2 En enkel modell for NOKUS-beskatning
Av professor Guttorm Schjelderup Norges Handelshøyskole
Vi skal i dette eksemplet se på implikasjonen av å innføre NOKUS-beskatning. Eksemplet vil også søke å få fram sammenhengen mellom bedrifts- og personbeskatningen, samt hvordan bedriftens investeringsatferd påvirkes av NOKUS-beskatning. Modellen vi skal benytte forutsetter full sikkerhet og en bedrift som er eid av en enkelt konsument. Konsumenten har preferanser over konsum i to perioder som vist ved nyttefunksjonen

For enkelthelts skyld skal vi anta at konsumenten i første periode har en inntekt Y1 som kan benyttes til konsum, investering hjemme (kh ) eller ute (ku ), og finansiell sparing (s):

Konsumet i annen periode gis av avkastningen etter skatt på sparingen og investeringene. Skatten på spareavkastningen (r) er τ. Investeringene gir en avkastning i hvert land gitt ved produksjonsfunksjonen xi = f(ki), i = h, u. I begge land er det slik at en andel δ av den investerte kapital slites ned og den gjenstående kapitalbeholdningen (1 - δ) selges i annenhåndsmarkedet. Bedriftens samlede inntekter i periode 2 er lik verdien av produksjonen i hvert land pluss restverdien av kapitalbeholdningen, πi = f(ki) - aili, minus skatt på bedriftsoverskuddet, tiπi hvor πi = f(ki) - aili, er skattemessig overskudd og ai angir den skattemessige avskrivningssatsen. 1
Kildebeskatning
Dersom avkastningen av investeringene kun skattlegges der hvor de er foretatt, har vi kildebeskatning. I dette tilfellet kan vi skrive overskuddet i annen periode av investeringene hjemme og ute slik:

Overskuddet etter skatt i annen periode, P, kan gis en fortolkning i relasjon til aksjonærmodellen og fritaksmetoden. Siden selskapsoverskuddet etter skatt (Π) fra utlandet kan overføres til eieren uten ytterligere beskatning, kan man betrakte modellen som et spesialtilfelle hvor selskapsoverskuddet ligger under skjermingsbeløpet (altså at det ikke oppstår utbytteskatt for personlig aksjonær). 2
Budsjettbetingelsen for annen periode er nå

Ved å substituere likning (1) inn i likning (3) får vi en samlet budsjettbetingelse over de to periodene for eieren av bedriften gitt ved likningen

Budsjettbetingelsen (4) angir at nåverdien av konsumet over de to periodene (venstresiden av likningen) må være lik initialinntekten minus realinvesteringskostnadene pluss nåverdien av investeringene i produksjonskapital etter skatt (høyresiden av likningen). Det er verdt å merke seg at den intertemporale budsjettbetingelsen viser oss at bedriftens inntekter skal diskonteres med eierens alternativavkastning, dvs. avkastningen på finansinvesteringen etter skatt.
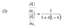
Ved å maksimere nyttefunksjonen i (1) gitt den intertemporale budsjettbetingelsen (4) kan det vises at konsumentens marginale substitusjonsrate mellom konsum i dag og i fremtiden må tilfredsstille vilkåret

Likning (5) angir at den marginale tidspreferanseraten mellom konsum i dag og i fremtiden skal være lik prisen på nåtidskonsum uttrykt i enheter av prisen på fremtidskonsum.
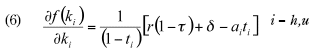
Den optimale innsatsen av kapital investert hjemme og ute gis ved førsteordensbetingelsene

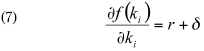
Førsteordensbetingelsene viser at samspillet mellom bedriftsbeskatningen og den personlige skatt på renteinntekten innebærer et element av kapitalsubsidiering eller -beskatning, og at det kan være mer eller mindre kostbart å investere ute avhengig av den relative størrelsen på nasjonale skatteparametre. Ved å betrakte likning (6) ser vi hvilke føringer vi må legge på skattesystemet dersom det ikke skal påvirke investeringsatferden. Hvis de skattemessige avskrivningssatsene er lik det virkelige kapitalslitet (δ = ah = au), og alle skattesatsene er like (th = tu = τ), vil bedriftens beslutninger være upåvirket av skattesystemene. I dette tilfellet endres førsteordensbetingelsene i (6) til

Fra (7) ser vi at ingen av skatteparametrene inngår i bedriftens tilpasningsbetingelse. Bedriften investerer nå inntil verdien av kapitalens grenseproduktivitet (venstresiden i likningen) er lik alternativkostnaden av å plassere beløpet i finansmarkedet (høyresiden i likningen). Alternativkostnaden er hva bedriften kunne oppnådd i finansmarkedet (r) pluss kapitalslitet (δ).
NOKUS- beskatning
Fritaksmetoden innebærer en overgang til kildebeskatning av kapitalinntekt. Det skyldes at overskudd opptjent i utenlandsk datterselskap kan overføres skattefritt til norsk selskapsaksjonær (morselskap). Et alternativ til kildebeskatning av selskapsoverskudd er å skattlegge investoren løpende i hjemlandet for inntekt opptjent ute (såkalt NOKUS-skattlegging). Dette er en metode for å innføre residensbeskatning av inntekter opptjent i utenlandske selskaper som er norskkontrollerte. Hensikten med å innføre NOKUS-beskatning er å gjøre kapitalen mindre skattesensitiv ved at man ikke kan utnytte lavskatteland ute. Et annet anliggende er om det også er mulig ved et slikt system å få til en individuell investeringsatferd som er optimal fra et nasjonalt synspunkt.
Fra et nasjonalt synspunkt burde investeringene – dersom skattesystemet ikke påvirker bedriftens tilpasning – foretas i et slikt omfang at de reflekterer alternativkostnaden ved investeringene. Ved nøytral skattlegging innebærer det at bedriften bør investere inntil kapitalens grenseproduktivitet akkurat tilsvarer alternativkostnaden gitt ved rentetapet (r) og kapitalslitet (δ). Denne tilpasningen forutsetter at skattemessige kostnader er lik bedriftens virkelige kostnader. For investeringer ute er det annerledes. Siden investeringer ute ilegges skatt i kildelandet, representerer skatten ute en ekstra kostnad som øker alternativkostnaden for samfunnet ved slike investeringer. Ideelt sett burde skattesystemet og en NOKUS-modell kunne ivareta et slikt hensyn, noe vi skal undersøke nærmere i fortsettelsen.
Dersom vi innfører en NOKUS-modell hvor skattemessig overskudd fra utlandet er gitt i henhold til hjemlandets skatteregler, har vi i realiteten en modell som reflekterer en slags konsolidert bedriftsbeskatning. I denne type modell vil hjemlandets definisjon av hva som er skattemessig overskudd gjelder for alle typer inntekt opptjent ute. I dette tilfellet får vi følgende uttrykk for verdien av kapitalinvesteringene:

Det første og andre leddet angir overskuddet etter skatt hjemme og ute, mens det siste leddet angir hjemlandets skattlegging av utenlandsinntekten. Skattbar inntekt ute er definert ved hjemlandets avskrivningssats slik at inntekten opptjent ute blir den samme som den ville vært hadde inntekten vært opptjent hjemme dvs.

Samtidig får bedriften trekke fra skatten som er betalt i utlandet. Skatt betalt ute er altså å betrakte som en skattemessig fradragsberettiget kostnad.
Det kan nå vises at vilkårene for bedriftens optimale investeringer gis ved

Med positive skattesatser og avvik i definisjonen av avskrivningssatser fra virkelig kapitalslit, vil tilpasningene påvirkes av skattesystemet og kan gi over- eller underinvesteringer avhengig av det relative forholdet mellom de ulike parametere i modellen.
For å sammenlikne egenskapene ved denne modellen med kildebeskatning skal vi som før anta at skattesatsene mellom de to landene er forskjellige (tu ≠ th), at skattemessige avskrivninger er lik virkelige avskrivninger ( a ) i begge land ( ah = au = a), og at skatten på personlig renteinntekt er lik selskapsskatten hjemme ( th = τ).
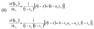
Førsteordensvilkårene i (8) blir nå:

Fra (9) sees at investeringsatferden hjemme ikke påvirkes av skattesystemet og at tilpasningen er den samme som under kildebeskatning. Nøytralitetsegenskapen skyldes at skattemessig overskudd er lik virkelig overskudd. Dermed investerer bedriften inntil verdien av kapitalinnsatsen er lik alternativkostnaden (før skatt). For investeringen i utlandet vil tilpasningen bli annerledes. Det skyldes den skattmessige behandlingen av utenlandsinntekten. Ved å la bedriften få trekke fra skatt betalt ute mot hjemlandets skatt på utenlandsinntekten, får skattesystemet fram den ekstra kostnad skattlegging ute representerer for samfunnet. Et NOKUS-system som er utformet som over gjør altså at investor internaliserer skatten ute i sin investeringsbeslutning. Dette sees ved å betrakte første ledd på høyre side som nå er r/(1-tu ). Rentekostnaden er nå skalert opp slik at den tar høyde for skattebelastningen ute og den ekstra kostnad dette representerer. 3 Det betyr at det er mer kostbart å investere ute enn hjemme, og ekstrakostnaden tilsvarer akkurat skatten ute. Fra (9) sees også at for lavskatteregimer hvor skatten ute er null, vil skattesystemet ikke påvirke beslutninger verken hjemme eller ute, og tilpasningene blir identiske. I en slik situasjon spiller det ingen rolle om systemet hadde gitt kredit for skatt betalt ute eller om skatten ute var fradragsberettiget fordi i begge tilfeller er summen null.
Oppsummert kan en si at en utforming av et system for NOKUS-beskatning hvor man ikke gir kredit for skatt betalt ute, men hvor skatt betalt ute er en fradragsberettiget kostnad gir nasjonal effektivitet i investeringene. En NOKUS-modell med full konsolidering av skattemessige inntekter ut i fra hjemlandets regnskapsprinsipper har altså gunstige egenskaper fra et nasjonalt synspunkt.
Fotnoter
Vi kan fortolke investeringene i bedriften som egenkapital og overskuddet etter selskapsskatt som skattefritt utbytte. Hovedkonklusjonene fra modellen ville ikke blitt endret hvis vi hadde bygd ut modellen slik at vi tok med gjeldsfinansiering av investeringene.
Modellen er for enkel til å fange opp forhold knyttet til kapitalgevinster siden vi har satt prisen på produksjon og kapital lik en. Modellen kan lett utvides til å ta hensyn til slike forhold. De ekstra komplikasjoner dette medfører påvirker ikke hovedkonklusjonen, men reduserer leservennligheten vesentlig.
Siden det er sammenfall mellom personskatten på renter og selskapsskatten, nulles disse mot hverandre, men den utenlandske kildeskatten kommer som en tilleggskostnad på rentekostnaden på investeringen ute.