11 Drivkrefter bak konjunkturforløpet på 1990-tallet
Av Per Richard Johansen og Torbjørn Eika, Statistisk sentralbyrå 1
11.1 Innledning
Ved inngangen til 1990-tallet var norsk økonomi inne i det kraftigste konjunkturtilbakeslaget etter andre verdenskrig. Fra 4. kvartal 1987 til 1. kvartal 1989 sank samlet produksjon målt ved sesongjustert BNP for Fastlands-Norge med 4,3 prosent, tilsvarende 3,5 prosent regnet som årlig rate, for så å vokse bare 1,4 prosent per år frem til 4. kvartal 1992. Deretter tok veksten seg kraftig opp, fra 4. kvartal 1992 til 1. kvartal 1998 økte BNP for Fastlands-Norge med hele 3,6 prosent per år. Gjennom 1998 falt produksjonsveksten på ny, for deretter å ta seg noe opp igjen gjennom 1999.
Den følgende analysen tar sikte på å kartlegge viktige drivkrefter bak konjunkturforløpet i perioden fra 1989 til 1999. Hovedfokuset er på konjunkturimpulser som oppsto i perioden, men også ettervirkninger av impulser fra før 1989 er forsøkt belyst. Med konjunkturimpulser menes kortsiktige svingninger i variable som påvirket, men som kan betraktes som økonomisk uavhengige av utviklingen i husholdningene og bedriftene i Fastlands-Norge. Den makroøkonomiske modellen KVARTS er benyttet til å beregne bidragene fra slike impulser til den generelle konjunkturutviklingen. For en mer utfyllende gjennomgang av den økonomiske utviklingen i denne perioden, vises det til kapittel 3 i Utvalgets rapport.
Vår analyse av 1990-tallet bekrefter hovedkonklusjonene fra en tidligere analyse av konjunkturforløpet på 1980-tallet (Statistisk sentralbyrå, 1997). Bidragene fra internasjonale produktmarkeder har fungert motsyklisk, oljeinvesteringene medsyklisk og finanspolitikken gjennomgående motsyklisk, men medsyklisk på slutten av konjunkturoppgangen. Mens den forrige analysen klarla at dereguleringen av finans- og boligmarkedene på 1980-tallet ga de sterkeste konjunkturbidragene, sitter vi i denne analysen igjen med en stor, men avtakende, uforklart restpost med negative konjunkturbidrag, som mest sannsynlig skyldes impulser som oppsto før beregningsperioden, og som det er naturlig å se i sammenheng med ettervirkningene av dereguleringene. Av nye impulser som er analysert i denne studien, synes impulsene fra renter og valutakurser å ha gitt medsykliske bidrag gjennom store deler av perioden.
Resten av artikkelen er disponert slik: I kapittel 2 gjennomgås en del sentrale begreper i konjunkturanalysen. Kapittel 3 oppsummerer resultatene fra to tidligere konjunkturstudier av norsk økonomi, henholdsvis Wettergreen (1978) og SSB (1997). Kapittel 4 gir en grov oversikt over konjunkturforløpet på 1980- og 90-tallet, basert på en metodisk tilnærming nær den som ble brukt i den første av de tidligere studiene. Hovedvekten i artikkelen ligger imidlertid på kapittel 5, som gir en mer inngående analyse av drivkrefter bak konjunkturforløpet i perioden 1989–99, basert på en videreføring av metoden brukt i den andre av de tidligere studiene. Kapittel 6 konkluderer.
11.2 Konjunkturforløpet
En analyse av konjunkturbevegelser fokuserer på svingningene (syklene) i økonomiske variable, i motsetning til den mer langsiktige utviklingen (trenden) i seriene. Å innføre et slikt skille mellom sykel og trend er ikke uproblematisk, og det er ikke entydig hvordan skillet skal operasjonaliseres. Forløpet til de sentrale størrelsene i økonomien påvirker hverandre gjensidig, uansett om utviklingen skyldes konjunkturelle eller trendmessige forhold.
På den annen side, det at kortsiktige svingninger i økonomisk aktivitet kan ha virkninger for nivået på aktiviteten på lengre sikt, gjør det ekstra interessant å innføre et slikt skille. En jevn vekstbane vil kunne gi en gjennomgående høyere ressursutnyttelse (herunder lavere arbeidsledighet) og dermed sterkere økonomisk vekst over tid, enn en bane med store svingninger i aktivitetsnivået. 2 Det kan således ha realøkonomiske kostnader på lang sikt om aktivitetsnivået avviker vesentlig fra hva det er ressursmessig grunnlag for. Kostnadene oppstår både når aktivitetsnivået er for lavt og når det er for høyt. I førstnevnte tilfelle direkte, i sistnevnte tilfelle indirekte gjennom prosessen som etter hvert vil tvinge aktivitetsnivået tilbake til det som samsvarer med utviklingen i ressursgrunnlaget.
Siden formålet med det følgende er å analysere hvilke impulser som har bidratt til å trekke den økonomiske aktiviteten bort fra en jevn vekstbane, burde trenden ideelt sett beregnes slik at den reflekterer en bane som er forenlig med en stabil utnyttelse av ressursgrunnlaget. Imidlertid vil en slik bane – som nevnt – over tid kunne gi en trend som i stadig større grad vil ligge over faktisk utvikling. Metoden må derfor kunne fange opp at trenden i en viss grad trekkes ned pga. mangelfull ressursutnyttelse i foregående perioder. Dessuten må metoden kunne nyttes også til å beregne trenden i andre økonomiske variable enn samlet produksjon, slik at en kan skille ut konjunkturbevegelsene også i disse seriene. Det tilsier en metode som ikke eksplisitt knytter an til produksjonsutviklingen ved en jevn utnyttelse av ressursgrunnlaget, men mer fremstår som en glatting av den faktiske økonomiske utviklingen over en lengre periode.

Figur 11.1 BNP for Fastlands-Norge. Milliarder 1996-kroner per kvartal
Den metoden for beregning av trend som er valgt i denne analysen er det såkalte HP-filteret (Hodrick og Prescott, 1997). Forenklet sagt bestemmes trenden som et veid gjennomsnitt av den faktiske serien og en rett linje gjennom den faktiske serien. Med liten vekt på den rette linja vil trenden i stor grad følge den faktiske serien. Med stor vekt på den rette linja vil trenden bli nær lineær (ved først å ta den naturlige logaritmen til serien tilsvarer en rett linje en vekstbane med konstant vekstrate). 3 Den dype og langvarige lavkonjunkturen i norsk økonomi som satte inn mot slutten av 1980-tallet, gjør at det har vært nødvendig å legge stor vekt på den rette linja for å få en trend som er i rimelig samsvar med den underliggende utviklingen i ressursgrunnlaget i denne perioden (realkapitalbeholdning og befolkningen i arbeidsdyktig alder). 4
Som referansevariabel for konjunkturforløpet nyttes konjunkturbevegelsene i bruttonasjonalprodukt (BNP) for Fastlands-Norge. BNP for Fastlands-Norge tilsvarer samlet verdiskapning for Norge fratrukket verdiskapningen i oljevirksomheten og utenriks sjøfart. Grunnen til å holde de to sistnevnte sektorene utenfor referanseindikatoren er at produksjonen her kan vise store svingninger uten at det i særlig grad påvirker utnyttelsen av arbeidskraft og kapital utenfor sektoren selv. Forskjellen i konjunkturforløp mellom de to seriene er imidlertid ikke betydelig.
For å fjerne kortsiktige, tilfeldige utslag i seriene og gi et klarere visuelt bilde er kvartalstallene som ligger til grunn for figurer og tabeller i denne analysen, glattet med et fem kvartalers glidende, veid gjennomsnitt.
Utviklingen i BNP for Fastlands-Norge over perioden 1979–99 er vist i figur 11.1. Figuren viser også den beregnede trenden. Den vil, som tidligere nevnt, avhenge av hvor stor vekt en har lagt på at den skal ha et glatt forløp. Sett på bakgrunn av at en rettlinjet, stigende trend innebærer at den prosentvise veksten avtar, ser en klart at den beregnede trendveksten var avtakende gjennom 1980-tallet. Fra 3 prosent i 1980 falt trendveksten på årsbasis til i underkant av 2 prosent i 1989. Deretter tok den beregnede trendveksten seg opp til i underkant av 2,5 prosent gjennom 1990-tallet. Selv en så glatt trend som vi her legger til grunn, viser altså en ganske stor variasjon i underliggende vekst.

Figur 11.2 Konjunkturfaser, stilisert
Konjunkturbevegelsene framkommer som svingningene i faktisk serie rundt den beregnede trenden. Med utgangspunkt i det stiliserte eksemplet i figur 11.2 kan vi definere de ulike konjunkturfasene:
Lavkonjunktur er periodene der faktisk serie ligger under trenden, dvs. der avviket er negativt, mens høykonjunktur er det motsatte.
Konjunkturbunnene og -toppene nås der tallverdien av avviket mellom faktisk serie og trend er størst. I disse punktene er den faktiske veksten lik den trendmessige veksten.
Konjunkturnedgang er periodene regnet fra konjunkturtopp til konjunkturbunn. Tilsvarende regnes konjunkturoppgang som periodene fra konjunkturbunn til konjunkturtopp.

Figur 11.3 Konjunktursvingninger i BNP for Fastlands-Norge. Avvik fra beregnet trend i prosent
Tabell 11.1 Konjunkturfaser for BNP for Fastlands-Norge 1980–99
| Fra | Til | Opp/ned | Høy/lav | ||
|---|---|---|---|---|---|
| 80.1 | 82.1 | Konjunkturnedgang | Høykonjunktur | Avkjøling | |
| 82.2 | 83.1 | = Bunn | » | Lavkonjunktur | Tilbakeslag |
| 83.2 | 84.3 | Konjunkturoppgang | » | Innhenting | |
| 84.4 | 86.3 | = Topp | » | Høykonjunktur | Oppheting |
| 86.4 | 88.3 | Konjunkturnedgang | » | Avkjøling | |
| 88.4 | 92.4 | = Bunn | » | Lavkonjunktur | Tilbakeslag |
| 93.1 | 96.1 | Konjunkturoppgang | » | Innhenting | |
| 96.2 | 98.1 | = Topp | » | Høykonjunktur | Oppheting |
| 98.2 | Konjunkturnedgang | » | Avkjøling |
I tillegg til disse begrepene har vi i figuren innført fire andre som beskriver de ulike kombinasjoner av høy-/lavkonjunktur og konjunkturopp-/-nedgang som kan forekomme.
Siden alle konjunkturfasene karakteriserer utviklingen i faktisk serie i forhold til trenden, får vi et klarere bilde av dem ved å se på avviket mellom den faktiske serien og trenden. Det prosentvise avviket fra trenden for BNP for Fastlands-Norge for årene 1979–99 er vist i figur 11.3.
Karakteriseringen av de ulike fasene for BNP for Fastlands-Norge på 1980- og 1990-tallet ved hjelp av de ulike begrepene er oppsummert i tabell 11.1. Merk at andre metoder for beregning av trenden kan gi andre tidsavgrensninger for de ulike konjunkturfasene.
Denne måten å definere konjunkturtopper og -bunner på er ikke det samme som en klassifisering etter når faktisk serie på nivåform når et topp- eller bunnpunkt 5 . Figur 11.1 viste at faktisk serie for BNP for Fastlands-Norge nådde toppen så sent som i 4. kvartal 1987, og den etterfølgende bunnen allerede i 1. kvartal 1989. Vår metode innebærer at periodene fra 3. kvartal 1986 til 4. kvartal 1987 og fra 1. kvartal 1989 til 4. kvartal 1992 – tross vekst – var å regne som perioder med konjunkturnedgang. Det betyr at produksjonsveksten i disse periodene tilskrives vekst i ressursgrunnlaget, mens utnyttelsen av ressursgrunnlaget derimot falt.
Vår kunnskap om norsk økonomi, slik den er nedfelt i SSBs makroøkonomiske modeller, tilsier at problemet med konjunktursvingninger er knyttet til periodene hvor produksjonen er langt unna sin likevektsverdi (hos oss representert ved trendverdien), dvs. hvor konjunkturavvikene er store. Ifølge modellen er det ingen problemer med sterk økonomisk vekst, så lenge det er ledige ressurser å ta av. Det er først når det begynner å butte, når ressursene begynner å bli fullt utnyttet, at problemene blir større jo sterkere veksten er. Det betyr at en kraftig konjunkturoppgang først blir et problem når veksten truer med å føre økonomien utover hva det er ressursmessig grunnlag for. Og er man først i en situasjon med sterkt press på ressursene, er det ikke tilstrekkelig at veksten avtar, presset kan bare reduseres ved at produksjonen vokser svakere enn ressursgrunnlaget, slik at faktisk produksjon nærmer seg trenden.
Dette tilsier at det er perioder med markert høy- og lavkonjunktur (stor absolutt-verdi på konjunkturavviket) som burde stå i fokus for en analyse av konjunkturforløpet. Likevel ser vi i det alminnelige mediebildet at fokus i større grad er på om produksjonsveksten er sterk eller ikke, dvs. på styrken i konjunkturoppgangene og –nedgangene. Det kan være flere grunner til dette.
Et høyt nivå på ledigheten er ille for de som rammes (og for samfunnet som opplever at ressurser står ubrukt), men en sterkt stigende ledighet gjør alle mer utrygge. Det kan være at det først er når veksten endrer seg at forventningene endres, og at det som før så solid ut ikke gjør det lenger. Og det kan være at perioder med spesielt sterk – eller svak – vekst innebærer større reallokeringer av ressurser og omfordelinger av inntekter mellom aktørene på mikronivå, enn det en får i perioder der veksten er mer gjennomsnittlig, men uten at hastigheten som disse endringene skjer med uten videre kan avleses i makroøkonomiske variable. Det kan også være andre forhold ved sterk vekst som ikke fanges opp av makrotall, slik som nasjonalregnskapet, og dermed ikke av modellene. Et eksempel er slurv innenfor byggebransjen pga. tidsnød, dårlig kvalitetskontroll i banker når utlånsvolumene øker sterkt, etc. Dette er forhold som kan innebære ikke bare privatøkonomiske, men også samfunnsøkonomiske tap, men som ikke lett vil kunne påvises i makroøkonomiske analyser.

Figur 11.4 Fasediagram for et stilisert konjunkturforløp
For å samtidig fange opp både størrelsen på konjunkturavviket og styrken i konjunkturoppgangene/-nedgangene skal vi i analysen nytte et fasediagram, som måler nivået på konjunkturavviket langs den vannrette aksen og vekstraten (regnet som avvik fra trendveksten) langs den loddrette aksen, jf. figur 11.4. Til venstre for den loddrette aksen er økonomien i en lavkonjunktur, til høyre i høykonjunktur. Nedenfor den vannrette aksen er økonomien i konjunkturnedgang, ovenfor er den i oppgang.
Figur 11.4 viser en stilisert sykel, der fasene gjentar seg selv med faste mellomrom (i virkeligheten viser selvsagt ikke syklene slik regelmessighet). Jo større radius sykelen har, jo større er konjunkturutslagene, enten vi nå skulle ønske å fokusere på nivå eller vekst. En økonomi med små konjunkturutslag vil altså bevege seg i en liten «sirkel» rundt origo.
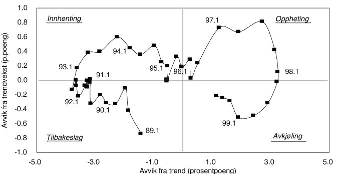
Et fasediagram for konjunkturforløpet for BNP for Fastlands-Norge i årene 1989–99 er vist i figur 11.5. Figuren er basert på kvartalsdata, og 1. kvartal i hvert av årene er avmerket.
Vi ser av figuren at norsk økonomi lå an til en myk landing gjennom 1994–96, da produksjonsnivået nærmet seg sin trendverdi samtidig som produksjonsveksten kom gradvis ned mot trendveksten. Denne tendensen ble imidlertid markert brutt tidlig i 1997 (som tidligere nevnt er alle figurer/tabeller i denne analysen basert på glattede, sesongjusterte tall, ifølge ikke-glattede tall skjedde det markerte bruddet i 2. kvartal 1997).

Figur 11.5 Konjunkturfaser 1989–99
11.3 Tidligere analyser av konjunktur- impulser i norsk økonomi
Statistisk sentralbyrå har også tidligere utført analyser av konjunkturforløpet til norsk økonomi. Wettergreen (1978) analyserte konjunkturmønsteret i norsk økonomi for perioden fra slutten av 1950- til slutten av 1970-tallet. Analysen var basert på ulike typer korttidsstatistikk, idet kvartalsvise nasjonalregnskapsdata manglet for siste del av perioden. Metoden besto blant annet i en systematisk undersøkelse av faseforskyvninger (graden av ledelse og etterslep i tid) mellom de ulike seriene i forhold til konjunktursvingningene i industriproduksjonen, som ble brukt som referanseindikator. Analysen klarla at konjunkturbølgene i norsk økonomi i denne perioden stort sett var drevet fra utlandet via virkningene på norske eksportvareproduksjon og -priser, særlig for industrielle råvarer og halvfabrikata. Eventuelle virkninger via internasjonale renter og valutakurser ble blokkert, siden vi i Norge hadde både renteregulering og regulering av valutamarkedene (herunder faste valutakurser).
Konjunkturmønsteret var preget av at de fleste industrilandene i større eller mindre grad fulgte hverandre konjunkturmessig, med USA som klar leder. Bølgelengden (fra topp til topp, eller bunn til bunn) lå på mellom 2 og 5 år, med et gjennomsnitt på rundt 4 år. Konjunkturimpulsene fra utlandet bredte seg først til norsk vareeksport, som pga. stort innhold av konjunkturfølsomme råvarer og industrielle halvfabrikata, reagerte i forkant av den samlede internasjonale markedsveksten. Etter hvert som eksportprisene – og dermed også lønnsomheten – ble påvirket, bredte de seg videre til eksportindustriens investeringer og dermed til den arbeidsintensive investeringsvareproduksjonen. Dette påvirket i neste omgang sysselsetting, arbeidsledighet, lønn og privat konsum og dermed også investeringene i hjemmeorienterte næringer. På grunn av stort importinnhold i konsumet ble tilbakevirkningen på norsk produksjon begrenset. Perioden var dessuten gjennomgående preget av stram finanspolitikk og bruk av direkte reguleringer (kreditt, byggeløyver, mv.) som holdt etterspørselsoverskuddet (skapt av pengerikelighet etter krigen, og en systematisk lavrentepolitikk i årene etter) i sjakk, på en slik måte at samlet produksjon utviklet seg forholdsvis jevnt. Alt i alt innebar dette at samlet produksjon i Norge slepte etter samlet produksjon internasjonalt, samtidig som konjunkturutslagene var klart mindre enn i andre industriland.
Wettergreens analyse munnet ut i et spørsmål om fremveksten av oljesektoren utover på 1970-tallet var i ferd med å endre konjunkturmønsteret for norsk økonomi. Tegnene på at det tradisjonelle konjunkturmønsteret var i ferd med å brytes, ble bare mer tydelige i årene som fulgte. Konjunktursvingningene ble i Norge på 1980-tallet langt kraftigere enn de hadde vært i tiårene før. Samlet produksjon svingte nå mer enn industriproduksjonen, og mer enn hos våre handelspartnere. Konjunkturbølgene i Norge var i tillegg i ufase med utlandet. Dette representerte et klart brudd med etterkrigstidens konjunkturmønster, og pekte mot at svingningene hadde sitt opphav internt i norsk økonomi, og ikke lenger i hovedsak reflekterte internasjonale konjunkturbevegelser.
Dette var bakgrunnen for SSBs neste konjunkturhistorieprosjekt, som tok for seg utviklingen i perioden 1973–93. Prosjektet besto av en rekke delprosjekter, publisert i separate artikler; en kort oversikt med referanser er gitt i Statistisk sentralbyrå (1997). Analysene klarla at selv om en fortsatt kunne se spredte spor av det tradisjonelle konjunkturmønsteret beskrevet overfor, ble utviklingen helt dominert av sjokk knyttet til viktige strukturendringer i norsk økonomi i denne perioden. Foruten fremveksten av oljesektoren hadde disse sjokkene sammenheng med den omfattende dereguleringen av bygge-, bolig-, kreditt- og valutamarkedene samt avviklingen av lavrentepolitikken (herunder virkningen av endringer i beskatningen av renteinntekter/-utgifter) som fant sted i denne perioden.
Det metodiske grunnlaget for analysen var i løpet av 1980-tallet vesentlig forbedret i forhold til den første analysen. For det første hadde en fått sammenhengende kvartalsvise nasjonalregnskapsdata tilbake til 1967. For det andre hadde dette gjort det mulig å etablere en makroøkonomisk modell, KVARTS, som fanget opp viktige trekk ved norsk økonomi og som ved dynamisk simulering viste seg å reprodusere den samlede økonomiske utviklingen gjennom perioden på en rimelig god måte. Mens Wettergreen (1978) måtte nøye seg med å studere graden av samvariasjon mellom konjunktursyklene i de ulike seriene, kunne en nå bruke modellen til å analysere hvordan konjunkturimpulsene fra utvalgte variable (som ble betraktet som eksogene i forhold til konjunkturutviklingen i BNP for Fastlands-Norge) virket inn på konjunkturforløpet.
Dette ble gjort gjennom en serie med partielle, kontrafaktiske beregninger over perioden 1973–93, der de eksogene variablene fulgte sine trendmessige baner – dvs. baner der konjunkturimpulsene var rensket ut – i stedet for sine faktiske baner. Ved å sammenligne de faktiske og kontrafaktiske banene, kunne en beregne hvor stor del av konjunkturutslagene i f.eks. BNP for Fastlands-Norge som partielt sett skyldtes hver av de eksogene konjunkturimpulsene. 6
I alt gjennomførte en fem uavhengige sett med beregninger: Virkninger av impulsene fra eksportmarkedene (jf. «det tradisjonelle» konjunkturmønsteret), utbyggingen av oljesektoren (investeringer, produksjon), dereguleringen av bolig-, kreditt- og valutamarkedene, finanspolitikken, samt bidragene fra de økonometriske feilleddene i modellens enkeltrelasjoner. 7 En sammenfatning av hovedresultatene er gjengitt i tabell 11.2. Siden beregningene var partielle, lar resultatene seg ikke uten videre summere.
Tabell 11.2 Bidrag til konjunkturutslagene i BNP for Fastlands-Norge
| Gjsn. abs. prosentavvik fra trend | 1973–1982 | 1983–1993 |
|---|---|---|
| Faktisk avvik | 0,8 | 3,3 |
| Partielle bidrag fra: | ||
| Eksportmarkedene | 0,2 | -0,5 |
| Oljevirksomheten | 0,2 | 0,9 |
| Dereguleringene | - | 1,2 |
| Finanspolitikken | -0,3 | 0,0 |
| Feilledd | -0,4 | 0,6 |
Kilde: Johansen (1996).
Tabellen viser for det første at de sykliske utslagene (målt ved absoluttverdien av prosent-avviket fra trend) i den siste delen av analyseperioden var vesentlig sterkere enn i første del, med gjennomsnittlig 3,3 mot 0,8 prosents avvik. Dernest at mens konjunkturimpulsene via eksportmarkedene bidro til å forsterke konjunkturutslagene i BNP for Fastlands-Norge i første delperiode, bidro de til å dempe utslagene i andre delperiode. Forskjellen er egentlig mer dramatisk enn det tabellen viser, idet utviklingen i eksportmarkedene bidro kraftig medsyklisk også i 1983; inkluderes 1983 i første delperiode vil en således finne at bidraget fra eksportmarkedssyklen alene nesten tilsvarte det sykliske utslaget i BNP, mens det motsykliske bidraget i andre delperiode blir tilsvarende sterkere.
Tabellen viser også at oljevirksomheten bidro til å forsterke konjunktursvingningene i norsk økonomi, i andre delperiode med gjennomsnittlig hele 0,9 prosentpoeng. Det største bidraget i denne delperioden kom imidlertid fra dereguleringene, med 1,2 prosentpoeng. Finanspolitikken, som bidro motsyklisk i første delperiode, ga i gjennomsnitt ingen sykliske bidrag i andre delperiode. Den detaljerte analysen viste imidlertid at dette gjennomsnittet dekker over at finanspolitikken i noen år virket motsyklisk, i andre medsyklisk.
Den siste beregningen viser at den delen av utviklingen i de ulike variablene som fanges opp av feilleddene i modellen, bidro til å dempe konjunkturutslagene i første delperiode, og til å forsterke utslagene i andre. Slik relasjonene i modellen er tallfestet skal disse feilleddene enkeltvis være «hvit støy», dvs. at de ikke skal vise noe «konjunkturforløp». Når de likevel ga beregnede bidrag til konjunkturutviklingen, må det skyldes samspilleffektene mellom dem når modellen simuleres i sin helhet. Dette tyder på at det kan være konjunkturmekanismer som ikke fanges opp av enkeltrelasjonene. Spesielt kan det være grunn til å mistenke at dereguleringene hadde mer omfattende virkninger på norsk økonomi enn det beregningene fanget opp.
Spørsmålet om et evt. nytt, stabilt konjunkturmønster for norsk økonomi forble bare delvis besvart, til det var utviklingen i den andre delperioden i for sterk grad dominert av dereguleringene som skjedde på 1980-tallet. Dereguleringene var opplagt en engangshendelse som ikke i seg selv kan være del av et varig mønster. Men de kan ha endret økonomiens virkemåte på en slik måte at et nytt mønster har oppstått. Beregninger på KVARTS-modellen viser f.eks. at dereguleringene har ført til økte multiplikatorer for norsk økonomi (Hove og Eika, 1994). Det betyr at finanspolitikken virker sterkere enn før, både når den brukes motsyklisk, men også når den fungerer medsyklisk. På den annen side har også rentefølsomheten i norsk økonomi økt, og det reiser spørsmålet om renteutviklingen gjennomgående vil virke til å dempe eller forsterke konjunktursvingningene. En skulle f.eks. vente at virkningene fra den internasjonale renteutviklingen skulle bidra til å dempe konjunkturimpulsene fra internasjonal økonomi via eksportmarkedene. I denne sammenheng er det også nødvendig å trekke inn virkninger på valutakursutviklingen. Endelig er det grunn til å peke på at oljevirksomheten gjennom hele perioden 1973–93 bidro til å forsterke konjunkturutslagene. Med økte multiplikatorer og lavere importandel i oljeinvesteringene enn det en hadde på 1970-tallet, er det grunn til å anta at oljeinvesteringene har kommet inn som en helt avgjørende konjunkturfaktor for norsk økonomi.
Som nevnt vil hovedvekten i denne artikkelen ligge på en analyse av konjunkturutviklingen 1989–99 basert på en videreutvikling av metoden benyttet i den sistnevnte analysen. Som en bakgrunn, skal vi imidlertid først gi en grov oversikt over konjunkturutviklingen på 1980- og 90-tallet, basert på noe som mer framstår som en forenkling av metoden i den førstnevnte analysen.
11.4 Trekk ved konjunkturforløpet de siste tyve årene
De ulike konjunkturfasene for BNP Fastlands-Norge de siste tyve årene ble gjennomgått i kapittel 2. Figur 11.3 viser at høykonjunkturen midt på 1980-tallet og den etterfølgende lavkonjunkturen var markerte, sett i forhold til høykonjunkturene ved inngangen til 1980-tallet og i siste halvdel av 1990-tallet. Det gjennomsnittlige absolutte konjunkturavviket (absoluttverdien av det prosentvise avviket mellom faktisk serie og trendserien) i perioden 1984–94, som synes å tilsvare en full sykel, var på 2,6 prosent. Til sammenligning viste tabell 11.2 et gjennomsnittlig avvik på bare 0,8 prosent for perioden 1973–82 (mot 3,3 prosent for perioden 1983–93, men dette var basert på gamle nasjonalregnskapsdata og en noe stivere trend). For 1989–99 er det gjennomsnittlige avviket 2,1 prosent. 8
Det synes rimelig å karakterisere konjunkturutviklingen fra midten av 1980-tallet til et stykke ut på 1990-tallet som «ekstrem» i norsk etterkrigshistorie. Er det deler av denne perioden som utpeker seg som særlig spesielle i konjunkturmessig sammenheng? Et bilde på det kan vi få ved å tegne fasediagrammet for hele perioden, slik vi gjorde for siste delen av perioden i figur 11.5. For å skille de ulike konjunkturbølgene fra hverandre, er observasjonene i to periodene 1979.2–87.4 og 1988.1–99.4 markert med ulike linjer og symboler i figur 11.6.
I tillegg til selve kurven viser figuren et rektangel som angir et intervall på 4 prosent langs den vannrette aksen og 1 prosent langs den loddrette aksen. Nesten alle observasjonene faller innenfor dette rektangelet. Vi ser at den perioden som først og fremst skiller seg ut er kvartalene 1988.2–4, og da ved at det negative vekstavviket var spesielt stort i tallverdi, dvs. at økonomien gjennom en kraftig konjunkturnedgang beveget seg meget raskt fra høykonjunkturfasen over til lavkonjunkturfasen. 9 Også nivåavviket under høykonjunkturen i 1986.1–3 skiller seg ut.

Figur 11.6 Fasediagram for BNP Fastlands-Norge 1979.2–1999.4
Det vil være for plasskrevende å gi en tilsvarende gjennomgang av alle andre makroøkonomiske variable som er av interesse i konjunktursammenheng. I stedet gir figur 11.7 en forenklet oversikt over konjunkturfasene for en rekke variable. Variablene er ordnet i rekkefølge etter graden av ledelse eller etterslep i tid på BNP for Fastlands-Norge (se nedenfor). Kvartaler der seriene ligger over trenden (høykonjunktur) er markert med mørke felt og kvartaler der seriene ligger under trenden (lavkonjunktur) med lyse felt. Konjunkturbunner og -topper er markert med hhv. B og T, mens b og t markerer tendenser til sykler som ikke er sterke nok til at serien skifter plassering i forhold til trenden.
Figuren klargjør (men forklarer ikke) hvorfor høykonjunkturen midt på 1980-tallet ble så markert: Høykonjunkturen omfattet alle BNP-komponentene som er vist i figuren, med unntak av serien for offentlig konsum (selv om også den viste tegn til lokal «høykonjunktur» i 1987) og eksport fra Fastlands-Norge. Det samme gjelder for den påfølgende lavkonjunkturen på begynnelsen av 1990-tallet, den omfattet alle seriene med unntak av offentlig konsum og investeringer, oljeinvesteringer og eksport fra olje og sjøfart. Tilsvarende for høykonjunkturen på slutten av 1990-tallet, den omfattet alle seriene med mulig unntak for samlet eksport og boliginvesteringer. Denne sterke graden av sammenfall i tid finner vi ikke på første del av 1980-tallet, noe som samsvarer med konklusjonene fra Wettergreen (1978), nemlig at konjunkturutslagene i norsk økonomi ofte ble dempet ved at de ulike BNP-komponentene var i ulike konjunkturfaser.

Figur 11.7 Oversikt over konjunkturfaser for utvalgte variable. Variablene er sortert etter antall kvartaler med etterslep på BNP Fastlands-Norge (minus betyr ledelse)
Mens Wettergreen (1978) beregnet graden av ledelse og etterslep ved å sammenligne antall måneder mellom bunn- og/eller toppunkter i hver serie med tilsvarende punkter i referanseserien, skal vi bruke en enklere metode, basert på korrelasjonen mellom konjunkturavvikene i hver serie og avviket for BNP for Fastlands-Norge, jf. tabell 11.3.
I første kolonne i tabellen er det vist samtidig korrelasjon mellom konjunkturavvikene for hver enkelt serie og avviket for BNP Fastlands-Norge. Av de viste variablene var samvariasjonen sterkest for arbeidsledigheten (invertert), privat konsum og investeringene i fastlandsbedriftene. Også for de øvrige arbeidsmarkedsvariablene og for de boligrelaterte variablene, har det vært høy, positiv samvariasjon.
Tabell 11.3 Sykliske egenskaper ved utvalgte konjunkturindikatorer
| Korrelasjon/etterslep med BNP Fastl.-Norge | Sykellengde | |||
|---|---|---|---|---|
| Samt. korr. | Max korr. | Etterslep (kv) | (år) | |
| Oljepris i USD | -0,11 | 0,60 | -23 | 16 |
| Offentlig konsum | -0,15 | 0,60 | -18 | 11 |
| Oljeinvesteringer | 0,11 | 0,67 | -9 | 7 |
| Eksport fra olje og sjøfart | -0,16 | 0,39 | -8 | 9 |
| Pengemarkedsrente i utlandet | -0,51 | -0,59 | -4 | 10 |
| Hush. disp. realinntekt | 0,55 | 0,67 | -4 | 10 |
| Reallønn (BNP-deflatert) | 0,54 | 0,56 | -2 | 7 |
| Eksportmarkedsindikator | 0,51 | 0,52 | -1 | 6 |
| BNP Fastlands-Norge | 1,00 | 1,00 | 0 | 10 |
| Bto. produkt industrien | 0,93 | 0,93 | 0 | 10 |
| Lagerendring/BNP | 0,58 | 0,58 | 0 | 6 |
| Investeringer fastl.bedrifter | 0,94 | 0,94 | 0 | 10 |
| Privat konsum | 0,94 | 0,94 | 0 | 9 |
| Import i alt | 0,56 | 0,56 | 1 | 9 |
| - Arbeidsledighetsraten | 0,95 | 0,97 | 1 | 10 |
| Realrenter i utlandet | -0,32 | -0,33 | 1 | 9 |
| Reallønn (KPI-deflatert) | 0,66 | 0,73 | 2 | 8 |
| Timeverk | 0,85 | 0,94 | 3 | 10 |
| Boliginvesteringer | 0,70 | 0,77 | 3 | 11 |
| Sysselsetting | 0,86 | 0,97 | 3 | 10 |
| Real-boligpris | 0,79 | 0,93 | 4 | 12 |
| Arbeidsstyrken | 0,76 | 0,97 | 4 | 10 |
| Realrenter i Norge | -0,18 | -0,21 | 4 | 4 |
| Offentlige investeringer | 0,12 | 0,37 | 6 | 9 |
| Konsumpriser i utlandet | -0,17 | -0,32 | 6 | 12 |
| Pengemarkedsrente i Norge | 0,04 | 0,53 | 9 | 10 |
| Timelønn | 0,11 | 0,74 | 10 | 15 |
| Eksport fra Fastlands-Norge | 0,00 | 0,28 | 11 | 4 |
| Prisdeflator BNP Fastl.-Norge | -0,11 | 0,76 | 11 | 15 |
| Trad. Eksportvarepriser | 0,02 | 0,68 | 12 | 8 |
| Importpriser | 0,17 | 0,37 | 12 | >24 |
| Konsumpriser | -0,36 | 0,65 | 13 | 11 |
For de fleste variablene kan en imidlertid oppnå høyere samvariasjon ved å forskyve seriene i tid. Det innebærer at konjunktursykelen i disse seriene har vist tendens til enten å lede eller slepe etter sykelen i BNP for Fastlands-Norge. Den maksimale samvariasjonen er vist i andre kolonne, og antall kvartaler etterslep som gir denne maksimale samvariasjonen er vist i tredje kolonne. Negativt etterslep betyr at serien gjennomgående har ledet på BNP Fastlands-Norge. Både i tabell 11.3 og figur 11.7 er variablene ordnet i rekkefølge slik at de viser økende etterslep nedover i tabellen.
Det framgår at konjunkturfasene for privat konsum, investeringer i fastlandsbedrifter og (med lav koeffisient) lagerinvesteringene gjennomgående har falt sammen med fasene for BNP Fastlands-Norge, mens arbeidsledigheten og importen gjennomgående har slept etter med ett kvartal. Deretter følger reallønn (KPI-deflatert) med to kvartalers etterslep, utførte timeverk, sysselsetting og boliginvesteringer med tre kvartaler, og arbeidsstyrken og realboligprisen med fire kvartaler. I den motsatte enden leder eksportmarkedsindikatoren med ett kvartal, reallønna (BNP Fastlands-Norge-deflatert) med to kvartaler, husholdningenes disponible realinntekt med fire kvartaler og oljeinvesteringene med ni kvartaler.
Ved hjelp av korrelasjonsberegninger kan en også anslå den gjennomsnittlige lengden på en hel sykel. 10 Av fjerde kolonne i tabell 11.3 framgår det at sykelen for flertallet av variablene i perioden 1979–99 har hatt en lengde på rundt (i underkant av) 10 år. Unntaket er først og fremst eksport fra Fastlands-Norge, lagerinvesteringer og eksportmarkedsindikatoren, der sykelen har hatt en varighet på 4–6 år, noe som grovt sett er i samsvar med det som i kapittel 3 ble kalt det «tradisjonelle konjunkturmønsteret» for norsk økonomi.
En må være varsom med å trekke slutninger om et bestemt mønster basert på slike korrelasjonsberegninger. Tallrike studier viser at resultatene er svært følsomme for metoden som nyttes ved trendberegningen. 11 I vårt tilfelle er de også følsomme for valg av periode. Med dette forbeholdet kan det synes som om den større grad av sammenfall i tid som vi poengterte som en side ved de sterke konjunkturbevegelsene fra midten av 1980-tallet i forbindelse med drøftingen av figur 11.6, først og fremst reflekterer at syklene har blitt lengre, framfor at hver enkelte serie har blitt mer synkroniserte med BNP Fastlands-Norge. Det synes altså som om konjunkturbevegelsene har blitt mer persistente , dvs. at de ikke dempes så raskt som tidligere. Dette kan ha sammenheng med den dereguleringen som har funnet sted i perioden; det virker rimelig at en økonomi der markedsmekanismen (endringer i relative priser) regulerer den økonomiske aktiviteten, kan vise større persistens enn en økonomi der offentlige reguleringsmekanismer i større grad setter skranker for aktiviteten. 12 Denne konklusjonen synes også understøttet av beregninger på KVARTS-modellen, som viser at norsk økonomi etter dereguleringene reagerer både sterkere og mer langvarig på økonomiske sjokk, jf. Hove og Eika (1994).
11.5 En dekomponering av konjunktur- impulsene på 1990-tallet
a Opplegget for analysen
I dette kapitlet skal vi ved hjelp av en makroøkonomisk modell (KVARTS), beregne virkningen på konjunkturavvikene for BNP for Fastlands-Norge av at utvalgte variable av betydning for norsk økonomi fulgte sin faktiske utvikling i stedet for en trendmessig utvikling. Spørsmålet er rett og slett hvilke bidrag disse impulsene ga til konjunkturforløpet. Det er altså ikke noe krav at de trendmessige banene rent faktisk skulle ha vært mulige å realisere. En nærmere beskrivelse av KVARTS-modellen er gitt i boks 11.1.
Modellberegningene er gjennomført for perioden 1989–99. Valget av 1989 som startår har bakgrunn i at mange økonomiske variable (herunder BNP for Fastlands-Norge) synes å ha ligget nær sin trendverdi ved inngangen til dette året, dermed reduseres problemet med at de kontrafaktiske banene for de ulike variablene starter fra et annet nivå enn de faktiske. For å få bedre anslag er trendene til de ulike variablene gjennomgående beregnet for perioden 1973–2010, i det de faktiske tidsseriene er forlenget med prognoser for de etterfølgende årene. Siden prognosene påvirker plasseringen av trenden mot slutten av analyseperioden, påvirker de også de beregnede konjunkturimpulsene og dermed de beregnede virkningene på konjunkturavvikene. Resultatene i denne analysen må dermed nødvendigvis være foreløpige. Når det foreligger regnskapstall for årene etter 2000 kan en få andre konklusjoner, spesielt for slutten av perioden (jf. også diskusjonen i begynnelsen av kapittel 4).
I analysen ser vi på bidrag fra en rekke impulser, både fra utlandet og internt. Virkningene er først beregnet partielt, dvs. for relaterte grupper av impulser hver for seg. Deretter er de samlede virkningene av alle impulsene beregnet, slik at en residualt kan anslå bidrag fra ikke-spesifiserte konjunkturimpulser, herunder dynamiske effekter av impulser som oppsto før simuleringsperioden. Dermed kan en dekomponere de faktiske konjunkturavvikene i partielle bidrag fra en rekke ulike, spesifiserte impulser samt en uforklart restpost. For at en slik dekomponering skal gi mening, må ingen av de partielle beregningene overlappe hverandre. Det innebærer at en impuls bare kan behandles i én av de partielle beregningene, selv om den kan tenkes å ha spilt sammen med impulser plassert i en annen beregning. For eksempel kunne impulsene fra oljeprisen, som er gruppert sammen med impulsene fra oljeinvesteringer, også vært sett i sammenheng med prisimpulsene fra utlandet.
Boks 1.29 KVARTS-modellen
Den makroøkonomiske modellen som nyttes i beregningene, KVARTS, brukes av SSB i det løpende arbeidet med konjunkturanalyse og -prognoser. Modellen nyttes også av Det tekniske beregningsutvalget for inntektsoppgjørene. Den hører hjemme innenfor den såkalte ny-keynesianske modelltradisjon. De økonomiske mekanismene skiller seg ikke vesentlig fra hva en finner i andre norske og utenlandske makroøkonometriske modeller, men modellen er i internasjonal sammenheng svært disaggregert (36 ulike varer produseres i 28 innenlandske produksjonssektorer).
Norske bedrifter antas å ha en viss markedsmakt, dvs. at de står overfor en etterspørsel som både avhenger av egne og konkurrentenes priser. Dette leder til at prisene på eksport- og hjemmemarkedet i hovedsak bestemmes av egne variable kostnader, utenlandske priser og graden av kapasitetsutnyttelse. Produksjonen for eksport- og hjemmemarkedet (med unntak for ressursbaserte næringer, hvor produksjonen fastlegges utenfor modellen) bestemmes deretter av forholdet mellom norske og utenlandske priser og indikatorer for hhv. samlet utenlandsk og innenlandsk etterspørsel. Også importen av de ulike produkter blir bestemt som del av denne prosessen. Bedriftenes etterspørsel etter variable innsatsfaktorer bestemmes som en funksjon av produksjonen i sektoren, relative priser på de variable innsatsfaktorene og beholdningen av realkapital.
Den innenlandske etterspørsel kan deles i husholdningenes konsum og boliginvesteringer, investeringer i næringslivet, eksport og offentlig etterspørsel. Offentlig etterspørsel og investe-
ringer i en del energirelatert virksomhet blir ikke forklart av modellen (gis eksogent), mens de fleste øvrige etterspørselskomponenter fastsettes i empirisk tallfestede atferdsrelasjoner. I bestemmelsen av husholdningenes konsum inngår i første rekke realinntekt, realformue og realrente etter skatt. Boliginvesteringene er en funksjon av omtrent de samme variablene, samt prisen på bruktboliger og nybygg. Produksjonssektorenes realinvesteringer i fire ulike kapitalarter bestemmes i første rekke av sektorens produksjon, men i noen grad også av lønnsomhet.
I modellen er industrisektoren lønnsledende og nominell lønn bestemmes blant annet av arbeidsledigheten, produktiviteten og produsentprisene i industrien, konsumpriser og en del skatteparametre. Sammenhengen mellom lønn og ledighet er slik at en gitt endring i ledigheten får større konsekvenser for lønnsnivået jo lavere ledigheten i utgangspunktet er. Ledigheten er differansen mellom tilbud og etterspørsel etter arbeidskraft, der tilbudet i første rekke bestemmes av et knippe demografiske variabler og av nivået på arbeidsledigheten, mens reallønn etter skatt bare spiller en beskjeden rolle. Pengemarkedsrenten bestemmes i modellen som en funksjon av pengemarkedsrenten i euro-området og forskjellen i inflasjon mellom Norge og euro-området. På kort sikt påvirkes rentenivået av driftsbalansen med utlandet. Modellen inneholder ikke mekanismer som sikrer full ressursutnytting eller balanse i utenriksøkonomien eller offentlige budsjetter.
En fyldigere presentasjon av modellen er gitt i Hove og Eika (1994).
b Nærmere om avgrensningen av de enkelte beregningene
Hva som skal regnes som eksogene konjunkturimpulser vil helt avhenge av den forklaringsmodellen en legger til grunn. Impulsene kan i utgangspunktet tenkes å oppstå både i utlandet og internt i norsk økonomi. Fordi norsk økonomi påvirkes av forhold i utlandet gjennom en rekke kanaler, kan det være vanskelig å skille mellom interne og eksterne impulser.
Som påpekt foran, har pris- og kvantumsimpulser fra fastlandsbedriftenes internasjonale markeder «tradisjonelt» vært den viktigste kilden til norske konjunkturbevegelser; disse impulsene er derfor behandlet i en egen beregning. I takt med økt internasjonal kapitalmobilitet, og deregulering av rente- og valutamarkedene, har imidlertid utviklingen i finansmarkedene fått økt betydning, gjennom virkningene på norske renter og valutakurser. Endelig har framveksten av oljesektoren gjort norsk økonomi mer følsom for endringer i oljeprisen, gjennom effekter både på driftsbalansen ovenfor utlandet og investeringsaktiviteten i oljesektoren selv. Gjennom virkningene på statens oljeinntekter vil oljeprisene også kunne virke inn på finanspolitikken.
De to siste sammenhengene er imidlertid ikke klart identifisert, og heller ikke forsøkt modellert i den makroøkonomiske modellen som er brukt i denne analysen. Virkningene av konjunkturimpulser fra oljeinvesteringene og finanspolitikken blir derfor behandlet som separate impulser. På grunn av mangler ved modellen som er brukt, er det også behov for å beregne impulser fra bedriftenes lagertilpasninger, fra produksjon og investeringer som er eksogene i modellen, samt fra modellens uforklarte residualer (feilledd).
I alt er det i tillegg til en samlet beregning gjennomført 11 partielle beregninger, som igjen er samlet i seks hovedgrupper, nemlig bidrag fra:
Internasjonale produktmarkeder
Internasjonal markedsutvikling (volum-vekst)
Internasjonale markedspriser
Renter og valutakurser
Internasjonale renter (gitt faktisk valutakurs)
Valutakurs og uforklart rentedifferanse
Oljepriser og -investeringer
Oljepriser (i USD)
Oljeinvesteringer
Finanspolitikk
Kjøp av varer og tjenester, sysselsetting
Skatter, avgifter og overføringer
Lagerinvesteringer mv.
Lagerinvesteringer
Diverse produksjon og investeringer
Feilledd (utenom renterelasjonen)
Nedenfor redegjøres det kort for hvilke variable som er endret i de enkelte beregningene. I figur 11.8a-l er den faktiske og trendmessige utviklingen vist for et utvalg av disse variablene (eller for sammenveide aggregater av variable eller andre forsøk på å måle variable som er endret).

Figur 11.8 Konjunkturimpulser fra utvalgte variable (eller indikatorer for variable)
Impulser fra internasjonale produktmarkeder
KVARTS-modellen inneholder eksportrelasjoner for de fleste vare- og tjenestegruppene av betydning, der både markedsindikatorer og utenlandske priser inngår. Beregningen viser virkningen av at disse variablene ikke har fulgt sine trendmessige baner. For eksporten av oppdrettsfisk, som ikke er modellert, viser beregningen virkningene av at eksportvolumet ikke har fulgt en trendmessig utvikling.
Impulsene fra internasjonale produktmarkeder når Norge både gjennom svingninger i etterspørselen i markedene for norsk eksport (i modellen målt med en markedsindikator for hver eksportvare, basert på importutviklingen i om lag 20 av våre viktigste eksportland), og via svingningene i prisene i disse markedene, som påvirker norske bedrifters konkurranseevne og markedsandeler. Prisene påvirker også de norske importprisene, og dermed utviklingen i de norske bedriftenes konkurranseevne og markedsandeler på hjemmemarkedet.
Den aggregerte indikatoren for internasjonal markedsutvikling lå betydelig over trenden ved inngangen til perioden, jf. figur 11.8a, men falt deretter markert under trenden fram til 1993. Dette reflekterer både lavkonjunkturen i USA på begynnelsen av 1990-tallet og nedgangen i Europa som fulgte etter tysk samling i 1990 og påfølgende høye realrenter. Deretter tok veksten seg opp, først og fremst i USA, og markedsindikatoren la seg svakt under trendnivået i 1994–96. Gjennom 1997 og 1998 ga indikatoren klare positive impulser, nå fordi markedet også tok seg opp i EU-landene. Prisene på disse markedene viste noe av det samme konjunkturforløpet, jf. figur 11.8b, med den forskjell at avvikene fra trenden i første halvdel av perioden var mindre markerte, og avvikene i siste halvdel mer markerte.
Impulser fra rente- og valutamarkedene
I analyseperioden har Norge hatt enten fast valutakurs (definert som en annonsert sentralkurs med svingemarginer) eller en stabil valutakurs (definert som en målsone som valutakursen over tid skal bringes tilbake til) som mål for pengepolitikken. Det innebærer at konjunkturimpulser kan komme både via rente- og valutamarkedene. Siden impulsene fra internasjonale priser er behandlet i beregningen ovenfor, er det endringene i realrentene som her er relevante. Ifølge modellen vil endring i realrenta i utlandet på lang sikt slå ut i en tilsvarende endring i realrenta i Norge. På kort sikt vil virkningen imidlertid i noen grad avhenge av om det er nominelle renter eller inflasjonen i utlandet (eller innenlands) som endres.
Som nevnt foran, ble begynnelsen av 1990-tallet preget av forholdsvis høye realrenter i ecu-området, som følge av kombinasjonen av ekspansiv finanspolitikk og kontraktiv pengepolitikk i Tyskland etter tysk samling, jf. figur 11.8c. Deretter falt realrentene markert, og lå mot slutten av perioden lavere enn det vi i prognose-forlengelsen av serien har antatt er trendnivået (2 prosent).
I samme periode har det vært en tendens til svekkelse av den importveide kronekursen (økt pris på utenlandsk valuta, målt i kroner), jf. figur 11.8d, med unntak for en forbigående styrking i 1995–97. En økt valutakurs (depresiering av krona) bidrar til å styrke norske bedrifters konkurranseevne, og reduserer importen og øker eksporten og samlet produksjon. Konsumet øker på kort sikt, men reduseres fom. tredje år idet depresieringen i større grad veltes over i innenlandske priser. Effekten på BNP Fastlands-Norge er sterkest det andre året, men de ekspansive virkningene holder seg i opp mot 10 år.
I tillegg til endringer i realrenter i de landene vi har ønsket stabil valutakurs mot (for mesteparten av perioden betyr det ecu-/eurorenter) og endringer i valutakursen, kan endringer i norske pengemarkedsrenter skyldes skiftende tiltro til den norske valutakursen. Selv om modellen i hovedsak reproduserer utviklingen i norske pengemarkedsrenter på en god måte, klarer den ikke å fange opp de mest markerte, kortsiktige utslagene, slik vi f.eks. så høsten 1992; disse utslagene har derfor i noen grad slått ut i modellrelasjonens feilledd. For å få med de fulle virkningene av disse hendelsene har vi derfor latt feilleddene følge sin «trendmessige» bane (dvs. at feilleddene er satt lik null gjennom hele perioden), på linje med valutakursen og de internasjonale realrentene. Feilleddet i renterelasjonen har som seg hør og bør stadig skiftet fortegn, men likevel slik at samspillseffekter gir forholdsvis langvarige avvik mellom faktisk og modellberegnet rente i en dynamisk simulering av relasjonen, jf. figur 11.8e. Det er disse avvikene som er impulsene fra renterelasjonen.
Impulser fra oljepriser og -investeringer
I modellen er det ingen sammenheng mellom oljeprisen og aktiviteten i oljesektoren. Oljeprisen påvirker norsk økonomi utelukkende gjennom virkningene på innenlandske priser og norske renter (via virkningene på inflasjon og driftsbalansen). En økt oljepris virker isolert sett (dvs. forutsatt at øvrige priser i utlandet er uendret 13 ) kontraktivt på norsk økonomi, med unntak av de to første årene, da effekten er svakt ekspansiv. Den kontraktive effekten skyldes at virkningene av økte kostnader og inflasjon (som isolert sett bidrar til svekket konkurranseevne for norske bedrifter og høyere norske renter) er sterkere enn virkningene av en bedret driftsbalanse for Norge (som isolert sett bidrar til lavere norske renter)
Den beregnede trenden for oljeprisen har ligget forholdsvis stabil på i underkant av 20 dollar per fat gjennom det meste av perioden, jf. figur 11.8f. Den faktiske prisen har imidlertid svingt en del. I 1989 lå prisen lavere enn trenden, i 1990–91 vesentlig høyere (Golf-krigen). I 1992–96 var avvikene fra trend mindre markerte, men i 1998 og begynnelsen av 1999 lå prisen betydelig under trenden.
Når det gjelder aktiviteten i sektoren har vi valgt å beregne virkningene av at oljeinvesteringene ikke har fulgt en trendmessig utvikling i perioden. Grunnen til å fokusere på oljeinvesteringene i stedet for direkte på f.eks. oljeproduksjonen, er at det er investeringene som gir de sterkeste impulsene til aktiviteten i Fastlands-Norge. I den versjonen av modellen som er brukt i analysen vil dessuten en trendmessig utvikling i investeringene gi en trendmessig utvikling i realkapitalen og dermed produksjonen i sektoren.
Også oljeinvesteringene har svingt en del gjennom den perioden vi analyserer, jf. figur 11.8g. Fra å ligge under trenden ved inngangen perioden, lå de over trenden i 1992–94, igjen på undersiden i 1995–96, og til slutt markert på oversiden i 1997–99. Forlengingen av seriene med prognoser blir spesielt viktig for oljeinvesteringene, siden det er ventet at utbyggingstempoet vil bli klart lavere framover enn på 1990-tallet. Den beregnede trenden viser således fall gjennom siste del av 1990-tallet, etter å ha vist vekst fram til 1995. Med et slikt forløp vil valg av hvor stor vekt som legges på en jevn trend gi store utslag i den beregnede konjunkturimpulsen.
Impulser fra finanspolitikken
Finanspolitikk brukes her i betydningen offentlig sektors inntekter og utgifter. Begrepet er altså ikke begrenset til de inntektene og utgiftene som føres over statsbudsjettet, og som for eksempel er utgangspunktet for Finansdepartementets finanspolitiske indikator (det olje-, rente- og aktivitetskorrigerte budsjettoverskuddet). Både på inntekts- og utgiftssiden er rammene for kommunenes virksomhet i hovedsak bestemt av sentrale myndigheter, i siste instans Stortinget, gjennom lover og andre pålegg. Ved vår definisjon av finanspolitikk får vi f.eks. med investeringskostnadene knyttet til oppstartingen av 6-årsreformen, en reform som Stortinget påla kommunene, med underliggende forutsetning om at utbyggingen skulle lånefinansieres. I vår beregning blir investeringskostnadene regnet som del av finanspolitikken i disse årene. I Finansdepartementets finanspolitiske indikator slår de først ut etter hvert som kommunene blir kompensert for kostnadene ved å betjene lånene, gjennom økte overføringer.
I begrepet finanspolitikk har vi også inkludert utgifter som følger av vedtak i Stortinget til virksomheter som er eid av staten, men ikke inngår som del av statsforvaltningen. I perioden vi betrakter gjelder det først og fremst deler av investeringene tilknyttet Gardermoen og Gardermobanen, som formelt sett er organisert som aksjeselskap. Ved beregningen av en trendmessig bane for offentlige inntekter og utgifter har vi dessuten korrigert for visse definisjonsmessige endringer i regnskapsføringen, som skyldes at en rekke tidligere statlige institusjoner som er tatt ut av statsforvaltningen i løpet av perioden (gjelder Jernbaneverket, Luftfartsverket, Statens kartverk, GIEK, Forsvarets bygningstjeneste og Statens veivesen).
Det å beregne konjunkturimpulsene fra finanspolitikken som avviket mellom faktisk og trendmessig utvikling er uproblematisk når det gjelder utgifter til offentlig kjøp av varer og tjenester til konsum- og investeringsformål og offentlig sysselsetting, jf. figur 11.8h. Dette er poster som myndighetene vedtar på nivåform. Noe annet er det med skatter, avgifter og ulike overføringer der vedtakene gjøres i form av satser. For disse variablene er det avvikene fra en trendmessig utvikling i satsene som er lagt til grunn. For eksempel innebærer det at impulsene fra skattereformen av 1992 er beregnet i forhold til en bane der skattesatsene gradvis er endret, jf. figur 11.8i. Tilsvarende for endringer i momsen (jf. figur 11.8j) og andre avgifter.
Impulser fra lagerinvesteringer mv.
Som det framgår av figur 11.8k, har det vært store svingninger i lagerinvesteringene gjennom 1990-tallet. Slik KVARTS-modellen foreligger i dag, inneholder den ikke relasjoner for bedriftenes lagerhold. Konjunkturbidragene fra lagerinvesteringer er derfor beregnet direkte, ved å sammenholde den faktiske utviklingen med en bane med trendmessig utvikling i lagerinvesteringene. Det er vanlig å anta at endringene i lager er en viktig komponent i konjunkturforløpet, men de siste årene har det vært vanskelig å komme frem til pålitelige relasjoner for lager. En overgang til «just in time» prinsippet kan være en forklaring på dette, det at bedriftene over tid har redusert lagerholdet i forhold til produksjonen kan ha bidratt til at det for overgangsperioden ikke er mulig å tallfeste noe stabilt forhold mellom lager og produksjon. Men en kan ikke se bort fra at dette først og fremst er et dataproblem: Lagerinvesteringer i det norske nasjonalregnskapet inkluderer også statistiske feil mv. som følge av inkonsistent informasjon om nivået på tilgang og anvendelse av de enkelte produkter. En må derfor være varsom med å tolke for mye økonomisk adferd inn i dette skiftet.
I KVARTS-modellen er dessuten produksjonen eller investeringene i enkelte fastlands-næringer eksogene. Det kan skyldes at produksjonen på kort sikt er bestemt av andre forhold enn rent økonomiske variable (f.eks. svingninger i temperatur og klima, slik som i jordbruk og kraftforsyning), eller at det i enkelte sektorer (blant annet energirelaterte næringer og innenlandsk samferdsel) ikke har vært mulig å tallfeste noen stabile sammenhenger som forklarer investeringene. Bidragene fra disse sektorene til konjunkturavvikene for BNP for Fastlands-Norge er beregnet for seg, basert på avviket mellom faktisk serie og trend, jf. figur 11.8l, men viste seg å ha svært små konjunktureffekter. De er derfor i det følgende slått sammen med bidragene fra lagerinvesteringene.
Feilledd – impulser som per definisjon ikke kan forklares
I tillegg til bidrag fra identifiserbare sjokk til norsk økonomi gjennom variablene gjennomgått foran, har vi også beregnet virkningene av å sette feilleddene i modellen (dvs. de feilleddene som må brukes for at hver økonometrisk modellrelasjon skal treffe sine faktiske verdier) lik null. Dette er «konjunkturimpulser» som modellen per definisjon ikke er i stand til å forklare.
c Hovedtrekk ved beregningsresultatene
Før vi går over til å kommentere hver av beregningene i detalj, skal vi først peke på noen hovedtrekk ved resultatene. I tabell 11.4 har vi i første linje tatt gjennomsnitt av absolutt-avvikene for den faktiske BNP-serien for perioden 1989–99 under ett, samt for de to periodene med hhv. lav- og høykonjunktur. Vi ser at konjunkturutslaget under lavkonjunkturen 1989–95 (2,3 prosent) gjennomgående var noe sterkere enn under høykonjunkturen 1996–99 (1,8 prosent).
De øvrige linjene i tabellen viser om de ulike impulsene bidro til å øke eller redusere absolutt-avviket, dvs. til å forsterke det sykliske utslaget i BNP for Fastlands-Norge, eller ikke. Linja for uforklarte bidrag er beregnet som den delen av faktisk avvik som ikke blir forklart av de beregnede bidragene i alt. Som vi vil redegjøre for senere, antar vi at de uforklarte bidragene først og fremst må tilskrives konjunkturimpulser som oppsto før beregningsperioden; f.eks. dereguleringene tidligere på 1980-tallet. De uforklarte bidragene har da også avtatt over tid.
Når det gjelder enkeltbidragene, ser vi at impulsene fra internasjonale produktmarkeder bidro motsyklisk både under lavkonjunkturen og høykonjunkturen, mens renter og valutakurser og oljepriser og -investeringer bidro medsyklisk i begge periodene. Finanspolitikken bidro motsyklisk alt i alt, men medsyklisk under høykonjunkturen.
Tabell 11.4 Gjennomsnittlig absolutt konjunkturavvik for BNP for Fastlands-Norge
| I prosent av trend | Lav-konjunktur1989–95 | Høy-konjunktur1996–99 | Hele perioden1989–99 |
|---|---|---|---|
| Gjennomsnittlig faktisk absolutt konjunkturavvik | 2,3 | 1,8 | 2,1 |
| Bidrag til avviket: | |||
| Uforklarte bidrag (fra impulser før 1989) | 1,4 | 0,7 | 1,1 |
| Beregnede bidrag i alt (fra impulser 1989–99) | 0,9 | 1,1 | 1,0 |
| Internasjonale produktmarkeder | -0,3 | -0,2 | -0,2 |
| Renter og valutakurser | 0,1 | 0,4 | 0,2 |
| Oljepriser og –investeringer | 0,3 | 0,4 | 0,3 |
| Finanspolitikk | -0,6 | 0,6 | -0,2 |
| Lagerinvesteringer mv. | 0,7 | 0,7 | 0,7 |
| Feilledd | 0,6 | 0,2 | 0,5 |
Tabellen viser at de største bidragene beregningsmessig har kommet fra lagerinvesteringer mv. og feilleddene. Men utenom disse bidragene kommer de største (medsykliske) konjunkturbidragene for analyseperioden under ett, fra oljepriser og –investeringer. Dersom lagerinvesteringer hadde vært modellert, så ville bidragene herfra blitt fordelt på de øvrige impulsene. Det ville antakelig ha redusert de motsykliske bidragene fra internasjonale produktmarkeder, og forsterket det medsykliske bidragene fra oljepriser- og investeringer ytterligere.
Fordi modellen er ikke-lineær (og fordi metoden med å beregne absoluttverdier er ikke-lineær) så er ikke bidraget fra alle impulsene på en gang lik summen av bidragene fra enkeltimpulsene. F.eks. er summen av enkeltbidragene for høykonjunkturperioden 1996–99 på 2,1 prosent, mens totalbidraget er på bare 1,1 prosent. En del av forklaringen er at når mange positive bidrag til BNP for Fastlands-Norge legges oppå hverandre, så bidrar det til å redusere arbeidsledigheten så mye at reallønningene tiltar sterkt, konkurranseevnen svekkes, noe som isolert sett trekker produksjonen ned. Dette er nettopp et uttrykk for kostnadene ved store konjunkturavvik som vi omtalte innledningsvis.
På samme måte som tabell 11.4 belyser bidragene til absoluttverdien av konjunkturavvikene under høy- og lavkonjunkturen, har vi i tabell 11.5 beregnet bidragene til absoluttverdien til veksten i konjunkturavvikene under konjunkturoppgangen og –nedgangene. Veksten i konjunkturavviket er det samme som avviket fra trendvekst. (Mens tabell 11.4 var basert på gjennomsnitt av kvartalstall, er tabell 11.5 basert på gjennomsnitt av årlige tall.)
Grunnen til at vi i tabell 11.5 viser absolutt-verdiene av avvikene fra trendveksten, er at i flere av de kontrafaktiske beregningene er vekstbidragene i enkelte år så sterke, at vi med en kontrafaktisk utvikling ville fått en annen inndeling i perioder med konjunkturoppganger og –nedganger. Når vi bruker den inndelingen av årene som er vist i hodet på tabellen, så vil dermed gjennomsnittet for den kontrafaktiske avviket fra trendvekst inkludere både år med oppgang og nedgang, dvs. at det gjennomsnittlige avviket vil bli mindre enn om vi hadde regnet oppgangsår og nedgangsår hver for seg. Vi hadde undervurdert det positive vekstavviket i konjunkturoppganger, og undervurdert det negative vekstavviket i nedganger. Dermed hadde vi overvurdert bidragene fra de ulike impulsene til avviket fra trend. Ved i stedet å se på absoluttverdien av vekst-avvikene, unngår vi dette problemet.
Den første linja viser at veksten i alle de tre konjunkturfasene gjennomgående har ligget drøye 1 prosentpoeng unna trendveksten (og trendveksten i denne perioden har – som vi redegjorde for i kapittel 2 – steget fra i underkant av 2 prosent per år til i underkant av 2,5 prosent). Siden de årene som er gruppert sammen i hver av fasene enten alle ligger under trendveksten, eller alle over trendveksten, så betyr det at i konjunkturnedgangen 1989–92 og 1998–99 lå veksten drøye 1 prosent under trendveksten, mens i oppgangen 1993–97 lå veksten drøye 1 prosent over trendveksten.
Det uforklarte bidraget til avvik fra trendvekst har vært stort, men avtakende over tid. Motsatt har det samlete beregnede bidraget til avvik fra trendvekst økt over tid. Av enkeltskiftene er det – foruten bidragene fra lagerinvesteringene – renter/valutakurser og oljepriser/investeringer som (partielt sett) har bidratt til å øke avviket fra trendvekst. I særdeleshet bidro endringen i renter og valutakurser til å forsterke vekstutslagene i 1998–99. 14 Motsatt er det særlig finanspolitikken som har bidratt til å redusere avviket fra trendvekst, og da først og fremst pga. den kraftige omleggingen av politikken i ekspansiv retning mot slutten av konjunkturnedgangen i 1991–92.
Tabell 11.5 Gjennomsnittlig absolutt endring i konjunkturavvik*
| Prosent årlig vekst-avvik fra trendvekst | Konjunktur- nedgang 1989–92 | Konjunktur- oppgang 1993–97 | Konjunktur- nedgang 1998–99 |
|---|---|---|---|
| Gj.snittlig absolutt endring i faktisk konjunkturavvik | 1,25 | 1,20 | 1,04 |
| Bidrag til endringen: | |||
| Uforklarte bidrag (fra impulser før 1989) | 1,53 | 0,65 | 0,41 |
| Beregnede bidrag i alt (fra impulser 1989–99) | -0,28 | 0,55 | 0,63 |
| Internasjonale produktmarkeder | -0,07 | -0,07 | 0,01 |
| Renter og valutakurser | -0,09 | 0,22 | 0,73 |
| Oljepriser og –investeringer | 0,01 | 0,03 | 0,34 |
| Finanspolitikk | -0,32 | -0,05 | 0,03 |
| Lagerinvesteringer mv. | -0,16 | 0,36 | 0,25 |
| Feilledd | 0,14 | 0,19 | -0,49 |
* Dvs. absoluttverdien av avviket fra trendvekst.
Elleve år er et for spinkelt grunnlag for å påstå et mønster. Men at bidragene fra internasjonale produktmarkeder fungerte motsyklisk, at oljeinvesteringene fungerte medsyklisk, og at finanspolitikken gjennomgående fungerte motsyklisk, men medsyklisk i en kortere periode i opphetingsfasen, var også konklusjoner fra det forrige konjunkturhistorie-prosjektet, når det gjaldt 1980-tallet. Mens det forrige prosjektet klarla at dereguleringen av finans- og boligmarkedene på 1980-tallet ga de sterkeste konjunkturbidragene, sitter vi i denne analysen igjen med en stor, men avtakende, uforklart restpost med negative konjunkturbidrag, som må skyldes impulser som oppsto før beregningsperioden, og som det er naturlig å se i sammenheng med ettervirkningene av dereguleringene. Slik sett kan en si at denne analysen bekrefter de viktigste konklusjonene fra den første, og at vi nå muligens kan belegge dette mønsteret med erfaringer fra en periode på snart tyve år.
d Detaljerte resultater
Detaljerte resultater av beregningene er gjengitt i figur 11.9 og tabell 11.6. Figur 11.9a-f viser faktisk konjunkturavvik for BNP Fastlands-Norge (jf. figur 11.3) sammen med kontrafaktisk avvik fra de ulike beregningene, dvs. hvordan konjunkturavviket hadde vært dersom de ulike impulsvariablene hadde fulgt sine trendmessige baner. Differansen mellom dem – bidragene fra de ulike konjunkturimpulsene til BNP Fastlands-Norge – er vist som stolper.
Tabell 11.6 viser i første linje gjennomsnittlig faktisk konjunkturavvik for BNP Fastlands-Norge for hvert av årene i analyseperioden og for hele analyseperioden under ett. Resten av tabellen viser hvordan impulser fra de ulike variablene har bidratt til disse konjunkturavvikene. Vi ser at for perioden under ett var det gjennomsnittlige konjunkturavviket på -0,85, noe som reflekterer at den kraftige lavkonjunkturen i begynnelsen av perioden dominerer over den etterfølgende høykonjunkturen. Vi ser dessuten at de gjennomsnittlige bidragene for perioden under ett fra de ulike impulsvariablene gjennomgående er små (med unntak av bidraget fra finanspolitikken på 0,67 og feilleddene på -0,45), dvs, at de ikke i særlig grad har påvirket nivået på BNP for Fastlands-Norge gjennom perioden som helhet, selv om de kan ha bidratt til å endre konjunkturforløpet.
Tabell 11.6 Konjunkturavvik for BNP Fastlands-Norge 1989–99
| 1989 | 1990 | 1991 | 1992 | 1993 | 1994 | 1995 | 1996 | 1997 | 1998 | 1999 | 1989 | |
|---|---|---|---|---|---|---|---|---|---|---|---|---|
| Konjunkturnedgang | Konjunkturoppgang | Nedgang | -99 | |||||||||
| Lavkonjunktur | Høykonjunktur | Gjen. | ||||||||||
| I prosent av beregnet trend | Tilbakeslag | Innhenting | Oppheting | Avkjøling | snitt | |||||||
| Faktisk konjunkturavvik | -1,88 | -2,93 | -3,24 | -3,64 | -2,96 | -1,22 | -0,44 | 0,27 | 2,26 | 2,95 | 1,51 | -0,85 |
| Bidrag til konjunkturavviket fra: | ||||||||||||
| Internasjonale.produktmarkeder | 0,63 | 0,86 | 0,63 | 0,28 | -0,33 | -0,27 | 0,04 | -0,02 | -0,05 | -0,18 | -0,33 | 0,11 |
| Markedsutvikling | 0,41 | 0,55 | 0,40 | 0,14 | -0,42 | -0,38 | -0,21 | -0,22 | -0,10 | -0,02 | -0,01 | 0,01 |
| Markedspriser | 0,20 | 0,30 | 0,23 | 0,14 | 0,08 | 0,10 | 0,24 | 0,19 | 0,04 | -0,17 | -0,33 | 0,09 |
| Renter og valutakurser | 0,29 | 0,53 | -0,04 | -0,73 | -1,45 | 0,27 | 0,53 | -0,33 | 0,34 | 1,54 | 0,22 | 0,10 |
| Internasj. realrenter | 0,02 | -0,09 | -0,19 | -0,48 | -0,94 | -0,40 | 0,15 | 0,09 | 0,44 | 0,65 | 0,53 | -0,02 |
| Valutakurs, uforklart rentediff. | 0,27 | 0,62 | 0,15 | -0,25 | -0,50 | 0,65 | 0,38 | -0,42 | -0,11 | 0,88 | -0,31 | 0,12 |
| Oljepris og -investeringer | -0,67 | -1,05 | -0,71 | -0,05 | 0,28 | 0,39 | -0,12 | -0,26 | 0,08 | 0,80 | 0,76 | -0,05 |
| Oljepriser (i USD) | -0,01 | -0,02 | 0,11 | 0,03 | -0,08 | -0,07 | -0,02 | 0,07 | 0,11 | -0,01 | -0,17 | -0,01 |
| Oljeinvesteringer | -0,67 | -1,03 | -0,82 | -0,08 | 0,37 | 0,46 | -0,10 | -0,32 | -0,03 | 0,81 | 0,93 | -0,05 |
| Finanspolitikk | -0,56 | -0,66 | 0,18 | 1,23 | 1,54 | 1,62 | 0,80 | 0,75 | 1,05 | 0,85 | 0,57 | 0,67 |
| Kjøp av varer og tjenester | -0,48 | -0,65 | -0,19 | 0,62 | 0,83 | -0,25 | 0,20 | 0,30 | 0,90 | 0,89 | 0,68 | 0,35 |
| Skatter, avgifter og overføringer | -0,08 | -0,01 | 0,37 | 0,61 | 0,72 | 0,88 | 0,62 | 0,45 | 0,15 | -0,03 | -0,10 | 0,32 |
| Lagerinvesteringer mv. | -0,36 | -0,75 | -2,17 | -1,56 | -0,67 | -0,15 | 0,58 | 0,00 | 0,64 | 1,33 | 1,49 | -0,15 |
| Lagerinvesteringer | -0,15 | -0,72 | -1,87 | -1,13 | -0,34 | 0,36 | 0,98 | 0,74 | 1,16 | 1,63 | 1,47 | 0,19 |
| Div. produksjon og investeringer | -0,21 | -0,19 | -0,37 | -0,50 | -0,33 | -0,50 | -0,39 | -0,72 | -0,52 | -0,32 | 0,08 | -0,37 |
| Feilledd | 0,34 | -0,29 | -1,04 | -1,40 | -1,40 | -1,47 | -1,13 | 0,44 | 1,23 | 0,00 | -0,24 | -0,45 |
| Beregnede bidrag i alt | 0,00 | -1,15 | -2,95 | -2,06 | -1,75 | 0,64 | 0,77 | 0,54 | 3,13 | 4,02 | 1,98 | 0,28 |
| Uforklart bidrag | -1,88 | -1,78 | -0,29 | -1,58 | -1,21 | -1,86 | -1,21 | -0,27 | -0,87 | -1,07 | -0,47 | -1,13 |

Figur 11.9 Faktisk og kontrafaktisk konjunkturavvik for BNP Fastlands-Norge. I prosent av beregnet trend

Figur 11.10 Konjunkturfaser – faktisk og kontrafaktiske forløp
Tabellen viser resultater fra alle de partielle beregningene, i tillegg til hovedgruppene. Selv om forspalten i tabellen er detaljert, vil kommentarene nedenfor i hovedsak konsentrere seg om de seks hovedgruppene av skift. På grunn av ikke-lineariteter i modellen og metoden som er brukt, kan bidragene i prinsippet ikke summeres.
For også å kaste lys over bidragene fra de ulike impulsene til veksten i BNP for Fastlands-Norge, gjengir figurene 11.10a-f fasediagram for hver av de seks hovedberegningene. Den heltrukne kurven i hver av figurene svarer til kurven i figur 11.5 foran (men nå basert på årsgjennomsnitt og ikke kvartalsdata), dvs. den viser kombinasjonen av faktisk nivå og vekst for BNP Fastlands-Norge, begge regnet som avvik fra trend. Den stiplede linja viser hvordan utviklingen ville ha vært med trendmessig utvikling i den aktuelle impulsvariabelen. Bidraget fra variabelen framgår ved å sammenholde punkter for samme år (årene er markert med tall).
Bidrag fra internasjonale produktmarkeder
Som det framgår av tabell 11.6, bidro impulser fra de internasjonale produktmarkedene positivt til samlet produksjon for Fastlands-Norge i årene 1989–92 (og 1995), men negativt de øvrige årene. Disse impulsene bidro til å forsterke konjunkturutslaget i årene 1993–94, men til å dempe konjunkturutslagene de øvrige årene. Dermed bidro de til å dempe konjunkturutslagene for analyseperioden under ett (gjennomsnittlig absoluttverdi av konjunkturavviket ble endret med -0,22 prosentpoeng som følge av impulsene fra internasjonale produktmarkeder).
Ser vi derimot på endringene i bidragene, får vi et litt annet bilde. Tabell 11.6 viser at bidragene gjennomgående faller over tid (fra 0,63 i 1989 til -0,33 i 1999). Selv om internasjonale produktmarkeder ga positive bidrag under konjunkturnedgangen 1989–92, så avtok bidragene mot slutten og frem til 1993, dvs. endringen i bidragene bidro til å forsterke siste del av nedgangen og motvirke omslaget i 1993. Tilsvarende bidro endringene i bidragene til å forsterke oppgangen i 1994–95, og til å forsterke nedgangen i 1998–99.
Bidragene fra markedsvekst og markedspriser er svakt positivt korrelert, men med forholdsvis lav koeffisient (0,30). En sammenligning av impulsene fra markedsvekst og priser (dvs. konjunkturavvikene for disse variablene) viser derimot en vesentlig sterkere positiv samvariasjon (0,55). En positiv samvariasjon er hva en skulle vente om priser og markedsvekst i utlandet er drevet av etterspørsels-sjokk (som presser kostnadene for utenlandske bedrifter opp).
Fasediagrammet i figur 11.10a gir en samlet oversikt over bidragene til nivå og endring. Hovedinntrykket er at impulsene alt i alt bidro til å dempe konjunkturforløpet, særlig i begynnelsen av perioden.
Bidrag fra renter og valutakurser
I tråd med den internasjonale realrenteutviklingen, jf. figur 11.8c, ser vi av tabell 11.6 at negative bidrag fram til 1994 ble snudd til positive bidrag fom. 1995. Når vi også trekker inn bidragene fra valutakurs mv. blir imidlertid bildet litt mer broket; det samlede bidraget fra alle faktorene har iflg. tabell 11.6 skiftet fortegn flere ganger gjennom perioden. Disse impulsene bidro alt i alt til å dempe konjunkturutslagene i 1989–90 og 1994–96, mens de bidro til å forsterke konjunkturutslaget under den sterkeste delen av lavkonjunkturen i 1991–93 og høykonjunkturen 1997–99. For hele analyseperioden under ett bidro impulsene til å øke den gjennomsnittlige absoluttverdien av konjunkturavviket med 0,22 prosentpoeng.
Også når vi ser på endringene i bidragene, er bildet noe blandet. Mest påfallende er det at utviklingen i renter og valutakurs bidro til å forsterke konjunkturnedgangen 1991–92 og motvirke oppgangen i 1993, og bidro til å forsterke oppgangen i 1997 og motvirke nedgangen i 1998. Det betyr at de bidro til å forlenge slutten av konjunkturnedgangen tidlig på 1990-tallet og til å forlenge slutten av oppgangen på slutten av 1990-tallet.
Sett i sammenheng må en dermed slutte at impulser fra rente- og valutamarkedet bidro til å forsterke konjunktursvingningene i norsk økonomi fra og med 1991, enten man ser på konjunkturbevegelsene på nivå- eller vekstform. Det samme inntrykket gir fasediagrammet i figur 11.10b. Det er imidlertid viktig å ha i mente at vi her diskuterer effekten på konjunkturforløpet for BNP Fastlands-Norge, og ikke spørsmålet om en stabilisering av andre målvariable, som inflasjonen eller driftsbalansen. Det kan være at pengepolitikken f.eks. har bidratt til prisstabilisering, men samtidig også en destabilisering av BNP.
Det er realrenta internasjonalt som gjennomgående bidro til å forsterke konjunkturavvikene; valutakursen og forhold som slo ut i feilleddet i renterelasjonen bidro derimot til å dempe det gjennomsnittlige avviket for perioden under ett. Det er bare en svak positiv korrelasjon mellom nivået på disse bidragene (0,29). Endringene i bidragene trakk derimot i større grad i samme retning, her var korrelasjonskoeffisienten på 0,53.
I analyseperioden har det ikke vært klare tegn til at konjunkturimpulser via varemarkedene har vært motvirket av impulser via rentemarkedene, slik en kunne ha håpet, i den grad rentene i utlandet brukes til å motvirke svingninger i produktmarkedene. Det er riktignok slik at konjunkturimpulsene via internasjonale realrenter og internasjonale priser i viss grad har motvirket hverandre, men denne effekten mer enn oppheves når vi trekker inn også bidragene fra internasjonal markedsvekst (og spesielle forhold som har påvirket valuta- og renteutviklingen i Norge). Dette kan skyldes at renteimpulsene ute rent faktisk kommer i etterkant av konjunktursvingningene (forsinkelser i implementeringen og transmisjonen gjør at pengepolitikken ikke virker motsyklisk), det kan skyldes ulike etterslep i gjennomslaget av disse impulsene i norsk økonomi, og – ikke minst – det kan skyldes at konjunkturimpulsene via de internasjonale produkt- og rentemarkedene rent faktisk ikke stammer fra samme økonomiske området: Som følge av at Norge fom. oktober 1990 har valgt å formulere valutakursmålet i forhold til ecu/euro, påvirkes norske renter i første rekke av rentene i ecu/euro-området, mens volum- og prisindikatorene for produktmarkedene reflekterer et bredere, handelsveid sett med land, hvor blant annet utviklingen i Sverige, Storbritannia og USA er viktig.
Bidrag fra oljepriser og -investeringer
De beregnede bidragene fra oljepriser og -investeringer i tabell 11.6 følger i stor grad utviklingen i oljeinvesteringene. Oljepriser og -investeringer bidro til å forsterke konjunkturutslagene i åtte av de elleve årene i perioden. For perioden under ett bidro dette til å øke det absolutte konjunkturavviket for BNP Fastlands-Norge med 0,30 prosentpoeng i gjennomsnitt. Bidragene var positive, men avtakende i slutten av konjunkturnedgangen tidlig på 1990-tallet, og positive og tiltakende helt mot slutten av den påfølgende oppgangen. Fasediagrammet i figur 11.10c indikerer at bidragene gjennomgående forsterket konjunkturutslagene, både på nivå- og vekstform, både i begynnelsen og slutten av analyseperioden.
Bidragene fra oljeprisene er nesten neglisjérbare i forhold til bidragene fra oljeinvesteringene (eller de andre bidragene som er vist i tabellene for den saks skyld). Av dette kunne en komme til å slutte at svingninger i oljeprisene spiller liten rolle for konjunkturforløpet i norsk økonomi. Men det er viktig å huske at KVARTS-modellen ikke inneholder koblinger mellom oljepriser og oljeinvesteringer. Modellen tar heller ikke hensyn til eventuelle koblinger mellom statens oljeinntekter og konjunkturimpulsene fra finanspolitikken.
Selv om svingningene i oljeinvesteringene opplagt også må skyldes andre ting enn svingninger i oljeprisene, synes det rimelig å tro at en del av virkningene av konjunkturimpulsene fra oljeprisene i vår beregning er fanget opp i bidragene fra oljeinvesteringene. Bidragene fra oljepriser og oljeinvesteringer er negativt korrelert (-0,59). Dette er hva en skulle vente hvis impulsene i oljepriser og investeringer er positivt korrelert, siden økte oljepriser gjennomgående virker kontraktivt på økonomien, mens økte oljeinvesteringer virker ekspansivt. I perioden har riktignok samtidig korrelasjon mellom konjunkturimpulsene i oljepriser og –investeringer vært negativ, men korrelasjonen er sterkt positiv når man sammenligner oljeinvesteringene med oljeprisene åtte kvartaler tidligere. Det at konjunkturbidragene likevel er negativt korrelerte, kan skyldes at konjunkturimpulsene fra oljeinvesteringene trenger kortere tid på å bre seg i økonomien, enn konjunkturimpulsene fra oljeprisene (jf. at det tar et par år før den kontraktive effekten av høyere oljepriser setter inn): Først stiger oljeprisene, deretter oljeinvesteringene, men de negative effektene av økte oljepriser kommer samtidig med de positive effektene av økte oljeinvesteringer.
Bidragene fra oljepriser og oljeinvesteringer er negativt korrelert (-0,59). Dette er hva en skulle vente hvis impulsene i oljepriser og investeringer er positivt korrelert, siden økte oljepriser gjennomgående virker kontraktivt på økonomien, mens økte oljeinvesteringer virker ekspansivt. I perioden har riktignok samtidig korrelasjon mellom konjunkturimpulsene i oljepriser og –investeringer vært negativ, men korrelasjonen er sterkt positiv når man sammenligner oljeinvesteringene med oljeprisene åtte kvartaler tidligere. Det at konjunkturbidragene likevel er negativt korrelerte, kan skyldes at konjunkturimpulsene fra oljeinvesteringene trenger kortere tid på å bre seg i økonomien, enn konjunkturimpulsene fra oljeprisene (jf. at det tar et par år før den kontraktive effekten av høyere oljepriser setter inn): Først stiger oljeprisene, deretter oljeinvesteringene, men de negative effektene av økte oljepriser kommer samtidig med de positive effektene av økte oljeinvesteringer.
Som nevnt, har vi ovenfor forutsatt at internasjonale priser ikke endres som følge av endringer i oljeprisene, noe som ville trekke i kontraktiv retning på kort sikt. Det skal på den annen side ikke særlig sterke positive virkninger fra oljepriser til oljeinvesteringer til for at det samlede bidraget fra økte oljepriser skal bli klart positivt på lengre sikt. Positive virkninger via finanspolitikken kan forsterke dette ytterligere. 15 Vi kommer tilbake til dette mot slutten av artikkelen.
Bidrag fra finanspolitikken
I motsetning til første halvdel av 1980-tallet, da det syntes å være en bevisst politikk at finanspolitikken ikke skulle brukes til stabiliseringsformål (se Cappelen, Johansen og Moum, 1993), og da finanspolitikken i perioder kom til å fungere medsyklisk, har intensjonen siden 1986 vært at finanspolitikken skulle brukes til å dempe konjunkturutslagene i økonomien. Gjennom innstillingen fra Sysselsettingsutvalget (NOU, 1992) ble dette en av bærebjelkene i det såkalte Solidaritetsalternativet. Målt med Finansdepartementets budsjettindikator (den årlige endring i olje-, rente- og aktivitetskorrigert overskudd regnet som prosent av BNP for Fastlands-Norge ) oppfylte politikken i stor grad dette, finanspolitikken var ekspansiv i årene 1989–93, og kontraktiv i årene 1994–99.
Budsjettindikatoren har imidlertid noen svakheter som mål på virkningene av politikken. For det første tar den ikke hensyn til at ulike deler av budsjettet virker i ulik grad inn på norsk økonomi. For det andre viser den bare virkninger av vedtak som henregnes til statsforvaltningen, mens vedtak som bare får betydning for kommuneforvaltningen eller statlig eide aksjeselskaper ikke regnes med. For det tredje viser den impuls, og ikke virkning, dvs. at indikatoren overser at det tar tid før de fulle virkningene av politikken slår ut, og at de ulike politikkelementene virker med ulik hastighet. For det fjerde må man ta hensyn til at den er på endringsform, det betyr at politikken i nivåforstand kan være kontraktiv selv om budsjettet er lagt om i ekspansiv (eller mer presist: mindre kontraktiv) retning. Nå vil dette være helt greit om en ønsker å vurdere impulsene til konjunktursvingningene på vekstform. Men som vi har argumentert for tidligere, kan det være særlig nivået på konjunkturavviket som har makroøkonomiske virkninger, snarere enn veksttakten i seg selv.
Tabell 11.6 viser således at til tross for at politikken ble lagt om i mindre kontraktiv retning i 1989 og 1990, bidro finanspolitikken fortsatt sterkt negativt til konjunkturavviket for BNP for Fastlands-Norge, og bidro dermed til å forsterke lavkonjunkturen. Det var først og fremst kjøp av varer og tjenester som bidro negativt. Først i 1991 var politikken lagt så mye om i ekspansiv retning at konjunkturbidraget ble positivt. Deretter bidro finanspolitikken ekspansivt til norsk økonomi gjennom resten av analyseperioden. Kjøp av varer og tjenester (inkl. 6-årsreformen og Gardermoen) ga ekspansive bidrag fra 1992 og utover, mens skatter, avgifter og overføringer bidro ekspansivt i årene 1991–97. Siden den siste delen av perioden var preget av høykonjunktur, var det dermed bare i årene 1991–96 at finanspolitikken bidro til å redusere konjunkturavviket for BNP Fastlands-Norge, mens den bidro til å forsterke avviket i årene 1989–90 og 1997–99. Det betyr at i fem av elleve år bidro finanspolitikken medsyklisk til konjunkturavviket.
Ser vi på endringen i konjunkturbidraget, framstår politikken som noe mer motsyklisk, for såvidt i tråd med budsjettindikatoren, som også er på endringsform. Bidraget fra finanspolitikken til veksten i norsk økonomi tiltok i perioden 1991–94, mens økonomien fortsatt var dypt inne i lavkonjunkturen og konjunkturoppgangen som satte inn i 1993, bare var inne i sin begynnende fase. Bidraget svekket seg i 1995–96, dvs. at finanspolitikken bidro til å dempe veksten, da konjunkturoppgangen førte økonomien over fra lavkonjunktur til høykonjunktur. Men deretter styrket bidraget seg i høykonjunkturåret 1997, for så å falle noe tilbake i 1998 og 1999. Et samlet bilde på virkningene av finanspolitikken på konjunkturavviket for BNP Fastlands-Norge på både vekst- og nivåform, får vi av fasediagrammet i figur 11.10e.
Trass i fem år med medsyklisk politikk, førte de klare motsykliske bidragene i årene 1991–96 til at finanspolitikken bidro til å dempe den gjennomsnittlige absoluttverdien av konjunkturavvikene for perioden som helhet, om enn bare svakt (-0,17 prosentpoeng). Av tabell 11.6 fremgår det at de motsykliske bidragene særlig skyldes periodene med ekspansiv finanspolitikk, noe som har medført at konjunkturavvikene i gjennomsnitt for perioden ble økt med 0,67 prosentpoeng som følge av bidragene fra finanspolitikken. (I figuren 11.10e framgår det ved at den faktiske konjunkturbanen gjennomgående er forskjøvet mot høyre, sett i forhold til den kontrafaktiske banen. Det er ingen tilsvarende synlig forskyvning av konjunkturbanen vertikalt i diagrammet, idet det over perioden kun var en årlig mervekst på 0,05 prosent.)
Selv om det i ettertid kan hevdes at politikken burde vært lagt om i mer ekspansiv retning på et tidligere tidspunkt (f.eks. slik at en hadde fått mer ekspansive bidrag allerede i 1989–90, noe som ville krevd en omlegging av politikken allerede i 1988), er det vanskelig å være svært kritisk til at finanspolitikken ikke ble omstilt raskere. Det tar som nevnt tid å få fram informasjon om konjunkturutviklingen, det tar tid å få utformet og implementert politikken, og det tar tid før den implementerte politikken virker inn på økonomien. Alt i alt bør derfor motkonjunkturpolitikken tidlig på 1990-tallet karakteriseres som forholdsvis vellykket, det gjelder i alle fall for perioden 1991–96. De motsykliske bidragene var særlig sterke (rundt 1 prosent) i 1992–94, dvs. fra slutten av tilbakeslaget og gjennom innhentingen. Dette selvsagt ikke helt tilfeldig, idet den ekspansive motkonjunkturpolitikken nettopp bidro til å snu nedgangen til oppgang, et omslag som ellers ville ha kommet noe senere.
Det er interessant å sammenholde dette med årene med de sterkeste medsykliske bidragene i 1997–98 (rundt 1 prosentpoeng økt konjunkturavvik), som særlig kom i slutten av opphetingsfasen, dvs. i diametralt motsatte fase av sykelen i forhold til årene 1991–92. Her kunne en i utgangspunktet ventet at mulighetene for en motsyklisk tilstramming burde være like gode som mulighetene for den motsykliske ekspansjonen som ble gjennomført tidlig på 1990-tallet.
Det medsykliske preget er særlig sterkt for 1997. Det var det femte året på rad med konjunkturoppgang, men det var bare det andre året med høykonjunktur. Til sammenligning var 1991 (det året de finanspolitiske bidragene ble motsykliske) det fjerde året med konjunkturnedgang og det tredje med lavkonjunktur. Det kan også være relevant at 1996 var et år med en jevnt over balansert situasjon i norsk økonomi, der BNP for Fastlands-Norge lå nær trenden, både på nivå- og vekstform. Politikken kan altså ha vært basert på en forutsetning om at økonomien nå var inne i en balansert bane, men uten en tilstrekkelig forståelse av at underliggende dynamikk sammen med endringer i politikken kunne bringe økonomien ut av denne balanserte banen. Det kan også ha spilt inn at den økonomiske handlefriheten syntes stor, idet oljeprisen en periode rundt årsskiftet 1996/97 lå over 20 dollar per fat for første gang siden Golf-krigen i 1990/91. Det er også verdt å merke seg at 1997 var preget av såpass uenighet om budsjettpolitikken at det endte med regjeringsskifte etter Stortingsvalget samme høst.
Endelig er det naturlig å peke på de svakheter vi tidligere har omtalt ved budsjettindikatoren, som bidrar til at denne indikatoren ikke gir et dekkende bilde av den samlede effekten av alle offentlige utgiftsvedtak i denne perioden. Poenget er søkt belyst i figur 11.11. Den viser trendavviket (altså konjunkturimpulsen) for offentlig konsum og investeringer når man som i den finanspolitiske indikatoren holder investeringene til 6-årsreformen og Gardermoen utenfor (stiplet linje), og når man inkluderer investeringsutgiftene til Gardermoen og 6-årsreformen som del av finanspolitikken (heltrukken linje). Vi ser at de to indikatorene gir en dramatisk ulik beskrivelse av ekspansiviteten i politikken. Regner vi Gardermoen og 6-årsreformen som del av finanspolitikken, bidro utgiftsiden i 1996–97 mer ekspansivt enn under motkonjunkturpolitikken tidlig på 1990-tallet. På denne bakgrunn kan stilles spørsmål ved om ikke 6-årsreformen og Gardermo-utbyggingen burde vært behandlet på en annen måte i den finanspolitiske indikatoren, eventuelt at en supplerte denne indikatoren med beregninger som viste den samlede effekten av de ulike finanspolitiske tiltakene. Det er uheldig dersom organiseringen av omfattende offentlige reformer og store offentlige utbyggingsprosjekter medfører at de rent budsjetteknisk unndras de samlede finanspolitiske prioriteringene og ikke inngår i den finanspolitiske indikatoren.

Figur 11.11 Konjunkturavvik i offentlig konsum og investeringer, regnet med og uten Gardermoen og 6-årsreformen. I prosent av beregnet trend
Selv om en den finanspolitiske indikatoren kan ha bidratt til å gi et noe skjevt inntrykk av konjunkturimpulsene fra finanspolitikken (i vid forstand) på 1990-tallet, er det interessant at finanspolitikken har fungert medsyklisk i slutten av alle konjunkturoppsving (dvs. i opphetingsfasen) etter at forventningene om oljeinntektene skikkelig grep oss i 1976. I følge Bowitz og Hove (1996) ga finanspolitikken således ekspansive bidrag til økonomien i opphetingsfasen både i 1976, 1979 og 1985. Samtidig ga finanspolitikken motsykliske bidrag mot slutten av alle de etterfølgende lavkonjunkturene – dvs. i innhentingsfasen. For de to øvrige fasene, avkjølings- og tilbakeslagsfasen, er bildet noe blandet, men en tendens (2 mot 1) til medsyklisk politikk i avkjølingsfasen, og motsyklisk politikk i kontraksjonsfasen. En mulig konklusjon er at en i norsk politikk evner å føre motkonjunkturpolitikk, særlig under (slutten av) lavkonjunkturen, men aldri når det går unna som verst i konjunkturoppgangen. Da må sluselukene åpnes, muligens for at ikke slusene selv skal bli tatt av «straumen».
En viktig forutsetning for å hevde at årene 1997–99 var år med medkonjunkturpolitikk er at trenden på slutten av perioden er riktig anslått. Denne trenden avhenger av de prognosene seriene er forlenget med. Disse prognosene forutsetter en vekst i offentlige utgifter på 2 prosent per år, vesentlig svakere enn det vi har sett for årene 1997–99, uendret skatte- og avgiftssystem og kun prisjusteringer av overføringssatser. Om finanspolitikken i årene framover skulle bli vesentlig mer ekspansiv, vil politikken i årene forut – per definisjon – i ettertid framstå som mindre ekspansiv, konjunkturmessig sett.
Bidrag fra lagerinvesteringer mv.
Lagerinvesteringer mv. ga gjennomgående det sterkeste bidraget til absolutt konjunkturavvik for BNP Fastlands-Norge, med et gjennomsnitt på 0,71 prosentpoeng for hele perioden under ett. Dette skyldes store medsykliske bidrag i åtte av de elleve årene. På endringsform blir de medsykliske bidragene mindre markerte, men fasediagrammet i figur 5.3d etterlater ingen tvil om at lagerinvesteringer mv. må sies å ha bidratt betydelig til å forsterke konjunkturutslagene i norsk økonomi.
Bidragene fra lagerinvesteringer viser en meget sterk samvariasjon med de faktiske konjunkturavvikene (korrelasjonskoeffisient på 0,9). En slik positiv sammenheng mellom lagerinvesteringer og samlet produksjon var hva man hadde i KVARTS-modellen tidligere, før de nevnte dataproblemene førte til at en ikke klarte å reestimere relasjonene. Et forsøk på å etablere relasjoner der lager fungerer som buffer ved endringer i etterspørselen, førte heller ikke fram, jf. Johansen (1994). Vi kommer mer utfyllende tilbake til bidragene fra lagerinvesteringene nedenfor.
Samspill mellom de ulike konjunkturimpulsene?
Et interessant spørsmål er om det har vært tendens til at de ulike konjunkturimpulsene har bidratt til å forsterke eller motvirke hverandre. For å undersøke dette har vi sett på korrelasjonen mellom hvert av de ulike skiftene. For de seks hovedgruppene vi har konsentrert oss om i denne artikkelen, får vi femten korrelasjonskoeffisienter. Av disse har seks en absoluttverdi på 0,5 eller større, de er markert med forbindelseslinjer i figur 11.12. De ni korrelasjonene som ikke er markert i figuren, har absoluttverdi på 0,4 eller mindre.

Figur 11.12 Korrelasjon mellom konjunkturbidrag 1989–99 med koeffisienter større enn 0,5 i tallverdi
De fem sterkeste korrelasjonene er mellom konjunkturbidragene fra internasjonale produktmarkeder, oljepris og -investeringer, finanspolitikk og lagerinvesteringer mv., der alle korrelasjonene som knytter an til de internasjonale produktmarkedene er negative, mens korrelasjonene mellom de øvrige er positive. Den sjette er mellom lagerinvesteringer mv. og renter og valuta.
Sterkest er samvariasjonen mellom konjunkturbidragene fra internasjonale produktmarkeder og oljepris og -investeringer (-0,92). Selv om disse konjunkturimpulsene i utgangspunktet i svært stor grad har virket mot hverandre, har bidragene fra oljepris og -investeringer gjennomgående vært større i tallverdi enn bidragene fra internasjonale produktmarkeder, slik at oljebidragene har dominert over produktmarkedsbidragene. Mens markedsbidragene har vært negativt korrelert med den faktiske konjunkturutviklingen, har oljebidragene vært positivt korrelert. Med tanke på at konjunkturimpulser fra internasjonale produktmarkeder tradisjonelt har vært hovedårsaken til konjunktursvingninger i norsk økonomi, må vi altså slutte – i det minste for 1990-tallet – at oljen har snudd dette bildet: Ikke bare motvirket oljeinvesteringene de internasjonale markedsimpulsene, de mer enn motvirket, og bidro dermed til at norsk økonomi kom i motfase med bidragene fra internasjonale produktmarkeder.
Også den nest sterkeste samvariasjonen, mellom internasjonale produktmarkeder og finanspolitikken, er negativ (-0,82). Analysen foran viste at begge impulsene gjennomgående bidro motsyklisk, men med medsykliske bidrag i enkelte år. Grunnen til at samvariasjonen likevel er negativ kan være at de med unntak av 1997 aldri var medsykliske samtidig.
Den tredje sterkeste samvariasjonen er positiv, mellom oljepris og -investeringer og finanspolitikken (0,71). Den høye positive korrelasjonen skyldes først og fremst oljeinvesteringene; mellom oljepris og finanspolitikk er det bare en svak negativ korrelasjon . Det er vanskelig å gi en økonomisk begrunnelse for en positiv sammenheng mellom finanspolitikk og oljeinvesteringer. Trekker vi inn en mulig sammenheng mellom oljepris og -investeringer (jf. ovenfor) og mellom oljepris og finanspolitikk, kan vi imidlertid tenke oss en sammenheng. I analyseperioden har det riktig nok vært en svakt negativ samtidig samvariasjon mellom konjunkturimpulsene fra oljepris og offentlig konsum/investeringer. Men det har vært en klar positiv samvariasjon mellom oljepris og offentlig investeringer og konsum 5 – 7 kvartaler senere. Som vi påpekte i foran, tar det et par år før de kontraktive virkningene av oljeprisene slår igjennom, mens økte offentlige utgifter til kjøp av varer og tjenester – på samme måte som oljeinvesteringene – raskere slår ut i positive konjunkturbidrag. Det kan være dette som i beregningene slår ut som en svakt negativ samvariasjon mellom bidragene fra oljepriser og finanspolitikk. Det er i så fall rimelig å anta at den positive samvariasjonen mellom bidragene fra finanspolitikken og oljeinvesteringene i virkeligheten skyldes at begge disse variablene er positivt korrelert med oljeprisen et par år tidligere, og at det egentlig er virkningene av konjunktursvingningene i oljeprisene vi her fanger opp. En slik modell er skissert i figur 11.13
Den fjerde sterkeste samvariasjonen er mellom bidragene fra oljepriser og -investeringer og lagerinvesteringer mv. (0,67). Mer detaljert materiale tyder på at dette skyldes høy samvariasjon mellom bidragene fra oljeinvesteringene og bidragene fra endringene i lager av bensin, fyringsolje og særlig verkstedprodukter, skip og andre industriprodukter. En samvariasjon kan være tilfeldig, men en positiv sammenheng mellom disse variablene kan også tenkes å ha en økonomisk begrunnelse (mange komponenter til oljeanlegg mv. under arbeid og økt produksjonskapasitet og dermed lager av olje i perioder oljeinvesteringene er høye). Om slike sammenhenger hadde vært innarbeidet i modellen, ville impulsene fra oljeinvesteringene ha bidratt mer til konjunkturutslagene i BNP for Fastlands-Norge, enn det våre beregninger viser.

Figur 11.13 En mulig modell for konjunktursammenhengen mellom oljepriser, –investeringer og finanspolitikk
Den femte sterkeste samvariasjonen er mellom bidragene fra lagerinvesteringer og internasjonale produktmarkeder (-0,62). Negativ korrelasjon betyr at økt etterspørsel og høyere priser på våre eksportmarkeder (som bidrar til å øke norsk produksjon, enten direkte eller indirekte, pga. bedre konkurranseevne for norske bedrifter) går sammen med redusert lageroppbygging (som bidrar negativt til norsk produksjon). Hvis sammenhengen skal gis en økonomisk forklaring, må den være at lager fungerer som en buffer for økt etterspørsel rettet mot norske produkter. En slik modell fikk som tidligere nevnt liten eller ingen støtte i data (Johansen, 1994), men det kan skyldes lageradferden er ulik for produksjon rettet mot eksport- og hjemmemarkedet. I Wettergreen (1978) gis det således en beskrivelse av et normalt lagerforløp for den konjunkturfølsomme eksportindustrien som nettopp svarer til buffer-typen: Norsk eksport av slike varer reagerer tidlig i en internasjonal oppgang, idet de utenlandske kundene ønsker å fylle opp sine innsatsvarelagre når konjunkturoppgangen setter inn. I denne fasen trekker de norske bedriftene på sine ferdigvarelagre, som de har bygd opp under den forutgående konjunkturnedgangen. (Midt på 1970-tallet ble det endog gitt støtte til lageroppbygging for de norske bedriftene). Hvis en slik sammenheng hadde vært innarbeidet i modellen, ville antakelig impulser fra internasjonale produktmarkeder bidratt mindre til konjunkturutslagene i BNP for Fastlands-Norge, enn det våre beregninger viser.
Den sjette sterkeste samvariasjonen er mellom bidragene fra lagerinvesteringer mv. og renter og valuta (0,54). Korrelasjonen er særlig sterk (0,7) med bidraget internasjonale realrenter alene. En positiv samvariasjon er hva en skulle vente om rentene påvirker lagerinvesteringene direkte. På den annen side trenger ikke en slik korrelasjon å være uttrykk for noen årsakssammenheng. Bidragene fra internasjonale realrenter og lagerinvesteringene er hver for seg sterkt korrelert med konjunkturavviket for BNP Fastlands-Norge, noe den høye korrelasjonen mellom disse to skiftene kan være en ren refleks av.
Alt i alt innebærer momentene ovenfor, at om en tenker seg en mer omfattende modell enn den som er brukt i denne analysen, der oljeprisene evt. har positive virkninger på oljepriser og finanspolitikk med et par års etterslep og der det tas hensyn til virkningene av endringer i oljeinvesteringene og internasjonale produktmarkeder på lagerinvesteringene, så vil en vesentlig del av de beregnede konjunkturbidragene flyttes bort fra eksogene oljeinvesterings-, lager- og finanspolitikk-impulser, 16 og til betydelig økte bidrag fra oljeprisene og noe redusert bidrag fra internasjonale produktmarkeder (som dermed trolig ville virket mindre motsyklisk).
Bidrag fra feilledd – bidrag forklart ved det som per definisjon ikke kan forklares
Selv om feilleddene hver for seg ikke burde bidra systematisk til konjunkturforløpet, viser beregningene store bidrag når de får virke sammen i en dynamisk simulering. Dette tyder på at det kan være konjunkturmekanismer som ikke fanges opp av enkeltrelasjonene i modellen. Vi har foran pekt på muligheten av at dereguleringene hadde mer omfattende virkninger på norsk økonomi enn det en har funnet grunnlag for å bygge inn i modellrelasjonene, men det kan også være effekter av andre utelatte forklaringsvariable. Når slike overveielser gjøres, undersøker en vanligvis om en må forkaste hypotesen om at bidraget fra forklaringsvariabelen til den aktuelle relasjonen er null. Det er altså strenge krav til forklaringsvariable som skal komme med i relasjonene. Dette kan imidlertid føre til at en utelukker variable som i hver enkeltrelasjon bare har svak forklaringskraft, men som likevel kan gi sterke bidrag når alle berørte relasjoner sees under ett. 17
Bidragene var gjennomgående negative (-0,45), og bidro gjennomgående til å forsterke de absolutte konjunkturavvikene (0,47). Figur 11.10f viser at de bidro til å forsterke konjunkturutslagene, både på nivå og vekstform, i årene 1990–94, samt i 1997. De bidro derimot til å redusere utslagene i 1998.
Samlet forklart bidrag – og uforklart
I tillegg til hver enkelt, partielle beregning, har vi beregnet det samlede bidraget fra alle impulsene nevnt ovenfor. Tabell 11.4 viser at vi med dette klarer å forklare 1 prosentpoeng av det faktiske, gjennomsnittlige absolutte konjunkturavviket på vel 2 prosent. Dette virker muligens ikke så imponerende, men fasediagrammet for denne beregningen viser at om alle de analyserte variablene hadde fulgt sin trendmessige utvikling, ville konjunkturutslagene i BNP Fastlands-Norge ha blitt vesentlig mindre, jf. figur 11.14. Både lavkonjunkturen først i perioden og høykonjunkturen på slutten av perioden ville vært vesentlig mer dempet.
Den stiplede kurven i figur 11.14 oppsummerer de konjunkturutslagene – på nivå- og vekstform, og sett i forhold til trenden i faktisk BNP Fastlands-Norge – som vi ikke er i stand til å forklare ved hjelp av våre beregninger. De skyldes ikke de «ordentlige» konjunkturimpulsene vi har studert, og de skyldes ikke feilleddene (at modellen per definisjon ikke kan forklare dem). De kan skyldes gjenværende variable som vi ikke har studert, men vi har tatt med alle de vi i utgangspunktet mente å kunne vente vesentlige bidrag fra. Da står vi igjen med bidragene som skyldes impulser fra før modellberegningene starter i 1989. 18
Vi ser at disse bidragene ligger klart til venstre i diagrammet for alle årene i analyseperioden. Dette er nettopp hva vil ville vente på bakgrunn av den spesielt sterke konjunkturnedgangen som satte inn gjennom 1988. De negative, dynamiske faktorene som var i sving ved utgangen av 1988 var nær sagt utallige: Oljeprisen hadde falt kraftig, realrentene etter skatt steg og gjeldsgraden i privat sektor var høy, det var overkapasitet i mange næringer, boligprisene hadde klappet sammen, finanspolitikken hadde begynt å gi sterke negative bidrag og inntektsreguleringsloven var innført, bare for å nevne noen. Om våre beregninger hadde startet i et tidligere år (f.eks. i 1973 som det tidligere refererte prosjektet) kunne disse hendelsene – og ettervirkningene av dem – vært forklart ved samme type impulser som de vi har studert for perioden 1989–99 (i tillegg, selvsagt, til impulsene fra dereguleringene på 1980-tallet, som også inngår som forklaringsvariable i modellen).
11.6 Konklusjoner
Fram til tidlig på 1980-tallet var konjunkturutviklingen i Norge styrt av utviklingen internasjonalt, med et visst tidsetterslep. Konjunkturutslagene var gjennomgående relativt små, og de var mindre i Norge enn i mange andre land.
Fra første halvdel av 1980-tallet og fram til i dag er dette markert endret. Konjunkturutslagene er blitt vesentlig sterkere, og innenlandske faktorer har overtatt som de viktigste drivkreftene i konjunkturutviklingen. Utviklingen i internasjonal økonomi har gjennomgående bidratt til å dempe konjunkturutslagene noe.
Dereguleringene som ble gjennomført på mange områder i norsk økonomi midt på 1980-tallet er nok den enkeltfaktor som har preget konjunkturutviklingen sterkest, og dette har hatt sterke ettervirkninger langt ut på 1990-tallet. Utviklingen i oljeinvesteringene har også bidratt til å forsterke konjunkturutslagene.
På 1990-tallet har rente- og valutakursutviklingen til en viss grad også bidratt til å forsterke konjunkturutslagene, men bildet her er ikke så entydig.

Figur 11.14 Konjunkturfaser – faktisk og kontraktfaktisk forløp – alle bidrag samlet
Finanspolitikken har på 1990-tallet gjennomgående bidratt å dempe konjunkturutslagene i norsk økonomi, men ikke så sterkt som man kanskje kunne forvente. Dette skyldes bl.a. at Gardermo-utbyggingen og 6-årsreformen gjorde at finanspolitikken samlet ikke har virket særlig innstrammende på siste del av 1990-tallet.
Det er vanskelig å ha noen sikker oppfatning om hvorfor konjunkturutslagene er blitt så mye sterkere på 1980- og 1990-tallet enn tidligere. En årsak er nok at flere markeder er deregulert, og at multiplikatoreffektene av ulike former for sjokk som økonomien blir utsatt for, har økt. En annen årsak er virkningene som oljesektoren har på norsk økonomi. I den økonomiske politikken har en i stor grad klart å forhindre at svingninger i oljeinntektene har slått ut i mer eller mindre ekspansive offentlige budsjetter. Derimot har en ikke på tilsvarende måte klart å forhindre de store svingningene i oljeinvesteringene. Dermed har anstrengelsene for å øke norske bedrifters andel av investeringene ført til økt konjunkturutsatthet for norske bedrifter.
Når det gjelder utviklingen framover, er det også her vanskelig å ha noen sikker oppfatning. Betydningen av oljevirksomheten, direkte gjennom investeringene i sektoren og indirekte gjennom offentlige budsjetter, er så stor at en må regne med at dette vil ha stor innvirkning på konjunkturutviklingen også fremover. Men etter hvert som oljevirksomheten gradvis går over i en «høstingsfase» kan dette i noen grad endres. På lang sikt skal den relative betydning av oljerelatert virksomhet synke. En kunne i så fall forvente at norsk økonomi vil vende tilbake til et konjunkturmønster hvor den internasjonale utviklingen har større betydning, slik situasjonen var fram til midt på 1970-tallet, og at særnorske forhold skulle få mindre betydning. På den annen side vil det nye mønsteret neppe være lik det gamle, fordi andre konkurranseutsatte næringer enn råvaresektorene vil få økt betydning, og fordi åpningen av internasjonale kapitalmarkeder høyst sannsynlig har endret konjunkturmønsteret internasjonalt og måten impulsene når norsk økonomi på.
Referanser
Bjørnland, H. (2000 a): «Detrending Methods and Stylized Facts of Business Cycles in Norway – An International Comparison». Under publisering i Empirical Economics .
Bjørnland, H. (2000 b): «The Dynamic Effects of Aggregate Demand, Supply and Oil Price Shocks – A Comparative Study». Under publisering i Manchester School (september).
Bowitz, E. og S.I. Hove (1996): Business cycles and fiscal policy: Norway 1973–93. Discussion Papers No. 178, Statistisk sentralbyrå.
Cappelen, Å., P.R. Johansen og K. Moum (1993): «Nasjonalbudsjettet som styringsinstrument og ideologisk tumleplass». I B.E. Rasch (red): Symbolpolitikk og parlamentarisk styring, Universitetsforlaget .
Eika, T. og P.R. Johansen (1991): «Virkninger av inntektsreguleringslovene 1988–90», Rapporter 91/6, Statistisk sentralbyrå.
Eika, T. og K.A. Magnussen (2000): «Did Norway gain from the 1979–1985 oil price shock?» Economic Modelling , Vol. 17, s. 107–137.
Frøyland, E. og R. Nymoen (2000): «Produksjonsgapet i norsk økonomi – ulike metoder, samme svar?», Penger og kreditt nr. 1, Norges Bank, s. 22–28.
Hodrick og Prescott (1997): «Postwar U.S. Business Cycles: An Empirical Investigation». Journal of Money, Credit, and Banking, Vol. 29, s. 1–16. Tidligere utgitt som arbeidsnotat, men med ulike referanser i litteraturen (Working Paper eller Discussion Paper nr. 451 fra Carnegie-Mellon University eller Northwestern University, publisert i 1980 eller 1981).
Hove, S.I. og T. Eika (1994): «KVARTS: Modellen bak prognosene». Økonomiske analyser 9/94, Statistisk sentralbyrå.
Johansen, T.-A. (1994): «En økonometrisk analyse av lagertilpasningen i norske industrisektorer» Rapporter 94/16, Statistisk sentralbyrå
Johansen, P.R. (1996): «Typiske trekk ved det norske konjunkturmønsteret». Foredrag på Sosialøkonomenes forenings Konjunkturseminar, 5. september 1996.
Norges Bank (2000): Inflasjonsrapport 1/2000, Norges Bank.
NOU (1992): «En nasjonal strategi for økt sysselsetting i 1990-årene».
Statistisk sentralbyrå (1997): «Kilder til konjunkturbevegelser i norsk økonomi 1973–93». Økonomiske analyser 8/97, s. 3–5.
Wettergreen, K. (1978): « Konjunkturbølger fra utlandet i norsk økonomi ». Samfunnsøkonomiske studier 36, Statistisk sentralbyrå.
Fotnoter
Takk til Hilde Bjørnland, Ådne Cappelen, Steinar Holden, Knut Moum og Arent Skjæveland for innspill og forslag til forbedringer.
Dette er slik KVARTS-modellen fungerer. Nå kan en ikke utelukke betydningen av lavkonjunkturer for å frigjøre ressurser til nye virksomheter («skapende ødeleggelse») eller redusere fordelingskonflikter (disiplinere lønnsdannelsen), men i alle fall i en velferdssammenheng vil det vel være vanskelig å argumentere for annet enn at dette i beste fall er positive bivirkninger av en ellers negativ hendelse.
Mer presist består metoden i å bestemme trenden slik at summen av kvadratavvikene mellom faktisk serie og trend og kvadratavvikene av endringene i trenden fra et kvartal til det neste, blir minst mulig, idet den første kvadratsummen tillegges vekt én og den sistnevnte kvadratsummen tillegges en vekt l som gis av brukeren. Etter litt prøving endte vi med l = 40.000. Med så høy verdi, gir selv store endringer i parameteren små utslag på den beregnede trenden. Således ville en ikke få dramatisk andre resultater med l = 16.000, som grovt sett korresponderer med en verdi på 1.000 for årsdata, som er brukt som en ytterverdi av Norges Bank (2000). Verdien er imidlertid vesentlig større enn den standardverdien som nå brukes i mange analyser og som Hodrick og Prescott (1997) anbefalte for trendberegning på amerikanske kvartalsvise BNP-tall (l = 1.600).
Med en trend som reflekterer en stabil utnyttelse av ressursgrunnlaget, blir avviket fra trend et mål på det såkalte «produksjonsgapet». Frøyland og Nymoen (2000) diskuterer ulike metoder – inkl. HP-filter – for å beregne produksjonsgapet for norsk økonomi.
Det amerikanske National Bureau of Economic Research nytter en metode som i praksis tar utgangspunkt i nivået på BNP når det fastlegger konjunkturfaser i USA. I Europa ville en slik metode gitt en sammenhengende konjunkturoppgang i store deler av etterkrigstiden, og inndeling basert på konjunkturavvik er derfor mer hensiktsmessig. En slik inndeling nyttes vanligvis også i anvendte akademiske analyser av konjunkturforløp.
For å sikre en rimelig trendmessig utvikling i de eksogene variablene både i begynnelsen og slutten av beregningsperioden, startet trend-beregningene i 1967 samtidig som seriene ble forlenget med prognoser frem til 2010 før trenden ble beregnet.
Det ble også gjennomført en beregning av inntektspolitikken, men den omfattet skift i variable som også inngår i de andre beregningene. Den kan dermed ikke nyttes i en delvis «dekomponering» av konjunkturavvikene. For referanser for alle beregningene vises det til litteraturlista i SSB (1997).
Som tidligere nevnt, må en legge stor vekt på å jevne ut endringene i vekstraten for trenden for å unngå urimelig lav trendvekst i BNP for Fastlands-Norge på slutten av 1980-tallet. Både det at det nå foreligger nasjonalregnskapstall for årene 1994-99 (regnskapstallene for 1998 og 1999 er foreløpige), og at regnskapstallene for de foregående årene er revidert, gjør imidlertid at en har kunnet redusere vekten på jevn trendvekst i forhold til den forrige analysen (SSB, 1997). Det er alle disse tre forholdene (reviderte data, nye data og lavere vekt på glatt trend) som – sammen med oppdaterte prognoser for årene fram til 2010 – har ført til lavere trendavvik i forhold til de en beregnet i den forrige analysen. Når det gjelder vendepunktene er også de noe endret, det anslås nå (jf. tabell 11.1) at konjunkturtoppen ble nådd i 1986.3 (mot anslått 1986.1 i forrige analyse) og konjunkturbunnen i 1992.4 (mot 1992.1 i forrige analyse). Tidspunktet der serien for konjunkturavviket skjærer gjennom trenden (overgangen fra høykonjunktur til lavkonjunktur) er imidlertid det samme som tidligere anslått, 1988.4.
Innføringen av lønnsreguleringsloven våren 1988 kan ha bidratt til den sterke nedgangen. Tidligere studier (Eika og Johansen, 1991) viser riktig nok at loven fikk forholdsvis moderat virkning på lønnsveksten (først og fremst besto effekten i en «forskuttering» av virkningene av den etterfølgende lavkonjunkturfasen på lønnsdannelsen). Det som ikke ble undersøkt, og som det heller ikke er testet for i modellen, var om lønnsloven påvirket aktørenes adferd på annen måte, f.eks. gjennom et negativt skift i forventet framtidig inntekt, noe en skulle vente ville påvirke deres konsum- og investeringsadferd.
Dette gjøres enklest ved å forskyve serien i tid med ett og ett kvartal og se hvordan den forskjøvete serien samvarierer med den opprinnelige serien på ett hvert tidspunkt. Ved å beregne hvor mange kvartaler serien må forskyves med før samvariasjonen (korrelasjonskoeffisienten) passerer 0 og deretter multiplisere antallet med 4 får en et anslag på lengden på en hel konjunktursykel.
Studier for en rekke land viser at valg av metode for å beregne trenden og dermed sykelen i en serie påvirker både beregnet lengde på syklene og graden av samvariasjon og ledelse/etterslep med BNP. For norske data vises det til Bjørnland (2000 a). De «stiliserte egenskapene» som er vist i tabell 2.1 er derfor langt fra udiskutable. De er imidlertid en relevant karakterisering av datamaterialet som er analysert i kapittel 5 nedenfor.
Bjørnland (2000 a) analyserer også persistens i norske data for perioden 1967-94. Hun tester imidlertid ikke for evt. endringer i persistens i perioden.
Bidragene fra konjunkturimpulsene i internasjonale produktmarkeder og -priser har vi allerede tatt med i skiftet for internasjonale produktmarkeder, og konjunkturimpulsene fra internasjonal renter i renteskiftet, og de er derfor ikke tatt med her. Hadde vi tatt hensyn til at også prisene i utlandet øker, samt konsekvensene av dette for renteutvikling og internasjonal markedsvekst, ville effekten av høyere oljepriser blitt kontraktiv også på kort sikt, jf. Eika og Magnussen (2000).
Siden konjunkturtoppen ifølge tabell 2.1 ble passert i 1. kvartal 1998, har vi valgt å regne 1998 som helhet som nedgangsår. Imidlertid var veksten gjennom slutten av 1997 og inn i 1998 så sterk, at veksten (regnet på årsbasis) fra 1997 til 1998 var sterkere enn trendveksten. Det tilsier at 1998 like gjerne kunne vært regnet som et oppgangsår. Dette har spesielt relevans for beregningen av vekstbidragene fra renter og valutakurser. Beregningene viser at disse impulsene bidro markert til den sterke veksten på slutten av oppgangen (jf. det lave rentenivået i 1997) og dermed til årsveksten i 1998, og også markert til den etterfølgende nedgangen (jf. økningen i rentene utover i 1998). Dette fanges opp i vårt absoluttmål (bidrag til avviket fra trendvekst i 1998-99 på 0,73 prosent i gjennomsnitt), men ville ikke vært fanget opp ved å ta gjennomsnittet av det positive bidraget til høyere årsvekst enn trendveksten i 1998 og det negative bidraget til lavere årsvekst enn trendveksten i 1999 (dette gjennomsnittet er på -0,06 prosent).
Ved å bruke en såkalt strukturell VAR-modell, fant Bjørnland (2000 b) at økte oljepriser kun bidro negativt til BNP en kort periode, men positivt (men ikke nødvendigvis signifikant) på lengre sikt.
Hvis man først begynner å «forklare» deler av finanspolitikken, må det selvsagt skje innenfor en ramme hvor også andre faktorer som bestemmer det finanspolitiske opplegget trekkes inn. Da er vi langt unna det som har vært siktemålet med norske makroøkonomiske modeller, og over i det Ragnar Frisch kalte en «on-looker approach». For den som skal lage prognoser for den økonomiske utviklingen kan imidlertid slik kunnskap være viktig.
Det finnes metoder for å tallfeste og teste relasjoner som tar hensyn til dette, men de er så krevende at de kun brukes ved konstruksjon av vesentlig mindre modeller enn KVARTS.
De variasjonene i avvik fra trendvekst som vi sitter igjen med, synes å vise svært liten systematikk, utover en uklar tendens til at positive vekstavvik ett år motsvares av negative avvik neste år, og motsatt, altså en slags hvit støy. Dette kan peke mot en mulig kilde til uforklarte avvik som vi ikke har fokusert på ovenfor: målefeil i dataene. Riktignok har vi forsøkt å fjerne slike tilfeldige utslag i dataene ved å glatte kvartalstallene med et fem kvartalers glidende gjennomsnitt, men siden mye av informasjonen bak f.eks. nasjonalregnskapet er årlig, kan vi ikke se bort fra tilfeldige variasjoner mellom år.