre og eldre er det liten forskjell, se også figur 10.2. Innslaget av eldre kvinner hos allmennlegene er likevel større enn innslaget av eldre menn, fordi det er flere kvinner blant de eldre (60 prosent av befolkningen over 67 år).

Figur 10.2 Kjønnsforskjeller i legekontakter i ulike aldersgrupper
Kilde: SSB/Helseundersøkelsen 1995
10.2.1.2 Fysioterapitjenester – brukt av noen flere kvinner enn menn
Helseundersøkelsen 1995 viser at totalt 17 prosent av kvinnene og 14 prosent av mennene har vært i kontakt med fysioterapeut eller kiropraktor i løpet av ett år. Ser man på fysioterapitjenester alene, er forskjellene noe større; 13 prosent av kvinnene og 9 prosent av mennene har oppsøkt fysioterapeut.

Figur 10.3 Kjønnsforskjeller i fysioterapikontakter i ulike aldersgrupper
Kilde: SSB/Helseundersøkelsen 1995
Antallet menn som har hatt kontakt med fysioterapeut holder seg relativt konstant i de ulike aldersgruppene, mens det er store variasjoner blant kvinnene.
I aldersgruppen 45–66 rapporterer hele 21 prosent av kvinnene at de har vært hos fysioterapeut i løpet av et år, og det er følgelig i denne aldersgruppen at kjønnsforskjellen er størst.
10.2.1.3 Pleie- og omsorgstjenester
Kostnadene til institusjoner for eldre (sykehjem og aldershjem) alene utgjør nesten 2/3 av kostnadene til hele sykehussektoren. Likevel gir den offentlige rutinestatistikken om bruk av institusjoner for eldre ikke god nok informasjon om beboernes kjønn og alder. Sosial- og helsedepartementet arbeider nå med å utvikle et nytt registreringssystem for eldreomsorgen, der slike opplysninger, og også opplysninger om helsetilstand, vil bli registrert på en tilfredsstillende måte både i institusjonsomsorgen og i åpen omsorg.
Om beboerne i aldersinstitusjonene, vet vi likevel at de blir stadig eldre. Gjennomsnittsalderen er nå rundt 85 år, og kvinnene er i overvekt. I aldersgruppen 75 år og over er om lag 7 av 10 kvinner, i aldersgruppen 90 år og over er 8 av 10 kvinner. Dette reflekterer kvinnedominansen i de eldste aldersgrupper, men sannsynligvis også at de eldste kvinnene er mer skrøpelige og har større hjelpebehov enn mennene.
Vi vet lite eksakt om såkalte liggetider i institusjoner for eldre, men det er store variasjoner. Bak en anslått gjennomsnittlig liggetid på 2 år i sykehjem vil det være mange pasienter som har korte opphold, samtidig som noen har opphold så lenge som 10 år. Bruken av avlastningsopphold har gått ned siden 1980-tallet. Hovedårsaken er at beboerne er blitt eldre og skrøpeligere. Kvinnene er i majoritet også som mottakere av hjemmetjenester. Pleie- og omsorgstjenestene i kommunene har altså et sterkt kvinnepreg – som forsterkes ytterligere gjennom at det i hovedsak er kvinner som er arbeidstakere. Det er derfor overraskende at for eksempel Stortingsmelding nr 50 1996–97 Handlingsplan for eldreomsorgen, helt mangler et kjønnsperspektiv; enda den langt på vei handler om kvinner som pasienter og brukere – og om kvinner som arbeidstakere.
Når menn mottar færre hjemmetjenester, er det ikke først og fremst fordi menn er mindre syke, men fordi de mottar mer uformell og ubetalt omsorg enn hva kvinnene gjør. Hjemmehjelp er det stort sett de enslige eldre som mottar, og det er blant kvinnene det er flest enslige. Satt på spissen kan en kanskje si at når menn får hjemmehjelp, er det oftere som erstatning for den hjelp de ikke får i familien, og fordi det ikke forventes at de skal mestre vanlig husarbeid, mens kvinnene får tjenesten som støtte ved påtakelig skrøpelighet og uhelse. Og de gamle kvinnene er oftere enker når de blir syke og har færre pårørende og andre som kan ta seg av dem. De blir derfor henvist til den offentlige omsorgen.
10.2.2 Sykehus og andre spesialisthelsetjenester
10.2.2.1 Somatiske sykehustjenester – innleggelser og poliklinikktjenester
Sykehusstatistikker og pasienttellinger gir informasjon om pasientene i norske sykehus gjennom registrering av innleggelser og utskrivinger, på grunnlag av opplysninger fra de enkelte sykehusene. Disse publiseres (årlig) av Samdata (SINTEF/NIS). Selv om det registreres alder, kjønn og diagnose for alle pasienter, blir disse dataene ikke analysert eller publisert slik at vi får rutinemessige rapporter om kjønnsforskjeller i sykehusbruk. I motsetning til utvalgsundersøkelser som gir informasjon om personer, er det her pasienter som telles. Hvor mange personer som faktisk går ut og inn av sykehussystemet hvert år, blir med andre ord ikke dokumentert gjennom dette systemet. Mange pasienter har flere innleggelser i løpet av et år, enten i samme avdeling, i ulike avdelinger, eller også i flere sykehus.
Tabell 10.2 Somatiske sykehusopphold pr. 1 000 innbyggere etter alder, 1992 og 1996, menn og kvinner (fødepasienter utelatt).
| Alder | 0–15 | 16–49 | 50–66 | 67–79 | 80+ |
|---|---|---|---|---|---|
| 1996 | |||||
| Kvinner | 72 | 92 | 153 | 286 | 408 |
| Menn | 92 | 69 | 170 | 371 | 520 |
| 1992 | |||||
| Kvinner | 74 | 94 | 145 | 264 | 353 |
| Menn | 96 | 68 | 175 | 345 | 462 |
Kilde: Samdata/Helsetilsynet 1998
Tallet på behandlede pasienter ved norske sykehus økte fra 578 000 pasienter i 1973 til 726 000 i 1988. Men andelen av befolkningen som var innlagt økte likevel ikke. Dette kan skyldes befolkningsøkningen og endring i alderssammensetningen av befolkningen. I 1997 ble det registrert 667 000 sykehusinnleggelser. Hovedgrunnen til reduksjonen i forhold til 1988, er den endring som har skjedd i sykehussektoren de siste år, i retning av økt bruk av dagkirurgi og annen dagbehandling. Liggetidene er også kraftig redusert, og det er blitt færre sengeplasser.
Kvinnene utgjør flertallet av pasienter ved somatiske sykehus. Dette skyldes dels at flertallet av eldre er kvinner, dels at kvinner føder på sykehus. I Helseundersøkelsen 1995 rapporterer om lag 13 prosent av kvinnene og 9 prosent av mennene om innleggelse på sykehus siste 12 måneder. I 1996 hadde kvinnene ifølge Samdata 165 sykehusopphold i somatiske institusjoner per 1 000 innbyggere, mens menn hadde 131. Fødsler sto for om lag 34 av kvinnenes sykehusopphold per 1 000. Om en holder fødsler utenfor, er altså innleggelsesraten omtrent den samme for kvinner og menn (Jørgenvåg 1998).
Det er imidlertid kjønnsforskjeller innen de ulike aldersgruppene. Dersom en holder fødsler utenfor, hadde kvinnene 92 og menn 69 opphold per 1 000 innbyggere i aldersgruppen 16–49 år. I alle andre aldersgrupper var innleggelsesratene høyere for menn enn kvinner. Bruk av sykehustjenester er altså ulikt aldersfordelt mellom kjønnene: høyere for menn blant yngre (0–15 år) og eldre (over 50 år), høyere for yngre voksne og godt voksne kvinner (16–49 år). Her er fødsler holdt utenfor. Selv om antallet opphold er høyere blant eldre menn enn blant eldre kvinner, er likevel majoriteten av eldre sykehuspasienter kvinner, siden de utgjør omtrent 60 prosent av befolkningen over 67 år. Dette mønsteret finner man også internasjonalt.
Nærmere en firedel av hele befolkningen har ifølge utvalgsundersøkelser besøkt en sykehuspoliklinikk siste år, og kjønnsforskjellene er små om en ser på alle aldersgrupper under ett (Helseundersøkelsen 1995).
Både Helseundersøkelsen og Samdatas registreringer viser samme mønster: Kvinner har flere polikliniske konsultasjoner per år i aldersgruppene 16–66 år, mens mennene har flere blant de yngre og de eldre.
10.2.2.2 Spesialisthelsetjenester utenfor institusjon
Sannsynligheten for å bli henvist til spesialist eller poliklinikk er noe mindre for kvinner enn for menn, og menn blir oftere henvist til alle typer spesialister bortsett fra til gynekolog og psykiater (Rutle 1983). Likevel er det markant flere kvinner hos spesialister og i poliklinikker enn menn. Ifølge Helseundersøkelsen 1995 hadde 20 prosent av kvinnene vært hos privatpraktiserende legespesialist siste år, mot 14 prosent av mennene. Som for allmennlegetjenester, er kjønnsforskjellen liten blant barn og blant de eldste. Det er i voksenalderen kvinnene har hyppigere kontakt.
10.2.2.3 Psykiatriske helsetjenester
Langt flere kvinner enn menn presenterer psykiske og mellommenneskelige problemer hos allmennlegene, og langt flere kvinner enn menn henvises til psykiater. Dersom man ser på alle behandlingsformer under ett (døgnpasienter i institusjon, privat pleie, dagpasienter, offentlige poliklinikker, privatpraktiserende psykiatere og psykologer), er kvinnene klart overrepresentert, og utgjør om lag 59 prosent av pasientene. Mens det i døgnavdelingene er like mange kvinner som menn, er det i privat pleie flere menn enn kvinner. I dagbehandling, offentlige poliklinikker og hos privatpraktiserende psykiatere og psykologer er det imidlertid en klar kvinneovervekt. I de barnepsykiatriske institusjonene er flere gutter enn jenter pasienter (Hagen 1997). Det samme bildet gjelder bruk av skolepsykolog og pedagogisk psykologisk tjeneste.
Tabell 10.3 Andeler som har vært hos legespesialist i og utenfor sykehus, samt sykehuskontakter uten innleggelse, siste 12 måneder. Kvinner og menn, ulike aldersgrupper. Prosent. Helseundersøkelsen 1995.
| Alder | 0–15 | 16–66 | 67+ | Alle |
|---|---|---|---|---|
| Privatpraktiserende spesialist | ||||
| Kvinner | 12,3 | 22,3 | 25,2 | 20,6 |
| Menn | 14.0 | 12,9 | 21,9 | 14,3 |
| Legespesialist poliklinikk | ||||
| Kvinner | 19,1 | 25,7 | 29,1 | 24,9 |
| Menn | 21,8 | 21,9 | 31,2 | 23,1 |
| Sykehuskontakt ellers | ||||
| Kvinner | 5,5 | 12 | 10 | 10,3 |
| Menn | 4,9 | 9,5 | 12 | 8,8 |
SSB/Helseundersøkelsen 1995. I Vabø (1998).
Det har de siste 5–10 år skjedd en markant endring i det psykiatriske tjenestetilbudet, med en bevisst nedbygging av institusjonene til fordel for dagbehandling og poliklinisk behandling. Det var i 1970 over 8 000 heldøgnsplasser ved psykiatriske sykehus, på midten av 1990-tallet under 3 000. Innleggelser i psykiatriske sykehus er i dag stort sett øyeblikkelig-hjelp-innleggelser, og innleggelser fordi annen tilnærming ikke hjelper. De gruppene som går til behandling i poliklinikk og de som behandles i sengeposter er bare delvis overlappende.
Det finnes tilbud på det private markedet, men disse er kostbare. Private psykologtjenester er lite anvendt: Siste år har knappe tre prosent av kvinnene vært hos psykolog, noe færre blant mennene. En takstundersøkelse blant 140 privatpraktiserende psykologer (Mathisen 1987) viste at 69,4 prosent av pasientene var kvinner, og nesten ni av ti pasienter var fra 20 til 49 år. Få unge og eldre er pasienter hos denne behandlergruppen. Det er også en stor økonomisk belastning å gå til langvarig, selvfinansiert behandling.
Et såkalt lavterskeltilbud som Mental helses hjelpetelefon benyttes av mange kvinner, men av relativt få over 50 år, ifølge en evaluering foretatt etter de første tre månedenes prøveperiode.
10.2.3 Kjønnsforskjeller i diagnoser
10.2.3.1 Diagnoser i allmennlegetjenesten
Det er spesielt kvinner i aldersgruppen 16–66 år allmennlegene ser oftere enn de ser menn. Den viktigste delen av omsorgen for kvinners reproduktive helse tas hånd om av allmennlegetjenesten. Prevensjon og svangerskap, besvær i forbindelse med menstruasjon og menopause, sammen med de regelmessige celleprøvene og andre kontrollene kvinner oppfordres til å få gjort, fører til mange legekonsultasjoner i denne aldersgruppen. Dette kan delvis forklare kvinners relativt hyppigere legebesøk. Men kvinnene har noe hyppigere konsultasjoner og høyere kontaktrater også for forhold som ikke er relatert til deres reproduktive funksjoner.
Kvinners møte med allmennlegetjenesten resulterer i en noe annen diagnosefordeling enn menns. I en praksisundersøkelse som Brage og Tellnes gjennomførte, fikk menn i om lag 71 prosent av tilfellene en såkalt konklusiv sykdomsdiagnose med kjente behandlingsmuligheter, mens tilsvarende tall for kvinnene var rundt 57 prosent. Kvinnene fikk noe oftere, i om lag 23 prosent av tilfellene, deskriptive symptomdiagnoser, mens det tilsvarende tallet for menn var 17 prosent. Dette betyr at det er mindre sikkert hvilken medisinsk tilstand symptomene representerer, og at det kan være vanskelig å finne tiltak. Eksempler er symptomer på belastning og slitasje i muskler og skjelett, kronisk slapphet, depresjoner, konsentrasjonsvansker, søvnproblemer, diffuse revmatiske lidelser, stadig tilbakevendende infeksjoner, underlivssmerter osv. I noen tilfeller har legen en betegnelse på plagen (fibromyalgi, candidasyndrom, bekkenløsning), men dette betyr ikke i seg selv at årsaksmekanismene bak lidelsen er kjent, eller at det finnes en virksom behandling.
Forskjellige praksisundersøkelser finner at de største forskjeller mellom kvinner og menn i konsultasjonsgrunner (diagnoser) skyldes sykdommer i urinveiene og kjønnsorganer som rammer kvinner oftere enn menn. Kvinner registreres også hyppigere for godartede svulster enn menn, og dobbelt så ofte som menn for psykiske plager, stoffskiftesykdommer og sykdommer i hormonsystemet. Muskel-skjelettsykdommer og hjerte-karsykdommer er store diagnosegrupper for begge kjønn. Både menn og kvinner går til lege med muskel-skjelettsykdommer – kvinner noe oftere enn menn. Men mens menn hyppigere registreres med ryggplager, får kvinner oftere diagnoser som muskelsmerter (myalgi), smerter i nakke, skuldre og armer (cervicobrachialgi), leddgikt (polyartritt) og slitasjegikt (artroser). Det er flere kvinner enn menn som kommer med hjerte-karsykdommer. Dette er typiske alderdomssykdommer, og det er flere kvinner enn menn i de høyeste aldersgruppene (Rutle 1983).
Undersøkelser av kjønnsforskjeller i diagnoser kommer ofte til ulike resultater, og til vanskelig sammenlignbare funn. Det legges ulike definisjoner til grunn, og ikke alltid like klare kriterier for diagnosene.
10.2.3.2 Diagnoser i spesialisthelsetjenesten
Diagnoser i poliklinikkene er spredt over et vidt spekter. Sykdommer i nervesystemet og sanseorganer (her inngår øre- og øyesykdommer) utgjør imidlertid en forholdsvis stor del av grunnene til polikliniske kontaktene både for menn og kvinner. Flere kvinner enn menn er på poliklinikk med sykdommer i urin- og kjønnsorganer, mens skader og forgiftninger forekommer hyppigere blant menn.
I sykehus er svulster hyppigere hos kvinner enn hos menn, dersom en ser bort fra diagnoser knyttet til svangerskap, fødsel og barselseng. Hele 20 sykehusopphold per 1 000 kvinner skyldtes svulster i 1996, mens det tilsvarende tallet for menn var 16. Sykdommer i muskel- skjelettsystemet er likeledes en hyppigere diagnose hos kvinner (11 prosent) enn hos menn (8 prosent), og dessuten sykdommer i urinveis/kjønnsorganer (nær 9 prosent hos kvinner mot nær 7 prosent hos menn). Den hyppigste hoveddiagnose for innleggelse blant menn er sirkulasjonssykdommer (25,1 prosent mot 18,5 prosent) og åndedrettssykdommer (12,5 prosent mot 10,3 prosent).
I aldersgruppen 50–66 år har det vært en økning fra 1992 til 1996 i kvinners bruk av sykehustjenester, og en tilsvarende nedgang blant menn. Den største økningen i bruk for kvinner gjelder diagnosegruppene svulster samt «symptomer og ubestemte tilstander». For menn i samme aldersgruppe er nedgangen størst for pasienter med sykdommer i sirkulasjonsorganene i den samme perioden (Kalseth, upublisert).
I psykiatriske institusjoner er fordelingen av diagnoser forskjellige for kvinner og menn; schizofrenier er hyppigere blant menn, mens affektive psykoser, nevroser og personlighetsforstyrrelser er hyppigere blant kvinner (Hagen 1997).
10.2.4 Andre helsetilbud
10.2.4.1 Rehabiliteringstjenester
God offentlig statistikk om rehabiliteringstjenester mangler, blant annet som følge av manglende kode- og klassifikasjonsverk. I Stortingsmelding 21 (1998–99) «Ansvar og meistring – Mot ein heilskapleg rehabiliteringspolitikk», tas det således til orde for en økt satsing på rehabiliteringsstatistikk. Forutsatt at det legges opp til registrering også på kjønn, vil dette etter hvert gjøre det mulig å få en bedret forståelse av kjønnsspesifikke behov og variasjoner i tilbudet.
Som en følge av manglende statistikk, er det altså svært lite tilgjengelig kunnskap om eventuelle kjønnsforskjeller i tilgang på rehabiliteringstjenester. Det har imidlertid vært sett nærmere på situasjonen ved de såkalte opptreningsinstitusjonene, det vil si rekonvalesenthjem og kurbad som yter kortvarig opphold med aktiv behandling og opptrening av pasienter. Opphold i offentlig godkjente opptreningsinstitusjoner blir etter fastsatte kriterier dekket over folketrygden. Det er en forutsetning at formålet er medisinsk, fysikalsk eller annen opptrening og behandling, og det er nokså strenge diagnosekriterier for refusjoner. Ifølge en rapport Statskonsults representerer muskel-skjelettlidelser snaut halvparten (290 444 av 638 089) av liggedøgnene, og 13 025 av 27 868 av antallet pasienter (Statskonsult 1997). Statistikken sier ikke noe om kjønnsfordelingen av pasientene med muskel-skjelettdiagnoser, men kvinneandelen ved opptreningsinstitusjoner er på 71 prosent, ifølge den samme rapporten. Dette er altså et tilbud som i stor utstrekning betjener kvinner.
Det er imidlertid liten tvil om at kvinner uten anerkjent diagnose, men med «ubestemte plager» og smerter i muskel-skjelettsystemet, ofte har kommet til kort i forhold til å få utløst enkelttiltak, så vel som rehabilitering.
Behandlingsreiser til utlandet er også et viktig rehabiliteringstilbud, der sol og varme sammen med aktiv trening utgjør kjernen i behandlingen. I 1997 fikk om lag 1600 pasienter dette tilbudet, fordelt på i overkant av 70 000 pasientdøgn. Tilbudet retter seg mot pasienter med revmatiske sykdommer, pasienter med psoriasis og barn og unge med astma eller kronisk lungesykdom. For revmatiske sykdommer er tilbudet sidestilt med innleggelse i norsk revmatismesykehus. I veiledning til leger som skal søke opphold på vegne av sine pasienter, opplyses det om kriterier for å få tilbudet og om hvilke pasientgrupper som blir prioritert. Dette er pasienter med sikre diagnoser, og Bechterew, kronisk leddgikt og psoriasis nevnes som eksempler. Hva som er relativt oppsiktsvekkende, er at fibromyalgi som eneste diagnose nevnt, er eksplisitt utelukket fra ordningen. Det fastslås at fysikalsk behandling, som er en viktig del av et slikt behandlingsopplegg, virker dårlig ved fibromyalgi.
Det er besluttet at klassifikasjonssystemet ICD-10 skal innføres fra 1. januar 1999 i rehabiliteringstjenesten, såvel som i norske sykehus og spesialisthelsetjenesten for øvrig (og som der erstatter ICD-9). Prinsippet er at pasienter skal ha en klar hoveddiagnose. Såkalte symptomdiagnoser anbefales gitt som sekundær- eller bidiagnose.
Samtidig legger stortingsmeldingen om rehabilitering (St.meld. nr. 21 1998–99) opp til at man skal gå bort fra at utløsning av rehabiliteringsinnsats skal avhenge av distinkte – gjerne somatiske – hoveddiagnoser. Det som skal være tellende, er at den enkelte har såpass sammensatte bistandsbehov, at det er behov for individuelt tilpassede og samordnede hjelpetiltak. At tiltakene skal tilpasses den enkelte og samordnes, innebærer at det legges opp til aktiv brukermedvirkning. Fokus skal være på egeninnsats i kombinasjon med faglig ansvarstaking for enkelttjenester – trygd, arbeid, helse, sosial, skole m.v. – så vel som samordning av de ulike enkelttiltakene. Dette representerer en utpreget vilje til å se livssituasjonen som sammensatt av langt mer enn det som er knyttet til yrkeslivet, og til trygderettigheter i en overgangsperiode. En fordel med å legge funksjon og samlede bistandsbehov til grunn, er at man i mindre utstrekning enn i dag systematisk kan utelukke personer det er vanskelig å gi distinkte diagnoser, som for eksempel den kvinnedominerte brukergruppen med «ubestemte» symptomlidelser.
Innføringen av ICD-10 på den ene siden og stortingsmeldingens forslag på den andre, signaliserer to motsatte prinsipper. Det trengs her en avklaring. Utvalget slutter seg til stortingsmeldingens grunntanke om å legge funksjon og samlede bistandsbehov til grunn for rehabiliteringsinnsats.
10.2.4.2 Masseundersøkelser (screening)
Screening er undersøkelser av personer for å identifisere tegn på sykdom eller tidlige stadier av sykdom, og er oftest ledd i offentlige forebyggende helseprogrammer. Pirquet-prøven var for eksempel en screening for tuberkulosesmitte. 40-års undersøkelsene som er mest rettet inn mot risiko for hjerte-karsykdommer og kreft for begge kjønn, gjentas med jevne mellomrom. Kvinner tilbys spesifikke screeningprogrammer, og benytter dem i ulik grad.
Brystkreftundersøkelser /mammografiscreening i offentlig regi har foregått som et forsøksprosjekt i Rogaland, Hordaland, Oslo og Akerhus siden november 1995. Kvinner mellom 50 og 69 år får i disse fylkene tilbud om undersøkelse hvert annet år. Stortinget ga i 1998 tilslutning til at tilbudet skal utvides til ytterligere 5 fylker. Det er viktig å få avklart om slik masseundersøkelse i Norge faktisk reduserer risiko for å dø hos de som oppdages, og ikke bare oppdager kvinner som ellers ville levd lykkelig uvitende med en relativt ufarlig variant av brystkreft. Hyppigheten av brystkreft er økende, særlig blant kvinner under 50 år. I denne gruppen er også dødeligheten økende. Det er planer om at norske kvinner mellom 40 og 49 år skal være med i en europeisk studie av screeningeffekt. Det finnes foreløpig ikke tilstrekkelig dokumentasjon internasjonalt for at mammografiscreening kan forebygge død av brystkreft i denne aldersgruppen.
Livmorhalskreftundersøkelser . Massetesting for celleforandringer i livmorhalsen er innført i Norge for kvinner mellom 25 og 69 år hvert tredje år. Celleforandringer er forstadier til livmorhalskreft (cervixcancer). Kreftregisteret er nå i gang med evaluering av massetestingen.
Tarmkreftundersøkelser. I januar 1999 starter NORCCAP (Norwegian Colorectal Cancer Prevention)-prosjektet. Dette prosjektet vil studere om forebyggende tiltak kan bidra til å redusere dødeligheten av tarmkreft. Årlig er det omtrent 3 000 personer som får enten tykktarms- eller endetarmskreft. Dette er den hyppigste kreftformen i Norge, og omtrent like mange kvinner som menn får sykdommen. Risikoen for å dø i de første fem årene etter diagnosen er over 50 prosent.
Bare noen sykdommer er egnet for screening. For å oppnå ønsket effekt, og unngå uønskede konsekvenser, er det flere forutsetninger som bør være innfridd, blant annet: Sykdommen må utgjøre et alvorlig helseproblem og den må ha en rimelig lang symptomfri fase. Testen for sykdommen må være tilstrekkelig pålitelig, lite belastende, og medføre liten risiko. Det må finnes effektiv behandling for sykdommen, og nok ressurser for behandling av pasientene. Prognosen skal være vesentlig bedre for dem som diagnostiseres tidlig enn for dem som diagnostiseres sent. Selve screeningprogrammet må være økonomisk forsvarlig, kunne aksepteres av befolkningen, og bør helst innpasses i annen helsetjeneste (bearbeidet etter Verdens helseorganisasjons kriterier fra 1968).
Mange screeningprogrammer blir satt i gang uten at de tilfredsstiller disse forutsetningene. Screeningtester er ikke alltid pålitelige. Det vil ofte være noen som får feilaktig beskjed om at de har risikofaktoren (falske positive). De får altså påført en «sykdomsbelastning» og angst for sykdom, uten at de er syke eller i risiko for å bli det. Andre får beskjed om at man ikke finner noe, mens de egentlig burde vært fanget opp (falske negative). Disse har fått en falsk trygghet, og tror at de er friske. I svangerskapsperioden har det vært gjort mange screeningundersøkelser av kvinner (blodtrykk, syfilis, hiv-test, blodprosent, vekt, proteiner i urinen, ultralyd). De fleste tror at disse undersøkelsene er en nødvendig del av svangerskapsomsorgen, mens det egentlig er vist at bare noen av prøvene har en demonstrert nytteeffekt. Nå er også osteoporose diskutert som en sykdom det bør innføres screening for, gjennom måling av bentetthet. Det finnes en statistisk sammenheng med risiko for brudd, og det finnes et legemiddel på blå resept som kan redusere benmassetapet. Men betydningen av benmassemåling og behandling med tanke på redusert bruddrisiko for den enkelte er ikke kjent.
10.2.4.3 Kvinner og helsemarkedet
Norge er et interessant marked for produsenter av diagnostiske tester og legemidler, selv om det norske markedet og markedsføringen ikke er så synlig fordi store deler av tjenesteformidlingen skjer gjennom et offentlig finansiert helsevesen. Disse produsentene har interesse i så stor omsetning som mulig; med andre ord, at vi i så stor grad som mulig blir definert med sykdom eller risiko for sykdom. Kvinner er en viktig målgruppe for mange av disse produsentene. Eksempler er målinger av blodtrykk, kolesterol, bentetthet, blodsirkulasjon, depresjon osv. Jo flere tester man tar, desto større er sjansen for at man finner noe unormalt, på grunn av usikkerheten ved målingene. Men selv om det faktisk er noe unormalt ved prøvene, er det ikke gitt at det har betydning for den enkeltes risiko for å utvikle sykdom. Både helsevesenet og enkeltindivider tar initiativ til undersøkelser av faktorer som kan tenkes å ha betydning for å utvikle sykdom. Påviser man et unormalt nivå av en faktor (for eksempel blodtrykk, kolesterol), finnes det også et legemiddel for å regulere nivået. Straks er man pasient, uten å være syk, men med økt statistisk risiko for å utvikle sykdom. Viktige mål må derfor være å skape kunnskap om hvilke konsekvenser det har for livskvalitet å få vite om mulig økt risiko for sykdom, og å skape kunnskap som kan brukes til bedre å identifisere dem som reelt sett har økt sykdomsrisiko og som kan dra nytte av forebyggende behandling.
Sikkert er det at det koster penger. Utgifter til legemidler mot hjerte-karsykdommer, hvorav det meste er blodtrykksmedisin, var på over en milliard kroner i 1997. Kvinner bruker omtrent dobbelt så mye som menn, og mange blir gjort til pasienter uten at de kanskje er tjent med det. Fra folketrygdens side er det svært få incitamenter for å redusere bruk av undersøkelser eller behandling som ikke har klart dokumentert effekt i befolkningen. Det kan synes som om grensene er flytende for hva som bør være det offentliges ansvar, dvs. offentlig finansiert, og hva som ikke bør være det. Utvalget etterlyser en utredning av dette spørsmålet.
10.2.4.4 Kroppspleie og kroppskirurgi
Vi har ikke gode tall for norske kvinners forbruk av kroppspleieprodukter, helsestudioer, slankemidler og plastisk kirurgi. Det er et voksende marked for disse tilbudene. Dette skjer i hovedsak utenfor det offentlige helsevesen, som i prinsippet skal utføre det som er medisinsk begrunnet. Om grensene for det offentlige helsevesens aktiviteter flytter seg, vet vi ikke. Men det er gråsoner. Blant annet er offentlig ansatt helsepersonell også aktører i det private markedet, både gjennom eierskap og andre kommersielle interesser i ulike produkter, og gjennom bierverv i privat praksis som tilbyr for eksempel kosmetisk kirurgi. Mellom 40 000 og 60 000 norske kvinner har fått operert inn silikon i brystene. Hvert år er det 2–3 000 nye kvinner som ønsker silikonproteser. Mange blir operert i Norge, en del i utlandet. Størrelsen på innleggene vokser også. Markedsføringen toner ned mulige problemer med silikonproteser. Også fettsuging er stadig mer etterspurt. Det bekreftes fra de private klinikkene som utfører slik «kroppskorrigering» at det spesielt er økt pågang fra unge jenter i 20-årene. Selv om populariteten til det kjente slankemidlet Nutrilett har vært dalende, var det i 1997 en omsetning på mellom 15 og 20 millioner kroner, og andre slankemidler lanseres stadig.
10.2.4.5 Alternativ medisin
Tilbudene om alternativ behandling finnes mest i store byer. Opplysningene i Helseundersøkelsen 1995 om kontakter med ikke-medisinske behandlere viser at omtrent 14 prosent av kvinnene og 10 prosent av mennene har vært hos slike siste år. Bare et lite mindretall har vært hos to eller flere alternative behandlere. Kiropraktorer er den eneste behandlergruppe der det synes som om menn litt oftere er pasienter. Den såkalte Aarbakke-undersøkelsen, gjennomført, i tilknytning til «NOU 1998:00 Alternativ medisin», kommer til et noe lavere tall (11 prosent), men det kan forklares med forskjeller i utvalgenes alderssammensetning og ulike spørsmålsstillinger i undersøkelsene. Det er i Aarbakke-undersøkelsen også spurt hvor mange som noen gang har oppsøkt alternativ behandler, og 35 prosent av kvinnene og 33 prosent av mennene rapporterer at de har vært hos alternativ behandler. Det er en vanlig forestilling at kvinners bruk av alternativ medisin har økt mye de siste årene. Det er imidlertid ikke noe som tyder på at det har vært noen stor økning.
Det kan synes som alternative behandlere snarere er supplerende enn egentlig «alternative». Et generelt bilde er at jo større bruk av skolemedisinske tilbud, jo oftere har hun (eller han) også vært hos alternative behandlere. Folk som bruker alternativmedisinske tilbud har også i større grad enn befolkningen for øvrig kontakt med fast lege eller legesenter, som de også benytter hyppigere enn andre pasienter. I Aarbakke-undersøkelsen oppgir nesten halvparten at de anser alternativ behandling som et nyttig supplement, og dette oppgis av flere kvinner enn menn. Bare drøyt en tidel oppgir at de har større tiltro til alternativ enn til konvensjonell behandling.
Det er sannsynligvis flere forhold som gjør alternative behandlere attraktive. Pasienter opplever her å bli tatt mer på alvor og gitt mer tid enn hva som er vanlig i det ordinære helsevesen. Pasientene opplever å bli sett på som hele mennesker, og at de forskjellige plagene og sykdommene vurderes i en slik helhet der også pasientens sosiale kontekst trekkes inn. Ved at pasientene selv velger terapiform, øker også egen delaktighet og ansvar for behandlingen. Flere ting peker i retning av at mange kvinner med kroniske lidelser oppsøker alternative behandlere, og opplever å få god hjelp, f.eks. i form av smertelindrende massasje og akupunktur, eller kostholdsråd.
10.2.5 Oppsummering – hovedmomenter
Kvinner har mer kontakt med helsetjenesten enn menn. Det mønsteret som tegner seg er at mens kvinner har betydelig flere konsultasjoner hos allmennlege enn hva menn har, er sannsynligheten for å bli henvist til legespesialist mindre for kvinner enn for menn. Hvorfor en mindre andel av kvinners kontakter fører til spesialisthenvendelser, vet vi ikke. Det bør ses nærmere på kjønnsforskjeller i henvisninger til de ulike spesialiteter. Ser man videre på konsultasjoner ved sykehuspoliklinikkene, er kjønnsforskjellen nesten utvisket, og det samme gjelder sykehusinnleggelser, dersom man trekker fra innleggelser i forbindelse med fødsler og svangerskap. I eldreinstitusjonene og i opptreningsinstitusjonene er kvinneovervekten igjen meget markant.
Tabell 10.4 Andeler som har vært hos alternative behandlere, etter antall skolemedisinske tilbud brukt siste år. Kvinner og menn, alder 16+.
| Antall skolemedisinske tilbud brukt siste år | Brukt alternativ behandlet % | |
|---|---|---|
| Kvinner | Menn | |
| Ingen | 8,9 | 4,8 |
| Ett | 10,9 | 10,1 |
| To | 14,9 | 11,5 |
| Tre | 23,5 | 18,1 |
| Fire | 27,8 | 25 |
SSB/Helseundersøkelsen 1995. I Vabø (1998).
Om lag 60 prosent av pasientkontaktene i allmennpraksis er kvinner. Konsultasjoner knyttet til kvinners reproduktive funksjoner forklarer noe av denne overvekten. De fleste internasjonale studier bekrefter overensstemmelse mellom selvrapportert sykelighet og helsetjenestebruk, selv om dette ikke er fullgod forklaring på forskjellene. Hypoteser om at kvinnene har lavere terskel for å søke lege har også vært diskutert. Noen færre av kvinners konsultasjoner resulterer i henvisning til spesialist, men det tas oftere laboratorieprøver av kvinner. Rutle konkluderer med at det ikke finnes holdepunkt for at kvinner oftere enn menn går til lege med bagateller (Rutle 1983:198).
De fleste kvinner har få årlige besøk hos allmennlege, mens et lite mindretall har mange. Vi vet ikke noe systematisk om den lille gruppen kvinner (5–8 prosent) som rapporterer mer enn 11 legekontakter. Den omfatter sannsynligvis mange gravide, men også mange kvinner det er vanskelig å utrede og hjelpe – fordi man ikke finner ut av hva som feiler dem. Gruppen kan dels bestå av kvinner med en kronisk sykdom som trenger tett og målrettet oppfølging. Avtalt legekontakt med hyppige konsultasjoner har erfaringsmessig god effekt for mennesker med kroniske smertetilstander.
Kvinner og menn er omtrent like ofte på sykehus, men legges inn av forskjellige grunner. Også i psykiatriske døgninstitusjoner er kjønnsfordelingen lik, men også her med ulik diagnosefordeling. Det er vist ulike behandlingsresultater av samme type behandling for kvinner og menn, men også ulik tilgjengelighet til ulike behandlingsformer er påvist, både mht. kjønn og klasse. Fordi det er i sykehus avansert kirurgisk, medisinsk og annen spesialisert behandling skjer eller initieres, er sannsynligvis det aller viktigste her grundigere studier av behandlingsresultater. Det henvises til kap. 9 om sykdommer for noe mer om disse spørsmålene. Å utvikle og anvende kjønnsspesifikk viten om behandling er en stor utfordring. I tillegg bør man gå nøyere inn på ulikheter i tilgjengelighet til ulike behandlingsformer – både i allmenn- og spesialisthelsetjenesten.
Mange av de kroniske og sammensatte lidelsene som store grupper eldre kvinner har, befinner seg på bunnen i statushierarkiet for sykdommer. Det gjelder muskel-skjelettlidelser, psykiske lidelser og eldrehelse (geriatri). Disse områdene sliter både med rekruttering av fagfolk og med å få tilført tilstrekkelig med andre ressurser. Mange enkeltindivider og grupper av kvinner (såvel som menn), har sannsynligvis et relativt «underforbruk» av helsetjenester. Dette er et problem som trenger egne strategier og løsninger.
Det finnes ingen «objektive» standarder for optimal helsetjenestekontakt eller behandling. En kvantitativ beskrivelse av helsetjenestekontakter kan verken brukes til å evaluere tilgjengelighet til tjenester eller om tjenestene er godt tilpasset. Vi har med andre ord ikke et godt nok kunnskapsgrunnlag for å vurdere i hvilken grad forskjellene i bruk er forbundet med ulikheter i sykdomsmønstre, med preferanser når det gjelder tjenester, med helsepersonells holdninger eller med andre faktorer. Men den kunnskap vi har om kvinners relative oversykelighet og om kvinners sykdommer må sammenstilles med kunnskapen om helsetjenestebruk- og tilgang. Til det trengs mer eksakt viten på individnivå.
Menns og kvinners helsetjenestebehov og -tilgang bør med andre ord defineres og undersøkes nærmere i lys av helsestatus, preferanser og dokumentert effekt av behandlingen som gis. Kvinner lever lenger enn menn, men den lengre levetiden er forbundet med større livstidsrisiko for funksjonell funksjonshemming og kronisk sykdom, inklusive kreft, hjerte-karsykdom og demens, og større behov for langtidspleie.
Det er utvalgets oppfatning at ressursene bør fordeles slik at kvinner og menn oppnår like gode resultater. Det er et spørsmål om kvinner, vurdert ut fra helsestatus, burde lagt beslag på en større del av tjenestene, spesielt i eldre alder. Heller ikke dette spørsmålet kan belyses uten data på individnivå om gangen gjennom tjenestenivåene, på vurderingene som gjøres, og på hvor det er propper. For å bedre helsetjenestene, trenger vi mer kjønnsspesifikk kunnskap om kroppens funksjoner, og om sykdommer og behandlingsmuligheter. Kunnskapsmangelen her er nærmere utredet i sykdomskapitlet (kapittel 9). Det trengs også mer viten om brukernes tolkning av egne symptomer og av behov for helsetjenester og om kommunikasjon, henvisnings- og behandlingspraksis i alle ledd. En viktig innfallsvinkel til kunnskap om de to siste punktene er studier av vanskelige møter mellom kvinner og helsetjenestene, som tas opp i neste avsnitt.
10.3 Konfliktfylte møter – psykologisering, bagatellisering og medikalisering?
10.3.1 Kunnskapsgrunnlag
Kunnskap om kvinners vurderinger, valg og preferanser overfor helsetjenestene bygger i hovedsak på spørreskjemaundersøkelser, fortrinnsvis basert på rene kvinneutvalg. Vi vet en del om kvinners vurderinger av allmennleger gjennom undersøkelser om kvinners tilbøyelighet til å skifte lege, om preferanser når det gjelder legens kjønn, om kvinners definisjoner av hva en god legekonsultasjon er, og om hvor mange og hvilke kvinner som har opplevd møtet med legen som konfliktfylt og vanskelig.
Enkelte brukerundersøkelser som kartlegger pasienters tilfredshet med ulike deler av helsevesenet, gir også anledning til å sammenligne kvinners og menns vurderinger. Her blir imidlertid tolkningsproblemene store. En kan ikke gå ut fra at lik misnøyeregistrering for kvinner og menn betyr at kvinner og menn opplever tjenesten likt. Selv om vurderinger baseres på ulike forventninger, og plusser og minuser knyttes til ulike forhold, kan totalvurderinger måles som like. Slike tilfredshetsundersøkelser har også vært utsatt for mer generell metodekritikk.
Dreier vi oppmerksomheten mot den innholdsmessige siden ved tjenestemøtene, og ser nærmere på hvordan pasienter og ansatte handler og reagerer overfor hverandre, er forskningsterrenget mer fragmentert og sammensatt. Her finnes en rekke mindre undersøkelser med et ensidig kvinnefokus. Bidragene fokuserer i hovedsak på problemfylte tilstander og på diagnoser som anses å være knyttet til kvinner og som kan gi «konfliktfylte møter». Eksempler er infertilitetsbehandling, fibromyalgi og ubestemte muskel-skjelettplager, psykiske lidelser og seksuelle relasjoner mellom pasient og behandler. I tillegg finnes et lite antall kvalitative studier som ser på kvinners og menns utforming av «pasientrollen».
En mulig kilde til kunnskap om (manglende) opplevd kvalitet i møter med helsetjenesten, kunne vært klagesaker. Men vi vet lite om hvem som klager, bortsett fra at det er noen flere kvinner enn menn. Klagesaker har heller ikke vært gjennomgått og analysert systematisk slik at det er mulig å si noe om hva det klages på. Klagesakene kan muligens vise seg å være en kilde til nyttig kunnskap, og bør undersøkes nøyere i et kjønnsperspektiv.
10.3.2 Hovedmønster
Spørreskjemaundersøkelser om pasienters tilfredshet med allmennpraktiserende leger, finner at de fleste mennesker er rimelig godt fornøyde. Ni av ti mener at de greit oppfatter hva legen sier og at de får stille de spørsmålene de har på hjertet. Det er ingen betydelige forskjeller mellom menn og kvinner (Thorsen m.fl. 1988, Berg og Hjortdal 1994, Elstad 1987). Flere påpeker at tilfredshet øker med alderen. Kjønn slår bare ut i liten grad, og da i retning av at kvinner er mer fornøyde enn menn. Undersøkelser om oppfatninger av sykehustjenester viser også at det er liten forskjell på kvinners og menns vurderinger, og at de fleste – åtte av ti i Finnmarksundersøkelsen – er godt fornøyd med sykehustjenesten (Olsen et al. 1993). Men det er vanskelig å tolke denne typen resultater. Hva er egentlig målt? Slike undersøkelser forteller trolig mye om folks ulike forventninger og krav til tjenestene, og kanskje også om en generell positiv eller negativ orientering.
En utvalgsundersøkelse blant kvinner i fire geografiske områder i Norge finner at de fleste har ingen eller svært få konfliktopplevelser i forhold til sine leger. Et mindretall på mellom 5 og 10 prosent hadde hatt omfattende konflikterfaringer med allmennlegetjenesten. Disse kvinnenes diagnoseprofil skilte seg fra resten av utvalgets, med overhyppighet av nervøse lidelser, angst, fibromyalgi og samlivsproblemer. Fravær av konflikt var forbundet med klart definerte lidelser som høyt blodtrykk og kreft (Elstad 1993).
Å skifte lege kan være et uttrykk for misnøye eller mistillit – selv om det også kan ha andre grunner. Det framgår av Helseundersøkelsen 1995 at noen flere kvinner enn menn har fast lege, mens en mindre gruppe kvinner skifter lege relativt ofte. Det er en tendens til at kvinner med såkalte «ubestemte» lidelser, som har lav prestisje hos legene, oftere enn andre skifter lege. Det samme gjelder kvinner med alvorlige sykdommer som av ulike grunner har mistet tillit til legens kompetanse. Det er blant annet vist at brystkreftpasienter foretrekker oppfølging av spesialist etter operasjon i stedet for å gå tilbake til primærlegen, og at tillitsbruddet i flere tilfeller skyldtes diagnoseforsinkelse. I allmennlegetjenesten er det en mindre gruppe kvinner som skifter lege flere ganger fordi de ikke møter forståelse hos legen, eller fordi de ikke har fått den sykemelding, viderehenvisning eller resept de har trengt. Denne gruppen har høyere egenrapportert sykelighet, dobbelt så hyppige legebesøk og oftere lidelser som nervøsitet, migrene og fibromyalgi/fibrositt enn hva som er tilfellet for resten av utvalget (Elstad 1992).
Hovedmønsteret er altså i korthet at de fleste kvinner, og noen flere kvinner enn menn, stort sett fornøyde med og lojale overfor leger og sykehustjenester. En mindre gruppe, mellom 5 og 10 prosent, opplever møtet med leger som konfliktfylt og vanskelig, eller har liten tillit. Dette er ofte kvinner med langvarige og ubestemte plager.
10.3.3 Preferanse for kvinnelig lege
Mange kvinner foretrekker kvinnelige leger, og kvinnelige leger har gjerne en stor kvinneovervekt blant pasientene. Kvinners preferanser for kvinnelige leger antas å henge sammen med tillit til at de kvinnelige legene er bedre i stand til å forstå deres situasjon. En større undersøkelse i 1992 (Elstad 1992), viste at legens kjønn ikke er like avgjørende for alle kvinner eller for alle forhold det søkes hjelp for. 35 prosent av kvinnene foretrakk kvinnelig lege, 19 prosent foretrakk mannlig, mens hele 47 prosent stilte seg likegyldige. Preferansen for kvinnelig lege var mest uttalt hos de kvinnene som var høyt utdannet, mens dårlig helse og mange legeerfaringer økte sannsynligheten for å helle mot det nøytrale standpunktet. Samtidig var kvinnelig lege oftest foretrukket når det gjaldt gynekologiske tilstander eller andre personlige forhold. Dette er en sentral problemstilling å drøfte i forbindelse med det foreliggende høringsutkastet til fastlegeordning, og vil bli berørt nærmere under punkt 10.4.5.
Boks 10.18 Eksempel: Berit 48 år (Omskrevet etter Thornquist 1998)
Berit er en middelaldrende kvinne med diagnosen fibromyalgi, og legen har mistanke om Sjøgrens syndrom. Hun har mange og omfattende symptomer og plager, og har gjennomgått mange undersøkelser og behandlinger. Fagutøverne som er involvert, er en allmennpraktiker, flere spesialister i revmatologi, indremedisin og øyemedisin, en psykolog og en fysioterapeut. Pasienten selv forteller om en rekke forskjellige plager – om murring i hele kroppen, urolig «puls» og «dunking» i kroppen, søvnproblemer med mye mareritt, smerte i magen, sure oppstøt, oppblåsthetsfølelse (magesår er diagnostisert noen år tidligere), smerter og nummenhet i seteregion og hofte, underlivssmerter, inkontinens for urin, periodevis tørr skjede, svelgproblemer, tørre og sviende øyne og problemer med ørene. Dessuten er hun ofte kvalm, og hun er gjennomgående trett og deprimert. Hun har vært hos lege gang på gang og har gjennomført flere serier med fysioterapi.
I pasientens journal ligger rapporter fra revmatolog, indremedisiner, primærlege, psykolog og fysioterapeut. Det framgår at denne kvinnen har gått i langvarig behandling hos fysioterapeut og psykolog, hun har vært til flere og ulike undersøkelser og kontroller hos både indremedisiner og revmatolog, i tillegg til å ha fått ulike legemidler. Primærlege tar dessuten prøver, henviser til mammografi osv. Dette er altså en pasient som er inne i en sammensatt behandlingssituasjon med mange og skiftende aktører som hver på sin måte forholder seg til sitt spesiale. Primærlegen koordinerer ikke behandlingen og undersøkelsene slik en skulle forvente. Hva gjør dette med denne kvinnen? Hva tenker behandlerne? Forfatteren som presenterer eksemplet bemerker at ingen av de involverte fagutøverne i sine notater uttrykker tvil, avveininger eller dilemmaer. Betyr dette at de ikke undrer seg? (Thornquist 1998).
Internasjonalt har det vært fokusert mye på betydningen av legens kjønn. Vi har sett at en del kvinner foretrekker kvinnelige leger, og at kvinnelige leger ser forholdsvis flere kvinnelige pasienter enn mannlige. Det er også vist ulikheter i kommunikativ stil mellom kvinnelige og mannlige leger. Et nyere norsk doktorgradarbeid viser at mannlige leger avbryter pasienten raskere enn kvinnelige gjør, og i den internasjonale litteraturen er det også vist systematiske forskjeller i hvordan samtalene mellom lege og pasient arter seg, avhengig av legens og pasientens kjønn. Når man måler tid brukt i konsultasjonen, viser ulike internasjonale undersøkelser til forskjellige resultater. En gjennomgående tendens er at kvinnelige pasienter har lengre konsultasjoner enn menn, og at kvinnelige leger har lengre konsultasjoner enn mannlige.
10.3.4 Kvinner med kroniske muskelsmerter og ubestemte plager
Til tross for betydelig forskningsinnsats vedrørende kroniske smerter, kan det hevdes at vi fortsatt står relativt avmektige overfor problemene. Den rent medisinske innfallsvinkelen har til nå ikke gitt kunnskap som har gjort det mulig å snu utviklingen. Det har utviklet seg en stadig bredere erkjennelse av at den tradisjonelle biomedisinske tenke- og arbeidsmåte overfor pasienter med kroniske smerter må nyanseres. Usikkerheten og uenigheten innen helsevesenet omkring kroniske smertetilstander er mest sannsynlig årsaken til at man finner diagnosen fibromyalgi på bunnen av det diagnostiske statushierarki (Album 1991). Kvinner med kroniske smerter får ikke tilfredsstillende hjelp i det norske helsevesenet, og mange føler at de blir møtt med manglende forståelse og med avvisning.
I en undersøkelse blant kvinner med muskelsmerter fant Lilleaas at en ikke uvanlig erfaring var å bli møtt enten med manglende interesse eller med skepsis (Lilleaas 1993, 1995). Mange blir skuffet over leger som bare skriver ut legemidler, uten å vise interesse for hvordan de opplever plagene. Noen opplever at legen bagatelliserer og psykologiserer plagene, og ikke gir tilstrekkelig somatisk utredning. Resultatet kan bli mistillit til legen, og at mange gir opp. Noen fortsetter å gå til lege kun for å få smertestillende legemidler og sykemelding. Mange gir opp. Isolasjon og depresjon kan bli resultatet. Slike opplevelser er i seg selv et betydelig problem, ettersom det er klart dokumentert at det å føle seg forstått og ikke minst respektert kan være en helt nødvendig forutsetning for effektiv behandling. Anerkjennelse av plagene – det å bli tatt alvorlig og få en diagnose, betyr for mange pasienter et vendepunkt, også selv om virksom behandling ikke gis.
I perioden 1992–97 ble det iverksatt om lag 30 prosjekter i regi av Sosial- og helsedepartementets Trygd og rehabiliteringsprogram. Hensikten var å utprøve alternative rehabiliteringsopplegg og å få pasientene tilbake i arbeid. I en ekstern evalueringsrapport blir 27 av prosjektene gjennomgått (Bruusgaard og Eriksen 1997). Konklusjonen er at tiltak utenfor det etablerte hjelpeapparat kan være svært betydningsfulle for denne pasientgruppen, men at man stadig ikke kan peke på tiltak med dokumentert effekt. Det er sannsynlig at en del av de kvinnene det gjelder har hyppige legekontakter, og kanskje problemer med å finne en lege som de føler kan gi reell støtte og hjelp, men dette vet vi ikke noe sikkert om. Smerter i muskler og skjelett er den viktigste sykemeldings- og uførhetsgrunn hos kvinner. Disse lidelsene utgjør også en stor andel av konsultasjonene i allmennhelsetjenesten.
Lekfolkskonferansen om muskel- og skjelettlidelser som Kvinnehelseutvalget arrangerte i september 1998 konkluderte med at en helt sentral problemstilling er «å bli tatt på alvor av legen» (se vedlegg 5). Opplevelsen av å få krenket dette elementære ønsket synes å være en felles erfaring for mange av kvinnene med langvarige og sammensatte plager. For enkelte oppleves kanskje det å få en anerkjent diagnose som det viktigste uttrykket for å bli tatt på alvor – fordi både rettigheter og verdighet som pasient er så tett assosiert med diagnoser. Men det finnes mange måter å tilkjennegi respekt for pasientens beretning.
Elstad (1993) tolker sammenhengen mellom de problemfylte møtene med legen og de uklare tilstandene og diagnosene i lys av forventninger til legerollen. Pasienter forventer at leger skal gi en medisinsk overbevisende tolkning av deres plager, det vil si at det framlegges en diagnose, en prognose og adekvat behandling. De kan godta at det finnes dødelige, uhelbredelige sykdommer, men det at legen ikke forstår hva som er i veien støter an mot den rollen legen forventes å ha. Legen på sin side har et selvbilde knyttet til det å være behandler, en som oppnår resultater. Dette krever imidlertid at pasientens symptomer er gjenkjennbare og forståelige fra et medisinsk ståsted og at de er tilgjengelige for terapi. Når symptomene er vanskelige å forklare rent medisinsk, er det lett å trekke pasientens troverdighet i tvil. Enkelte leger kan da reagere på en måte (med bagatellisering, avvisning etc.) som igjen kan oppleves som frustrerende for pasienten: Pasienten mister håpet om en løsning på problemet og begynner å tvile på legens kompetanse og vilje til å hjelpe.
Utgangspunktet må være at kvinner med kroniske smerter gjør sitt beste for å bli kvitt plagene. Allikevel opplever de ofte å bli bebreidet og gitt ansvaret for manglende bedring. Dette er en ond sirkel, som kan utvikle seg til en nedadgående spiral. Nyere feministisk teori om kjønnsroller og sosial samhandling er relevant for å forstå interaksjonen mellom kvinnelige smertepasienter og terapeuter innen helsevesenet. Det er videre et noe tabubelagt, men like fullt utvilsomt et faktum at mange kvinner som ikke blir friske av sine kroniske smerter ofte blir opplevet som, møtt som og beskrevet som sytende og klagende pasienter uten evne og innsikt til å bli friske, eller i det minste til å avfinne seg med sine plager.
Et annet vesentlig spørsmål som ble reist i lekfolkskonferansen, og som knytter an til eksemplet i rammen over, var hvordan man kan sikre koordinering for pasienter som får tjenester fra flere instanser og nivåer. Enkelte pasienter har kapasitet, overskudd og kompetanse til å skape helhet og kontinuitet i tjenestetilbudet selv. Andre kan det slett ikke. Spørsmålet er om det kan etableres ordninger der det er pasienten eller brukeren selv som peker ut en slik koordinator – og at denne funksjonen ikke behøver å tilligge primærlegen.
10.3.5 Kvinner med psykiske plager
Langt flere kvinner enn menn benytter seg av psykolog. (Se også om kvinners psykiske helse kap. 6.4) Det er imidlertid de yngre kvinnene under 50 år som hovedsakelig benytter seg av tilbudet. Dette er i tråd med hva man fant i flere undersøkelser i Oslo på 1980-tallet, som viser at middelaldrende kvinner med «omfattende psykiske symptomer» aldri hadde fått profesjonell behandling for plagene sine. En overveiende del var kvinner med lav utdannelse og bolig i drabantby eller gammel bydel på østkanten. Hva er det som bidrar til denne systematiske skjevheten? Anstorp m.fl. gjorde gjennom en intervjuundersøkelse med 30 kvinner (1984) et forsøk på å finne ut hvorfor de ikke søkte hjelp hos psykiater eller psykolog. De fleste kvinnene hadde fysiske tilleggsplager som hindret deres daglige virksomhet. Den viktigste «proppen» så ut til å være allmennpraktikeren, mener Anstorp. Nesten alle de intervjuede kvinnene hadde vært hos lege med problemene sine. To opplevde at det var en god behandlingsmulighet. De øvrige hadde opplevd ikke å bli forstått. Legen hadde vært travel, snakket et uforståelig språk og ikke informert om andre behandlingsmuligheter. Nesten ingen av informantene kjente til det psykiatriske behandlingsapparatet eller hvordan en kunne komme i kontakt med det. Flere hadde fått resept på beroligende midler. Middelaldrende kvinner med lav utdanning og (for legene) diffuse problemer kan altså se ut til å ha blitt tapere i forhold til å nå fram til det psykiske helsevesen.
Det er ulike forhold som kan begrense kvinners tilgang på psykiatriske tjenester. Ved tilbud om innleggelse eller behov for sykehusbehandling er mange kvinner hemmet av omsorgsoppgaver. Dersom det er hun som har hovedansvaret for barn og hjem, vil en innleggelse ofte by på problemer. En psykiatrisk innleggelse kan oppleves som lang for en omsorgsperson. Fordommer og manglende åpenhet gjør gjerne at omstendighetene rundt en innleggelse i psykiatrisk avdeling ikke blir taklet på samme måte som en innleggelse på somatisk avdeling. Ifølge den nye loven om barnevern har behandlingsapparatet meldeplikt dersom de oppdager bekymringsfulle forhold for barna. Det kan tenkes at enkelte kvinner ikke tør søke hjelp eller bli innlagt av redsel for omsorgsovertakelse av barna. Dette kan være til hinder for at kvinner tør fortelle om sine symptomer og sin sykdom, noe som igjen gjør at de ikke får den hjelp de trenger. Denne problemstillingen er også svært relevant for å forstå at mange kvinner kvier seg for å søke hjelp for rusmisbruk.
Kvinners psykiske lidelser er blitt sett på med ulike øyne gjennom historien. I den nyere historie har kvinner opplevd at deres beretninger om overgrep og mishandling ikke er blitt trodd. Deres fortellinger er blitt tolket og sett på som overføringsfenomener, som fantasier eller som delvis selvforskyldt. Dette kan gjøre at motivasjon og lyst til å søke hjelp blir lav. Fordommer overfor psykiske lidelser, for dårlig kjennskap til behandlingsmetoder og resultater, og manglende ressurser i den psykiatriske andrelinjetjenesten til å ta imot den stadig økende andel mennesker som kommer med psykiske problemer, hemmer hjelpsøking. På samme måte som det er rapportert om knapphet på heldøgnsplasser, er det også stor knapphet på poliklinikktjenester. Dette gjelder særlig behov for langvarig inngående behandling.
Selv om psykiske plager er en av de hyppigste henvisningsgrunner til spesialist, håndteres de aller fleste psykiske plager av allmennlegene, og sannsynligvis primært medikamentelt. Det har vært etterlyst større psykiatrisk kompetanse i allmennlegetjenesten. Etter omfattende kursing i diagnostikk og behandling av depresjon av allmennleger i et agderfylke fra 1994 til 1996, er det tankevekkende at det har vært en markert økning i salget av antidepressiver i fylket, og det antas at den økte kompetansen er medvirkende årsak til økningen (Mouland el al 1998). Kvinner står sannsynligvis for mer enn to tredeler av det samlede forbruk av antidepressiva (se for øvrig kapittel 9). Mange kan ha nytte av legemidler, også blant dem som i dag ikke får behandling. Samtidig er det åpenbart at mange psykiske plager henger sammen med selvfølelse, mestringsevne og livssituasjon – som påkaller andre behandlingsformer.
Kunnskapen om kvinners erfaring med å gå i, og å komme til, psykologisk / psykiatrisk behandling er mangelfull. De fleste tilbud og behandlingsformer som tilbys i Norge har ikke tatt bevisst hensyn til om det er kvinner eller menn som behandles. I flere land (Canada, Nederland, USA) utprøves kvinnerettede tilbud og terapiformer, og norsk psykiatri og psykologi bør ha mye å lære fra erfaringene der.
10.3.6 Kvinner som har vært utsatt for vold
Kvinner som blir mishandlet, vil ofte før eller siden oppsøke helsetjenesten, og det er i mange tilfeller nettopp helsepersonell som er de første som møter kvinnen etter overgrepet. Leger møter voldsproblemet dels som skader, sår og brudd, og behandler disse. Men ofte behandler de uten å gjøre årsaken – volden – til et tema i konsultasjonen. Muligheten for videre psykologisk støtte og oppfølging gripes dermed ikke. Voldsproblemer er imidlertid også kamuflert i plager uten at årsaken avdekkes. For eksempel er mishandlede kvinner oftere innlagt i sykehus, og gjennomgår hyppigere operasjoner enn andre, uten at historien avdekkes. Den voldsutsatte skjuler de virkelige årsakene til helseplagene på grunn av skam, følelse av skyld og ansvar, ære eller lojalitet (Kirkengen 1993). Mishandling kan også virke inn på sykdomsforløp og behandling, og ved alvorlig pågående sykdom er det ekstra vanskelig for kvinnen å søke hjelp. På dette området er kompetansen blant helsepersonell for dårlig. Få pasienter opplever å bli spurt direkte om vold, til tross for at de aller fleste ikke ville ha reagert negativt på å bli spurt (se også 6.5 om vold mot kvinner).
De største problemene er likevel sannsynligvis knyttet til manglende avdekking av hjelpebehov som ikke er så åpenbare som de fysiske skadene. De psykiske følgevirkninger og hjelpebehov blir i for liten grad oppfanget og fulgt opp i primærhelsetjenesten. Faglig sett er voldsofferarbeid lite prestisjefylt, noe som kan stå i veien for endring av holdninger og arbeidsmåter. Det finnes voldtektsmottak en del steder i landet, men det er store geografiske forskjeller i tilbudene, og mange steder finnes de ikke. Den tidsbruk som avsettes til ordinære konsultasjoner, vil ofte ikke være tilstrekkelig til å ivareta det samtalebehov offeret har. Helsetjenesten har også en vesentlig rolle i å «sikre bevis», dvs. utrede og dokumentere voldsskader med tanke på rettsprøving. Det er vist at mange saker blir henlagt på grunn av mangelfull medisinsk dokumentasjon (Texmo og Aarvik 1998). Legers kompetanse på rettsmedisinske undersøkelser må bedres, og på en slik måte at undersøkelsen ikke blir et tilleggstraume for offeret. Bedre kunnskap – både blant leger og blant publikum – kan bidra til å avtabuisere dette området.
10.3.7 Oppsummering – hovedmomenter
Det er leger som har definisjonsmakten når det gjelder sykdom. Handlinger og væremåte styres av både legens og pasientens kjønn, og pasientens selvforståelse påvirkes av det samme. Gjennom direkte og indirekte kommunikasjon mellom helsepersonell og pasienter formidles budskap som er preget av kjønn. Thornquist eksemplifiserer dette slik: «Når kvinner med hodepine blir spurt om de føler seg anspente, og fagutøveren kjenner på muskulaturen i nakke-skulderregionen, så ’forteller’ fagutøveren at anspenthet og hodepine henger sammen. Hvis det så foreslås avspenningsbehandling eller beroligende legemidler, dreier det seg om et gjennomført tradisjonelt løp. Når helsepersonell drøfter trening med menn som har høyt blodtrykk, men unnlater å nevne – eller ikke engang ser – deres oppstrammede kroppsholdning, bremsede pust o.l., så kommuniserer de samtidig hva disse mennene bør konsentrere seg om. Det som gjøres viktig, er nøyaktig det samme som gjøres uviktig i møtet med de kvinnelige pasientene» (Thornquist 1998).
Kvinners lidelser gis oftere enn menns emosjonelle forklaringer. Mange kvinner som kommer til lege med smertetilstander i muskel-skjelettsystemet, reagerer negativt, og opplever ikke å bli tatt alvorlig, når legen antyder at lidelsene kan ha en psykologisk forklaring. Det er trolig en psykologisk komponent i de fleste sykdommer. I alle fall gir sykdom psykiske reaksjoner; oppgitthet, fortvilelse, usikkerhet, stress, og i verste fall håpløshet og angst. Begreper som somatiseringssyndrom, psykosomatiske og somatoforme lidelser ser ut til å fungere som restkategorier for plager som er vanskelige å klassifisere i de tradisjonelle diagnoseskjema, og som helsevesenet ikke vet hvordan man skal behandle. Innen gynekologien er for eksempel dette ofte anvendte begreper; sannsynligvis lettere å uttale enn at man ikke vet.
At psykologisk behandling og støtte i mange tilfeller kan gi positiv effekt på kroppslig sykdom, enten via bedre mestring, men også direkte på symptomene, tolkes gjerne som en tilstrekkelig bekreftelse på den psykologiske (årsaks)-forklaring. I mange tilfeller står man faktisk overfor fenomener med både sammensatt og hittil ukjent opphav. Dette peker på to sentrale momenter. For det første at fenomenet er sammensatt; det betyr at helsepersonell ikke kan forholde seg til plagene ut fra klare objektive funn og klart avgrensete diagnose- og behandlingsskjemaer. For det andre at mange av kvinners plager har hittil ukjent opphav; det betyr at helsepersonell kan komme til å bagatellisere og psykologisere symptomer som det ville vært mulig å klassifisere og behandle dersom medisinsk forskning hadde vært tilstrekkelig utviklet med hensyn til kjønnsspesifikk kunnskap.
Tendensen til å mene at kvinner overdriver sine plager går ofte sammen med antakelser om at psykologiske faktorer spiller en hovedrolle i kvinners sykdommer. Det kan føre til at de symptomene som blir rapportert blir undersøkt mindre grundig enn de samme symptomene hos menn. Antakelsen om at årsakene er psykologiske eller psykosomatiske kan dessuten føre til diagnostiske feil, til mindre korrekt og adekvat behandling og unødig lidelse, og til at mange ikke får nødvendig medisinsk hjelp. Ny forskning og klinisk erfaring er i ferd med å skape kunnskap som gjør disse plagene lettere å forstå.
Det er relativt lett å arbeide med konkrete, velavgrensede sykdommer som kan behandles. Det er tyngre å stå overfor innfløkte sammenhenger mellom smerter, livsvilkår og lidelse som framkommer i ulike dialoger med pasienter om uro, symptomer og angst, egentolkninger av hva som kan være årsaken, og uvilje til å slå seg til ro med det legen ordinerer. Det er mange pasienter som har besværlige liv, og selv om de ikke forventer at legen skal ordne opp i besværet, bærer de dette med seg inn på legekontoret. «Pasienten har i utgangspunkt et problem som er mer eller mindre uoversiktlig. Problemet er ofte intimt forbundet med dette menneskets levde liv, med vedkommendes livsverden. Pasienten har en forventning om at legen kan yte en eller annen form for hjelp. Det å møte den sammensatte problemverdenen krever en etisk forankret intensjon. Intensjonen bygger på bestrebelsen etter å forstå, snarere enn å forklare. Pasienten er ofte såret, fornedret, opplever sin eksistens som truet. Pasienten søker hjelp. Legens problem oppstår når han møter pasienten med intensjonen om å helbrede, forklare og overta ansvaret; når han i utgangspunktet møter dette levende menneske som et medisinsk tilfelle» (Merok 1998).
Helsepersonells – og spesielt legers – yrkesidentitet er basert på å være initiativtaker og problemløser, å være den som vet og som kan. Å «tåle» å være avventende, eller aktivt søke det som pasienten selv tillegger vekt, er å utfordre den tradisjonelle yrkesidentiteten. Dette er særlig viktig når det gjelder de lidelsene man ikke forstår, der det ikke foreligger «objektive» funn. Når pasienten presenterer symptomer som ikke lar seg klassifisere, og tilsynelatende ikke behandle – er da dette pasientens eller legens ansvar? Er det pasienten eller legen som er vanskelig?
Vi har i dette avsnittet sett nærmere på møter med helsetjenesten når kvinner kommer med ubestemte kroniske plager, psykiske lidelser og skader av overgrep. For samtlige grupper er det avdekket:
Lav prestisje innen det medisinske fagfellesskapet.
Svakt utviklet og dårlig integrert forskningsbasert kunnskap.
For dårlig kompetanse blant allmennleger – med følgende mangelfull avdekking, hjelp og viderehenvisning.
Kommunikasjon med og fortolkning av kvinnene preget av dårlig funderte forestillinger og fordommer.
Konflikt i forhold til et tradisjonelt ideal om at legen «ordner opp»; diagnostiserer og ordinerer behandling.
Manglende evne til å forstå plagene ut fra den enkelte kvinnens livssituasjon, ressurser og mestringsevne.
For dårlig kapasitet og kompetanse i spesialisthelsetjenestene.
Kvinnene det gjelder utgjør et mindretall av alle kvinner som benytter seg av helsetjenestene i Norge. Samtidig er dette kvinner med alvorlige og langvarige plager, de utfordrer og legger beslag på store ressurser, og de opplever ofte å få lite hjelp. Dette er gode grunner til å utforske og utvikle nye tilnærminger. Noen slike forsøk beskrives i det følgende.
10.4 Nye rammer for behandlingstilbud og møter
10.4.1 Kvinners egenvurderte helseressurser
Det helsefremmende arbeidet overfor belastningslidelser har i stor grad vært rettet mot ulike treningsprogrammer bygget på en naturvitenskapelig tenkning om kroppen, og hvor de det gjelder har vært lite involvert. Det er derfor stort behov for å utvikle tiltak og forskning rettet mot kroppsbevissthet, kroppsopplevelse og bevegelsesglede, der den det gjelder selv er aktør. Dette er en tilnærming som favner både den enkeltes hverdag og livssituasjon, og hennes helseressurser. Kanskje er det også en tilnærming som kan gjøre helsevesenet mindre hjelpeløse overfor viktige kvinnelidelser enn det er i dag.
Å ta utgangspunkt i kvinners egenvurderte helseressurser er en måte å gi rom for kvinnen som subjekt i møte møtet med helsevesenet. Et slikt møte gir muligheter til å overskride helsevesenets tendens til å objektgjøre pasienten – noe som kan være særlig lite gunstig overfor kvinner, og særlig kvinner med plager som kan knyttes til objektgjøring av selvet. Hvis kvinner med kroniske smerter opplever kroppen som en ting, et instrument for hardt arbeid eller andres behov, og derfor sjelden greier å ta hensyn til egne hvilebehov, er det trolig en lite tjenlig løsning at legen forteller henne at hun bør hvile mer. Til og med hvile kan bli et utvendig krav, enda noe hun bør være flink til og klare i hverdagen. Og når hun ikke klarer å presse det inn, er det hennes egen skyld at hun ikke blir bedre. I bl.a. rusomsorgen er det et tilbakevendende tema at kvinnene trenger å utvikle evnen til å lytte og ta hensyn til egne grenser, lyster og behov. Det blir et stort paradoks om kvinnene skal lære seg å ta dette ansvaret for seg selv gjennom at behandlerne bestemmer hva som er best for dem. På denne måten utfordrer de store kvinnehelseplagene viktige trekk ved forholdet mellom pasient og ansatt i helsevesenet.
Den norske professoren i allmennmedisin Kirsti Malterud har, i samarbeid med en kollega i Danmark, utviklet metoder for å kartlegge og mobilisere kvinners egenvurderte personlige helseressurser i møte med allmennpraktikeren (Malterud og Hollnagel 1997). Et sterkt fokus på årsaker til og risiko for sykdom, kan føre til at en overser viktige grunner til at folk blir og forblir friske til tross for helsebelastninger. Folks egenvurderte helse har i mange sammenhenger vist seg å være et minst like godt mål for framtidig sykdom og funksjonsnivå som tradisjonelle risikofaktorer. Men folk har også viktige kunnskaper om sine helseressurser, forhold som hos den enkelte bidrar til å motvirke sykdom. Primærlegen har en viktig oppgave i å gjøre seg kjent med og styrke slike krefter hos den enkelte pasienten.
Egenvurderte personlige helseressurser defineres her som individets subjektive opplevelser og oppfatninger av kvaliteter og strategier hun mener ivaretar helsen hennes, uavhengig av empirisk belegg for helseeffekter. Informantene i denne studien, 49 kvinner i forskjellige aldre og med ulike helseplager, fortalte om styrker og strategier som kan ryddes i seks kategorier.
«Jeg klarer det jeg må.» Kvinnene fortalte om en indre styrke som kan mobiliseres av ytre påkjenninger. Stahet og utholdenhet ble sett som ressurser, men også tilliten til at en vil klare seg og komme gjennom problemene – en tillit som blant annet bygger på at en har klart seg gjennom litt av hvert tidligere. Særlig omsorgsforpliktelser dannet rammen for denne typen helseressurser. Opplevelsen av seg selv som uunnværlig kunne gi styrke til å fortsette.
«Jeg snakker med andre.» Et vanlig tema var styrken i det å snakke med andre – både familie, venner og kolleger. Samspill med nettverk kunne både brukes til å finne løsninger på konkrete problemer, sette i gang positive endringer eller utløse trøst, omsorg og støtte.
«Jeg forsøker å ha en sunn livsstil.» En utbredt helseressurs blant kvinnene var kjente helsefremmende livsstilpraksiser, først og fremst knyttet til kosthold og mosjon.
«Jeg er fornøyd når jeg er aktiv.» Mange omtalte dagligdagse aktiviteter knyttet til hus, hage, venner og familie som helseressurser. Noen følte seg friskere av slike aktiviteter, for andre var de en måte å distrahere seg vekk fra smerter de uansett måtte leve med.
«Jeg tar den tiden som trengs.» En alminnelig erfaring blant kvinnene var at problemer ofte løser seg selv – med tiden. Denne tilliten til naturen gjorde at de kunne slappe av og la sykdommen gå sin gang uten å foreta seg noe spesielt. Noen få kvinner nevnte også strategier for aktivt å gi seg selv hvile eller lindring, som middagshvil, å krype til køys eller lytte til kroppens signaler.
«Jeg har en god konstitusjon.» Noen av kvinnene refererte også til konstitusjon som helseressurs; en sterk og frisk familie, bra genetisk utrustning eller personlige egenskaper som fremmer helse, som optimisme, livsglede, godt humør, lojalitet eller styrke.
Forfatterne presiserer at forekomsten og fordelingen av disse bestemte helseressursene ikke kan generaliseres. Studien bekrefter betydningen av å anerkjenne pasientens egenvurderte personlige helseressurser, og viser legenes muligheter til å trekke fram og bygge videre på disse. Noen av de helseressursene kvinnene oppgir er i strid med vanlige legeråd, for eksempel når kvinnene «klarer det de må» eller blir fornøyde av aktivitet, og legen mener hun først og fremst trenger hvile og avlastning for å bli frisk. I stedet for å overse eller forkaste pasientens egen forståelse av helseressurser, kan legen bruke en slik tvetydighet til å få fram nærmere når og hvordan kvinnen opplever forpliktelser som ressurser.
Kartlegging av pasientens egne vurderinger av helseressurser er derfor et redskap legen kan bruke for å gi mer individuelt tilpasset rådgivning. Slik kartlegging vil også anerkjenne og dreie oppmerksomheten mer mot kvinnens styrker og muligheter til å påvirke egen situasjon. Legen bidrar dermed til å styrke kvinnens råderett og makt over eget liv (empowerment), som vi har sett i seg selv kan gi store helsegevinster.
10.4.2 Kommunikasjon i allmennpraksis
Det finnes forskning om metoder for å forbedre kommunikasjonen og forholdet mellom leger og kvinnelige pasienter. For eksempel utvikler Kirsti Malterud i sin doktorgradsavhandling en klinisk metode for å avdekke og bruke kvinnelige pasienters egne kunnskaper (Malterud 1990). Metoden er basert på en spørreteknikk hun har hatt nytte av i egen praksis. Den består av et sett av «nøkkelspørsmål» som styrer legens oppmerksomhet mot pasientens livssammenheng og egen forståelse. Nøkkelspørsmålene er relatert til fire emner: problemdefinering, årsaksoppfatning, tiltaksforventning og til handlingserfaring:
Problemdefinering: «Hva skulle du egentlig aller helst ønske at jeg kunne hjelpe deg med i dag?»
Årsaksoppfatning: «Hva tror du egentlig selv at *** kommer av?» (*** er kvinnens egen beskrivelse av plagen)
Tiltaksforventning: «Hva har du tenkt at jeg burde gjøre med det – for det har du sikkert tenkt noe om før du kom hit?»
Handlingserfaring: «Hva har du hittil funnet ut er det beste du kan gjøre med plagene?»
Hensikten med spørsmålene er å styrke kvinnenes posisjon i møtet med legen, ut fra en tenkning om at lege-pasientforholdet ofte forsterker kvinners underlegne posisjon. Felles språklige elementer i spørsmålene er at de er åpne, har konkret realitetsforankring, er invitasjoner til kvinnenes forestillingsevne, bekrefter kvinnen som gyldig kunnskapskilde, gir en legitimering av kvinnens medisinske språk, gir humoristisk invitasjon til gjensidighet, gir mulighet til verdig retrett, er en markering av legens vilje til ansvar (Malterud 1990:19). Malterud anvendte metoden i en serie konsultasjoner med egne kvinnelige pasienter, og 122 samtaler ble tatt opp på bånd og analysert. Gjennom konkrete eksempler gir hun innblikk i kvinners egne oppfatninger om årsaker til egne plager og om hvordan de kan lindres. Eksemplene viser hvordan legen kan avlaste kvinnen for årsaksansvar, gi omsorg og støtte osv., og slik bidra til å bedre situasjonen. Mange kvinner uttrykker seg på en måte som røper at de er redde for å få et hypokonderstempel, og derfor nedtoner plagene. Hun finner også at kvinner ofte påtar seg ansvaret for stemningen på legekontoret, selv om det innebærer at de ikke får uttrykt hva de egentlig har på hjertet.
10.4.3 Spesialisthelsetjenester organisert rundt pasientgrupper
En organisering av sykehus og andre helseinstitusjoner som setter pasienten i sentrum ville trolig bedre ivareta kontinuiteten i behandlingen av kvinner. For enkelte kvinnelige (og mannlige) pasienter med kroniske lidelser som krever avansert behandling, kan også et viktig tiltak være å få fri tilgang direkte til «sin» spesialist i situasjoner der man trenger råd eller sykdommen forverrer seg. «Ferdigbehandlet» er ikke noe adekvat resultatmål for en innleggelse i spesialavdeling med en kronisk sykdom. En forankring innad i systemet kan gi mulighet for oppfølging og behandling over tid; med anledning til justering av legemidler og råd uten at det er nødvendig med ny innleggelsesprosedyre. Dette er etablert praksis ved en del sykehusavdelinger for terminalt syke pasienter, og burde kunne praktiseres for flere grupper.
Det finnes noen eksempler på tilbud på spesialistnivå til kronisk syke, som er kjennetegnet ved at de tar omsorg for flere aspekter ved pasientenes liv. Ekspertise fra flere områder (f.eks. gynekologer, revmatologer, psykologer, diabetologer, fysioterapeuter) samles, og gir kvinnene mulighet for en helhet og samling av ekspertise rundt seg, i stedet for å måtte være kasteball mellom fagfolk på forskjellige steder, og uten sammenheng i behandlingen. Vi vil trekke fram:
Senter for gravide revmatikere ved Regionsykehuset i Trondheim. Det er fortjenestefullt at det nå faktisk finnes et helsetilbud der gravide revmatikere ikke sendes separat til spesialister i fødselshjelp og spesialister i revmatologi, men at disse spesialitetene samler seg i et eget senter der man kan få råd, undersøkelser og hjelp basert på den særegne situasjonen. En tilsvarende ordning har i en årrekke eksistert for gravide diabetikere på Rikshospitalet, selv om denne type virksomhet nå er mer desentralisert til regionene.
På Rikshospitalet foregår det et samarbeid mellom psykosomatisk avdeling og gynekologer om utredning og behandling av kvinner med kroniske underlivssmerter. Slike tjenester er det et enormt behov for. All erfaring viser at mange kroniske smertepasienter oppsøker mange tjenester i håp om å få hjelp. En bedre, faglig forankret tverrfaglig tjeneste for disse pasientene vil antakelig spare penger, frigjøre arbeidskraft blant helsearbeidere som opplever disse pasientene som håpløse, og bidra til større interesse blant fagfolk for å utvikle god faglig basert behandling også for denne gruppen.
Kompetansesenter for Sjøgrens syndrom. Sykdommen klassifiseres forskjellig i forskjellige land, og det gjør det vanskelig å planlegge omsorgen for pasientene. Årsaken til sykdommen er stadig ukjent. Ved Haukeland sykehus er det opprettet et kompetansesenter og register for diagnostikk, behandling og forskning omkring Sjøgrens syndrom. Fordi syndromet er komplekst, og gir symptomer i ulike organsystemer, er ulike spesialiteter knyttet til senteret; som revmatolog, øyelege, øre-nese-halslege, patolog og immunolog. Her blir pasientene møtt av tverrfaglige team som kan diagnostisere og behandle på en helhetlig måte.
Lærings- og mestringssenteret ved Aker sykehus. Ved Aker sykehus i Oslo er det etablert et lærings- og mestringssenter for mennesker med kroniske lidelser. Senteret er et prøveprosjekt som har pågått i ett års tid. I 1999 åpner et tilsvarende senter ved Fylkessykehuset i Bodø. Pasientorganisasjonene er trukket inn i virksomheten på lik linje med helsepersonell. Senteret arrangerer kurs og grupper for mennesker med ulike diagnoser. Tanken er at opplæring og motivering skal hjelpe pasientene til bedre mestring av smerter og andre plager. Senteret skal også lære helsepersonell å bli bedre helsepedagoger.
Voldtektsmottak. Både i Oslo, Bergen, Trondheim, Hamar og Skien er det opprettet voldtektsmottak. Organiseringen varierer noe; mottaket er enkelte steder plassert i tilknytning til gynekologisk avdeling, andre steder ved legevakten. Tilbudene omfatter medisinsk behandling, rettsmedisinsk undersøkelse og dokumentasjon, kriserådgivning og viderehenvisning til advokat, terapi, politi etc. I Oslo har man også mulighet til å tilby inntil ett døgns opphold ved Legevaktens observasjonspost når pasienten trenger skjerming. Voldtektsmottak har kommet i stand etter frivilliges innsats, og er stadig flere steder basert på stor grad av frivillig arbeid, uten ekstra budsjetter. Felles for disse tiltakene, er at de yter omfattende hjelp, og søker å ivareta både medisinske og psykososiale behov, såvel som bistand til eventuell politianmeldelse. Gode samarbeidsrelasjoner til politi, bistandsadvokater, krisesenter og det øvrige hjelpeapparat er nødvendig (6.5 gir en mer utførlig behandling av vold og overgrepsspørsmål).
Vi trenger kliniske kompetansesentre, både flere steder i landet og overfor flere pasientgrupper. De kan behandle sykdommer, lidelser, plager og skader som krever sammensatt kompetanse og fokus på den enkeltes muligheter til å mestre en helhetlig tilværelse med sine plager.
10.4.4 Selvhjelpsgrupper
Det har de siste par tiårene skjedd en sterk vekst i antall selvhjelpsgrupper i Norge. Selvhjelpsgruppene er i ferd med å bli betydelige velferdsprodusenter. Det finnes selvhjelpsgrupper for de fleste kroniske eller langvarige sykdomsgrupper, i tillegg til grupper for mennesker som opplever ulike typer livskriser som for eksempel dødsfall, samlivsbrudd og arbeidsledighet, og for mer varige sosiale problemer. Vanlig er det også med grupper for pårørende og familiemedlemmer til personer som har en sykdom eller et problem, som pårørende til senil demente og ektefeller av alkoholmisbrukere. Det er stor variasjon med hensyn til i hvilken grad, og på hvilken måte, profesjonelle helse- og sosialarbeidere er involvert i selvhjelpsgruppene. Felles for de fleste gruppene, er at de er frivillige, små gruppestrukturer for gjensidig hjelp.
I selvhjelpsgrupper foregår utveksling av støtte og erfaring mellom likeverdige deltakere, i symmetriske relasjoner. En hjelper seg selv, mottar støtte og hjelper andre uten å tape status. Mange av selvhjelpsgruppene har vært drevet fram av kvinner. Ammehjelpen ble etablert så tidlig som i 1968, og har hatt stor betydning for informasjonsspredning og støtte til kvinner som har ønsket å amme sine barn. Angstringen er et annet eksempel på selvhjelpsorganisering som også har hjulpet mange kvinner. De definerer selvhjelp slik: «Selvhjelp er å gripe tak i egne muligheter, finne fram til egne ressurser, ta ansvar for livet sitt og selv styre det i den retning en ønsker det. Selvhjelp er å sette i gang en prosess.» Mobilisering av egenkraft, «empowerment», er et nøkkelbegrep i selvhjelpsarbeidet.
Samhandling med fagfolk har alltid vært av stor betydning for Angstringen som har en psykolog som konsulent. Slike grupper vil ha behov for fagfolk som kan være konsulent og diskusjonspartner, gi anerkjennelse og mot til å gå videre og som kan drøfte problematiske ting med styregruppen, men ikke være tilgjengelig for enkeltgrupper eller enkeltdeltakere. En bredere omtale av arbeidet med egenkraftmobilisering og empowerment er gitt i NOU 1998:18. Det vises også til «Selvhjelpsboken» (Talseth, 1998) som utgis av Sosial- og helsedepartementet/FRISAM.
10.4.5 Organiseringen av allmennlegetjenester – fastlegereformen
Intensjonen med fastlegeordningen er å sikre hele befolkningen kontinuitet i lege-pasientforholdet, noe som spesielt skal komme kronisk syke, pasienter med psykiske lidelser, funksjonshemmede og pasienter under rehabilitering til gode. Ordningen skal også gi bedre grunnlag for samarbeid med spesialisthelsetjenester i og utenfor institusjon. Pasientene skal kunne velge fastlege uavhengig av kommune- og bydelsgrenser, skifte lege inntil to ganger per år, og dessuten ha rett til ny vurdering hos annen lege enn fastlegen. (Høringsnotat fastlegeordningen, Sosial- og helsedepartementet, 1998). Utvalget støtter intensjonen bak forslaget, og ser at det kan bedre situasjonen for mange av de kvinnene som i dag har et problematisk forhold til allmennlegene.
Ustabil og dårlig legedekning i en del små og/eller utkantkommuner og vansker med rekruttering og organisering av det offentlig legearbeidet, har de senere årene vært et økende problem. Kronisk syke mennesker i kommuner med stor gjennomtrekk av leger har i dag ikke den faste tilknytning til lege de trenger. Mellom 4 og 40 prosent småbarnsmødre mangler et kontinuerlig helsetilbud, på grunn av stor gjennomtrekk i legestillinger (Finnvold 1997). Ordningen vil bare delvis kunne realiseres, hvis ikke de virkemidlene Sosial- og helsedepartementet foreslår for å sikre stabil legedekning får den ønskede effekt.
I tillegg til kontinuitet i behandlingsrelasjonen, er tid i konsultasjonen avgjørende for tjenestekvaliteten. Hvor mye tid som kan avsettes til den enkelte konsultasjon, vil blant annet avhenge av hvor mange pasienter den enkelte legen har på sin «liste», og av hvordan listen er sammensatt. I høringsnotatet er kjønn behandlet i forbindelse med spørsmålet om listesammensetning. Kvinnelige pasienter blir her framstilt som et problem; ved at de krever mer tid. Spørsmålet om begrensning av andel kvinner på en liste blir drøftet, og utvalget er enig i konklusjon i notatet. Dette er ikke ønskelig. Blant annet vil en slik løsning kunne begrense kvinners valgmulighet i større grad enn menns. Utvalget stiller seg for øvrig kritisk til det underliggende premiss for denne drøftingen; «mannlige, unge, uproblematiske» pasienter som norm, «kvinnelige, gamle og tunge» pasienter som problem. Alder bør utredes som et alternativt kriterium for listebegrensning.
Ordningen gir legen større forpliktelser enn hva som er tilfellet i dag overfor dem som står på listen. I beste fall vil mange leger mobiliseres til å gjøre en bedre jobb for pasientene sine. Pasienter gis anledning til å stå utenfor ordningen, og til å søke annen lege enn fastlegen (også uten henvisning) mot forhøyet egenandel. Erfaringene fra forsøket var imidlertid at fastlegene var meget restriktive med å ta imot pasienter som ikke sto på deres egen liste. Tilgjengeligheten til annen lege enn fastlegen når det er ønskelig, kan vise seg å bli begrenset.
En uttalt bekymring, er konsekvenser av ordningen for det offentlige legearbeidet i kommunene. Dette ivaretas i dag av kommuneleger med vesentlige funksjoner i helsestasjonsvirksomhet, skolehelsetjeneste og miljørettet (forebyggende) helsevern. Forslaget legger opp til at kommunene i avtaler med fastleger skal kunne kreve en andel offentlig legearbeid. Dette arbeidet vil imidlertid kunne bli svært oppsplittet, og legers deltakelse i overordnet planleggingsarbeid kan forsvinne. En stor del av det offentlige legearbeidet er rettet mot kvinner og barn. Det vil bli viktig å følge med i hvordan dette ivaretas i årene som kommer.
10.4.6 Innsatsstyrt finansiering av sykehus
En økende del av det økonomiske grunnlaget for de somatiske sykehusene er basert på såkalt innsatsstyrt finansiering som trådte i kraft 1. juli 1997. Fra 1999 skal 50 prosent av ressursene gis via dette systemet. Systemet er basert på klassifikasjonssystemet ICD-10 i kombinasjon med «diagnoserelaterte grupper» (DRG). DRG innebærer at pasientene grupperes etter hvilke diagnoser de har, og at det til hver slik diagnose er anslått et visst ressursbehov, som igjen utløser penger. En bekymring er at systemet skal skape vridningseffekter i diagnosesettingen. Det som kan skje, er at finansieringssystemet og ikke faglige vurderinger blir utslagsgivende for hvilke diagnoser som velges – fordi noen diagnoser utløser mer ressurser enn andre. For å få et riktig bilde av hvilke sykdommer det er som behandles i sykehusene, er det avgjørende at kodepraksis er basert på faglige medisinske vurderinger.
Men enda viktigere blir det å følge med i hvilke direkte konsekvenser dette systemet får for tilbudet til pasientene. Utvalget er bekymret for at systemet skal gi endret behandlingspraksis i form av dårligere behandlingsforløp og lavere intensitet i behandlingen og at kvaliteten av behandlingen skal bli forringet for visse pasientgrupper. I forsøket som ble gjennomført i Nordland, viste det seg at rehabiliteringspasienter og pasienter med kroniske lidelser kom dårlig ut på tilbudssiden. Det vil bli viktig å følge med i hvordan systemet vil slå ut, spesielt for pasientgrupper med sammensatte og kroniske lidelser, der mange er kvinner, men også i et generelt kjønnsperspektiv.
Det er lagt opp til en omfattende evaluering av systemet. Blant evalueringsspørsmålene er uheldige vridningseffekter, endrede pasienterfaringer, endret kodingspraksis og behandlingspraksis. Utvalget vil oppfordre til at man i evalueringen følger opp om ordningen i praksis får ulike konsekvenser for kvinner og menn.
10.5 Tiltak
10.5.1 Hva mangler av kunnskap?
I dette kapitlet er det avdekket kunnskapsmangel på en rekke nivåer. For å bedre helsetjenestene for kvinner i Norge behøves bedre kunnskap på flere områder:
Det bør utvikles kjønnsspesifikk kunnskap om årsaksforhold, forekomst, diagnose og behandling av sykdom.
All forbruksstatistikk i helsetjenesten bør analyseres og presenteres for både kvinner og menn, og fordelt på alder.
Det bør gjennomføres individbaserte utvalgsundersøkelser som følger pasienter gjennom behandlingssystemet; og som kaster lys over eventuelle kjønnsforskjeller i diagnostiserings-, utrednings-, henvisnings- og behandlingspraksis på ulike nivåer.
Det bør settes i gang særskilte studier som kan gi kunnskap om forløp av kroniske sykdommer med spesiell kvinnerelevans og bruk av helsetjenester over tid.
Det trengs kvalitative studier av de såkalte «storbrukerne» av allmennlegetjenester. Det trengs også utprøving av hva som er gode møter og hva som øker livskvalitet hos disse gruppene.
Det bør snarest etableres en individbasert legemiddelstatistikk som kan gi kunnskap om kjønnsforskjeller i legemiddelbruk.
Det er behov for forskning om bivirkninger av legemiddelbruk i et kjønnsperspektiv, med særlig fokus på eldre mennesker.
Masseundersøkelser av kvinner, som programmene for masseundersøkelser av brystkreft og livmorhalskreft må evalueres.
I de planlagte evalueringene av fastlegereformen og av innsatsstyrt finansiering bør det følges opp om ordningene i praksis har ulike konsekvenser for kvinner og menn.
Det bør inkorporeres et kjønnsperspektiv i alle relevante studier som foretas i et evalueringsøyemed. Evalueringer bør også omfatte studier av pasientgrupper som særskilt omfatter kvinner, som for eksempel muskel-skjelettlidelser og vanskelig diagnostiserbare tilstander.
(Det henvises for øvrig til kapittel 9 for anbefalinger hva angår kunnskapsutvikling i tilknytning til enkeltsykdommer og spesielle pasientgrupper)
10.5.2 Andre tiltak
Igangsettelse av nye masseundersøkelser, for eksempel mot osteoporose, bør baseres på grundig vurdering av kostnad, nytte og eventuelle uheldige effekter i henhold til Verdens helseorganisasjons kriterier.
Det trengs fortsatt stimulering til oppbygging av geriatrisk spesialkompetanse og spredning av kunnskap om geriatri til allmennhelsetjenesten.
Det bør arbeides for å iverksette særskilte tiltak som kan fremme tilgjengelighet til psykiatrisk helsetjenester for kvinner: polikliniske tilbud med lett fysisk tilgjengelighet, større tilgang på kvinnelige terapeuter og økonomisk gunstigere tilbud.
Psykologisk og psykiatrisk fagekspertise bør, i samarbeid med helsetjenesten for øvrig, arbeide for å sette i gang utvidet forsøksvirksomhet med støtte og hjelp for bedre mestring hos ressurssvake (unge) mødre og familier for å forebygge psykiske senskader og sosiale problemer hos dem og barna deres.
Det bør arbeides for å opprette flere (på helseregions- eller fylkesnivå) spesialseksjoner for utredning og behandling av en rekke kroniske sykdommer som rammer kvinner, og der graviditet og fødsel har innvirkning på forløpet av sykdommene. Kompetansesentre for osteoporose, muligens inklusive rehabilitering av pasienter rammet av lårhals- eller ryggbrudd, opptreningsenheter for slagrammede, sentre for gravide diabetikere og voldtektsmottak er eksempler på vellykkede enheter. Kvinneklinikker, inklusive fødeavdelinger, bør rustes opp med tanke på en bredere mulighet for psykososial omsorg. Det bør videre arbeides med å opprette kompetansesentre for behandling av spiseforstyrrelser. Det bør også satses på å skape tverrfaglige utrednings- og behandlingstilbud til kvinner med ubestemte plager, som fibromyalgi, bekkenløsning og andre kroniske smertetilstander. Slike tiltak bør underlegges kontinuerlig evaluering, både ut fra nytteeffekt og ut fra brukerperspektiv.
For personer med kroniske eller sammensatte plager, bør kommunenes ansvar for å vurdere tjenestebehov, for å plassere ansvar for oppfølging og koordinering, og for å utvikle helhetlige og tverrfaglige tilbud skjerpes.
Aktører i hele helsetjenesten bør skoleres i pasientkommunikasjon, med vektlegging av kjønnsulikheter i presentasjon og respons i dialoger om sykdom og behandling.
Det bør iverksettes en nasjonal handlingsplan mot osteoporose (beinskjørhet) og brudd.
Det anbefales at spørsmålet om nedfrysing av egg fra kvinner som gis behandling som kan redusere deres fruktbarhet blir utredet og vurdert på nytt med tanke på lovendring.
Det er behov for en sentral plan for etablering av voldtektsmottak i alle fylker, slik at alle innbyggere kan søke med rimelig letthet.
Det er behov for kompetanseoppbygging hos helsepersonell når det gjelder vold- og overgrepsproblematikk, og ulike faggrupper trenger spesiell opplæring i krisehåndtering i forbindelse med vold og overgrep.
Den rettsmedisinske kompetansen hos helsepersonell må styrkes (se også kapittel 10 for tiltak i forbindelse med vold og overgrep).