1 Statistikk over lønns- og arbeidsvilkår
1.1 Innledning
For å undersøke nærmere lønns- og arbeidsvilkår i de ulike næringene har utvalget bestilt statistikk fra SSB og Statens arbeidsmiljøinstitutt som presenteres i dette vedlegget.
Dette vedlegget er delt opp i velferdstjenesteområdene; spesialisthelsetjenesten, kommunale helse- og omsorgstjenester, barnevern, barnehager, undervisning, arbeidsmarkedstiltak og asylmottak. Statistikken er delvis framstilt i figurer for at det skal være lettere å lese.
Innenfor hvert hoved-velferdstjenesteområde er områdene delt opp i mindre grupper. For eksempel er undervisning delt opp i undergruppene grunnskoleundervisning, videregående skoleundervisning, fagskole og to samlegrupper, henholdsvis annen undervisning 1 og annen undervisning 2. Det er under hvert delkapittel beskrevet hvilke næringer (basert på SSBs NACE-koder) som hører til i hver undergruppe.
For hvert velferdstjenesteområde presenteres antall arbeidsforhold, alderssammensetning, utdanning, lønn, andel med fastlønte, stillingsprosent og sykefravær for hhv. offentlige, ideelle og kommersielle virksomheter. I tillegg presenteres også arbeidshelse- og arbeidsmiljøindikatorer for de fleste av velferdstjenesteområdene, men her er det kun skilt mellom offentlig og privat sektor. Se nærmere beskrivelse av disse indikatorene i boks 1.1.
Vi gjør videre oppmerksom på at statistikken som presenteres her ikke omfatter selvstendig næringsdrivende. Dette fordi SSB per i dag ikke har god nok statistikk for selvstendig næringsdrivende for såpass detaljerte næringer som utvalget ønsker. Se allikevel i kapittel 18 hvor data for antall selvstendige næringsdrivende uten fast forretningssted er presentert.
Det er heller ikke skilt ut i statistikken de virksomheter som ikke mottar offentlig finansiering. For eksempel innenfor spesialisthelsetjenesten er det flere store aktører som ikke mottar noe offentlig støtte.1
Boks 1.1 Definisjoner av de ulike statistikkindikatorene
Arbeidsforhold: For de fleste områdene i rapporten har utvalget valgt å benytte antall arbeidsforhold (antall jobber) framfor antall lønnstakere. Generelt er det noe flere antall arbeidsforhold enn lønnstakere siden noen ansatte kan ha flere enn ett arbeidsforhold. Ifølge lønnstakerstatistikken i SSB er det næringen «Undervisning» 14 prosent flere arbeidsforhold enn lønnstakere, mens det i «Helse- og sosialtjenester» er 18 prosent flere. I gjennomsnitt for hele landet» er det 11 prosent flere arbeidsforhold enn lønnstakere. Flere arbeidsforhold innen samme virksomhet vil imidlertid summeres opp til ett arbeidsforhold. Der hvor det i teksten er nevnt ansatte, vil dette bety arbeidsforhold.
Mange jobber også deltid. Dette betyr at antall årsverk kan være en del lavere enn både antall arbeidsforhold og antall lønnstakere i næringer med mye deltid. Antall årsverk er ikke med i denne statistikken med unntak av at lønnen som presenteres her er lønn per fulltidsårsverk.
Alder: Alder er delt inn i fem aldersgrupper. Disse er følgende: 15–24 år, 25–29 år, 30–44 år, 45–61 år og 62–74 år.
Utdanning: Utdanningsnivå er definert lik folks høyeste registrerte utdanning i SSBs utdanningsdatabase. For rundt 2,5 prosent av arbeidsforholdene er utdanningen til personen uoppgitt. Dette vil i all hovedsak gjelde innvandrere som ikke har tatt utdanning i Norge. Utdanning er i dette kapitlet delt inn i fem utdanningsnivåer og gjelder for høyeste fullførte utdanning. Disse fem er: grunnskole (nivå 1–2), videregående skole (nivå 3–5), universitets- og høgskoleutdanning, lavere nivå (nivå 6), universitets- og høgskoleutdanning, høyere nivå (nivå 7–8) og uoppgitt utdanning. For enkelthets skyld er universitets- og høgskoleutdanning, lavere nivå benevnt som bachelor i figurene, mens universitets- og høgskoleutdanning, høyere nivå er benevnt som master.
Lønn: Lønn er beregnet ut fra registrert månedslønn (per oktober/november 2018) *12. Registrert månedslønn vil her omfatte avtalt lønn, uregelmessige tillegg og bonus, mens overtidsgodtgjørelser ikke er med. For å få sammenlignbarhet er det tatt hensyn til at en del jobber deltid og lønnen for disse er omregnet til såkalte fulltidsekvivalenter. Dette betyr at lønn som presenteres i de ulike figurene nedenfor er lønn for et fulltids årsverk hvor både deltids- og heltidsansatte er inkludert.
Noen ansatte kan ha lengre arbeidstid per uke/måned/år enn det som normalt følger av arbeidsmiljøloven eller tariffavtaler. Dette kan for eksempel gjelde ansatte som er omfattet av en medleverordning jf. omtale av medleverforskriften i kapittel 8.3.3. Lønnen som presenteres i dette kapitlet tar ikke hensyn til at det kan være ulikt antall timer i en full stilling/et årsverk, men er basert på innrapportert stillingsprosent og avtalte timer per årsverk og dette er igjen omregnet til lønn per fulltidsekvivalent.
Fastlønte/fast ansatte: Det har vært ønske om å se nærmere på hvor mange midlertidig og fast ansatte som er i de ulike velferdstjenestesektorene. Det er imidlertid vanskelig å få god nok detaljert statistikk på dette området. Arbeidskraftsundersøkelsen (AKU) skiller mellom midlertidige og fast ansatte, men denne undersøkelsen er ikke representativ nok for såpass detaljerte næringer som utvalget ønsker å analysere. Utvalget har derfor valgt å ta utgangspunkt i registerdata fra a-ordningen. I registerdataene har man informasjon om fastlønte og timelønte. Som en grov tilnærming har utvalget på bakgrunn av informasjon fra SSB vurdert at de som er rapportert inn som fastlønte stort sett er fast ansatte, mens de som er rapportert som timelønte i større grad er midlertidig ansatte. SSB opplyser allikevel at timelønte i kommersielle virksomheter i noe større grad kan være fast ansatt enn timelønte i offentlige virksomheter. Dette må man ha i mente når man tolker resultatene.
Stillingsprosenten oppgis her for den arbeidstiden som er avtalt (per arbeidsforhold). Noen jobber mer enn avtalt arbeidstid (mertid), dette er ikke inkludert i disse tallene. Fordi antall timer som svarer til normal heltid i ulike jobber varierer, vil antall timer som ligger bak stillingsprosenten variere mellom de ulike næringene og arbeidsforholdene. Stillingsprosenten i dette kapitlet er delt inn i 1–19 prosent stilling, 20–49 prosent, 50–99 prosent og 100 prosent eller mere.
Sykefraværsprosent: Sykefraværsprosenten måler tapte dagsverk på grunn av egen sykdom i prosent av avtalte dagsverk. Statistikken her gjelder kun legemeldt sykefravær (ikke egenmeldt sykefravær). Det legemeldte sykefraværet var i gjennomsnitt for hele Norge på 5,1 prosent i 4. kvartal 2018.
Arbeidsmiljø- og arbeidshelseindikatorer: Utvalget har mottatt data fra Statens arbeidsmiljøinstitutt (STAMI) om indikatorer for arbeidsmiljø og arbeidshelse. Disse indikatorene er basert på data fra Levekårsundersøkelsen om arbeidsmiljø og arbeidshelse som STAMI gjennomfører hvert tredje år. Tallene som presenteres her er basert på den siste levekårsundersøkelsen som ble gjennomført 2019–2020, men stort sett før nedstengning av Norge som følge av koronasituasjonen. Næringsklassifiseringen fra STAMI presentert i dette vedlegget, er noe annerledes/større enn de næringene utvalget ellers presenterer. For eksempel innenfor barnehager, vil også skolefritidsordningen (SFO) være inkludert. Dette skyldes at det kun er en utvalgsundersøkelse, og det dermed ikke er mulighet til å lage en veldig detaljert statistikk. Det er heller ikke fra STAMI skilt ut ideelle, men disse er i den grad de er med i gruppen private. STAMI gjør også oppmerksom på at utvalget i levekårsundersøkelsen ikke i utgangspunktet er designet for å ha representativitet med hensyn til privat og offentlig sektor. Tallene må derfor tolkes med forsiktighet.1
1 Se nærmere dokumentasjon av undersøkelsen i Dalen, B. H. og Bye, S. L. (2020) Levekårsundersøkelsen om arbeidsmiljø 2019. SSB 2020/26.
1.2 Spesialisthelsetjenesten
Det gjøres oppmerksom på at inndelingen i helsetjenestegrupper i dette kapitlet, som tar utgangspunkt i SSBs bruk av NACE-koder, ikke nødvendigvis er sammenfallende med grupperingene som er brukt for å beskrive kjøp fra private i spesialisthelsetjenesten i kapittel 19 og 20. Som nevnt i innledningen, inkluderer statistikken som presenteres for spesialisthelsetjenesten i dette kapitlet også private aktører som ikke mottar finansiering fra det offentlige.
Det vises også til boks 1.1 for nærmere beskrivelse av de ulike statistikkindikatorene.
Grupper innenfor spesialisthelsetjenesten
Sykehus omfatter sykehustjenester innen alminnelige somatiske sykehus, somatiske spesialsykehus (bl.a. behandling av sykdommer som kreft, lungesykdom og revmatisme) og andre somatiske spesialinstitusjoner.2
Sykehusinstitusjoner omfatter alle døgninstitusjoner innen psykisk helsevern både for barn og voksne, rusmiddelinstitusjoner (avgiftning, avrusing og abstinensbehandling og langtidsbehandling av rusmiddelbrukere) og rehabilitering- og opptreningsinstitusjoner.3
Legetjenester omfatter legetjenester som drives innenfor somatiske poliklinikker og plastisk kirurgi samt spesialiserte legetjenester utenom allmennmedisinske praksiser.4
Psykisk helsevern og rusklinikker omfatter poliklinikker innen psykisk helsevern for barn, unge og voksne samt rusmiddelpoliklinikker.5
I tillegg er det egne grupper for Medisinske laboratorietjenester6og Ambulansetjenester.7
1.2.1 Antall arbeidsforhold i spesialisthelsetjenesten
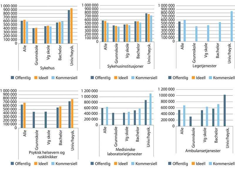
Antall arbeidsforhold (tilnærmet likt antall ansatte) er størst innen sykehus (samlet ca. 90 000 arbeidsforhold). Sykehusinstitusjoner er den nest største gruppen på rundt 35 000 arbeidsforhold.
Innenfor sykehus er nesten 95 prosent offentlige ansatte, ideelle utgjør 5 prosent, mens det er svært få kommersielle. Innenfor sykehusinstitusjonene er 73 prosent offentlig ansatte, 17 prosent ideelle og 10 prosent er kommersielle. Legetjenester er dominert av kommersielle, hvorav 93 prosent av de ansatte jobber i en kommersiell virksomhet.
For psykisk helsevern og rusklinikker er litt over 90 prosent offentlige, mens 9 prosent er ideelle. For medisinske laboratorietjenester er nesten 90 prosent offentlige, mens 11 prosent er kommersielle. For ambulansetjenester er andelen offentlige ansatte litt over 90 prosent, mens 9 prosent er kommersielle.
Oppsummert er omfanget av kommersielle målt i antall arbeidsforhold størst i legetjenester (93 %), etterfulgt av medisinske laboratorietjenester (11 %), og minst i sykehus (1 %). Omfanget av ideelle målt i antall arbeidsforhold er størst i sykehusinstitusjoner og sykehus, og er null eller liten (under 2 %) i de andre sektorene.

Figur 1.1 Arbeidsforhold innen spesialisthelsetjenesten. Antall og prosent. 2018
Kilde: SSB
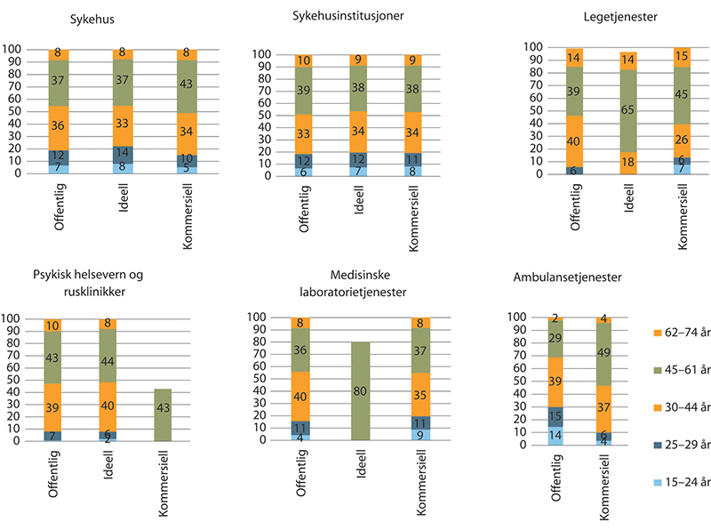
1.2.2 Alderssammensetning i spesialisthelsetjenesten
I figur 1.2 vises alderssammensetningen innenfor de ulike gruppene i spesialisthelsetjenesten. For noen av aldersgruppene presenteres ikke noe tall siden det er for få ansatte til å være representative. Figuren viser at aldersfordelingen innenfor hver gruppe (hhv. offentlig, ideell og kommersiell) stort sett er lik og at nesten halvparten eller fler er 45 år eller eldre.

Figur 1.2 Alderssammensetning innen spesialisthelsetjenesten. Prosentvis fordeling. 2018.
Kilde: SSB
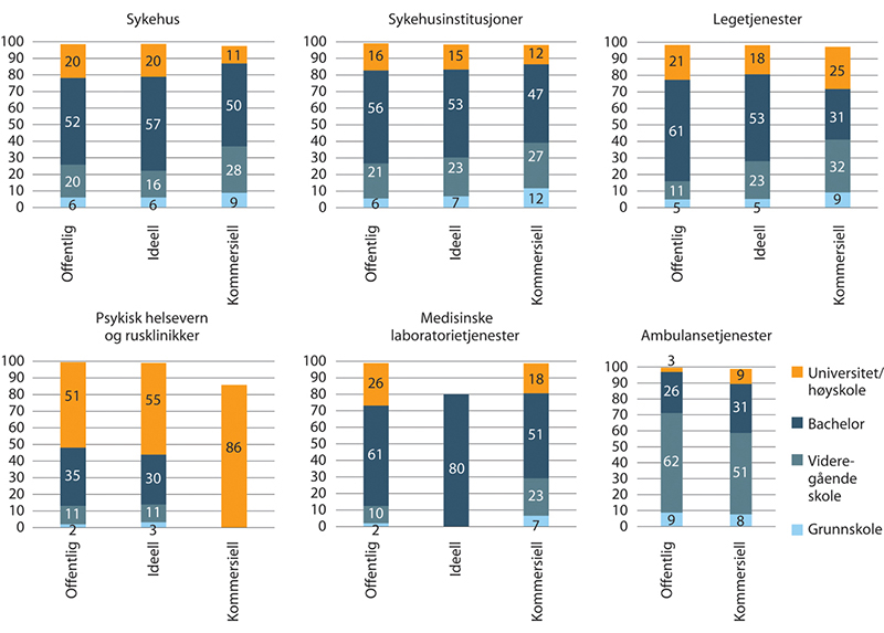
1.2.3 Utdanningsnivå i spesialisthelsetjenesten
I figur 1.3 nedenfor vises fordelingen av antall arbeidsforhold etter utdanningsnivå innenfor de ulike gruppene innen spesialisthelsetjenesten.
Med unntak av ambulansetjenester har alle undergruppene i figuren overvekt av ansatte med høyere utdanning (bachelor eller høyere). Psykisk helsevern og rusklinikker og laboratorietjenester er de gruppene med størst andel ansatte med høyere utdanning.
Innenfor de enkelte undergruppene er det ideelle sykehus som har flest ansatte med enten bachelor eller over. For sykehusinstitusjoner er de offentlige som har flest ansatte med høyere utdanning med litt over 70 prosent. Her skiller de kommersielle seg ut med at kun litt under 60 prosent av de ansatte har høyere utdanning.
Oppsummert viser tallene at kun i ambulansetjenester er andel ansatte med høyere utdanning høyere blant kommersielle sammenlignet med offentlige og ideelle. I alle de andre tjenestenæringene er andel med høyere utdanning lavest blant kommersielle. Kun i sykehus har ideelle betydelig høyere andel med høyere utdanning enn offentlige virksomheter. Ellers er det de offentlige som skiller seg ut med høyest andel ansatte med høyere utdanning i alle sektorer.

Figur 1.3 Utdanningsnivå innen spesialisthelsetjenesten. 2018. Prosentvis fordeling
Kilde: SSB
1.2.4 Lønn i spesialisthelsetjenesten
Nedenfor i figur 1.4 vises lønn per årsverk totalt og per utdanningsnivå for de ulike undergruppene innen spesialisthelsetjenesten. Lønnen varierer avhengig av hvilken undergruppe man ser på, og også etter utdanningsnivå. Lønnen er gjennomgående høyere dess høyere utdanningsnivå de ansatte har.
Innenfor gruppen sykehus ligger de ansattes lønn i ideelle virksomheter så vidt over de ansattes lønn i offentlige virksomheter både i gjennomsnitt og etter utdanningsnivå.8 For sykehusinstitusjoner er det innenfor de ulike utdanningsnivåene stort sett de offentlige som har høyest lønn og de kommersielle som har lavest. Innenfor psykisk helsevern og rusklinikker har de ideelle virksomhetene gjennomgående høyest lønn, mens for medisinske laboratorietjenester er det de kommersielle som har høyest lønn.

Figur 1.4 Gjennomsnittlig lønn1 per årsverk innen spesialisthelsetjenesten etter utdanningsnivå. 2018
1 Månedslønn*12
Kilde: SSB
1.2.5 Andel fastlønte i spesialisthelsetjenesten
Andel med fastlønte (her oppgitt som andel arbeidsforhold som er fastlønte) varierer noe innenfor de ulike gruppene i spesialisthelsetjenesten jf. figur 1.5. Størst andel fastlønte har vi innen medisinske laboratorietjenester. Gjennomgående er det lavest andel innenfor sykehusinstitusjoner med henholdsvis 79 prosent for offentlige virksomheter, 78 prosent for ideelle og 75 prosent for kommersielle.
Sammenligner vi sektorene har kommersielle virksomheter lavest andel fastlønte innenfor sykehus, sykehusinstitusjoner og legetjenester, mens de har høyest andel innen gruppen psykisk helsevern og rusklinikker og ambulansetjenester. De ideelle har noe lavere andel fastlønte enn det offentlige i alle sektorer utenom medisinske laboratorietjenester, og noe høyere andel enn kommersielle i alle sektorer utenom psykisk helsevern.

Figur 1.5 Andel av arbeidsforholdene som er fastlønte innenfor spesialisthelsetjenesten. 2018
Kilde: SSB
1.2.6 Stillingsprosent i spesialisthelsetjenesten
Figur 1.6 viser fordelingen av ulike stillingsprosenter innenfor spesialisthelsetjenesten per arbeidsforhold. Av figuren ser vi at generelt er andelen arbeidsforhold med heltidsstillinger (100 prosent stilling) lavest innen gruppen sykehusinstitusjoner.
Både innen sykehus, sykehusinstitusjoner, legetjenester og medisinske laboratorietjenester har de offentlige virksomhetene størst andel med heltidsstillinger. De ideelle har nest størst andel og de kommersielle har lavest. Gjennomgående har kommersielle virksomheter lavest andel med heltid med unntak av psykisk helsevern og ambulansetjenester.

Figur 1.6 Fordeling av stillingsprosent (per arbeidsforhold) innen spesialisthelsetjenesten. 2018
Kilde: SSB
1.2.7 Sykefravær innen spesialisthelsetjenesten
Sykefraværet (legemeldt) innenfor spesialisthelsetjenesten varierer fra litt over 4 prosent til nesten 9 prosent jf. figur 1.7.
Høyest sykefravær har kommersielle virksomheter innen sykehus (8,9 prosent). Med unntak av gruppen sykehus har offentlige virksomheter høyest gjennomsnittlig sykefravær innenfor alle de undergruppene i spesialisthelsetjenesten som er nevnt i figuren nedenfor.

Figur 1.7 Sykefraværsprosent innen spesialisthelsetjenesten. 2018
Kilde: SSB
1.2.8 Arbeidsmiljø- og arbeidshelseindikatorer innen sykehustjenester/ lege- og tannklinikker
Nedenfor i tabell 1.1 vises indikatorer over arbeidsmiljø og helse og arbeidsskader for næringen sykehustjenester/lege- og tannklinikker og sammenlignet med alle sysselsatte i Norge.
Når det gjelder arbeidsmiljø rapporterer sysselsatte om høyere forekomst av høye emosjonelle krav, høye krav og lav selvbestemmelse, ubalanse mellom innsats og belønningen og nattarbeid i denne sektoren sammenlignet med alle yrkesaktive i Norge. De opplever også oftere vold og trusler og uønsket seksuell oppmerksomhet. Innad i næringen er forekomsten av arbeidsmiljøindikatorene høyere blant sysselsatte i offentlig enn privat sektor, blant annet er det stor forskjell på hvor mange som arbeider natt og som opplever rollekonflikter, manglende lederstøtte, vold/trusler og uønsket seksuell oppmerksomhet. I privat sektor er det færre som opplever manglende lederstøtte og rollekonflikter sammenlignet med offentlig sektor innad i næringen og sammenlignet med alle sysselsatte.
Når det gjelder indikatorene for helse og arbeidsskader, rapporterer sysselsatte i næringen oftere enn alle sysselsatte at de er psykisk utmattet etter endt arbeid, men det ingen forskjell eller en lavere forekomst av psykiske plager. For privat sektor er forekomsten av arbeidsrelaterte psykiske plager og arbeidsrelaterte ryggplager noe lavere sammenlignet med offentlig sektor innad i næringen og alle sysselsatte.9
Tabell 1.1 Arbeidsmiljø- og arbeidshelseindikatorer (%) for hele yrkesbefolkningen og næringen sykehustjenester, lege- og tannklinikker. 2019–2020.
Andel (%) som oppgir/opplever: | Landet i alt | Offentlig | Privat | |
|---|---|---|---|---|
Arbeidsmiljøindikatorer | Høye emosjonelle krav | 19 % | 44 % | 41 % |
Høye jobbkrav og lav jobbkontroll | 16 % | 35 % | 29 % | |
Ubalanse mellom innsats og belønning | 13 % | 21 % | 12 % | |
Liten grad av selvbestemmelse i jobben | 25 % | 44 % | 35 % | |
Lite støtte, anerkjennelse og rettferdighet fra leder | 10 % | 13 % | 6 % | |
Plaging/erting- minst en gang i måneden | 4 % | 4 % | 3 % | |
Høy grad av motstridendene forventninger | 12 % | 18 % | 5 % | |
Uønsket seksuell oppmerksomhet- minst en gang i måneden | 4 % | 11 % | 4 % | |
Utsatt for vold og/eller trussel | 7 % | 18 % | 7 % | |
Hatt nattarbeid i løpet av de siste 3 månedene | 9 % | 32 % | 8 % | |
Helse og arbeidsskader | Hatt arbeidsskade med fravær | 2 % | 1 % | - |
Nakke-/skuldersmerter – plager som helt eller delvis skyldes jobben | 26 % | 30 % | 29 % | |
Føler seg psykisk utmattet minst en gang i uken | 22 % | 30 % | 28 % | |
Psykiske plager (HSCL-5) | 9 % | 6 % | 7 % | |
Psykiske plager som helt eller delvis skyldes jobben | 11 % | 11 % | 6 % | |
Ryggplager som helt eller delvis skyldes jobben | 16 % | 16 % | 11 % | |
Søvnvansker som helt eller delvis skyldes jobben | 12 % | 17 % | 12 % | |
Antall respondenter | 8627 | 490 | 188 |
Se også fotnote 9.
Kilde: Statens arbeidsmiljøinstitutt (STAMI), Levekårsundersøkelsen om arbeidsmiljø og arbeidshelse 2019–2020.
1.3 Kommunale helse- og omsorgstjenester
Grupper innenfor kommunale helse- og omsorgstjenester
SSB følger ikke den samme inndelingen i grupper av tjenester som helse- og omsorgstjenesteloven av 2011. Fremstillingen nedenfor følger inndelingen SSB bruker. Grupperingen i dette kapitlet skiller seg også fra inndelingen brukt andre steder i denne utredningen.
Det vises også til boks 1.1 for nærmere beskrivelse av de ulike statistikkindikatorene.
Hjemmesykepleie omfatter helse- og pleietjenester gitt over lengre tid til hjemmeboende i eget hjem, omsorgsbolig eller bofellesskap. 10
Andre primære helsetjenester omfatter annen forebyggende helsetjeneste (miljørettet helsevern, opplysningstjeneste, bedriftshelsetjeneste, helse- miljø og sikkerhetstjeneste, psykisk helsearbeid), klinisk psykologtjeneste og andre helsetjenester (selvstendige sykepleiere, kiropraktorer, homøopater, jordmødre, akupunktører, fotterapeuter, psykoterapeuter, ergoterapeuter, aromaterapeuter, soneterapeuter, elektroterapeuter, magnetterapeuter, gestaltterapeuter, naturterapeuter, kinesiologer, optikere og logopeder mv.)11 Flere av yrkesgruppene som er nevnt betegnes som alternativ behandling og er ikke en del av helse- og omsorgstjenesten.12
Pleie og omsorgstjenester i institusjon omfatter somatiske sykehjem og somatiske spesialsykehjem.13
Institusjoner og bofellesskap innen psykiatri og rus omfatter omsorgsinstitusjoner for rusmiddelbrukere og bofellesskap for psykisk utviklingshemmede.14
Institusjoner for eldre og funksjonshemmede o.a. omfatter heldøgns omsorgsinstitusjoner med fast tilknyttet personell hele eller deler av døgnet for eldre og funksjonshemmede. Avlastningsboliger/institusjoner for funksjonshemmede på korttidsopphold og barneboliger med barn/ungdom som er pleietrengende.15
Omsorgsinstitusjoner ellers omfatter omsorgsinstitusjoner som ikke inngår i de andre kategoriene.16
Sosiale tjenester til eldre og funksjonshemmede uten botilbud omfatter hjemmehjelp, dagsentra/aktivitetssentra for eldre og funksjonshemmede (omfatter ofte personer med psykiske lidelser, psykisk/fysisk bevegelseshemmede eller demente) og eldresentre.17
Andre sosiale tjenester omfatter sosialtjenester for rusmiddelbrukere uten botilbud, utekontakt for barn og ungdom samt andre sosialtjenester uten botilbud.18
1.3.1 Antall arbeidsforhold innen kommunale helse- og omsorgstjenester
Antall arbeidsforhold innenfor kommunale helse- og omsorgstjenester er samlet litt over 280 000 og utgjør den største gruppen av ansatte i alle velferdstjenesteområdene. Av figur 1.8 ser vi at det er flest som jobber innenfor gruppene pleie- og omsorgstjenester i institusjon, institusjoner for eldre og funksjonshemmede og sosialtjenester til eldre og funksjonshemmede uten botilbud.
Med unntak av gruppene andre primære helsetjenester og andre sosiale tjenester, er offentlig ansatte i stort flertall. For eksempel innenfor hjemmesykepleie er 98 prosent offentlig ansatte, i institusjoner og bofellesskap innen psykiatri og rus, 95 prosent og institusjoner for eldre og funksjonshemmede 92 prosent.

Figur 1.8 Arbeidsforhold innen kommunale helse- og omsorgstjenester. Antall og prosent. 2018
Kilde: SSB
1.3.2 Alderssammensetning i kommunale helse- og omsorgstjenester
I figur 1.9 vises alderssammensetningen innenfor de ulike gruppene i kommunale helse- og omsorgstjenester. Figuren viser at i private virksomheter er det gjennomgående noe yngre ansatte (under 45 år) og tilsvarende noe færre ansatte over 45 år.
Når det gjelder aldersgruppen 15–29 år, peker ideelle og kommersielle virksomheter innen gruppen «sosiale tjenester til eldre og funksjonshemmede uten botilbud» seg ut med at de har nærmere 40 prosent av de ansatte i denne aldersgruppen. Dette gjelder også for kommersielle virksomheter innenfor andre sosiale tjenester hvor også nærmere 40 prosent av de ansatte er under 30 år.

Figur 1.9 Alderssammensetning innen kommunale helse- og omsorgstjenester. Prosentvis fordeling. 2018.
Kilde: SSB
1.3.3 Utdanningsnivå innen kommunale helse- og omsorgstjenester
Nedenfor i figur 1.10 vises fordelingen av antall arbeidsforhold etter utdanningsnivå for de ulike gruppene innenfor kommunale helse- og omsorgstjenester.
Andelen med høyere/lavere utdanning vil variere avhengig av hva slags type tjeneste det er. For eksempel for gruppene pleie og omsorgstjenester i institusjon, institusjoner for eldre, funksjonshemmede o.a. og sosialtjenester for eldre og funksjonshemmede uten botilbud har rundt 60 prosent av de ansatte videregående skole eller grunnskole som høyeste utdanning, mens det for de andre gruppene er motsatt hvor flertallet av de ansatte har enten bachelor eller høyere.
Ideelle virksomheter innen hjemmesykepleie skiller seg ut med å ha en mye større andel ansatte med høyere utdanning (bachelor eller mer) enn kommersielle og offentlige virksomheter.
Offentlige virksomheter har med unntak av gruppene sosialtjenester for eldre og funksjonshemmede uten botilbud, omsorgsinstitusjoner ellers og andre sosiale tjenester, størst andel med ansatte på videregåendeskole-nivå eller lavere, jf. figur 1.10.

Figur 1.10 Utdanningsnivå innen kommunale helse- og omsorgstjenester. 2018. Prosentvis fordeling.
Kilde: SSB
1.3.4 Lønn i kommunale helse- og omsorgstjenester
Nedenfor i figur 1.11 vises lønn per årsverk og per utdanningsnivå for de ulike tjenestene innen kommunale helse- og omsorgstjenester.
Lønnen varierer avhengig av hvilke gruppe man ser på og også etter utdanningsnivå. Stort sett er lønnen høyere dess høyere utdanningsnivå de ansatte har.
Offentlige ansatte har stort sett høyest lønn innen gruppene hjemmesykepleie, pleie- og omsorgstjenester i institusjon, institusjoner for eldre og funksjonshemmede o.a., omsorgsinstitusjoner ellers og sosialtjenester til eldre og funksjonshemmede uten botilbud.
Ideelle virksomheter skiller seg ut med å ha gjennomgående noe høyere lønninger innen gruppen andre sosiale tjenester.

Figur 1.11 Gjennomsnittlig lønn1 i kroner per årsverk etter utdanningsnivå innen kommunale helse- og omsorgstjenester. 2018
1 Månedslønn*12
Kilde: SSB
1.3.5 Andel fastlønte i kommunale helse- og omsorgstjenester
Andel fastlønte (her oppgitt som andel arbeidsforhold som er fastlønte) varierer noe innenfor ulike grupper i kommunale helse- og omsorgstjenester jf. figur 1.12.
Generelt ligger andelen med fastlønte gjennomgående for alle tre sektorer lavest innen pleie og omsorgstjenester i institusjon. Her varierer andelen fastlønte med rundt 60 prosent.
Ideelle virksomheter skiller seg ut med å ha svært lav andel fastlønte innenfor gruppen sosialtjenester til eldre og funksjonshemmede uten botilbud (10 prosent). Også kommersielle virksomheter har forholdsvis lav andel fastlønte i denne gruppen.
Kommersielle virksomheter har også lav andel fastlønte innen gruppen andre sosiale tjenester (17 prosent).

Figur 1.12 Andel av arbeidsforholdene som er fastlønte innenfor kommunale helse- og omsorgstjenester. Prosent. 2018.
Kilde: SSB
1.3.6 Stillingsprosent i kommunale helse- og omsorgstjenester
Figur 1.13 viser fordelingen av ulike stillingsprosenter innen de ulike gruppene i kommunale helse- og omsorgstjenester per arbeidsforhold. Av figuren ser vi at generelt for alle tre sektorer er andelen heltidsstillinger aller lavest innen gruppen pleie og omsorgstjenester i institusjon (sykehjem). Her er under 25 prosent heltidsstillinger.
Det er varierende innenfor hver enkelt gruppe hvilken sektor som har høyest andel med heltidsstillinger. Offentlig sektor har kun høyest andel heltidsstillinger i gruppen sosialtjenester for eldre og funksjonshemmede uten botilbud (tilbud i hjemmet). Kommersielle virksomheter har høyest andel med heltid innen andre primære helsetjenester, og institusjoner og bofellesskap innen psykiatri og rus.

Figur 1.13 Fordeling av stillingsprosent (per arbeidsforhold) innen kommunale helse- og omsorgstjenester. Prosent. 2018
Kilde: SSB
1.3.7 Sykefravær innen kommunale helse- og omsorgstjenester
Sykefraværet innen primærhelse og omsorg varierer fra litt over 5,5 prosent til rundt 9 prosent jf. figur 1.14. Generelt er det gruppen omsorgsinstitusjoner ellers som har gjennomgående høyest sykefravær (8,5–8,8 prosent).
Innenfor de fleste gruppene er det høyest sykefravær innen offentlig virksomhet. Et unntak er gruppen institusjoner og bofellesskap innen psykiatri og rus hvor de kommersielle virksomhetene har høyest sykefravær (9 prosent).
Kommersielle virksomheter har lavest sykefravær innen gruppene andre primære helsetjenester og hjemmesykepleie. De ideelle virksomhetene har lavest sykefravær innen andre sosiale tjenester, institusjoner for eldre og funksjonshemmede o.a. samt institusjoner og bofellesskap innen psykiatri og rus.

Figur 1.14 Sykefravær innen kommunale helse- og omsorgstjenester. Prosent. 2018
Kilde: SSB
1.3.8 Arbeidsmiljø- og arbeidshelseindikatorer innen sykehjem, pleie- og omsorgsinstitusjoner og hjemmetjeneste
Nedenfor i tabell 1.2 vises indikatorer over arbeidsmiljø og helse og arbeidsskader for næringen «sykehjem, pleie- og omsorgsinstitusjoner og hjemmetjenesten» og sammenlignet med alle sysselsatte i Norge.
Når det gjelder indikatorene for arbeidsmiljø, rapporterer sysselsatte innen denne næringen at de oftere enn alle sysselsatte i Norge opplever høye emosjonelle krav, høye krav og lav selvbestemmelse, ubalanse mellom innsats og belønning og rollekonflikter. De jobber oftere natt og opplever oftere vold og trusler og uønsket seksuell oppmerksomhet.
Innad i næringen er forekomsten av enkelte av arbeidsmiljøindikatorene høyere blant sysselsatte i offentlig enn privat sektor. Dette gjelder i hovedsak manglende lederstøtte, uønsket seksuell oppmerksomhet og vold og trusler. Til gjengjeld er forekomsten av nattarbeid høyere i privat sektor enn i offentlig sektor. I privat sektor er det en lav forekomst av manglende lederstøtte sammenlignet med i offentlig sektor innad i næringen og sammenlignet med alle sysselsatte.
Når det gjelder indikatorene for helse og arbeidsskader rapporterer sysselsatte innen næringen oftere om psykisk utmattelse etter endt arbeidsdag, psykiske plager generelt sett, og rapporterer høyere forekomst av arbeidsrelaterte nakke/skuldersmerter, ryggplager og søvnvansker sammenliknet med alle yrkesaktive. Forekomsten av arbeidsrelaterte nakke-/skulder- og ryggsmerter og søvnvansker er noe lavere i privat sektor sammenlignet med offentlig sektor.
Tabell 1.2 Arbeidsmiljø- og arbeidshelseindikatorer (%) for hele yrkesbefolkningen og næringen sykehjem, pleie- og omsorgsinstitusjoner og hjemmetjeneste. 2019–2020.
Andel (%) som oppgir/opplever: | Landet i alt | Offentlig | Privat | |
|---|---|---|---|---|
Arbeidsmiljøindikatorer | Høye emosjonelle krav | 19 % | 49 % | 50 % |
Høye jobbkrav og lav jobbkontroll | 16 % | 25 % | 21 % | |
Ubalanse mellom innsats og belønning | 13 % | 19 % | 14 % | |
Liten grad av selvbestemmelse i jobben | 25 % | 39 % | 40 % | |
Lite støtte, anerkjennelse og rettferdighet fra leder | 10 % | 14 % | 6 % | |
Plaging/erting- minst en gang i måneden | 4 % | 6 % | - | |
Høy grad av motstridendene forventninger | 12 % | 19 % | 21 % | |
Uønsket seksuell oppmerksomhet- minst en gang i måneden | 4 % | 21 % | 8 % | |
Utsatt for vold og/eller trussel | 7 % | 30 % | 15 % | |
Hatt nattarbeid i løpet av de siste 3 månedene | 9 % | 25 % | 37 % | |
Helse og arbeidsskader | Hatt arbeidsskade med fravær | 2 % | 2 % | - |
Nakke-/skuldersmerter – plager som helt eller delvis skyldes jobben | 26 % | 32 % | 19 % | |
Føler seg psykisk utmattet minst en gang i uken | 22 % | 32 % | 34 % | |
Psykiske plager (HSCL-5) | 9 % | 14 % | 12 % | |
Psykiske plager som helt eller delvis skyldes jobben | 11 % | 13 % | 15 % | |
Ryggplager som helt eller delvis skyldes jobben | 16 % | 27 % | 22 % | |
Søvnvansker som helt eller delvis skyldes jobben | 12 % | 18 % | 11 % | |
Antall respondenter | 8627 | 487 | 59 |
Se også fotnote 9.
Kilde: Statens arbeidsmiljøinstitutt (STAMI), Levekårsundersøkelsen om arbeidsmiljø og arbeidshelse 2020
1.4 Barnevern
For nærmere beskrivelse av de ulike statistikkindikatorene, se boks 1.1.
Grupper innenfor barnevern
Barnevern omfatter offentlige barnevernstjenester og private som tilbyr samme type barnevernstjenester, omfatter også fosterhjem og forsterkede fosterhjem.19
Institusjoner innen barne- og ungdomsvern omfatter alle døgninstitusjoner innen barne- og ungdomsvern (også medleverordninger). Gruppen omfatter for eksempel aktiviteter som utøves hele døgnet med henblikk på å yte sosial bistand til barn og spesielle kategorier av personer med begrenset evne til å klare seg selv, men uten at legebehandling og opptrening er vesentlige elementer. Omfatter også barnehjem for foreldreløse, vanlige barnehjem, hjem for midlertidig hjemløse og mødrehjem.20 Innen offentlige virksomheter er flesteparten av de ansatte i statlige institusjoner.
Familieverntjenester omfatter familieverntjenester21 Innenfor offentlige virksomheter er det flest ansatte innen de statlige virksomhetene.
1.4.1 Antall arbeidsforhold i barnevern
Antall arbeidsforhold innenfor gruppen barnevern er samlet på noe over 23 000 jf. figur 1.15. hvorav gruppen barnevern er den største på rundt 15 000 arbeidsforhold.
Nesten 90 prosent av arbeidsforholdene innenfor barnevern er offentlige ansatte (kommunale og statlige) hvorav det er flest ansatte innen kommunal forvaltning.
Når det gjelder gruppen institusjoner innen barne- og ungdomsvern er ca. halvparten av arbeidsforholdene offentlige, mens det er noen flere kommersielle enn ideelle jf. figur 1.15.
For gruppen familieverntjenester, er også omtrent halvparten offentlige ansatte mens litt under 35 prosent er ideelle.

Figur 1.15 Arbeidsforhold innen barnevern. Antall og prosent. 2018
Kilde: SSB
1.4.2 Alderssammensetning i barnevern
I figur 1.16 vises alderssammensetningen innenfor de ulike gruppene i barnevernet.
For alle tre gruppene skiller kommersielle seg ut med at de har en større andel unge (under 30 år). De kommersielle har også en lavere andel med ansatte over 44 år.
For gruppen barnevern har ideelle virksomheter den største andelen av arbeidstakere over 44 år, mens offentlige virksomheter har størst andel arbeidstakere over 44 år innen gruppene familievern og institusjoner innen barne- og ungdomsvern.

Figur 1.16 Alderssammensetning innen barnevern. Prosentvis fordeling. 2018.
Kilde: SSB
1.4.3 Utdanningsnivå i barnevern
Nedenfor i figur 1.17 vises fordelingen av antall arbeidsforhold etter utdanningsnivå for de ulike gruppene innen barnevern. Størst andel med høyere utdanning (bachelor eller høyere) finner vi innen gruppen familievern.
Innen gruppen barnevern, har ideelle og kommersielle virksomheter litt over 40 prosent ansatte med videregående eller grunnskole som høyeste utdanning, mens det offentlige har rundt 20 prosent.
For gruppen institusjoner innen barne- og ungdomsvern er andelen ansatte med høyere utdanning omtrent lik for offentlige og ideelle virksomheter, mens den er lavere innen kommersielle virksomheter (litt under 60 prosent).

Figur 1.17 Utdanningsnivå innen barnevern. 2018. Prosentvis fordeling.
Kilde: SSB
1.4.4 Lønn i barnevern
Nedenfor i figur 1.18 vises lønn per årsverk og per utdanningsnivå for de ulike gruppene innen barnevern. Lønnen varierer mellom 400 000 og 600 000 kroner og er høyere dess høyere utdanningsnivå.
Innen barnevern har kommersielle litt høyere lønn per utdanningsnivå enn offentlige ansatte. Siden det er flere unge, og flere med kort utdanning i de kommersielle virksomhetene jf. figur 1.16 og figur 1.17 er allikevel det gjennomsnittlige lønnsnivået i kommersielle virksomheter omtrent på samme nivå som i de offentlige virksomhetene.
Innenfor gruppen institusjoner innen barnevern og ungdomsvern, har kommersielle virksomheter gjennomgående lavere lønn på alle utdanningsnivåer enn de offentlige. Dette gjelder også i gjennomsnitt for gruppen. Ideelle virksomheter har for denne gruppen omtrent samme lønn både per utdanningsnivå og i gjennomsnitt totalt som offentlige virksomheter.

Figur 1.18 Gjennomsnittlig lønn1 kroner per årsverk etter utdanningsnivå innen barnevern. 2018
1 Månedslønn *12
Kilde: SSB
1.4.5 Andel fastlønte i barnevern
Andel med fastlønte (her oppgitt som andel arbeidsforhold som er fastlønte) varierer noe innenfor de ulike gruppene innen barnevern jf. figur 1.19.
Offentlige virksomheter har gjennomgående noe større andel med fastlønte enn ideelle og kommersielle. Høyest andel fastlønte er det innenfor familieverntjenester.
Med unntak av familieverntjenester har kommersielle virksomheter en andel fastlønte på litt over 60 prosent.

Figur 1.19 Andel av arbeidsforholdene som er fastlønte innenfor barnevern. 2018.
Kilde: SSB
1.4.6 Stillingsprosent i barnevern
Figur 1.20 viser fordelingen av ulike stillingsprosenter innen de ulike gruppene innen barnevernet per arbeidsforhold. Gruppen familievern har gjennomgående størst andel med heltidsstillinger.
For gruppene barnevern og familievern har de offentlige virksomhetene størst andel med heltid, mens på institusjoner innen barnevern er det kommersielle virksomheter som har størst andel (59 prosent).

Figur 1.20 Fordeling av stillingsprosent (per arbeidsforhold) innen barnevern. 2018
Kilde: SSB
1.4.7 Sykefravær i barnevern
Sykefraværet innen barnevern varierer fra litt under 2,5 prosent til litt over 8,5 prosent. Gjennomgående er det høyest sykefravær for gruppen institusjoner innen barne- og ungdomsvern.
Avhengig av type tjeneste varierer det også hvilken av de tre sektorene som har lavest sykefravær. Innen barnevern og institusjoner innen barne- og ungdomsvern har ideelle lavest (hhv. 5,6 og 6,9 prosent), mens innen familieverntjenester har kommersielle lavest (2,4 prosent).

Figur 1.21 Sykefravær innen barnevern. Prosent. 2018
Kilde: SSB
1.4.8 Arbeidsmiljø- og arbeidshelseindikatorer innen barnevern/sosialkontor
Nedenfor i tabell 1.3 vises indikatorer over arbeidsmiljø og helse og arbeidsskader for næringen barnevern/sosialkontor og sammenlignet med alle sysselsatte i Norge. Når det gjelder indikatorer for arbeidsmiljø, rapporterer de sysselsatte innad i næringen oftere om emosjonelle krav og trusler/vold i jobben sammenliknet med alle yrkesaktive i Norge. Dette gjelder i hovedsak for de som jobber i offentlig sektor. Motsatt opplever de sysselsatte i barnevern/sosialkontor sjeldnere manglende lederstøtte og rapporter mindre mobbing enn alle yrkesaktive sett under ett.
Innenfor næringen er forekomsten av høye krav kombinert med lav grad av kontroll i jobben, lav grad av selvbestemmelse og ubalanse mellom innsats og belønning høyere i offentlig enn i privat sektor. Dette skyldes i hovedsak at for de indikatorene som er vurdert, så rapporterer privat ansatte i næringen om et bedre arbeidsmiljø enn gjennomsnittet for norske yrkesaktive, mens offentlig ansatte ligger på samme nivå som hele yrkesbefolkningen.
En større andel i offentlig sektor enn i privat sektor rapporterer at de føler seg psykisk utmattet etter endt arbeidsdag, men ellers er det få betydelige forskjeller mellom privat og offentlig sektor innad i næringen.
Tabell 1.3 Arbeidsmiljø- og arbeidshelseindikatorer (%) for hele yrkesbefolkningen og næringen barnevern/sosialkontor. 2019–2020.
Andel (%) som oppgir/opplever: | Landet i alt | Offentlig | Privat | |
|---|---|---|---|---|
Arbeidsmiljøindikatorer | Høye emosjonelle krav | 19 % | 46 % | 23 % |
Høye jobbkrav og lav jobbkontroll | 16 % | 17 % | 5 % | |
Ubalanse mellom innsats og belønning | 13 % | 15 % | 7 % | |
Liten grad av selvbestemmelse i jobben | 25 % | 26 % | 14 % | |
Lite støtte, anerkjennelse og rettferdighet fra leder | 10 % | 5 % | 7 % | |
Plaging/erting- minst en gang i måneden | 4 % | - | - | |
Høy grad av motstridendene forventninger | 12 % | 9 % | 11 % | |
Uønsket seksuell oppmerksomhet- minst en gang i måneden | 4 % | - | - | |
Utsatt for vold og/eller trussel | 7 % | 13 % | - | |
Hatt nattarbeid i løpet av de siste 3 månedene | 9 % | 4 % | 5 % | |
Helse og arbeidsskader | Hatt arbeidsskade med fravær | 2 % | - | - |
Nakke-/skuldersmerter – plager som helt eller delvis skyldes jobben | 26 % | 27 % | 22 % | |
Føler seg psykisk utmattet minst en gang i uken | 22 % | 30 % | 22 % | |
Psykiske plager (HSCL-5) | 9 % | 8 % | 12 % | |
Psykiske plager som helt eller delvis skyldes jobben | 11 % | 12 % | 15 % | |
Ryggplager som helt eller delvis skyldes jobben | 16 % | 13 % | 13 % | |
Søvnvansker som helt eller delvis skyldes jobben | 12 % | 12 % | 11 % | |
Antall respondenter | 8627 | 120 | 72 |
Se også fotnote 9.
Kilde: Statens arbeidsmiljøinstitutt (STAMI), Levekårsundersøkelsen om arbeidsmiljø og arbeidshelse 2020
1.5 Barnehager
For nærmere beskrivelse av de ulike statistikkindikatorene, se boks 1.1.
1.5.1 Antall arbeidsforhold i barnehager
Samlet er det nesten 100 000 arbeidsforhold innen barnehager hvorav offentlige virksomheter har litt over halvparten kommersielle virksomheter 42 prosent, mens ideelle virksomheter har 5 prosent.

Figur 1.22 Arbeidsforhold innen barnehager. Antall og prosent. 2018
Kilde: SSB
1.5.2 Alderssammensetning i barnehager
I figur 1.23 vises alderssammensetningen innenfor de ulike gruppene innen barnehager.
Generelt er alderssammensetningen noe yngre i kommersielle barnehager, hvor nesten 30 prosent er under 30 år. Også andelen over 44 år er lavest blant kommersielle.
Offentlige barnehager skiller seg ut med å ha høyest andel ansatte over 44 år (litt over 40 prosent).

Figur 1.23 Alderssammensetning innen barnehager. Prosentvis fordeling. 2018.
Kilde: SSB
1.5.3 Utdanningsnivå i barnehager
Nedenfor i figur 1.24 vises fordelingen av antall arbeidsforhold etter utdanning innen barnehager.
Andelen med grunnskole som høyeste utdanning er omtrent lik i alle de tre sektorene.
Offentlige barnehager har samlet noen flere med enten videregående skole eller grunnskole (55 prosent), mens de ideelle og kommersielle har noe lavere.
Ideelle barnehager har høyest andel med ansatte med bachelor eller høyere (45 prosent).

Figur 1.24 Utdanningsnivå innen barnehager. 2018. Prosentvis fordeling
Kilde: SSB
1.5.4 Lønn i barnehager
Nedenfor i figur 1.25 vises lønn per årsverk og per utdanningsnivå innen barnehager. Et gjennomgående trekk er at lønnen er ganske lik innenfor de ulike sektorene per utdanningsnivå.
Et overraskende resultat er at universitets- og høyskoleutdannede med masterutdanning i gjennomsnitt har lavere lønn enn ansatte med bachelor. En mulig årsaksforklaring her er at disse ikke har utdanning innen barnehagelærerutdanning og at de derfor ikke lønnes like høyt som barnehagelærere.

Figur 1.25 Gjennomsnittlig lønn1 kroner per årsverk etter utdanningsnivå innen barnehager. 2018
1 Månedslønn*12
Kilde: SSB
1.5.5 Andel fastlønte i barnehager
Andel med fastlønte (her oppgitt som andel arbeidsforhold som er fastlønte) varierer mellom 80 til 84 prosent i barnehager jf. figur 1.26.
Lavest andel med fastlønte har ideelle barnehager (80 prosent) og høyest har offentlige barnehager (84 prosent).

Figur 1.26 Andel av arbeidsforholdene som er fastlønte innenfor barnehager. 2018.
Kilde: SSB
1.5.6 Stillingsprosent innen barnehager
Figur 1.27 viser fordelingen av ulike stillingsprosenter i barnehagene per arbeidsforhold.
Offentlige barnehager har størst andel med heltidsstillinger (64 prosent), mens ideelle har lavest. Andelen med små stillingsprosenter (under 20 timer i uka) er også høyest i de ideelle barnehagene.

Figur 1.27 Fordeling av stillingsprosent (per arbeidsforhold) innen barnehager. 2018
Kilde: SSB
1.5.7 Sykefravær i barnehager
Sykefraværet i barnehager varierer fra litt under 8 prosent til nesten 9 prosent.
Sykefraværet i offentlige barnehager er høyest med 8,9 prosent, mens både kommersielle og ideelle har en gjennomsnittlig sykefraværsprosent på 7,8.

Figur 1.28 Sykefravær innen barnehager. Prosent. 2018
Kilde: SSB
1.5.8 Arbeidsmiljø- og arbeidshelseindikatorer innen barnehage/skolefritidsordning (SFO)
Nedenfor i tabell 1.4 vises indikatorer over arbeidsmiljø og helse og arbeidsskader for næringen barnehage/SFO og sammenlignet med alle sysselsatte i Norge.
Når det gjelder arbeidsmiljø, rapporterer sysselsatte i næringen oftere enn alle sysselsatte i Norge om høye emosjonelle krav i arbeidet og en ubalanse mellom innsatsen de legger ned og belønningen de mottar, men rapporterer sjeldnere om uønsket seksuell oppmerksomhet. Offentlig ansatte innenfor næringen er oftere utsatt for vold og trusler enn både alle yrkesaktive og privat ansatte innenfor næringen. Innenfor næringen er forekomsten av de følgende arbeidsmiljøindikatorene høyere i offentlig enn i privat sektor: høye emosjonelle krav, lav selvbestemmelse i jobben, og manglende lederstøtte, men nivået av selvbestemmelse og lederstøtte er på nivå med gjennomsnittet for alle yrkesaktive.
Når det gjelder helse og arbeidsskader, rapporterer de sysselsatte om en høyere forekomst av arbeidsrelaterte ryggplager sammenliknet med alle yrkesaktive. Innenfor næringen er forekomsten av psykiske plager, psykisk utmattelse etter endt arbeidsdag, og arbeidsrelaterte nakke/skulderplager, ryggplager og søvnvansker høyere i offentlig enn i privat sektor.
Tabell 1.4 Arbeidsmiljø- og arbeidshelseindikatorer (%) for hele yrkesbefolkningen og næringen barnehage/SFO. 2019–2020.
Andel (%) som oppgir/opplever: | Landet i alt | Offentlig | Privat | |
|---|---|---|---|---|
Arbeidsmiljøindikatorer | Høye emosjonelle krav | 19 % | 43 % | 31 % |
Høye jobbkrav og lav jobbkontroll | 16 % | 17 % | 15 % | |
Ubalanse mellom innsats og belønning | 13 % | 22 % | 16 % | |
Liten grad av selvbestemmelse i jobben | 25 % | 25 % | 20 % | |
Lite støtte, anerkjennelse og rettferdighet fra leder | 10 % | 11 % | 5 % | |
Plaging/erting- minst en gang i måneden | 4 % | 4 % | 7 % | |
Høy grad av motstridendene forventninger | 12 % | 17 % | 7 % | |
Uønsket seksuell oppmerksomhet- minst en gang i måneden | 4 % | - | - | |
Utsatt for vold og/eller trussel | 7 % | 14 % | 6 % | |
Hatt nattarbeid i løpet av de siste 3 månedene | 9 % | - | - | |
Helse og arbeidsskader | Hatt arbeidsskade med fravær | 2 % | 2 % | - |
Nakke-/skuldersmerter – plager som helt eller delvis skyldes jobben | 26 % | 29 % | 26 % | |
Føler seg psykisk utmattet minst en gang i uken | 22 % | 29 % | 18 % | |
Psykiske plager (HSCL-5) | 9 % | 13 % | 8 % | |
Psykiske plager som helt eller delvis skyldes jobben | 11 % | 11 % | 13 % | |
Ryggplager som helt eller delvis skyldes jobben | 16 % | 23 % | 19 % | |
Søvnvansker som helt eller delvis skyldes jobben | 12 % | 9 % | 5 % | |
Antall respondenter | 8627 | 195 | 115 |
Se også fotnote 9.
Kilde: Statens arbeidsmiljøinstitutt (STAMI), Levekårsundersøkelsen om arbeidsmiljø og arbeidshelse 2020
1.6 Undervisning
For nærmere beskrivelse av de ulike statistikkindikatorene, se boks 1.1.
Grupper innenfor undervisning
Grunnskoleundervisning omfatter ordinær grunnskoleundervisning (1–10 klassetrinn), spesialundervisning for funksjonshemmede (1–10 klassetrinn), kompetansesentra og annen spesialundervisning – tjenester tilknyttet utredning og habilitering av barn og unge med spesielle behov og skolefritidsordninger.22
Videregåendeskoleundervisning omfatter videregående opplæring innen allmennfaglige studieretninger, videregående opplæring innen tekniske og andre yrkesfaglige studieretninger og undervisning ved fagskoler.23
Friskoler omfatter private grunnskoler og videregåendeskoler. Friskolene er ikke nevnt videre som egen gruppe i dette vedlegget. Det vises til kapittel 18 for nærmere beskrivelse av disse.
Annen undervisning 1 omfatter undervisning innen idrett og rekreasjon, kommunal kulturskoleundervisning, undervisning i kunstfag (for enheter som driver med ikke formelt godkjent kompetansegivende undervisning innenfor maling, tegning, musikk, dans og kunsthåndverk), annen undervisning innen kultur, trafikkskoleundervisning mm., folkehøgskoleundervisning, studieforbunds- og frivillige organisasjoners kurs, voksenopplæringssentre, undervisning innen videregående opplæring spesielt tilrettelagt for voksne, timelærervirksomhet (undervisning som gis av personer som tilbyr privat undervisning), undervisning innen religion (undervisning på misjonsskoler og annen undervisning av religiøs art som ikke gis i det offentlige skolesystem) og pedagogisk-psykologisk rådgivingstjeneste (med tjenester knyttet til undervisning).24
Annen undervisning 2: omfatter all undervisning som ikke er nevnt under Annen undervisning 1 og som nivåmessig hører hjemme mellom grunnskole og høyere utdanning. I tillegg omfatter den leirskoler samt konsulenttjenester tilknyttet undervisning og enkeltpersoner som tilbyr undervisning/ forelesning.25
1.6.1 Antall arbeidsforhold i undervisning
Gjennomgående for alle gruppene innen undervisning er offentlig ansatte i flertall.
Antall arbeidsforhold er størst innen grunnskoleundervisning med nesten 120 000 arbeidsforhold. 95 prosent av disse er offentlige, mens fire prosent er ideelle og en prosent er kommersielle.
Innenfor videregåendeskoleundervisning er nesten 90 prosent offentlige, syv prosent er kommersielle og fire prosent er ideelle.
Innenfor fagskoler er nesten 70 prosent offentlige.
Den største andelen av kommersielle ansatte finnes innen gruppen annen undervisning 1 (35 prosent).

Figur 1.29 Arbeidsforhold innen undervisning. Antall og prosent. 2018
Kilde: SSB
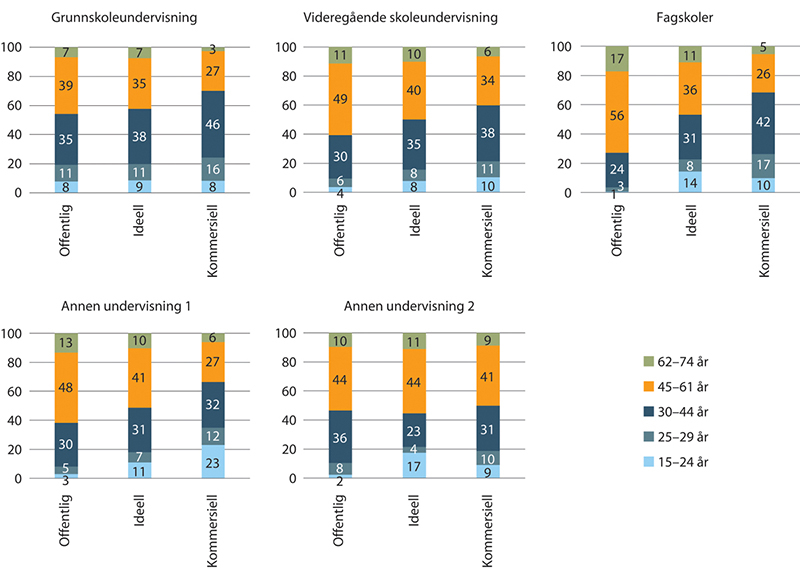
1.6.2 Alderssammensetning i undervisning
I figur 1.30 vises alderssammensetningen innenfor de ulike gruppene i undervisning. Figuren viser at kommersielle virksomheter gjennomgående har et noe yngre personell enn de andre to sektorene. Med unntak av gruppen «annen undervisning 2» er rundt 60 prosent av de ansatte i kommersielle virksomheter 45 år eller yngre.
Med unntak av grunnskoleundervisning har ideelle og kommersielle virksomheter en høyere andel ansatte som er under 30 år.

Figur 1.30 Alderssammensetning innen undervisning. Prosentvis fordeling. 2018
Kilde: SSB
1.6.3 Utdanningsnivå i undervisning
Nedenfor i figur 1.31 vises fordelingen av antall arbeidsforhold etter utdanningsnivå for de ulike gruppene innen undervisning.
Gjennomgående har offentlige virksomheter en større andel ansatte med høyere utdanning enn både de ideelle og kommersielle.
Når det gjelder fagskoler skiller kommersielle virksomheter seg ut med at nesten 60 prosent av de ansatte har enten videregående skole eller grunnskole som høyeste utdanning.

Figur 1.31 Utdanningsnivå innen undervisning. 2018. Prosentvis fordeling
Kilde: SSB
1.6.4 Lønn i undervisning
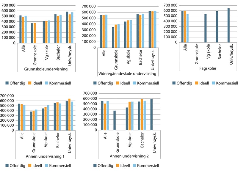
Nedenfor i figur 1.32 vises lønn per årsverk og per utdanningsnivå for de ulike undergruppene innen undervisning. Stort sett er lønnen høyere dess høyere utdanningsnivå de ansatte har.
Innenfor grunnskoleundervisning har offentlige ansatte med bachelorutdanning eller masterutdanning mm. noe høyere lønn enn ansatte innenfor ideelle og kommersielle virksomheter. Kommersielle ansatte har noe høyere lønn enn de ideelle.
For videregåendeskoleundervisning er bildet litt annerledes. Her har kommersielt ansatte den høyeste lønnen målt etter utdanningsnivå, selv om det her er små forskjeller.
Innenfor gruppen annen undervisning 1 skiller de ideelle seg ut med å ha høyest lønn for de med mastergrad eller mer.

Figur 1.32 Gjennomsnittlig lønn1 i kroner per årsverk etter utdanningsnivå innen undervisning. 2018
1 Månedslønn*12
Kilde: SSB
1.6.5 Andel fastlønte i undervisning
Andel med fastlønte (her oppgitt som andel arbeidsforhold som er fastlønte) varierer noe innenfor de ulike gruppene innenfor undervisning jf. figur 1.33.
Det er størst andel fastlønte (fast ansatte) innen grunnskoleundervisning og videregåendeskole undervisning hvor mellom 80 og 90 prosent er fastlønte.
Gjennomgående har offentlig virksomheter høyere andel med fastlønte enn ideelle og kommersielle virksomheter. Høyest andel med fastlønte har offentlig virksomheter innenfor fagskoler (98 prosent).
Med unntak av ansatte i fagskoler har kommersielle virksomheter lavest andel med fastlønte.

Figur 1.33 Andel av arbeidsforholdene som er fastlønte innenfor undervisning. 2018.
Kilde: SSB
1.6.6 Stillingsprosent innen undervisning
Figur 1.34 viser fordelingen av ulike stillingsprosenter innen de ulike gruppene innen undervisning per arbeidsforhold.
Her er det gjennomgående at de offentlige virksomhetene har høyest heltidsandel også innenfor alle undergrupper.
Kommersielle virksomheter har lavest andel med heltid innen grunnskole, videregående skole og gruppen annen undervisning 1.

Figur 1.34 Fordeling av stillingsprosent (per arbeidsforhold) innen undervisning. 2018
Kilde: SSB
1.6.7 Sykefravær i undervisning
Sykefraværet innen undervisning varierer fra 1,5 prosent til nesten 7 prosent.
Offentlige virksomheter har høyest sykefravær innen alle gruppene.

Figur 1.35 Sykefravær innen undervisning. Prosent. 2018
Kilde: SSB
1.6.8 Arbeidsmiljø- og arbeidshelseindikatorer innen undervisning
Nedenfor i tabell 1.5 vises indikatorer over arbeidsmiljø og helse og arbeidsskader for næringen undervisning og sammenlignet med alle sysselsatte i Norge.
For de fleste arbeidsmiljøindikatorene skiller ikke undervisningssektoren seg nevneverdig fra gjennomsnittet for alle yrkesaktive i Norge, men sysselsatte i undervisningssektoren er oftere utsatt for høye emosjonelle krav og trusler/vold. Innenfor næringen skiller sysselsatte i offentlig sektor seg fra privat sektor ved at de rapporterer gjennomgående høyere nivåer av ugunstige arbeidsmiljøforhold. En dobbelt så stor andel opplever høye krav og lav kontroll, lav lederstøtte og motstridende forventninger (rollekonflikter.) Dette skyldes i hovedsak at for de indikatorene som er vurdert i notatet, så rapporterer privat ansatte i næringen om et bedre arbeidsmiljø enn gjennomsnittet for norske yrkesaktive, mens offentlig ansatte ligger på samme nivå som hele yrkesbefolkningen.
Sysselsatte i undervisningssektoren skiller seg ikke nevneverdig fra gjennomsnittet for alle sysselsatte med hensyn til de utvalgte indikatorene relatert til arbeidsrelatert helse, men de rapporterer lavere nivåer av arbeidsrelaterte ryggplager. En større andel rapporterer at de føler seg psykiske utmattet etter endt arbeidsdag i offentlig enn i privat sektor, men ellers er det få betydelige forskjeller mellom sektorene.
Tabell 1.5 Arbeidsmiljø- og arbeidshelseindikatorer (%) for hele yrkesbefolkningen og næringen undervisning. 2019–2020.
Andel (%) som oppgir/opplever: | Landet i alt | Offentlig | Privat | |
|---|---|---|---|---|
Arbeidsmiljøindikatorer | Høye emosjonelle krav | 19 % | 33 % | 21 % |
Høye jobbkrav og lav jobbkontroll | 16 % | 17 % | 8 % | |
Ubalanse mellom innsats og belønning | 13 % | 14 % | 9 % | |
Liten grad av selvbestemmelse i jobben | 25 % | 22 % | 12 % | |
Lite støtte, anerkjennelse og rettferdighet fra leder | 10 % | 11 % | 5 % | |
Plaging/erting- minst en gang i måneden | 4 % | 3 % | - | |
Høy grad av motstridendene forventninger | 12 % | 13 % | 6 % | |
Uønsket seksuell oppmerksomhet- minst en gang i måneden | 4 % | 3 % | - | |
Utsatt for vold og/eller trussel | 7 % | 17 % | 9 % | |
Hatt nattarbeid i løpet av de siste 3 månedene | 9 % | - | 3 % | |
Helse og arbeidsskader | Hatt arbeidsskade med fravær | 2 % | 1 % | 0 % |
Nakke-/skuldersmerter – plager som helt eller delvis skyldes jobben | 26 % | 22 % | 18 % | |
Føler seg psykisk utmattet minst en gang i uken | 22 % | 32 % | 23 % | |
Psykiske plager (HSCL-5) | 9 % | 9 % | 12 % | |
Psykiske plager som helt eller delvis skyldes jobben | 11 % | 13 % | 13 % | |
Ryggplager som helt eller delvis skyldes jobben | 16 % | 10 % | 5 % | |
Søvnvansker som helt eller delvis skyldes jobben | 12 % | 14 % | 12 % | |
Antall respondenter | 8627 | 703 | 116 |
Se også fotnote 9.
Kilde: Statens arbeidsmiljøinstitutt (STAMI), Levekårsundersøkelsen om arbeidsmiljø og arbeidshelse 2020
1.7 Arbeidsmarkedstiltak
For nærmere beskrivelse av de ulike statistikkindikatorene, se boks 1.1.
Grupper innenfor arbeidsmarkedstiltak
Arbeidsmarkedstiltak: Denne gruppen omfatter arbeidsmarkedskurs (AMO-kurs) dvs. alle typer undervisning som tilbys i opplæringstiltaket fra Arbeids- og velferdsetaten og har en varighet på mer enn 300 timer. Denne gruppen inkluderer også arbeidstrening for ordinært arbeidsmarked dvs. virksomheter som driver med arbeidstrening med sikte på overgang til ordinært inntektsgivende arbeid. Eksempel er arbeidsforberedende trening i arbeidsmarkedsbedrifter. I tillegg omfatter også denne gruppen tiltak innenfor varig tilrettelagt arbeid inkludert vekstbedrifter (tidligere kalt arbeidssamvirker).26
Det er svært få arbeidsmarkedstiltak som er drevet innenfor vanlig kommunal/statlig egenregi men mange er aksjeselskaper med kommunal aksjemajoritet. Disse kommunale aksjeselskapene er i hovedsak leverandører som er forhåndsgodkjent til å levere tiltakene varig tilrettelagt arbeid og arbeidsforberedende trening og mottar dermed tilskudd. De forhåndsgodkjente virksomhetene kan imidlertid også delta i anbudskonkurranser for tiltakene opplæring (AMO-kurs), avklaring, oppfølging og arbeidsrettet rehabilitering på linje med andre aktører. Overfor forhåndsgodkjente virksomheter stilles det bl.a. krav om at overskudd skal forbli i virksomheten og at det skal ikke utbetales utbytte. Hvorvidt en virksomhet er ideell eller ikke er avhengig av hvordan begrepet defineres. Basert på registrert sektorkode i Brønnøysundregistrene anses virksomheter som er registrert som kommunale eller statlige aksjeselskap ikke som ideelle organisasjoner. De ideelle er derfor i denne sammenheng en liten gruppe.
Det er derfor i dette delkapitlet delt opp i de tre sektorene kommunale AS, ideelle og kommersielle.
Virksomheter som ikke er registrert med arbeidsmarkedstiltak som hovedaktivitet dekkes ikke av statistikken for arbeidsmarkedstiltak, men kan inngå i tallene for andre sektorer eller falle utenfor. Dette vil blant annet gjelde en del kommersielle leverandører av arbeidsmarkedstiltak.27
1.7.1 Antall arbeidsforhold innen arbeidsmarkedstiltak
Samlet er det litt over 13 000 arbeidsforhold innen arbeidsmarkedstiltak. Nesten 85 prosent av disse arbeidsforholdene er i kommunale AS’ er. Resten er stort sett i kommersielle virksomheter (15 prosent) jf. figur 1.36. Utvalget tar forbehold om at det sannsynligvis er en del arbeidsforhold som ikke er med i denne figuren. Dette gjelder først og fremst arbeidsforhold i kommersielle virksomheter, jf. fotnote 27.

Figur 1.36 Arbeidsforhold innen arbeidsmarkedstiltak. Antall og prosent. 2018
Kilde: SSB
1.7.2 Alderssammensetning innen arbeidsmarkedstiltak
I figur 1.37 vises alderssammensetningen innenfor arbeidsmarkedstiltak.
Innenfor kommunal AS’ er og kommersielle virksomheter er ikke aldersfordelingen så veldig forskjellig. I begge grupper er ca. halvparten av de ansatte (arbeidsforhold) over 44 år. Også andelen med unge under 30 år er noenlunde lik.

Figur 1.37 Alderssammensetning innen arbeidsmarkedstiltak. Prosentvis fordeling. 2018.
Kilde: SSB
1.7.3 Utdanningsnivå innen arbeidsmarkedstiltak
Nedenfor i figur 1.38 vises fordelingen av antall arbeidsforhold etter utdanning innen arbeidsmarkedstiltak. Et gjennomgående trekk er at det er færre som har bachelor eller master innen kommunale AS enn blant ideelle og kommersielle. Det er også flere i de kommunale AS’ ene som har kun grunnskoleutdanning (rundt 40 prosent). Andre kompetansekrav for tiltak som er forbeholdt forhåndsgodkjente leverandører enn anbudsbaserte tiltak hvor kommersielle aktører deltar, kan være en mulig forklaringsfaktor. For eksempel krever målgruppen i tiltaket varig tilrettelagt arbeid (VTA) en annen type kompetanse enn den kompetanse som kreves i andre arbeidsmarkedstiltak.28

Figur 1.38 Utdanningsnivå innen virksomheter som leverer arbeidsmarkedstiltak. 2018. Prosentvis fordeling
Kilde: SSB
1.7.4 Lønn innen arbeidsmarkedstiltak
Nedenfor i figur 1.39 vises lønn per årsverk og per utdanningsnivå for henholdsvis kommunale AS’ er og kommersielle virksomheter (lønn for ideelle er ikke med her siden denne gruppen er for liten til å være representativ).
Ansatte innen kommunale AS’ har noe høyere lønn enn kommersielle på alle utdanningsnivåer med unntak av ansatte med utdanning på videregående skole nivå hvor kommersielle virksomheter ligger litt høyere.
Samlet er allikevel gjennomsnittslønnen for ansatte i henholdsvis kommunale AS’ er og kommersielle virksomheter noenlunde lik. Noe som sannsynligvis kan forklares med at kommunale AS’ er har relativt flere med kun grunnskole som høyeste utdanning.

Figur 1.39 Gjennomsnittlig lønn1 kroner per årsverk etter utdanningsnivå innen arbeidsmarkedstiltak. 2018
1 Månedslønn*12
Kilde: SSB
1.7.5 Andel fastlønte innen arbeidsmarkedstiltak
Andel med fastlønte (her oppgitt som andel arbeidsforhold som er fastlønte) varierer mellom 54 til 71 prosent. Kommunale AS’ er har lavest andel fastlønte, mens kommersielle har høyest (71 prosent). Forskjellen kan muligens ha sammenheng med at det i konkurransegrunnlag for de anbudsutsatte tiltakene avklaring og oppfølging stilles krav om at veiledere skal være ansatt og ikke selvstendig.

Figur 1.40 Andel av arbeidsforholdene som er fastlønte innenfor arbeidsmarkedstiltak. 2018.
Kilde: SSB
1.7.6 Stillingsprosent innen arbeidsmarkedstiltak
Figur 1.41 viser fordelingen av ulike stillingsprosenter i virksomheter med arbeidsmarkedstiltak per arbeidsforhold. Som vi ser av figuren så er det størst andel med heltid blant de kommersielle virksomhetene med nærmere 62 prosent av arbeidsforholdene. Blant de kommunale AS’ene er andelen med heltid på 45 prosent.

Figur 1.41 Fordeling av stillingsprosent (per arbeidsforhold) innen virksomheter som jobber med arbeidsmarkedstiltak. 2018
Kilde: SSB
1.7.7 Sykefravær innen arbeidsmarkedstiltak
Sykefraværet innen arbeidsmarkedstiltak varierer fra rundt 3 prosent til litt over 6 prosent jf. figur 1.42. Sykefraværet er høyest blant kommersielle virksomheter med 6,4 prosent. De kommunale AS’ ene har 5,3 prosent.

Figur 1.42 Sykefravær innen arbeidsmarkedstiltak. Prosent. 2018
Kilde: SSB
Når det gjelder indikatorer innen arbeidsmiljø og arbeidshelse innenfor arbeidsmarkedstiltak, er det pga. for lite representativitet ikke mulig å presentere tall her.
1.8 Asylmottak
For nærmere beskrivelse av de ulike statistikkindikatorene, se boks 1.1.
Grupper innenfor asylmottak
Asylmottak: Omfatter asylmottak og flyktningmottak29
1.8.1 Antall arbeidsforhold innen asylmottak
Samlet er det litt under 1 000 arbeidsforhold innen asylmottak. Halvparten av disse arbeidsforholdene er i kommersielle virksomheter, 45 prosent er i offentlige virksomheter, mens ideelle virksomheter har 5 prosent jf. figur 1.43.

Figur 1.43 Arbeidsforhold innen asylmottak. Antall og prosent. 2018
Kilde: SSB
1.8.2 Alderssammensetning innen asylmottak
Aldersfordelingen innen asylmottak er omtrent lik for alle tre grupper hvor rundt halvparten er over 44 år.

Figur 1.44 Alderssammensetning innen asylmottak. Prosentvis fordeling. 2018.
Kilde: SSB
1.8.3 Utdanningsnivå innen asylmottak
Nedenfor i figur 1.45 vises fordelingen av antall arbeidsforhold etter utdanning innen asylmottak. Andelen med bachelor eller master mm. er størst i offentlige virksomheter med litt over 55 prosent. For kommersielle er andelen med høyere utdanning på rundt 40 prosent.

Figur 1.45 Utdanningsnivå innen asylmottak. 2018. Prosentvis fordeling
Kilde: SSB
1.8.4 Lønn innen asylmottak
Nedenfor i figur 1.46 vises lønn per årsverk og etter utdanningsnivå for de grupper det finnes representative data for innen asylmottak.
Figuren viser at lønnsnivået er noe lavere blant kommersielle virksomheter enn blant offentlige. Dette gjelder både ansatte med bachelorutdanning og i gjennomsnitt for alle arbeidsforhold.

Figur 1.46 Gjennomsnittlig lønn1 kroner per årsverk etter utdanningsnivå innen asylmottak. 2018
1 Månedslønn*12
Kilde: SSB
1.8.5 Andel fastlønte innen asylmottak
Andel fastlønte (her oppgitt som andel arbeidsforhold som er fastlønte) varierer fra 83 til 100 prosent jf. figur 1.47.
Offentlig og kommersielle virksomheter har omtrent lik andel med fastlønte med 83–84 prosent.

Figur 1.47 Andel av arbeidsforholdene som er fastlønte innenfor asylmottak. 2018
Kilde: SSB
1.8.6 Stillingsprosent innen asylmottak
Figur 1.48 viser fordelingen av ulike stillingsprosenter i asylmottak per arbeidsforhold.
Kommersielle virksomheter har lavest andel med fulltidsstillinger med litt over 50 prosent. Ideelle har størst med 100 prosent. I offentlige virksomheter er litt under 60 prosent av arbeidsforholdene fulltidsstillinger.

Figur 1.48 Fordeling av stillingsprosent (per arbeidsforhold) innen asylmottak. 2018
Kilde: SSB
1.8.7 Sykefravær innen asylmottak
Sykefraværet i asylmottak varierer fra 3,9 prosent til 6,7 prosent. Ideelle asylmottak har lavest med 3,9 prosent, mens kommersielle og offentlige har omtrent likt med hhv 6,6 prosent for kommersielle og 6,7 prosent for offentlige.

Figur 1.49 Sykefravær innen asylmottak. Prosent. 2018
Kilde: SSB
Når det gjelder indikatorer innen arbeidsmiljø og arbeidshelse innenfor asylmottak, er det pga. for lite representativitet ikke mulig å presentere tall her.
Fotnoter
Et annet eksempel her er homeopater og akupunktører som i all hovedsak driver virksomhet på ren kommersiell basis. Disse er med i undergruppen «Andre primære helsetjenester» i kapitlet om kommunale helse- og omsorgstjenester.
Sykehus omfatter NACE- kodene: 86.101, 86.102 og 86.103
Sykehusinstitusjoner omfatter NACE-kodene: 86.104, 86.105, 86.106 og 86.107
Legetjenester omfatter NACE- kodene: 86.212, 86.221 og 86.222
Psykisk helsevern og rusklinikker omfatter NACE-kodene: 86.223, 86.224 og 86.225
Medisinske laboratorietjenester omfatter NACE-kode 86.906
Ambulansetjenester omfatter NACE-kode 86.907
Ansatte innen kommersielle sykehus er såpass få at det her ikke finnes gode nok lønnsdata for alle utdanningsnivå.
Prosentvise forskjeller mellom næringen og alle sysselsatte er mer pålitelig enn forskjeller mellom privat og offentlig ansatte innenfor næringen. Både manglende representativitet og relativt få respondenter gjør at forskjeller mellom privat og offentlig sektor må tolkes med forsiktighet. Siden de fleste forskjeller innenfor de omtalte næringene vil være heftet med nokså stor statistisk usikkerhet er det kun pekt på de tydeligste forskjellene, hvor det er mer rimelig å anta at det er en reell forskjell. Likevel er det viktig å være oppmerksom på av selv om prosentvise forskjeller mellom offentlig sektor og privat sektor innenfor næringene kan uttrykke en reell forskjell med hensyn til forekomst av ulike arbeidsmiljøforhold eller helseproblemer, kan vi ikke utelukke at ulik alders- og kjønns-, utdannings-, og yrkessammensetning kan bidra til å forklare hvorfor forekomsten varierer.
Hjemmesykepleie omfatter NACE-koden: 86.901
Omfatter NACE-kodene: 86.904, 86.905 og 86.909
Følgende yrkesgruppene er etter helsepersonelloven § 48 ikke definert som helsepersonell men betegnes som alternative behandlere: Homøopater, akupunktører, psykoterapeuter, aromaterapeuter, soneterapeuter, elektroterapeuter, magnetterapeuter, gestaltterapeuter, naturterapeuter, kinesiologer.
Omfatter NACE-kodene: 87.101 og 87.102
Omfatter NACE- kodene: 87.202 og 87.203
Omfatter NACE-kodene: 87.301, 87.302, 87.303, 87.304 og 87.305
Omfatter NACE-koden: 87.909
Omfatter NACE-kodene: 88.101, 88.102 og 88.103
Omfatter NACE-koden: 88.997
Barnevern omfatter NACE- koden 88.991
Institusjoner innen barne- og ungdomsvern omfatter NACE-koden 87.901
Familieverntjenester omfatter NACE-koden 88.992
Grunnskoleundervisning omfatter NACE-kodene: 85.201, 85.202, 85.203, 88.913
Videregåendeskoleundervisning omfatter NACE-kodene: 85.310, 85.320 og 85.410
Annen undervisning 1 omfatter NACE-kodene: 85.510, 85.521, 85.522, 85.529, 85.530, 85.591, 85.593, 85.594, 85.595, 85.596 og 85.601
Annen undervisning 2 omfatter NACE-kodene: 85.599 og 85.609
Arbeidsmarkedstiltak omfatter NACE-kodene: 85.592, 88.993 og 88.994. Næringskode 88.993: «Arbeidstrening for ordinært arbeidsmarked» dekker arbeidsmarkedstiltakene Oppfølging, Avklaring og Arbeidsrettet rehabilitering. I tillegg dekker dette Arbeidsforberedende trening som ikke foregår i vekstbedrifter. Koden inkluderer også arbeidstrening som eget tiltak gjennomført direkte hos arbeidsgivere i ordinært arbeidsliv uten leverandører, og som derfor faller utenfor utvalgets gjennomgang. Næringskode 88.994: «Varig tilrettelagt arbeid» vil dekke tiltaket Varig tilrettelagt arbeid og tiltaket Arbeidsforberedende treningi de tilfeller det foregår i vekstbedrifter. Næringskode 85.592: «Arbeidsmarkedskurs» (AMO kurs) dekker tiltaket Opplæring.
Tiltaksleverandører som ikke er registrert med nevnte koder som hovedaktivitet dekkes ikke av tallmaterialet for arbeidsmarkedstiltak. Det innebærer at kommersielle tiltaksleverandører registrert med andre NACE-koder ikke fanges opp her, men vil kunne inngå i statistikk for andre sektorer, F.eks er enkelte kommersielle tiltaksleverandører registrert med NACE-kode 85609 eller 85599 (annen undervisning). Enkelte er også registrert med NACE-koder som ikke dekkes i materialet i hele tatt, f.eks. 70220 (bedriftsrådgivning og annen administrativ rådgivning).
I anbudsbaserte tiltak stilles det tydelige kompetansekrav, jf. omtale i kapittel 16 Arbeidsmarkedstiltak. Et lavere utdanningsnivå hos forhåndsgodkjente leverandører samsvarer med resultatene fra FAFO-undersøkelse fra 2008 Se Mandal, Roland (2008). «De har jo uansett uførepensjon. En undersøkelse av arbeidsmarkedstiltaket varig tilrettelagt arbeid» (VTA). FAFO-rapport 2008-42. FAFO. Oslo. Problemstillingen er omtalt på side 66-68 og i konklusjonen på side 102. Denne undersøkelsen viste at mange VTA-arrangører hadde lite attføringsfaglig kompetanse. I enkelte bedrifter var det kun yrkesfaglig kompetanse. Bedriftene la mer vekt på at VTA skulle være som en vanlig arbeidsplass og nedtonet behovet for attføringsfaglig kompetanse («menneskekunnskap er det viktigste»).
Vekt på lang arbeidserfaring og praktisk erfaring hos ordinært ansatte som følger opp VTA-deltakere bekreftes av Geir Møller og Erik Magnussen (2020): Evaluering av forsøk med varig tilrettelagt arbeid i kommunal regi. TF-rapport nr. 552. Side 84. Telemarksforsking. Bø.
Asylmottak omfatter NACE-koden: 88.996