Del 1
Innledning
1 Hovedinnledning
1.1 Regjeringens justispolitiske utgangspunkt
Justispolitikken skal ivareta enkeltmenneskets trygghet og sikre fellesskapets evne til å bekjempe kriminalitet. Rettssikkerhet og trygghet er helt grunnleggende forutsetninger for velferdssamfunnet. Regjeringens justispolitikk skal legge til rette for at det enkelte individ sikres forutsigbarhet, like muligheter til å ivareta sine rettigheter, og frihet fra frykt for overgrep mot egen person og eiendom. Regjeringen vil arbeide for et tryggere samfunn. Fellesskapet har et ansvar for å gi den enkelte vern mot overgrep. Samtidig skal samfunnets interesser ivaretas slik at det kan beskytte seg mot individer som begår kriminelle handlinger. Kriminalitet må motarbeides på en slik måte at andre viktige samfunnshensyn, slik som personvern og rettssikkerhet, ikke blir skadelidende. Likevel må den enkeltes rett til personvern veies opp mot samfunnets mulighet til å bekjempe og oppklare kriminelle handlinger. Lovbryterens personvern kan ikke veie tyngre enn samfunnets og offerets krav på at kriminell adferd avdekkes og sanksjoneres.
Kriminalitet må bekjempes og forebygges med et bredt spekter av virkemidler. Det er viktig med rask og hensiktsmessig reaksjon på begåtte lovbrudd. Samfunnet må markere at kriminelle handlinger ikke tolereres og at den enkelte stilles til ansvar for sine handlinger. Man må dessuten forsøke å forebygge kriminell adferd før den finner sted. I denne sammenheng er det viktig å sette inn tiltak rettet særlig mot individer og grupper i risikosonen. Da må det også fokuseres på samfunnsforhold, blant annet oppvekstforhold, som gir økt risiko for kriminalitet.
Vanskelige livsvilkår for den enkelte og samfunnsmessige forhold generelt fritar ikke den enkelte for ansvar. Likevel må justispolitikken også kunne anvise hvilke tiltak av mer generell karakter som er nødvendig for å forhindre en uønsket kriminalitetsutvikling. Samtidig som det materielle og økonomiske grunnlag har blitt stadig bedre for det store flertall av befolkningen, kan større ulikheter føre til at grupper kan føle seg marginalisert og utenfor velferdssamfunnets fellesskap og regler. Dette kan skape grobunn for kriminell adferd. Et samfunn med små forskjeller et derfor et gode også i en kriminalpolitisk sammenheng. Likevel er ulike materielle vilkår bare en av flere forklaringsfaktorer i denne sammenheng. En samfunnsutvikling som fremmer åpenhet, deltakelse, felleskap og ansvarsfølelse, er like viktig for å forebygge kriminalitet.
Regjeringen ser det som svært viktig å forhindre at barn og ungdom begynner på en kriminell løpebane, og å bidra til at de som har kommet inn på et slikt spor blir motivert til annen adferd. I denne sammenheng er det grunnleggende å legge til rette for trygge oppvekstvilkår, like muligheter til utdanning og gode sosiale nettverk. Overfor barn og ungdom som allerede har begått kriminelle handlinger, vil Regjeringen særlig fokusere på på førstegangskriminelle mellom 12 og 18, både når det gjelder forebyggende arbeid og utforming og bruk av tilpassede reaksjoner.
Regjeringen vil vektlegge samordning av den kriminalitetsforebyggende innsatsen og legge til rette for et samarbeid mellom enkeltindivider, offentlige institusjoner, skoler, ulike organisasjoner og lokalsamfunn i forbindelse med tiltak som kan hindre kriminalitet. Dette gjelder ikke minst i det forebyggende arbeid for å redusere tilbakefall etter løslatelse av allerede domfelte personer. En slik samordning vil være mer virkningsfull enn bare å konsentrere innsatsen rundt tiltak iverksatt av offentlige organer. Denne strategien vil særlig være aktuell for kriminalitetsforebyggende tiltak rettet mot barn og ungdom. En viktig del av det forebyggende arbeidet vil være arbeid og tiltak mot etnisk diskriminering. Svak tilhørighet, stigmatisering og marginalisering gir grobunn for motreaksjoner i form av gjengkriminalitet.
Regjeringen vil spesielt prioritere tiltak som kan iverksettes for å redusere voldsutøvelse. Denne type kriminell adferd oppleves som et særlig overgrep for dem som utsettes for den, og Regjeringen vil arbeide for å redusere antall voldstilfeller og bidra til å øke tryggheten og rettssikkerheten for voldsofre. I denne sammenheng vil man spesielt se på vold mot kvinner.
Regjeringen vil prioritere innsatsen mot organisert, internasjonal kriminalitet. Organiserte kriminelle miljøer er bl.a. aktive innenfor narkotikasmugling, menneskesmugling, hvitvasking av penger og datakriminalitet, og aktiviteten ser ut til å være økende. Det er særlig viktig å få avdekket og straffet dem som står bak slik virksomhet.
Et teknologisk avansert samfunn fører til større sårbarhet. Regjeringen vil arbeide for redusert sårbarhet, uten at det skal legge unødige begrensninger på bruk av ny teknologi og de muligheter dette gir både for samfunnet og for enkeltindivider.
Regjeringen vil også fokusere på de tiltak som iverksettes etter at en straffbar handling er begått. Det er viktig å sørge for både en høyere oppdagelsesrisiko og en raskere reaksjon på lovbrudd. En hurtig reaksjon fra samfunnets side forutsetter at alle etater som er involvert i straffeforfølging virker etter sin hensikt. Hvor nært de ulike elementene henger sammen, kan illustreres med følgende modell av straffesakskjeden, se figur 1.1.

Figur 1.1
For at straffesakskjeden skal fungere godt, må det sørges for en balansert og fleksibel ressurstilførsel til de ulike ledd. Dersom dette ikke avstemmes, vil ressurstilførsel ett sted kunne føre til opphopninger av saker i et annet ledd.
Regjeringen vil fornye og effektivisere justissektoren. Omorganiseringen av Justisdepartementet og ytre etater vil gi bedre styring av justissektoren og større konsentrasjon og kvalitetssikring på de områder som må defineres som Justisdepartementets kjerneområder. Et viktig mål er bedre tjenesteyting til publikum. Kunnskapen om hvordan de ulike ledd i straffesakskjeden fungerer skal styrkes gjennom innsamling, bearbeiding og analyse av statistisk materiale om virksomheten i sektoren.
1.2 Hovedmål for justissektoren
Regjeringens hovedmål for justissektoren er formulert slik at de på et overordnet nivå angir hva Regjeringen ønsker å prioritere innenfor sektoren, og måloppnåelsen må ses i et flerårig perspektiv. De syv hovedmål er følgende:
Redusert kriminalitet
God og effektiv konfliktløsning og forebygging
Sikre rettssikkerhet for individer og grupper
Et godt og tilgjengelig regelverk
Redusert sårbarhet i samfunnet
Helhetlig forvaltning av norske interesser i polarområdene
En åpen og kvalitetsbevisst justisforvaltning
Under hvert av hovedmålene er det fastsatt ulike delmål som konkretiserer målsetningene innenfor det enkelte området. En oversikt over hovedmål med tilhørende delmål er gitt under pkt. 1.4. Budsjettproposisjonen med kategoriomtale er bygd opp etter denne målstrukturen.
1.3 Hovedinnsatsområder i 2001
På bakgrunn av Regjeringens justispolitiske utgangspunkt og de formulerte hovedmål, vil man i 2001 prioritere følgende tre hovedinnsatsområder:
Redusert kriminalitet
Raskere reaksjoner på kriminalitet
Redusert tilbakefall for lovbrytere
Forebygging av kriminalitet
Effektivisering av justissektoren
Omorganisering av Justisdepartementet og sektor
Helhetlig og funksjonell IT-struktur i justissektoren
Redusert sårbarhet i samfunnet
1.3.1 Redusert kriminalitet
Regjeringen vil prioritere kriminalitetsbekjempelse på områder som i særlig grad truer individets trygghet og samfunnets interesser. Disse er vold, narkotikakriminalitet og annen internasjonal, organisert kriminalitet, sedelighetskriminalitet, IKT-kriminalitet og økonomisk kriminalitet.
1.3.1.1 Kriminalitetsutviklingen
I 1999 ble det i alt anmeldt 437 539 forbrytelser og forseelser i Norge. Anmeldelsene fordelte seg etter lovbruddsgrupper som vist i figur 1.2 nedenfor.

Figur 1.2 Anmeldte forbrytelser og forseelser etter lovbruddsgruppe. I prosent for 1999
Kilde: Kriminalstatistikk 1999, Statistisk sentralbyrå
Vinningskriminalitet, eller økonomisk kriminalitet og annen vinningskriminalitet, utgjorde hele 54,8 prosent av den politiregistrerte kriminaliteten. Trafikkriminalitet hadde nest størst andel med 13,3 prosent. Narkotikakriminalitet utgjorde 9 prosent av kriminalitetsbildet mens 4,9 prosent var vold. Sedelighetskriminalitet tok 0,7 prosent av hele kriminalitetsbildet.
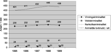
Figur 1.3 nedenfor viser kriminalitetsutviklingen for politianmeldte lovbrudd fra 1995 til 1999. Anmeldelsene har steget fra 400 579 til 437 539 i perioden. Dette gir en total økning i den registrerte kriminaliteten på hele 9 prosent.

Figur 1.3 Anmeldte lovbrudd 1995–1999. Av dette vinningskriminalitet, voldskriminalitet og narkotikakriminalitet.
Kilde: Kriminalstatistikk 1999. Statistisk sentralbyrå
Det er vinningskriminaliteten som utgjør hovedmassen av anmeldte lovbrudd og det er særlig økningen for simpelt tyveri som har gitt stigning i anmeldelsestallene totalt siden 1995. Mens simpelt tyveri økte fra 76 398 anmeldelser i 1995 til 95 737 i 1999, sank grovt tyveri fra 83 857 til 71 487 anmeldelser. Et viktig utviklingstrekk er det stigende antallet særlig truende tilfeller av vinningskriminalitet. Grovt tyveri fra person på offentlig sted steg fra 2 547 tilfeller i 1995 til 5 327 i 1999. Anmeldte tilfeller av utpressing og ran steg fra 1 086 tilfeller i 1995 til 1 964 i 1999.
Som for simpelt tyveri er også utviklingen for narkotikakriminalitet sterkt avhengig av den formelle kontrollinnsatsen. Fra 1995 til 1999 økte narkotikakriminaliteten fra 23 567 anmeldelser til 41 229, eller med 75 prosent over perioden. Styrking av politiinnsatsen i form av høyere oppdagelsesrisiko kan imidlertid ikke forklare hele stigningen som også skyldes økende faktisk kriminalitet.
Den registrerte voldskriminaliteten steg fra 18 993 tilfeller i 1995 til 21 614 i 1999, en økning på 26 prosent i perioden. Antall trusler har økt, fra 5 062 i 1995 til 6 834 i 1999. Forbrytelse mot liv, legeme og helbred steg fra 12 283 anmeldelser i 1995 til 13 269 i 1999. Det har imidlertid ikke vært vesentlige endringer i antallet drap og drapsforsøk. Anmeldelsene for voldtekt steg fra 369 i 1995 til 467 i 1999, mens utuktig omgang med barn under 16 år har økt fra 538 til 672. For sistnevnte er anmeldelsene fortsatt færre enn de var fram til 1993, i forkant av Bjugn-saken.
Kriminalstatistikken gir et bilde av handlinger som folk velger å anmelde til politiet, det vil si bildet av den registrerte kriminaliteten. Deler av statistikken har høye mørketall. Vi vet ikke om stigningen for voldskriminalitet, voldtekt og utuktig omgang med mindreårige er reell eller om det er mer av den faktiske kriminaliteten som har kommet til syne. Dersom deler av stigningen kommer av større anmeldelsestilbøyelighet er dette del av en positiv utvikling. Regjeringen vil arbeide for å redusere den faktiske volds– og sedelighetskriminaliteten.
Volden rammer kvinner og menn ulikt. I følge Levekårsundersøkelsen 1997 (Statistisk sentralbyrå) oppgir kvinner oftere å ha vært ofre for vold i eget hjem eller egen arbeidsplass mens menn oftere er ofre på offentlig sted. Det er blant kvinner at frykten for vold er mest utbredt. I Levekårsundersøkelsen 1997 oppgav hele 17 prosent av kvinnene at de var urolige for vold eller trusler om vold på bostedet mens 5 prosent av mennene var urolige for det samme.
Tabellen nedenfor viser utviklingen i siktede etter alder fra 1987 til 1998. Det er tatt hensyn til innbyggertallet i de ulike aldersintervallene. Tabellen viser stigning i antall personer siktet av politiet for en eller annen forbrytelse, fra 3,7 siktede pr. 1000 innbygger i 1987 til 6,9 i 1998.
| Siktede for forbrytelser etter alder. Pr. 1000 innbygger. 1987–1998 | ||||||||||||
|---|---|---|---|---|---|---|---|---|---|---|---|---|
| 1987 | 1988 | 1989 | 1990 | 1991 | 1992 | 1993 | 1994 | 1995 | 1996 | 1997 | 1998 | |
| I alt | 3,7 | 4,3 | 5,3 | 5,8 | 5,7 | 5,9 | 6,1 | 6,3 | 6,2 | 6,5 | 6,7 | 6,9 |
| 5–14 år | 1,9 | 2,3 | 3,8 | 4,3 | 2,8 | 2,4 | 2,6 | 2,8 | 3,2 | 3,5 | 3,2 | 3,2 |
| 15–17 år | 12,9 | 14,5 | 16,4 | 18,0 | 17,1 | 16,2 | 17,4 | 19,0 | 17,6 | 19,7 | 19,3 | 20,0 |
| 18–20 år | 14,1 | 16,1 | 19,1 | 20,3 | 21,2 | 20,7 | 20,6 | 22,0 | 20,6 | 22,2 | 21,7 | 23,8 |
| 21–35 år | 6,5 | 7,5 | 9,4 | 10,3 | 10,5 | 10,9 | 11,1 | 12,0 | 11,8 | 12,4 | 12,8 | 13,4 |
| 36- | 0,9 | 1,3 | 1,3 | 1,5 | 1,7 | 2,2 | 2,5 | 2,3 | 2,4 | 2,5 | 2,9 | 2,9 |
Kilde: Statistisk sentralbyrå
Når det gjelder barn under kriminell lavalder var det 1,9 siktede pr. 1000 innbygger i 1987 mens det var 3,2 i 1998. Antallet var imidlertid høyest i 1990, med 4,3 siktede pr. 1000 innbygger. I nittiårene har det imidlertid vært stigning i antallet siktede i alderen 15 til 20 år, til tross for færre siktede for vinningsforbrytelser. Blant unge mellom 15 og 17 år økte antallet fra 12,9 siktede pr. 1000 innbygger i 1987 til 20 i 1998. For ungdom mellom 18 og 20 steg siktede fra 14,1 til 23,8 pr. 1000 innbygger.
Fra 1980 til 1998 har det vært en bekymringsfull utvikling blant ungdom siktet for vold og narkotika. I alderen 15 til 17 år økte siktede for vold fra 0,9 til 3,6 pr. 1000 innbygger, for narkotika fra 0,6 til 3,8. I alderen 18 til 20 var det i 1980 1,7 siktede for vold pr. 1000 innbygger. I 1998 hadde antallet steget til 4,4. Når det gjelder narkotikaforbrytelser var det 2 siktede pr. 1000 innbygger i 1980 mens antallet hadde steget til 8,2 i 1998.
Av alle som ble siktet for forbrytelser i 1994, hadde 57 prosent tilbakefall til ny forbrytelse i løpet av den etterfølgende femårsperioden. De fleste begår imidlertid ny forbrytelse allerede første år etter siktelsen. Mens ungdom ofte begår kriminalitet sammen med andre, opptrer de voksne stort sett alene. Samtidig bli kriminaliteten mer alvorlig med økende alder.
I 1998 var 9 av 10 siktede for voldskriminalitet menn. Blant siktede for alle typer forbrytelser i alt var det en kvinneandel på knapt 15 prosent.
Figur 1.4 nedenfor gir oversikt over oppklaringsprosenten for forbrytelser fra 1960 til 1999. Tallene som er fra SSB viser at gjennomsnittlig oppklaringsprosent var på 40 i 1960.

Figur 1.4 Oppklaringsprosent, forbrytelser, 1960–1999
Kilde: Statistisk sentralbyrå
Fra et bunnivå på 18 prosent i 1987 har den steget til 31 prosent i 1999. Generelt gjelder at jo mer alvorlig et lovbrudd er, desto høyere er oppklaringsprosenten. Oppklaringsprosenten for drap og grov vold er høy sett i forhold til andre forbrytelser. I enkelte sakstyper kan politiet ha opplysninger om mistenkte allerede ved anmeldelsen av lovbruddet. Dette gjelder for de fleste narkotikaforbrytelser og helerier som politiet oftest avdekker selv.
1.3.1.2 Raskere reaksjoner på kriminalitet
Regjeringen vil legge til rette for at det skal reageres raskere på kriminelle handlinger. Effektiv straffegjennomføring styrker reaksjonens preventive virkninger og hindrer ny kriminalitet i påvente av straffereaksjon. Det ble i 1999 nedsatt to arbeidsgrupper for å se på saksbehandlingstiden i straffesakskjeden og komme med konkrete forslag til hvordan saksbehandlingstiden kan reduseres. Arbeidsgruppene har avlevert sine rapporter i juni 2000 og de har kommet med ulike forslag til tiltak. Regjeringen vil gjennomgå disse forslagene og følge opp med nødvendige tiltak. Det er et hovedanliggende å redusere tiden som går med uten at saker blir behandlet, den såkalte «liggetiden» i straffesaker. Målsetningen skal nås gjennom kvalitetssikring av instrukser og arbeidsrutiner, regelendringer og kompetansehevende tiltak. Videre vil Regjeringen bedre balansen mellom etterforsknings– og påtalekapasitet. Regjeringen har tatt initiativ til opprettelse av et eget team ved Oslo politidistrikt som skal bringe restansene ned på et akseptabelt nivå. Balansert ressurstilførsel må sikres gjennom nye IKT-løsninger som gir bedre samhandling og oversikt over gjennomstrømningen av saker i straffesakskjeden.
Det er i sin alminnelighet viktig for den mistenkte å få sin sak avgjort så raskt som mulig. Rask reaksjon er særlig viktig ovenfor unge førstegangskriminelle. I saker der unge under 18 er involvert, vil Regjeringen vurdere fristfastsettelser i forbindelse med etterforskning og domsavsigelse. Disse spørsmålene vil bli sendt ut på høring høsten 2000. Rask saksavvikling er også særlig viktig i de tilfeller hvor den siktede sitter i varetekt. Regjeringen vil se nærmere på varetektsreglene og da særlig med tanke på nye fristfastsettelser.
Regjeringen er opptatt av at økt effektivitet også skal styrke publikums tillit til rettssystemet. Hurtigst mulig straffeforfølgning med minimal «liggetid» sikrer bevis og bidrar til at vitner husker bedre og fornærmede får hurtig avklaring. På denne måten bygger tiltakene opp under Regjeringens hovedmål om å sikre rettssikkerheten for individer og for grupper i samfunnet.
Regjeringen vil nedlegge en betydelig innsats for å forhindre kriminalitet blant barn og unge i risikosonen. Deler av innsatsen skal settes inn i et mer forpliktende samarbeid mellom skole, politi, sosialetat, barnevern og psykiatri. Stikkord for arbeidet må være tidlig og samordnet innsats. Ansvaret for egne handlinger skal gjøres enda mer tydelig. Det skal satses med konfliktråd og samfunnstjeneste. Av generelle tiltak skal det satses på skolemekling og ungdomskontrakter. Regjeringen har nedsatt en egen arbeidsgruppe for å utvikle bedre tiltak og reaksjoner overfor barn og unge med tanke på å forhindre at de begynner på en kriminell løpebane.
Ofrenes stilling og rettsvernet for utsatte grupper skal styrkes. Regjeringen vil følge opp handlingsplanen «Vold mot kvinner» slik at voldsofre sikres den hjelp som de har krav på. Ofre utsatt for alvorlig kriminalitet vil ofte komme i en helsemessig og økonomisk vanskelig situasjon. Voldsofres situasjon må sikres gjennom erstatningsordninger, støttetiltak og informasjon. Det skal etableres egne rutiner for mottak av volds- og voldtektsofre ved alle legevakter. Ved siden av å lette oppklaringen av forbrytelsen skal mottakene sette offeret i kontakt med andre hjelpeinstanser som krisesentre, barnevern, bistandsadvokat, psykolog og politi. Justisdepartementet har et koordinerende ansvar for statens arbeid mot vold og overgrep. Oppgavene må rettes mot forebyggende arbeid og strafferettslig oppfølging, samt tverretatlig samarbeid med sikte på en hensiktsmessig og samlet ressursutnyttelse. Justisdepartementet, med sine underliggende etater, skal opparbeide seg høyere kompetanse i forhold til vold i hjemmet og seksualisert vold. Tiltak mot diskriminering er en del av det forebyggende arbeid for å bekjempe vold, gjengkriminalitet og mobbing i skolene. Sammen med departementets innsats er blant annet arbeidet i de frivillige organisasjonene viktig i kampen mot diskriminering, rasisme og fremmedfiendtlighet.
Et samfunn i rask utvikling skaper stadig nye former for kriminalitet. Regjeringen vil legge fram en stortingsmelding om politi-og lensmannsetatens virksomhet med forslag om tiltak som departementet mener vil øke etatens yteevne og resultater. Regjeringen ønsker et politi som mer effektivt kan bekjempe kriminaliteten, et politi som er mer publikumsorientert og som har en organisasjon som fremmer internt og eksternt samarbeid.
Organisert kriminalitet må forfølges med nye, effektive etterforskningsmetoder. Målet er å ta bakmennene i narkotikasaker, ran, pornografi og kriminalitet i tilknytning til prostitusjon. Gjennom etableringen av et eget råd for bekjempelse av organisert kriminalitet, (ROK), vil Regjeringen samordne og effektivisere innsatsen fra politidistriktene, ØKOKRIM og Kripos mot denne typen kriminalitet.
Regjeringen følge nøye med på utviklingen av voldelige ekstremistiske organisasjoner. De ekstremistiske miljøene i Norge består av relativt få personer, og representer i dag ingen trussel mot statens selvstendighet. Det er imidlertid blitt registrert en viss økning i rekrutteringen til enkelte av disse miljøene, og dette vil kunne representere en økende fare for at voldelige aksjoner gjennomføres. Regjeringen vil iverksette nødvendige tiltak for å hindre at denne type aksjoner blir gjennomført. I tillegg vil det gjennom forebyggende virksomhet arbeides aktivt for å hindre nyrekruttering til miljøene.
Departementet skal samarbeide med andre instanser for å intensivere arbeidet mot konkursrytteri og svart arbeid.
1.3.1.3 Redusert tilbakefall for lovbrytere
For å motvirke nye lovbrudd og unngå skadelige følger av straffereaksjonen, vil Regjeringen styrke kontroll- og påvirkningsarbeidet i kriminalomsorgen.
Arbeid, undervisning, bruk av framtids-/soningsplaner, kontaktbetjenter, påvirkningsprogrammer, mv. er sentrale virkemidler både for fengselsvesenet og kriminalomsorg i frihet. Det er etablert og vil i kommende år settes i verk nye tiltak, herunder påvirkningsprogrammer som tar sikte på å motvirke ny kriminalitet eller en forverret sosial situasjon og dermed større fare for tilbakefall etter at straffen er fullbyrdet. Programmer som fremmer evnen til konstruktiv tenkning og problemløsning, til å mestre dagliglivets krav, kontrollere asosial atferd og dempe impulsivitet, viser lovende resultater. Arbeids- og opplæringstilbudene, som i seg selv virker disiplinerende og styrker tilpasningen til samfunnet, skal ytterligere individualiseres og målrettes for å oppnå best mulig effekt.
De straffe- og sikringsdømte er en uensartet gruppe med hensyn til oppvekst, sosial bakgrunn, utdanning, helse og sosialt nettverk. Det foreligger imidlertid en overvekt av personer med sosiale og personlige belastninger, og økt somatisk og psykisk sykelighet. Kriminalomsorgen skal ved straffens påbegynnelse innhente nødvendig kunnskap om dette. På denne bakgrunn skal nødvendige kontrolltiltak iverksettes og hensiktsmessige påvirkningsarbeid påbegynnes. Bruken av ulike virkemidler baseres på individuelle vurderinger og tilgjengelige risiko- og behovsvurderinger. Et stort og økende tilfang av forsknings- og evalueringsbasert kunnskap gir kriminalomsorgen et solid faglig ståsted.
Raske reaksjoner på brudd på soningsvilkårene og tettere oppfølgning antas også å påvirke tilbakefallsrisikoen i positiv retning. Større hurtighet i hele straffesakskjeden vil bidra i samme retning. Forvaltningssamarbeidet med helse- undervisning- og kulturetatene er godt utbygget og vil bli styrket. Departementet har styrket samarbeidet med arbeidsmarkedsetaten blant annet gjennom etablering av Ny start- programmet i arbeidsmarkedsetaten. Ytterligere styrking av samarbeidet vil bli prioritert i 2001. Samarbeidet med sosialetaten vil videreutvikles .
1.3.1.4 Omorganisering av Justisdepartementet og sektor
Regjeringen vil effektivisere og fornye justissektoren gjennom en omorganisering av Justisdepartementet og underliggende etater. Justisdepartementet skal bli et mindre, enklere, mer styringsdyktig og effektivt departement. Herunder skal departementet bruke mer tid på kjerneoppgavene og mindre tid på administrasjon og daglige driftsoppgaver. Den pågående omorganiseringen innebærer at Justisdepartementet vil redusere sitt saksvolum og kontrollspenn. Departementet skal konsentrere sin virksomhet rundt de kjerneområdene som er spesielt viktige i justispolitisk sammenheng, og som Justisdepartementet tradisjonelt har hatt et ansvar for. Dette er lovarbeid, domstolene, politiet, kriminalomsorgen og saksfelt knyttet til enkeltindividers og gruppers rettssikkerhet. Hensikten med omorganiseringen er en bedre og mer effektiv styring av underliggende virksomheter, større rom for langsiktig, overordnet planlegging og bedre samordning på tvers av departementets ulike sektorer. Funksjonen som sekretariat for politisk ledelse vil få høy prioritet. Endringene er arbeids- og ressurskrevende, men forventes å gi avkastning særlig i form av et enklere departement og bedre styring av sektor. Det vises også til redegjørelse for det igangsatte endringsarbeidet i St.prp. nr. 1 (1999–2000).
De viktigste endringene, som alle skal være iverksatt 01.01.2001, er opprettelse av Politidirektorat; Ot.prp. nr. 7 (1999–2000), regionalisering av kriminalomsorgen; St.meld. nr. 27 (1997–98), og overføring av ansvaret for lotterier og spill til Kulturdepartementet samt opprettelse av Lotteritilsyn, Innst.O. nr. 33 (1999–2000). Ansvaret for Brønnøysundregistrene overføres til Nærings- og handelsdepartementet, det administrative og faglige ansvaret for Statens Innkrevingssentral overføres til Finansdepartementet, det administrative ansvaret for Regjeringsadvokaten overføres til Statsministerens kontor og det administrative ansvaret for Datatilsynet overføres til Arbeids- og administrasjonsdepartementet. Kommunal- og regionalministeren overtok 07.06.2000 det politiske og faglige ansvaret for de oppgavene på utlendingsfeltet som har ligget under utlendingsavdelingen i Justisdepartementet, herunder det overordnede ansvaret for å planlegge og opprette Utlendingsnemda, jf. Ot.prp. nr. 17 (1998–1999). Fra 01.01.2001 vil Kommunal- og regionaldepartementet også overta det administrative ansvaret for Utlendingsavdelingen. Fra 01.01.2001 vil en ny nemnd for utlendingssaker være i virksomhet, jf. Ot.prp. nr. 17 (1998–1999). Utlendingsnemnda skal overta som klageorgan for saker etter utlendingsloven, etter utlendingsavdelingen i Justis-departementet.
Innføringen av en ny organisasjonsstruktur i kriminalomsorgen innebærer overføring av forvaltningsoppgaver fra departementet til seks nye regioner og således en overføring av et betydelig antall stillinger fra Justisdepartementet til regionadministrasjonene. Omstilling i kriminalomsorgen er nærmere omtalt under kategori 06.30 Kriminalomsorg. Opprettelsen av Politidirektoratet skal gi en mer rasjonell politiorganisasjon, med klarere ansvars- og myndighetsrelasjoner, og med en mer helhetlig operativ faglig ledelse.
Regjeringen vil i 2001 legge til rette for en god struktur og organisering av rettspleien på bakgrunn av utredningene fra Domstolkommisjonen (NOU 1999: 19 Domstolene i samfunnet) og fra Strukturutvalget (1999: 22 Domstolene i første instans). Regjeringen vil framlegge en Stortingsmelding og en Odelstingsproposisjon basert på hovedforslagene i utredningene. Det vurderes også å opprette et Sivilrettsdirektorat, bl.a. for å avlaste Justisdepartementet, andre departementer og fylkesmennene for enkeltsaker. Det vil i løpet av 2000 bli foretatt utredninger, både for å konkretisere en riktig oppgaveavgrensning og for å avklare de økonomiske og administrative konsekvenser.
I oversikten nedenfor fremgår det hvilke virksomheter som sorterer under Justisdepartementet, se figur 1.5 nedenfor.

Figur 1.5
1.3.1.5 Helhetlig og funksjonell IT-struktur i justissektoren
Regjeringen ønsker å utnytte IKT optimalt i kriminalitetsbekjempelsen. Domstolene har i prinsippet den samme infrastruktur som da IT ble innført, dvs. 1988–90. Alle fagapplikasjoner er derfor fra denne perioden og det er kun gjort mindre oppgraderinger av disse frem til i dag. Behovet for fornyelse er derfor stort.
Det er i dag ikke etablert løsninger for elektronisk kommunikasjon mellom de ulike leddene i straffesakskjeden. En satsing på elektronisk kommunikasjon vil understøtte arbeidet med å få til raskere straffesaksbehandling gjennom raskere flyt av saksinformasjon mellom de ulike leddene i straffesakskjeden og mer oppdatert styringsinformasjon som bla vil kunne avdekke flaskehalser. Regjeringen vil derfor igangsette arbeidet med en «elektronisk motorvei» i justissektoren.
1.3.2 Redusert sårbarhet i samfunnet
Regjeringen har som mål å redusere sårbarheten i samfunnet. Sårbarhetsutvalgets innstilling, Et sårbart samfunn (NOU 2000: 24), peker på mange av de utfordringer det moderne samfunnet står overfor. Den raske teknologiske utviklingen har bidratt til å gjøre samfunnet mer sårbart. En rekke viktige samfunnsfunksjoner er avhengige av at komplekse, høyteknologiske systemer fungerer godt og uten avbrudd. Funksjonsbrudd eller alvorlige forstyrrelser kan ha ulike årsaker, som for eksempel teknisk svikt, «hacking» eller bevisste angrep. Konsekvensene av funksjonsbrudd blir stadig mer alvorlige. Dette skyldes først og fremst en større teknologisk avhengighet, men også økt konkurranse med tilhørende sentralisering av virksomheter, nedbygging av lagre og satsing på globale, framfor nasjonale, løsninger. Den sikkerhetspolitiske situasjon endres også løpende, og gjør at det er behov for oppdaterte vurderinger av hva som er aktuelle tiltak for å kunne beskytte menneskeliv, miljø og materielle verdier i en krisesituasjon. Det er viktig for Regjeringen å sikre at utviklingen på viktige samfunnsområder ikke går i retning av et uakseptabelt sårbarhetsnivå, og i denne sammenheng vil man løpende måtte vurdere hvilke ressurser og tiltak som kan være mest hensiktsmessige.
Regjeringen vil arbeide videre med disse spørsmål med utgangspunkt bl.a. i Sårbarhetsutvalgets innstilling. Utvalget har i sin rapport gitt en grundig beskrivelse av samfunnets sårbarhet, og har kommet med forslag til sårbarhetsreduserende tiltak på en rekke sektorer. Utvalget understreker bl.a. at sikkerhets- og beredskapsarbeidet bør samordnes bedre på tvers av ulike samfunnssektorer. Regjeringen vil etablere en felles koordinering for oppfølging av rapporten. Regjeringen vil starte arbeidet med en Stortingsmelding om samfunnssikkerhet og beredskap.
I tillegg til effektive forebyggende og sårbarhetsreduserende tiltak, ser Regjeringen det som viktig å sørge for et godt og velfungerende krisehåndteringsapparat. Som et ledd i arbeidet med å bedre samfunnets evne til krisehåndtering, vil Regjeringen om kort tid nedsette et utvalg for å gjennomgå landets operative rednings- og beredskapsressurser.
1.4 Oversikt over hovedmål og delmål for justissektoren
| Hovedmål | Delmål | |
|---|---|---|
| I Redusert kriminalitet | 1. | Sikre bedre og mer effektiv straffeforfølgning |
| 2. | Styrke det kriminalitetsforebyggende arbeid | |
| 3. | Redusere voldskriminaliteten | |
| 4. | Redusere narkotikakriminaliteten | |
| 5. | Redusere sedelighetskriminaliteten | |
| 6. | Bidra til reduksjon av den internasjonale og grenseoverskridende kriminaliteten | |
| 7. | Redusere økonomisk kriminalitet | |
| 8. | Redusere IKT-relatert kriminalitet | |
| 9. | Gjennomføre de reaksjoner som fastsettes av påtalemyndigheten eller besluttes av domstol straks de er rettskraftige | |
| 10. | Legge forholdene til rette for at lovbryteren skal kunne gjøre en egeninnsats for selv å motvirke et kriminelt handlingsmønster | |
| 11. | En moderne, effektiv og velfungerende overvåkingstjeneste | |
| II God og effektiv konfliktløsning og –forebygging | 1. | Styrke og utvikle alternative konfliktløsningsordninger |
| 2. | God struktur og organisering i rettspleien | |
| III Sikre rettssikkerhet for individer og grupper | 1. | Styrke kriminalitetsofrenes stilling |
| 2. | Sikre rettssikkerheten under etterforskning og i straffesaker | |
| 3. | Sikre den enkeltes personvern | |
| 4. | Effektiv og forsvarlig saksavvikling i domstolene | |
| 5. | Sikre hjelpe- og støtteordningene for enkeltindivider | |
| 6. | Bekjempe rasisme og etnisk diskriminering | |
| IV Et godt og tilgjengelig regelverk | 1. | Bidra til et egnet internasjonalt regelverk og en effektiv gjennomføring av internasjonale forpliktelser i norsk rett |
| 2. | Fremme god lovstruktur og et godt lovteknisk regelverk | |
| 3. | Utvikle god rammelovgivning for næringsliveet og det sivile samfunn | |
| V Redusert sårbarhet i samfunnet | 1. | Sikre effektiv organisering og utnyttelse av rednings- og beredskapsressursene |
| 2. | Effektivisere produksjonen i siviltjenesteadministrasjonen | |
| VI Helhetlig forvaltning av norske interesser i polarområdene | 1. | Samordne departementenes politikk i polarområdene |
| 2. | Utvikle et godt lokaldemokrati i Longyearbyen | |
| VII En åpen og kvalitetsbevisst justisforvaltning | 1. | Sikre god utnyttelse av justissektorens ressurser |
| 2. | Bedre kunnskap om justispolitiske sammenhenger og årsaksforhold | |
| 3. | Tilrettelegge for en serviceorientert og utadrettet justisforvaltning | |
| 4. | Styrke gjennomføringen av offentlighetsprinsippet | |
| 5. | God kjennskap til regelverk og rettigheter blant publikum | |
1.5 Justis- og politidepartementets miljøtiltak
1.5.1 Politi- og lensmannsetaten
De viktigste tiltakene innenfor Politi- og lensmannsetaten vil være:
Videreføring av arbeidet med å identifisere oppsynsobjekter i politidistriktene gjennom utarbeidelse og revisjon av sårbarhetsanalysene
Fastsette mål knyttet til bekjempelse av miljøkriminalitet i politidistriktenes virksomhetsplaner
Samarbeid med Statens naturoppsyn vedrørende kontrollvirksomhet
Støtte kompetanseoppbyggende tiltak i politiet når det gjelder miljøkriminalitet
1.5.2 Svalbard
St.meld. nr. 22 (1994–95) Om miljøvern på Svalbard angir i store trekk hvilke tiltak som skal gjennomføres på Svalbard. Føringer lagt til grunn i denne meldingen er videreført i St.meld. nr. 9 (1999–2000) Svalbard. En vesentlig del av sysselmannens kapasitet innenfor miljøvernområdet medgår til konkret oppfølging av disse. Utover dette vil viktige tiltak på Svalbard være:
Videreføring av igangsatt arbeid med plan for nye verneområder, opplegg for overvåkning av naturmiljøet og kulturminner, kartlegging og opprydning av lokaliteter med forurenset grunn og gamle deponier, forbedring av søppelhåndteringen i bosettingene, forvaltningsplaner for nasjonalparkene, handlingsplaner for friluftsliv og turisme, verneplan for det teknisk-industrielle kulturmiljøet i Longyearbyen og Ny Ålesund, slitasjeforebyggende tiltak for utsatte kulturmiljøer, samt økt satsing på formidling av informasjon
Forbedring av de deler av miljøregelverket som ikke er tidsmessig for håndtering av dagens og framtidige miljøutfordringer, for eksempel med hensyn til turismen som er i sterk ekspansjon
1.5.3 Sivilt beredskap
Direktoratet for sivilt beredskap har ikke noe selvstendig ansvar for miljøtiltak, men fungerer som støtteressurs for ansvarlige myndigheter med primæransvar. Det blir ikke iverksatt noen nye tiltak. Målet er å opprettholde den stående miljøberedskap relatert til oljevern, radioaktivt nedfall, farlige gasser, samt generell miljø- og ulykkesberedskap.
1.5.4 Lovarbeid
I 2001 vil miljøspørsmål være sentrale i følgende av Justisdepartementets lovgivningsarbeider:
Norsk gjennomføring av Den internasjonale konvensjon 1996 om ansvar og erstatning for skade voldt ved transport av farlige og skadelige stoffer til sjøs («HNS-konvensjonen»)
Norsk gjennomføring av Eurpoarådets konvensjon nr. 172 om beskyttelse av miljøet gjennom straffelovgivningen
Norsk gjennomføring av Eurpoarådets konvensjon nr. 150 om erstatningsansvar for miljøfarlig virksomhet
Norsk gjennomføring av «Protocol on Liability and Compensation for Damage Resulting from Transboundary Movements of Hazardous Wastes and their Disposal» til Baselkonvensjonen
Norsk oppfølging av Eus hvitbok om miljøansvar («White paper on environmental liability» COM (2000) 66 final)
1.6 Oversikt over programkategorier under Justisdepartementets ansvarsområde
1.6.1 Kategori 06.10 Administrasjon
Kategorien omfatter bevilgninger til Justisdepartementets drift, kommisjonsbudsjettet og to tilskuddsordninger. Hovedmål for Justisdepartementet er å sørge for opprettholdelse av de grunnleggende garantiene for rettssikkerhet og sikre tryggheten til det enkelte mennesket og samfunn. Justisdepartementets oppgave er først og fremst å konkretisere og sette mål innenfor de enkelte hovedmålene for justissektoren, tildele ressurser, utarbeide resultatkrav og føre kontroll med at de krav som er satt blir nådd. Følgende hovedmål for justissektoren gjelder for kategorien:
Redusert kriminalitet
Et godt og tilgjengelig regelverk
En åpen og kvalitetsbevisst justisforvaltning
Totalt foreslås bevilget 210,5 mill. kr i 2001. Dette er en reduksjon på 16,0 % i forhold til saldert budsjett 2000.
Reduksjonen skyldes overføring til andre departementer og omdisponering innenfor justissektoren som følge av omorganiseringen av departementet.
1.6.2 Kategori 06.20 Rettsvesen
Kategorien omfatter bevilgninger til Høyesterett, lagmannsrettene og herreds- og byrettene. I tillegg kommer bevilgninger til dekning av utgifter i forbindelse med domstolenes behandling av straffesaker. Kategorien omfatter dessuten gebyrinntekter som kreves inn i medhold av rettsgebyrloven. Følgende hovedmål for justissektoren gjelder for domstolene:
God og effektiv konfliktløsning og –forebygging
Sikre rettssikkerhet for individer og grupper
En åpen og kvalitetsbevisst justisforvatning
Totalt foreslås bevilget 1 152,8 mill. kr i 2001. Dette er en økning på 3,0 % sammenlignet med saldert budsjett 2000.
1.6.3 Kategori 06.30 Kriminalomsorg
Kategorien omfatter bevilgninger til kriminalomsorg i anstalt, kriminalomsorg i frihet, kriminalomsorgens utdanningssenter (KRUS) og kriminalomsorgens IT-tjeneste (KITT).
Følgende hovedmål for justissektoren gjelder kriminalomsorgen:
Redusert kriminalitet
En åpen og kvalitetsbevisst justisforvaltning
Totalt foreslås bevilget 1 548,9 mill. kr i 2001. Dette er en nedgang på 0,2 % i forhold til saldert budsjett for 2000. Nedgangen skyldes i all hovedsak at brannrehabiliteringen av Oslo kretsfengsel vil være ferdigstilt tidlig i 2001.
1.6.4 Kategori 06.40 Politi og påtalemyndighet
Kategorien omfatter i hovedsak bevilgninger til politidirektoratet, politi- og lensmannsetaten, sentrale særorganer, den høyere påtalemyndighet, generaladvokaten og grensekommmissæren. Kategorien omfatter også Politihøgskolen, kontrollen med den militære påtale- og disiplinærmyndighet og politiberedskap.
Hovedmålene for politi og påtalemyndighet er:
Redusert kriminalitet
God og effektiv konfliktløsning og –forebygging
Sikre rettssikkerhet for individer og grupper
En åpen og kvalitetsbevisst justisforvaltning
Totalt foreslås bevilget 6 294,6 mill. kr i 2001. Dette er en økning på 2,7 % i forhold til saldert budsjett 2000. Samtidig er bevilgningen til Statens innkrevingssentral overført til Finansdepartementet.
1.6.5 Kategori 06.50 Sivile vernepliktige, sivilt beredskap og redningstjenesten
Kategorien omfatter bevilgning til bl.a. forvaltningen av siviltjenesteordningen i Norge, Direktoratet for sivilt beredskap, herunder sivilforsvarskretsene, sivilforsvarets leire og regionale skoler, Sentralskolen for sivilt beredskap og Sentralanlegget, drift av redningstjenestens ledelsesfunksjoner i landets to hovedredningssentraler, og kompensasjon til Telenor for samfunnspålagte tjenester (nød- og sikkerhetstjeneste). Følgende hovedmål for justissektoren gjelder for kategorien:
Redusert sårbarhet i samfunnet
Totalt foreslås bevilget 635,8 mill. kr i 2001. Det er en økning på 86,5 % i forhold til saldert budsjett 2000. Økningen skyldes at programområde 05 foreslås avviklet og at kap. 481 under tidligere kategori 05.10 overføres til nytt kap. 451. I bevilgningen ligger en betydelig styrking til søk etter omkomne, jf. omtale under kap. 455.
1.6.6 Programkategori 06.60 Andre virksomheter
Kategorien omfatter bevilgninger til Særskilte ulykkeskommisjoner, De særskilte etterforskningsorganene (SEFO), Advokatutgifter m.m. og Norsk Lovtidend.
Følgende hovedmål for justissektoren gjelder for kategorien:
Sikre rettssikkerhet for individer og grupper
Totalt foreslås bevilget 298,4 mill. kr i 2001. Dette er en reduksjon på 37,3 % i forhold til saldert budsjett for 2000. Nedgangen skyldes at flere virksomheter foreslås overført fra Justisdepartementet til andre departementet fra 01.01.2001 som følge av omorganiseringsarbeidet i justissektoren.
1.6.7 Programkategori 06.70 Erstatninger, tilskudd mv.
Kategorien omfatter bevilgninger til tilskudd til fri rettshjelp, statens erstatningsansvar, konfliktråd, bobehandling og det historiske og moralske oppgjør med behandlingen i Norge av den økonomiske likvidasjon av den jødiske minoritet under 2. verdenskrig. Ordningene retter seg i hovedsak mot å sikre enkeltindividets rettigheter.
Følgende hovedmål for justissektoren gjelder for kategorien:
Sikre rettssikkerhet for individer og grupper
Redusert kriminalitet
God og effektiv konfliktløsning og –forebygging
Totalt foreslås bevilget 532,0 mill. kr i 2001. Dette er en reduksjon på 0,9 % i forhold til saldert budsjett 2000. Reduksjonen skyldes at jødebooppgjøret nå er avsluttet, slik at det ikke foreslås noen bevilgning til dette formål for 2001.
1.6.8 Programkategori 06.80 Svalbardbudsjettet
Svalbardbudsjettet legges fram av Justisdepartementet som et eget budsjett, samtidig med og som en del av statsbudsjettet, og dekker utgiftene til administrasjonen av Svalbard. Den foreslåtte bevilgningen på programkategori 06.80 skal dekke forventet underskudd på svalbardbudsjettet. Svalbardbudsjettet har for 2001 en total ramme på 94,3 mill. kr. Øvrige inntekter kommer i hovedsak fra skatter og avgifter fra Svalbard. Målene for norsk svalbardpolitikk er omtalt i St.prp. nr. 1 (2000–2001) Svalbardbudsjettet.
Følgende hovedmål for justissektoren gjelder for kategorien:
Helhetlig forvaltning av norske interesser i polarområdene
Totalt foreslås bevilget 61,2 mill. kr i 2001. Dette er en økning på 2,9 % i forhold til saldert budsjett for 2000.
1.7 Oversikt
Utgifter fordelt på kapitler:
| (i 1 000 kr) | |||||
|---|---|---|---|---|---|
| Kap. | Betegnelse | Regnskap 1999 | Saldert budsjett 2000 | Forslag 2001 | Pst. endr. 00/01 |
| Sivilt beredskap under Justisdepartementet | |||||
| 0481 | Direktoratet for sivilt beredskap (jf. kap. 3481) | 285 074 | 282 252 | -100,0 | |
| 0482 | Politiberedskap | 4 974 | 4 878 | -100,0 | |
| Sum kategori 05.10 | 290 048 | 287 130 | -100,0 | ||
| Sum programområde 05 | 290 048 | 287 130 | -100,0 | ||
| Administrasjon | |||||
| 0400 | Justisdepartementet (jf. kap. 3400) | 248 150 | 250 606 | 210 492 | -16,0 |
| Sum kategori 06.10 | 248 150 | 250 606 | 210 492 | -16,0 | |
| Rettsvesen | |||||
| 0061 | Høyesterett (jf. kap. 3061) | 44 863 | 44 899 | 45 994 | 2,4 |
| 0405 | Lagmannsrettene (jf. kap. 3405) | 121 521 | 131 722 | 136 263 | 3,4 |
| 0410 | Herreds- og byrettene (jf. kap 3410) | 878 851 | 883 897 | 911 699 | 3,1 |
| 0414 | Domsutgifter | 54 284 | 58 216 | 58 855 | 1,1 |
| Sum kategori 06.20 | 1 099 519 | 1 118 734 | 1 152 811 | 3,0 | |
| Kriminalomsorg | |||||
| 0430 | Kriminalomsorg (jf. kap. 3430) | 1 320 910 | 1 472 887 | 1 455 009 | -1,2 |
| 0432 | Kriminalomsorgens utdanningssenter (KRUS) (jf. kap. 3432) | 75 246 | 79 374 | 93 915 | 18,3 |
| 0435 | Kriminalomsorg i frihet (jf. kap. 3435) | 112 577 | |||
| Sum kategori 06.30 | 1 508 733 | 1 552 261 | 1 548 924 | -0,2 | |
| Politi og påtalemyndighet | |||||
| 0440 | Politi- og lensmannsetaten (jf. kap. 3440) | 5 763 267 | 4 798 653 | 5 019 660 | 4,6 |
| 0441 | Oslo politidistrikt (jf. kap. 3441) | 972 900 | 1 029 500 | 5,8 | |
| 0442 | Politihøgskolen (jf. kap. 3442) | 141 970 | 152 675 | 158 196 | 3,6 |
| 0443 | Oppfølging av innsynsloven | 852 | 10 000 | 9 156 | -8,4 |
| 0445 | Den høyere påtalemyndighet (jf. kap. 3445) | 60 942 | 62 047 | 65 465 | 5,5 |
| 0446 | Kontrollen med den militære påtale- og disiplinærmyndighet (jf. kap. 3446) | 3 745 | 3 844 | 3 948 | 2,7 |
| 0447 | Politiberedskap | 4 992 | |||
| 0448 | Grensekommissæren | 3 829 | 3 552 | 3 727 | 4,9 |
| 0449 | Statens innkrevingssentral (jf. kap. 3449) | 128 600 | 124 585 | -100,0 | |
| Sum kategori 06.40 | 6 103 206 | 6 128 256 | 6 294 644 | 2,7 | |
| Sivile vernepliktige, sivilt beredskap og redningstjenesten | |||||
| 0450 | Sivile vernepliktige (jf. kap. 3450) | 254 558 | 231 752 | 231 510 | -0,1 |
| 0451 | Sivilt beredskap (jf. kap. 3451) | 275 357 | |||
| 0455 | Redningstjenesten (jf. kap. 3455) | 99 165 | 109 190 | 128 967 | 18,1 |
| Sum kategori 06.50 | 353 723 | 340 942 | 635 834 | 86,5 | |
| Andre virksomheter | |||||
| 0460 | De særskilte etterforskningsorganene | 6 623 | 6 674 | 6 703 | 0,4 |
| 0461 | Særskilte ulykkeskommisjoner | 100,0 | |||
| 0462 | Registerenheten i Brønnøysund (jf. kap. 3462) | 126 281 | 131 400 | -100,0 | |
| 0463 | Datatilsynet (jf. kap. 3463) | 12 589 | 13 049 | -100,0 | |
| 0464 | Statens Lotteritilsyn (jf. kap. 3464) | 27 500 | -100,0 | ||
| 0465 | Regjeringsadvokaten (jf. kap. 3465) | 28 122 | 28 046 | -100,0 | |
| 0466 | Advokatutgifter m.m. | 258 297 | 265 308 | 288 687 | 8,8 |
| 0467 | Norsk Lovtidend | 5 056 | 4 359 | 3 056 | -29,9 |
| Sum kategori 06.60 | 436 968 | 476 336 | 298 446 | -37,3 | |
| Erstatninger, tilskudd mv. | |||||
| 0470 | Fri rettshjelp (jf. kap. 3470) | 251 665 | 270 422 | 337 434 | 24,8 |
| 0471 | Statens erstatningsansvar | 90 950 | 103 718 | 112 402 | 8,4 |
| 0474 | Konfliktråd | 30 153 | 27 349 | 27 393 | 0,2 |
| 0475 | Bobehandling | 30 672 | 50 317 | 54 730 | 8,8 |
| 0476 | Et historisk og moralsk oppgjør med behandlingen i Norge av den økonomiske likvidasjon av den jødiske minoritet under den 2. Verdenskrigen | 278 322 | 85 000 | -100,0 | |
| Sum kategori 06.70 | 681 762 | 536 806 | 531 959 | -0,9 | |
| Svalbardbudsjettet | |||||
| 0480 | Svalbardbudsjettet | 46 525 | 59 506 | 61 230 | 2,9 |
| Sum kategori 06.80 | 46 525 | 59 506 | 61 230 | 2,9 | |
| Klagenemnd for utlendingssaker | |||||
| 0490 | Klagenemnd for utlendingssaker (jf. kap. 3490) | 29 900 | -100,0 | ||
| Sum kategori 06.90 | 29 900 | -100,0 | |||
| Sum programområde 06 | 10 478 585 | 10 493 347 | 10 734 340 | 2,3 | |
| Sum utgifter | 10 768 633 | 10 780 477 | 10 734 340 | -0,4 | |
Inntekter fordelt på kapitler:
| (i 1 000 kr) | |||||
|---|---|---|---|---|---|
| Kap. | Betegnelse | Regnskap 1999 | Saldert budsjett 2000 | Forslag 2001 | Pst. endr. 00/01 |
| Sivilt beredskap under Justisdepartementet | |||||
| 3481 | Direktoratet for sivilt beredskap (jf. kap. 481) | 19 218 | 9 000 | -100,0 | |
| Sum kategori 05.10 | 19 218 | 9 000 | -100,0 | ||
| Sum programområde 05 | 19 218 | 9 000 | -100,0 | ||
| Administrasjon | |||||
| 3400 | Justisdepartementet (jf. kap. 400) | 13 014 | 894 | 921 | 3,0 |
| Sum kategori 06.10 | 13 014 | 894 | 921 | 3,0 | |
| Rettsvesen | |||||
| 3061 | Høyesterett (jf. kap. 61) | 919 | |||
| 3405 | Lagmannsrettene (jf. kap. 405) | 452 | |||
| 3410 | Rettsgebyr (jf. kap. 410) | 1 039 059 | 754 319 | 821 500 | 8,9 |
| 5630 | Aksjer i Norsk Eiendomsinformasjon as | 6 462 | 6 400 | 19 000 | 196,9 |
| Sum kategori 06.20 | 1 046 892 | 760 719 | 840 500 | 10,5 | |
| Kriminalomsorg | |||||
| 3430 | Kriminalomsorg (jf. kap. 430) | 60 648 | 59 072 | 65 879 | 11,5 |
| 3432 | Kriminalomsorgens utdanningssenter (KRUS) (jf. kap. 432) | 948 | 151 | 156 | 3,3 |
| 3435 | Kriminalomsorg i frihet (jf. kap. 435) | 3 871 | |||
| Sum kategori 06.30 | 65 467 | 59 223 | 66 035 | 11,5 | |
| Politi og påtalemyndighet | |||||
| 3440 | Politi- og lensmannsetaten (jf. kap. 440) | 296 782 | 161 182 | 173 499 | 7,6 |
| 3441 | Oslo politidistrikt (jf. kap. 441) | 3 800 | 3 014 | -20,7 | |
| 3442 | Politihøgskolen (jf. kap. 442) | 7 689 | 4 749 | 4 891 | 3,0 |
| 3445 | Den høyere påtalemyndighet (jf. kap. 445) | 235 | |||
| 3446 | Kontrollen med den militære disiplinfæmyndighet (jf. kap. 446) | 16 | |||
| 3448 | Grensekommisæren | 159 | |||
| 3449 | Statens innkrevingssentral (jf. kap. 449) | 668 312 | 716 168 | -100,0 | |
| Sum kategori 06.40 | 973 193 | 885 899 | 181 404 | -79,5 | |
| Sivile vernepliktige, sivilt beredskap og redningstjenesten | |||||
| 3450 | Sivile vernepliktige, driftsinntekter (jf. kap. 450) | 74 893 | 60 122 | 57 313 | -4,7 |
| 3451 | Direktoratet for sivilt beredskap (jf. kap. 451) | 9 270 | |||
| 3455 | Redningstjenesten (jf. kap. 455) | 18 | |||
| Sum kategori 06.50 | 74 911 | 60 122 | 66 583 | 10,7 | |
| Andre virksomheter | |||||
| 3462 | Registerenheten i Brønnøysund (jf. kap. 462) | 14 951 | 390 419 | -100,0 | |
| 3463 | Datatilsynet (jf. kap. 463) | 1 937 | 964 | -100,0 | |
| 3464 | Statens Lotteritilsyn (jf. kap. 464) | 27 500 | -100,0 | ||
| 3465 | Regjeringsadvokaten (jf. kap. 465) | 5 083 | 2 688 | -100,0 | |
| Sum kategori 06.60 | 21 970 | 421 571 | -100,0 | ||
| Erstatninger, tilskudd mv. | |||||
| 3470 | Fri rettshjelp (jf. kap. 470) | 11 636 | 10 300 | 17 469 | 69,6 |
| Sum kategori 06.70 | 11 636 | 10 300 | 17 469 | 69,6 | |
| Sum programområde 06 | 2 207 083 | 2 198 728 | 1 172 912 | -46,7 | |
| Sum inntekter | 2 226 301 | 2 207 728 | 1 172 912 | -46,9 | |
Utgifter fordelt på postgrupper:
| (i 1 000 kr) | |||||
|---|---|---|---|---|---|
| Post-gr. | Betegnelse | Regnskap 1999 | Saldert budsjett 2000 | Forslag 2001 | Pst. endr. 00/01 |
| 01–23 | Driftsutgifter | 9 654 089 | 9 780 212 | 9 819 231 | 0,4 |
| 30–49 | Nybygg, anlegg m.v. | 351 510 | 373 207 | 302 206 | -19,0 |
| 50–59 | Overføringer til andre statsregnskaper | 46 525 | 59 506 | 61 230 | 2,9 |
| 60–69 | Overføringer til kommuner | 27 383 | 24 700 | 24 700 | 0,0 |
| 70–89 | Overføringer til private | 688 973 | 542 852 | 526 973 | -2,9 |
| Sum under departementet | 10 768 480 | 10 780 477 | 10 734 340 | -0,4 | |
1.8 Tekniske endinger i budsjettproposisjonen for 2001
Regjeringen foreslår fra og med budsjetterminen 2001 å avvikle programområde 05 Sivilt beredskap. Som følge av dette foreslås det å overføre bevilgningen på tidligere kap. 481 Direktoratet for sivilt beredskap (jf. kap. 3481) til nytt kap. 451 Sivilt beredskap (jf. kap. 3451) og bevilgningen på kap. 3481 Direktoratet for sivilt beredskap (jf. kap. 481) til nytt kap. 3451 Sivilt beredskap (jf. kap. 451). Begge kapitlene foreslås overført til programkategori 06.50. Navnet på programkategorien foreslås derfor endret til kategori 06.50 Sivile vernepliktige, sivilt beredskap og redningstjenesten. Likeledes foreslås bevilgningen på tidligere kap. 482 Politiberedskap overført til nytt kap. 447 Politiberedskap under kategori 06.40 Politi og påtalemyndighet.
Bevilgningen til kap. 455 Redningstjenesten post 73 Fond for søk etter omkomne på havet ble vedtatt ved behandlingen av Budsjett-innst. S. nr. 4 (1999–2000), og ble vedtatt overført til ny post 22 Søk etter omkomne på havet, med stikkordet kan overføresved behandlingen av Innst. S. nr. 220 (1999–2000).
I forbindelse med omorganiseringen av Justisdepartementet vil det bli foreslått en rekke overføringer til andre departemententer fra 01.01.2000. Det administrative ansvaret for Brønnøysundregistrene overføres til Nærings- og handelsdepartementet, og bevilgningen på kap. 462/3462 Registerenheten i Brønnøysund foreslås overført til kap. 904/3904 Brønnøysundregistrene. Det administrative ansvaret for Datatilsynet overføres til Arbeids- og administrasjonsdepartementet. Bevilgningen på kap. 463/3463 Datatilsynet foreslås overført til kap. 1507/4507 Datatilsynet. Lotteritilsynet overføres til Kulturdepartementet, og bevilgningen på kap. 464 og 3464 Statens Lotteritilsyn foreslås overført til henholdsvis kap. 305 Lotteritilsynet og kap. 3305 Inntekter fra spill og lotterier. Regjeringsadvokaten overføres til Statsministerens kontor, og bevilgningen på kap. 465/3465 Regjeringsadvokaten foreslås overført til kap. 24/3024 Regjeringsadvokaten. Statens innkrevingssentral overføres til Finansdepartementet, og bevilgningen foreslås overført fra kap. 449/3449 Statens innkrevingssentral til kap. 1634/4634 Statens innkrevingssentral.
Sykepengereformen
På grunn av sykepengereformen som er innført for alle statlige etater, er bevilgningene på postene 01 Driftsutgifter redusert med til sammen ca. 125 mill. kr sammenlignet med saldert budsjett for 2000. Sykepenger vil heretter bli refundert fra trygdeetaten.
1.9 Bruk av stikkordet «kan overføres»
Under Justisdepartementet blir stikkordet foreslått knyttet til disse postene utenom postgruppe 30–49:
| (i 1 000 kr) | |||||
|---|---|---|---|---|---|
| Kap. | Post | Betegnelse | Overført til 2000 | Forslag 2001 | Begrunnelse for stikkordet |
| 0455 | 22 | Søk etter omkomne på havet | 23 990 | 1) | |
| 0461 | 01 | Driftsutgifter | 15 000 | 2) | |
| 0474 | 60 | Overføringer til kommunene | 7 739 | 24 700 | 3) |
| 0475 | 21 | Spesielle driftsutgifter | 27 730 | 4) | |
1 Det er svært vanskelig å anslå årlige utbetalinger på posten siden dette avhenger av antall og omfang av ulykker med omkomne på havet. Siden det er vanskelig å lage en prognose for dette, er bevilgningen gjort overførbar.
2 Bevilgningen dekker utgifter til de to uavhengige ulykkeskommisjonene i forbindelse med MS Sleipners forlis og togulykkene på Rørosbanen og Lillestrøm stasjon. Det er usikkert når kommisjonene vil avslutte sitt arbeid, og bevilgningen har derfor fått stikkordet «kan overføres».
3Tilskuddet utbetales bl.a. på grunnlag av saksmengde. For saker som blir behandlet mot slutten av året, får man ikke total oversikt over disse innen årsskiftet. Det er usikkert i hvilket budsjettår deler av tilskuddet kommer til utbetaling.
4 Det er svært vanskelig å anslå årlige utbetalinger på posten med bakgrunn i Jahre-sakens karakter. Belastningen på posten avhenger av fremdriften i saken, og bevilgningen er av den grunn gjort overførbar.