5 Departementets vurderinger og forslag
5.1 Innledning
Norge er avhengig av betydelige skatte- og avgiftsinntekter for å finansiere offentlige utgifter. Samtidig bør skattesystemet utformes på en måte som gjør at det samfunnsøkonomiske tapet ved beskatning blir lavest mulig.
En riktig utformet grunnrenteskatt vil virke nøytralt på investeringene. Dermed kan andre, vridende skatter reduseres. En riktig utformet grunnrenteskatt er kjennetegnet ved at staten tar en like stor del av alle inntekter som den dekker av alle kostnader, herunder investeringskostnader. Investeringer som er lønnsomme for samfunnet før grunnrenteskatt, vil da være lønnsomme for selskapene etter skatt. Tilsvarende vil investeringer som er ulønnsomme for samfunnet før grunnrenteskatt, være ulønnsomme for selskapene etter skatt.
Samtidig står vi overfor økt internasjonalisering, der skattegrunnlag lettere kan flyttes ut av Norge. Da må en større del av skattebyrden bæres av skattegrunnlag som er mindre mobile, som naturressurser. Det er bred faglig enighet om at grunnrente er et godt skattegrunnlag. Dette har også vært fremhevet av mange skatteutvalg, blant annet Scheel-utvalget i NOU 2014: 13 Kapitalbeskatning i en internasjonal økonomi og senest Skatteutvalget i NOU 2022: 20 Et helhetlig skattesystem.
For stedbundne grunnrentenæringer er det mulig å ha et høyt skattenivå uten at virksomheten flyttes ut av landet. Dette gjelder selv om det finnes alternative produksjonsmåter (som oppdrett på land), og selskapene møter internasjonal konkurranse fra aktører basert i andre land med andre rammebetingelser og skatteregimer. I havbruket er det de gunstige forholdene i fjordene og den begrensede adgangen for virksomheten gjennom tillatelser, som særlig gir opphav til meravkastning. Disse faktorene er stedbundne i Norge. Hvis et selskap flytter sin virksomhet til utlandet eller på land, vil selskapet miste tilgangen til de stedbundne faktorene, og andre aktører kan komme inn og ta dem i bruk.
En nøytral grunnrenteskatt har samme egenskaper som en passiv partner i selskapenes investeringer. Når staten er partner, dekker den en andel av investeringskostnaden svarende til skattesatsen, samtidig som den trekker inn en tilsvarende andel av de fremtidige nettoinntektene som investeringen gir. Tydeligst er dette om grunnrenteskatten utformes som en kontantstrømskatt, med umiddelbare fradrag for alle kostnader, også investeringskostnader. Prosjektet kan da sies å være delt i én del til staten (tilsvarende grunnrenteskattesatsen) og én del til selskapet (eierne). Staten tar en like stor del av alle kostnader og inntekter, uavhengig av om investeringen blir lønnsom eller ulønnsom. En grunnrenteskatt kan alternativt utformes med periodiserte investeringsfradrag, som fordeles over tid gjennom avskrivninger og friinntekt, og da ha de samme egenskapene som en kontantstrømskatt.
Ved en nøytral grunnrenteskatt vil selskapets del av investeringer, driftskostnader og inntekter reduseres med en andel lik grunnrenteskattesatsen. Den absolutte størrelsen på selskapenes investeringer og nettoinntekt vil dermed reduseres. Selskapets prosentvise avkastning etter skatt, altså per krone investert, vil imidlertid ikke endres. En nøytral grunnrenteskatt svekker dermed ikke selskapenes investeringsinsentiver. En rasjonell investor vil også etter innføring av en grunnrenteskatt ønske å investere i havbruk, siden den prosentvise avkastningen og lønnsomheten er uendret.
I høringen har det både kommet inn kritiske innspill til hvorvidt det er grunnrente i næringen og til beregningen av størrelsen på grunnrenten, herunder fra Carnegie AS, SalMar ASA, Cermaq Norway AS, Nordlaks Oppdrett AS, Lerøy Seafood Group ASA, Grieg Seafoods ASA, Salmon Group og Nettverk Fjord- og kystkommuner (NFKK). I høringsinnspillene viser bl.a. Carnegie AS til at det er problematisk at man ved beregningen av grunnrenten legger til grunn et normalavkastningskrav på fire prosent. Det pekes på at markedsaktørene synes å legge til grunn et langt høyere avkastningskrav for sine investeringer, og at betydelig biologisk risiko forbundet med sjøfasen understøtter et høyere avkastningskrav. Det fremheves videre at lønnsomheten i næringen ikke bare skyldes naturgitte forhold, men også forhold ved lokaliseringen og dyktigheten til den enkelte oppdretter, produktutvikling gjort av næringen, markedsføring og valutakurser. Videre vises det til at de største kapitalbindingene i sjøfasen er den levende fisken og produksjonstillatelsene. Ekskluderingen av disse kapitalbindingene ved beregningen av grunnrenten medfører en betydelig undervurdering av kapitalinnsatsen og tilhørende overvurdering av profitten. Det pekes også på at beregningene av grunnrenten inkluderer vertikalt integrerte selskaper der en stor del av verdiskapningen skjer utenfor sjøfasen.
Departementet viser til at Havbruksskatteutvalget støttet seg på flere ulike analyser for å beregne grunnrenten i havbruksnæringen, se punkt 2.2. Utvalget viste til Greaker og Lindholt (2019), som beregnet grunnrenten basert på nasjonalregnskapstall, og Flåten og Pham (2019), som tok utgangspunkt i Fiskeridirektoratets lønnsomhetsundersøkelser. I tillegg benyttet utvalget skattedata, samt prisdata fra auksjonen av akvakulturtillatelser sommeren 2018. Uavhengig av metode bekreftet analysene en betydelig grunnrente i næringen.
Departementet vil også peke på at Greaker og Lindholt (2019) gjorde sensitivitetsanalyser som viste at beregningen av grunnrente påvirkes lite av hvilket avkastningskrav som legges til grunn, se figur 5.1. Dette skyldes, ifølge forfatterne, at akvakultur er lite kapitalkrevende.
Departementet er enig i og har påpekt blant annet i høringsnotatet at grunnrenten også kan stamme fra reguleringen av næringen. Uavhengig av nivå på avkastningskrav og hvordan grunnrenten oppstår, viser analysene at det genereres betydelig grunnrente fra havbruksnæringen gjennom bruk av våre felles og begrensede naturressurser.
Figur 5.1 Grunnrente i akvakultur ved ulike krav til avkastning på kapitalen. 1984-2018. Mrd. 2019-kroner
Kilder: Greaker og Lindholt (2019) og Havbruksskatteutvalget.
5.2 Valg av skatteform
Det er flere måter å hente inn grunnrente til fellesskapet på. Metodene vil imidlertid ha ulik virkning på selskapenes insentiver til å investere. Ulike modeller og virkninger ble grundig drøftet i Havbruksskatteutvalgets rapport punkt 5.4. Et hovedskille går mellom overskuddsbaserte og bruttobaserte modeller. Overskuddsbaserte modeller avhenger av selskapenes lønnsomhet. Eksempler på slike modeller er kontantstrømbasert skatt eller skatt med periodiserte investeringsfradrag, auksjoner og statlige eierandeler (tilsvarende Statens direkte økonomiske engasjement (SDØE) i petroleumsvirksomheten).
Bruttobaserte modeller tar utgangspunkt i omsetning, mengde eller andre størrelser som er uavhengige av lønnsomhet. Det innebærer at selskapene må betale skatten uavhengig av om virksomheten går med overskudd eller underskudd. Med en bruttobasert modell kan dermed prosjekter som er lønnsomme før skatt, bli ulønnsomme for selskapene etter skatt. Eksempler på slike modeller er produksjonsavgifter, eksportavgifter og royalties.
Utformingen av særskatten vil påvirke fordelingen av risiko mellom selskapene og staten. Bruttobaserte modeller vil gi en lavere risiko for staten og tilsvarende høyere risiko for selskapene. Dersom selskapene må bære en større andel av risikoen enn de mottar av avkastningen i virksomheten, vil det påvirke viljen til å investere. I bruttobaserte modeller er det en risiko for at lønnsomheten ikke er tilstrekkelig til å betale bruttoskatten. For å redusere denne risikoen må satsen i praksis settes relativt lavt, noe som begrenser andelen av grunnrenten som kan innhentes til fellesskapet. I en grunnrenteskatt, som er basert på overskuddet, kan satsen settes høyere, siden skatten automatisk tilpasser seg lønnsomheten. Risikoen fordeles forholdsmessig mellom staten og selskapene i henhold til skattesatsen. Staten bærer en andel av risikoen, tilsvarende skattesatsen, mot at staten mottar den samme andelen av resultatet. Denne egenskapen ved grunnrenteskatten gjør at satsen kan settes høyt uten at insentivene til å investere i risikofylte prosjekter svekkes.
Havbruksskatteutvalgets flertall anbefalte en overskuddsbasert grunnrenteskatt. Flertallet i utvalget anbefalte videre at en grunnrenteskatt på havbruk utformes med periodiserte investeringsfradrag. Det ble begrunnet med at det er en velprøvd modell som norske skattemyndigheter har lang erfaring med. Utvalget pekte også på at det ville være i tråd med daværende modell for grunnrenteskatt på vannkraft.
I statsbudsjettet for 2021 ble grunnrenteskatten for vannkraft lagt om til en kontantstrømskatt med umiddelbar utgiftsføring for nye investeringer. Kontantstrømskatten ilegges sammen med ordinær selskapsskatt. I juni 2022 ble det også vedtatt å legge om særskatten for petroleum til en kontantstrømskatt fra 2022, jf. Innst. 440 L (2021–2022). Siden Havbruksskatteutvalget la frem sin utredning, har det dermed skjedd et betydelig skifte i retning av kontantstrømskatt for grunnrenteskatter. En har nå fått noe erfaring med kontantstrømskatter. I tråd med utviklingen i grunnrenteskattene på vannkraft og petroleum foreslo derfor departementet i høringsnotatet at også grunnrenteskatt på havbruk utformes som en kontantstrømskatt.
Sjømat Norge mener at alternative modeller bør utredes, herunder en norsk regionalisert variant av den færøyske produksjonsavgiften, en videreutvikling av dagens produksjonsavgift eller en havbrukstilpasset finansskatt. Sjømatbedriftene fremmer forslag om en alternativ beskatning basert på prinsippene i den færøyske modellen. Også flere andre høringsinstanser viser til Færøyene for økt beskatning av havbruksnæringen, og flere mener at en kontantstrømskatt er lite egnet for havbruk. Hofseth International AS ser på produksjonsavgiften som en arealleie, og foreslår at regelverket bygger videre på denne modellen.
Kverva AS mener vridningene og usikkerhetene i den foreslåtte modellen tilsier at en eventuell grunnrenteskatt ikke bør innføres fra 1. januar 2023. En rekke andre høringsinstanser har en tilsvarende argumentasjon. Flere påpeker at man som en midlertidig overgangsløsning kan øke nåværende produksjonsavgift for å innhente det beregnende provenyet i forslaget, før endelig modell innføres fra 1. januar 2024.
Lovundlaks AS mener en alternativ modell kan være å innhente grunnrenten gjennom endring av konsesjonssystemet. Konsesjonene kan tidsavgrenses, i kombinasjon med auksjoner. Når konsesjonene har nådd sin gitte levetid, faller de gradvis tilbake til staten over en rimelig tidsperiode. Også Erling Eide og Endre Stavang, professorer ved UiO, fremholder at auksjoner kan anvendes for å hente inn grunnrente.
Mowi ASA mener den foreslåtte modellen og de ulike elementene i forslaget vil innebære at en standard sjølokalitet for oppdrett av laks vil gå fra å være lønnsom i dagens skatteregime til å bli ulønnsom. Det vises til at mindre enn 20 pst. av oppdretters investeringer kommer til fradrag, mens 80 pst. av fortjenesten kommer til beskatning. Det vises til at oppdretter bærer hele investeringen, mens staten tar 40 pst. mer av oppsiden. Dette kommer i tillegg til de 24 pst. staten krever inn gjennom selskapsskatten og eksportavgiften. SalMar ASA viser også til dette i sin høringsuttalelse.
Departementet har vurdert alternative modeller for å hente inn grunnrente, herunder en produksjonsavgift lignende den som er innført på Færøyene, med en progressiv avgiftssats som øker med lakseprisen. Den færøyske modellen er nærmere beskrevet under punkt 2.3 i denne proposisjonen.
En bruttobasert skatt i form av for eksempel produksjonsavgift vil virke negativt på selskapenes insentiv til å investere i havbruksvirksomheten. Den vil ha sterkere negativ virkning på investeringsinsentivene desto høyere avgiften settes. Den færøyske produksjonsavgiften avhenger av lakseprisen og forsøker dermed å ta hensyn til varierende priser, men metoden tar ikke hensyn til variasjoner i lønnsomhet mellom selskap og over tid. Avgiften vil dermed virke særlig tyngende for selskap med svak lønnsomhet, og vil føre til at marginalt lønnsomme investeringer blir ulønnsomme for selskapene etter skatt. En overskuddsbasert grunnrenteskatt rendyrker derimot prinsippet om at skatten skal baseres på lønnsomhet og ta hensyn til både svingninger i laksepriser og til variasjoner i lønnsomhet mellom selskapene.
Departementet fastholder at deler av grunnrenten fra havbruksvirksomheten bør hentes inn gjennom en overskuddsbasert grunnrenteskatt, tilsvarende som for petroleum og vannkraft. Departementet har i vurderingen av ulike modeller lagt stor vekt på at skatten ikke skal hindre gjennomføring av lønnsomme prosjekter. Fordelen med en grunnrenteskatt som baserer seg på resultat eller kontantstrøm, er at den nettopp ikke påvirker avkastningen per krone investert, og dermed selskapenes insentiver til å gjennomføre investeringer.
Departementet fastholder videre at grunnrenteskatten bør utformes som en kontantstrømskatt. Når investeringer i sjøfasen kan fradragsføres umiddelbart, er det ikke behov for en friinntekt som kompenserer for nåverditapet ved avskrivninger, slik som ved periodiserte investeringsfradrag. For de skattepliktige medfører umiddelbare investeringsfradrag en likviditetsfordel. Når skatten legges på kontantstrømmen og ikke på den årlige beregnede grunnrenten, må skattesatsen holdes uendret over investeringens levetid for at skatten skal virke nøytralt.
Forslaget innebærer direkte utgiftsføring av investeringer som kun brukes i sjøfasen, se punkt 5.7.3. For øvrige inntekter og kostnader der det ikke foreslås særregulering, gjelder de alminnelige reglene om tidfesting i skatteloven. Dersom selskapet skulle gå med underskudd, foreslår departementet at negativ grunnrenteinntekt fremføres med rente til fradrag mot senere års positive grunnrenteinntekt og utbetaling ved eventuelt opphør. Med riktig rente er dette i nåverdi likeverdig med løpende utbetaling av skatteverdien av negativ grunnrenteinntekt, se nærmere omtale under punkt 5.9.
5.3 Skattesats
Departementet foreslo i høringsnotatet en effektiv grunnrenteskattesats på 40 pst. Dette er samme skattesats som foreslått av flertallet i Havbruksskatteutvalget. Flertallet i havbruksskatteutvalget så hen til skattesatsen i grunnrenteskatten på vannkraft, som da var 37 pst. I tillegg har vannkraftnæringen særlige regler for eiendomsskatt og må betale konsesjonsavgift og avstå konsesjonskraft. Samlet sett ble det anslått at særskattene på vannkraft utgjorde i størrelsesorden 40 pst.
Ved behandlingen av statsbudsjettet for 2023 vedtok Stortinget at den effektive skattesatsen i grunnrenteskatten på vannkraft skulle økes fra 37 pst. til 45 pst., med virkning fra og med inntektsåret 2022. Regjeringen la i sitt forslag vekt på at en større andel av grunnrenten fra vannkraftproduksjon burde tilfalle fellesskapet. I tillegg ble det vist til at økt proveny fra grunnrenteskatten på vannkraft ville redusere behovet for andre skatter og avgifter som har negativ effekt på verdiskapingen i økonomien, og dermed redusere det samlede effektivitetstapet fra beskatningen.
Flere høringsinstanser argumenterer for at en skattesats på 40 pst. er for høy og ikke fremstår som nærmere begrunnet. Blant annet argumenterer Sjømat Norge, Cermaq Norway AS, Grieg Seafoods ASA og Stiim Aqua Cluster for at Norge vil ha dobbelt så høy skattesats som land nummer to i verden når man inkluderer den alminnelige skattesatsen på 22 pst. Flere høringsinstanser, herunder Sjømatbedriftene, Rostein AS og Grieg Maturitas AS mener tilsvarende at det totale skattetrykket må være konkurransedyktig sammenlignet med de viktigste konkurrentlandene, og mener forslaget vil føre til at Norge får det klart høyeste skattenivået.
Mowi ASA har utført beregninger som skal vise at provenyet langt vil overstige anslaget i høringsnotatet, basert på 2022-tall. De viser til at grunnrentesatsen ikke kan settes høyere enn 15 pst. dersom provenyet skal tilpasses et politisk mål om 3,65–3,8 mrd. kroner i ekstra proveny fra havbruksnæringen. Flere andre høringsinstanser stiller tilsvarende spørsmål ved om beregningene av provenyet i forslaget er korrekt, og foreslår at skattesatsen senkes. SpareBank 1-bankene og Nova Sea AS viser til utregninger fra Junior Consulting og NHHS Consulting, som skal vise at en skattesats på rundt 20 pst. vil være tilstrekkelig for å innhente det beregnede provenyet.
Flere høringsinstanser mener man må se på det samlede skattetrykket for havbruksnæringen, herunder blant annet Sjømat Norge, Lovundlaks AS, Frøy ASA, Firda Seafood Group, Grieg Maturitas AS, SinkabergHansen AS, Lerøy Seafood Group ASA, Måsøval AS, Salmon Group og Nettverk for fjord- og kystkommuner (NFKK). Sjømat Norge og SinkabergHansen AS viser til at grunnrenteskatten, sammen med selskapsskatt, utbytteskatt og formuesskatt, vil gi et skattetrykk som utgjør 80-85 pst. av selskapsoverskudd, i enkelte tilfeller over 100 pst. DNB Bank ASA, AKVA group ASA, Firda Seafood Group og Nova Sea AS mener det kan være hensiktsmessig å sette et tak på total skattebelastning i prosent.
SalMar ASA viser til at Havbruksskatteutvalget foreslo at grunnrenteskatten skulle erstatte andre skatter og avgifter. Regjeringen vil beholde og dels også øke flere av disse. Ved innføring av grunnrenteskatt bør både produksjonsavgift, eksportavgift, forskningsavgift og eiendomsskatt fjernes for å unngå at samme inntekt i selskapet beskattes flere ganger.
Professorene Petter Bjerksund og Guttorm Schjelderup ved Norges Handelshøyskole peker på at man kan hente inn om lag samme skatteproveny ved å droppe bunnfradraget og samtidig kutte skattesatsen fra 40 pst. til 28 pst.
Skattedirektoratet har utført beregninger av det forventede provenyet fra den foreslåtte grunnrenteskatten som viser at provenyeffekten for grunnrenteskatt alene utgjør mellom 3,1 og 3,2 mrd. kroner, avhengig av nivået på bunnfradraget.
Flere høringsinstanser viser til en rapport fra KPMG (2022) om beskatning av havbruk i ulike land. I rapporten sammenlignes blant annet selskapsskattesats mellom land. I tillegg til selskapsskatt har flere land innført ulike former for produksjonsavgifter. Departementet viser til at disse avgiftene må havbruksaktørene betale uavhengig av lønnsomheten i selskapet. Det innebærer enten at avgiften må holdes lav, eller at avgiften kan bli svært tyngende for aktørene, særlig i år med svak lønnsomhet.
Etter departementets syn er det en fordel med den foreslåtte grunnrenteskatten at den legges på overskuddet, og dermed tilpasser seg resultatet i virksomheten, i motsetning til bruttobaserte produksjonsavgifter. En riktig utformet overskuddsbasert grunnrenteskatt kan ha en høy skattesats uten at det svekker selskapenes insentiver til å investere i prosjekter.
Departementet har vurdert skattesatsen i lys av høringsinnspillene og foreslår at effektiv skattesats settes til 35 pst. Departementet vektlegger at rammevilkårene skal være stabile og forutsigbare for selskapene og mener at dette er en sats som kan stå seg over tid. At skattesatsen ligger fast er viktig for å bidra til nøytralitet. Dette gir en formell grunnrenteskattesats på 44,9 pst., se omtale under punkt 5.4. Den effektive marginale skattesatsen på grunnrentevirksomheten, inkludert selskapsskatt, blir da 57 pst.
Departementet understreker at selv om grunnrenteskatten har som mål å sikre fellesskapet en betydelig andel av grunnrenten, er det ikke et mål om et bestemt årlig proveny. Tvert imot er det en tilsiktet konsekvens av grunnrenteskatten at provenyet varierer med lønnsomhet og kontantstrøm i næringen fra år til år. Provenyet vil derfor flukturere med lønnsomheten i næringen og være helt avhengig av lakseprisen og kostnadsnivået. I år med svak kontantstrøm vil fellesskapet få relativt lave skatteinntekter. Motsatt vil skatteinntektene bli høyere i år med sterk kontantstrøm.
Departementet vil peke på at formuesskatt og utbytteskatt ikke betales av selskap, men av personer som eier selskapene. Den samlede skatten for den enkelte person vil avhenge av en rekke individuelle forhold hos den private eieren.
Nærmere om rettslige anførsler mot innføringen av grunnrenteskatt på havbruk
Advokatfirmaet Thommessen AS reiser spørsmål om den foreslåtte grunnrenteskatten i enkelte tilfeller kan medføre en så høy samlet skattebelastning at den reelle effekten vil være konfiskasjon. Slik konfiskasjon må i så fall betraktes som erstatningsbetingende ekspropriasjon etter Grunnloven § 105. Det reises også spørsmål om den høye skattebelastningen er i strid med Den europeiske menneskerettskonvensjonen (EMK) tilleggsprotokoll 1 artikkel 1 (P1-1).
Advokatfirmaet Schjødt AS mener at dersom virksomhetene beskattes ut fra normpris og ikke faktisk oppnådd pris, vil beskatningen i praksis kunne overstige 100 pst. av verdiskapingen. Dette er en uforholdsmessig høy skattebelastning, som er problematisk i relasjon til EMK P1-1.
SalMar ASA viser i sitt høringstilsvar til Skatteutvalget, og reiser spørsmål om innføring av grunnrenteskatt på havbruk, etter at andre har tatt risikoen og bygd opp verdiene, i realiteten er en form for ekspropriasjon uten erstatning.
Departementet legger til grunn at spørsmålet om forholdet til Grunnloven § 105 dreier seg om forholdet mellom skatt og konfiskasjon, og om grunnrenteskatten innebærer en så høy skattebelastning at den utgjør en erstatningsbetingende konfiskasjon. Det sentrale etter Grunnloven § 105 er at skatteregler må utformes på en etter Stortingets syn rasjonell måte, og ikke i strid med de likhets- og rettferdighetsprinsipper som bestemmelsen gir uttrykk for. Dette er slått fast i rettspraksis, blant annet Rt. 1955 side 937.
Departementet legger videre til grunn at det kreves spesielle forhold for at en skatt skal kunne anses å være i strid med Grunnloven § 105. Det tilligger Stortinget å bestemme nødvendigheten og hensiktsmessigheten av skatter, og domstolene skal derfor være tilbakeholdne med å overprøve disse sidene av en skatt. Ved vurderingen av om en skatt er grunnlovsstridig er blant annet formålet med skatten sentralt. Bestemmelsen setter videre krav om at skatten ikke uforholdsmessig rammer enkelte grupper skattepliktige hardere enn andre, i strid med likhets- og rettferdighetsprinsippet. Terskelen for at en skatt skal kunne anses for å være i strid med Grunnloven § 105, er etter dette svært høy.
Alle foretak som driver havbruk, er i utgangspunktet omfattet av grunnrenteskatten. Skatten bygger på objektive og rasjonelle kriterier. Selv om skatten kan innebære en høyere gjennomsnittlig skatt for enkelte foretak, blant annet på grunn av bunnfradraget, bygger utformingen av skattereglene på grunnleggende skatterettslige betraktninger. At skatten kan ramme ulikt, er derfor ikke uforholdsmessig. Disse momentene ivaretar likhetshensynet som Grunnloven § 105 bygger på.
Videre er formålet med grunnrenteskatten å trekke inn en del av meravkastningen som oppstår som følge av utnyttelse av stedbundne naturressurser. Omfordeling er et sentralt og viktig hensyn i skattesystemet. Selv om grunnrenteskatten fører til høyere beskatning av de foretakene den omfatter, og sammenlignet med foretak i andre bransjer, er omfanget av skatten bare ett av flere moment i helhetsvurderingen Grunnloven § 105 forutsetter. På denne bakgrunn anser departementet ikke grunnrenteskatten for å være i strid med Grunnloven § 105.
Departementet har også vurdert om Den europeiske menneskerettskonvensjonen tilleggsprotokoll 1 artikkel 1 (EMK P1-1) setter en skranke for den samlede skattebelastningen som vil følge av innføring av grunnrenteskatt på havbruk. Tilleggsprotokoll 1 gjelder som norsk lov, jf. menneskerettsloven § 2 nr. 1 bokstav a, og skal «ved motstrid gå foran bestemmelser i annen lovgivning», jf. menneskerettsloven § 3. EMK P1-1 lyder:
Art 1.Protection of property
Every natural or legal person is entitled to the peaceful enjoyment of his possessions. No one shall be deprived of his possessions except in the public interest and subject to the conditions provided for by law and by the general principles of international law.
The preceding provisions shall not, however, in any way impair the right of a State to enforce such laws as it deems necessary to control the use of property in accordance with the general interest or to secure the payment of taxes or other contributions or penalties.
Statene har et betydelig handlingsrom til å treffe skattevedtak, og det skal mye til før Den europeiske menneskerettsdomstolen (EMD) overprøver en stats begrunnede skattetiltak. Dette følger av EMDs rettspraksis, eksempelvis Travers and others v. Italy (16.01.1995), hvor EMD uttalte at:
It is in the first instance for the national authorities to decide on the type of tax or contributions they wish to levy. Decisions in this area normally involve, in addition, an assessment of political, economic and social problems which the Convention leaves to the competence of the member States, for the domestic authorities are clearly better placed than the Comission to assess such problems. The member States therefore have a wide margin of appreciation in this area.
I krisetider og ved innstrammingstiltak vil skjønnsmarginen være enda videre. Det kan også påpekes at når det gjelder forholdet mellom skatterett og EMK, dreier dette seg som oftest om saker knyttet til rettferdig rettergang og hvorvidt myndighetene kan ilegge tilleggsskatt. Spørsmål som vedrører inntektsskatt, som er tilfelle her, kommer sjeldnere på spissen.
Statens vide skjønnsmargin, det fiskale hensynet og hensynet til en ønsket omfordeling av meravkastningen av fellesskapets ressurser gjennom ytterligere beskatning, tilsier etter departementets mening at det foreslåtte skattetiltaket ikke er i strid med EMK P1-1. Tiltaket anses også å være forholdsmessig, selv om det vil innebære en økt beskatning. Ettersom vurderingen under EMK P1-1 til dels sammenfaller med vurderingen etter Grunnloven § 105, vises det også til denne vurderingen.
5.4 Samvirkning mellom selskapsskatt og grunnrenteskatt
Når deler av grunnrenten fra havbruk skal tilfalle stat og kommuner gjennom en kontantstrømskatt, er det behov for tilpasninger for å sikre god samvirkning med selskapsskatten. Grunnrenteskatten og skatt på alminnelig inntekt bør til sammen ikke føre til større vridninger enn det som allerede følger av skatt på alminnelig inntekt alene. Departementet foreslo i høringsnotatet en modell der det først beregnes en skatt på alminnelig inntekt fra grunnrentevirksomheten, som deretter kommer til fradrag i grunnlaget for grunnrenteskatten. Dette er tilsvarende modell som er innført for grunnrenteskatten for vannkraft og petroleum.
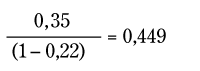
Med en slik sekvensiell beregning av skattene vil grunnlaget for grunnrenteskatten reduseres. Da må grunnrenteskatten settes høyere for å gi den foreslåtte samlede skatteprosenten. Samlet marginal effektiv skattesats med en effektiv grunnrenteskattesats på 35 pst. er:
0,22 + 0,35 = 0,57
Når grunnrenterelatert selskapsskatt er fradragsberettiget i grunnrenteskatten, må grunnrenteskattesatsen teknisk justeres til 44,9 pst.:

Da holdes den samlede effektive marginale skattesatsen uendret:
0,22 + (1 - 0,22) × 0,449 = 0,57
Denne tekniske justeringen har ingen betydning for inntekter og kostnader som behandles likt i de to skattegrunnlagene, som løpende inntekter og driftskostnader. En høyere skattesats har imidlertid betydning for investeringer som kun benyttes i grunnrentevirksomheten. Disse kommer i grunnrenteskatten til fradrag umiddelbart, mens de kommer til fradrag over tid gjennom avskrivninger i alminnelig inntekt. Ettersom en sekvensiell beregning av skattene krever en høyere grunnrenteskattesats for å gi samme effektive skattesats, får selskapene et høyere fradrag for investeringskostnaden i investeringsåret (44,9 pst. istedenfor 35 pst.). En sekvensiell løsning innebærer derfor en større grad av skatteutsettelse, der mindre grunnrenteskatt må betales i investeringsfasen, men mer skatt betales i driftsfasen. Det gir selskapene bedre likviditet i investeringsfasen.
Tabell 5.1 illustrerer hvordan skattegrunnlaget i henholdsvis skatt på alminnelig inntekt og grunnrenteskatten fastsettes når grunnrenterelatert selskapskatt trekkes fra i grunnlaget for grunnrenteskatt. I eksempelet er grunnrenterelatert selskapsskatt beregnet til 44 i år 1 og 2. Dette beløpet føres til fradrag i grunnrenteinntekten, som dermed nedjusteres med dette beløpet før grunnrenteskatten beregnes.
Formålet med fradraget for grunnrenterelatert selskapsskatt er at det ved beregning av grunnrenteinntekt skal tas hensyn til at de aktuelle inntekts- og kostnadselementene allerede er kommet til beskatning eller til fradrag i alminnelig inntekt. Den grunnrenterelaterte selskapsskatten skal kun inkludere de elementene som ilegges grunnrenteskatt, det vil si at andre inntekter eller kostnader som ikke inngår i grunnrenteskatten for havbruk, skal holdes utenfor. Videre vil størrelsen på inntekts- og kostnadskomponenter som inngår i grunnrenterelatert selskapsskatt, samsvare med størrelsene i grunnrenteskatten. Investeringer som fradragsføres umiddelbart i grunnrenteskatten, skal likevel avskrives etter skattelovens alminnelige regler ved beregning av grunnrenterelatert selskapsskatt. Tilsvarende skal gevinst og tap ved realisasjon av slike investeringer følge skattelovens alminnelige realisasjons- og tidfestingsregler ved beregning av grunnrenterelatert selskapsskatt, det vil si ikke tas til inntekt eller føres til fradrag umiddelbart som i grunnrenteskatten, se punkt 5.8. Den grunnrenterelaterte selskapsskatten er en beregnet størrelse som bare benyttes ved fastsettelse av grunnrenteinntekten, og den vil ikke påvirke fastsettelsen av skatt på alminnelig inntekt.
Etter det departementet har registrert, har det ikke kommet særlige innvendinger mot å legge til grunn en sekvensiell beregning av skattene, gitt at det skal innføres en grunnrenteskatt, og departementet fastholder forslaget i høringsnotatet.
Tabell 5.1 Illustrasjon av skattegrunnlaget
År | 0 | 1 | 2 |
|---|---|---|---|
Investering | -400 | ||
Driftsinntekt | 1 000 | 1 000 | |
Driftskostnad | -600 | -600 | |
Avskrivning i alminnelig inntekt1 | -200 | -200 | |
Grunnrenterelatert selskapsskatt | |||
Driftsinntekt | 1 000 | 1 000 | |
Driftskostnad | -600 | -600 | |
Avskriving | -200 | -200 | |
Skattegrunnlag | 200 | 200 | |
Grunnrenterelatert selskapsskatt (22 pst.) | 44 | 44 | |
Grunnrenteskatt | |||
Driftsinntekter | 1 000 | 1 000 | |
Driftskostnader | -600 | -600 | |
Umiddelbart fradrag for investering | -400 | ||
Fradrag grunnrenterelatert selskapsskatt | -44 | -44 | |
Årets beregnede grunnrenteinntekt | -400 | 356 | 356 |
Negativ grunnrenteinntekt fremført fra tidligere år2 | -411 | -57 | |
Grunnrenteinntekt etter fradrag for negativ grunnrente tidligere år | -400 | -55 | 299 |
Bunnfradrag3 [70*(1-0,22)] | - | - | -55 |
Fastsatt grunnrenteskatt (44,9 pst.) | 0 | 0 | 110 |
1 For enkelthets skyld er avskrivningene i selskapsskatten satt til 50 pst. lineært, fordelt over to år, med første avskrivning i år 1.
2 Negativ grunnrenteskatt foreslås fremført med rente, se punkt 5.9. I illustrasjonen er fremføringsrenten 2,8 pst.
3 Bunnfradrag kommer bare til fradrag dersom grunnrenteinntekt etter fradrag for fremførbar negativ grunnrenteinntekt fra tidligere år er positiv, se punkt 5.7.10. Bunnfradraget nedjusteres med selskapsskattesatsen på 22 pst. for at det skal ha virkning mot den effektive grunnrenteskattesatsen på 35 pst.
Kilde: Finansdepartementet.
5.5 Virkeområde
5.5.1 Avgrensning av virkeområdet
Akvakulturtillatelser for produksjon av laks, ørret og regnbueørret i sjø tildeles av Nærings- og fiskeridepartementet etter akvakulturloven §§ 6 og 7, jf. § 4. De er nærmere regulert i laksetildelingsforskriften kapittel 3. Akvakulturtillatelser for matfisk i sjø (matfisktillatelser) gis til konvensjonell produksjon. I tillegg kan det etter akvakulturloven og laksetildelingsforskriften gis tillatelser for produksjon på lokaliteter til havs og til ulike typer tillatelser for særlige formål. Særtillatelsene omfatter utviklings-, forsknings-, visnings-, undervisnings- og stamfisktillatelser, i tillegg til tillatelser til fiskepark og slaktemerd, jf. laksetildelingsforskriften § 6-1. Se også nærmere beskrivelse av de ulike tillatelsene i kapittel 2 i denne proposisjonen. Laksetildelingsforskriften kapittel 4 og 7 regulerer tildeling av tillatelser til produksjon til havs og på land.
Departementet foreslo i høringsnotatet at grunnrenteskatten på havbruk tar utgangspunkt i produksjonen av laks, ørret og regnbueørret knyttet til de ordinære matfisktillatelsene i sjø. Matfisktillatelser i sjø utstedes av staten og gir beskyttet rett til å utøve denne konkrete næringsvirksomheten. Formålet med disse tillatelsene er kommersiell aktivitet i form av oppdrett av fisk. Andre tillatelser har særskilte formål av ikke-kommersiell art, men kan likevel i mange tilfeller utnyttes kommersielt, for eksempel ved samarbeid med kommersielle oppdrettere. I motsetning til de andre typene tillatelser er matfisktillatelsene ikke tidsbegrenset.
I høringen har Fiskeridirektoratet vist til at særtillatelsene gir anledning til høy årsproduksjon, og vil grunnet vederlagsfrihet kunne gi en tilsvarende høy fortjeneste per år som de ordinære matfisktillatelsene som foreslås grunnrentebeskattet. Direktoratet skriver at selv om disse tillatelsene har en tidsbegrenset varighet, vil de kunne gi en ekstraordinær avkastning over en årrekke. Fiskeridirektoratet mener derfor at flere typer særtillatelser burde vært omfattet av forslaget om grunnrenteskatt.
Kverva AS mener det vil være naturlig at utviklingstillatelser behandles på samme måte som kommersielle tillatelser, dersom den foreslåtte modellen for grunnrenteskatt blir innført. Også Nova Sea AS mener utviklingtillatelser må inngå i grunnrentebeskatningen. Havbruk til havs-gruppen i Norsk Industri mener utviklingstillatelser bør omfattes av grunnrenteskatt fra dag én slik at de reelle kostnadene kan fradragsføres, hvis de samme tillatelsene blir underlagt grunnrenteskatt når tillatelsene konverteres.
Lovundlaks AS mener det ikke er et faglig grunnlag for at ikke-kommersielle konsesjoner skal unntas grunnrenteskatt. Dette vil i realiteten gjøre flere av de «ikke-kommersielle konsesjonene» til de kommersielt mest interessante. Ved å behandle ulike konsesjonstyper likt vil man kunne gjøre skattegrunnlaget større og redusere belastningen samlet for den enkelte aktør. Administreringen av ordningen vil også bli enklere både for staten og for næringsaktørene.
Naturvernforbundet mener grunnrenteskatten på havbruk bør omfatte all produksjon av forskjellige fiskearter i sjø og alle typer konsesjoner og lokaliteter. Det vises blant annet til at all havbruksproduksjon i eller ved sjø utnytter knappe naturressurser som tilhører fellesskapet.
Lerøy Seafood Group ASA mener avgrensningen til sjøfasen ikke uten videre er uproblematisk gitt den komplekse sammenhengen i laksens produksjonssyklus. Å konkretisere hvor verdien skapes er en utfordrende oppgave i praksis og særlig i nyere tid når resultatdefinerende aktiviteter i stadig større grad foregår på land, både før og etter matfiskfasen.
Departementet fastholder det prinsipielle utgangspunktet om at det er aktiviteten i sjøfasen som gir opphav til grunnrente i havbruksnæringen slik produksjonen foregår i dag. Departementet mener at en grunnrenteskatt på havbruk kan utformes på en måte som tilstrekkelig presist treffer aktiviteten som genererer grunnrenten. Videre fastholder departementet at akvakulturtillatelser for produksjon av laks, ørret og regnbueørret i sjø utgjør utgangspunktet for grunnrenteskatten på havbruk, som tillatelser med et uttalt kommersielt formål. Departementet bemerker imidlertid at det per i dag er liten til ingen produksjon av ørret i sjø. Ettersom tillatelsene som omfattes av grunnrenteskatten gis for både laks, ørret og regnbueørret, anses det likevel ikke hensiktsmessig å eksplisitt unnta ørret i skattesammenheng.
Departementet ser at også enkelte særtillatelser kan gi grunnlag for oppdrettsproduksjon som genererer grunnrente, og som på prinsipielt grunnlag kan inkluderes i skattegrunnlaget. Det gjelder særlig utviklingstillatelser, men også forsknings-, visnings- og undervisningstillatelsene.
Virksomhet basert på særtillatelser har imidlertid et annet formål enn kommersiell matfiskproduksjon. Forsknings-, visnings- og undervisningstillatelsene innehas i stor grad av universiteter, høgskoler, forskningsinstitusjoner og fylkeskommuner. Hvis også disse tillatelsene omfattes av grunnrenteskatten, oppstår det mange nye spørsmål og behov for avgrensninger som ikke er utredet eller har vært gjenstand for høring. Departementet foreslår derfor ikke nå å inkludere forsknings-, visnings- og undervisningstillatelser. Departementet avgrenser også mot stamfisktillatelser, tillatelser til fiskepark og slaktemerd.
Utviklingstillatelser er en midlertidig ordning for tildeling av særtillatelser, og fristen for å søke gikk ut i november 2017. Enkelte søknader er fortsatt under behandling. Utviklingstillatelsene blir tildelt vederlagsfritt, men kan konverteres til ordinære, tidsubegrensede matfisktillatelser på grunnlag av søknad og mot et vederlag på 10 mill. kroner per tillatelse, jf. laksetildelingsforskriften § 6-7. Konvertering forutsetter at de målkriteriene som ble fastsatt ved tildelingen, er oppfylt. Tillatelsene innebærer derfor støtte til aktører og utvikling av prosjekter som har innovasjon og investeringer som formål.
Departementet viser til at utviklingstillatelsene som sådan i liten grad gir grunnlag for grunnrente. Tildelingen forutsetter at det foretas betydelige investeringer i innovasjon. Når utviklingstillatelsene blir konvertert til ordinære matfisktillatelser, vil disse bli omfattet av grunnrenteskatten. Departementet foreslår derfor ikke å inkludere utviklingstillatelser i grunnrenteskattepliktig virksomhet.
Særlig om tillatelser til havbruk til havs
Muligheten for å drive oppdrett i sjøområder lengre utenfor kystsonen har fått mer oppmerksomhet i senere tid. Laksetildelingsforskriften ble endret 7. november 2022, ved at det er lagt til et nytt kapittel 4 som regulerer havbruk til havs. Videre skal det igangsettes konsekvensutredning for havbruk til havs i tre områder utenfor norskekysten. Høringsnotatet omfattet ikke forslag om å ilegge grunnrenteskatt på havbruk til havs.
Flere høringsinstanser argumenterer for at havbruk til havs bør inkluderes i grunnrenteskattens virkeområde. Blant annet mener Utror AS at tillatelser til havbruk til havs må inkluderes dersom det innføres en grunnrenteskatt for ordinære matfisktillatelser. Utror AS forutsetter da at det etableres en utbetalingsordning for negativ grunnrenteinntekt. Sjømat Norge mener grunnrenteskatten vil få negativ påvirkning på investeringene i havbruk til havs. Sjømat Norge mener også at det vil medføre politisk risiko for en senere innføring av grunnrenteskatt når næringen blir lønnsom, hvis havbruk til havs ikke inkluderes allerede nå.
Havbruk til havs-gruppen i Norsk Industri viser til at manglende klarhet i hvorvidt havbruk til havs er omfattet av en eventuell grunnrenteskatteordning vil sette en effektiv stopper for investeringene, og at det derfor er avgjørende at det avklares fra dag én om det skal være grunnrenteskatt på havbruk til havs eller ikke.
Subsea Farming AS mener matfisktillatelser som anvendes for havbruk til havs, må gå fri for grunnrenteskatt i en periode («grace period») på 35 år, til år 2058, for så å tas opp til vurdering om det er grunnrente knyttet til disse nye teknologiene og driftsformene.
Salmar Aker Ocean AS viser til at havbruk til havs har gode forutsetninger for å bli en lønnsom virksomhet, og at det derfor bør innføres en nøytral kontantstrømbasert grunnrenteskatt på havbruk til havs som ikke påvirker investeringsbeslutningene. Denne bør innføres før eller samtidig med at de første områdene for havbruk til havs lyses ut, for å unngå at investorene krever ekstra påslag knyttet til risikoen for en fremtidig innføring av grunnrenteskatt på havbruk til havs.
Departementet viser til at det ut fra dagens utsikter for kostnader og priser ikke kan påvises grunnrente i havbasert oppdrett, og det er også usikkert om det kan forventes grunnrente i næringen på sikt. Begrensede tillatelser kunne i prinsippet gitt opphav til grunnrente. Havet er imidlertid ikke en begrenset lokalitet på samme måte som fjordene, der produksjonsvilkårene er særlig gunstige. Havbruk til havs vil derfor kunne være en mer mobil virksomhet, avhengig av utformingen på havmerden.
Hovedformålet med skattesystemet er å finansiere offentlig forbruk og investeringer. En grunnrenteskatt på havbasert oppdrett kan derimot gi et betydelig provenytap for staten dersom næringen aldri blir lønnsom.
For havbruk til havs legges det opp til en tillatelsesbasert ordning, der tidsbegrensede tillatelser kan auksjoneres ut.
På denne bakgrunn er det ikke aktuelt å innføre grunnrenteskatt på havbasert oppdrett. Departementet fastholder derfor forslaget fra høringsnotatet om at grunnrenteskatten på havbruk avgrenses mot akvakulturtillatelser for matfisk på lokaliteter til havs.
Særlig om tillatelser til akvakultur på land
Laksetildelingsforskriften kapittel 7 åpner for tildeling av tillatelser til produksjon av laks, ørret og regnbueørret på land. Tillatelser til akvakultur på land tildeles av fylkeskommunen. Tillatelsene avgrenses i maksimalt tillatt biomasse. I motsetning til ordinære, kommersielle akvakulturtillatelser i sjø er tillatelser til akvakultur på land vederlagsfrie og ikke antallsbegrenset. Avhengig av utforming kan anleggene i ulik grad benytte seg av sjøvann til produksjonen. Høringsforslaget inkluderte ikke oppdrett på land i grunnrenteskatten.
Enkelte høringsinstanser mener at oppdrett på land også bør være omfattet av grunnrenteskatten, blant annet Naturvernforbundet og NOAH. NOAH viser til at en konsekvens av å unnta landbasert oppdrett kan være at grunnrenteskatten presser hele oppdrettsnæringen over til landbasert oppdrett. Dette vil føre til en enorm beslagleggelse av sårbar natur. NOAH mener derfor det er svært viktig å presisere at grunnrenteskatten gjelder for landbasert oppdrett, såvel som oppdrett i sjøvann.
Advokatforeningen legger til grunn at vilkåret «antallsbegrenset» innebærer at akvakulturtillatelser til matfiskproduksjon av laks, ørret og regnbueørret på land og hvor det nyttes sjøvann, ikke er omfattet av forslaget om grunnrenteskatt og naturressursskatt.
Departementet viser til at landbasert oppdrett er under utvikling, og at det på nåværende tidspunkt ikke er påvist grunnrente ved landbasert havbruk. Det er heller ikke gitt at det vil oppstå grunnrente i slik oppdrett. Videre innførte Nærings- og fiskeridepartementet 20. desember 2022 midlertidig stans i muligheten til å søke om tillatelser til akvakultur på land. Stansen vil gjelde til et nytt regelverk for akvakultur på land er på plass, i første omgang i seks måneder. Departementet fastholder forslaget om at grunnrenteskatten på havbruk avgrenses mot landbasert oppdrett.
Departementet viser etter dette til at virkeområdet for grunnrenteskatten på havbruk begrenses til produksjonen av laks, ørret og regnbueørret knyttet til de ordinære matfisktillatelsene etter laksetildelingsforskriften kapittel 3. For å tydeliggjøre avgrensningen mot andre typer tillatelser foreslår departementet at anvendelsesområdet i § 19-1 presiseres til å omfatte virksomhet basert på tillatelse som nevnt i akvakulturloven §§ 6 og 7, jf. § 4, jf. laksetildelingsforskriften kapittel 3.
Departementet viser til forslag til skatteloven § 19-1.
5.5.2 Geografisk virkeområde
For personer og selskaper skattemessig hjemmehørende i utlandet foreligger det i utgangspunktet ikke beskatningshjemmel når virksomheten foregår utenfor den norske territorialgrensen til havs. For at også denne type aktivitet skulle være omfattet av skatteplikten, ble det geografiske virkeområdet i høringsnotatet foreslått å omfatte virksomhet i den økonomiske sonen og på kontinentalsokkelen. Dette virkeområdet er i samsvar med virkeområdet til akvakulturloven.
Skattedirektoratet viser til at det foreslåtte geografiske virkeområdet for grunnrenteskatten er sammenfallende med akvakulturloven § 3, som omfatter den økonomiske sonen og kontinentalsokkelen, det vil si også utenfor territorialgrensen. Dette står i motsetning til skatteloven § 2-3 første ledd bokstav b, som stiller som krav at virksomheten må «drives her eller bestyres herfra», eller § 2-2 som angir «i riket». Skattedirektoratet bemerker også at selskaper mv. som driver oppdrettsvirksomhet utenfor riket, jf. skatteloven § 2-3 første ledd bokstav b, ikke vil være skattepliktig for alminnelig inntekt.
Advokatforeningen peker på at havbruk som flyttes lenger ut fra kysten, ikke vil kunne drives på samme måte som tradisjonelt havbruk i Norge. Bakgrunnen for den foreslåtte grunnrenteskatten, slik den er presentert i høringsnotatets punkt 1.2, synes ikke å passe for fremtidige tillatelser til havs. Det vises til at en grunnrenteskatt for denne type tillatelser vil kunne motvirke satsingen på havbruk til havs.
Departementet foreslår at grunnrenteskatteplikten begrenses til de ordinære, kommersielle matfisktillatelsene i sjø, jf. punkt 5.5.1. Av den geografiske avgrensningen i forskrift om produksjonsområder for akvakultur av matfisk i sjø av laks, ørret og regnbueørret (produksjonsområdeforskriften) fremgår det at produksjonsområdene på det meste strekker seg 8 nautiske mil utenfor grunnlinjen.
Grunnlinjene danner yttergrensen for indre farvann og utgangspunktet for beregningen av sjøterritoriet, jf. territorialfarvannsloven av 27. juni 2003 § 1 annet ledd. Sjøterritoriet omfatter havområdet fra grunnlinjene ut til 12 nautiske mil fra disse, jf. § 2. Denne territorialgrensen regulerer også grensen for det norske «riket» utenfor kysten. Figur 5.2 illustrerer havrettens maritime grenser. Konvensjonell oppdrett av laks, ørret og regnbueørret i sjø foregår dermed normalt «i riket».
Basert på eksisterende skatteavtaler vil Norge normalt kunne skattlegge utenlandske personer og selskap som har fast driftssted innenfor territorialgrensen. Departementet foreslår at det geografiske virkeområdet angitt i høringsnotatet justeres, slik at grunnrenteskatten har det samme geografiske virkeområdet som bestemmelsene i skatteloven for øvrig, jf. skatteloven kapittel 2 og betegnelsen «i riket».

Figur 5.2 Havrettens maritime grenser
Kilde: Wikipedia (2023).
5.5.3 Skattesubjekt
Akvakulturregisteret inneholder oversikt over registrerte innehavere av akvakulturtillatelser, opplysninger om enkelttillatelser og tilknyttede lokaliteter. I tillegg inneholder registeret en oversikt over overføringer, pantsettelser og andre rettigheter som er tinglyst på tillatelsene. Akvakulturregisteret forvaltes av Fiskeridirektoratet. Av Akvakulturregisteret følger det at nesten samtlige innehavere av kommersielle matfisktillatelser er aksjeselskaper, uten at dette er en forutsetning for å inneha en antallsbegrenset, kommersiell matfisktillatelse.
På denne bakgrunnen foreslo departementet i høringsnotatet at skatteplikten og særskattesystemet utformes slik at grunnrenteskatten omfatter havbruksvirksomhet basert på de antallsbegrensede, kommersielle matfisktillatelsene, og at skatteplikten påhviler innehaver av tillatelsen, uavhengig av hvordan innehaver av tillatelsene har organisert virksomheten.
Departementet fastholder at skattesubjektet for grunnrenteskatt på havbruk skal være innehaver av antallsbegrenset akvakulturtillatelse til matfiskoppdrett av laks, ørret og regnbueørret, men foreslår en justering i lovteksten for å tydeliggjøre sammenhengen mellom skattesubjektet og grunnrenteskattepliktige tillatelser.
Departementet viser til forslag til skatteloven § 19-2.
Særlig om utleie av akvakulturtillatelser
I høringsnotatet ble det vist til at det etter akvakulturloven § 19 tredje ledd følger at utleie av akvakulturtillatelser ikke er tillatt. Det kan imidlertid i særlige tilfeller gjøres unntak fra forbudet mot utleie. Som et eksempel på slike særlige tilfeller vises det i forarbeidene til akvakulturloven til generasjonsskifter i tradisjonelle akvakulturbedrifter, jf. Ot.prp. nr. 61 (2004–2005). For eksempel vil det kunne være mulig for en familiebedrift å leie ut tillatelsen i en kortere periode inntil en ny generasjon kan ta over driften. Dispensasjonshjemmelen er delegert til Fiskeridirektoratet. I høringsnotatet foreslo departementet at skattesubjektet for grunnrenteskatteplikten til enhver tid skal være den som forestår aktiviteten, og dermed opparbeider grunnrenten. Det kan stilles spørsmål om grunnrenteskatteplikten i utleietilfeller påligger utleier eller leietaker.
Advokatforeningen viser til at den som forestår aktiviteten og dermed opparbeider grunnrenten, kan være en annen enn innehaveren, og viser til at departementet redegjør blant annet for tilfeller det er gjort unntak fra forbudet mot utleie. Advokatforeningene kan ikke se at disse unntakene fremgår av lovteksten eller i forskriftshjemmelen i § 19-13 i høringsnotatet.
I vannkraftbeskatningen kan leietaker i enkelte tilfeller bli grunnrenteskattepliktig, jf. Ot.prp. nr. 22 (1996–97), Oppfølging av nye regler om kraftverksbeskatning:
Departementet legger til grunn at det er den reelle eieren av kraftverket som er pliktig til å betale de ulike skattene knyttet til kraftproduksjonen, herunder grunnrenteskatten og naturressursskatten. Dette vil normalt også være den formelle eieren. Som påpekt i Nasjonalbudsjettet 1997, kan formell eiendomsrett imidlertid ikke oppstilles som noe absolutt vilkår for å anses som eier i forhold til skattereglene. Etter en konkret vurdering av vilkårene i leieavtalen kan derfor leietakeren fremstå som den reelle eieren i skattemessig forstand.
Videre følger det at:
Ved vurderingen av om utleieren eller leietakeren skal anses som kraftverkets eier i skattemessig forstand, må det blant annet legges vekt på partenes rettigheter, plikter og risiko etter avtalen i forhold til kraftverkets restverdi ved utløpet av leieavtalen. Dersom leieavtalen er så langvarig at den formelle eiendomsretten faktisk vil være uten realitet, eller dersom leietakeren har rett til ensidig å forlenge leieavtalen slik, vil dette således være et moment for å kunne anse leieforholdet som en kjøpsavtale i skattemessig forstand.
Departementet viser til at dispensasjon til utleie i praksis kun har blitt gitt i saker som gjelder undervisningstillatelser. Slike tillatelser blir ikke grunnrenteskattepliktig havbruksvirksomhet, jf. forslag til skatteloven § 19-1. Departementet legger til grunn at eventuelle leieavtaler etter unntaksbestemmelsen i akvakulturloven § 19 tredje ledd ikke vil være av en så langvarig og omfattende karakter at det er naturlig å anse leieforholdet som en kjøpsavtale i skattemessig forstand. På bakgrunn av denne vurderingen foreslår departementet at skattesubjektet for grunnrenteskatten for havbruk ved eventuell utleie av akvakulturtillatelser skal være utleieren som formelt innehar akvakulturtillatelsen.
I praksis innebærer det at rapporteringsplikten ved utleie av tillatelser vil påligge utleier, selv om leietaker vil forestå driften i havbruksvirksomheten. Departementet viser til at partene kan regulere overleveringen av de rapporteringspliktige opplysningene seg i mellom, for eksempel gjennom utleieavtalen.
For vurderingen av inntekt og kostnader ved leie av den enkelte akvakulturtillatelsen vises det til punkt 5.6.4.
Departementet viser til forslag til skatteloven § 19-2.
5.5.4 Konserndefinisjon
I høringsnotatet foreslo departementet en konserndefinisjon. Formålet er å motvirke tilpasninger gjennom oppsplitting i flere selskaper for å oppnå flere bunnfradrag. Det ble lagt til grunn at det likevel fortsatt vil være insentiv til oppdeling av selskaper gjennom salg eller fisjon i ulike uavhengige enheter for å redusere den samlede grunnrenteskatten. Det ble derfor foreslått regler på eiernivå, for eksempel slik at selskaper eid av samme person og dens nærstående, bare får ett bunnfradrag.
Skattedirektoratet foreslår noen justeringer i konserndefinisjonen, og viser til at regelen kan omgås ved at en aktør for eksempel gjennom avtale likevel kommer i en posisjon hvor vedkommende får bestemmende innflytelse over et annet selskap. Skattedirektoratet foreslår derfor at definisjonen av konsern mv. utvides til å omfatte tilfeller med bestemmende innflytelse på annet grunnlag enn eierskap etter modell av for eksempel skatteloven § 10-82 og § 6-41. Skattedirektoratet foreslår videre at «nærstående» defineres som alle «slektninger i rett oppstigende eller nedstigende linje og søsken», både for eieren selv og dennes ektefelle/samboer. Videre foreslås det at det kan vurderes om også søskenbarn og onkler, tanter mv. skal være omfattet av definisjonen.
Fiskeridirektoratet påpeker at definisjonen av konsern i lovforslaget § 19-3 er ulik definisjonen av konsern i regnskapsloven § 1-3, som akvakulturdriftsforskriften benytter. Særlig gjelder dette regnskapsloven § 1-3 annet alternativ som ikke er tilsvarende formulert i lovforslaget som nå er på høring. Fiskeridirektoratet stiller derfor spørsmål ved om dette kan gi selskaper anledning til å tilpasse seg, eksempelvis ved ulike aksjeklasser, slik at selskapet fortsatt vil kunne falle inn under regnskapslovens definisjon av konsern og beholde fleksibiliteten med regionalt biomassetak etter akvakulturdriftsforskriften § 48 b, samtidig som selskapet unngår grunnrentebeskatning.
Advokatforeningen mener at det til tross for den foreslåtte konserndefinisjonen, er en viss sannsynlighet for at tillatelsene vil bli spredd på flere selskap, og at ingen eierfamilie vil sitte på mer enn 50 prosent eierskap. I tillegg antas omfanget av aksjonæravtaler og andre lovlige selskapsrettslige tilpasninger å øke.
Lovundlaks AS viser til at man allerede nå erfarer at finansielle aktører og andre eiermiljøer fra inn- og utland, som står utenfor havbruksnæringen, ønsker å lage selskapsstrukturer og ordninger som splitter næringen opp, for å skape flere bunnfradrag.
Departementet fastholder hovedpunktene i konserndefinisjonen i høringsforslaget, med noen justeringer. Ved utformingen av konserndefinisjonen er det tatt utgangspunkt i flere av elementene fra aksjeloven § 1-3. Denne konserndefinisjonen har imidlertid flere likhetstrekk med skatteloven § 10-82 og § 6-41. Konserndefinisjonen i regnskapsloven og aksjeloven er i det vesentlige samsvarende. Med de justeringer som her foreslås, legger departementet til grunn at konserndefinisjonen for havbruk også vil omfatte de elementene Fiskeridirektoratet viser til i sitt høringstilsvar.
For å hindre tilpasninger til bunnfradraget gjennom strategiske eierskap eller partnerskap, aksjonæravtaler eller lignende, foreslår departementet et tillegg i konserndefinisjonen, slik at et foretak kan anses som morselskap dersom det «på grunn av avtale» har «bestemmende innflytelse» over et annet foretak. Tillegget tar sikte på å fange opp tilfeller hvor bestemmende innflytelse over foretaket utøves på annet grunnlag enn eierskap, for eksempel hvor man gjennom en avtale er sikret bestemmende innflytelse over foretaket. Definisjonen stiller ikke krav til avtalens form, noe som innebærer at også muntlige avtaler vil kunne hensyntas ved vurderingen av om det foreligger bestemmende innflytelse. Spørsmålet om det foreligger bestemmende innflytelse på annet grunnlag enn eierskap, må vurderes konkret i det enkelte tilfellet.
Konserndefinisjonen fastslår videre at et foretak også er et datterselskap der ett konsernselskap alene eller flere konsernselskaper sammen har bestemmende innflytelse. Dette er for eksempel tilfelle der foretak A eier 70 pst. av foretak B og 55 pst. av foretak C, og hvor foretak B og foretak C igjen eier 60 pst. av foretak D.
På eiernivå foreslår departementet regler som sikrer at der en personlig eier alene eller sammen med en eller flere nærstående har bestemmende innflytelse over to eller flere foretak eller morselskap, skal også disse foretakene og deres datterselskap anses som et konsern.
Ved utformingen av nærståendedefinisjonen er det tatt utgangspunkt i aksjeloven § 1-5. Etter innspill i høringsrunden, blant annet fra Skattedirektoratet, er imidlertid kretsen noe utvidet.
Ved vurderingen av om det foreligger bestemmende innflytelse, skal en personlig eier eller et foretak alltid anses å ha bestemmende innflytelse hvis vedkommende eller foretaket eier så mange aksjer eller andeler i et foretak at de representerer flertallet av stemmene i det andre foretaket, eller hvis vedkommende eller foretaket har rett til å velge eller avsette et flertall av medlemmene i det andre foretakets styre. Ved beregningen av stemmerettigheter og rettigheter til å velge eller avsette styremedlemmer skal rettigheter som morselskapet og morselskapets datterselskap har, regnes med. Det samme gjelder rettigheter som innehas av noen som handler i eget navn, men for morselskapets eller et datterselskaps regning. Tilsvarende følger av aksjeloven § 1-3 annet og fjerde ledd.
Departementet vil i oppfølgningen av forslaget følge med på utviklingen og eventuelle tilpasningene og vurdere endringer i konserndefinisjonen om dette anses hensiktsmessig.
Departementet viser til forslag til skatteloven § 19-3.
5.6 Inntekt
5.6.1 Fastsetting av bruttoinntekt av salg
Utgangspunkt
Formålet med grunnrenteskatten er å trekke inn en del av meravkastningen ved å utnytte våre felles naturressurser. For at grunnrenteskatten skal virke etter hensikten, må en nokså presist skattlegge avkastningen i virksomheten som genererer grunnrente, verken mer eller mindre.
Fastsetting av skattegrunnlaget bør skje på det punktet i verdikjeden som best treffer den delen av virksomheten som skaper grunnrenten. Dette skjæringspunktet for grunnrenteskattepliktig inntekt kalles skatteavregningspunktet. Det avgjør hvilke inntekter som skal inkluderes i den grunnrenteskattepliktige havbruksvirksomheten, og setter grenser for hvilke kostnader som skal komme til fradrag i grunnrenteinntekten. Formålet er å unngå at inntekter og kostnader fra andre aktiviteter som øker verdien, men som ikke er grunnrentevirksomhet, blir regnet med i grunnrenteinntekten.
Grunnrente i havbruk er knyttet til sjøfasen av produksjonen, se punkt 2.2. Prinsipielt skal derfor bruttoinntekten i grunnrenteskatten baseres på markedsverdien av fisken når den forlater sjøfasen, det vil si ved merdkanten. Brutto grunnrenteinntekt beregnes ved å multiplisere markedsverdien av fisken på merdkanten med solgt volum.
I mange tilfeller vil det ikke foreligge en observerbar markedspris ved opptak fra merden, fordi fisken først selges til en ekstern part etter slakt, transport eller bearbeiding. For å treffe aktiviteten som genererer grunnrente, er det nødvendig å komme frem til en markedsverdi på merdkanten også i tilfeller der fisken er solgt til en uavhengig kjøper, men fra et senere ledd i verdikjeden. Prinsipielt burde en også benytte volumet på merdkanten for å finne korrekt grunnrenteinntekt, men fisken veies og kvalitetsvurderes normalt først ved slakting. Disse spørsmålene omtales nærmere under.
Høringsforslaget
I høringsnotatet om grunnrenteskatt på havbruk foreslo departementet, i tråd med anbefalingen fra Havbruksskatteutvalget, at det fastsettes normpriser for laks med utgangspunkt i børspriser på Nasdaq, til bruk for fastsetting av grunnrenteinntekt. Disse prisene beregnes med avhendingspunkt i Oslo. Normprisen fastsettes da noe senere i verdikjeden enn normprispunktet (skatteavregningspunktet) foreslått i høringsnotatet, som var etter slakt. I beregningen av grunnrenteinntekten måtte det derfor tas hensyn til kostnader som påløper etter slakt og frem til avhendingspunktet i Oslo.
For ørret og regnbueørret foreslo departementet at faktiske salgspriser skulle legges til grunn for inntektsberegningen, med de nødvendige justeringer for eventuell verdiøkning etter merdkanten.
I senere pressemelding av 18. november 2022 og svar av 5. desember 2022 til Dokument 8:38 (2022–2023) fra Stortinget ble det varslet at departementet vurderer å opprette et prisråd for havbruk etter modell fra Petroleumsprisrådet. Petroleumsprisrådet er et uavhengig organ som fastsetter normpriser for solgt petroleum til bruk ved skattefastsettingen for petroleumsselskapene, jf. petroleumsskatteloven § 4. Normprisen skal svare til hva petroleum på normprispunktet kunne ha vært omsatt for mellom uavhengige parter i et fritt marked. Normprisene er bindende ved skattefastsettingen uten nærmere prøving av selskapene eller skattemyndighetene.
Høringsuttalelsene
Høringsinstansene har delte meninger om bruk av normpriser. Flere næringsaktører støtter ikke forslaget i høringsnotatet om bruk av normpriser med utgangspunkt i børspriser på Nasdaq.
Sjømat Norge mener at ulempene med normpris ikke er drøftet tilstrekkelig i høringsnotatet. De mener at bruk av normpriser basert på Nasdaq-priser vil innebære en ulempe ved at selskapene skattlegges for en teoretisk inntekt og ikke den faktiske inntekten ved salg av fisken. Videre vises det til at produktet i vannkraft (en kilowattime) er en standardisert vare, mens kiloprisen for laks kan variere mye, avhengig av kvalitet og størrelse. Organisasjonen mener det er uklart hvilken Nasdaq-pris som skal benyttes, og peker på at Nasdaq opererer med ulike priser. Sjømat Norge viser videre til at forslaget har fått store utslag i videreforedlingsindustrien ved at oppdrettsselskaper ikke ønsker å inngå fastpriskontrakter. De viser til at kundene (for eksempel matvarekjeder) krever fastprisavtaler med forutsigbarhet i pris for de bearbeidede produktene. Dette markedet er, ifølge Sjømat Norge, i stor grad bortfalt etter forslaget, noe som skal ha medført at flere selskaper varslet permitteringer av mange ansatte innen foredlingsvirksomheten.
Flere næringsaktører deler disse vurderingene. Norwell AS, BDO Advokater AS, Frøy ASA, MMC First Process AS, Cermaq Norway AS, Lerøy Seafood Group ASA, Nova Sea AS, Nordlaks Oppdrett AS, Grieg Seafoods ASA, Stiim Aqua Cluster, Salmon Group med flere mener faktiske priser bør legges til grunn. Flere høringsinstanser peker på at et eventuelt normprisråd vil kreve betydelige administrative ressurser fra myndighetene og næringen, og at dette taler for at man heller bør benytte selskapenes egne salgspriser ved fastsettelsen av inntekten, også for internpriser. Bremnes Seashore AS ber om at normpris blir byttet ut med reell salgspris for 2023, uavhengig av hva utfallet av stortingsbehandlingen av grunnrenteskatten for havbruk blir.
Fish Pool ASA anbefaler at det klargjøres at finansielle kontrakter inngår i skattegrunnlaget med samme resultat- og skatteeffekt som fastpriskontrakter med fysisk leveranse. Det vises til at dette vil være viktig for mindre oppdrettere, som ofte ikke kan sørge for den jevne leveransen som kreves i en fysisk fastprisavtale. Videre vises det til at det finnes gode prisreferanser og verktøy for å kunne vurdere riktige regnskapsmessige internpriser. Fish Pool ASA støtter derfor finansministerens brev til Stortinget hvor det klargjøres at interne priser kan legges til grunn for innføringsåret 2023.
Advokatfirmaet Schjødt AS mener forslaget om å benytte normpris fra Nasdaq-børsen ved inntektsfastsettelsen kan gi negative utslag. Det vises til at markedet for langsiktig kontraktssalg gir erfaringsmessig lavere priser enn normpris basert på spotsalg. Beskattes virksomhetene ut fra normpris og ikke faktisk oppnådd pris, vil beskatningen i praksis kunne overstige 100 prosent av verdiskapningen. Forslaget om normpris for laks bør endres til faktisk oppnådde priser som reflekterer den reelle skatteevnen. Det vises videre til at bruk av normpris kan lede til matsvinn, da fisk av lav kvalitet kan ende opp med å ikke bli omsatt i markedet som følge av at denne fisken prises langt lavere enn fisk av god kvalitet.
Advokatforeningen mener en eventuell bruk av normpris bør utredes nærmere for å sikre at dette blir tilstrekkelig treffsikkert. Alternativt bør faktiske priser på inntekter anvendes. Tilsvarende som Advokatfirmaet Schjødt AS viser Advokatforeningen til at bruk av normpris kan lede til matsvinn.
Kverva AS mener all form for bruk av normpriser bør legges til side, da dette vil ha risiko for skadelige effekter. Forsøk på å etablere normprisråd for å komme nærmere faktisk pris, vil være svært komplisert og krevende, og er ingen god løsning for havbruksnæringen.
Mowi ASA mener normpris, uavhengig av om denne er basert på spot eller en kombinasjon av spot og kontrakt, ikke vil være riktig for noe selskap, og at en eventuell normpris må fastsettes per oppdretter for å være treffsikker. De viser blant annet til at det for laks ikke finnes noen reell referansepris eller tilnærmet børspris, slik som for petroleum og elektrisitet. Det vises videre til at prisene for laks er svært volatile, og at en gjennomsnittlig normpris for spot ikke vil fange opp alle variabler som påvirker prisene hvert enkelt selskap oppnår, samt at kontraktssalg ikke kan måles på gjennomsnitt for en tidsperiode. Det eneste som vil fungere for alle aktører, ifølge Mowi ASA, er å bruke virkelig oppnådde priser som utgangspunkt for grunnrenteskatten.
Fiskeridirektoratet anerkjenner at faktisk salgspris har en del negative sider, men legger til grunn at dette alternativet ville være mer forutsigbart for selskapene. Man bør derfor se på om det er mulig å gå ut fra selskapenes salgspris, uten at dette fører til vesentlig merarbeid for skattemyndighetene.
Professorene Bård Misund og Ragnar Tveterås ved Universitetet i Stavanger viser til at det finnes flere hundre forskjellige kombinasjoner av kvalitets- og størrelsessorteringer, og skreddersydde varianter, som hver vil ha en egen prisdannelse. De viser til at det vil være svært krevende administrativt å sette normpriser for de ulike kvalitetene, og at det må gjøres en avveining mellom presisjon og hva som er praktisk mulig. Lav presisjon vil kunne undergrave legitimiteten til normprissystemet, mens høy presisjon vil gi et veldig komplekst normprissystem. De mener at det av legitimitetshensyn bør legges opp til at grunnrenteinntekten baseres på faktisk prisoppnåelse inntil et normprissystem er på plass.
Flere kommuner mener enten at normpriser ikke bør benyttes, eller at normpriser må utredes videre for å virke treffsikkert. Nettverk fjord- og kystkommuner (NFKK) mener normpris innebærer risiko for at inngåtte fastprisavtaler kan ligge under det som viser seg å bli normprisen for de enkelte årene. Det betyr at selskapene risikerer å måtte betale skatt for en inntekt de ikke har fått. Konsekvensen av dette er at ingen vil risikere å måtte betale skatt for penger som ikke er tjent, og derved avstår oppdretterne fra å inngå langsiktige avtaler med kundene sine. Dette vil i praksis bety slutten på videreforedling av laks i Norge. NFKK mener forslaget må endres for å sikre stabile og forutsigbare rammer som fører til mer bearbeiding av laks i Norge. NFKK er tvilende til om et normprisråd kan avbøte de nevnte problemene.
Skattedirektoratet mener generelt at normpris gir best uttrykk for grunnrenten for alle fiskeslag og typer salg. Direktoratet mener normpriser i mindre grad åpner for uønskede tilpasninger, herunder internprisingsproblematikk. Nøytralitetshensyn trekker ifølge Skattedirektoratet i retning av at all grunnrenteskattepliktig fiskeproduksjon bør behandles likt og omfattes av et normprissystem. Sammenlignet med bruk av faktiske salgsinntekter vil normpriser fastsatt av et normprisråd være et godt virkemiddel for å motvirke skattemotiverte tilpasninger. Skattedirektoratet viser imidlertid til at bruk av faktiske priser ved salg til uavhengige vil øke kompleksiteten og risikoen i regelverket, da fisk solgt til nærstående ofte vil ha et annet verdsettelsestidspunkt for grunnrenteskatteformål enn fisk solgt til uavhengige parter, hvor salg kan finne sted etter foredling og transport. Dette vil også kunne gi selskapene insentiver til å integrere grunnrentevirksomheten med resten av verdikjeden. Skattedirektoratet viser til at ulike metoder for prisfastsettelse for salg til nærstående og uavhengige parter vil føre til flere utfordringer ved fastsettelse av fradragsberettigede kostnader, sammenlignet med om normpris hadde vært benyttet for alle salg. Skattedirektoratet peker videre på at sammenlignet med bruk av NQSALMON, vil normpriser fastsatt av et prisråd være mer treffsikre ved at det kan hensynta blant annet priser i markedet oppnådd ved faste avtaler, bredere differensiering av kvalitet- og vektklasser, og øvrige forhold som har betydning for prisfastsettelsen.
LO mener et godt utformet normprisråd for havbruk kan være en god løsning, og at kontraktspriser mellom uavhengige parter burde danne utgangspunkt for normpriser mellom ikke-uavhengige parter, men tilpasset ytterligere videreforedling av laks til sluttmarkedet.
Også Statistisk sentralbyrå (SSB) mener det er gode argumenter for å fastsette inntekt basert på en normpris, blant annet at en normpris reduserer risikoen for skattemotivert tilpasning som kan føre til at ikke all grunnrenteinntekt underlegges særskatten. Videre viser SSB til at når inntekten for regnbueørret i grunnrenteskattegrunnlaget er basert på fakturert pris, vil det være mulig å redusere inntekten som skattlegges med grunnrenteskattesats ved å sette en lavere fakturapris (særlig aktuelt ved interne salg). Et eventuelt normprisråd bør derfor få i oppgave å fastsette normpris for alle aktuelle arter (laks og regnbueørret). Dette for å unngå vridningseffekten der inntekt basert på fakturapris for regnbueørret og normpris for laks, vil øke den relative attraktiviteten ved å produsere regnbueørret fremfor laks.
Tilsvarende vurdering har professorene Petter Bjerksund og Guttorm Schjelderup ved Norges Handelshøyskole. De peker på at et stort rom for utøvelse av subjektivt skjønn vil favorisere de store aktørene på bekostning av de mindre, samtidig som et slikt normprissystem vil være kostbart å administrere og kontrollere. Det tilsier etter deres vurdering at grunnrenteskatten bør beregnes fra markedspriser som er reelle og som speiler armlengdes avstand, og som i minst mulig grad hviler på utøvelse av subjektivt skjønn. De støtter bruk av en normpris, og understreker at produsenter som ønsker å prissikre sin inntekt etter skatt, kan selge om lag halvparten av produksjonen til fastpris. Da vil inntektene fra den delen av produksjonen som ikke er prissikret, svinge i takt med skatten slik at spotprisrisikoen utlignes. En annen mulighet er ifølge professorene at produsenter kan avlaste skatterisikoen ved å inngå finansielle kontrakter i fremtidsmarkedet for laks, det vil si på Fish Pool.
Flere av høringsinstansene understreker, uavhengig av om de er for eller imot bruk av normpriser, at en eventuell normpris bør differensieres etter kvalitet og vekt. Det påpekes at en del av fisken som selges, ikke er såkalt «superior», og at en generell normpris derfor ikke vil treffe grunnrenteinntekten med prisnivået superior som førende.
Departementets vurderinger og forslag
I en grunnrenteskatt er målet å beskatte meravkastningen (grunnrenten) som oppstår ved utnyttelsen av våre felles naturressurser. Det relevante utgangspunktet for å fastsette riktig inntekt fra grunnrentevirksomheten, er den prisen varen kan omsettes for mellom uavhengige parter på skatteavregningspunktet. Grunnrenteinntekten for havbruk skal derfor baseres på markedsverdien for laks, ørret og regnbueørret idet fisken forlater sjøfasen. Det gjelder uavhengig av hvilken metode som benyttes for å fastsette skatteavregningsprisen, det vil si uavhengig av om skattyter selv må komme frem til markedsprisen eller om prisen settes av et prisråd.
Departementet ser at det kan være utfordringer med en normpris basert utelukkende på priser fra Nasdaq, som påpekt i flere høringsinnspill. Nasdaq-prisene er basert på frivillig rapportering av oppnådde salgspriser per vektklasse mellom eksportør og kunde, hvilket kan gjøre systemet sårbart. Videre påpeker flere aktører at Nasdaq-prisene gjelder superior kvalitet, og at det kan gi for høye normpriser for fisk av lavere kvalitet. Det kan være behov for ytterligere differensiering mellom kvaliteter og over tid enn departementets forslag i høringsnotatet la opp til. Departementet har derfor gått bort fra forslaget i høringsnotatet om normpriser tilsvarende priser på Nasdaq-børsen. Videre har en gått bort fra forslaget om at skatteavregningspunktet skal være etter slakting av fisken.
Departementet foreslår at skatteavregningsprisen skal fastsettes ved merdkanten. Det innebærer at grunnrenteinntekten anses innvunnet når fisken passerer dette stedet. I mange tilfeller vil det ikke foreligge en observerbar markedspris ved opptak fra merden, fordi fisken først selges til en ekstern part etter slakt, transport eller bearbeiding. Det må da justeres for eventuell verdiøkning etter merdkanten for å unngå at verdiøkning fra aktiviteter etter sjøfasen kommer til beskatning i grunnrenteskatten. Det gjelder for eksempel salgsvirksomhet, slakt, bearbeiding, transport, eventuelle finansielle prissikringskontrakter og markedsføring.
Et viktig hensyn når en skal bestemme hvordan markedsprisen skal fastsettes, og av hvem, er å redusere mulighetene for skattetilpasninger som kan uthule grunnrenteskatten. Samtidig bør de administrative kostnadene både for de skattepliktige og det offentlige holdes så lave som mulig. I grunnrenteskattene for petroleum og vannkraft benyttes det derfor normpris for olje og spotmarkedspris for kraft.
Nedenfor redegjør departementet for to metoder for å fastsette markedsverdien på merdkanten: de alminnelige reglene der selskapene selv kommer frem til markedsverdien i skattemeldingen (a), eller markedsverdien fastsettes av et uavhengig prisråd (b).
a. Grunnrenteinntekten baseres på markedsverdi på merdkanten satt av selskapene
Det alminnelige skatterettslige utgangspunktet er at skattleggingen skal bygge på skattyters foretatte disposisjoner og transaksjoner. Det betyr at skattyters fakturerte priser normalt legges til grunn ved skattefastsettingen av brutto salgsinntekt. Et viktig unntak gjelder hvis inntekten er redusert som følge av interessefellesskap med annen part. I så fall kan skattemyndighetene fastsette inntekten til det den ville vært mellom uavhengige parter (armlengdeprinsippet), jf. skatteloven § 13-1 og OECDs retningslinjer for internprising for multinasjonale foretak og skattemyndigheter (OECDs retningslinjer).
I grunnrenteskattene modifiseres utgangspunktet om at fakturerte priser skal legges til grunn for skattleggingen. For havbruk betyr det at verdier som skapes etter sjøfasen (merdkanten), ikke skal skattlegges i grunnrenteskatten.
De fakturerte salgsprisene for fiskeproduktene for den enkelte aktør kan være knyttet til prisnoteringer på Nasdaq, avtalte priser for enkeltvolum og langsiktige avtaler for leveranse av flere volum. En utfordring er at en rekke aktiviteter som øker fiskens verdi, men som faller utenfor grunnrenteskattepliktig inntekt, kan ha økt de fakturerte salgsprisene. Det gjelder bearbeiding og videreforedling, salgs- og markedsføringsaktivitet og transport. Inntekter og kostnader fra slike aktiviteter skal ikke inngå i skatteavregningsprisen på merdkanten.
I tilfeller der fisken ikke er solgt på merdkanten (slik at fakturert pris kan legges til grunn ved skattefastsettingen), må selskapet derfor selv komme frem til en markedsverdi (skatteavregningspris) på merdkanten, som skal oppgis i skattemeldingen. Løsningen innebærer at fisken for skatteformål anses solgt (og innvunnet) på merdkanten, uavhengig av om det faktisk har skjedd et salg der eller ikke. Dette svarer til løsningene i kraft- og petroleumsskatten, der skatteavregningspunktet og normprispunktet er det samme. For å treffe aktiviteten som genererer grunnrente, er det nødvendig å beregne en markedsverdi på merdkanten også i tilfeller der fisken er solgt til en uavhengig kjøper, men fra et senere ledd i verdikjeden. Skatteavregningsprisen skal reflektere markedsverdien (det vil si prisen som ville ha vært avtalt mellom uavhengige parter i et fritt marked, omtalt som armlengdeprisen) når fisken forlater sjøfasen. Ved beregningen av denne markedsverdien ved merdkanten skal en i prinsippet ta hensyn til alle forhold som kan ha påvirket prisen. Vurderingen tilsvarer den som gjelder ved fastsetting av armlengdeprisen etter skatteloven § 13-1 og OECDs retningslinjer for internprising. Disse retningslinjene beskriver flere ulike metoder for å fastsette internpriser i tråd med armlengdeprinsippet. En kan for eksempel ta utgangspunkt i sammenlignbare, uavhengige salg ved eller nær merdkanten (sammenlignbar ukontrollert pris-metoden (SUP-metoden)), eller trekke fra verdiøkning på fisken som stammer fra aktiviteter etter at fisken tas opp av merden og frem til salget (videresalgsmetoden).
Når verdiøkende aktiviteter etter merdkanten utføres i det grunnrenteskattepliktige selskapet eller av et nærstående selskap innen samme konsern eller med samme eiere, er det en risiko for en forskyvning av skattegrunnlag, ved at grunnrenteinntekt overføres til ikke-grunnrenteskattepliktig virksomhet. Det er risiko for at prisfastsettingen ved interne salg vil avvike fra hva prisen ville vært ved salg mellom uavhengig parter. Det kan også settes for høye fradrag for interne aktiviteter, som for eksempel kostnader for frakt til slakteri, slakt, foredling, bearbeiding og frakt til marked, som kan påvirke markedsverdien.
Mange havbruksaktører er i dag organisert som integrerte selskap eller konsern, og det vil være behov for at skattemyndighetene kontrollerer at internprisene er avtalt på samme vilkår som om partene var uavhengige. Eventuelle tilpasninger kan motvirkes ved bruk av bestemmelsen om skjønnsfastsettelse i skatteloven § 13-1 dersom inntekten er redusert som følge av interessefellesskapet. Å anvende § 13-1 kan være ressurskrevende, både for skattemyndighetene og for de skattepliktige. Videre kan skattemyndighetene først foreta kontroll etter innsending av skattemeldingen for inntektsåret. Saker om endring av skattefastsetting vil typisk løpe i de påfølgende årene. Innhenting av tilleggsopplysninger og eventuelle endringssaker mv. kan være tidkrevende og kreve omfattende ressurser fra selskapene og skattemyndighetene. For selskapene vil det være en ulempe å ikke få avklart skatteavregningsprisen med bindende virkning raskt. Kontroller og endringsvedtak fra skattemyndighetene kan gi opphav til tvister med skattepliktige i enkeltsaker, herunder for domstolene, om inntektsfastsettingen og betalingspliktig grunnrenteskatt.
b. Grunnrenteinntekt baseres på markedsverdi fastsatt av et uavhengig prisråd
I pressemelding 17. november 2022 varslet departementet at det vurderes å opprette et uavhengig organ for å fastsette normpriser som grunnlag for grunnrenteskatten for havbruk. Det ble blant annet pekt på at en har gode erfaringer med et prisråd for petroleumsskatten.
I petroleumsskatten verdsettes petroleum for skatteformål når den passerer et normprispunkt, uavhengig av om faktisk salg skjer på dette eller et senere punkt. Skatteavregningsprisen på normprispunktet skal svare til prisen petroleum kunne vært solgt for mellom uavhengige parter i et fritt marked, jf. petroleumsskatteloven § 4. Det er opprettet et uavhengig Petroleumsprisråd som har kompetanse til å fastsette normpriser for all petroleum, men som til nå har fastsatt normpriser kun for råolje. Normprisene fastsettes løpende og er bindende. Normprisene legges til grunn ved skattefastsettingen uten nærmere kontroll av skattemyndighetene. På den måten vil selskapene relativt raskt kunne få fastslått med bindende virkning hvilken skatteavregningspris de og skattemyndighetene må forholde seg til. Ordningen har vært ressursbesparende for selskapene og Skatteetaten, og bidratt til at petroleumsskattegrunnlaget ikke reduseres gjennom overskuddsflytting.
Petroleumsselskapene har rett til å uttale seg overfor Petroleumprisrådet før normpriser blir endelig fastsatt, og selskapene har en vid opplysningsplikt om egne salgs- og avtalevilkår. Normprisene fastsettes normalt som en felles pris for flere salg med samme kvalitet, salgsvilkår mv., men det er også hjemmel til å fastsette normpris for enkeltsalg. For salg som Petroleumsprisrådet finner at det ikke har grunnlag for å fastsette normpris for (manglende markedsinformasjon, atypisk salg, kvalitet mv.), gjelder de alminnelige reglene der skattemyndighetene kontrollerer skattyters oppgitte salgspris, jf. også skatteloven § 13-1.
På samme måte som i petroleumsskatten kan et uavhengig, faglig prisråd forenkle prisfastsettingen for havbruk ved å sette en bindende skatteavregningspris for flere salg av fisk av samme kvalitet i samme periode. Også i denne metoden er målet at prisen skal svare til markedsverdien av fisken på skatteavregningspunktet (merdkanten). Tilsvarende som når skattyter selv kommer frem til skatteavregningsprisen, jf. alternativ a. over, må prisrådet ta hensyn til kvalitetsforskjeller og øvrige forhold som kan ha påvirket markedsverdien. Prisrådet kan likevel fastsette en felles skatteavregningspris for sammenlignbare salg (for eksempel fisk av lik kvalitet solgt i samme tidsperiode) eller eventuelt en skatteavregningspris for et enkelt salg. Skatteavregningsprisen skal gjenspeile markedsverdien av fisken på merdkanten, uavhengig av hvor i verdikjeden omsetningen faktisk skjer.
Særlig i tilfeller der fisken selges nær merdkanten, eksempelvis etter slakt, og det finnes tilsvarende salg til uavhengig part, vil et prisråd ha et godt sammenligningsgrunnlag for å fastsette en felles markedsverdi som treffer flere salg, med nødvendige differensial for kvalitetsforskjeller mv. I tilfeller hvor selskapet klarer å oppnå en merverdi gjennom eksempelvis markedsføring, foredling eller ved finansielle prissikringskontrakter, vil dette være en gevinst for selskapene oppstått etter merdkanten. Det vil si at slike inntekter og kostnader etter merdkanten ikke skal inngå i skatteavregningsprisen.
Målet er at skatteavregningspriser skal treffe godt, også på selskapsnivå. Eventuelle avvik i et enkelt salg vil gå begge veier for selskapene over tid, og kan oppveies av den administrative forenklingen bindende fastsatte skatteavregningspriser innebærer både for selskaper og skattemyndighetene.
Skatteavregningspriser fastsatt av et prisråd legger til rette for en riktig fastsatt grunnrenteskatt og større forutsigbarhet for selskapene, og begrenser myndighetenes behov for kontroll ved at de bindende legges til grunn ved fastsettingen av brutto inntekt i grunnrenteskatten. Dermed reduseres omfanget av ressurskrevende endringssaker og eventuelt rettstvister om skattefastsettingen i enkeltsaker. Også ved skatteavregningspriser fastsatt av et prisråd bør det imidlertid være adgang til å påklage og gå til søksmål mot vedtak om skatteavregningspriser.
Forslag til fastsetting av brutto grunnrenteinntekt i havbruk
Departementet viser til at grunnrenteskatten skal baseres på markedsverdien (prisen mellom uavhengige parter i et fritt marked) når fisken forlater sjøfasen, det vil si ved merdkanten. Dette gjelder uavhengig av hvilken metode som benyttes for å fastsette skatteavregningspriser.
Departementet mener at flere av utfordringene som er påpekt i høringen, kan avbøtes ved å opprette et uavhengig prisråd for normering av markedsverdi på merdkanten. Et prisråd kan fastsette skatteavregningspriser for flere ulike kvaliteter av laks, og dermed gjøre skatteavregningsprisene mer nyanserte og presise. Et prisråd kan også fastsette skatteavregningspriser for ørret og regnbueørret, og dermed oppnå likebehandling av fiskeslagene. Samtidig vil et prisråd redusere muligheten for tilpasninger og redusere de administrative kostnadene for selskapene og Skatteetaten. Rådet bør få informasjon fra selskapene om alle relevante priser, salgstidspunkt, salgsvolum og kontraktsvilkår for alle salg av oppdrettsfisk, slik at skatteavregningspriser kan fastsettes på et bredt grunnlag.
På samme måte som Petroleumsprisrådet, bør et prisråd for havbruk få et vidt mandat. Rådet bør ha myndighet til å fastsette skatteavregningspriser på alle eller utvalgte salg av laks, ørret og regnbueørret. Prisrådet kan i tillegg vurdere om skatteavregningspriser bør settes felles for flere salg, kontraktstyper og tidsperioder av gangen, der markedsforholdene tilsier det. Et prisråd bør dessuten gis mulighet til ikke å fastsette skatteavregningspris i enkelte tilfeller dersom det foreligger særlige hensyn. Det kan for eksempel være der oppdretter må slakte et parti på grunn av sykdom, eller der rådet vurderer at det ikke har tilstrekkelig markedsgrunnlag for å fastsette normerte priser for en bestemt kvalitet eller periode. Særlig i en oppstartfase vil rådet ha behov for å innhente informasjon og opparbeide kunnskap, og prisrådet må løpende vurdere hvilke salg det er grunnlag for å fastsette skatteavregningspriser for.
For de salgene der et prisråd ikke fastsetter skatteavregningspriser, må selskapene sette markedsverdien ved merdkanten, som skal legges til grunn i skattemeldingen, jf. omtalen i punkt a. over.
Som omtalt i svar til Stortinget til Dokument 8:38 (2022–2023), gjelder de alminnelige reglene ved egenfastsettingen for inntektsåret 2023, og i perioden inntil et prisråd er etablert og har fastsatt skatteavregningspriser. Det innebærer at grunnrenteskattepliktige selv må sette markedsverdien ved merdkanten til bruk ved inntektsfastsettingen, som omtalt i punkt a.
Flere selskaper har i høringen, og ellers i media, uttrykt bekymring for at fakturerte priser for fisk solgt på langsiktige fastpriskontrakter ikke vil legges til grunn ved beregning av den enkeltes grunnrenteskatt. Departementet vil foreslå at langsiktige fastpriskontrakter skal kunne legges til grunn i fastsettingen av grunnrenteinntekt. Fastpriskontraktene må være inngått mellom en uavhengig kjøper og skattyter eller et selskap i skattyters konsern, og ha et visst volum og varighet. Også for slike kontrakter skal skatteavregningsprisen gjenspeile markedsverdien av fisken ved merdkanten. For 2023 vil egenfastsetting av inntekten uansett ligge til grunn for alle avtaler, jf. punkt a.
For å komme frem til brutto grunnrenteinntekt, må skatteavregningsprisen multipliseres med solgt volum. Prinsipielt burde salgsvolumet på merdkanten benyttes for å fastsette grunnrenteinntekten, men slaktetidspunktet er det første punktet i verdikjeden der fisken veies og kvalitetsvurderes. Av praktiske grunner foreslår departementet derfor at bruttoinntekten baseres på slaktevolumet, som normalt vil være noe lavere enn volumet ved merdkanten. Skatteavregningspunktet med denne løsningen er likevel merdkanten, jf. blant annet punkt 5.7.1 nedenfor om fradrag for kostnader.
Departementet foreslår at det reguleres i loven at brutto salgsinntekt i grunnrenteskatten ved skattefastsettingen kan bygge på bindende skatteavregningspriser fastsatt av et uavhengig prisråd for havbruk. Det foreslås at medlemmene i prisrådet oppnevnes av departementet.
De nærmere reglene om organiseringen av et prisråd og fastsettingen av skatteavregningspriser bør reguleres i forskrift etter først å ha vært på høring. Departementet foreslår at det gis en hjemmel i skatteloven til å gi nærmere regler i forskrift om ordningen med et prisråd, herunder regler om saksbehandling, opplysnings- og dokumentasjonsplikt for selskapene og rett til å klage og gå til søksmål mot vedtak om skatteavregningspris. Videre foreslås en hjemmel til å gi forskriftsbestemmelser om taushetsplikt og unntak fra taushetsplikt og deling av opplysninger mellom prisrådet og andre offentlige myndigheter. Det foreslås også hjemmel for departementet til å bestemme at prisrådet ikke skal fastsette skatteavregningspriser for nærmere angitte salg og å fastsette nærmere retningslinjer om metode som prisrådet skal følge ved prisfastsettingen. Dersom Stortinget slutter seg til forslagene i denne proposisjonen, kan regler i tråd med omtalen over fastsettes i forskrift etter at forslag til slike forskriftsbestemmelser har vært på høring.
Departementet vil sende på høring forslag til nærmere forskriftsbestemmelser om prisråd og skatteavregningspriser.
Det foreslås at bestemmelsene om prisråd mv. i forslag til skatteloven § 19-5 tredje og fjerde ledd, først trer i kraft fra den tid Kongen bestemmer.
Departementet viser til forslag til skatteloven § 19-5.
5.6.2 Samdrift og samlokalisering
Innledning
Samdrift er definert i forskrift om drift av akvakulturanlegg (akvakulturdriftsforskriften) § 4 bokstav v, og innebærer at to eller flere innehavere av akvakulturtillatelser har akvakulturdyrene i sameie på samme lokalitet. Etter akvakulturdriftsforskriften § 41 skal det ved samdrift føres en felles driftsjournal, hvor det fremgår hvilke innehavere av akvakulturtillatelser som driver i samdrift, hvilke tillatelser som er omfattet, og hvilken ideell andel av fisken som knytter seg til de ulike tillatelsene. Samdrift vil være regulert mellom partene ut fra en fordelingsnøkkel, for eksempel i en samarbeidsavtale. Samarbeidsavtalen kan for eksempel bestemme at hver av partene skal ha en samdriftsandel til fisken på 50 pst. Etter akvakulturdriftsforskriften § 44 skal partene ved samdrift sende inn felles rapport og melding til Fiskeridirektoratet. Akvakulturdriftsforskriften § 49 fastsetter at det ved samdrift kun er tillatt produksjon av matfisk av samme art og etter samme type tillatelse.
Samlokalisering er definert i akvakulturdriftsforskriften § 4 bokstav w, og er en driftsform der to eller flere innehavere av akvakulturtillatelser har akvakulturdyr på samme lokalitet, uten at akvakulturdyrene er i sameie. I praksis innebærer denne driftsformen at aktørene må skille fisken på merdnivå. Etter forskriften § 8 tredje ledd skal hver produksjonsenhet ved samlokalisering være merket med eiers navn.
Fastsettelse av inntekt og kostnader ved samdrift og samlokalisering
I høringsnotatet vises det til at det ved samdrift og samlokalisering kan oppstå særskilte problemstillinger for fastsettelse av inntekter og fradrag for de grunnrenteskattepliktige. Ved salg av fisk fra samdrift må det for eksempel avklares om en sameier selger egen andel av fisk eller begge sameiernes. Ved fastsettelse av kostnader kan det for eksempel oppstå spørsmål om kostnader til fôr er anskaffet til bruk i egen virksomhet, eller om kostnadene skal fordeles i sameiet. I høringsnotatet ble det vist til at en mulig løsning kan være å fastsette inntektene og fradragene ved slike samarbeidsformer ut fra en fordelingsnøkkel, for eksempel basert på maksimalt tillatt biomasse.
Flere høringsinstanser påpeker at samdrift og samlokalisering er viktige driftsformer som det må legges til rette for. Torghatten Aqua AS oppsummerer at det gir små oppdrettere muligheter til effektiv drift, risikoreduksjon og stordriftsfordeler, samtidig som det lokale eierskapet opprettholdes. Videre vises det til at samdrift og samlokalisering gir næringen bedre muligheter for en god biosikkerhet, gjennom avstand mellom lokaliteter, felles brakkleggingsløsninger og felles avlusningsopplegg.
Sjømatbedriftene og Sjømat Norge peker i sine høringstilsvar på at samdrift reiser flere problemstillinger som ikke er tilstrekkelig omtalt i høringsnotatet, blant annet hvem som skal få direkte fradrag for investeringer knyttet til virksomheten som omfattes av samdriften. SjømatbedrifteneogSjømat Norgeviser til at fradragsretten blant annet avhenger av om samdriften (for eksempel indre selskap) skattemessig anses å «eie» egne driftsmidler eller om driftsmidlene kun stilles til disposisjon av deltakerne i samdriften. Vurderingen vil kunne avhenge av hvorvidt samdrift anses å innebære at partene utøver en virksomhet for felles regning og risiko, slik at de blir deltakere i et selskap med deltakerfastsetting etter skatteloven §§ 10-40 flg. Allokering kan for eksempel foretas med bakgrunn i den avtalte/rapporterte samdriftsandelen (samdriftsbrøken). Dersom samdrift behandles skattemessig som selskap med deltakerfastsetting etter skatteloven § 10-40 (for eksempel indre selskap), kan det argumenteres for at det indre selskapet skal være beregningsenhet for grunnrenteinntekten fra samdriften, samt at det skal være et eget bunnfradrag for det indre selskapet. Dersom samdriften behandles skattemessig som et bruttolignet sameie, får deltakerne allokert sin forholdsmessige andel av gjeld/formue og inntekter/kostnader fra samdriften. I et slikt tilfelle får deltakeren kun ett bunnfradrag for sin samlede grunnrenteinntekt.
Samdriften Northern Lights Salmon AS og Sørrollnesfisk AS viser i sin høringsuttalelse til at høringsnotatet virker noe uklart om fordelingen av bunnfradrag hvor det foreligger et indre selskap. Det vises til at det å åpne for eget bunnfradrag for indre selskap vil gjøre det svært gunstig å opprette nye indre selskaper. En slik løsning vil fremstå som svært uheldig, og vil gi sterke insentiver til tilpasninger. Northern Lights Salmon AS og Sørrollnesfisk ASviser til at dette vil lede til usikkerhet og tvister mellom aktørene i næringen og Skatteetaten vedrørende gjennomskjæring og andre forhold knyttet til slik organisering. Dette kan unngås ved å gjøre det helt eksplisitt at skatteloven 2-2 annet ledd c også gjelder for grunnrenteskatt, slik at grunnrenteskatten og bunnfradragene beregnes hos deltakerne ved indre selskap.
Skattedirektoratet foreslår en lovregulering av fordelingen av inntekter og kostnader for samdrift. Skattedirektoratetantar at samdrift i seg selv ikke påvirker selskapenes krav på særskilt bunnfradrag, med mindre selskapene inngår i konsern eller anses som nærstående etter forslag til ny skatteloven § 19-3.
Departementet viser til at det er innehaver av matfisktillatelse som er skattepliktig for grunnrenteinntekt, jf. forslag til skatteloven § 19-2. Hvem som er innehaver av de enkelte akvakulturtillatelsene, fremgår av Akvakulturregisteret. Beregningen av bunnfradraget følger innehaver av den enkelte akvakulturtillatelse, med mindre innehaver inngår i et konsernforhold, jf. punkt 5.5.4. Ved samdrift og samlokalisering vil de enkelte partene inneha akvakulturtillatelsen hvor fisken settes ut. Departmentet legger til grunn at eierforholdet til akvakulturtillatelsene i Akvakulturregisteret ikke endres ved samdrift og samlokalisering. Disse driftsformene vil derfor, uavhengig av kategoriseringen av selskapsform, ikke påvirke beregningen av partenes bunnfradrag.
Departementet ser ikke et behov for særregulering der samdriften oppfyller vilkårene for å utgjøre en egen virksomhet. Der samdriften utgjør et selskap med deltakerfastsetting etter skatteloven §§ 10-40 flg. plikter deltakerne å fastsette grunnrenteinntekt og underskudd etter gjeldende bestemmelser, herunder å fordele nettoresultatet på deltakerne etter deres rett til overskudd eller underskudd, jf. skatteloven § 10-41. Hvor samdriften ikke oppfyller vilkårene for å utgjøre en egen virksomhet, skal aktiviteten behandles etter reglene om sameie med skattlegging etter bruttometoden.
Departementet legger til grunn at samdriftsbrøken avtalt mellom partene er egnet til å regulere hvilken andel den enkelte innehaver av matfisktillatelse skal skattlegges for ved samdrift.
Ved samdrift vil for eksempel driftsmidlene som benyttes i virksomheten, kunne eies av deltakerne i sameie eller av de enkelte deltakerne. Departementet viser her til forslag til § 19-6. Fradrag for driftskostnader, driftsmidler og den skattemessige behandlingen ved realisasjon av driftsmidler vil følge de alminnelige vurderingene, jf. henholdsvis punkt 5.7.1, 5.7.2, 5.7.3 og 5.8. Tilsvarende vil gjelde der samdriften utgjør et deltakerlignet selskap som skattlegges etter nettometoden. Kostnadene vil kunne fordeles mellom partene ut fra samdriftsbrøken eller partenes øvrige avtaleforhold.
Ved samlokalisering vil fisken i de ulike merdene (produksjonsenhetene) avgjøre hva den enkelte er eier av og følgelig er skattepliktig for, og hvilke tilhørende kostnader den enkelte har fradragsrett for. Aktørene kan også ha regulert kostnadsfordelingen nærmere i avtale. Avtalen legges til grunn så fremt den er armlengdemessig.
Sett ut fra gjeldende skatteregler og reguleringene av disse samarbeidsformene mener departementet at aktørene og skattemyndighetene har tilstrekkelig grunnlag til å vurdere inntektsfastsettingen og fordelingen av fradragsberettigede kostnader. Departementet viser også til at aktørene allerede håndterer inntekts- og kostnadsfordelingen ved disse driftsformene i den alminnelige inntektsskatten.
Inntekt og kostnader ved salg av restkapasitet
Under samdrift og samlokalisering vil partene kunne selge fisk til hverandre, typisk for å overholde biomassereguleringene i partenes tillatelser. Dette kan for eksempel forekomme der en av partene begynner å nærme seg taket på sin andel av biomassen, mens den andre deltakeren har ledig kapasitet, for eksempel fordi fisken er nyutsatt. Ved samdrift og samlokalisering kan slikt salg skje uten at fisken fysisk må flyttes mellom produksjonsenheter. Ved samlokalisering kan den ene parten for eksempel selge all fisk i den enkelte produksjonsenhet til den andre deltakeren. Ved samdrift kan salg gjennomføres ved at samdriftsbrøken endres. Problemstillingen ble ikke omtalt i høringsnotatet.
Departementet viser til at brutto inntekt skal beregnes ut fra «årlige brutto inntekter av salg av laks, ørret og regnbueørret» og til markedspris ved merdkanten, jf. forslag til skatteloven § 19-5 første ledd bokstav a. Inntekt ved salg av levende fisk mellom partene i samdriften skal også medberegnes i den grunnrenteskattepliktige inntekten. Ettersom fisken i slike tilfeller ikke har passert merdkanten, fastsettes brutto inntekt til markedsverdien av fisken på salgstidspunktet. Kostnad ved kjøp av fisk kommer til fradrag, og kjøper vil skattlegges for verdiøkning fra videre vekst frem til fisken passerer merdkanten. Løsningen sørger for at hele grunnrenteinntekten kommer til beskatning.
Departementet viser til forslag til skatteloven § 19-5 første ledd bokstav b og § 19-6 første ledd bokstav b.
5.6.3 Fordeling av inntekt og kostnader ved ulike typer tillatelser
Det foreslås at grunnrenteskatten på havbruk begrenses til produksjonen av laks, ørret og regnbueørret knyttet til de ordinære, kommersielle matfisktillatelsene, se punkt 5.5.1. Dersom en aktør produserer matfisk under ulike typer tillatelser på samme lokalitet, kan det oppstå spørsmål om fordeling av inntekt mellom grunnrenteskattepliktig matfiskproduksjon og produksjon som følge av andre typer tillatelser, som kun skal skattlegges etter alminnelige skatteregler. Dette ble ikke omtalt i høringsnotatet.
Fiskeridirektoratet påpeker at dagens rapportering fra innehaver av tillatelse etter akvakulturdriftsforskriften § 44 første ledd ikke skiller mellom de ulike tillatelsestypene. Det vil si at ulike tillatelsestyper samles i den samme månedlige rapporten. Dette vanskeliggjør kontroll av biomasse for ordinære matfisktillatelser, som utgjør grunnrenteskattens utgangspunkt. Dersom tillatelser til særlige formål ikke skal omfattes av grunnrentebeskatningen, vil det i praksis ikke være mulig å skille produksjonen fra ordinære matfisktillatelser og tillatelser til særlige formål fra hverandre. For å sikre forsvarlig og nøyaktig kalkulering av grunnrenteskatten vurderer Fiskeridirektoratet at det antakelig vil kreves større endringer i dagens rapporteringssystem.
Fiskeridirektoratethar tidligere foreslått at det må innføres biomasserapportering på tillatelsesnivå.Fiskeridirektoratetser at en innføring av grunnrenteskatt forutsetter at biomasserapportering på tillatelsesnivå er på plass.Fiskeridirektoratetmener også at man bør innføre rapportering fra maskin til maskin, noe som vil gi en kvalitativt bedre biomasserapportering. Videre viser Fiskeridirektoratet til at slakteriene i dag ikke er omfattet av rapporteringsplikten. Slaktetidspunktet er trolig det sikreste kontrollpunktet for å vurdere hvor mye fisk som er produsert og slaktet innenfor ulike tillatelsestyper.
Sjømatbedriftene og Sjømat Norge viser til at flere aktører drifter særtillatelser og ordinære tillatelser på samme lokalitet, og at det kan være utfordrende å vurdere hvilke tillatelsestyper den utslaktede fisken kan knyttes til. Det vises til at det er tekniske utfordringer med å skille dette i produksjonsstyringssystemene som brukes av oppdretterne. Hvis det skal foretas et skille mellom ulike typer tillatelser, må det derfor gjøres rent fysisk for å vite hvilke individer som tilhører hvilken tillatelse.
Sjømat Norgeregistrerer at det i høringssvaret til Fiskeridirektoratet tas til orde for at produksjon igjen bør rapporteres på tillatelsesnivå som et tiltak for å håndtere skillet mellom biomasse på ulike tillatelsesgrupper. Dette var praksis frem til omkring 2003. Erfaringene før denne endringen var at det var et betydelig merarbeid med å fordele biomasse teoretisk mellom ulike tillatelser som stod på samme lokalitet, uten at dette hadde noen praktisk konsekvens for å regulere produksjonen innenfor de rammer som var satt. Sjømat Norge mener departementet bør unngå å gjeninnføre rapporteringsrutiner som vil være svært arbeidskrevende for både næring og forvaltning, og heller legge til rette for løsninger som er ressurseffektive og hensiktsmessig med tanke på å optimalisere produksjonen.
Departementet viser til at aktørene har oversikt over maksimalt tillatt biomasse på de ulike tillatelsene på lokaliteten. Etter akvakulturdriftsforskriften § 42 første ledd skal journalføringen på produksjonsenhetsnivå (merd) som et minimum inneholde oppdaterte opplysninger om utsett av fisk, utslaktingskvantum og sted for slakting, herunder slakteri, dato, art, antall fisk, slaktevekt og slaktetilstand, samt uttak av levende fisk, hvor dato, art, antall og kvantum skal journalføres. Etter akvakulturdriftsforskriften § 42 annet ledd skal det daglig føres driftsjournal på produksjonsenhetsnivå hvor blant annet beholdning av fisk, beregnet biomasse, dødelighet og annet tap av fisk og fôrforbruk skal registreres.
På bakgrunn av den omfattende journalføringsplikten på produksjonsenhetsnivå legger departementet til grunn at aktørene har mulighet til å angi produksjonen av slaktet fisk som kan knyttes til grunnrentesskattepliktig matfisktillatelse og øvrige tillatelser. Ut fra disse størrelsene bør selskapene ha grunnlag for å egenfastsette både alminnelig og grunnrenteskattepliktig inntekt.
Departementet foreslår heller ingen særskilt regulering ved fordelingen av kostnader mellom ulike typer tillatelser. Departementet legger til grunn at aktørene har oversikt over fradragsberettigede kostnader som kan tilknyttes grunnrenteskattepliktig virksomhet. For fradrag for kostnader ved virksomhet innenfor og utenfor virkeområdet vises det til punkt 5.7.4.
Fiskeridirektoratet viser til at det med dagens rapporteringssystem ikke vil være mulig å skille produksjonen fra ordinære matfisktillatelser og tillatelser til særlige formål fra hverandre. Departementet ser utfordringene med nåværende rapportering, og at dette skaper ulemper ved aktørenes fastsetting og skattemyndighetenes kontrollmulighet. Departementet vil i oppfølgingen av forslaget, i samråd med Nærings- og fiskeridepartementet og Fiskeridirektoratet, vurdere om rapporteringsplikten i akvakulturdriftsforskriften bør endres for å skape et rapporteringssystem som skiller mellom ulike typer tillatelser.
5.6.4 Inntekter og kostnader ved utleie av tillatelser
Av akvakulturloven § 19 tredje ledd fremgår det at det ikke er tillatt med utleie av akvakulturtillatelser. Det kan imidlertid i særlige tilfeller gjøres unntak fra forbudet mot utleie. I høringsnotatet foreslo departementet at det ikke gis fradrag i grunnrenteinntekten for kostnader til leie av tillatelser.
I punkt 5.5.3 er det lagt opp til at skattesubjektet for grunnrenteskatten for havbruk ved utleie av akvakulturtillatelser skal være utleieren som formelt innehar akvakulturtillatelsen. Departementet antar at utleieforholdet vil være kortvarig og ikke av en karakter som innebærer at leietaker anses som skattemessig eier, ettersom utleie kun kan skje helt unntaksvis og typisk i overgangsperioder. Som en følge av dette vil rapporteringsplikten for inntekter og kostnader tilknyttet driften av havbruksvirksomheten påligge utleier.
I sammenheng med utleieforholdet kan det tenkes at leietaker må yte vederlag til utleier for å kunne benytte seg av akvakulturtillatelsen. Det må vurderes om slik leieinntekt og kostnader til leie skal inngå i grunnlaget for grunnrenteskatten.
Departementet mener at inntekter og kostnader ved utleie av akvakulturtillatelser ikke skal inngå i inntektsgrunnlaget for grunnrenteskatten. Utleieren, som innehaver av tillatelsen, vil uansett være grunnrenteskattepliktig for den produksjonen som skjer i medhold av tillatelsen. Utleier av tillatelsen må i leieavtalen sikre seg at leietaker fremskaffer nødvendige opplysninger slik at utleier kan rapportere riktige opplysninger til skattemyndighetene.
Departementet viser til forslag til skatteloven § 19-6 fjerde ledd bokstav e.
5.7 Fradrag
5.7.1 Utgangspunkt for fradragsrett
Etter hovedregelen i skatteloven § 6-1 første ledd første punktum skal det «gis fradrag for kostnad som er pådratt for å erverve, vedlikeholde eller sikre skattepliktig inntekt.» I dette ligger det et krav om tilknytning mellom kostnaden og inntekten/inntektservervet. Grunnrenteskatten er overskuddsbasert og alle relevante kostnader med tilknytning til grunnrentevirksomheten må derfor komme til fradrag. Tilknytningskravet er grundig beskrevet og drøftet i juridisk litteratur og rettspraksis.
Som redegjort for i kapittel 2 ovenfor, samt punktene 5.5. og 5.6, tar grunnrenteskatten på havbruk sikte på å beskatte den delen av virksomheten som utnytter fellesskapets ressurser og er et knapphetsgode, det vil si tillatelsesbegrenset tilgang til sjøressursene. Aktivitet før og etter sjøfasen, slik som eksempelvis stam- og settefiskproduksjon og slakt og foredling, bør prinsipielt falle utenfor virkeområdet for en grunnrenteskatt. For en grunnrenteskatt på havbruk må det, for å finne rett beregningsgrunnlag, gis fradrag for kostnader som har tilknytning til den grunnrenteskattepliktige virksomheten. Typiske kostnader som vil være fradragsberettiget i grunnrenteinntekten, og den skattemessige behandlingen av disse, gjennomgås i de følgende punktene.
Bruttoinntekten i grunnrenteskatten skal settes til markedsverdien for fisken på merdkanten. Merdkanten blir dermed skatteavregningspunktet i grunnrenteskatten. Aktiviteter etter dette punktet, for eksempel slakt, transport, markedsføring og videreforedling, kan bidra til økt salgsverdi av fisken. Verdiskaping etter merdkanten skal ikke inngå i skattegrunnlaget, jf. punkt 5.6.1. Kostnader som pådras etter skatteavregningspunktet, skal dermed ikke fradras som en kostnad i grunnrenteskatten.
Skattemodellen som foreslås for havbruksvirksomhet, er en kontantstrømskatt. Prinsipielt innebærer det at investeringer fradras i sin helhet på det tidspunktet et driftsmiddel ville blitt aktivert i alminnelig inntekt.
Driftsmidler som benyttes både i grunnrenteskattepliktig virksomhet og annen virksomhet som kun skattlegges etter alminnelige regler, havner i et skjæringspunkt mellom kontantstrømskatt og skatt med periodiserte fradrag. For disse foreslås det avskrivninger etter skattelovens alminnelige regler i grunnrenteinntekten, se punkt 5.7.3. Det kan bli nødvendig å foreta en avgrensning av kostnader som er pådratt i eventuell øvrig virksomhet selskapet har. Behandlingen av kostnader som har tilknytning også til annen virksomhet enn den grunnrenteskattepliktige virksomheten, er særskilt behandlet i punkt 5.7.4.
5.7.2 Driftskostnader
På samme måte som sjøfasen er bestemmende for inntektsgrunnlaget, er den også avgjørende for fradragsretten i beregningen av grunnrenteskatten. I høringsnotatet ble det foreslått at skatteavregningspunktet settes til slaktetidspunkt. For laks ble det foreslått at grunnrenteinntekt fastsettes ved normpriser med utgangspunkt i priser på Nasdaq. Utgangspunktet var dermed fradragsrett for kostnader påløpt frem til og med slakt. For ørret og regnbueørret ble det foreslått faktiske salgspriser som grunnlag for brutto inntekt, og fradrag for kostnader frem til salgspunktet.
I høringsnotatet punkt 4.6 og forslag til § 19-8 første ledd første strekpunkt ble det foreslått å gi fradrag for påløpte kostnader som har eller vil få sammenheng med den grunnrenteskattepliktige virksomheten. Alle driftskostnader som knytter seg til sjøfasen, skulle være fradragsberettiget etter forslaget. Dette inkluderer blant annet kostnader til innkjøp av utstyr og innsatsfaktorer som settefisk, fôr, kjemikalier, vaksine, medisiner og andre utgifter til sykdoms- og lusebehandling av fisken, samt fangst av rømt oppdrettsfisk.
Videre ble det foreslått at arbeidslønn og andre personalkostnader kommer til fradrag. Andre fradragsberettigede driftskostnader kan være utgifter til energi, vedlikehold av driftsmidler, forsikring og miljøtiltak som helt eller delvis er knyttet til den grunnrenteskattepliktige havbruksvirksomheten.
Skattedirektoratet mener det kan være uklart hvilke kostnader som skal anses tilknyttet grunnrenteskattepliktig virksomhet der det åpnes for at faktisk pris benyttes i stedet for normpris. Skattedirektoratet foreslår derfor at det inntas en presisering i lovteksten av tilknytningskravet og hva som anses som grunnrenteskattepliktig virksomhet. Dette kan for eksempel gjøres ved en henvisning til sjøfasen. Videre foreslår Skattedirektoratet at «påløpte kostnader» erstattes med «kostnader som er pådratt».
Skattedirektoratet foreslår at «røkting» tas med i opplistingen av eksempler på kostnader som er fradragsberettiget.
Skattedirektoratet peker på at det kan oppstå internprisingsproblematikk i sammenheng med fradrag for kostnader. For å begrense dette viser Skattedirektoratet til at man kan vurdere å utarbeide sjablongregler som begrenser det enkelte oppdrettsselskaps fradragsberettigede kostnader til en gitt andel av konsernets reelle kostnader knyttet til virksomheten. Det vises til at dette for eksempel kan gjennomføres ved at visse typer konserninterne transaksjoner skal prises etter OECDs retningslinjer for internprising om «safe harbour» (kost pluss fem prosent) for «low value-intra group sevices».
Sjømat Norge, Sjømatbedriftene, AKVA group ASA, Nordlaks Oppdrett AS, Grieg Seafoods ASA og Stiim Aqua Cluster mener faktiske driftskostnader bør komme til fradrag. Det vises til at det kan være store avvik i driftskostnadene til oppdrettere, og at det er usikkert hvor godt et sjablongfradrag vil kunne reflektere de reelle driftskostnadene. Advokatforeningen viser tilsvarende til at det på kostnadssiden vil kunne være store forskjeller mellom aktørene. En eventuell bruk av normkostnader bør utredes nærmere for å sikre at dette blir tilstrekkelig treffsikkert. Alternativt bør faktiske kostnader anvendes.
Fiskeridirektoratet registrerer at miljøkostnader er nevnt i høringsnotatet som kostnader som kan komme til fradrag. Miljøkostnader er imidlertid ikke nevnt i selve lovforslaget (§ 19-8) om fradragsberettigede kostnader. Det står riktignok at bestemmelsen ikke er uttømmende, men etter Fiskeridirektoratets vurdering burde det likevel være samsvar mellom høringsnotatet og forslag til lovbestemmelse.
AKVA group ASA påpeker at i selve forslag til lovvedtak § 19-8 står det ikke eksplisitt at utstyr er inkludert i det som er fradragsberettiget, og det bes om at dette innarbeides. Det ønskes også en presisering av at innkjøp av servicetjenester er fradragsberettiget.
Frøy ASA viser til at alle tjenester som akvaservicenæringen utfører før det foreslåtte prispunktet, må være fradragsberettiget. Det presiseres at listen over fradragsberettigede kostnader ikke bør være uttømmende verken i lov eller forskrift.
Departementet fastholder forslaget om at pådratte kostnader som er knyttet til den grunnrenteskattepliktige virksomheten i sjøfasen, kan fradras i beregningen av grunnrenteinntekten. Tolkningen må gjøres med utgangspunkt i det alminnelige skatterettslige tilknytningskriteriet. Som det fremgår av lovforslaget, vil det typisk omfatte kostnader som kjøp av settefisk, fôr, forebygging og behandling av lus/sykdom, miljøtiltak, gjenfangst av rømt fisk samt røkting, som påpekt av Skattedirektoratet. Videre vil arbeidskostnader og andre personalkostnader, kostnader til vedlikehold, forsikring og administrasjon omfattes i den grad kostnadene er tilknyttet sjøfasen i havbruksvirksomheten.
Det er et mål at grunnrenteskatten skal treffe mest mulig presist. Etter forslag i høringen, blant annet fra interesseorganisasjoner i næringen, foreslår departementet derfor at aktørenes egne kostnader legges til grunn. Sjablongfradrag vil generelt medføre risiko for at skatteplikten for det enkelte skattesubjekt gir for store avvik fra selskapets reelle overskudd. Sjablongfradrag for kostnader er heller ikke benyttet i grunnrenteskattene for vannkraft eller petroleum.
For interne transaksjoner må skattemyndighetene vurdere om interessefellesskapet kan ha påvirket den benyttede internprisen, og eventuelt foreta skjønnsfastsetting, jf. skatteloven § 13-1 og OECDs retningslinjer for internprising.
Som omtalt i punktene 5.6.1 og 5.7.1 vil inntekter og kostnader for aktiviteter etter merdkanten hensyntas i markedsverdien ved fastsettelse av bruttoinntekten i grunnrenteskatten. Kostnader for aktiviteter etter skatteavregningspunktet skal derfor ikke komme til fradrag i grunnrenteskatten, fordi de allerede er tatt hensyn til i fastsettelsen av bruttoinntekten. Denne endringen sammenlignet med høringsnotatet kommer av at skatteavregningspunktet nå er satt på merdkanten.
Departementet viser til forslag til skatteloven § 19-6 første ledd bokstav a.
Særlig om fradrag for kostnader til forskning og utvikling
Skattedirektoratet viser til at det ikke fremgår av forslag til § 19-8 om kostnader knyttet til forskning og utvikling skal være fradragsberettiget.
Sjømat Norge og Sjømatbedriftene viser til at det fremover vil være behov for å løse ulike utfordringer med for eksempel rømming, fiskesykdom, areal, lakselus, mv. gjennom mer forskning og utvikling. For å stimulere næringen til å fortsette satsningen på innovasjoner og forskning og utvikling, bør det gis fradrag i grunnrenteinntekten for slike kostnader. Dette vil også bidra til at grunnrenteskatten får en «grønnere» innretning.
SalMar ASA og Grieg Seafoods ASA mener det bøs gis fradrag for kostnader til forskning og utvikling. SalMar ASAviser til at dette er viktige kostnader som har redusert den biologiske risikoen og økt lønnsomheten i næringen gjennom økte priser på laks, og må komme til fradrag i grunnrenten.
Kverva AS viser til at kostnader til forskning og utvikling har bidratt til utviklingen av lønnsomheten i næringen, og slike kostnader har vært spesielt rettet mot de biologiske utfordringene i sjøfasen.
Etter departementets syn bør kostnader til forskning og utvikling som har tilknytning til grunnrenteskattepliktig virksomhet i sjøfasen, komme til fradrag i grunnrenteskatten. Departementet foreslår at tidfestingen følger alminnelige regler. Det vises til at løsningen svarer til fradragsretten i petroleumsskatten for kostnader til forskning og utvikling som fremmer petroleumsvirksomhet.
Departementet viser til forslag til skatteloven § 19-6 første ledd bokstav a.
5.7.3 Driftsmidler
I høringsnotatet ble det foreslått at det i brutto inntekt gis fradrag i sin helhet for driftsmidler som ved fastsettelsen av alminnelig inntekt er avskrivbare, i det inntektsåret driftsmidlene blir ervervet. Det betyr at investeringer som den grunnrenteskattepliktige gjør for å anskaffe eller tilvirke innsatsfaktorer som benyttes i egen grunnrenteskattepliktig virksomhet, kan trekkes fra i grunnlaget for grunnrenteskatten det inntektsåret driftsmidlene ville påbegynt avskrivning i alminnelig inntektsskatt.
Skattedirektoratet viser til at det etter de foreslåtte reglene kun vil være erverv av avskrivbare driftsmidler som kommer til fradrag. Det er ikke nærmere forklart hvorfor erverv av ikke-avskrivbare driftsmidler ikke omfattes. Kontantstrømfradraget bør omfatte alle investeringer i driftsmidler knyttet til havbruksvirksomheten, ikke bare de som er avskrivbare. Skattedirektoratet har merket seg at det i andre strekpunkt ikke oppstilles et krav om saldoavskrivning, slik det er for gevinster i skatteloven § 19-6 eller avskrivning i tredje strekpunkt.
Skattedirektoratet viser til at det i tredje strekpunkt gis avskrivningsfradrag for driftsmidler som saldoavskrives. Dersom det ikke er ment at det skal gis fradrag for lineære avskrivninger etter skatteloven § 14-50, som for eksempel tidsbegrensede bruksretter, bør det begrunnes særskilt.
Professorene Bård Misund og Ragnar Tveterås ved Universitetet i Stavanger foreslår at investeringer går til umiddelbart fradrag mot særskatten fortløpende, og ikke kun i det samme året driftsmiddelet blir ervervet.
SalMar ASA mener investeringsutgifter må kunne fradragsføres når de pådras, og ikke først på leveringstidspunktet.
Departementet viser til at kontantstrømprinsippet tilsier at det skal gis umiddelbart fradrag i grunnrenteskatten for investeringskostnader i sjøfasen, jf. punkt 5.7.1. Dette er i motsetning til alminnelig selskapsskatt, der investeringer som taper seg i verdi som følge av slit og elde, aktiveres og avskrives over driftsmidlenes levetid. Å innføre en grunnrenteskatt i form av en kontantstrømskatt, som skal virke sammen med regler for alminnelig selskapsskatt, reiser enkelte spørsmål knyttet til avgrensninger og skattemessig behandling. Driftsmidler som kun benyttes i den skattepliktiges grunnrenteskattepliktige virksomhet, vil prinsipielt følge kontantstrømprinsippet om umiddelbart fradrag. For andre driftsmidler, som enten er anskaffet før innføringen av grunnrenteskatten eller også benyttes til annen aktivitet utenfor sjøfasen, må retten til umiddelbart fradrag vurderes opp mot andre hensyn. Disse nyansene vil behandles i det følgende.
I vurderingen av tidfestingen av fradrag for driftsmidler i grunnrenteskatten på havbruksvirksomhet har departementet sett hen til behandlingen i de øvrige grunnrenteskattene. Etter at grunnrenteskattene for vannkraft og petroleum ble lagt om fra grunnrenteskatt med periodiserte investeringsfradrag til kontantstrømskatter, kan nye investeringer utgiftsføres umiddelbart. I petroleumsskatten gjelder dette utgifter pådratt til erverv av produksjonsinnretning og rørledning, jf. petroleumsskatteloven § 5 og § 3 b og Prop. 88 LS (2021–2022). I vannkraftbeskatningen kan «inntektsårets kostnader som ellers er aktiveringspliktige, fradragsføres umiddelbart i stedet for å avskrives», jf. skatteloven § 18-3 tredje ledd nr. 5. Denne fradragsretten er begrenset til «driftsmidler som er knyttet til kraftproduksjonen», jf. samme bestemmelse nr. 3.
I eigedomsskattelova § 4 er det en særskilt hjemmel for utskriving av eiendomsskatt på flytende anlegg i sjø for oppdrett av fisk mv., se beskrivelsen i punkt 3.2. I bestemmelsen defineres slike flytende anlegg til også å omfatte «dei fysiske installasjonane som merder, flytemodul, fôringsmaskin, fôringslager, opphaldsrom og sanitæranlegg og liknande, samt anker, lodd og liknande til forankring».
Etter departementets syn gir eigedomsskattelova § 4 tredje ledd et godt utgangspunkt for hva som må regnes som de helt sentrale driftsmidlene i sjøfasen, som er grunnrenteskattepliktig. Departementet foreslår derfor at kostnader knyttet til disse driftsmidlene fradragsføres i det inntektsåret investeringen aktiveres i alminnelig inntekt, det vil si det året kostnaden pådras. Tilsvarende gjelder andre fysiske innretninger knyttet til anlegget som utelukkende er til bruk i den grunnrenteskattepliktiges virksomhet etter § 19-1. For eksempel kan dette være anlegg og innretning for energiforsyning for drift av oppdrettsanlegget og for arbeidsbåter som benyttes utelukkende i oppdrettsvirksomheten i sjøfasen. Andre komponenter kan være dødfisksystemer, vannbehandlingssystemer, biomassemåler og andre elektroniske driftsmidler som overvåker fisken. Eksemplene kan ikke anses uttømmende, men må begrenses til driftsmidler som kun benyttes i den grunnrenteskattepliktige virksomheten. Det skal ikke gis umiddelbart fradrag for kostnader som pådras for driftsmidler som også virker utenfor grunnrenteskattepliktig virksomhet og hvor inntektene skattlegges som alminnelig inntekt.
Departementet viser til forslag til skatteloven § 19-6 første ledd bokstav c.
Driftsmidler med delvis tilknytning til sjøfasen
Innsatsfaktorer som brønnbåttjenester og kostnader til settefisk vil være fradragsberettigede i grunnrenteskattepliktig inntekt etter alminnelige regler, jf. punkt 5.7.2 om driftskostnader. Enkelte aktører produserer imidlertid disse innsatsfaktorene selv, og særlig hos store aktører er verdikjeden ofte sterkt integrert, se beskrivelsen i kapittel 2. Siden levering av brønnbåttjenester eller produksjon av settefisk er aktiviteter som faller utenfor sjøfasen, vil disse aktørene ha enkelte driftsmidler som kan brukes utenfor sjøfasen, og som dermed i utgangspunktet er gjenstand for behandling etter alminnelige skatteregler. Samtidig kan driftsmidlene ha en delvis tilknytning til sjøfasen som innsatsfaktorer i den skattepliktiges grunnrenteskattepliktige virksomhet. Slike driftsmidler kan for eksempel være brønnbåter, settefiskanlegg og fôrproduksjonsanlegg. Dette kan by på utfordringer for fradragsspørsmålet. Høringsnotatet drøftet ikke særskilt spørsmålet om tidfesting for slike driftsmidler.
På spørsmål nr. 452 fra Stortingets finanskomité ved Høyres fraksjon under behandlingen av budsjettet for 2023, svarte departementet at det i utgangspunktet ikke bør påvirke fradragsretten hvorvidt havbruksaktøren velger å tilvirke egne innsatsfaktorer og produsere egne tjenester, eller kjøpe fra uavhengige leverandører. Ettersom kostnader til kjøp av settefisk vil være direkte fradragsberettiget, vil også kostnader som den grunnrenteskattepliktige har ved egen tilvirkning av smolt, herunder investeringer i driftsmidler, være fradragsberettiget i grunnrenteinntekten. På den måten behandles egentilvirkning på lik linje med smolt kjøpt av uavhengig produsent. Dette skiller seg altså fra produksjon av smolt (eller settefisk) for salg, det vil si som ikke er til bruk i egen virksomhet. Kommersiell produksjon av settefisk er ikke grunnrenteskattepliktig.
I svaret pekte også departementet på at transaksjoner mellom skattepliktige i interessefellesskap kan skjønnsfastsettes i medhold av skatteloven § 13-1 dersom internprisen ikke anses å være inngått på armlengdes vilkår. Departementet viste til at ettersom det eksisterer uavhengige leverandører, har skattemyndighetene et grunnlag for å vurdere om benyttede internpriser er markedsmessige.
Fiskeridirektoratet mener at det bør vurderes om det kan gis fradrag for drift og investeringer oppstrøms og nedstrøms i produksjonskjeden, i første rekke knyttet til settefiskproduksjon og videreforedling. Dersom man tillater dette, vil reguleringen i større grad enn det opprinnelige forslaget legge til rette for innovasjon.
Havbrukerne i Astafjord (HiA-gruppen) mener departementet bør vurdere å gi fradrag for investeringer i oppstrøms og nedstrøms aktiviteter, for å stimulere til energiomstilling, energisparing, gjenbruk og økt bearbeiding. Nova Sea AS ønsker at investeringer i det grønne skiftet gis særskilt fradrag i grunnrenteskatteinntekten, uavhengig av hvor i verdikjeden investeringen gjøres.
Cermaq Norway AS viser til at aktørene må bære hele kapitalkostnaden og risikoen for de største investeringene på smolt og slakteri på land for å muliggjøre verdiskapingen i sjøfasen – men uten fradragsmuligheter for disse. Disse landbaserte aktivitetene krever ikke bruk av havet, men de er fullt integrert og helt nødvendig for å produsere og selge laks. Det foreslås derfor at skattegrunnlaget utvides til også å omfatte smoltproduksjon og slakterier på land.
Sjømat Norge viser til at en mulig forståelse er at direkte fradragsføring er begrenset til avskrivbare driftsmidler som benyttes i den grunnrenteskattepliktige virksomheten, det vil si produksjon av laks, ørret og regnbueørret i sjøfasen, knyttet til ordinære, kommersielle akvakulturtillatelser. En slik forståelse vil innebære at investeringer med fjernere tilknytning til produksjonen i sjøfasen ikke kan fradragsføres direkte. Eksempler på slike investeringer kan være slakteri, settefiskanlegg og brønnbåter. Sjømat Norge viser videre til svar på budsjettspørsmål nr. 452 fra finanskomitéen ved Høyres fraksjon til statsbudsjettet for 2023, og påpeker at dette indikerer at fradragsbestemmelsen skal tolkes utvidende. Dersom dette er tilfelle, vil det over tid føre til at drifts- og finansieringsstrukturer i næringen endres. Dette ville være en svært uheldig vridningseffekt som hittil ikke har eksistert i næringen, men som vil bli skapt av skattesystemet.
Nordlaks Oppdrett AS viser til at høringsforslaget ikke åpner for å utgiftsføre alle investeringer mot grunnrenteskatten. I henhold til svar på budsjettspørsmål nr. 452 fra finanskomitéen ved Høyres fraksjon til statsbudsjettet for 2023 er unntaket, slik Nordlaks forstår det, dersom settefisk-, slakteri- eller brønnbåtvirksomhet er organisert i samme selskap som matfiskoppdrett. Man kan da etter sigende utgiftsføre investeringer også i settefisk, mot at eventuelle fremtidige overskudd fra settefiskaktiviteten regnes som del av grunnrenteskattegrunnlaget og dermed beskattes som for havbruksvirksomhet i sjø. For Nordlaks fremstår det overstadig komplisert å skulle skille ut og dokumentere grunnrenteskattepliktige kostnader ut fra kundens skatteposisjon.
Sjømatbedriftene forstår forslaget slik at investeringer med fjernere tilknytning til produksjonen i sjøfasen ikke kan fradragsføres direkte. Eksempler på slike investeringer kan være slakteri, settefiskanlegg og brønnbåter. Dersom adgangen til direkte fradragsføring utvides til å omfatte flere driftsmidler, vil dette kunne stimulere til flere investeringer i havbruksnæringen. En slik direkte fradragsføring gir selskapene en positiv likviditetseffekt. På den annen side innebærer en slik investering i det grunnrenteskattepliktige selskapet at grunnrenteinntekten øker. Dersom det også gis adgang til direkte fradragsføring for driftsmidler med fjernere tilknytning til produksjonen i sjøfasen, blir det et spørsmål om eventuelle inntekter fra salg av for eksempel slakteritjenester skal omfattes av grunnrenteskatteplikten og bli skattlagt med en marginalskattesats på 62 pst. Sjømatbedriftene antar at ulempen ved et eventuelt økt skattegrunnlag er høyere enn fordelen av den positive likviditetseffekten.
Kystrederiene – Brønnbåteiernes Forening viser til at omfanget av fradragsretten for investeringskostnader må tydeliggjøres og ikke utformes på en måte som er konkurransevridende ovenfor servicenæringen. Servicenæringen benytter svært kostbare fartøy og utstyr i sine leverandørtjenester. Det bes klargjort hvordan investeringskostnader for slike fartøy skal fradragsføres i de tilfeller slike skip benyttes både innenfor og utenfor grunnrenterelatert virksomhet.
Frøy ASA har forstått høringsbrevet slik at oppdretter ikke vil få fradrag for investering i et eget service- og brønnbåtselskap i sin særskattepliktige inntekt, dels fordi investeringen ikke kan anses som en del av den særskattepliktige virksomheten, og dels fordi fradraget for investeringer ville gi oppdretter dobbelt fradrag (både for grunninvesteringen og etterfølgende leiebetalinger til brønnbåtselskapet). Frøy ASA påpeker at det er svært viktig at den nye grunnrenteskatten ikke bidrar til konkurransevridende ulemper for servicenæringen.
Etter departementets vurdering må fradragsreglene for driftsmidler skille mellom driftsmidler som kun benyttes i den grunnrenteskattepliktige sjøfasen, og øvrige driftsmidler med delvis tilknytning som innsatsfaktorer til sjøfasen.
Departementet har lagt vekt på at flere høringsuttalelser, særlig fra aktører tilknyttet næringen, mener at en utvidet tolkning av tilknytningsvilkåret, og dermed fradragsretten, kan skape usikkerhet om hvilke aktiviteter som kan anses å være grunnrenteskattepliktige. Enkelte mener at ulempen ved et eventuelt utvidet skattegrunnlag er større enn fordelen av den positive likviditetseffekten. Videre vises det til faren for at drifts- og finansieringsstrukturer i næringen endres over tid, noe næringen anser som uheldig.
Et ytterligere hensyn i vurderingen er at kostnader til drift og en del andre innsatsfaktorer til bruk i den grunnrenteskattepliktige sjøfasen, vil fradragsføres direkte i grunnrenteskatten. Dersom en innsatsfaktor, eksempelvis settefisk, kjøpes fra en leverandør, vil kostnaden være en fradragsberettiget driftskostnad for den grunnrenteskattepliktige kjøperen. For leverandøren av settefisken, som kun er skattepliktig for alminnelig inntekt, vil driftsmidler (for eksempel settefiskanlegget) avskrives etter de alminnelige avskrivningsreglene og inntektene fra salg av settefisk vil skattlegges som alminnelig inntekt. Dette vil gjelde både for en uavhengig leverandør og dersom innsatsfaktoren leveres internt fra et annet, ikke-grunnrenteskattepliktig selskap i konsernet, til en markedsmessig internpris. Selskapene må fastsette internprisen som om avtalen var inngått mellom uavhengige parter, på markedsmessige vilkår. I kontrollen av egenfastsettingen må skattemyndighetene vurdere om interessefellesskapet kan ha påvirket internprisen, og eventuelt foreta skjønnsfastsetting, jf. skatteloven § 13-1 og OECDs retningslinjer for internprising.
Dersom selve driftsmiddelet, eksempelvis settefiskanlegget, i stedet eies direkte av det grunnrenteskattepliktige selskapet, ville en tilsvarende skattemessig behandling innebåret at en også i dette tilfellet kalkulerte en markedsmessig internpris som kom til fradrag i grunnrenteinntekten. Det er imidlertid ikke praksis for å kalkulere internpriser mellom virksomhetsområder i samme selskap for skatteformål. Når slike driftsmidler eies direkte av det grunnrenteskattepliktige selskapet, bør driftsmidlene i stedet kunne fradragsføres i grunnlaget for grunnrenteskatt. En løsning der slike driftsmidler kunne utgiftsføres umiddelbart, ville imidlertid medføre store regelverksmessige og kontrollmessige utfordringer i tilfeller der driftsmiddelet delvis benyttes til å tilvirke interne innsatsfaktorer og delvis benyttes til eksterne leveranser. Det ville også representere en ulempe for servicenæringen, som ikke kan fradragsføre investeringer umiddelbart. Det er også ønskelig å avgrense virkeområdet for grunnrenteskatten til sjøfasen, som påpekt av høringsinstanser, slik at driftsmidler som også kan benyttes til annen virksomhet enn den grunnrenteskattepliktige sjøfasen, ikke omfattes av umiddelbar fradragsføring.
Departementet foreslår derfor at driftsmidler, med en delvis tilknytning som innsatsfaktorer til sjøfasen, kan fradragsføres i grunnrenteinntekten etter de alminnelige avskrivningsreglene i skatteloven i tilfeller der driftsmidlene eies direkte av det grunnrenteskattepliktige selskapet. Dette vil være driftsmidler som faller utenfor avgrensningen som følger av forslag til skatteloven § 19-6 første ledd bokstav c. Selskapet vil alternativt ha mulighet til å fradragsføre en markedsmessig internpris hvis konsernet heller organiseres slik at innsatsfaktoren leveres fra et annet, ikke-grunnrenteskattepliktig selskap i konsernet. Denne løsningen hviler på det samme prinsippet som i særskatten for petroleum, der umiddelbar fradragsføring er begrenset til § 3 b-driftsmidler, mens andre driftsmidler på sokkelen følger alminnelige avskrivningsreglene i skatteloven.
Dersom det grunnrenteskattepliktige selskapet benytter driftsmiddelet delvis som innsatsfaktor i egen grunnrenteskattepliktig virksomhet og delvis til å produsere for salg eksternt, eksempelvis eksternt salg av settefisk, må avskrivningen i grunnrenteskatten avgrenses. Problemstillingen er parallell til fordeling av fradrag ved virksomhet innenfor og utenfor virkeområdet for grunnrenteskatten, som beskrevet i punkt 5.7.4. Slik den skattepliktige ved virksomhet innenfor og utenfor virkeområdet må fordele kostnader i henhold til nytte, må den skattepliktige fordele andelen av avskrivningene for driftsmiddelet til fradrag i grunnrenteinntekt og alminnelig inntekt i henhold til nytten.
Departementet viser til forslag til skatteloven § 19-6 første ledd bokstav d og § 19-6 annet ledd.
Behandling av allerede gjennomførte investeringer
Prinsipielt har ikke behandlingen av historiske investeringer i grunnrenteskatten på havbruk betydning for fremtidige investeringer i havbruk langs kysten. Fradrag for gjennomførte investeringer kan redusere provenyet fra grunnrenteskatten på havbruk vesentlig, avhengig av hvordan et slik fradrag utformes. I høringsnotatet foreslo departementet likevel at det gis fradrag for skattemessige avskrivninger for driftsmidler ervervet før ikrafttredelsestidspunktet som benyttes i den grunnrenteskattepliktige virksomheten. Driftsmidlene ble foreslått å kunne avskrives etter de ordinære saldoreglene, som er ment å reflektere driftsmidlenes faktiske økonomiske verdifall. Inngangsverdien settes til den skattemessige restverdien av driftsmidlene. Det ble ikke foreslått å gi fradrag i grunnrenteinntekten for den nedskrevne delen av driftsmidlene.
Flere aktører,herunder Sjømat Norge, mener at allerede gjennomførte investeringer (driftsmidler) bør kunne fradragsføres direkte ved innføring av grunnrenteskatt for havbruk. Fradraget bør etter Sjømat Norges syn være lik den regnskapsmessige verdien av driftsmidlene hvor dette overskrider gjenværende skattemessig saldo, ettersom dette må antas å være en fornuftig sjablong for verdien av de driftsmidlene som vil skape fremtidige inntekt. Sjømat Norge og Grieg Seafoods ASA mener det må gis fradrag for verdien av biomassen på innføringstidspunktet.
Sjømatbedriftene mener det bør gis direkte fradrag for alle gjennomførte investeringer (driftsmidler) ved innføring av grunnrenteskatt for havbruk. Fradraget må etter Sjømatbedriftenes syn gis med et beløp lik skattemessig nedskrevet verdi.
Kverva AS påpeker at en grunnrenteskatt kan virke mer rimelig hvis den – utformet riktig – gjennomføres fra start. Da opptrer staten delvis som «medinvestor og medrisikotager». Når den innføres for å beskatte kontantstrømmene fra allerede gjennomførte investeringer, er det et direkte beslag uten kompensasjon. Etter Kvervas syn bør det derfor, som minimum, være slik at markedsverdi av alle investeringer bør være fradragsberettiget i et slikt skatteregime.
SalMar ASA mener det må gis fradrag for markedsverdien av allerede foretatte investeringer når skatten innføres. Investorer må sikres effektivt fradrag for verdifall i alle typer aktiva som følger av denne og eventuelt senere økninger i grunnrenteskattesatsen.
BDO Advokater AS viser til at det vil være mer riktig at hele den skattemessige inngangsverdien pr 01.01.2023 (og ikke bare skattemessig avskrivning) kommer til fradrag det første året med grunnrenteskatt. Dog slik at det bør være virkelig verdi på driftsmidlene som kommer til fradrag og ikke gjenværende skattemessig avskrivningsgrunnlag. Tilsvarende viser Cermaq Norway AS til at grunnrenteskatten kun bør skattlegge verdiskaping fra 1.1.2023, ved at det for 2022 gis tillatelse til å fastsette verdien av driftsmidler og biomasse i sjø til virkelig verdi per 31.12.2022.
Advokatforeningen mener det kan stilles spørsmål ved om fradrag for allerede foretatte investeringer bør begrenses til saldoavskrivninger, slik departementet har foreslått. De aktuelle driftsmidlene skal forutsetningsvis fortsatt medvirke til inntektene som skapes fremover, og som blir gjenstand for grunnrenteskatt. Ved å innrømme fradrag for skattemessig restverdi, reduseres konsekvensene av om en investering tilfeldigvis er foretatt kort tid før grunnrenteskatten innføres. Advokatforeningen foreslår derfor at forslaget i § 19-8 tredje strekpunkt revurderes.
Departementet understreker at grunnrenteskatten vil virke nøytralt på fremtidige investeringsbeslutninger i havbruk uavhengig av hvordan historiske investeringer blir behandlet. Spørsmålet om hvorvidt det skal gis fradrag for historiske investeringer, handler først og fremst om hva som anses som rimelig. I vurderingen må det, etter departementets syn, tas hensyn til at aktørene kan ha hatt høy lønnsomhet over en lang periode fra å utnytte samfunnets ressurser før innføring av grunnrenteskatt.
Departementet fastholder høringsforslaget og at det gis fradrag for skattemessige avskrivninger for restverdien av historiske investeringer i grunnlaget for grunnrenteskatten for avskrivbare driftsmidler som benyttes i den grunnrenteskattepliktige virksomheten. Driftsmidlene kan avskrives i tråd med alminnelige avskrivningsregler. Inngangsverdien settes til den skattemessige restverdien av historiske investeringer. Som ved fastsetting av alminnelig inntekt, gis det heller ikke i grunnrenteskatten fradrag for ikke avskrivbare historiske investeringer.
I praksis ligner dette inngangsverdien som ble lagt til grunn da grunnrenteskatten på vannkraft ble innført i 1997. For prosentlignede og skattefrie kraftforetak fantes det da ikke skattemessige inngangsverdier. Foretakene kunne velge mellom en beregnet gjenanskaffelseskostnad og historisk anskaffelseskostnad fratrukket avskrivninger. Med økonomisk korrekte avskrivninger tilsvarer gjenstående verdi gjenanskaffelseskostnaden.
Det gis ikke fradrag for den nedskrevne delen av driftsmidlene og ikke fradrag for verdien av biomassen.
Det vises til forslag til skatteloven § 19-6 første ledd bokstav e.
Driftsmidler overdratt fra andre selskap i konsernet
I utgangspunktet kan driftsmidler som foreslått i skatteloven § 19-6 første ledd bokstav c fradras umiddelbart i grunnrenteinntekten, mens eksisterende driftsmidler i selskapet skal avskrives for restverdien. Denne ulike behandlingen kan gi insentiver til å skille ut tillatelsen i et eget selskap, som dermed blir grunnrenteskattepliktig fra ikrafttredelsestidspunktet. For å oppnå umiddelbart fradrag for eksisterende driftsmidler, kan innehaverselskapet etter ikrafttredelsestidspunktet overta driftsmidlene tilhørende tillatelsen. Problemstillingen ble ikke særskilt drøftet i høringsnotatet.
Etter departementets syn er dette en uønsket tilpasning til den foreslåtte grunnrenteskatten fordi det vil innebære en umiddelbar fradragsrett for eksisterende driftsmidler, som etter departementets forslag ellers ville vært gjenstand for avskrivning av skattemessig restverdi. Adgang til umiddelbar fradragsføring ved kjøp av driftsmidler konserninternt ville også åpnet for tilpasning ved at internprisen, og dermed inngangsverdien, for driftsmiddelet settes for høyt. Selv om slike transaksjoner kunne rammes av skatteloven § 13-1, ser departementet det som hensiktsmessig å avskjære denne muligheten. Skatteloven § 13-1 vil også komme til anvendelse dersom selskap i interessefellesskap før ikrafttredelse har innrettet seg for å få et høyere avskrivningsgrunnlag på eksisterende driftsmidler overdratt gjennom interne transaksjoner.
Departementet foreslår derfor at ved konserninternt kjøp av eksisterende driftsmidler skal den skattemessige inngangsverdien for kjøper settes lik skattemessig restverdi på tidspunktet for overdragelsen. Det innebærer videre at restverdien av driftsmidlene vil være gjenstand for avskrivninger i kjøpers grunnrenteskatt, og ikke fradragsføres umiddelbart. Også selskap i interessefellesskap, men som ikke inngår i samme konsern, kan foreta lignende transaksjoner. Da antar departementet at skatteloven § 13-1 vil komme til anvendelse der vederlaget, og dermed inngangsverdien, ikke reflekterer driftsmiddelets reelle verdi.
Det vises til forslag til skatteloven § 19-6 første ledd bokstav f og definisjonen av konsern i skatteloven § 19-3.
Driftsmidler fra utviklingstillatelser
Et særskilt spørsmål ved konvertering av utviklingstillatelser, jf. punkt 2.1, er behandlingen av driftsmidler utviklet under utviklingstillatelsen og eventuell fradragsrett. Problemstillingen var ikke gjenstand for særskilt drøftelse i høringsnotatet.
Sjømat Norge viser til athøringsnotatet kan forstås slik at investeringer knyttet til utviklingstillatelser (før konvertering) blir behandlet som allerede gjennomførte investeringer, selv om de gjennomføres etter 1. januar 2023. Ved tildeling av utviklingstillatelsene ble det lagt til grunn at tildelt biomasse skulle ha en verdi som tilsa en betydelig risikoreduksjon for oppdretter. Ettersom tillatelsesverdien nå vil være vesentlig lavere enn før regjeringen la frem forslaget om grunnrenteskatt, vil den tildelte biomasse ikke lenger innebære en risikoreduksjon på det nivået som opprinnelig var lagt til grunn. Det vil derfor være naturlig at utviklingskostnadene blir kompensert på annen måte for å sikre at konseptene blir gjennomført. Sjømat Norge viser til at verdifallet på utviklingstillatelsene resulterer i at innehaverne blir møtt med krav om ytterligere egenkapital fra bankene for å få lånefinansiert investeringer i utviklingsfasen. Menon har på oppdrag for Sjømat Norge anslått at 15 av de 22 prosjektene som er tildelt utviklingstillatelser, risikerer å bli avbrutt som en konsekvens av å la skatten omfatte utviklingstillatelsene etter konverteringen.
Sjømatbedriftene mener det bør gis direkte fradrag for allerede gjennomførte investeringer (driftsmidler) ved inntreden i grunnrenteskatteregimet for havbruk som følge av konvertering av utviklingstillatelser. Fradraget må gis med et beløp som er lik skattemessig nedskrevet verdi.
Havbrukerne i Astafjord (HiA-gruppen) viser til at det ikke vil være mulig med fratrekk for utviklingstillatelser som er gitt for å løse næringens utfordringer med areal og miljø. Det oppleves nå som om man ikke vil ha muligheter for de positive elementene med risikoavlastning i en kontantstrømbeskatning, men derimot må betale grunnrente så snart teknologien er testet ut og blitt lønnsom.
Advokatforeningen viser til at verdien av kommersielle tillatelser har falt betydelig etter at grunnrenten ble lansert. På bakgrunn av dette er det flere prosjekter som kan stå i fare for ikke å bli gjennomført som følge av at risikoavlastningen er blitt vesentlig redusert fra det som var lagt til grunn som nødvendig på tildelingstidspunktet. Det bør derfor vurderes å utrede en ordning der investeringskostnadene i utviklingsprosjekter refunderes med lik prosentsats som den fremtidige grunnrenten som vil tre inn ved konvertering. Dette vil kunne bedre likviditeten i prosjektene, samtidig som kapitalstrømmen i utviklingsperioden ikke belastes med grunnrenteskatt før etter konverteringstidspunktet.
Tilsvarende mener Salaks AS at utviklingskostnader i sin helhet bør komme til fratrekk i det økte skatteregimet, alternativt at det tildeles mer tillatelseskapasitet. Hensikten er at prosjekter tilknyttet ordningen med utviklingstillatelser kan bli lønnsomme. Nordlaks Oppdrett AS viser til at håndteringen av utviklingstillatelsene må endres fra det foreslåtte om skatten skal virke nøytralt og disse investeringene skal fortsette.
Departementet viser til at ved søknad om og tildeling av en utviklingstillatelse forplikter søkeren seg til utvikling av teknologi, som presumtivt vil være kostbar, men til nytte for næringen. «Motytelsen» fra statens side er at tillatelsen tildeles uten krav om vederlag, og senere kan konverteres til ordinær og tidsubegrenset matfisktillatelse mot et lavt vederlag. Utviklingskostnadene er altså klart bundet til utviklingstillatelsen. Alternativet for oppdretteren ville vært å kjøpe en kommersiell matfisktillatelse på ordinær måte, gjennom auksjon, og bruke tillatelsen til å utvikle ny teknologi.
Når utviklingstillatelser ikke inngår i grunnrenteskatten, følger det at kostnader pådratt i forbindelse med en utviklingstillatelse heller ikke er fradragsberettiget i grunnrenteskatten, selv om tillatelsen konverteres til en grunnrenteskattepliktig matfisktillatelse, jf. punkt 5.5.1.
Man kan imidlertid se for seg at den grunnrenteskattepliktige havbruksaktøren ønsker å benytte seg av driftsmiddel utviklet gjennom utviklingstillatelsen, i produksjonen under ordinær matfisktillatelse, og overdrar driftsmiddelet til et produksjonsselskap.
Driftsmidler utviklet under utviklingstillatelser kan imidlertid anses som gjenstand for offentlig støtte, ved at tillatelsen er gitt uten krav om vederlag, men under forutsetning av et prosjekt aktøren har forpliktet seg til å gjennomføre. I stedet for å betale en pris på tillatelsesauksjon har aktøren dermed forpliktet seg til dekke kostnadene til utviklingsprosjektet. På samme måte som det ikke gis fradrag for vederlag for direkte kjøp av tillatelser/kapasitetsøkninger, fordi det ville representert en uthuling av grunnrenteskatten, finner departementet at det heller ikke bør gis fradrag for offentlig støtte til utviklingsprosjekt. Kostnader for driftsmidler som er et resultat av utviklingstillatelser, kommer derfor ikke til fradrag grunnrenteinntekten.
Departementet viser til forslag til skatteloven § 19-6 fjerde ledd bokstav f.
5.7.4 Fordeling av fradrag ved virksomhet innenfor og utenfor virkeområdet
Når skattepliktig driver annen virksomhet i tillegg til virksomheten som er gjenstand for grunnrenteskatt, eksempelvis settefiskproduksjon, brønnbåttjenester eller foredlingsvirksomhet, kan det oppstå spørsmål om hvor stor del av kostnadene som er knyttet til den grunnrenteskattepliktige havbruksvirksomheten.
I grunnrenteskatten for vannkraft er det innført regler for kostnadsfordeling mellom grunnrenteskattepliktig virksomhet og den skattepliktiges øvrige virksomhet, jf. skatteloven § 18-3 tredje ledd a nr. 1 fjerde punktum. Fordelingen skal foretas på en måte som er egnet til å gi samsvar mellom kostnadsandelen som faller på kraftproduksjonen, og nytten for kraftproduksjonen. I høringsnotatet foreslo departementet en tilsvarende regel for kostnadsfordeling i grunnrenteskatten for havbruk.
Skattedirektoratet viser til at det er uklart hva som er årsaken til at den foreslåtte fordelingsnøkkelen ved fradrag for delt virksomhet ikke også skal gjelde i relasjon til annet og tredje strekpunkt (driftsmidler). Det foreslås derfor at regler om fordeling av kostnader oppstilles i et eget avsnitt og gis en mer generell anvendelse. Skattedirektoratet antar at det vil være behov for fordelingsregler også for kostnader som har tilknytning til brutto grunnrenteinntekt som er delvis verdsatt til normpris og delvis verdsatt til faktisk pris.
Departementet fastholder forslaget om tilsvarende fordelingsregler som i kraftbeskatningen for kostnader som er til nytte både i grunnrenteskattepliktig havbruksvirksomhet og annen virksomhet den skattepliktige driver. Kostnadene skal fordeles på en måte som er egnet til å gi samsvar mellom kostnadsandel og nytte for hver aktivitet, slik som i grunnrenteskatten på vannkraft. Der den grunnrenteskattepliktige driver settefiskproduksjon i tillegg til oppdrettsvirksomhet etter § 19-1 kan eksempelvis mengde eksternt solgt smolt sammenlignet med mengde smolt brukt i egen virksomhet være en hensiktsmessig fordelingsnøkkel. For integrert brønnbåtvirksomhet kan eksempelvis tidsbruk i egen virksomhet og til eksternt ytede tjenester gi en egnet fordeling.
Bestemmelsen flyttes, slik at den gis generell anvendelse for alle fradrag etter § 19-6 første ledd der bruksområdet er delt.
Departementet viser til forslag til skatteloven § 19-6 annet ledd.
5.7.5 Salgs- og markedsføringskostnader
Departementet foreslo i høringsnotatet at årlige brutto salgsinntekter i grunnrenteskattepliktig havbruksvirksomhet skal beregnes ut fra en normpris for produksjon av laks. Normprisen skal i størst mulig grad reflektere den underliggende, generiske verdien av laksen idet sjøfasen avsluttes. Aktiviteter som har til formål å øke verdien av laksen, slik som markedsførings- og salgsaktiviteter, regnes ikke med i inntekten. På denne bakgrunn foreslo departementet at heller ikke salgs- og markedsføringskostnader skal kunne fradras i grunnrenteinntekten for laks.
For ørret og regnbueørret var det foreslått at selskapenes egne beregnede salgspriser skulle legges til grunn. I høringsnotatet viste departementet til at grunnrenteinntekten kan inkludere kostnadselementer som har oppstått etter sjøfasen, som for eksempel salgs- og markedsføringsaktiviteter. Departementet foreslo derfor at det gis fradrag for salgs- og markedsføringskostnader ved fastsettelsen av grunnrenteskattepliktig inntekt for ørret og regnbueørret. Siden det kan være vanskelig å skille ut salgs- og markedsføringskostnader for de ulike fiskeartene, pekte departementet på at en mulig løsning kunne være å benytte et sjablongfradrag, for eksempel basert på antall kilo solgt av de ulike fiskeslagene.
Sjømat Norge foreslår at det skal gis fradrag for salgs- og markedsføringskostnader for ørret og regnbueørret når faktiske salgspriser skal legges til grunn. Sjømat Norge peker på at faglige beregninger legger til grunn at grunnrenteinntekten kommer fra hele verdiskapingsaktiviteten i næringen.
Sjømatbedriftene mener, uavhengig av modell, at det er faktiske salgspriser som skal legges til grunn for beregning av de skattemessige inntektene. Derfor må det gis fradrag for salg- og markedsføringskostnader og markedsavgiften i grunnrenteinntektene for laks, på lik linje som for ørret og regnbueørret.
Kverva AS viser til at salgs- og markedsføringsapparatet har bidratt til utviklingen av lønnsomhet og markedsvekst for norsk laks og ørret. Det er åpenbart i strid med grunnlaget for modellen at disse kostnadene ikke skal være fradragsberettiget.
Sjømatrådet viser i sitt høringstilsvar til at Sjømatrådets markedsføring av laks og ørret bidrar til å øke verdien av fisken, også i sjøfasen. Dermed er markedsavgiften, som finansierer Sjømatrådets markedsføring, en kostnad som har sammenheng med den grunnrenteskattepliktige virksomheten. Sjømatrådet viser til beregninger for å underbygge sitt syn. Det påpekes også at det ikke fremgår av Sjømatrådets mandat hvorvidt målet med deres aktiviteter er å øke verdien av laks i eller etter sjøfasen. Årsaken er sannsynligvis at et slikt skille er umulig. Enhver aktivitet som øker verdien av laks etter sjøfasen, vil også øke verdien av laksen i sjøfasen.
SalMar ASA mener forslaget er vridende fordi det ikke gis fradrag for utgifter til salg og markedsføring. Dette er viktige kostnader som har økt lønnsomheten i næringen gjennom økte priser på laks, og må komme til fradrag i grunnrenten.
Lerøy Seafood Group ASA viser til at salg- og markedsføringskostnader er svært viktige for å opprettholde etterspørselen og verdien av norsk laks. Prispunktet, slik det kommer frem av høringsforslaget, medfører at det oppstår en asymmetri mellom input og output siden sammenstillingen av inntekter og kostnader ikke harmonerer.
Departementet viser til at skatteavregningspunktet skal være ved merdkanten. Det innbærer at verdiøkende aktivitet etter dette punktet ikke skal skattlegges i grunnrenteskatten. Dette er også omtalt i svar på Dokument 8:38 S (2022–2023), der det understrekes at aktiviteter som øker verdien, som foredlingsaktivitet, bearbeiding, transport og markedsføring, i utgangspunktet ikke skal regnes med i grunnrenteinntekten. På samme måte skal heller ikke slike kostnader komme til fradrag.
Departementet viser til at salg- og markedskostnader for laks ble foreslått holdt utenfor grunnrenteskatten i høringsnotatet. Bakgrunnen var at årlige brutto salgsinntekter i grunnrenteskattepliktig havbruksvirksomhet var lagt opp til å beregnes ut fra en normpris for produksjon av laks fastsatt på slaktetidspunktet. Når prisen settes ved merdkanten for alle fiskeslagene omfattet av forslaget, vil aktiviteter som øker verdien av fisken etter dette punktet, ikke inngå i grunnrenteskattepliktig inntekt. Denne løsningen er også i tråd med det prinsipielle utgangspunktet for grunnrenteskatten. Det er virksomheten i sjøfasen som utnytter fellesskapets ressurser, er tilgangsbegrenset og som dermed skal være gjenstand for grunnrenteskatt. Verdiøkningen etter dette punktet skal derfor ikke skattlegges. På denne bakgrunn foreslår departementet at salgs- og markedsføringskostnader ikke kommer til fradrag i grunnrenteinntekten.
Det vises til forslag til skatteloven § 19-6 fjerde ledd bokstav a.
5.7.6 Finanskostnader, utsatt betaling og leasing
Finanskostnader
I en kontantstrømskatt kan selskapene utgiftsføre nye investeringskostnader umiddelbart i grunnrenteinntekten, også for driftsmidler som er finansiert med gjeld. Et ytterligere fradrag i grunnrenteskatten for kostnadene ved gjeldsfinansiering, som rentekostnader, har da ingen faglig begrunnelse. Selskapets kapitalbehov vil for øvrig reduseres når staten dekker sin del av investeringskostnaden gjennom fradrag i grunnrenteskatten. Departementet foreslo derfor i høringsnotatet at det ikke gis fradrag for finanskostnader i grunnrenteinntekten. Av samme grunn inngår heller ikke finansinntekter i grunnrenteskatten.
Sjømat Norge mener at selv om det foreslås å ikke gi generelt fradrag for finansieringskostnader, må det i det minste gis fradrag for finansieringskostnader knyttet til fôr og biomasse i sjø. Uten et slikt fradrag vil skatten ikke være nøytral. Det vises til at oppdrett er svært kapitalkrevende fordi fôr må kjøpes inn og betales lenge før fisken er ferdig produsert for salg. Tilsvarende resonnement fremgår av flere høringsinnspill.
Sjømatbedriftene viser til at forslaget legger opp til at nye investeringer fradragsføres direkte i det inntektsåret de blir ervervet. For allerede gjennomførte investeringer gis det derimot kun fradrag for årlige skattemessige saldoavskrivninger. Ut fra resonnementet til Finansdepartementet mener Sjømatbedriftene at det derfor bør kunne gis fradrag i grunnrenteinntekten for rentekostnadene knyttet til gjeldsfinansiering av de allerede gjennomførte investeringene.
SalMar ASA mener forslaget er innrettet slik at det vil begrense selskapenes finansieringsevne. For å avdempe denne negative effekten bør det gis fullt fradrag for rente- og kapitalkostnader, blant annet kapitalkostnadene ved biomassen i sjø og kostnadene ved investeringer i produksjonstillatelser. Forslaget rammer kontantstrømmen som er nødvendig for å betjene normal gjeldsfinansiering av slike kapitalkostnader. Tilsvarende argumentasjon fremgår av høringsuttalelsen til Cermaq Norway AS.
Kverva AS, Rostein AS og Lerøy Seafood Group ASA mener manglende håndtering av kapitalkostnadene i foreslått modell medfører at skatten ikke virker nøytralt på investeringer. Kverva AS viser til at både tilgang til og kostnadene ved kapital påvirkes negativt. Kverva AS viser til at en riktig fungerende kontantstrømskatt kunne ha gjort at lånerenter for nye investeringer var fradragsberettiget bare i ordinær selskapsskatt, gitt at man hadde fått refundert investeringskostnader etter kontantprinsippet. Imidlertid gjøres rentebegrensningen gjeldende også for eksisterende selskaper, som allerede har investert i biomasse, utstyr og produksjonstillatelser til markedspris. Den effektive skattesatsen i sjøfasen vil bli høyere enn 62 prosent fordi selskapet ikke kan trekke fra renter knyttet til disse oppkjøpene. For næringen under ett halveres om lag de tidligere forventede kontantstrømmene. En naturlig tilpasning vil være at rentebetaling på eksisterende gjeld, knyttet til investeringer i sjøfasen, inkludert produksjonstillatelser og biomasse, blir fradragsberettiget i grunnrenteskatten.
Departementet fastholder at det ikke gis fradrag i grunnrenteskatten for kostnadene ved gjeldsfinansiering. Fradrag for rentekostnader har ingen faglig begrunnelse når det gis direkte fradrag for investeringskostnader, også for investeringer som er finansiert med gjeld. Dette samsvarer med reglene for grunnrenteskatt for vannkraft og petroleum, samt forslaget i høringsnotatet om grunnrenteskatt for vindkraft.
Det samme prinsippet gjør seg gjeldende for rentekostnader ved utsatt betaling. Som vist til i høringsnotatet skal inntekter og kostnader i en nøytral grunnrenteskatt inngå med beløp som tilsvarer nåverdien av inntekten/kostnaden, og det gis umiddelbare fradrag for kostnader når drifts- eller investeringskostnader pådras. Ved kjøp eller leie av en innsatsfaktor kan betalingsvilkår for drifts- og investeringskostnader inneholde et element av utsatt betaling/kreditt. Dersom det gis fradrag for den fulle kjøpsprisen når kostnaden pådras, selv om betaling først skjer i en senere periode, vil et slikt kredittelement ha fellestrekk med rentekostnader som ikke er fradragsberettiget i grunnrenteskatten. Problemstillingen ble ikke særskilt omtalt i høringsnotatet.
Ved ordinære forretningsvilkår mellom uavhengige parter vil betalingsutsettelsen og kredittelementet være moderat, og det er da ikke hensiktsmessig å skille ut kredittelementet i fradragsberettigede kostnader i grunnrenteskatten. Dersom betalingsutsettelsen/kreditten blir vesentlig, for eksempel ved lang betalingsutsettelse eller kjøp på avbetaling, kan kredittelementet utgjøre en større del av kjøpsprisen. I slike tilfeller må rentekostnaden skilles ut fra kjøpsprisen, slik at fradraget i grunnrenteskatten tilsvarer kjøps-/leieprisen ved ordinære betalingsvilkår. Tilsvarende kan være tilfelle for leie- eller leasingavtaler der betalinger utsettes til et tidspunkt vesentlig senere enn fradrag tidfestes skattemessig.
Departementet foreslår derfor at det ikke gis fradrag for rentekostnader ved kjøp eller leie der betalinger utsettes ut over ordinære forretningsvilkår mellom uavhengige parter.
Leie/leasing av driftsmidler der leietager anses som skattemessig eier
I noen tilfeller kan leie-/leasingavtaler, etter en konkret vurdering, innebære en så stor overføring av rettigheter, plikter og risiko at leietager anses som skattemessig eier. I skatt på alminnelig inntekt skal leietager da aktivere kjøpesummen og avskrive denne i tråd med saldoavskrivningsreglene. Kjøpesummen for leietager kan i slike tilfeller fastsettes som summen av nominelle leiebetalinger over leasingperioden, uten at det er krav om å skille ut renteelementet eller beregne nåverdi av leiebetalingene. For denne type leasingavtaler vil regnskapsstandarder ha krav om balanseføring av nåverdien av leiebetalingene, der rentekostnaden i leiebetalingene skilles ut.
En vesentlig del av leiebetalingene kan i slike tilfeller være rente-/kredittkostnader som ikke er fradragsberettiget i grunnrenteskatten. Summen av nominelle leiebetalinger vil dermed ikke tilsvarer kostpris/markedsverdi for driftsmiddelet. Problemstillingen ble ikke omtalt i høringsnotatet.
I tilfeller der leietager anses som skattemessig eier av leasinggjenstanden, foreslår departementet derfor at kjøpesummen i grunnrenteskatten for leietager fastsettes lik kostprisen/markedsverdien av driftsmiddelet eksklusiv rentekostnader. Kostprisen/markedsverdien av driftsmiddelet kan fradragsføres i grunnrenteskatten i tråd med reglene omtalt for driftsmidler i grunnrenteskatten, jf. punkt 5.7.3. Den delen av leiebeløpene som reflekterer rente-/kredittkostnader, vil ikke være fradragsberettiget i grunnrenteskatten. Eventuelle deler av leiebeløpet som reflekterer drifts- og vedlikeholdskostnader, må også skilles ut og kan fradragsføres i grunnrenteskatten som løpende driftskostnader.
Departementet viser til forslag til skatteloven § 19-6 fjerde ledd bokstav b.
5.7.7 Skatter og avgifter mv.
I høringsnotatet foreslo departementet at eiendomsskatt på havbruksanlegg og eiendomsskatt på oppdrettsanlegg i sjø skal komme til fradrag i grunnrenteinntekten. Videre ble det foreslått å gi fradrag i grunnrenteinntekten for forskningsavgiften. Det ble ikke foreslått å gi fradrag for markedsavgiften, da denne på tilsvarende måte som markedsførings- og salgsaktiviteter ble ansett for å ha til formål å øke verdien av laksen etter sjøfasen.
Sjømatrådet viser i sitt høringstilsvar til at markedsavgiften, i likhet med forskningsavgiften, bør være fradragsberettiget. Det vises for øvrig til gjengivelsen av Sjømatrådets høringstilsvar i punkt 5.7.5.
Lerøy Seafood Group ASA mener i utgangspunktet at forskningsavgiften og markedsavgiften bør avvikles. Som et minimum bør begge komme til fradrag i grunnrenteskatten.
Departementet fastholder at eiendomsskatt på oppdrettsanlegg i sjø skal komme til fradrag i grunnrenteinntekten for havbruksvirksomhet. Det vises til at eiendomsskatt, på samme måte som andre løpende kostnader, vil redusere overskuddet og gjenværende grunnrente i selskapet. Etter eigedomsskattelova § 4 tredje ledd skal det ved verdsettelsen av oppdrettsanlegg i sjø medberegnes fysiske installasjoner som merder, flytemodul, fôringsmaskin, fôringslager, oppholdsrom og sanitæranlegg og liknende, samt anker, lodd og liknende til forankring. Havbruksvirksomheten kan omfatte bygninger som ikke inngår i oppdrettsanlegg i sjø. Når det gjelder øvrig havbruksanlegg, legger departementet til grunn at utskrevet eiendomsskatt kommer til fradrag i grunnrenteinntekten i den grad anlegget har tilknytning til matfiskoppdrett av laks, ørret og regnbueørret i sjøfasen. Som et eksempel kan tenkes lagerbygg på land, som har delvis tilknytning til den grunnrenteskattepliktige havbruksvirksomheten og skattepliktiges øvrige virksomhet. For fordelingen av fradrag for denne type havbruksanlegg vises det til forslag til skatteloven § 19-6 annet ledd.
Formålet med forskningsavgiften er å styrke finansieringen av forskning og utvikling, i regi av Fiskeri- og havbruksnæringens forskningsfond, se også beskrivelsen i punkt 3.3. Ettersom forskningsavgiften kan anses for å bidra til videreutvikling av næringen, og derfor ha sammenheng med havbruksvirksomheten, fastholder departementet at det gis fradrag for denne avgiften i grunnrenteinntekten.
Formålet med markedsavgiften er å gi Norges Sjømatråd AS midler til å utføre markedsføringstiltak og andre fellestiltak, herunder støtte til bransjetiltak som naturlig inngår i profileringen av norske fiskevarer, jf. punkt 3.3. Det vises til at grunnrenteinntekten for laks, ørret og regnbueørret foreslås fastsatt ved merdkanten. Når grunnrenteskattepliktig inntekt (markedsverdien) ved salg fastsettes ved merdkanten, vil aktiviteter som øker verdien av fisken etter dette punktet, ikke inngå i grunnrenteskattepliktig inntekt. Det er virksomheten i sjøfasen som er gjenstand for grunnrenteskatt, og markedsføringskostnader har ikke tilstrekkelig tilknytning til denne delen av verdikjeden. På bakgrunn av dette fastholder departementet at det ikke gis fradrag for markedsavgiften i grunnrenteinntekten.
Departementet viser til forslag til skatteloven § 19-6 første ledd bokstav i, bokstav j, annet ledd og fjerde ledd bokstav a.
5.7.8 Ytelser til kommuner og lokalsamfunn
Departementet har vurdert om ytelser til kommuner eller lokalsamfunn skal være fradragsberettiget i grunnrenteskatten. Slike ytelser kan representere en del av verdien av grunnrenten i havbruksvirksomheten, og fradrag ville dermed uthule grunnrenteskatten. Mottakeren av ytelsen vil på sin side ikke være grunnrenteskattepliktig. Problemstillingen ble ikke omtalt i høringsnotatet. I høringsnotatet om grunnrenteskatt for landbasert vindkraft er det omtalt at denne type kostnader ikke vil være fradragsberettiget i grunnrenteskatten.
Departementet mener ytelser til kommuner og lokalsamfunn ikke skal fradragsføres i grunnrenteskatten for havbruk. I denne sammenheng vises det til at kommunesektoren i forslaget tilgodeses ved at de skal få halvparten av provenyet fra grunnrenteskatten via produksjonsavgiften, en økt andel av inntekter ved salg av ny tillatelseskapasitet og en eventuell ekstrabevilgning til kommunesektoren, se kapittel 6. Havbrukskommuner har også mulighet til å få inntekter ved å skrive ut eiendomsskatt på flytende oppdrettsanlegg, jf. pkt. 3.2.
Departementet viser til forslag til skatteloven § 19-6 fjerde ledd bokstav g.
5.7.9 Fradrag for kostnader ved kjøp av tillatelser
Havbruksskatteutvalget drøftet om det burde gis fradrag for tillatelser i grunnrenteskatten på havbruk. Utvalget pekte på at verdien av matfisktillatelser representerer selve opphavet til grunnrenten fra havbruksvirksomhet. Verdien av matfisktillatelsen skal i teorien på ethvert tidspunkt representere dagens verdi av all fremtidig grunnrente. Dersom det gis fradrag for verdien av grunnrenten i grunnrenteinntekten, vil skattegrunnlaget uthules og ikke lenger gi uttrykk for grunnrenten. Det bryter derfor med formålet med grunnrenteskatten å gi fradrag for verdien av matfisktillatelser gjennom vederlagene, både for gamle og for nye tillatelser. Siden tillatelsene er tidsubegrensede, ville fradragsrett også ha brutt med det skatterettslige utgangspunktet om at det ikke gis fradrag for tidsubegrensede rettigheter, jf. skatteloven § 6-10 tredje ledd.
I 2018 ble den første auksjonen under trafikklyssystemet gjennomført. Denne auksjonen ga betydelig større inntekter til det offentlige enn tidligere tildeling eller salg av tillatelseskapasitet. Før auksjonen i 2018 sendte Finansdepartementet ut et varsel som informerte om at regjeringen arbeidet med å utrede en modell for grunnrenteskatt på havbruk. I pressemeldingen av 27. april 2018 står det: «Auksjonsbeløpet i den forestående auksjonen inngår i grunnlaget for friinntekt. Det innebærer at det gis fradrag over tid for auksjonsbeløpet i grunnlaget for grunnrenteskatten og begrenser grunnrenteskattens virkning på den kommende auksjonen.» Auksjonen i 2018 ga et proveny på om lag 3 mrd. kroner. Fastpristildelingen og auksjonen i 2020 ga et proveny på om lag 7 mrd. kroner.
For kapasitet tildelt gjennom fastpris i 2022 ga Nærings- og fiskeridepartementet havbruksaktørene muligheten til å levere tilbake den tildelte kapasiteten mot at staten tilbakebetaler vederlaget. Det meste av denne kapasiteten ble levert tilbake og senere i stor grad solgt i den påfølgende auksjonen. Forslag om grunnrenteskatt på havbruk var kjent før auksjonen av nye tillatelser i 2022 ble gjennomført. I forslaget ble det klargjort at det ikke ville bli gitt fradrag for kjøp av tillatelser. Det påvirket prisen som ble oppnådd i auksjonen.
I høringsnotatet fastholdt departementet det prinsipielle synet slik det ble uttrykt av flertallet i Havbruksskatteutvalget. Det anbefalte at det ikke bør gis fradrag i grunnrenteskatten for vederlag for tillatelser tildelt før auksjonen i 2018. Begrunnelsen for anbefalingen var både prinsipiell og praktisk. Å gi fradrag for kjøpte tillatelser vil være å uthule skattegrunnlaget for grunnrenteskatten. Videre er det få tillatelser som har vært tildelt til et betydelig vederlag. Vurderinger fra flertallet i Havbruksskatteutvalget er nærmere omtalt i boks 5.1.
Departementet foreslo i høringsnotatet å gi et bunnfradrag i grunnrenteskatten på havbruk, noe som ville bidra til at kun de største aktørene, som presumptivt har de største overskuddene, ville betale grunnrenteskatt. Samtidig ville det redusere provenyet fra de største aktørene, som får betydelig lavere grunnrenteskatt. Departementet så denne reduksjonen i sammenheng med at det ikke gis fradrag for den enkelte aktørs faktiske betalte vederlag for historiske kjøp av tillatelser. Departementet viste til at et bunnfradrag for alle aktører dermed også kunne ses på som et sjablongfradrag for allerede kjøpte tillatelser.
Sjømatbedriftene, Sjømat Norge, Grieg Seafoods ASA, Kverva AS og flere andre aktører mener det bør gis direkte fradrag for investeringer ved kjøp av akvakulturtillatelser i markedet eller kjøp av vekst. Sjømatbedriftene og Sjømat Norge mener fradraget bør gis med et beløp tilsvarende kostprisen. Tilsvarende bør da inntekten ved et fremtidig salg av akvakulturtillatelser inntektsføres som grunnrenteinntekt. Dette vil være i tråd med behandlingen av andre investeringer (driftsmidler), som kan fradragsføres direkte, jf. forslag til ny skattelov § 19-6 første ledd, annet strekpunkt. En slik løsning vil også kunne gi økt betalingsvilje ved auksjonene.
Sjømat Norge viser videre til at en vesentlig del av selskapenes formuesverdier i dag er investeringer i tillatelser. Selv om konsesjoner i en lang periode ble tildelt vederlagsfritt, er om lag 96 pst. av dem senere omsatt for det som på det aktuelle tidspunkt var rådende markedspris. Det innebærer at for de selskapene som har kjøpt slike tillatelser, er effekten akkurat den samme som om de hadde kjøpt dem ved auksjoner direkte fra staten. Flere andre aktører fremmer en tilsvarende argumentasjon.
Lovundlaks AS opplever det som urimelig at de aktørene som har betalt mest til staten for konsesjonene, er de som blir hardest rammet av skatteforslaget. I praksis ender Lovundlaks opp med å betale dobbel grunnrenteskatt slik forslaget ligger i dag. Det er derfor av avgjørende betydning at det legges opp til særskilt skjerming av konsesjoner kjøpt på auksjon i 2018 og 2020. Måsøval AS mener staten må tilby erstatning til aktører som har kjøpt tillatelser i 2020.
Departementet fastholder at det ikke gis fradrag for verdien av tillatelsene ettersom disse representerer selve grunnrenten i næringen. Siden tillatelsene er tidsubegrensede, ville fradragsrett også ha brutt med det skatterettslige utgangspunktet om at det ikke gis fradrag for tidsubegrensede rettigheter. Næringsdrivende står alltid overfor en risiko for endringer i skatter og avgifter, uten at disse kompenseres. Grunnrenteskatten vil videre virke nøytralt på fremtidige investeringer uavhengig av hvordan tidligere kjøpte tillatelser blir behandlet.
Departementet ser likevel at kapasiteten som ble kjøpt på auksjonene i 2018 og 2020, samt fastpristildelingen i 2020, står i en særstilling, gitt departementets varsel i forkant. Departementet foreslår derfor et sjablongfradrag for kapasitet kjøpt fra staten i disse tildelingene. Fradraget settes sjablongmessig til 40 pst. av faktisk innbetalt vederlag til staten fordelt over fem år med et likt beløp. Siden det ikke er tilsvarende fradrag i grunnrenterelatert selskapsskatt, vil fradragsbeløpet teknisk nedjusteres med skattesatsen på alminnelig inntekt slik at fradraget skjer mot den effektive grunnrenteskattesatsen på 35 pst.
Departementet viser også til at forslaget om bunnfradrag i punkt 5.7.10 i tillegg skjermer det aller meste av kapasiteten som er kjøpt på auksjonene i 2018 og 2020 og fastpristildelingen i 2020. Departementet vil samtidig peke på at bunnfradraget for de fleste aktørene ville være så høyt at det reelt sett fører til at også deler av tillatelser kjøpt i annenhåndsmarkedet skjermes. Det samme vil gjelde eventuelle kjøp fra staten forut for varslet i 2018.
Ved fremtidige tildelinger vil aktørene ta hensyn til grunnrenteskatten i sine bud ved å nedjustere sin betalingsvillighet for nye tillatelser. Dermed kan innføringen av en grunnrenteskatt isolert sett ha en prisdempende effekt på fremtidige auksjoner. Dette ble tydelig i auksjonen høsten 2022, der gjennomsnittlig auksjonsvederlag per tonn maksimalt tillatt biomasse (MTB) falt med om lag 30 pst. sammenlignet med auksjonen i 2020. Det kan være en fordel for aktørene fordi de må binde mindre kapital gjennom auksjonen. Tilsvarende vil aktørene ta hensyn til grunnrenteskatten ved omsetning av akvakulturtillatelser i annenhåndsmarkedet etter innføringen av en grunnrenteskatt. Bunnfradraget kan føre til at små og mellomstore aktører, med lavere produksjon enn bunnfradraget, har større betalingsvilje i fremtidige auksjoner og ved private overdragelser enn større aktører.
Det vises til forslag til skatteloven § 19-6 første ledd bokstav h og fjerde ledd bokstav c.
Boks 5.1 Særlig om tillatelser kjøpt i annenhåndsmarkedet
Havbruksskatteutvalget drøftet i NOU 2019: 18 Skattlegging av havbruksvirksomhet om det burde gis fradrag ved videresalg av tillatelser mellom private parter i annenhåndsmarkedet. Utvalget viste til at det prinsipielle utgangspunktet er det samme som for de øvrige tillatelsene, nemlig at de representerer opphavet til grunnrenten og at det ikke bør gis fradrag for grunnrenten i skattegrunnlaget for grunnrenten. Utvalget så likevel på om det var grunnlag for å inkludere vederlag for tillatelser som er solgt i annenhåndsmarkedet, i friinntektsgrunnlaget.
Utvalget gikk gjennom transaksjoner i annenhåndsmarkedet over en periode og kom frem til at de færreste transaksjoner gjaldt kun tillatelser, og at de fleste overdragelser har skjedd i form av kjøp og salg av aksjer. Ved aksjeoverdragelser videreføres de skattemessige verdiene på selskapets driftsmidler, herunder tillatelsene. Hvorvidt det skjer transaksjoner av aksjer fra gamle til nye eiere i et havbruksselskap, bør derfor prinsipielt være uten betydning for grunnrenteskatten, som ilegges selskapet.
Utvalget viste til at de fleste overdragelser i annenhåndsmarkedet har skjedd til en betydelig lavere verdi enn markedsverdi i dag. Det vil si at bare en liten andel av dagens grunnrente har blitt realisert gjennom historiske transaksjoner.
Utvalget pekte på at det ville være vanskelig å anslå den isolerte verdien av tillatelsene for skatteformål ved aksjeoverdragelser. Oppkjøp av oppdrettsselskap har i noen tilfeller foregått på ulike tidspunkt og med flere kjøpere, som også har vært nærstående. Verken skattemessig verdi ført i skattemelding eller omsetningsverdi i finansregnskapet er egnet til å anslå verdiene av tillatelsene isolert sett.
Utvalget pekte på at det er prinsipielt betenkelig om beskatningen av et selskap skal være avhengig av om det har skjedd endringer i bakenforliggende eierskap. Videre ble det påpekt at andre eierskifter enn direkte salg, som for eksempel arv, kunne komplisere bildet ytterligere. Det ville bli krevende for skattyter å beregne disse historiske verdiene, og for Skatteetaten å kontrollere dem.
Utvalgets flertall kom derfor til at vederlag for tillatelser før auksjonen i 2018, uavhengig av om disse er ervervet i første- eller annenhåndsmarkedet, ikke bør gi grunnlag for fradrag i grunnrenteskatten.
Fradrag ved konvertering av utviklingstillatelser
Etter endt prosjektperiode kan Fiskeridirektoratet gi tillatelse til at en utviklingstillatelse konverteres til ordinær matfisktillatelse dersom prosjektet har nådd de på forhånd satte målkriteriene. Konverteringen skjer mot et vederlag på 10 mill. kroner. Dersom målkriteriene ikke oppfylles eller vederlaget ikke ytes, faller tillatelsen bort. Fiskeridirektoratets vurdering er at utviklingstillatelsene ved konvertering opphører å eksistere, og det skrives ut nye matfisktillatelser. En ny matfisktillatelse kan selges umiddelbart etter konvertering med mulig fortjeneste. Problemstillingen om fradrag ved konvertering av utviklingstillatelser ble ikke særskilt omtalt i høringsnotatet.
En kunne tenke seg at vederlaget på 10 mill. kroner skulle være fradragsberettiget i grunnlaget for grunnrenteskatten. I likhet med ordinære produksjonstillatelser kjøpt på auksjon eller fastpris vil imidlertid også konverteringsvederlaget representere verdien av hele eller deler av grunnrenten. Det skal derfor prinsipielt ikke komme til fradrag i grunnrenteskatten. Departementet foreslår at konverteringsvederlaget ikke kan trekkes fra i grunnlaget for grunnrenteskatt.
Det vises til forslag til skatteloven § 19-6 fjerde ledd bokstav c.
5.7.10 Bunnfradrag
I høringsnotatet foreslo departementet et bunnfradrag i grunnrenteskatten på havbruk. Bunnfradraget var ment å bidra til å skjerme de mindre aktørene, slik at det er aktørene som presumptivt har de største overskuddene, som vil betale grunnrenteskatt. Samtidig vil bunnfradraget redusere provenyet fra de største aktørene, som får en betydelig reduksjon i grunnrenteskatten. Departementet pekte på at reduksjonen i skattegrunnlaget kan ses i sammenheng med at det i forslaget ikke ble gitt fradrag for den enkelte aktørs betalte vederlag for historiske kjøp av tillatelser, og at et slikt generelt bunnfradrag dermed kunne ses på som et sjablongfradrag for allerede kjøpte tillatelser, se også punkt 5.7.9. Bunnfradraget ble foreslått utformet som et kronebeløp tilsvarende gjennomsnittlig fortjeneste på et gitt antall tonn produsert fisk.
Departementet ba om høringsinnspill på et bunnfradrag på 54 mill. kroner og 67,5 mill. kroner (som anslagsvis skulle skjerme en produksjon på mellom 4 000 til 5 000 tonn). Det ble vist til at et fradrag i den størrelsesordenen ville skjerme det aller meste av kapasiteten som er kjøpt på auksjonene i 2018 og 2020 og fastpristildelingen i 2020. Departementet pekte på at et bunnfradrag kan gi insentiver til å etablere flere selskaper for å få flere bunnfradrag. For å motvirke dette ble det foreslått bare å gi ett bunnfradrag på konsernnivå og for selskaper eid av samme person og dennes nærstående.
Skattedirektoratet viser i sitt høringssvar til at det ikke er klart av forslaget til skatteloven § 19-7 hvordan bunnfradraget skal beregnes. Videre har Skattedirektoratet sett på effekten av de to foreslåtte nivåene for bunnfradraget. Beregningene viser at 25 aktører vil betale grunnrenteskatt med et bunnfradrag på 54 millioner kroner (ved anslagsvis 4 000 tonn MTB), hvor den minste av disse aktørene har en samlet tillatelseskapasitet på 5 683 tonn MTB. Settes bunnfradraget tilsvarende til 67,5 millioner kroner (ved anslagsvis 5 000 tonn MTB), er det etter Skattedirektoratets beregninger kun 18 aktører som kommer i posisjon for å betale grunnrenteskatt, hvor den minste av disse aktørene har en samlet tillatelseskapasitet på 7 074 tonn MTB.
Fiskeridirektoratet peker på at den reelle produksjonen er større enn maksimalt tillatt biomasse, fordi det er forskjell på biomassen aktørene til enhver tid har i sjøen (vekt av levende fisk), og det de faktisk produserer som slaktet fisk i løpet av et år. Dette betyr at et selskap med en samlet kapasitet på mindre enn 4 000 eller 5 000 tonn MTB også kan bli omfattet av grunnrentebeskatning etter forslaget. Videre advarer Fiskeridirektoratet mot bruk av Fiskeridirektoratets lønnsomhetsstatistikk for beregningen, da dette vil gi insentiver til å rapportere feilaktig og høyest mulig fortjeneste for å heve bunnfradraget. Det vises også til at forslaget fører til lav forutberegnelighet for selskapene, ved at selskaper som ligger nær grensen for grunnrentebeskatning, ikke vil vite om de vil komme i slik skatteposisjon eller ikke før etter beregningsåret. Som en alternativ ordning foreslår Fiskeridirektoratet at midlere kapasitet (uttrykt som tillatelseskapasitet i tonn MTB) gjennom beregningsåret legges direkte til grunn for avgjørelsen av om selskapet kommer i grunnrenteskatteposisjon eller ikke.
Videre viser Fiskeridirektoratet til at det i forslag til § 19-7 står at Stortinget skal fastsette bunnfradraget årlig. For eksempel kan da Stortinget vedta bunnfradrag basert på normpris ett år og et bestemt kronebeløp det neste året. Fiskeridirektoratet mener dette kan skape periodiske utfordringer knyttet til langsiktige kontrakter, og da særlig opp mot videreforedling.
Sjømat Norge viser til beregninger utført av KPMG som skal vise at grunnrenteskatten vil treffe også aktører med mindre enn 5 000 tonn MTB. Dette kan blant annet skyldes at årsproduksjonen av laks (tonn) kan være høyere enn antallet tonn (MTB) selskapet har i sine ordinære, kommersielle tillatelser. Sjømat Norges klare oppfatning er at langt flere enn hva regjeringen hevder, vil bli rammet av grunnrenteskatten.
Sjømatbedriftenes høringstilsvar inneholder mange av de samme elementene som høringstilsvaret til Sjømat Norge. Videre viser Sjømatbedriftene til en juridiske vurdering av SANDS Advokatfirma DA, og konstaterer at gjeldende rett ikke gjør det mulig å gjennomføre intensjonene til regjeringen om å skjerme de små- og mellomstore aktørene, med forslaget i høringsnotatet. Sjømatbedriftene viser videre til sitt alternative forslag basert på prinsippene i den færøyske modellen, og ber regjeringen innrette en eventuelt økt beskatning for havbruksnæringen i tråd med denne modellen.
Bremnes Seashore AS, Biomarint forum, Advokatfirmaet Schjødt AS, BDO Advokater AS, Advokatforeningen, SpareBank 1-bankene, Salaks AS og flere andre høringsinstanser mener bunnfradraget må heves dersom den politiske målsetningen er at bare 30 til 35 prosent av selskapene skal omfattes av grunnrenteskatten. Bremnes Seashore viser til en alternativ løsning: I stedet for å øke bunnfradraget vilkårsløst, kan man øke bunnfradraget kilo for kilo for laks levert inn til norsk foredlingsindustri.
Advokatfirmaet Schjødt AS viser til at den type terskelverdier som et bunnfradrag innebærer, gir sterke incentiv til tilpasninger som medfører at synergier ved stordrift der dette ellers hadde vært naturlig, tapes til skade for både privat sektor og samfunnet. Det påpekes også at bunnfradraget er innrettet slik at det kun gis i positiv grunnrenteinntekt. For å virke nøytralt bør bunnfradraget gis uavhengig av om grunnrenteinntekten det enkelte år er positiv.
Nettverk fjord- og kystkommuner (NFKK) viser til rapporten Lakseskattens utfordringer, som viser at grunnrenteskatten med den foreslåtte ordningen på bunnfradraget vil slå inn rundt 1 830 tonn MTB. På bakgrunn av dette mener NFKK at bunnfradraget er satt på feil tallgrunnlag, noe som medfører at grunnrenteskatten ikke vil skåne de mindre, lokalt eide selskapene. Ønskes det at grunnrenteskatten kun skal treffe de største, må bunnfradraget økes med minst ti-gangen.
Salaks AS viser til at det i 2009 ble tildelt 65 tillatelser til mindre aktører. På dette tidspunktet ble en mindre aktør definert som en aktør med 14 820 tonn MTB eller mindre i Nordland og sørover, eller 17 100 tonn MTB eller mindre i Troms og Finnmark. Salaks AS foreslår at denne definisjonen benyttes i forbindelse med fastsettelse av bunnfradrag. Hofseth International AS foreslår at bunnfradraget økes til en produksjon på 30 000 tonn. Dette for å sikre at bunnfradraget havner på et nivå som skåner små- og mellomstore aktører. Nova Sea AS foreslår at bunnfradraget økes til 10 000 tonn MTB, som tilsvarer et kronefradrag på 135 mill. kroner.
Kverva AS viser til at et bunnfradrag vil forandre strukturen i næringen, og svekke den samfunnsøkonomiske og bedriftsøkonomiske lønnsomheten i norsk sjømatnæring, i tillegg til de skadelige effektene av selve grunnrenteskatten. Det vises til at et bunnfradrag vil gi insentiver til å splitte opp store effektive selskaper til flere mindre effektive selskaper – fordi økningen i overskudd etter skatt fortsatt vil være større enn kostnadsøkningen ved økt ineffektivitet. Samlet redusert effektivitet i norsk havbruk vil begrense norsk havbruksnærings konkurransekraft internasjonalt. Provenyeffekten av bunnfradraget kunne vært brukt til å senke skattesatsen, og på denne måten både redusert effektivitetstapene ved å ha et bunnfradrag og redusert de mulige effektivitetstapene ved å sette en for høy (vridende) marginal skattesats.
Professorene Petter Bjerksund og Guttorm Schjelderup ved Norges Handelshøyskole mener det ikke bør innføres bunnfradrag, og viser til at et bunnfradrag vil svekke den økonomiske effektiviteten i havbruksnæringen ved at det påvirker lønnsomheten av hvordan virksomhet og eierskap organiseres og utvikles.
SalMar ASA mener det foreslåtte bunnfradraget ikke har noen sammenheng med tillatelser som er kjøpt på auksjon, og innebærer en massiv ekstra skatt på de selskapene som har utviklet det meste av den industrielle infrastrukturen. Denne infrastrukturen er også de mindre selskapene avhengige av, for eksempel ved videreforedling. Fradraget kan gjøre forslaget rettsstridig både etter intern norsk rett og internasjonale avtaler.
Mowi ASA viser til at bunnfradrag ikke har økonomifaglig begrunnelse og gir vridningseffekter og -insentiver, spesielt i et konsesjonsregime som i havbruksnæringen hvor en må kjøpe vekst.
Carnegie AS mener det er en ugunstig asymmetri at skattegrunnlaget skal bygge på det enkelte selskaps faktiske inntekter, mens bunnfradraget skal basere seg på gjennomsnittlig produktivitet og lønnsomhet for næringen. Ved å basere et bunnfradrag på faktisk produktivitet for den enkelte aktør, ville man gitt sterkere insentiver til kostnadseffektivitet og effektiv utnyttelse av lisenser.
Statistisk sentralbyrå (SSB) mener bunnfradraget bør settes så lavt som mulig, og aller helst at det ikke gis bunnfradrag. Det vises til at bunnfradraget innebærer at marginal skattesats for selskaper i grunnrenteposisjon vil være høyere enn for selskaper som ikke produserer nok til å betale grunnrenteskatt. Følgelig vil bunnfradraget kunne vri selskapsstrukturen, ved at de minste aktørene, alt annet likt, vil ha høyere betalingsvilje for tilleggskapasitet enn de andre selskapene. En slik konkurransevridning vil bidra til redusert effektivitet og lavere verdiskaping i næringen. I tillegg kan endret selskapsstruktur i retning flere og mindre aktører ha negative konsekvenser for biosikkerhet som spredning av lakselus. SSB viser videre til at den vridende effekten av produksjonsavgiften skyldes bunnfradraget. Dette er et ytterligere argument for å droppe bunnfradraget.
Det samme argumentet fremkommer i Skatteutvalgets utredning (NOU 2022: 20) punkt 13.2.4:
Bunnfradraget vil svekke den økonomiske effektiviteten av grunnrenteskatten og bør etter utvalgets mening ikke innføres. Dersom en ønsker at mer av grunnrenten skal bli værende i næringen, vil det være mer effektivt at skattesatsen reduseres fremfor å innføre et bunnfradrag.
Departementet viser til at bunnfradrag i høringsnotatet ble delvis begrunnet med at bare de største aktørene, som presumptivt har de største overskuddene, skal betale grunnrenteskatt og delvis som et sjablongfradrag for historiske kjøp av tillatelser. Ettersom det nå foreslås et eget sjablongfradrag for tillatelser kjøpt på auksjon i 2018 og 2020 og fastpristildelingen i 2020, se omtale i punkt 5.7.9, kan det argumenteres for at begrunnelsen for bunnfradrag er svakere. Bunnfradraget vil dessuten være et ikke-nøytralt element i en ellers nøytral grunnrenteskatt.
Departementet fastholder forslaget om et bunnfradrag og foreslår at det settes til 70 mill. kroner. Siden det ikke er tilsvarende fradrag i grunnrenterelatert selskapsskatt, vil fradragsbeløpet teknisk nedjusteres med skattesatsen på alminnelig inntekt slik at fradraget skjer mot den effektive grunnrenteskattesatsen på 35 pst. Bunnfradraget kan kun komme til fradrag én gang på konsernnivå slik det er definert i § 19-3. Det er behov for en fordelingsregel når et konsern med flere selskaper, som hver innehar matfisktillatelse, samlet skal ha ett bunnfradrag for konsernet. Departementet foreslår at bunnfradraget i konsernet, jf. § 19-3, fordeles til hvert av selskapene som innehar matfisktillatelse ut fra det enkelte selskapets maksimale tillatte biomasse (MTB).
Bunnfradrag kan bare fradragsføres i positiv grunnrenteinntekt og etter at eventuell fremført negativ grunnrenteinntekt fra tidligere år er utnyttet og negativ og positiv grunnrenteinntekt for konsernselskap eventuelt er samordnet. Ubenyttet bunnfradrag kan ikke fremføres, og ubenyttet bunnfradrag i et selskap kan ikke overføres eller samordnes med grunnrenteinntekt i et annet selskap i konsernet. Rekkefølgen ved fastsettelse av grunnrenteskatt er beskrevet i § 19-4 og illustrert i boks 5.2.
Departementet viser til forslag til skatteloven § 19-8.
Rettslige innvendinger mot bunnfradrag
Sjømatbedriftene viser i sitt høringssvar til en juridisk vurdering gjennomført av SANDS Advokatfirma DA, som skal vise at det foreslåtte bunnfradraget kan være i strid med konstitusjonelle regler og Norges EØS-rettslige forpliktelser. I vurderingen vises det til at bunnfradragsordningen kan være i strid med prinsippet om at skatter skal være «allmenne», med etablerings- og kapitalbevegelsesfriheten i EØS-avtalens hoveddel og Norges folkerettslige forpliktelser etter EØS-avtalen protokoll 9, som inneholder en egen bestemmelse om konkurransevridende statsstøtte, jf. artikkel 4 (1). Kverva AS viser i sitt høringstilsvar til vurderingen Sjømatbedriftene har innhentet fra SANDS Advokatfirma DA.
Advokatforeningen viser til at departementet legger til grunn at bunnfradraget medfører at 65-70 prosent av selskapene unngår grunnrenteskatt. Dersom dette er en korrekt antakelse, mener Advokatforeningen at det må vurderes om forslaget kan anses som en allmenn skatt. Videre viser Advokatforeningen til at dersom et hovedformål med bunnfradraget er å favorisere de mindre, nasjonalt eide aktørene, bør det utredes om bunnfradraget er i strid med EØS-avtalen.
Når det gjelder anførselen om at bunnfradraget er i strid med et prinsipp om at skatter skal være «allmenne», viser departementet til at selv om et mindretall av aktørene i næringen vil bli betalingspliktige for grunnrenteskatten, fører ikke selve utformingen av bunnfradraget til resultater som fremstår «tilfeldige eller vilkårlige», se Justisdepartementets lovavdelings tolkningsuttalelse av 20. mars 2023. Videre vil flere ulike typer foretak, med ulik størrelse, ulik organisering og ulikt eierskap være omfattet av grunnrenteskatten. Grunnrenteskatten vil, også med bunnfradraget, ha bred geografisk spredning langs kysten.
Til spørsmål om statsstøtte viser departementet til at forslaget om grunnrenteskatt gjelder fiskerisektoren, og departementet legger til grunn at EØS-avtalens bestemmelser om forbud mot statstøtte i artikkel 61 nr. 1 ikke kommer til anvendelse. Det følger likevel av EØS-avtalens protokoll 9 artikkel 4 at støtte til fiskerisektoren som vrir konkurransen, skal avskaffes.
I alle tilfelle mener departementet at bunnfradraget ikke er omfattet av EØS-avtalens statsstøttebegrep, ettersom bunnfradraget representerer et progressivt element i grunnrenteskatten samt at det gjelder likt for alle foretak. Som støtte for dette synet vises det til C-596/19P Commission v. Hungary. Saken gjaldt spørsmålet om ungarsk lovgivning, som påla 0 pst. skatt på omsetning under 100 millioner ungarske forinter og 5,3 pst. skatt på omsetning over 100 millioner ungarske forinter, og dermed ga en selektiv fordel til foretak som hadde omsetning under 100 millioner ungarske forinter. EU-domstolen kom til at lovgivningen ikke utgjorde statsstøtte. Domstolen la vekt på at medlemsstaten i utgangspunktet har rett til å utforme sitt eget skatte- og avgiftssystem, herunder progressive skatter som saken gjaldt. Det ble videre lagt avgjørende vekt på at den aktuelle lovgivningen gjaldt likt for alle foretak, og ble konsekvent gjennomført i tråd med lovens formål, som var å skattlegge i tråd med den skattepliktiges evne til å bære skatten.
Ettersom også bunnfradraget har progressive elementer samt gjelder likt for alle foretak og konsekvent gjennomføres i tråd med sitt formål, tilsier likhetstrekkene med C-596/19P Commission v. Hungary at heller ikke det foreslåtte bunnfradraget i grunnrenteskatten for havbruk er statsstøtte. At slike progressivt begrunnede sider ved skattereglene ikke anses som statsstøtte etter artikkel 61, medfører etter departementets oppfatning at de heller ikke kan anses som statsstøtte etter artikkel 4 i protokoll 9.
Når det gjelder forholdet til «de fire friheter», er det reistspørsmål om det foreslåtte bunnfradraget er i strid med retten til fri etablering og fri flyt av kapital, ettersom bunnfradraget i praksis i større grad kommer de mindre, nasjonalt eide foretakene til gode, sammenliknet med de store, helt eller delvis utenlandsk eide foretakene. Departementet legger til grunn at havbruk faller utenfor virkeområdet for bestemmelsene om «de fire friheter», jf. EØS-avtalen artikkel 8. Det er dessuten lite sannsynlig at bunnfradraget ville vært i strid med de fire friheter dersom havbruk hadde vært omfattet av EØS-avtalens regler om fri bevegelse.
I C-75/18 Vodafone tok EU-domstolen stilling til om Ungarns progressive skatteregel på området for telekommunikasjon forskjellsbehandlet selskap som var hjemmehørende i Ungarn med selskap som var hjemmehørende i en annen medlemsstat. Domstolen uttalte at selv om lovgivningen innebar at en større andel skatt ville bæres av utenlandske skattytere, skyldtes dette forhold ved det aktuelle markedet og ikke lovgivningen. På tilsvarende måte er det markedsforhold som medfører at bunnfradraget i grunnrenteskatten for havbruk presumptivt vil kunne føre til at mindre, nasjonalt eide foretak i mindre grad omfattes av grunnrenteskatteplikt enn større, utenlandsk eide foretak. Etter departementets syn innebærer det at bunnfradraget uansett ikke ville vært i strid med de fire friheter i EØS-retten.
5.8 Realisasjon av driftsmiddel og kontinuitetsoverdragelse
Realisasjon av driftsmiddel
I høringsnotatet foreslo departementet at gevinst ved realisasjon av driftsmiddel som benyttes i havbruksvirksomheten, skal inngå i brutto grunnrenteinntekt, likevel med unntak for realisasjon av enkeltstående akvakulturtillatelser. På tilsvarende måte ble det foreslått at tap ved realisasjon av driftsmidler som inngår i havbruksvirksomheten, kan fradragsføres i grunnrenteinntekten.
Skattedirektoratet viser til at det i forslaget kun er vederlag ved realisasjon av driftsmidler som saldoavskrives, som skal inntektsføres som gevinst og inngå i brutto inntekt i grunnrenteskatten. Skattedirektoratet antar at det kan eksistere flere driftsmidler enn merder mv. som har en direkte funksjon i havbruksvirksomheten. Det bør derfor vurderes om skatteplikten bør knyttes til gevinst ved realisasjon av alle driftsmidler som benyttes i grunnrenteskattepliktig havbruksvirksomhet, unntatt akvakulturtillatelser.
Sjømat Norge og Sjømatbedriftene mener det er noen uklarheter i tilknytning til forslaget til skatteloven § 19-6. Dersom det er snakk om realisasjon av driftsmiddel som har vært direkte fradragsført, vil det ikke være noen skattemessig saldoverdi på driftsmiddelet for grunnrenteskatteformål. I et slikt tilfelle vil gevinst/tap være lik vederlaget. Dersom det er snakk om realisasjon av driftsmiddel som saldoavskrives, for eksempel investering før 1. januar 2023, vil det kunne være vesentlig gjenstående skattemessig saldoverdi for det realiserte driftsmiddelet. I et slikt tilfelle vil det ha betydning om det er vederlag eller gevinst som skal inntektsføres (tap som fradragsføres).
BDO Advokater AS viser til at forslaget innebærer at man kan komme i den situasjon at bare deler av de historiske investeringene kommer til fradrag i grunnrenteinntekten, mens hele gevinsten inngår i grunnrenteinntekten. Hvis det kun skal gis fradrag for gjenværende skattemessige avskrivninger på driftsmidler man eier før reglene trer i kraft, er deres vurdering er at det her er behov for regler som sikrer at kun gevinst for den del der investeringsbeløp har kommet til fradrag i grunnrenteinntekt, inngår i grunnrenteinntekten.
Departementet fastholder forslaget om at gevinst ved realisasjon av driftsmiddel som fradragsføres umiddelbart i grunnrenteskatten, jf. punkt 5.7.3 og forslag til § 19-6 første ledd bokstav c, skal føres til inntekt i grunnlaget for grunnrenteskatt. Det samme skal gjelde ved uttak av slike driftsmidler. For disse driftsmidlene vil den skattemessige inngangsverdien være null. Gevinsten som tilsvarer vederlaget, skal inntektsføres fullt ut i realisasjonsåret.
Ved realisasjon og uttak av driftsmidler som skal avskrives også i grunnrenteskatten, foreslår departementet at de alminnelige reglene om inntektsføring i skatteloven kapittel 14 får anvendelse. Det innebærer at skattepliktig kan ta hele eller deler av vederlaget til inntekt i realisasjonsåret. Inngangsverdien ved gevinstberegningen vil være de skattemessige nedskrevne verdiene. For realisasjon av driftsmiddel mv. i saldogruppe a til d skal vederlaget så langt det ikke er inntektsført, nedskrives på saldoen for driftsmiddelet. Ved realisasjon i saldogruppe e til i skal gevinst eller tap føres på gevinst- og tapskontoen, og minst 20 pst. av kontoen inntektsføres årlig og skattlegges som grunnrenteinntekt.
For avskrivbare driftsmidler som benyttes delvis i egen grunnrenteskattepliktig virksomhet og delvis i annen virksomhet, må gevinsten eller tapet fordeles mellom grunnlaget for grunnrenteskatt og alminnelig inntekt i henhold til nytte. Det vises til beskrivelsen av driftsmidler med delvis tilknytning til sjøfasen i punkt 5.7.3 og fordeling av fradrag ved virksomhet innenfor og utenfor virkeområdet i punkt 5.7.4. I hvor stor grad driftsmiddelet er brukt innenfor eller utenfor grunnrenteskattepliktig virksomhet, kan endre seg over brukstiden til driftsmiddelet. Etter gjeldende forslag vil fordeling av gevinst eller tap ved realisasjon ta utgangspunkt i bruken av driftsmiddelet det foregående inntektsåret. Det kan stilles spørsmål om fordelingen av gevinst/tap i stedet burde baseres på bruken av driftsmiddelet over hele brukstiden til driftsmiddelet. Departementet vil følge utviklingen og vurdere om det er behov for justeringer på dette punktet.
Som Skattedirektoratet peker på i sin høringsuttalelse, ser departementet at det også kan være driftsmidler i havbruksvirksomheten som ikke saldoavskrives, men som bør være omfattet av bestemmelsen om realisasjon av driftsmiddel. Departementet vil derfor presisere at forslaget til § 19-5 og § 19-6 får anvendelse på samtlige driftsmidler tilknyttet grunnrenteskattepliktig virksomhet. Unntaket er, som foreslått i høringsnotatet, at gevinst eller tap ved realisasjon av enkeltstående akvakulturtillatelser ikke inngår i grunnlaget for grunnrenteskatt, ettersom tillatelsene er opphavet til grunnrenten.
Departementet viser til forslag til skatteloven § 19-5 første ledd bokstav c og § 19-6 første ledd bokstav g.
Kontinuitetsoverdragelse
Eierskifte av havbruksanlegg i form av salg av aksjer eller andeler i eierselskapet kan skje til skattemessig kontinuitet i medhold av de alminnelige reglene i skatteloven kapittel 11, jf. særlig § 11-7. Skatteposisjonene videreføres i havbruksselskapet, og de underliggende verdiene i havbruksselskapet blir ikke påvirket.
Av hensyn til likebehandling, og for å unngå uheldige tilpasninger, foreslår departementet at overdragelse av aksjer og andeler fortsatt behandles etter de alminnelige skattereglene, også når selskapet driver grunnrenteskattepliktig virksomhet. Det vil si at de skattemessige posisjonene på selskapets innmat (merder, tillatelser mv.) videreføres hos overtakende selskap ved overdragelsen. Siden transaksjonen ikke endrer de skattemessige verdiene i det overdratte selskapet, vil grunnrenten uansett komme til beskatning over tid.
Ved eierskifte av havbruksanlegg i form av samlet salg av anlegget, vil det normalt skje et skattemessig oppgjør, og gevinst eller tap vil inngå i overdragerens grunnrenteinntekt for inntektsåret. I høringsnotatet ble eierskifte av havbruksanlegg med samlet overdragelse av eiendelene foreslått å kunne overdras med skattemessig kontinuitet. Dette av hensyn til likebehandling med overdragelser av aksjer og selskapsandeler, og for å unngå uheldige tilpasninger.
Forslaget svarer til gjeldende unntaksregel i vannkraftbeskatningen. I skatteloven § 9-3 syvende ledd er det åpnet for at samlet realisasjon av særskilte driftsmidler i kraftanlegg og fallrettigheter er unntatt fra skatteplikt. Unntaket innebærer at kraftverk og fallrettighet realiseres uten at det skjer et skattemessig oppgjør når overføringen er samlet, og overtaker viderefører de skattemessige verdiene og ervervstidspunktene for eiendeler, rettigheter og forpliktelser som overføres. Et tilsvarende unntak er foreslått i høringsnotat om grunnrenteskatt på landbasert vindkraft.
Departementet fastholder forslaget om å innføre et tilsvarende unntak ved samlet overdragelse av havbruksvirksomhet. Overdragelse anses for å skje samlet når tillatelse og driftsmidler som kan fradras umiddelbart i grunnrenteskatten, jf. forslag til skatteloven § 19-6 første ledd bokstav c, overføres sammen til én kjøper. Overtaker må videreføre de skattemessige verdiene og ervervstidspunktene for de eiendeler, rettigheter og forpliktelser som overføres. Også fremført negativ grunnrenteinntekt videreføres i det overtakende selskapet. Andre skatteposisjoner som ikke har tilknytning til bestemte eiendeler i havbruksvirksomheten, vil være i behold i det overdragende selskapet. For driftsmidler som er fradragsført direkte etter bestemmelsene om kontantstrømskatt, vil den skattemessige verdien som overtaker skal videreføre, være null.
Problemstillingene om overdragelser gjennomført før forslaget til grunnrenteskatt på havbruk ble kjent, og behandlingen av driftsmidler ved opphør av drift, ble ikke omtalt særskilt i høringsnotatet.
Et havbruksanlegg kan ha blitt omsatt i markedet før forslaget om grunnrenteskatt på havbruksvirksomhet ble kjent. Omsetningsverdien mellom kjøpere i markedet kan reflektere hele eller deler av grunnrenten i havbruksvirksomheten. Fradragsrett for omsetningsverdien ville dermed uthule grunnrenteskatten. Videre kan overdragelser ha blitt gjennomført ved kjøp og salg av aksjer der skattemessige verdier videreføres uendret. Departementet mener på denne bakgrunn at kjøper ikke skal gis fradrag for omsetningsverdien for gjennomførte overdragelser av havbruksanlegg, -virksomhet eller -selskap. For fremtidige omsetninger vil partene ta hensyn til fradragsretten i forhandlinger om overdragelsesprisen.
Departementet viser til forslag til skatteloven § 19-6 første ledd bokstav c og § 19-11, og forslag til endring i skatteloven § 9-3 syvende ledd.
5.9 Underskudd
En kontantstrømskatt er kjennetegnet ved at investeringskostnaden kan trekkes fra umiddelbart. Dersom grunnrenteinntekten blir negativ, kan skatteverdien enten utbetales, eller fremføres med rente, slik departementet har omtalt i Prop. 1 LS (2022–2023) og som foreslått i høringsnotatet. I nåverdi er de to alternativene likeverdige forutsatt riktig fremføringsrente. Utbetaling vil redusere kapitalbehovet til selskaper som ikke er i skatteposisjon. Utbetalingsordninger i skattesystemet er imidlertid sårbare for misbruk i form av uberettigede utbetalingskrav. Dette er blant annet kjent fra den tidligere leterefusjonsordningen i petroleumsskatten (se eksempelvis HR-2020-611-A og HR-2020-2200-A), merverdiavgiftssystemet og Skattefunn-ordningen. En utbetalingsordning fordrer derfor at skattemyndighetene har tilstrekkelig mulighet til forsvarlig kontroll av kostnadene i forkant av utbetaling, slik at det bare er skatteverdien av pådratte, relevante kostnader som utbetales. Slik kontroll må være mulig å gjennomføre i praksis ved at man har tilstrekkelig tid til å innhente og vurdere dokumentasjonen, og det kan heller ikke kreve for store administrative ressurser. I høringsnotatet ble det av disse årsakene foreslått at negativ grunnrenteinntekt fremføres med rente.
Skatteutvalget omtaler også denne problemstillingen i NOU 2022: 20 Et helhetlig skattesystem. Utvalget peker på at en kontantstrømskatt kan være utfordrende sett fra statens side fordi skatteinntekter kommer sent, og skatteinntekten varierer med årlig investeringsnivå. Utbetalinger i investeringsfasen kan øke faren for misbruk. Spesielt gjør dette seg gjeldende dersom negativt skattegrunnlag utbetales. Slike utfordringer kan imidlertid også oppstå ved periodiserte investeringsfradrag med refusjonsordninger. Faren er større under en kontantstrømskatt fordi den umiddelbare fradragsretten for investeringer typisk leder til større kontantutbetalinger på et tidligere tidspunkt enn ved periodiserte fradrag.
Flere høringsinstanser har argumentert for at negativ grunnrenteinntekt må utbetales, blant annet Sjømat Norge, Sjømatbedriftene, LO, Salaks AS, Cermaq Norway AS, Nova Sea ASGrieg Seafoods ASA og Stiim Aqua Cluster. Sjømat Norge ogSjømatbedriftene viser til at det for havbruksselskapene vil kunne være meget stor forskjell mellom å få utbetalt skatteverdien av negativ grunnrenteinntekt og fremføring av negativ grunnrenteinntekt med en rente. Sjømat Norge peker på at så lenge fradragene ikke gis umiddelbart, men heller fremføres med ukjent rente som med periodiserte fradrag, blir det misvisende å omtale skatteforslaget som en kontantstrømskatt.
Kverva AS viser til at dersom grunnrenteskatten skal innføres, unngår man bare vridende effekter ved å utbetale skatteverdien av negativ skatt, på samme måte og med samme begrunnelse som man i et periodisert overskuddsskattesystem kompenserer med en friinntekt.
SalMar ASA mener underskudd i særskattegrunnlaget må refunderes årlig, som for petroleum og vannkraft, og med en pantsettelsesadgang for slike refusjonskrav, som i petroleumsnæringen. Behovet for pantsettelsesadgang forsterkes ved at grunnrenteskatten sterkt vil redusere de viktigste panteverdiene i næringen, produksjonstillatelsene.
Advokatfirmaet Schjødt AS viser til at forslaget vil dempe selskapenes evne til å gjennomføre investeringer. Departementets forslag innebærer ikke noe direkte bidrag til å skaffe slik finansiering. Dette kunne stilt seg annerledes hvis statens «investeringsbidrag» hadde blitt utbetalt kontant. Da kunne refusjonskravet blitt pantsatt som sikkerhet for en mellomfinansiering, slik det har vært for leteaktivitet i petroleumsnæringen.
Pareto Securities AS viser til at det for nystartede selskaper vil være en vesentlig forskjell om grunnrenteskatten blir innført slik som det er foreslått i høringsnotatet, eller om negativ grunnrenteinntekt utbetales. De negative konsekvensene vil i hovedsak påvirke investeringer i nye teknologier, da disse er drevet i stor grad av nystartede og mindre selskaper. Noen av de negative konsekvensene ved forslaget kan løses ved at man gjør som i oljebransjen og betaler ut negativ grunnrenteinntekt.
Departementet viser til at en utbetalingsordning ikke er tilpasset en løsning hvor mindre aktører skjermes gjennom et stort bunnfradrag. For selskaper som har en årlig grunnrente under bunnfradraget, ville en utbetalingsordning gitt et provenytap. I perioder med underskudd, for eksempel i en investeringsfase, ville selskapene fått utbetalt skatteverdien av underskuddet, mens overskuddet i senere år ville blitt skjermet fra grunnrenteskatt av bunnfradraget. For disse selskapene ville utbetalingsordning fungert som en subsidie, og grunnrenteskatten ville ikke være nøytral. I en modell med fremføring av underskudd med rente, må selskapene først trekke fra tidligere inntektsårs negative grunnrenteinntekt før de kan utnytte bunnfradraget.
Departementet er videre enig med Skatteutvalget i at en kontantstrømskatt med store investeringsfradrag i en tidlig fase vil være sårbar for tilpasninger. Behovet for å vurdere særskatteregimet opp mot eventuelle tilpasninger gjennom internprising av for eksempel settefisk (smolt) og tjenesteleveranser (brønnbåter mv.) ville blitt forsterket. Departementet viser også til at grunnrenteskatten på vannkraft ble innført i 1997, mens utbetalingsordningen for negativ grunnrenteinntekt først kom på plass fra inntektsåret 2007. Også i petroleumsskatten fra 1975 måtte underskudd fremføres, før det ble innført leterefusjon i 2007 og en generell underskuddsrefusjon fra 2022.
En eventuell utbetalingsordning måtte baseres på skattepliktiges egen skattefastsetting, mens kontroll ofte ville vært praktisk mulig først på et senere tidspunkt. Ved innføringen av et nytt skatteregime vil nødvendigvis selskapene og skattemyndighetene i enkelte konkrete tilfeller måtte avklare hvordan regelverket skal praktiseres, noe som øker sannsynligheten for endringssaker. Med en utbetalingsordning ville det dermed særlig i startfasen være økt risiko for feilaktige utbetalinger, som i seg selv innebærer en risiko for manglende tilbakebetaling til staten.
Departementet understreker at selskapene med fremføring av underskudd med rente vil ha sikkerhet for verdiene av fradragene. Videre vil skatteverdien av negativ grunnrenteinntekt utbetales dersom selskapet opphører med grunnrenteskattepliktig virksomhet. Fremføring av underskudd med rentetillegg er da likeverdig med en utbetalingsordning i nåverdi. På bakgrunn av at det vil være krevende å kombinere utbetaling av årlig negativ grunnrente med et bunnfradrag, og at en utbetalingsordning særlig i en tidlig fase kan være sårbar for tilpasninger, fastholder departementet at negativ grunnrenteinntekt fremføres med rente. Negativ grunnrenteinntekt vil komme til fradrag i positiv beregnet grunnrenteinntekt senere år.
I høringsnotatet foreslo departementet at fremføringsadgangen utformes med en rente som fastsettes årlig av Finansdepartementet i forskrift. Ettersom skattyter har sikkerhet for verdiene av underskudd, foreslo departementet at renten for fremføring av underskudd baseres på en risikofri rente. Videre ble det vist til at underskuddet må utnyttes løpende og at underskudd fra tidligere år fremføres før underskudd fra senere år. Det ble foreslått at negativ grunnrenteinntekt og negativ grunnrenteinntekt til fremføring må utnyttes og fremføres før det gis fradrag for bunnfradrag.
Departementet fastholder vurderingene i høringsforslaget. Fremføringsadgangen utformes med en risikofri rente etter alminnelig inntektsskatt, fastsatt årlig av Finansdepartementet i forskrift. Det er en forutsetning at underskudd utnyttes løpende, og at underskudd fra tidligere år fremføres før underskudd fra senere år.
Negativ grunnrenteinntekt og negativ grunnrenteinntekt til fremføring må utnyttes og fremføres før det gis fradrag for bunnfradrag etter § 19-8. Bunnfradrag føres mot positiv grunnrenteinntekt det enkelte inntektsår og kan ikke skape negativ grunnrenteinntekt. Ubenyttet bunnfradrag kan ikke fremføres.
Departementet åpner for samordning av grunnrenteinntekt for aksjeselskap og likestilte selskap/sammenslutninger, også over flere inntektsperioder dersom grunnrenteinntekten blir negativ. Dersom et selskap har negativ grunnrenteinntekt etter eventuell fremførbar negativ grunnrenteinntekt fra tidligere år er trukket fra i positiv grunnrenteinntekt, kan selskapet velge å samordne hele eller deler av negativ grunnrenteinntekt mot positiv grunnrenteinntekt i et annet konsernselskap. Rekkefølgen ved fastsettelse av grunnrenteskatt er beskrevet i § 19-4 og illustrert i boks 5.2.
Underskudd eller tap i andre inntekter enn grunnrenteinntekt fra havbruk kan ikke i noen tilfeller trekkes fra i positiv grunnrenteinntekt. Det kan heller ikke ytes konsernbidrag på tvers av skatteregimene.
For at selskapene skal ha sikkerhet for full verdi av fradragene foreslår departementet at skatteverdien av eventuell negativ grunnrenteinntekt utbetales dersom en skattyter opphører med grunnrenteskattepliktig virksomhet. Departementet vil vurdere hvordan et opphørskrav skal kunne pantsettes.
Departementet viser til forslag til skatteloven § 19-7 om samordning og fremføring av negativ grunnrenteinntekt, § 19-10 om behandling av underskudd eller tap i andre inntektskilder, og § 19-11 bokstav c om opphørsrefusjon.
5.10 Fradrag i fastsatt skatt
Departementet foreslo i høringsnotatet at produksjonsavgiften består, men at den kan trekkes fra krone for krone mot fastsatt grunnrenteskatt. En produksjonsavgift som kan trekkes fra i grunnrenteskatten, blir normalt ingen ytterligere belastning for oppdrettere som betaler grunnrenteskatt, men en mekanisme for å tildele kommunene en del av grunnrenteskatten. Det ble foreslått at produksjonsavgiften ikke kan kreves fradratt i alminnelig inntekt.
Flere høringsinstanser, blant andre Advokatforeningen og Statistisk sentralbyrå (SSB) og Lerøy Seafood Group ASA har påpekt at dette ikke blir tilfellet for mindre aktører hvor bunnfradraget overgår fastsatt grunnrenteskatt. SSB viser til at produksjonsavgiften for disse selskapene vil virke vridende, noe som vil kunne vil påvirke disse selskapenes beslutninger.
Sjømatbedriftene mener primært at produksjonsavgiften må avskaffes. Sekundært bør den kunne trekkes fra krone mot krone mot fastsatt grunnrenteskatt. Videre bør den gis fradrag for produksjonsavgiften i alminnelig inntekt, ved beregning av ordinær selskapsskatt.
Osland Havbruk AS, Havbrukerne i Astafjord (HiA-gruppen) og Nova Sea AS mener produksjonsavgiften bør komme til fradrag i den ordinære selskapsskatten. Detvises til at noe annet i realiteten innebærer en skatteskjerpelse, spesielt for de minste selskapene som ikke betaler grunnrenteskatt.
Departementet påpeker at formålet med produksjonsavgiften er at vertskommunene og -fylkeskommunene skal få en stabil, årlig inntekt fra havbruksvirksomheten. Departementet fastholder derfor at samtlige tillatelsesinnehavere må betale produksjonsavgift, uavhengig av om grunnrenteskatt blir fastsatt i det enkelte inntektsår eller ikke. Det er ikke grunn til å anta at mindre aktører har lavere avkastning enn større aktører, og bunnfradraget vil skjerme mindre aktører fra grunnrenteskatt.
Boks 5.2 Illustrasjon av rekkefølge ved beregning av grunnrenteskatt
Tabell 5.2 illustrerer skatteberegningen for et konsern etter skatteloven § 10-4 med grunnrenteskattepliktig virksomhet i tre selskaper. Rekkefølgen på skrittene ved beregning av grunnrenteinntekt, fastsatt grunnrenteskatt og fratrekk for produksjonsavgift fremgår av forslaget til § 19-4 og de enkelte bestemmelser. Først beregnes nettoinntekt for hvert selskap basert på selskapets bruttoinntekt etter § 19-5, fradragsberettigede kostnader etter § 19-6 og eventuell fremført negativ grunnrenteinntekt fra tidligere år, jf. § 19-7 annet ledd. Selskap A og B har i illustrasjonen da en positiv nettoinntekt før samordning, mens selskap C har negativ nettoinntekt.
Konsernet kan velge å samordne inntil hele den negative nettoinntekten i selskap C med positiv grunnrenteinntekt i et annet konsernselskap, jf. § 19-7 første ledd. Det vil ikke være mulig å samordne inntekt til selskap B fordi dette selskapet har postitiv nettoinntekt før samordning. For å kunne utnytte bunnfradrag og fratrekk for produksjonsavgift i selskap A, er det i eksemplet valgt å samordne negativ nettoinntekt på 14 i selskap C med positiv nettoinntekt i selskap A. Det er valgt å ikke samordne inntekt fra selskap B da en heller vil benytte inntekten mot bunnfradrag i selskap B. Dette gir det beste samlede resultatet i selskapet over tid, siden gjenstående negativ grunnrenteinntekt i selskap C kan fremføres med rente til fradrag i positiv grunnrenteinntekt senere år.
Bunnfradraget fordeles på konsernselskapene ut fra maksimal tillatt biomasse, jf. § 19-8. Siden ubenyttet bunnfradrag i et selskap ikke kan samordnes med andre konsernselskap, vil bare deler av bunnfradraget i selskap B kunne benyttes. Selskap C har ikke tilstrekkelig nettoinntekt til å utnytte bunnfradraget dette inntektsåret. Ubenyttet bunnfradrag i selskap B og C kan heller ikke fremføres til fradrag i senere inntektsår.
Selskap A beholder da så mye av skattegrunnlaget etter samordning at både bunnfradraget på 35 kan benyttes, og selskapet får tilstrekkelig fastsatt grunnrenteskatt til at samlet produksjonsavgift for konsernet på 5 kan trekkes fra krone for krone i fastsatt grunnrenteskatt for selskap A, jf. § 19-9. I eksemplet vil da ingen av selskapene betale grunnrenteskatt dette inntektsåret. Selskap C får en negativ grunnrenteinntekt på 11 som kan fremføres med rente og benyttes mot positiv grunnrenteinntekt i senere år, jf. § 19-7, annet ledd.
Tabell 5.2 Illustrasjon av rekkefølge og konsernsamordning
Konsernselskap | A | B | C |
|---|---|---|---|
Bruttoinntekt | 150 | 40 | 30 |
Kostnader | -90 | -35 | -25 |
Fremført negativ grunnrenteinntekt fra tidligere år | -30 | ||
Nettoinntekt før samording | 60 | 5 | -25 |
Samordning av negativ nettoinntekt | -14 | 14 | |
Bunnfradrag som kan benyttes1 | -35 | -5 | 0 |
Skattbar grunnrenteinntekt | 11 | 0 | -11 |
Fastsatt grunnrenteskatt (44,9 pst.) | 5 | 0 | 0 |
Fratrekk for produksjonsavgift2 | -5 | ||
Grunnrenteskatt etter fratrekk for produksjonsavgift | 0 | 0 | 0 |
Fremføring av negativ grunnrenteinntekt3 | 11 |
1 Konsernet får et samlet bunnfradrag på 70*(1-0,22)=55 som fordeles på selskapene etter MTB, se punkt 5.7.10. I eksemplet er fordelingen av bunnfradraget etter MTB 35 til selskap A, 10 til selskap B og 10 til selskap C.
2 Selskapene har i eksemplet produksjonsavgift på hhv. 3, 1 og 1. Siden selskap B og C har null i fastsatt grunnrenteskatt, fratrekkes hele produksjonsavgiften krone for krone i grunnnrenteskatt for selskap A, se punkt 5.10.
3 Negativ grunnrenteinntekt foreslås fremført med rente, se punkt 5.8, som i illustrasjonen er 2,8 pst.
Produksjonsavgiften er en særavgift som etter ordinære regler kunne trekkes fra i alminnelig inntekt. Departementet fastholder forslaget i høringsnotatet om at produksjonsavgiften ikke kan kreves fradratt i alminnelig inntekt, men at den heller kan trekkes fra krone for krone i fastsatt grunnrenteskatt. Det foreslås også at eventuell ubenyttet produksjonsavgift til fratrekk i fastsatt grunnrenteinntekt i et selskap i et konsern kan komme til fratrekk i fastsatt grunnrenteskatt i et annet selskap i konsernet, jf. skatteloven § 10-4. For selskaper og konsern som betaler grunnrenteskatt, betyr det at produksjonsavgiften ikke lenger vil være en belastning, men en mekanisme for å tildele kommunene en fast del av grunnrenteskatten. For konserner, jf. skatteloven § 10-4, der grunnrenteskattepliktig havbruksvirksomhet er delt mellom flere selskaper, foreslås det at ubenyttet fratrekk for produksjonsavgift i et selskap kan trekkes fra i fastsatt grunnrenteskatt i et annet konsernselskap.
Særlig om fremføring av ubenyttet fratrekk for produksjonsavgift
I høringsnotatet var det lagt opp til at betalt naturressursskatt og produksjonsavgift skulle kunne fremføres og komme til fratrekk krone for krone mot fremtidig fastsatt grunnrenteskatt.
Departementet har vurdert dette på nytt etter at naturressursskatten er tatt ut av forslaget, se punkt 6.1. Å opprettholde en fremføringsadgang for betalt produksjonsavgift som ikke er trukket fra i fastsatt grunnrenteskatt, ville bety at selskap som ikke har grunnrenteinntekt over bunnfradraget kunne bygge opp en saldo med fremført produksjonsavgift, inklusiv rentetillegg. Det fremførte beløpet vil i så fall kunne trekkes fra dersom selskapet i fremtiden skulle få fastsatt grunnrenteinntekt over bunnfradraget.
Departementet anser det uheldig at produksjonsavgift til fremføring mot fremtidig grunnrenteskatt skal kunne bygge seg opp uten begrensninger. En slik skatteposisjon vil bare ha verdi om selskapet i fremtiden enten får fastsatt grunnrenteskatt, eller for eksempel inngår i fusjon med annet grunnrenteskattepliktig selskap. Departementet foreslår derfor at fradrag for produksjonsavgift bare kan fradragsføres i årets fastsatte grunnrenteskatt, det vil si uten fremføringsadgang. Dette vil fjerne mulighetene for overdragelse av denne skatteposisjonen og forhindre oppbygging av betydelige posisjoner av ubenyttet fratrekk for fremført produksjonsavgift.
Departementet viser til forslag til skatteloven § 19-9.