2 Direkte skatter og avgifter til folketrygden
2.1 Innledning
I dette kapitlet omtales Regjeringens forslag til endringer i direkte skatter og avgifter til folketrygden.
Alle skattepliktige, både personer og selskaper, ilegges en flat skatt på 28 pst. på alminnelig inntekt. Alminnelig inntekt for personer består av alle typer skattepliktige inntekter fratrukket standardfradrag og fradragsberettigede utgifter som gjeldsrenter mv. Alminnelig inntekt for selskaper er skattepliktig overskudd. I 2005 anslås skatten på alminnelig inntekt for personer å utgjøre om lag 163 mrd. kroner, mens skatt på overskudd i selskaper utenom petroleumssektoren anslås til om lag 47 mrd. kroner, jf. tabell 1.4.
Personinntekt er grunnlaget for toppskatt og trygdeavgift og beregnes kun for personlige skattytere. Personinntekten omfatter inntekt fra arbeid og pensjon uten fradrag av noen art. For selvstendig næringsdrivende, deltakere og aktive eiere i selskaper blir inntekt fra arbeid i virksomheten beregnet ved hjelp av delingsmodellen ut 2005. Trygdeavgiften i 2005 er 3 pst. for pensjonsinntekter, 7,8 pst. for lønnsinntekter og næringsinntekter fra primærnæringer og 10,7 pst. for andre næringsinntekter. Toppskatten i 2005 er 12 pst. i trinn 1 og 15,5 pst. i trinn 2. Inntektene fra trygdeavgiften anslås til 65 mrd. kroner og fra toppskatten til om lag 14 mrd. kroner i 2005.
Progresjonen i inntektsbeskatningen er i hovedsak ivaretatt gjennom bunnfradrag (personfradrag, særskilt fradrag i arbeidsinntekt og minstefradrag) og toppskatt. Dette innebærer at skattytere med høy personinntekt normalt betaler forholdsvis mer i inntektsskatt enn personer med lav personinntekt.
Personlige skattytere skattlegges i klasse 1 eller klasse 2. I 2003 ble om lag 92 pst. av personlige skattytere lignet i klasse 1. Av de som ble lignet i klasse 2 var om lag 40 pst. enslige forsørgere. Andre som lignes i klasse 2 er i hovedsak ektepar der den ene ektefellen er hjemmeværende eller har lav arbeidsinntekt.
Formuesskatten er en del av den samlede skattleggingen av kapital. Alle personlige skattytere er skattepliktige for nettoformue over et visst nivå. Inntektene fra formuesskatten anslås til om lag 7,8 mrd. kroner for personlige skattytere i 2005.
Som hovedregel betales det arbeidsgiveravgift av lønn og annen godtgjørelse til ansatte. I 2005 anslås inntektene fra arbeidsgiveravgiften til om lag 93 mrd. kroner.
Petroleumssektoren skattlegges etter særskilte regler. I 2005 er samlede skatter og avgifter fra petroleumssektoren anslått til om lag 185 mrd. kroner.
Kommunene har også anledning til å ilegge en eiendomsskatt på boliger og annen fast eiendom. Eiendomsskatten anslås til om lag 3,7 mrd. kroner i 2005.
Samlede direkte skatter utgjør anslagsvis 596 mrd. kroner i 2005, eller om lag 72 pst. av de samlede skatte- og avgiftsinntektene.
Figur 2.1 viser fordelingen av ulike skattetyper som andel av samlede direkte skatter. Figuren viser at om lag 39 pst. av alle direkte skatter er skatt på bedrifter og petroleumsvirksomhet, 30 pst. er inntektsskatt på personer, mens trygde- og arbeidsgiveravgift utgjør om lag 27 pst. Formues- og eiendomsskatt utgjør om lag 2 pst. av samlede direkte skatter. Andre direkte skatter utgjør om lag 3 pst. av de samlede direkte skattene.

Figur 2.1 Påløpte direkte skatter fordelt på skattart. Anslag for 2005. Prosent av samlede direkte skatter
Kilde: Finansdepartementet.
Tabell 1.1 gir en oversikt over provenyvirkningene av Regjeringens skatte- og avgiftsforslag regnet i forhold til referansesystemet for 2006, jf. avsnitt 1.4. Tabell 2.1 viser forslagene til skattesatser og beløpsgrenser for 2006. Tabellen viser også reglene for 2005 og endring i pst. fra 2005 til 2006. Ved lønnsjustering fra 2005 til 2006 blir de generelle fradragene og beløpsgrensene avrundet. Oppjusteringen kan derfor avvike noe fra den anslåtte lønnsveksten på 3½ pst., jf. tabell 2.1. For øvrig vises det til utkast til skattevedtak i denne proposisjonen.
Tabell 2.1 Skattesatser og beløpsgrenser mv. for 2005 og forslag for 2006
| 2005- | Forslag | Endring i | |
| regler | 2006 | pst. | |
| Trygdeavgift | |||
| Lønnsinntekt | 7,8 pst. | 7,8 pst. | - |
| Næringsinntekt i jordbruk, skogbruk og fiske | 7,8 pst. | 7,8 pst. | - |
| Annen næringsinntekt | 10,7 pst. | 10,7 pst. | - |
| Pensjonsinntekt mv. | 3,0 pst. | 3,0 pst. | - |
| Nedre grense for å betale trygdeavgift | 29 600 kr | 29 600 kr | - |
| Opptrappingssats | 25,0 pst. | 25,0 pst. | - |
| Toppskatt1 | |||
| Trinn 1 | |||
| Sats | 12,0 pst. | 7,0 pst. | -5 pst.poeng |
| Innslagspunkt, klasse 1 | 381 000 kr | 400 000 kr | 5,0 |
| Innslagspunkt, klasse 2 | 393 700 kr | 400 000 kr | 1,6 |
| Trinn 2 | |||
| Sats | 15,5 pst. | 12,0 pst. | -3,5 pst.poeng |
| Innslagspunkt, klasse 1 | 800 000 kr | 800 000 kr | - |
| Innslagspunkt, klasse 2 | 800 000 kr | 800 000 kr | - |
| Skatt på alminnelig inntekt | |||
| Personer | 28,0 pst. | 28,0 pst. | - |
| Personer i Finnmark og Nord-Troms | 24,5 pst. | 24,5 pst. | - |
| Etterskuddspliktige (bedrifter) | 28,0 pst. | 28,0 pst. | - |
| Personfradrag | |||
| Klasse 1 | 34 200 kr | 35 400 kr | 3,5 |
| Klasse 2 | 68 400 kr | 70 800 kr | 3,5 |
| Minstefradrag for lønnsinntekt | |||
| Sats | 31,0 pst. | 33,5 pst. | 2,5 pst.poeng |
| Øvre grense2 | 57 400 kr | 63 700 kr | 11,0 |
| Nedre grense | 4 000 kr | 4 000 kr | - |
| Minstefradrag for pensjonsinntekt | |||
| Sats | 24,0 pst. | 24,0 pst. | - |
| Øvre grense2 | 49 400 kr | 51 100 kr | 3,4 |
| Nedre grense | 4 000 kr | 4 000 kr | - |
| Særskilt fradrag i arbeidsinntekt (lønnsfradrag)3 | 31 800 kr | 31 800 kr | - |
| Særfradrag for alder og uførhet mv. | 19 368 kr | 19 368 kr | - |
| Skattebegrensningsregelen for pensjonister mv. | |||
| Avtrappingssats | 55,0 pst. | 55,0 pst. | - |
| Skattefri nettoinntekt | |||
| Enslig | 92 100 kr | 95 300 kr | 3,5 |
| Ektepar | 151 000 kr | 156 300 kr | 3,5 |
| Formuestillegget | |||
| Sats | 2,0 pst. | 2,0 pst. | - |
| Grense | 200 000 kr | 200 000 kr | - |
| Særskilt fradrag i Finnmark og Nord-Troms | |||
| Klasse 1 | 15 000 kr | 15 000 kr | - |
| Klasse 2 | 30 000 kr | 30 000 kr | - |
| Fisker- og sjømannsfradraget | |||
| Sats | 30,0 pst. | 30,0 pst. | - |
| Øvre grense | 80 000 kr | 80 000 kr | - |
| Særskilt fradrag i næringsinntekt for landbruk mv. | |||
| Inntektsuavhengig fradrag | 36 000 kr | 36 000 kr | - |
| Sats utover inntektsuavhengig fradrag | 19,0 pst. | 19,0 pst. | - |
| Maksimalt samlet fradrag | 61 500 kr | 61 500 kr | - |
| Maksimalt fradrag for premie betalt til individuelle pensjonsavtaler (IPA) | 40 000 kr | 40 000 kr | - |
| Maksimalt fradrag for innbetalt fagforeningskontingent mv. | 1 800 kr | 1 800 kr | - |
| Fradrag for reiser mellom hjem og arbeid | |||
| Sats pr. km | 1,40 kr | 1,40 kr | - |
| Nedre grense for fradraget | 12 800 kr | 12 800 kr | - |
| Maksimalt fradrag for gaver til frivillige organisasjoner mv. | 12 000 kr | 15 000 kr | 25,0 |
| Særfradrag for store sykdomsutgifter | |||
| Nedre grense | 9 180 kr | 9 180 kr | - |
| Øvre grense | ubegrenset | ubegrenset | - |
| Foreldrefradrag for dokumenterte kostnader til pass og stell av barn | |||
| Øvre grense | |||
| Ett barn | 25 000 kr | 25 000 kr | - |
| Tillegg pr. barn utover det første | 5 000 kr | 5 000 kr | - |
| Boligsparing for ungdom under 34 år (BSU) | |||
| Sats for skattefradrag | 20 pst. | 20 pst. | - |
| Maksimalt årlig sparebeløp | 15 000 kr | 20 000 kr | 33,3 |
| Maksimalt samlet sparebeløp i ordningen | 100 000 kr | 100 000 kr | - |
| Arbeidsgiveravgift4 | |||
| Sone 1 og 2 | 14,1 pst. | 14,1 pst. | - |
| Sone 3 | 10,2 pst. | 12,1 pst. | 1,9 pst.poeng |
| Sone 4 | 9,5 pst. | 11,7 pst. | 2,2 pst.poeng |
| Sone 5 | 0,0 pst. | 0,0 pst. | - |
| Ekstra arbeidsgiveravgift over 16 G | 12,5 pst. | 0 pst. | -12,5 pst.poeng |
| Formuesskatten | 2005-regler | Forslag 20065 | Endring | ||
| Grenser kroner | Sats | Grenser kroner | Sats | i pst. | |
| Kommune | 0 - 151 000 | 0,0 pst. | 0 - 190 000 | 0,0 pst. | 25,8 |
| 151 000 - | 0,7 pst. | 190 000 - | 0,7 pst. | 25,8 | |
| Stat | |||||
| Klasse 1 | 0 - 151 000 | 0,0 pst. | 0 - 190 000 | 0,0 pst. | 25,8 |
| 151 000 - 540 000 | 0,2 pst. | 190 000 - | 0,2 pst. | 25,8 | |
| 540 000 - | 0,4 pst. | oppheves | |||
| Klasse 2 | 0 - 181 000 | 0,0 pst. | oppheves | ||
| 181 000 - 580 000 | 0,2 pst. | oppheves | |||
| 580 000 - | 0,4 pst. | oppheves | |||
1 For Nord-Troms og Finnmark gjelder en sats på 9,5 pst. i trinn 1 i 2005. Satsen i trinn 1 foreslås redusert til 5 pst. i 2006. Trinn 2 gjelder også for Nord-Troms og Finnmark.
2 Summen av minstefradraget for lønns- og pensjonsinntekt begrenses oppad til øvre grense i minstefradraget for lønnsinntekt, dvs. 63 700 kroner i 2006.
3 Skattyter med lønnsinntekt får det høyeste av sum minstefradrag for lønns- og pensjonsinntekt og særskilt fradrag i arbeidsinntekt.
4 For alle som er 62 år og eldre, gjelder en redusert sats på 4 prosentpoeng. Sonene 2-4 skal fortsatt betale arbeidsgiveravgiftssatsene som gjaldt i 2003 (hhv. 10,6, 6,4 og 5,1 pst.) inntil differansen mellom det foretaket faktisk betalte i arbeidsgiveravgift (etter 2003-reglene) og det foretaket ville ha betalt i arbeidsgiveravgift ved en sats på 14,1 pst. er lik fribeløpet. I 2006 er fribeløpet 270 000 kroner pr. foretak.
5 For 2006 foreslås det at ektefeller får dobbelt bunnfradrag (klasse 2 oppheves).
Kilde: Finansdepartementet.
2.2 Skatt fra lønnstakere og pensjonister
2.2.1 Toppskatt
Skattereformen skal blant annet stimulere til økt og lengre yrkesdeltakelse og bidra til økt likebehandling. Likebehandling av faktisk arbeidsinntekt og fjerning av delingsmodellen, slik Regjeringen har foreslått og Stortinget har vedtatt, forutsetter at marginalskatten på arbeid tilnærmes den effektive skatten på aksjeinntekter (vel 48 pst.). Med dagens toppskattesatser og arbeidsgiveravgift er marginalskatten på arbeid opp til 13,3 prosentpoeng høyere enn marginalskatten på høye utbytter med skjermingsmetoden. Hvis ikke marginalskattesatsene på lønn reduseres tilstrekkelig, vil en ikke oppnå den ønskede likebehandlingen av avkastning av arbeid. Dermed vil det fortsatt være sterke incentiver til å omgjøre faktisk arbeidsinntekt til utbytte når delingsmodellen fjernes fra 1. januar 2006.
Redusert marginalskatt på lønn gjør det mer lønnsomt å arbeide. Lavere marginalskatt på høye lønnsinntekter øker også muligheten for å beholde og tiltrekke seg høyt kvalifisert arbeidskraft til Norge og kan gjøre det mer attraktivt å ta utdanning. Hensyn til fordeling, effektivitet og forenkling gjør at det er bedre med lavere skattesatser kombinert med bredere skattegrunnlag enn høy toppskatt og et skattegrunnlag med mange unntak og særregler. Reduksjonen i toppskatt må derfor også ses i sammenheng med forslagene til utvidelse av blant annet grunnlaget for toppskatten, jf. avsnitt 2.2.5.
Regjeringen foreslår at skattesatsene reduseres i tråd med reformskissen i Ot.prp. nr. 92 (2004-2005) Om lov om endringer i skatte- og avgiftslovgivningen mv. og Skaugeutvalgets forslag. Det innebærer at satsene i trinn 1 og 2 i toppskatten reduseres til henholdsvis 7 pst. og 12 pst., jf. tabell 2.2. Regjeringen foreslår å videreføre en lavere toppskatt for arbeidstakere bosatt i Nord-Troms og Finnmark, og foreslår at satsen i trinn 1 i toppskatten her reduseres fra 9,5 pst. til 5 pst. Innslagspunktet for toppskatt settes til 400 000 kroner, mens innslagspunktet i trinn 2 opprettholdes på 800 000 kroner. Dette tilsvarer om lag lønnsjustering av Skaugeutvalgets forslag til innslagspunkter, og vil sikre at en skattyter med gjennomsnittlig lønn fortsatt ikke vil betale toppskatt. Gjennomsnittslønnen for en heltidsansatt anslås til om lag 387 000 kroner i 2006.
Tabell 2.2 Satser og innslagspunkt i toppskatten. Regler for 1992, 2004 og 2005 samt forslag for 2006. Høyeste marginalskatt på lønnsinntekt, næringsinntekt og aksjeinntekt
| 1992-regler1 | 2004-regler | 2005-regler | Forslag 20062 | |
| Trinn 1 | ||||
| Sats, prosent | 9,5 | 13,5 | 12 | 7 |
| Innslagspunkt kl. 1, kroner | 354 515 | 354 300 | 381 000 | 400 000 |
| Innslagspunkt kl. 23, kroner | 428 963 | 378 600 | 393 700 | 400 000 |
| Trinn 2 | ||||
| Sats, prosent | 13,0 | 19,5 | 15,5 | 12 |
| Innslagspunkt kl. 1, kroner | 398 829 | 906 900 | 800 000 | 800 000 |
| Innslagspunkt kl. 2, kroner | 446 689 | 906 900 | 800 000 | 800 000 |
| Høyeste marginalskatt på lønnsinntekt, inkl. arbeidsgiveravgift | ||||
| Trinn 1 | 53,1 | 55,6 | 54,3 | 49,9 |
| Trinn 2 | 56,1 | 64,7 | 61,5 | 54,3 |
| Høyeste marginalskatt på næringsinntekt, høy trygdeavgift 10,7 pst.4 | ||||
| Trinn 1 | 48,2 | 52,2 | 50,7 | 45,7 |
| Trinn 2 | 48,8 | 55,3 | 54,2 | 50,7 |
| Høyeste marginalskatt på primærnæringsinntekt, trygdeavgift 7,8 pst. | ||||
| Trinn 1 | 45,3 | 49,3 | 47,8 | 42,8 |
| Trinn 2 | 48,8 | 55,3 | 51,3 | 47,8 |
| Høyeste marginalskatt på aksjeinntekt | 28,0 | 28,0 | 28,0 | 48,2 |
1 Innslagspunktene for 1992 er lønnsjustert med anslått lønnsvekst til 2006-nivå. Faktiske innslagspunkt var 200 000 (klasse 1) og 242 000 (klasse 2) i trinn 1 og 225 000 (klasse 1) og 252 000 (klasse 2) i trinn 2.
2 Innslagspunktene i klasse 1 i trinn 1 og i trinn 2 i toppskatten tilsvarer om lag Skaugeutvalgets forslag justert med anslått lønnsvekst fra 2003 til 2006. For Nord-Troms og Finnmark reduseres satsen i trinn 1 fra 9,5 pst. i 2005 til 5 pst. i 2006.
3 Skatteklasse 2 foreslås opphevet fra 2006.
4 I 1992 og 2004 var trygdeavgiften 7,8 pst. for næringsinntekter over 12 G.
Kilde: Finansdepartementet.
Antall toppskattytere anslås på usikkert grunnlag å bli redusert med om lag 35 000 personer til om lag 640 000 personer som følge av forslaget. Antall toppskattytere i trinn 2 anslås å øke med vel 7000 personer til om lag 65 000 personer. Anslagene er svært usikre ettersom det er usikkert hvor mange personer som går ut av toppskatteposisjon når delingsmodellen avvikles og skjermingsmetoden innføres. Det anslås at avviklingen av delingsmodellen for deltakere og aktive aksjonærer isolert sett innebærer at om lag 10 000 personer går ut av toppskatteposisjon i 2006. Noen av disse vil imidlertid med Regjeringens forslag ha incentiver til å øke utbetaling av lønn og arbeidsgodtgjørelse, slik at de likevel vil betale toppskatt. Det er ikke tatt hensyn til slike tilpasninger i anslaget. Dessuten er det ikke tatt hensyn til eventuelle tilpasninger som følge av at skattesatsen på arbeidsinntekter reduseres samtidig som skattegrunnlaget utvidets. Figur 2.2 viser at antall skattytere som betalte toppskatt, økte nesten hvert år fra 1992 til 2001. Antallet har blitt redusert hvert år under denne regjeringen.

Figur 2.2 Antall skattytere i toppskatteposisjon1 og innslagspunktet i trinn 1 i klasse 1 i toppskatten korrigert for gjennomsnittlig årlig lønnsvekst2
Kilde: Statistisk sentralbyrå, Finansdepartementet og Det tekniske beregningsutvalget for inntektsoppgjørene.
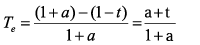
Det er marginalskatt inklusive arbeidsgiveravgift som er relevant i vurderingen av i hvilken grad faktisk arbeidsavkastning blir forskjellsbehandlet i skattesystemet, jf. boks 2.1. En som arbeider i eget aksjeselskap, kan velge å ta ut arbeidsinntekt som lønn og dermed betale arbeidsgiveravgift, eller ta den ut som utbytte og dermed slippe arbeidsgiveravgift.
Boks 2.1 Effektive marginalskattesatser
Arbeidsavkastning skattlegges både på den ansattes hånd og gjennom arbeidsgiveravgiften, slik at arbeidskraftskostnaden blir brutto lønn pluss arbeidsgiveravgift. Arbeidsgiveravgiften beregnes på brutto lønnsutbetaling, dvs. normalt det samme grunnlaget som for inntektsskatten. For hver krone utbetalt i lønn er bedriftens arbeidskraftskostnad (1+a), der a er arbeidsgiveravgiften. Arbeidstaker vil på sin side sitte igjen med (1-t), der t er marginalskatten på lønn. Den effektive marginalskattesatsen, Te, er differansen mellom bedriftens brutto arbeidskraftskostnad og arbeidstakerens netto lønn, regnet som andel av bedriftens brutto arbeidskraftskostnad, det vil si: 
Med dagens satser for trygdeavgift (7,8 pst.), skatt på alminnelig inntekt (28 pst.) og trinn 2 i toppskatten (15,5 pst.) blir t= 0,078+0,28+0,155 = 0,513. Dersom høyeste sats for arbeidsgiveravgift (14,1 pst.) og ekstra arbeidsgiveravgift for lønn over 16 G (12,5 pst.) legges til grunn, blir a= 0,141 + 0,125 = 0,266. Dermed blir den høyeste marginale effektive skattesatsen 0,615, altså 61,5 pst. Den foreslåtte reduksjonen i trinn 2 i toppskatten og fjerningen av den ekstra arbeidsgiveravgiften reduserer den effektive marginalskatten til 54,3 pst. Den effektive marginalskatten i trinn 1 i toppskatten blir 49,9 pst. med Regjeringens forslag.
For å redusere marginalskatten på lønn tilstrekkelig til å oppnå likebehandling, foreslår Regjeringen også å fjerne den ekstra arbeidsgiveravgiften på lønnsinntekter over 16 G (om lag 961 000 kroner i 2005). Dette er nødvendig for å motvirke skattetilpasninger.
Regjeringens forslag innebærer at den høyeste marginalskattesatsen på lønnsinntekt (inkl. arbeidsgiveravgift) vil bli redusert fra 61,5 pst. til 54,3 pst., jf. tabell 2.2. Det er om lag samme nivå som ved innføringen av skattereformen i 1992. Lettelsene i toppskatten må også ses i sammenheng med de skisserte innstrammingene og forenklingene, herunder de vedtatte endringene for enkeltpersonforetak og personlige deltakere, jf. Ot.prp. nr. 92 (2004-2005).
Det er om lag 10 ganger flere lønnstakere i trinn 1 enn i trinn 2 i toppskatten. Når toppskattesatsen reduseres til 7 pst. i trinn 1, vil samlet marginalskatt på dette trinnet bli under to prosentpoeng høyere enn marginalskatten på høye utbytter. Det innebærer at for de fleste skattyterne vil det på marginen ha liten betydning om avkastningen tas ut som lønn eller utbytte. Dersom skattesatsen i trinn 1 settes høyere enn i Regjeringens forslag, vil de som arbeider i eget aksjeselskap lett kunne unngå en slik økning i toppskatten ved å ta ut reell arbeidsinntekt som utbytte. For å unngå omfattende tilpasninger og uakseptabel forskjellsbehandling av arbeidsinntekter, er det derfor viktig å redusere også toppskattesatsen i trinn 1 tilstrekkelig. Regjeringens forslag vil også sikre stor grad av skattemessig likebehandling uavhengig av om virksomheten organiseres som enkeltpersonforetak, deltakerlignet selskap eller aksjeselskap.
Forslaget innebærer at klasse 2 i toppskatten fjernes. Formålet med klasse 2 i inntektsbeskatningen har vært å skattlegge personer med forsørgeransvar (for barn eller ektefelle) lempelig. Det er vanskelig å begrunne at toppskattepliktige skattytere med forsørgeransvar skal ha større skattelempning enn forsørgere med lavere inntekter. Skatteklasse 2 kan også ha en viss negativ virkning på den hjemmeværende ektefellens motiv til å arbeide. Regjeringen mener derfor at lempning i inntektsskatten ved forsørgeransvar bør konsentreres om personfradraget, som er uavhengig av inntektens størrelse.
Lettelsen i toppskatten anslås til om lag 5,6 mrd. kroner påløpt og 4,5 mrd. kroner bokført.
Det vises til forslag til § 3-1 i Stortingets skattevedtak for inntektsåret 2006.
2.2.2 Standardfradrag
Minstefradraget for lønnsinntekter økte betydelig i 2005, og over perioden 2002-2005 er det gitt lettelser gjennom økt minstefradrag på i størrelsesorden 6,6 mrd. kroner påløpt, jf. tabell 2.3. Regjeringen foreslår å øke minstefradraget også i 2006. Det vil redusere marginalskatten for mange og stimulere arbeidstilbudet for personer med lavere og midlere lønnsinntekter. Den foreslåtte økningen av minstefradraget må også ses i sammenheng med forslagene til innstramminger og forenklinger i skattesystemet.
Tabell 2.3 Minstefradrag i lønnsinntekt. Regler for 2002-2005 samt forslag for 2006. Lettelse det enkelte år (regnet i forhold til referansesystemet i de enkelte budsjettene)
| Endring | Forslag | Endring | |||||
| 2002 | 2003 | 2004 | 2005 | 2002-2005 | 2006 | 2005-2006 | |
| Sats, prosent | 23 | 24 | 24 | 31 | 8 pst.poeng | 33,5 | 2,5 pst.poeng |
| Øvre grense (kroner) | 43 000 | 45 700 | 47 500 | 57 400 | 33,5 pst. | 63 700 | 11 pst. |
| Beregnet lønnsnivå for maksimalt minstefradrag (kroner) | 186 957 | 190 417 | 197 917 | 185 161 | 190 149 | ||
| Lettelse (mill. kroner påløpt) | 940 | 740 | 0 | 4 905 | 6 585 | 2 520 | 2 520 |
Kilde: Finansdepartementet.
Regjeringen foreslår å øke satsen i minstefradraget for lønnsinntekt fra 31 pst. til 33,5 pst. og å øke øvre grense fra 57 400 kroner til 63 700 kroner. Økningen i øvre grense er om lag 4300 kroner utover lønnsjustering av grensen. Den lønnsinntekten som gir maksimalt minstefradrag, vil dermed øke fra om lag 185 000 kroner i dag til om lag 190 000 kroner. Sammen med nominell videreføring av lønnsfradraget vil denne omleggingen bidra til at anslagsvis 330 000 personer får redusert marginalskatt på lønn. Dette vil kunne bidra til å stimulere til arbeid. Økningen i minstefradraget vil gi en lettelse på inntil om lag 1200 kroner. Regjeringens forslag till økt minstefradrag innebærer en lettelse på vel 2,5 mrd. kroner påløpt og vel 2 mrd. kroner bokført i 2006.
Gjennomsnittsskatten på lave og midlere lønnsinntekter er lavere i Norge enn i Sverige og Danmark, jf. figur 2.3. Den lave gjennomsnittsskatten i Norge skyldes de høye standardfradragene (personfradraget, minstefradraget og lønnsfradraget).

Figur 2.3 Gjennomsnittsskatt1 etter 2005-regler for lave lønnsinntekter2 i Norge, Sverige og Danmark. Prosent
Kilde: Finansdepartementene i Norge og Sverige og Skatteministeriet i Danmark.
Regjeringen foreslår, i tråd med skattemeldingen, at øvre grense i minstefradraget for pensjonsinntekter lønnsjusteres fra 49 400 kroner til 51 100 kroner, og at satsen på 24 pst. holdes uendret. Økt minstefradrag i lønn, men ikke i pensjonsinntekt, gjør det isolert sett mer lønnsomt å jobbe enn å motta trygd. Minstefradraget er delvis begrunnet med at det skal dekke utgifter til inntekts ervervelse. Dette tilsier at det bør skilles mellom lønns- og pensjonsinntekter, siden pensjonister i liten grad har slike utgifter. Dessuten er skattereglene for pensjonsinntekter allerede svært gunstige både i forhold til tilsvarende lønnsinntekter og i forhold til skattlegging av pensjonsinntekt i våre naboland. Fremdeles vil skatten på pensjonsinntekt være lavere enn på lønn på alle inntektsnivåer, jf. figur 2.4.
Figur 2.4 viser hvor mye lavere skatten på pensjonsinntekt er i forhold til skatten på tilsvarende lønnsinntekt i Norge, Sverige og Danmark. Figuren illustrerer at det nesten ikke er forskjell mellom skatt på lønn og pensjon i Sverige. Skatten på pensjonsinntekter i Norge i intervallet 100 000-400 000 kroner er derimot mellom 13 000 og 22 000 kroner lavere enn skatten på tilsvarende lønnsinntekter. Figuren illustrerer videre at skattefavoriseringen av pensjon (målt i kroner) i Norge øker for høye inntekter. Det skyldes at trygdeavgiften på pensjon er 4,8 prosentpoeng lavere enn på lønnsinntekter. Skattefavoriseringen av pensjonsinntekt er om lag konstant i Sverige, mens den reduseres for høyere inntekter i Danmark.

Figur 2.4 Forskjell i skatt på pensjons- og lønnsinntekter1 i Norge, Sverige og Danmark. 2005-regler. Kroner
Kilde: Finansdepartementene i Norge og Sverige og Skatteministeriet i Danmark.
Minstefradraget for lønnsinntekter gjelder også for dagpenger, tidsbegrenset uførestønad og rehabiliterings- og attføringspenger. Dette skyldes at disse ytelsene etter gjeldende regler i hovedsak skattlegges som lønnsinntekt. Minstefradraget for lønnsinntekter og minstefradraget for pensjonsinntekter samordnes for skattytere som har både lønns- og pensjonsinntekter, slik at samlet fradrag ikke kan overstige øvre grense i minstefradraget for lønnsinntekter, dvs. 63 700 kroner.
Det vises til forslag til § 7-1 i Stortingets skattevedtak for inntektsåret 2006 og forslag til lovendring i Ot.prp. nr. 1 (2005-2006) Skatte- og avgiftsopplegget 2006 - lovendringer.
Regjeringen foreslår å holde det særskilte fradraget i arbeidsinntekt (lønnsfradraget) på 31 800 kroner nominelt uendret fra 2005 til 2006. Det vil bidra til å redusere marginalskatten på lønn i intervallet 94 925-106 171 kroner. Med Regjeringens forslag til minstefradrag for lønnsinntekter vil det normalt lønne seg for skattytere med under 94 925 kroner i lønnsinntekt å benytte lønnsfradraget i stedet for minstefradraget i lønnsinntekter. Nominell videreføring av lønnsfradraget innebærer isolert sett en skatteøkning på inntil 312 kroner for lønnsinntekter i intervallet 67 200-98 248 kroner regnet i forhold til referansesystemet. Isolert anslås den nominelle videreføringen av lønnsfradraget å gi en innstramming på om lag 40 mill. kroner påløpt og 32 mill. kroner bokført i forhold til referansesystemet for 2006.
Det gis personfradrag ved beregninger av skatt på alminnelig inntekt for personlige skattytere. Det foreslås at personfradragene oppjusteres med anslått lønnsvekst til 35 400 kroner i klasse 1 og 70 800 kroner i klasse 2.
Det vises til forslag til § 7-3 i Stortingets skattevedtak for inntektsåret 2006.
Figur 2.5 viser marginalskatt på lønn eksklusiv arbeidsgiveravgift med Regjeringens forslag til endringer i toppskatt og minstefradrag for en lønnstaker som lignes i klasse 1. Regjeringens forslag innebærer at denne marginalskatten reduseres til 26,4 pst. for lønn mellom 94 900 og 190 100 kroner. Det er anslagsvis 330 000 skattytere som har lønn i dette intervallet. For lønn i intervallet 67 200-94 900 kroner er marginalskatten 35,8 pst., noe som skyldes at lønnsfradraget er større enn minstefradraget i dette intervallet. Over 190 100 kroner vil minstefradraget tilsvare øvre grense, og marginalskatten blir da igjen 35,8 pst. For lønn mellom 400 000 kroner og 800 000 kroner, det vil si trinn 1 i toppskatten, vil marginalskatten på lønn være 42,8 pst. For lønn over 800 000 kroner vil marginalskatten være 47,8 pst.

Figur 2.5 Marginalskatt på lønnsinntekt (eksklusiv arbeidsgiveravgift) i Regjeringens forslag for 2006. Prosent
Kilde: Finansdepartementet.
2.2.3 Særskilte skatteregler for trygdede mv.
Pensjonister og andre personer med trygdeytelser blir i utgangspunktet skattlagt likt med andre personlige skattytere. Viktige unntak sikrer imidlertid at pensjonister betaler mindre skatt enn lønnstakere med samme inntekt. For det første er trygdeavgiften på pensjonsinntekt 3 pst., mens den er 7,8 pst. på lønnsinntekt. For det andre får alders- og uførepensjonister et særfradrag i alminnelig inntekt på maksimalt 19 368 kroner i 2005. For det tredje gjelder en særskilt skattebegrensningsregel for pensjonister, jf. nedenfor. Tidsbegrenset uførestønad regnes ikke som pensjon og skattlegges som lønn. Ytelsen gir imidlertid rett til særfradrag etter reglene for uførepensjonister. Rehabiliterings- og attføringspenger regnes heller ikke som pensjon og skattlegges i sin helhet som lønn.
Pensjonister med midlere og lave inntekter og formuer sikres en ytterligere skattereduksjon gjennom skattebegrensningsregelen, jf. skatteloven § 17-1. AFP-pensjonister, enslige forsørgere med overgangsstønad og personer med alderspensjon fra folketrygden kan skattlegges etter skattebegrensningsregelen dersom dette gir lavest skatt. Uførepensjonister kan skattlegges etter skattebegrensningsregelen dersom ervervsevnen er redusert med minst 2/3. Ved utgangen av 2004 hadde om lag 85 pst. av alle uførepensjonistene så lav ervervsevne. Skattebegrensningsregelen kommer ikke til anvendelse for blant annet mottakere av rehabiliterings- og attføringspenger og tidsbegrenset uførestønad.
Fordelen av skattebegrensningsregelen avtrappes ved at inntekter over skattefri netto inntektsgrense skattlegges med 55 pst. Skattefordelen avtrappes raskere for dem med høy formue, ved at 2 pst. av nettoformuen over 200 000 kroner blir lagt til inntekten.
Regjeringen foreslår at den skattefrie nettoinntekten for pensjonister mv. som kommer inn under skattebegrensningsregelen, justeres med anslått lønnsvekst til 95 300 kroner for enslige og 156 300 kroner for ektepar. Dette betyr at en enslig pensjonist som kun har pensjonsinntekt, og ikke har fradrag utover standardfradrag eller netto formue over 200 000 kroner, kan ha en pensjonsinntekt på om lag 125 400 kroner i 2006 uten å betale skatt. Til sammenlikning vil en enslig lønnstaker med 125 400 kroner i lønn betale nesten 23 200 kroner i skatt.
For ektepar øker grensen fra om lag 198 600 kroner i 2005 til vel 205 600 kroner i 2006. Et ektepar med 205 600 kroner i samlet lønn vil betale knapt 34 500 kroner samlet i skatt.
I 2006 vil anslagsvis halvparten av alle pensjonister og trygdemottakere bli skattlagt etter skattebegrensningsregelen. Av disse betaler knapt 80 pst. inntektsskatt, mens vel 20 pst. ikke betaler skatt. Pensjonister som skattlegges etter skattebegrensningsregelen, og som har en vekst i pensjonen opp mot anslått lønnsvekst, vil normalt få uendret skatt. Regjeringens forslag til lettelser i formuesskatten vil også komme pensjonister med positiv nettoformue til gode. Pensjonistene som gruppe vil i gjennomsnitt få om lag 750 kroner lavere formuesskatt med Regjeringens forslag.

Figur 2.6 Beregnet skatt1 på pensjonsinntekt for enslige alderspensjonister sammenliknet med skatt på lønnsinntekt for lønnstakere i klasse 1. Forslag til 2006-regler. Kroner
Kilde: Finansdepartementet.
Figur 2.6 viser beregnet skatt på pensjonsinntekt for enslige alderspensjonister og lønnsinntekt for lønnstakere i klasse 1 med Regjeringens forslag til skatteregler for 2006. Figuren illustrerer at pensjonister på alle inntektsnivåer betaler lavere skatt enn lønnstakere. Figuren viser også hva enslige alderspensjonister ville betalt i skatt uten skattebegrensningsregelen. Enslige alderspensjonister (uten formue over 200 000 kroner, uten andre inntekter enn pensjon og uten andre fradrag enn standardfradrag) vil med Regjeringens forslag betale skatt etter ordinære regler dersom pensjonsinntekten overstiger vel 211 600 kroner.
Det foreslås at særfradraget for alder og uførhet mv. på 19 368 kroner holdes nominelt uendret fra 2005 til 2006. Dette gir isolert sett en reell innstramming på opptil 190 kroner. Å holde særfradraget nominelt uendret får kun effekt for dem som har så høy inntekt og/eller formue at de ikke skattlegges etter skattebegrensningsregelen. Forslaget anslås isolert å gi en provenyøkning på om lag 65 mill. kroner påløpt og 50 mill. kroner bokført.
2.2.4 Skatt på formue
Regjeringen foreslår å redusere formuesskatten med om lag 1,9 mrd. kroner påløpt i 2006. Det tilsvarer halvparten av den varslede halveringen av formuesskatten over årene 2006 og 2007, jf. skattemeldingen (St.meld. nr. 29 (2003-2004)). Etter det vil Regjeringen at formuesskatten skal trappes videre ned med sikte på avvikling.
Dagens formuesskatt gir svært ulik skattebelastning avhengig av hvilke objekter formuen plasseres i. Dette vrir sparebeslutningene og kan gi urimelig forskjellsbehandling av enkeltpersoner. Lavere skatt på sparing vil dessuten kunne bedre kapitaltilgangen til deler av norsk næringsliv som er avhengig av innenlandsk kapital. Dermed bedres rammebetingelsene for privat eierskap. Lavere formuesskatt vil også redusere risikoen for skattemotivert utflytting.
Nedtrapping av formuesskatten henger nøye sammen med den økte skattleggingen av eieravkastning ved innføring av skjermingsmetoden. Et slikt skifte i vektleggingen av kapitalbeskatningen fra formue til inntekt vil dessuten bringe de norske reglene nærmere skattleggingspraksis i andre land. Av EØS-landene har Norge, Sverige, Finland, Frankrike, Island, Spania, Luxemburg og Liechtenstein formuesskatt. Danmark, Nederland, Tyskland og Østerrike har avviklet formuesskatten i løpet av de siste ti årene. Island avvikler formuesskatten fra og med 2006, og den finske regjeringen har som mål å fjerne formuesskatten i 2006.
Regjeringen foreslår følgende endringer i formuesskatten:
Klasse 2 i formuesskatten fjernes. Det innebærer at ektefeller, som fortsatt vil bli lignet under ett for formue, får dobbelt bunnfradrag ved beregning av formuesskatten mot ett fradrag med dagens regler.
Den høyeste satsen for formuesskatt til staten fjernes, slik at det blir én sats til staten på 0,2 pst. Satsen for formuesskatt til kommunen opprettholdes på 0,7 pst. Høyeste formuesskattesats reduseres dermed fra 1,1 pst. til 0,9 pst.
Bunnfradraget økes fra 151 000 kroner til 190 000 kroner både i formuesskatten til kommune og stat.
De foreslåtte endringene innebærer at formuesskatten forenkles vesentlig. Ektefeller med skattepliktig formue kommer særlig godt ut med Regjeringens forslag som følge av at klasse 2 fjernes, jf. tabell 2.4. Et ektepar med netto formue på 500 000 kroner vil få redusert formuesskatten med om lag 1950 kroner, mens en enslig med tilsvarende formue vil få en lettelse på om lag 300 kroner.
Tabell 2.4 Eksempler på endringer i formuesskatt fra 2005 til 2006 for enslige og for ektepar. Kroner
| Forslag | Endring i skatt | ||
| 20051 | for 2006 | (negative tall | |
| betyr lettelse) | |||
| Enslig, formue 500 000 kroner | 3 093 | 2 790 | -303 |
| Herav: | |||
| Formuesskatt, stat | 687 | 620 | -67 |
| Formuesskatt, kommune | 2 406 | 2 170 | -236 |
| Ektepar, formue 500 000 kroner2 | 3 031 | 1 080 | -1 951 |
| Herav: | |||
| Formuesskatt, stat | 625 | 240 | -385 |
| Formuesskatt, kommune | 2 406 | 840 | -1 566 |
1 Tilsvarer 2005-regler der innslagspunktene i formuesskatten er framskrevet med anslått lønnsvekst fra 2005 til 2006.
2 Det er lagt til grunn at formuen er likt fordelt mellom ektefellene i 2006.
Kilde: Finansdepartementet.
Den gjennomsnittlige nettoformuen for ulike sosioøkonomiske grupper varierer, og fordelingen av lettelsene i formuesskatten vil gjenspeile dette. I referansesystemet for 2006 anslås trygdedes nettoformue til 346 500 kroner i gjennomsnitt, mens lønnstakere i gjennomsnitt har en nettogjeld på 74 000 kroner. Nettoformuen for selvstendig næringsdrivende er 263 000 kroner i gjennomsnitt. Gjennomsnittlig nettoformue for alle gruppene er vel 68 500 kroner. Gjennomsnittlig lettelse i formuesskatten anslås til om lag 550 kroner pr. person (17 år og eldre) som følge av forslaget. Lønnstakere, trygdede og selvstendig næringsdrivende får i gjennomsnitt en isolert skattelettelse på henholdsvis om lag 450 kroner, 750 kroner og 1250 kroner.
I 2006 vil knapt 40 pst. av inntektene fra formuesskatten for personlige skattytere komme fra trygdede. Regjeringens forslag til lettelser i formuesskatten vil derfor komme også pensjonistene til gode.
Det vises for øvrig til omtale i Ot.prp. nr. 1 (2005-2006) Skatte- og avgiftsopplegget 2006 - lovendringer.
2.2.5 Skatt på naturalytelser
Skattesystemet bør innrettes slik at all avlønning skattlegges likt, uavhengig av om den ytes i form av kontanter (lønn) eller naturalytelser som telefon, hjemme-PC etc. Skaugeutvalget advarte mot å frita naturalytelser for skattlegging. Utvalget mente at den skattepliktige fordelen av naturalytelser i utgangspunktet bør tilsvare markedsverdien, dvs. kostnadene arbeidstakeren ville ha pådratt seg dersom han selv hadde anskaffet tilsvarende ytelse privat. Dette prinsippet er viktig for å unngå at skattegrunnlaget uthules og reglene kompliseres ved at skattefavoriserte naturalytelser benyttes i stedet for lønn.
Skaugeutvalget pekte på at det i praksis er høytlønte som mottar mest avlønning i form av naturalytelser, og mente at en liberal skattlegging av naturalytelser vil bidra til å uthule fordelingspolitikken. Utvalget foreslo å endre en del regler vedrørende grunnlaget for skattleggingen av personer med sikte på å få et enklere skattesystem med et så bredt og nøytralt skattegrunnlag som mulig. Utvalget mente at den reelle skattleggingen av ulike personer bør avgjøres av de formelle skattesatsene, og ikke av hvilke muligheter den enkelte har til å benytte seg av fradragsordninger og andre særordninger i skattesystemet.
I figur 2.7 er alle lønnstakere rangert etter stigende inntekt og inndelt i ti like store grupper (inntektsdesiler). Figuren viser hvordan skattepliktige og enkelte skattefrie naturalytelser er fordelt på disse gruppene. Figuren omfatter blant annet naturalytelser som firmabil, telefon, aviser, forsikringsordninger, rentefordel ved rimelige lån, aksjer til underkurs, opsjonsytelser m.m. De aller fleste av disse skattlegges, men ikke nødvendigvis i tråd med prinsippene for skattlegging av naturalytelser. Figuren illustrerer viktigheten av at forskjellige former for avlønning skattlegges likt for at omfordelingen i skattesystemet skal være effektiv.

Figur 2.7 Fordelingen av skattepliktige og skattefrie naturalytelser etter inntektsgruppe (desiler). Alle lønnstakere. Prosent av samlede naturalytelser. 2004
Kilde: Statistisk sentralbyrå og Finansdepartementet.
Regjeringen understreket i skattemeldingen betydningen av et skattegrunnlag som gjenspeiler de økonomiske realitetene. Brudd på dette prinsippet gjør det vanskeligere å oppnå andre mål for skattesystemet. Brede grunnlag gjør det derimot mulig med relativt lave skattesatser, sikrer at satsstrukturen har den tilsiktede fordelingsvirkningen og er en forutsetning for et nøytralt og effektivt skattesystem. I tråd med dette foreslår Regjeringen endringer i regelverket for telefon m.m., hjemme-PC, hyretillegg og fri kost for ansatte på kontinentalsokkelen, som til sammen anslås å øke provenyet med vel 1,3 mrd. kroner. Forslagene vil dessuten samlet sett gjøre det enklere administrativt både for arbeidsgiver, arbeidstaker og ligningsmyndighetene.
Den økte skattleggingen av enkelte naturalytelser må også ses i sammenheng med foreslåtte lettelser i minstefradrag, toppskatt og formuesskatt. De beregnede fordelingsvirkningene viser at nettovirkningen av skattereformen og av skatteendringene for 2006 isolert sett innebærer lettelser til brede grupper, jf. kapittel 5.
2.2.5.1 Omlegging av skattereglene for telekommunikasjon m.m.
Gjeldende regler
Fordelen av helt eller delvis fri telefon er ikke skattepliktig dersom arbeidstakeren har «behov for telefon av hensyn til sitt arbeid». Skattefritaket er begrenset til de maksimale utgiftene som statstjenestemenn kan få dekket, dvs. 3200 kroner i året. Det stilles ikke krav om dokumentasjon av tjenstlig bruk. Dersom arbeidsgiver dekker telefonutgifter hos arbeidstaker ut over dette, må skattyter sannsynliggjøre at utgiftene er jobbrelatert for at dekningen skal være skattefri. Dersom arbeidsgiver/arbeidstaker avgjør at det foreligger «sterke» tjenstlige behov, kan den skattefrie dekningen omfatte både fasttelefon og mobiltelefon. I slike tilfeller kan arbeidsgiver også dekke inntil 50 pst. av kostnadene til Internett-tilkobling uten at arbeidstaker må betale skatt av dette.
Ifølge Post- og teletilsynets prisoversikt er den gjennomsnittlige årlige private kostnaden til analog fasttelefon og mobiltelefon henholdsvis 4100 kroner og 3800 kroner. Den gjennomsnittlige årlige kostnaden for ISDN-fasttelefon er 5100 kroner. Dagens satser for skattefri utgiftsdekning av fasttelefon og mobiltelefon utgjør i størrelsesorden 80 pst. av de private gjennomsnittlige årlige kostnader til fast- og mobiltelefon.
Næringsdrivende har krav på fradrag for utgifter som knytter seg til inntekts ervervelse, herunder utgifter til telefoni, bredbånd m.m. Fradraget skal imidlertid reduseres med kostnadene som er knyttet til den private bruken. Gjeldende regelverk for beskatning av fasttelefon, mobiltelefon og Internett-tilkobling er til dels svært skjønnspregede og næringsavhengige.
Forslag til nye regler
Etter Regjeringens syn er det behov for nye regler for skattlegging av arbeidsgiverfinansiert telekommunikasjon. Det er blant annet behov for å ha samme regler for skattlegging av Internett-tilkobling som for telefoni. Dette må ses i sammenheng med at de tradisjonelle skillene mellom ulike kommunikasjonsløsninger er i ferd med å bli visket ut. For eksempel kan bredbånd i dag også brukes til telefoni (IP-telefoni). Stadig flere arbeidsgivere går dessuten over til å kun benytte mobiltelefon som tjenestetelefon også i arbeidstiden. Gjeldende regler er dessuten svært administrativt krevende.
I tråd med prinsippene for skattlegging av naturalytelser bør den skattepliktige fordelen tilsvare om lag de kostnadene som arbeidstakeren ville ha pådratt seg dersom han måtte holde telefon m.m. privat. De aller fleste vil uansett ha telefon, noe som ikke var tilfelle den gangen regelverket for utgiftsdekning etter statens satser til fasttelefon ble innført. Regjeringen mener at administrative og kontrollmessige hensyn tilsier at det bør innføres sjablonregler for skattlegging av arbeidsgivers dekning av telekommunikasjonsutgifter, enten arbeidsgiveren står som abonnent (naturalytelse) eller den ansatte betaler utgiftene selv og deretter får dekket utgiftene sine (utgiftsgodtgjørelse).
Forslaget vil innebære en betydelig forenkling for arbeidstaker og arbeidsgiver fordi det ikke lenger vil være behov for å dokumentere tjenstlig og privat bruk. Det er kun nødvendig å dokumentere at de samlede utgiftene som dekkes, faktisk er pådratt. Ved å utvide reglene til å omfatte alle former for elektronisk kommunikasjon, herunder telefoni og Internett-tilkobling m.m., blir regelverket mer robust for endringer i tilbudet av slike tjenester og gir fleksibilitet for arbeidsgivere med hensyn til valg mellom kommunikasjonsformer. Nedenfor gis en oversikt over hovedelementene i sjablonreglene (beløpsgrense med to eller flere abonnement i parentes).
Bunnbeløp: For å skjerme personer med lave telekommunikasjonsutgifter i yrket, og for å kompensere for den ulempen det kan være å ha tjenestetelefon, foreslås det et årlig skattefritt bunnbeløp på 1000 kroner til dekning av telekommunikasjonsutgifter.
Naturalytelse: Dekning mellom 1000 og 5000 (7000) kroner antas å skyldes privat bruk, og legges i sin helhet til inntekten og skattlegges som personinntekt. Dersom arbeidstakere betaler deler av utgiften selv, eller den samlede utgiften er mindre enn den skattepliktige sjablonen, reduseres den skattepliktige sjablonen tilsvarende. Betalt regning over 5000 (7000) kroner er skattefri.
Utgiftsgodtgjørelse: Utgifter mellom 1000 kroner og 5000 (7000) kroner anses i sin helhet å skyldes privat bruk av telefon m.m. og betales av arbeidstaker. Overskytende godtgjørelse er skattefri.
Refusjonsordning:I tillegg foreslås det at det fortsatt skal være adgang til å gi skattefri refusjon av dokumenterte tjenestesamtaler spesifisert etter regning. For ikke å undergrave sjablonordningen må dokumentasjonskravene for refusjon være strenge.
Sjablonbeløpene som foreslås, vil om lag tilsvare den anslåtte gjennomsnittlige privatutgiften til telefon. Sjablonen er satt noe lavere for abonnementer ut over det første (2000 kroner) fordi en må anta at den private nytten av et nytt abonnement avtar med antall abonnementer. I mange tilfeller vil abonnementsavgiften alene utgjøre i størrelsesorden halvparten av inntektssjablonen.
Tabell 2.5 viser eksempler på virkningen av sjablonmetoden ved utgiftsdekning av ett abonnement, både i de tilfellene arbeidstakeren mottar utgiftsdekning i form av naturalytelse og utgiftsgodtgjørelse. I eksempel a) er det lagt til grunn en årlig utgift på 10 000 kroner og i eksempel b) en årlig utgift på 3500 kroner.
Tabell 2.5 Eksempler på utgiftsdekning i form av naturalytelse og utgiftsgodtgjørelse når a) samlet telefonutgift er 10 000 kroner og b) samlet telefonutgift er 3500 kroner. Lønnstaker med ett abonnement
| Naturalytelse | a) | b) |
| Samlet årlig dokumentert telefonutgift | 10 000 kroner | 3 500 kroner |
| Skattefritt bunnbeløp | 1 000 kroner | 1 000 kroner |
| Inntektspåslag | 4 000 kroner | 2 500 kroner |
| Skatt1 | 1 700 kroner | 1 070 kroner |
| Godtgjørelse | a) | b) |
| Samlet årlig dokumentert telefonutgift | 10 000 kroner | 3 500 kroner |
| Skattefritt bunnbeløp | 1 000 kroner | 1 000 kroner |
| Utgiftsgodtgjørelse utover det skattefrie bunnbeløpet | 5 000 kroner | 0 kroner |
| Samlet utgiftsgodtgjørelse | 6 000 kroner | 1 000 kroner |
1 Det er lagt til grunn en skattesats på 42,8 pst. (toppskatt trinn 1). I tillegg kommer arbeidsgiveravgift.
Kilde: Finansdepartementet.
Det foreslås ingen endringer i vilkåret om at den ansatte må ha et tjenstlig behov for telefon m.m.
Det foreslås at sjablonmetoden også gjøres gjeldende for selvstendig næringsdrivende. Med sjablonmetode for skattlegging av telefoni og bredbånd i næringssammenheng vil det ikke lenger være nødvendig å skille mellom utgifter knyttet til yrket og utgifter knyttet til privat bruk. Sjablonmetoden vil innebære en betydelig forenkling for både den næringsdrivende og ligningsmyndighetene.
Proveny- og fordelingsvirkninger av forslaget
Innberetningene til ligningsmyndighetene for 2002 viser at vel 189 000 personer mottok trekkpliktig telefongodtgjørelse, dvs. at de hadde oppgitt å ha brukt tjenestetelefonen til private samtaler ut over statens satser. Dette er tilfeller hvor arbeidsgiveren står som eier av abonnementet. Gjennomsnittlig innrapportert skattepliktig fordel var 1200 kroner i de tilfellene arbeidstakeren var innrapportert med ett abonnement, og 2400 kroner hvis arbeidstakeren var innrapportert med to abonnement. I tillegg fikk anslagsvis 182 000 personer refusjon/godtgjørelse for utgifter tilsvarende statens satser ved jobbsamtaler fra privattelefon. Denne er skattefri, men ytelsen skal spesifiseres av arbeidsgiver på lønns- og trekkoppgaven.
Det er imidlertid mye som tyder på at det er langt flere arbeidstakere som får dekket telefonutgifter av arbeidsgiver enn det som er innrapportert. Blant annet viser Statistisk sentralbyrås mediebruksundersøkelse at det er et stort antall arbeidstakere som får dekket mobilutgiftene helt eller delvis av arbeidsgiver. Sammenliknet med antall innberetninger til ligningsmyndighetene er det klart at mange av disse ikke blir innrapportert. At det er mange som ikke innberettes, skyldes trolig blant annet at dagens ordning er svært administrativt krevende. Det er derfor viktig at dagens regler legges om slik at det oppnås en betydelig administrativ forenkling for både arbeidstaker og arbeidsgiver.
Provenyøkningen som følge av å innføre sjablonmodell for skattlegging av privat fordel av arbeidsgiverbetalt telekommunikasjon anslås på usikkert grunnlag til i størrelsesorden 940 mill. kroner påløpt og 755 mill. kroner bokført i 2006. Provenyøkningens størrelse har sammenheng med at det er mange arbeidsgivere og arbeidstakere innenfor dagens system som berøres av omleggingen.
Omleggingen antas å ha en god fordelingsprofil. Dette skyldes at det er høyinntektsgruppene som i størst grad får dekket telekommunikasjonsutgiftene av arbeidsgiveren. Endrignen i skattereglene for telekommunikasjon er nærmere omtalt i Ot.prp. nr. 1 (2005-2006) Skatte- og avgiftsopplegget 2006 - lovendringer.
2.2.5.2 Hjemme-PC finansiert gjennom bruttotrekkordningen
Ved forskriftsendring i 1997 ble det innført skattefritak ved kjøp av PC-utstyr når dette helt eller delvis finansieres gjennom trekk i arbeidstakerens bruttolønn ( bruttotrekkordningen). Det innebærer at kjøp av PC subsidieres tilsvarende marginalskatten på lønn. Ordningen innebærer redusert skatt både for lønnstaker, som får redusert sin skattepliktige bruttolønn, og for arbeidsgiver, som får redusert grunnlaget for betaling av arbeidsgiveravgift. Bakgrunnen for skattefritaket var et ønske om å bygge opp den generelle IT-kompetansen hos arbeidstakerne. Ordningen ble formelt regelfestet fra 2002.
For å kunne benytte bruttotrekkordningen kreves det at arbeidstaker har tjenstlig behov både for maskinvare og programvare.
En hjemme-PC-avtale med bruttotrekk innebærer at arbeidsgiver kjøper eller leier utstyret og utplasserer det hos den ansatte. Hvis utstyret er leid, betaler arbeidsgiver den månedlige avgiften. Denne summen motsvares av et tilsvarende trekk i den ansattes bruttolønn. Er utstyret kjøpt, betaler arbeidstakeren månedlige avdrag i form av bruttotrekk i bruttolønnen. Avtalene har normalt en varighet på tre år. Etter denne perioden er utstyret nedskrevet og kan overdras til den ansatte. I St.meld. nr. 1 (2005-2006) Nasjonalbudsjettet 2006 er skatteutgiften knyttet til hjemme-PC-er finansiert med bruttolønnstrekk på usikkert grunnlag anslått til 1,1 mrd. kroner.
Det anslås at i størrelsesorden 300 000 arbeidstakere i dag har avtale om bruttotrekk for finansiering av PC-kjøp. Det betyr at det inngås om lag 100 000 avtaler årlig. Ordningen har i så måte vært svært vellykket.
Figur 2.8, som er basert på resultater fra Statistisk sentralbyrås årlige mediebruksundersøkelser, viser at andelen av befolkningen med tilgang til PC i hjemmet har vokst kraftig i de årene bruttotrekkordningen har eksistert. Utviklingen har imidlertid flatet ut de senere årene.

Figur 2.8 Tilgang til PC, internett og bredbånd i hjemmet. Prosent av befolkningen 9-79 år. Prosent
Kilde: Statistisk sentralbyrå.
Siden bruttotrekkordningen ble etablert i 1997 har det vært en utvikling i retning av at mange avtaler nå inkluderer tilleggsutstyr som digitale videokamera og store plasmaskjermer (TV-skjermer). Slikt utstyr kan neppe begrunnes ut fra tjenstlige behov og er dermed i strid med målet med bruttotrekkordningen.
Regjeringen ønsker å videreføre bruttotrekkordningen, men foreslår å begrense utgiftene som kan finansieres ved bruttotrekk, til 10 000 kroner over en treårs periode. Forslaget innebærer at ordinære PC-er fortsatt kan subsidieres gjennom bruttotrekkordningen. Endringen vil bidra til at innkjøp av datautstyr blir mer rettet mot utstyr som i større grad antas å ha et tjenstlig bruksområde.
Forslaget gis virkning fra og med 2005, men bare for avtaler som inngås etter at denne proposisjonen er lagt fram. Det anslås at provenyøkningen blir om lag 40 mill. kroner påløpt i 2005 og 160 mill. kroner påløpt i 2006. Siden endringen får virkning først fra midten av oktober, vil den neppe få bokført virkning i 2005. Den samlede bokførte virkningen på 200 mill. kroner vil derfor komme i 2006. Fordelingsvirkningene av forslaget antas å være gode, ikke minst som følge av at subsidieelementet i ordningen er større jo høyere marginalskatt lønnstakeren har.
Regjeringen foreslår å samle reglene for skattlegging av telefoni og Internett-tilgang, jf. avsnitt 2.2.5.1. Det skjer ved at reglene om arbeidsgivers skattefrie dekning av arbeidstakers utgifter til Internett- eller bredbåndsoppkobling tas ut av hjemme-PC-forskriften og innlemmes i sjablonmetoden for telekommunikasjon m.m., jf. avsnitt 2.2.5.1. Det legges opp til at også Internett-tilgang (bredbånd) som omfattes av eksisterende hjemme-PC avtaler, skal omfattes av sjablonmetoden for telekommunikasjon fra og med 2006. Det vises også til omtale i Ot.prp. nr. 1 (2005-2006) Skatte- og avgiftsopplegget 2006 - lovendringer.
2.2.5.3 Skattlegge hyretillegg for sjøfolk m.fl. og fri kost for ansatte på kontinentalsokkelen
Regjeringen ønsker å videreføre arbeidet med å forenkle og stramme inn særregler i skattesystemet. Det er også nødvendig for å finansiere skattereformen. Å stramme inn regler som mangler god begrunnelse, vil bidra til økt likebehandling og til å bedre omfordelingen gjennom skattesystemet. Regjeringen foreslår derfor på nytt å fjerne det særskilte skattefritaket for hyretillegg, dvs. kostgodtgjørelse til sjøfolk for perioden de er på land, og for fri kost for ansatte på sokkelen. Disse skattefritakene ble vedtatt fjernet i forbindelse med budsjettet i 2005, men ble senere reversert i forbindelse med Revidert nasjonalbudsjett 2005. Forslaget må også ses i sammenheng med de øvrige lettelsene som foreslås, herunder i minstefradraget og toppskatten.
Skattefritaket for hyretillegg er langt på vei historisk begrunnet. I henhold til tariffavtalen mellom Norsk Sjøoffisersforbund og NHO utgjør hyretillegget om lag 16 500 kroner i året. For andre arbeidstakergrupper er slik godtgjørelse til dekning av rene private kostutgifter skattepliktig. Sjøfolk vil fortsatt bli skattemessig gunstig behandlet ettersom denne arbeidstakergruppen har et særskilt inntektsfradrag på 80 000 kroner som andre arbeidstakergrupper ikke har.
Arbeidstakere som har helt eller delvis fri kost i arbeidsforhold, for eksempel hotellpersonale og flypersonale, skattlegges for denne fordelen, mens ansatte på kontinentalsokkelen som nevnt har et særskilt skattefritak. Slik skattemessig forskjellsbehandling mellom ulike arbeidstakergrupper bør unngås. Regjeringen foreslår derfor på nytt å fjerne skattefritaket for fri kost for ansatte på kontinentalsokkelen. Disse har en lønnsinntekt på vel 600 000 kroner i gjennomsnitt, jf. Statistisk sentralbyårs undersøkelse av arbeidskraftskostnader for 2000. En arbeider på kontinentalsokkelen med 600 000 kroner i lønn og som jobber ordinær turnus, vil likevel få en netto skattelettelse på om lag 8500 kroner i gjennomsnitt når innstrammingen ses i sammenheng med de foreslåtte lettelsene i toppskatt og økt minstefradrag. Har vedkommende nettoformue, vil lettelsene bli høyere.
Innstrammingen i skattleggingen av fri kost for ansatte på sokkelen og fjerningen av skattefritaket for mottatt hyretilleggfor sjøfolk m.fl. anslås å øke provenyet med om lag 225 mill. kroner påløpt og 180 mill. kroner bokført i 2006.
Forslaget er nærmere omtalt i Ot.prp. nr. 1 (2005-2006) Skatte- og avgiftsopplegget 2006 - lovendringer.
2.2.6 Fradrag for gaver til frivillige organisasjoner mv.
Etter dagens regler kan giver kreve fradrag for gaver til visse frivillige organisasjoner mv., jf. skatteloven § 6-50. Det er en forutsetning at gaven utgjør minst 500 kroner det året gaven gis. Den øvre grensen for fradraget ble økt fra 6000 kroner i 2004 til 12 000 kroner i 2005.
For å styrke de frivillige organisasjonenes virksomhet foreslår Regjeringen at den maksimale beløpsgrensen for fradrag for gaver til visse frivillige organisasjoner mv. økes til 15 000 kroner fra og med inntektsåret 2006.
Fradragsordningen for gaver til visse frivillige organisasjoner mv. omfatter etter gjeldende regler ikke gaver til politiske partier. Regjeringen foreslår at fradragsordningen utvides, slik at også gaver til politiske partier gjøres fradragsberettiget ved skatteligningen etter reglene i skatteloven § 6-50. Dette ble signalisert i Ot.prp. nr. 84 (2004-2005) Om lov om visse forhold vedrørende de politiske partiene (partiloven). Forslaget er i tråd med anbefalingen fra flertallet i Demokratifinansieringsutvalget, jf. NOU 2004: 25. Fradrag for gaver kan stimulere flere til å delta i finansieringen av partiene - utover det som betales i form av kontingent mv.
Forslagene anslås på usikkert grunnlag å gi en lettelse på 25 mill. kroner påløpt og 20 mill. kroner bokført i 2006.
2.2.7 Boligsparing for ungdom
Etter gjeldende regler gis det skattefradrag for 20 pst. av årlig sparebeløp innenfor ordningen med boligsparing for ungdom (BSU). Det kan spares inntil 15 000 kroner pr. år, men samlet innbetalt beløp kan ikke overstige 100 000 kroner. Det kan gjøres innskudd til og med det året en fyller 33 år.
Det høyeste tillatte innskuddsbeløpet pr. år har vært 15 000 kroner siden 1998. Regjeringen foreslår å øke dette til 20 000 kroner. Det innebærer at maksimalt årlig skattefradrag øker fra 3000 kroner til 4000 kroner. Innskuddsrammen på 100 000 kroner foreslås videreført. Lettelsen anslås på usikkert grunnlag til om lag 70 mill. kroner påløpt og 55 mill. kroner bokført i 2006.
2.2.8 Skattlegging av personer fra andre EØS-land med begrenset skatteplikt
Som ledd i EØS-tilpasningen foreslår Regjeringen å innføre fradragsrett for fysiske personer som er begrenset skattepliktige fra andre EØS-land på lik linje med personer bosatt i Norge. Forslaget er med på å sikre at Norge oppfyller sine forpliktelser som følger av EØS-avtalen når det gjelder fri bevegelse av arbeidstakere. Fradragsretten vil være betinget av at det alt vesentlige av inntekten er opptjent her. Det foreslås at denne gruppen skal ha rett til de samme fradragene som bosatte, med unntak av fradrag for renteutgifter knyttet til gjeld som er tatt opp utenfor Norge. Renteutgifter knyttet til gjeld som er tatt opp i Norge, skal fortsatt være fradragsberettiget, jf. Ot.prp. nr. 1 (2005-2006) Skatte- og avgiftsopplegget 2006 - lovendringer.
Når det innføres fradragsrett for begrenset skattepliktige fysiske personer fra andre EØS-land på lik linje med personer bosatt i Norge, bør det etter Regjeringens syn samtidig strammes inn i det særskilte standardfradraget som denne gruppen skattytere kan kreve i dag. Økningen i minstefradraget de senere årene tilsier også at standardfradraget strammes inn.
Begrenset skattepliktige fysiske personer har i dag, i tillegg til minstefradrag og personfradrag m.m., rett til et særskilt standardfradrag på 15 pst. av den arbeidsinntekten som inngår i grunnlaget for minstefradraget. Midlertidig bosatte som ikke har til hensikt å bo her mer enn fire år, har tilsvarende fradragsrett. Standardfradraget erstatter blant annet fradrag for arbeidsreiser, merkostnader ved opphold utenfor hjemmet, herunder losji og besøksreiser og fradrag etter EØS-reglene for pendlere, særfradrag for uførhet, sykdomskostnader og alder m.m. Standardfradraget har ingen øvre grense. Fradraget kan i mange tilfeller bli uforholdsmessig stort sammenliknet med de fradragene det er ment å skulle erstatte. Eksempelvis hadde om lag 1000 personer 100 000 kroner eller mer i standardfradrag i 2003. Om lag 54 000 personer krevde standardfradrag i 2003.
Standardfradraget ble innført av forenklingshensyn fordi skattemyndighetene mangler dokumentasjon over hvilke kostnader skattyterne hadde i forbindelse med sitt arbeidsopphold i Norge. Hensynet til forenkling taler etter Regjeringens syn for at standardfradraget videreføres, men at det strammes inn. Regjeringen foreslår derfor å redusere satsen fra 15 pst. til 10 pst. samtidig som det innføres et øvre tak på fradraget på 40 000 kroner. Det foreslås i tillegg at antall år midlertidig bosatte i Norge kan motta standardfradrag, reduseres fra inntil fire år til de to første ligningene.
Forslaget anslås på usikkert grunnlag å øke provenyet med om lag 90 mill. kroner påløpt og om lag 70 mill. kroner bokført i 2006.
Forslaget er omtalt nærmere i Ot.prp. nr. 1 (2005-2006) Skatte- og avgiftsopplegget 2006 - lovendringer.
2.2.9 Beløpsgrense i skattleggingen av firmabiler og yrkesbiler
Fra 2005 ble skattleggingen av firmabil lagt om til en såkalt prosentligningsmodell. Den private fordelen som skal skattlegges, er 30 pst. av bilens listepris som ny under 235 000 kroner og 20 pst. av overskytende verdi.
I Stortingets vedtak framgår det ikke at beløpsgrensen på 235 000 kroner bør prisjusteres på lik linje med andre beløpsgrenser. En slik prisjustering sikrer at nivået på skattleggingen opprettholdes på 2005-nivå, og ikke reduseres fra 2005 til 2006. Dersom beløpsgrensen ikke prisjusteres, vil det ligge en «automatisk» lettelse i skattleggingen av firmabil fra ett år til det neste. Regjeringen foreslår på bakgrunn av dette å prisjustere beløpsgrensen med anslått vekst i konsumprisindeksen fra 2005 til 2006 på 1¾ pst. Beløpsgrensen blir dermed 239 100 kroner for 2006. Beløpsgrensen prisjusteres heretter årlig med forventet vekst i konsumprisindeksen, og den årlige prisjusteringen tas ut av skatteloven og inn i skattelovforskriften.
Det vises også til omtale i Ot.prp. nr. 1 (2005-2006) Skatte- og avgiftsopplegget 2006 - lovendringer.
2.2.10 Nominelt uendrede grenser
I tråd med praksis fra tidligere år legges det opp til at en del særskilte grenser og fradrag holdes nominelt uendret for å gi rom for skatte- og avgiftslettelser på prioriterte områder. Blant annet videreføres sjømanns- og fiskerfradraget, lønnsfradraget, foreldrefradraget, særfradrag for alder og uførhet, fradrag for fagforeningskontingent mv., fradraget for personlige skattytere i Finnmark og Nord-Troms, særskilt fradrag for landbruk mv. og fradrag for premie innbetalt til IPA (individuelle pensjonsavtaler) nominelt uendret. Det foreslås også å beholde grensen i formuestillegget under skattebegrensningsregelen for pensjonister mv. nominelt uendret.
Inkludert samspillsvirkninger mv. anslås dette samlet å gi en innstramming på om lag 230 mill. kroner påløpt og om lag 185 mill. kroner bokført.
2.3 Skattlegging av næringsvirksomhet
2.3.1 Avskrivningssatsen på maskiner
Etter gjeldende regler kan saldo for driftsmidler i saldogruppe d (personbiler, traktorer, maskiner, redskap, instrumenter, inventar mv.) avskrives med inntil 20 pst. Dette er lavere enn i de fleste andre land, og kan blant annet påvirke bedriftenes lokaliseringsbeslutninger. For å øke investeringene foreslår derfor Regjeringen at den maksimale avskrivningssatsen for saldogruppe d økes til 25 pst. Forslaget gir et provenytap på anslagsvis 1650 mill. kroner påløpt og 360 mill. kroner bokført i 2006.
2.3.2 Skattlegging på Svalbard
Svalbardtraktaten artikkel 8 bestemmer at skatter, gebyr og avgifter som oppkreves på Svalbard, utelukkende skal komme Svalbard til gode, og ikke være høyere enn behovene for øygruppen tilsier.
For å tilpasse skattereglene på Svalbard til skattereformen foreslår Regjeringen enkelte endringer. Skattesatsen på selskapsoverskudd og kapitalinntekter m.m. er i dag 10 pst. For aksjonærer og andre selskapsdeltakereforeslås det skattlegging ved utdeling fra selskapet tilsvarende som på fastlandet, men uten skjermingsfradrag. Den samlede skattesatsen for selskap og deltaker blir dermed 19 pst. For selvstendig næringsdrivende foreslås det at skjermingsmetoden gjennomføres tilsvarende som på fastlandet. Den høyeste marginalskattesatsen blir dermed 20,7 pst. for næringsdrivende som er medlem i den norske folketrygden.
Lønn for arbeid som utføres på Svalbard, er skattepliktig til Svalbard dersom oppholdet varer minst 30 dager sammenhengende. Lønn skattlegges etter lønnstrekkordningen, dvs. at skattegrunnlaget er brutto lønn uten fradrag. Skattesatsen for lønn er etter gjeldende regler 8 pst., og det betales trygdeavgift på 7,8 pst., slik at samlet skatt på lønn er 15,8 pst. Det utlignes ikke toppskatt på lønnsinntekter.
Regjeringen foreslår at skattesatsen i lønnstrekkordningen økes til 12 pst., blant annet for å unngå at aksjeskattleggingen omgås gjennom lønnsuttak. Samlet skatt på lønn økes dermed til 19,8 pst.
Skattesatsene på Svalbard vil med dette forslaget likevel være vesentlig lavere enn på fastlandet. Personlige aksjonærer og andre personlige selskapsdeltakere på fastlandet kan derfor ønske å flytte til Svalbard for å realisere aksjegevinster mv. der. For å motvirke slike skattetilpasninger foreslår Regjeringen en egen regel om at slik inntekt forblir skattepliktig til fastlandet i en femårsperiode etter utflytting til Svalbard. En liknende regel gjelder generelt for aksjegevinster ved utflytting fra Norge.
Etter gjeldende regler betaler personer lignet på Svalbard 0,9 pst. skatt av formue mellom 140 000 kroner og 540 000 kroner og 1,1 pst. skatt av formue over 540 000 kroner. Det foreslås tilsvarende endringer i formuesskatten på Svalbard som på fastlandet. Bunnfradraget økes til 190 000 kroner, og det innføres én formuesskattesats på 0,9 pst. Det foreslås videre at ektepar får dobbelt bunnfradrag, jf. avsnitt 2.2.4. Høyeste formuesskattesats reduseres dermed tilsvarende som på fastlandet. Forslaget må ses i sammenheng med økt skattlegging av eieravkastning ved innføring av skjermingsmetoden.
Samlet anslås forslagene å gi Svalbard om lag 13 mill. kroner i økte skatteinntekter, i hovedsak som følge av økt skattesats på lønn. Økningen i skatteinntektene medfører at tilskuddet til Svalbard over kap. 480, post 50 kan reduseres med 13 mill. kroner i budsjettet for 2006, jf. St.prp. nr. 1 (2005-2006) Justis- og politidepartementet.
Det vises til nærmere omtale i Ot.prp. nr. 1 (2005-2006) Skatte- og avgiftsopplegget 2006 - lovendringer.
Regjeringen har satt ned en arbeidsgruppe for å vurdere skattereglene og skattenivået på Svalbard nærmere.
2.3.3 Fradrag for underskudd
Skaugeutvalget foreslo å avvikle begrensningen i adgangen til å framføre underskudd til ti år og å innføre adgang til å framføre underskudd ved opphør av næring, jf. NOU 2003:9. I skattemeldingen varslet Regjeringen at den ville endre reglene om framføring av underskudd i samsvar med utvalgets forslag.
Grensen for framføring av underskudd på ti år har vært satt etter en avveining mellom administrative hensyn og hensynet til å sikre at skattyterne får fradrag for underskudd i senere inntekt. Ved å avvikle tidsbegrensningen i adgangen til å framføre underskudd, vil skattleggingen bli mer symmetrisk og nøytral fordi sikkerheten for å få fradrag for påløpte utgifter økes. Regjeringen foreslår derfor at tidsbegrensningen på ti år fjernes fra 2006. Behov for å framføre underskudd ut over ti år oppstår trolig sjelden. Provenyvirkningene av å oppheve begrensingen antas derfor å være ubetydelige.
Den gjeldende regelen om avskjæring av rett til å framføre underskudd ved opphør av næring henger ikke godt sammen med de øvrige reglene om samordning av underskudd. I dag faller retten til fradrag for tidligere års underskudd bort dersom underskuddet er oppstått i en virksomhet som nedlegges eller overdras til andre. Da denne bestemmelsen ble innført, var det ikke adgang til å føre underskudd i en virksomhet til fradrag i overskudd fra en annen virksomhet.
Etter gjeldende regler er det vid adgang til å avregne underskudd fra en virksomhet mot andre virksomhetsinntekter (inkl. lønnsinntekt) før virksomheten opphører. Det er derfor ikke sterke grunner til at retten til framføring skal bortfalle når virksomheten opphører. Bestemmelsen medfører også avgrensningsproblemer fordi det kan være vanskelig å avgjøre når en virksomhet faktisk har opphørt. Regjeringen foreslår på denne bakgrunn å oppheve bestemmelsen fra 2006. Det anslås at provenyet vil reduseres med om lag 55 mill. kroner påløpt som følge av endringen. Forslaget har ingen bokført virkning i 2006.
Det vises også til omtale i Ot.prp. nr. 1 (2005-2006) Skatte- og avgiftsopplegget 2006 - lovendringer.
2.3.4 Fradrag for eierkostnader med tilknytning til skattefrie aksjeinntekter
Ved innføring av fritaksmetoden ble fradrag for kostnader tilknyttet aksjeinntekter mv. fjernet, jf. Ot.prp. nr. 1 (2004-2005) Skatte- og avgiftsopplegget 2005 - lovendringer. I Revidert nasjonalbudsjett 2005 varslet Regjeringen at den ville vurdere spørsmålet om fradragsrett for slike kostnader, og eventuelt komme tilbake til dette i forbindelse med budsjettet for 2006.
Fritaksmetoden, herunder fjerningen av fradraget for aksjeeierkostnader, innebærer at selskaper i større grad enn tidligere må skille mellom kostnader som er knyttet til henholdsvis skattepliktig og skattefri inntekt. Det kan være vanskelig å avgjøre om kostnadene relaterer seg til det ene eller andre. Dette gjelder blant annet kostnader knyttet til internrevisjon og generalforsamling i morselskapet. Administrative hensyn tilsier derfor at fradraget gjeninnføres. Dette vil i tillegg gi større likebehandling av næringsvirksomhet organisert i konsernstruktur og næringsvirksomhet som er organisert i underavdelinger innenfor et selskap.
På denne bakgrunn foreslår Regjeringen å gjeninnføre fradragsrett for løpende kostnader med tilknytning til skattefrie aksjeinntekter (utbytte) mv. fra og med 2005. Forslaget omfatter ikke kostnader til kjøp av aksjer. Provenytapet anslås skjønnsmessig til 100 mill. kroner bokført i 2006.
Det vises også til omtale i Ot.prp. nr. 1 (2005-2006) Skatte- og avgiftsopplegget 2006 - lovendringer.
2.3.5 Skattlegging ved innløsning av festet tomt m.m.
I Ot.prp. nr. 92 (2004-2005) Om lov om endringer i skatte- og avgiftslovgivningen mv. varslet Regjeringen at den ville komme tilbake med forslag om endringer i regelverket for betinget skattefritak. Regjeringen mener at regelverket bør omfatte både gevinst i forbindelse med realisasjon av festetomter i tilfeller der festeren krever innløsning i henhold til tomtefesteloven og i forbindelse med frivillig skogvern.
Gevinst ved ufrivillig realisasjon av formuesobjekt som følge av brann eller annen ulykke, ekspropriasjon eller innløsning av festet tomt, fritas etter gjeldende regler for inntektsskatt. Fritaket forutsetter at vederlaget benyttes til å erverve nytt objekt av samme art innen utløpet av året etter realisasjonsåret.
Etter gjeldende regler kan gevinst som skyldes realisasjon av bortfestet tomt, bare kreves avsatt betinget skattefritt dersom festeren faktisk har krevd tvungen innløsning etter lov om tomtefeste. Som varslet i Revidert nasjonalbudsjett 2005 foreslår Regjeringen at det betingede skattefritaket med virkning fra 2006 også skal omfatte realisasjon der festeren kunne kreve tvungen innløsning. Gjeldende avgrensning av skattefritaket foreslås endret slik at det omfatter alle tilfeller der festeren har krav på innløsning, uavhengig av om bortfesteren har motsatt seg innløsning eller ikke.
Regjeringen foreslår dessuten en noe utvidet adgang til å reinvestere gevinsten. Dagens regler krever at gevinsten investeres i nytt objekt av samme art. Det foreslås at gevinsten også skal kunne benyttes til erverv av eller påkostning på areal, bygg eller anlegg, men ikke bolig- og fritidsbolig.
Regjeringen foreslår også å utvide området for betinget skattefritak til å omfatte gevinst i forbindelse med erstatning til skogeiere ved skogvern etter naturvernloven. Det innebærer at adgangen til betinget skattefritak skal omfatte frivillig vern av skog, ikke bare tvunget vern. I en del tilfeller kan det være vanskelig å skaffe til veie erstatningsskog i rimelig nærhet. Regjeringen foreslår at denne adgangen til å reinvestere skal omfatte erverv av jord eller skog, og erverv av eller påkostning av bygg eller anlegg til bruk i jordbruks- eller skogbruksdrift eller i attåtnæring (turisme, jakt, fiske, husflid mv.) på jord- eller skogeiendom. Det foreslås at omleggingen skal gjelde fra 2005. Eventuell ikrafttredelse først fra 2006 ville gjøre realisasjon i 2005 skattepliktig, mens realisasjon i 2004 (jf. den gamle tiårsregelen) eller i 2006 vil være skattefri.
Regjeringen mener videre at den generelle regelen om at reinvestering må skje innen året etter realisasjonsåret bør utvides noe. Det foreslås derfor at fristen forlenges til tre år etter realisasjonsåret. Dette vil blant annet gi bedre tid til å planlegge reinvesteringer.
Forslagene anslås å redusere provenyet med 10 mill. kroner påløpt og 25 mill. kroner bokført i 2006. Det vises også til omtale i Ot.prp. nr. 1 (2005-2006) Skatte- og avgiftsopplegget 2006 - lovendringer.
2.3.6 Tilpasning til ESAs reviderte retningslinjer for sjøtransport - virkninger for riggselskaper
ESAs reviderte statsstøtteretningslinjer for sjøtransport innebærer blant annet at flyttbare innretninger for bruk i petroleumsvirksomhet som rigger, produksjonsskip mv., ikke lenger er tillatte eiendeler innenfor rederiskatteordningen. Dette innebærer at riggselskap må tre ut av rederiskatteordningen. Høy oljepris har økt leteaktiviteten. I kombinasjon med relativt begrenset nybygging av rigger de senere årene, har dette gitt en høy utnyttelsesgrad av riggene og en sterk økning i riggratene. Riggselskapene er følgelig i et marked med sterk etterspørsel og begrenset tilbud og har derfor muligheter for høy fortjeneste. I Ot.prp. nr. 92 (2004-2005) Om lov om endringer i skatte- og avgiftslovgivingen mv. ble det varslet at nødvendige endringer i regelverket legges fram i budsjettet for 2006, med ikrafttredelse fra inntektsåret 2006. Departementet varslet samtidig at man da ville vurdere om det er behov for overgangsregler for berørte riggselskap.
Etter de alminnelige uttredelsesreglene skal det foretas et inntektsoppgjør ved uttreden av rederiskatteordningen. Den beregnede gevinsten (tapet) skal føres på selskapets gevinst- og tapskonto og inntektsføres (fradragføres) med 20 pst. av gjenstående saldo pr. år. Selskapene får etter uttreden også avskrive sine driftsmidler med 14 pst. av gjenstående saldo pr. år, med utgangspunkt i driftsmidlenes markedsverdi ved uttreden. Dersom riggselskapene skulle tre ut etter ordinære regler, anslås på usikkert grunnlag provenyøkningen i 2006 til i størrelsesorden 170 mill. kroner påløpt.
I forbindelse med Revidert nasjonalbudsjett 2005 ba Stortinget om at Regjeringen fremmer forslag til overgangsregler i forbindelse med budsjettet for 2006. Departementet fremmer derfor forslag om overgangsregler.
Departementet foreslår overgangsregler hvor selskapenes beregnede gevinst ved uttreden kommer til fradrag i avskrivingsgrunnlaget. Dersom beregnet gevinst overstiger avskrivningsgrunnlaget, skal det overskytende inntektsføres årlig med 20 pst. av saldo over gevinst- og tapskonto. Dersom avskrivningsgrunnlaget overstiger beregnet gevinst, skal det overskytende på vanlig måte fradragsføres årlig med 14 pst. av saldo. For selskaper som går ut av ordningen med beregnet tap, foreslås det ingen endringer. Det anslås på usikkert grunnlag at overgangsregelen første år etter uttreden vil bety en lettelse for selskapene på om lag 70 mill. kroner i forhold til en situasjon med uttreden uten overgangsregler.
Departementets forslag til overgangsregel anslås på usikkert grunnlag å gi et proveny på om lag 100 mill. kroner påløpt i 2006. Anslaget omfatter både gevinstskattlegging ved uttreden og provenyvirkningen av at selskapene underlegges ordinær skattlegging. Det er også tatt hensyn til at dagens tonnasjeskatt bortfaller. Selskapene er etterskuddspliktige, så den bokførte virkningen vil først komme i 2007.
For en mer utfyllende beskrivelse vises det til Ot.prp. nr. 1 (2005-2006) Skatte- og avgiftsopplegget 2006 - lovendringer.
2.3.7 Skattefradrag for kostnader til forskning og utvikling
Innledning
Foretak har rett til skattefradrag for kostnader knyttet direkte til forsknings- og utviklingsprosjekt som er godkjent av Norges forskningsråd (Skattefunn). Skattefradragsordningen ble gjort gjeldende for små og mellomstore foretak fra 1. januar 2002 og utvidet til alle foretak fra 1. januar 2003. Skattefradragets størrelse beregnes og avgrenses etter nærmere regler i skatteloven § 16-40 med tilhørende forskrift. Det er blant annet et vilkår at kostnadene som medtas i beregningsgrunnlaget for støtte, er attestert av revisor. Ligningsmyndighetene kontrollerer oppgitte kostnader og beregner skattefradragets størrelse. Dersom skattefradraget er høyere enn skattyters utlignede skatt, blir det overskytende beløp utbetalt fra staten.
Anvendelse og omfang
Næringslivet fikk 696 mill. kroner i støtte gjennom Skattefunn for skatteåret 2002 og 1280 mill. kroner for skatteåret 2003. Av dette var henholdsvis 82 pst. og 78 pst. utbetaling utover utlignet skatt. Skattefunn ble dermed i stor grad benyttet av foretak som ikke var i skatteposisjon. Prosjektene som mottok støtte gjennom Skattefunn i 2003, hadde en samlet kostnad på 7,6 mrd. kroner. Næringslivets FoU-virksomhet totalt, dvs. egenutført og innkjøpt FoU, utgjorde om lag 17 mrd. kroner i 2003 (ekskl. foretak under 10 sysselsatte). Prosjektene som mottar støtte gjennom Skattefunn, dekker dermed en betydelig del av næringslivets FoU-virksomhet.
For 2004 har Norges forskningsråd godkjent om lag 6000 prosjekter med budsjetterte FoU-utgifter på vel 10 mrd. kroner. Den godkjente søknadsmassen gir næringslivet rett til støtte gjennom Skattefunn på om lag 1,8 mrd. kroner i alt. Erfaringsmessig vil imidlertid en del prosjekter ikke fullføres, reduseres i omfang eller bli utsatt. Derfor anslår Finansdepartementet et påløpt provenytap for 2004 til om lag 1,6 mrd. kroner. Søknader til Norges forskningsråd så langt i 2005 indikerer at anvendelsen av Skattefunn fortsetter på om lag samme nivå.
Anvendelsen av Skattefunn er blitt langt mer omfattende enn lagt til grunn da ordningen ble vedtatt og senere utvidet. Provenytapet av den avgrensede ordningen som gjaldt i 2002, ble opprinnelig anslått til 510 mill. kroner. Utvidelsen til gjeldende regelverk ble foreslått i statsbudsjettet for 2003, og var basert på et anslag for samlet provenytap på 910 mill. kroner. Det høyere provenytapet ved ordningen skyldes i hovedsak at langt flere små og mellomstore foretak anvender Skattefunn enn det som ble forventet. Selv om det nå foreligger et erfaringsgrunnlag fra skatteoppgjørene for 2002 og 2003, og for søknadsbehandlingen til og med 2004, vil det også framover være usikkerhet knyttet til provenytapet av Skattefunn.
Ulønnet arbeidsinnsats er ikke fradragsberettiget etter skatteloven, og slik innsats i FoU-prosjekt faller derfor utenfor Skattefunn. For 2005 ble det imidlertid innført en rammestyrt tilskuddsordning for ulønnet forskningsinnsats i skattefunnprosjekt. Denne ordningen foreslås videreført i 2006 med en ramme på 30 mill. kroner, jf. St.prp. nr. 1 (2005-2006) Nærings- og handelsdepartementet.
Evaluering av Skattefunn
Statistisk sentralbyrå gjennomfører en evaluering av Skattefunn for perioden 2002-2006. Evalueringen skal omfatte analyse av om ordningen fører til økt FoU, slår ut i resultatmål som innovasjon, produktivitet, sysselsetting, bedriftens overlevelsesevne, lønnsomhet mv., fører til atferdsendringer i bedriftene knyttet til ressursbase, konkurransestrategi, entreprenørskap mv. og samspill mellom Skattefunn og andre virkemidler. Disse delene av evalueringen er primært knyttet til om målene for ordningen oppnås. I tillegg skal det inngå et delprosjekt om administrativ gjennomføring. Dette delprosjektet vil vurdere ordningens tilgjengelighet og brukervennlighet samt effektiviteten i de administrative rutinene. Evalueringen vil også forsøke å avdekke mulig skattetilpasning, f.eks. knyttet til reklassifisering av utgifter eller oppsplitting av virksomhet i flere foretak samt vurdere kvaliteten av revisorgodkjent prosjektregnskap.
Underveis i evalueringen skal det legges fram både årsrapporter og tematiske rapporter. De tematiske rapportene skal blant annet inkludere en foreløpig rapport om brukernes vurdering av Skattefunn (oktober 2005), en rapport om resultatmål (fjerde kvartal 2006) og en rapport om skattetilpasning (tredje kvartal 2007). Sluttrapport skal leveres fjerde kvartal 2007.
Den første årsrapporten, som Statistisk sentralbyrå la fram i mai 2005, gir en beskrivelse av regelverk, statistikkgrunnlag og opplegg for datainnsamling og analyse. Dataene viser at svært mange av foretakene som har søkt og fått innvilget skattefradrag med den nye ordningen, ikke tidligere har vært i kontakt med virkemiddelapparatet for FoU og innovasjon. Det framkommer også at for aksjeselskapene i industri og tjenesteyting som mottok støtte gjennom Skattefunn i 2003, utgjorde fradrag og utbetalinger i gjennomsnitt en betydelig andel av påløpt skatt (47 pst.).
Administrasjon og økonomistyring
Støtte til næringslivet administreres normalt gjennom tilskuddsordninger med bevilgning over statsbudsjettet. Bruk av skattesystemet for støtteutbetaling har gjort det nødvendig med en todelt forvaltning av Skattefunn. Norges forskningsråd har ansvar for å godkjenne prosjektsøknader og foretakenes rapportering om gjennomføringen. Skatteetaten kontrollerer opplysningene om medgåtte kostnader, kontrollerer at støttevilkårene er oppfylt, beregner skattefradraget og utbetaler eventuelt fradrag utover utlignet skatt.
Evalueringen som Statistisk sentralbyrå utfører, kan i noen grad belyse spørsmål knyttet til oppfølging og kontroll av Skattefunn, men er i større grad rettet mot å påvise virkninger for næringslivet. Finansdepartementet arbeider derfor, i samråd med Nærings- og handelsdepartementet, med å sette i gang en mer inngående evaluering av administreringen og økonomistyringen av Skattefunn. Særlig vekt legges på problemstillinger knyttet til delt forvalteransvar. Hensikten er å supplere den pågående evalueringen, og arbeidene må samordnes. Derved vil det kunne etableres et bedre grunnlag for å vurdere resultatene av Skattefunn i sammenheng med administrasjon av ordningen, slik at potensialet for forbedring av ordningen kan avdekkes.
2.4 Endringer i kommunale og fylkeskommunale skattører og fellessskatt for 2006
Som en del av det økonomiske opplegget for kommunesektoren for budsjettåret 2006, foreslår Regjeringen å øke den maksimale kommunale skattøren for personlige skattytere fra 13,2 pst. i 2005 til 13,6 pst. i 2006, dvs. med 0,4 prosentpoeng, jf. tabell 2.6. Den fylkeskommunale skattøren foreslås holdt uendret på 3 pst.
Bakgrunnen for forslaget om å øke de kommunale skattørene er Regjeringens mål om å øke skatteinntektenes andel av kommunesektorens samlede inntekter til 50 pst. i 2006. I 2005 anslås skattenes andel av kommunesektorens samlede inntekter å utgjøre drøyt 49 pst.
Satsen for fellesskatt til staten for personlig skattytere foreslås redusert med 0,4 prosentpoeng til 11,4 pst. i 2006, slik at samlet skatt på alminnelig inntekt utgjør 28 pst.
I forbindelse med statsbudsjettet for 2005 ble det besluttet å tilbakeføre en andel av selskapsskatten til kommunene fra 2005. Som en midlertidig ordning blir selskapsskatten utbetalt som en del av rammetilskuddet til kommuner og fylkeskommuner i 2005 og 2006.
Fra 2007 skal kommunene tilføres en andel av selskapsskatten basert på innbetalte etterskuddsskatter for inntektsåret 2005 til et felleskommunalt skattefond, som fra samme år er opprettet som en ny, felles kommunal skattekreditor. Satsen for det felleskommunale skattefondet ble for inntektsåret 2005 satt til 4,25 pst. Satsen for fellesskatt til staten ble samtidig redusert med 4,25 prosentpoeng til 23,75 pst.
Skattesatsen for det felleskommunale skattefondet for inntektsåret 2006 vil påvirke hvor mye selskapsskatt som skal tilføres kommunene i 2008. Det foreslås at skattesatsene for det felleskommunale skattefondet og fellesskatten holdes uendret fra inntektsåret 2005 til inntektsåret 2006, dvs. henholdsvis 4,25 pst. og 23,75 pst.
Tabell 2.6 Skattørene i 2005 og 2006. Prosent
| Maksimalskattøren for personlige skattytere | 2005 | 2006 |
| Kommuner | 13,20 | 13,60 |
| Fylkeskommuner | 3,00 | 3,00 |
| Fellesskatt til staten | 11,80 | 11,40 |
| Alminnelig inntekt | 28,00 | 28,00 |
| Skattøren for etterskuddspliktige skattytere | 2005 | 2006 |
| Fellesskatt til staten | 23,75 | 23,75 |
| Det felleskommunale skattefondet | 4,25 | 4,25 |
| Alminnelig inntekt | 28,00 | 28,00 |
Kilde: Finansdepartementet.
2.5 Avgift på arv og gaver (kap. 5506 post 70)
Etter gjeldende regler er arv og gaver inntil 250 000 kroner fritatt for arveavgift. Av arv og gaver til arvelaterens/giverens barn, fosterbarn - herunder stebarn som arvelateren/giveren har oppfostret - og foreldre, svares det 8 pst. avgift av arv/gave mellom 250 000 kroner og 550 000 kroner og 20 pst. avgift av det overskytende. De samme innslagspunktene gjelder for andre arvinger/gavemottakere, men avgiftssatsene er henholdsvis 10 pst. og 30 pst.
Innslagspunktene ble sist hevet i 2003, da med 50 000 kroner i begge trinn. Regjeringen foreslår å doble innslagspunktene for betaling av avgift til henholdsvis 500 000 og 1 100 000 kroner for arv og gaver med rådighetsdato 1. januar 2006 og senere.
Regjeringen foreslår videre å innføre en rentefri betalingsutsettelse av arveavgiften ved generasjonsskifte i familiebedrifter. Forslaget innebærer at arveavgiften ved slike generasjonsskifter kan betales i avdrag over 7 år rentefritt. Ordningen vil omfatte små foretak som definert i regnskapsloven og enkeltpersonforetak som ikke har regnskapsplikt. For å avgrense ordningen til familiebedrifter må arvelater eller giver (eller dennes ektefelle eller samboer) eie minst 25 pst. av foretaket før overdragelsen. Kreditten faller bort hvis over halvparten av foretaket realiseres eller virksomheten legges ned.
Forslagene anslås å gi en lettelse på 690 mill. kroner påløpt i 2006. Det antas at forslagene ikke vil ha bokført virkning i 2006. Det skyldes at fristen for å betale avgift på arv (ved privat skifte) er tolv måneder etter rådighetstidspunktet. For gaver er fristen tre måneder, men lang saksbehandlingstid tilsier at det ikke blir nevneverdig provenyøkning av denne endringen i 2006. Det vises til forslag til Stortingets vedtak om avgift til statskassen på arv og gaver for budsjetterminen 2006 og Ot.prp. nr. 1 (2005-2006) Skatte- og avgiftsopplegget 2006 - lovendringer.
2.6 Trygdeavgift og andre avgifter til folketrygden (kap. 5700 post 71 og 72)
2.6.1 Trygdeavgifter m.m.
Selvstendig næringsdrivende (utenom primærnæringene) betaler en trygdeavgift på 10,7 pst. på næringsinntekt, mens satsen er 7,8 pst. på lønnsinntekter og primærnæringsinntekt. Av pensjonsinntekt mv. betales det en trygdeavgift på 3 pst. Den høyere satsen for selvstendig næringsdrivende skyldes at det ikke ilegges arbeidsgiveravgift på næringsinntekt. Næringsdrivende mottar i dag samme pensjonsytelser fra folketrygden som lønnstakere med tilsvarende inntekt.
Den nedre grensen for å betale trygdeavgift er etter gjeldende regler 29 600 kroner. Deretter trappes trygdeavgiften opp med 25 pst. av lønnsinntekten mellom 29 600 kroner og 43 023 kroner. Siden det ikke blir innkrevd skatt dersom samlet skatt er under 100 kroner, og trygdeavgiften utgjør 25 pst. av lønnsinntekten, er nedre grense for å betale skatt i praksis 30 000 kroner. Dette kalles også «frikortgrensen». Regjeringen foreslår å holde den nedre grensen for å betale trygdeavgift nominelt uendret.
Produktavgiften i fiskerinæringen skal dekke forskjellen mellom høy sats og mellomsats for trygdeavgiften. Det skyldes at næringsdrivende i fiskerinæringen, i motsetning til næringsdrivende utenfor primærnæringene, ikke er pålagt trygdeavgift med høy sats. Med forslaget for 2006 er forskjellen mellom høy sats og mellomsats 2,9 prosentpoeng. Videre skal produktavgiften dekke arbeidsgiveravgift på hyre, en kollektiv medlemspremie til yrkesskadetrygd (0,2 pst. av inntekten), de faktiske utgiftene som folketrygden har i forbindelse med frivillig tilleggstrygd for sykepenger samt utgifter i forbindelse med stønad til arbeidsløse i næringen.
Fiskeri- og kystdepartementet tilrår i brev av 12. september 2005 at avgiftssatsen blir fastsatt til 3 pst. i 2006. I brevet fra Fiskeri- og kystdepartementet heter det blant annet:
«Fiskeridepartementet har innhentet prognose på førstehåndsverdi og pensjonsgivende inntekt fra Fiskeridirektoratet. Rikstrygdeverket har kommet med opplysninger om utviklingen i kostnadene ved kollektiv tilleggstrygd til sykepenger for fiskere samt oversikt på innbetalt produktavgift hittil i 2005. Garantikassen for fiskere har opplyst om utviklingen i utbetalingene av arbeidsledighetstrygd for fiskere med prognose for 2006.
Følgende størrelser ligger til grunn ved fastsetting av nivået på produktavgifta for 2006:
Førstehåndsverdi som det skal betales produktavgift av 11 000 mill. kr. Dette gir en pensjonsgivende inntekt på 4 239 mill. kr. Fiskeridepartementet vil legge til grunn følgende prognoser som produktavgifta skal dekke i 2006. [...]
Andel medlemsavgift (2,9 pst. av inntekt) 122,9 mill. kr. Yrkesskadetrygd (0,2 pst. av inntekt) 8,5 mill. kr. Dagpenger ved arbeidsløshet 38,0 mill. kr. Kollektiv tilleggstrygd for sykepenger 165,0 mill. kr. Totalt 334,4 mill. kr Avgiftssatsen første halvår 2005 var på 3,8 % som ble redusert til 2,5 % for andre halvår. Foreløpige regnskapstall og prognoser for resten av året, viser at avgiftssatsen for hele 2005 skulle vært 3,1 %. Prognosene som lå til grunn for fastsetting av satsen for 2. halvår, ser ut til å holde.
Beregning ut fra prognosene for 2006 tilsier at riktig sats på produktavgiften vil være 3,0 % for 2006, som er en nedgang på 0,1 % sammelignet med gjennomsnittlig sats for hele 2005. Nedgangen skyldes forventninger om høyere førstehåndsverdi i 2006 sammenlignet med 2005, samt forventninger om noe lavere utbetalinger på syketrygd og arbeidsledighetstrygd.»
Finansdepartementet slutter seg til dette, og legger fram forslag om at avgiftssatsen for produktavgift blir fastsatt til 3 pst. i 2006. Det vises til forslag til vedtak om produktavgift til folketrygden for fiskeri-, hval- og selfangstnæringen for 2006.
2.6.2 Omlegging av den differensierte arbeidsgiveravgiften
2.6.2.1 Provenyvirkning av omleggingen i 2006
Nytt regelverk for den regionale differensieringen av arbeidsgiveravgiften ble vedtatt i forbindelse med budsjettet for 2004. Det innebar at nullsatsen for arbeidsgiveravgift i Finnmark og Nord-Troms ble opprettholdt, og at satsene som gjaldt i 2003 ble videreført for de deler av fiskeri- og landbrukssektoren som faller utenfor EØS-avtalen. For det øvrige næringslivet, med unntak av transportsektoren, ble satsene som gjaldt i 2003, videreført innenfor den EØS-hjemlede fribeløpsgrensen. I avgiftssonene 3 og 4 ble det innført overgangssatser for foretak som ikke fullt ut skjermes av fribeløpsordningen. De enkelte tiltakene er nærmere omtalt i St.prp. nr. 1 (2003-2004) Skatte-, avgifts- og tollvedtak.
For lønnskostnader som ikke er skjermet av fribeløpsordningen, gjelder det en overgangsordning. Denne innebærer at avgiftssatsen økes fra 2005 til 2006 med 1,9 prosentpoeng til 12,2 pst. i sone 3 og med 2,2 prosentpoeng til 11,7 pst. i sone 4. Regjeringen foreslår at de økte avgiftsinntektene som følger av opptrappingen, i sin helhet blir tilbakeført til distriktene gjennom bevilgninger til kompensasjonstiltak over statsbudsjettets utgiftsside. Den isolerte avgiftsøkningen for privat sektor som følger av at avgiftssatsen i sonene 3 og 4 trappes opp, anslås til om lag 465 mill. kroner påløpt i 2006. I tillegg foreslår Regjeringen at det gis en tilsagnsfullmakt, jf. St.prp. nr. 1 (2005-2006) Kommunal- og regionaldepartementet.
Som vist til i St.prp. nr. 1 (2004-2005) Skatte-, avgifts- og tollvedtak har EU-kommisjonen foreslått at også transportsektoren skal omfattes av regelverket for bagatellmessig støtte. Forslaget er ennå ikke vedtatt. Etter et eventuelt vedtak om å endre kommisjonsforordningen om bagatellmessig støtte, vil tilsvarende regler bli innlemmet i EØS-avtalen etter vedtak i EØS-komiteen. Regjeringen ønsker i størst mulig grad å likebehandle transportnæringen og andre næringer innenfor systemet med differensiert arbeidsgiveravgift. Regjeringen antar at et forslag om nedsatt arbeidsgiveravgift innenfor fribeløpet kan fremmes i løpet av 2006. I provenyberegningene er det derfor tatt hensyn til at transportsektoren kommer inn under regelverket for bagatellmessig støtte, jf. tabell 2.7.
Tabell 2.7 gir en samlet framstilling av provenyvirkningen av omleggingen av den differensierte arbeidsgiveravgiften i budsjettet for 2006. Tabellen viser at de økte avgiftsinntektene som følge av omleggingen av ordningen i sin helhet blir tilbakeført til de berørte områdene.
Tabell 2.7 Anslått provenyvirkning av kompenserende tiltak ved omlegging av differensiert arbeidsgiveravgift. 2006. Mill. kroner1
| Påløpt | Bokført | |
| Økt proveny ved full sats (14,1 pst.) for arbeidsgiveravgift i hele landet | 9 480 | 9 380 |
| Kompenserende tiltak | 9 480 | 9 380 |
| Videreføre nullsatsen i tiltakssonen (Finnmark og Nord-Troms) | 1 740 | 1 710 |
| Videreføre dagens ordning for landbruk og fiskeri | 330 | 330 |
| En overgangsperiode på tre år i privat sektor i sonene 3-4 (full sats innføres i 2007)2 | 400 | 450 |
| Bagatellmessig støtte i sonene 2-4 | 2 500 | 2 490 |
| En overgangsperiode på tre år i kommunal sektor (full sats innføres i 2007)2 | 460 | 520 |
| Kompensasjon til offentlig sektor | 2 475 | 2 475 |
| Direkte transportstøtte | 375 | 300 |
| Næringsrettede utviklingstiltak i sonene 2-4 | 1 200 | 1 105 |
1 Provenyet av arbeidsgiveravgiften er bl.a. oppjustert i tråd med forventet lønnsvekst fra 2005 til 2006.
2 Den bokførte provenyvirkningen av overgangsperioden i privat og offentlig sektor er høyere enn den påløpte. Dette skyldes at siste termin for arbeidsgiveravgift i 2005 (sjette termin) blir innbetalt i januar 2006.
Kilde: Finansdepartementet.
2.6.2.2 Differensiert arbeidsgiveravgift i forhold til ikke-konkurranseutsatt sektor
I tråd med Stortingets anmodningsvedtak i forbindelse med behandlingen av budsjettet for 2004, sendte Regjeringen 23. april 2004 notifikasjon til ESA av en ordning med nedsatte regionale avgiftssatser for ikke-konkurranseutsatte bransjer. Notifikasjonen ble lagt fram i sin helhet for Stortingets EØS-utvalg før den ble sendt til ESA.
ESA har fremdeles ikke truffet noen avgjørelse i denne saken. ESA uttrykker imidlertidig i brev av 23. juni 2004 at det er tvilsomt om det notifiserte systemet kan anses å ikke innebære statsstøtte. ESA viser i denne sammenheng til den vide tolkningen av samhandelskriteriet og etablert rettspraksis.
2.6.2.3 Nye retningslinjer for regional støtte i EØS fra 2007
ESA behandlet saken om det generelle systemet med differensiert arbeidsgiveravgift etter gjeldende retningslinjer for regional statsstøtte i EØS. Differensiert arbeidsgiveravgift regnes som driftsstøtte, og gjeldende retningslinjer tillater bare regional driftsstøtte for å dekke ekstra transportkostnader i områder med lav befolkningstetthet.
Kommisjonen skal nå vedta nye retningslinjer for regionalstøtte som vil gjelde i EØS fra 1. januar 2007. Norske myndigheter har deltatt aktivt i det forberedende arbeidet, blant annet med sikte på å kunne gjeninnføre ordningen med differensiert arbeidsgiveravgift i mest mulig av det tidligere virkeområdet.
En gjeninnføring av ordningen i 2007 må forhåndsgodkjennes av ESA i henhold til de nye, reviderte retningslinjene for regionalstøtte. Kommisjonen la fram et utkast til retningslinjer 15. juli i år. Dersom formuleringene i Kommisjonens utkast til retningslinjer blir vedtatt, mener Regjeringen at et nytt generelt system med differensiert arbeidsgiveravgift bør kunne omfatte tilnærmet det som i dag er arbeidsgiveravgiftssonene 3 og 4 i tillegg til sone 5.
2.6.3 Fjerning av den ekstra arbeidsgiveravgiften på lønnsinntekter over 16 G
Den ekstra arbeidsgiveravgiften utgjør 12,5 pst. på lønnsinntekter over 16 G (om lag 961 000 kroner i 2005). Med Regjeringens forslag til redusert toppskatt, jf. avsnitt 2.2.1, ville høyeste marginalskatt på lønn (inklusiv arbeidsgiveravgift) blitt 58,8 pst. dersom den ekstra arbeidsgiveravgiften ble videreført. Det er om lag 10,6 prosentpoeng høyere enn marginalskatten på utbytte (vel 48,2 pst.). Denne forskjellen må reduseres vesentlig for å motvirke skattetilpasning blant dem med høye inntekter.
Regjeringen foreslår derfor å avvikle den ekstra arbeidsgiveravgiften. Kombinert med lavere toppskattesatser vil det redusere høyeste marginalskatt på lønn (inklusive arbeidsgiveravgift) til 54,3 pst.
Innføring av den ekstra arbeidsgiveravgiften ble også gitt en fordelingspolitisk begrunnelse ved at den skulle bidra til å dempe lønnsveksten for dem med høye lønninger. Skaugeutvalget mente imidlertid at den ekstra arbeidsgiveravgiften neppe har bidratt til å redusere inntektsforskjellen.
Fjerning av den ekstra arbeidsgiveravgiften på lønnsinntekter over 16 G gir et provenytap på om lag 880 mill. kroner påløpt i 2006. Forslaget vil ikke ha budsjettvirkning i 2006 fordi denne ekstra arbeidsgiveravgiften innbetales i siste termin for inntektsåret 2006 og forfaller til betaling i januar 2007.
Det vises også til omtale i Ot.prp. nr. 1 (2005-2006) Skatte- og avgiftsopplegget 2006 - lovendringer.
2.6.4 Teknisk endring av trygdeavgiftsvedtaket - avgiftsplikt for ansatte som ikke er skattepliktig til norsk kommune
I visse tilfeller vil det foreligge plikt for arbeidsgiver til å svare arbeidsgiveravgift av ytelser til ansatte som ikke har skatteplikt til Norge. I slike tilfeller skal arbeidsgiveravgiften beregnes etter den alminnelige satsen på 14,1 pst., som også gjelder for ansatte som er skattepliktige til en kommune i sone I. Dette framgikk direkte av vedtaket om fastsetting av avgifter mv. til folketrygden frem til og med 1999. I avgiftsvedtaket for 2000 ble ordlyden i § 1 bokstav e endret slik at satsen for ikke-skattepliktige arbeidstakere ikke lenger framgår direkte av vedtaket. Det var ikke tilsiktet å endre reglene for denne gruppen. Departementet foreslår derfor en teknisk endring av vedtaket for 2006, i forhold til vedtaket for 2005, slik at satsen på 14,1 pst. for denne gruppen framgår direkte, jf. forslag til § 1 bokstav f.
2.7 Endring i skattevedtaket for 2005 for skattepliktige etter petroleumsskatteloven
Selskap som er særskattepliktig etter petroleumsskatteloven § 5, betaler skatt bare til staten. Det samme gjelder når skatteplikten for selskapet utelukkende følger av petroleumsskatteloven, jf. loven § 2 annet ledd. Av tredje ledd i § 4-1 Ordinære skatter i Stortingets skattevedtak for 2005 framgår det at selskap som nevnt skal svare skatt med 28 pst. av inntekten, med mindre det skal svares skatt på inntekten etter skattevedtaket § 3-3. Ved en inkurie ble ordlyden ikke omformulert da § 3-3 ble endret i vedtaket for 2005. Etter endringen sier vedtaket § 3-3 at selskaper skal betale skatt av inntekten med 23,75 pst. til staten og 4,25 pst. til det felleskommunale skattefondet, dvs. til sammen 28 pst. Henvisningen til § 3-3 i § 4-1 kan forstås slik at også selskaper som er skattepliktig etter petroleumsskatteloven, skal betale skatt til det felleskommunale skattefondet. Dette har ikke vært meningen. For å gjøre det klart at disse selskapene bare skal betale skatt til staten, jf. forutsetningen ovenfor, foreslår departementet at det sies uttrykkelig i skattevedtaket for 2005 § 4-1 tredje ledd at § 3-3 ikke skal gjelde. Det vises til forslag til endring av Stortingets skattevedtak 25. november 2004 for inntektsåret 2005.