5 Hovedmodeller innenfor selskapsbeskatningen
5.1 Innledning
Ved utformingen av den norske selskapsbeskatningen har det siden 1992 vært lagt stor vekt på nøytralitet og effektiv ressursbruk. Det innebærer at skattesystemet i størst mulig grad bør likebehandle ulike investeringer, finansieringsformer og virksomhetsformer. Hensynet til effektiv ressursbruk tilsier at det skattemessige resultatet bør sammenfalle med faktisk økonomisk resultat og at skattesatsen bør være lav. Etter utvalgets syn bør effektiv ressursbruk fortsatt være et hovedmål for utformingen av selskapsbeskatningen. Økt internasjonalisering gir grunn til å vurdere om dagens utforming av selskapsskatten er robust nok.
Utvalget har i kapittel 4 drøftet hovedutfordringer for selskapsskatten i et internasjonalt perspektiv. Etter utvalgets vurdering kan høye effektive skattesatser i Norge gi et insentiv til å investere i andre land som har lavere skatt. Selv om det er andre faktorer enn skatt som er mer avgjørende for det samlede investeringsnivået, vil skatt også kunne ha betydning for insentivene til å investere. Det er fare for at investeringsnivået blir redusert dersom de effektive skattesatsene over tid er vesentlig høyere enn land som er relativt like på andre områder, blant annet våre nærmeste naboland.
Det er sterke insentiver og vide muligheter til å flytte overskudd til land med lavere skattesatser. Dette kan over tid også gi betydelige utfordringer med å opprettholde inntektene fra selskapsskatten i Norge. Slike tilpasningsmuligheter svekker skattesystemets legitimitet og gir en uheldig konkurransevridning fordi selskap som har mulighet til å foreta slike tilpasninger, favoriseres. Videre mener utvalget det er uheldig at selskapsbeskatningen favoriserer gjeld framfor egenkapital. Gjeldsfavoriseringen kan øke gjeldsgraden i selskapssektoren og gjøre bedriftene mindre solide.
I dette kapitlet vurderer utvalget om hovedtrekkene ved dagens skattesystem bør opprettholdes eller om modellen selskapsbeskatningen bygger på, bør endres for å redusere problemene utvalget har identifisert. I vurderingen legges det vekt på hvordan de ulike skattemodellene:
påvirker kapitalkostnadene og dermed insentivene til å investere i realkapital
løser problemet med forskjellsbehandling av gjeld og egenkapital
bidrar til å redusere insentivene og mulighetene til overskuddsflytting
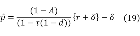
Selskapsskatten virker nøytralt på investeringsbeslutningen dersom den ikke påvirker kapitalkostnadene. Det kan oppnås ved å skjerme investeringenes finansieringskostnader fra beskatning slik at marginale prosjekter ikke blir skattlagt. Dette vil sikre at investeringer som er lønnsomme før skatt, også er lønnsomme etter skatt. Sammenlignet med gjeldende selskapsskatt, hvor samlet avkastning på egenkapitalfinansierte investeringer skattlegges i selskapet, vil dette kunne bidra til økte investeringer.
Et fradrag for kostnaden ved å binde egenkapital vil fjerne forskjellsbehandlingen av gjeld og egenkapital i selskapsskatten, ettersom selskapene da får fradrag for kostnader både ved finansiering med gjeld og egenkapitalfinansiering. Det finnes flere modeller som sikrer likebehandling av gjeld og egenkapital ved å gi fradrag for finansieringskostnader. Dette gjelder blant annet ulike varianter av kontantstrømskatter, modeller som gir eksplisitt fradrag for egenkapitalkostnaden, i tillegg til gjeldskostnaden, og modeller som gir et normert fradrag for både gjeld og egenkapital. En annen måte å fjerne forskjellsbehandlingen på er å nekte selskapene å fradragsføre gjeldskostnaden (renter). Selskapet vil da verken få fradrag for kostnadene ved lånefinansiering eller egenkapitalfinansiering.
Det er i praksis umulig å sikre at skattesystemet virker nøytralt for alle hensyn. De fleste skattesystemer innebærer ulike former for vridninger. Modeller med fradrag for finansieringskostnader vil likevel virke mindre vridende for investeringsbeslutningen enn den konvensjonelle overskuddsskatten. Slike modeller kan imidlertid gi et betydelig provenytap. Dersom provenytapet motvirkes ved å øke skattesatsen, vil dette gi økte insentiver til overskuddsflytting. Modellene reiser også problemer med kapitalbeskatningen for personer.
Insentivene til overskuddsflytting gjennom skattemotivert internprising avhenger av hvilke skattesatser selskapene står overfor. Så lenge den formelle selskapsskattesatsen varierer mellom land, vil flernasjonale selskap kunne redusere den samlede skatten ved å flytte overskudd fra høyskatteland til lavskatteland gjennom skattemotivert internprising. Lavere skattesatser svekker insentivene til overskuddsflytting, men kan neppe fjerne problemet så lenge det finnes land med lavere formelle skattesatser enn Norge.
I dette kapitlet drøftes ulike modeller for selskapsbeskatningen. Modellene vurderes ut fra i hvilken grad de svarer på de utfordringene utvalget har identifisert i kapittel 4. I avsnitt 5.2 beskrives et alternativ der utformingen av selve selskapsskattegrunnlaget opprettholdes som i dag, men der selskapsskattesatsen reduseres. I avsnitt 5.3 redegjøres det for skattesystemer som avgrenser skatten til renprofitt, herunder kontantstrømskatter og modeller med eksplisitt fradrag for finansieringskostnaden for egenkapital. Avsnittet omfatter også en modell der man i tillegg til fradrag for egenkapitalkostnaden, normaliserer gjeldskostnaden. I avsnitt 5.4 vurderes systemer som avskjærer hele (netto) rentefradraget, mens det i avsnitt 5.5 vurderes ulike varianter som delvis gir fradrag for finansieringskostnadene. Avsnitt 5.6 oppsummerer modellene og utvalgets vurderinger.
5.2 Standard selskapsskatt med redusert skattesats
Den norske selskapsskatten er basert på en standard selskapsskatt på bedriftens overskudd. Selskapene betaler 27 pst. skatt av alminnelig inntekt som er definert som samlede inntekter, fratrukket utgifter knyttet til næringsvirksomheten, herunder skattemessige avskrivninger. Renteutgifter kan trekkes fra i grunnlaget for skatt på alminnelig inntekt. Selskap som er hjemmehørende i Norge, har i utgangspunktet alminnelig skatteplikt for all sin inntekt uansett hvor i verden inntekten er opptjent. Selskap som ikke er hjemmehørende i Norge, er skattepliktige for inntekter som har kilde her. Gjeldende regler for beskatning av selskap er nærmere omtalt i kapittel 2.
Siden skattereformen i 1992 har skattesystemet bygget på prinsippene om brede skattegrunnlag, lave satser og symmetrisk behandling av inntekter og utgifter. Ifølge Skaugeutvalget (NOU 2003: 9) sikret skattesystemet etter 1992 langt på vei likebehandling av ulike næringer, eierformer, investeringer og kapitalinntekter, og det virket nøytralt i valget mellom ulike finansieringskilder. Imidlertid ble det identifisert enkelte skjevheter etter skatteformen i 1992. Blant annet hadde den økte forskjellen mellom skatt på eierinntekt og lønnsinntekt gitt problemer for delingsmodellen som skulle skille lønns- og kapitalinntekt for aktive eiere. Hovedmålet med skattereformen i 2006 var å rette opp i dette. I evalueringen av skattereformen i 2006 ble det tegnet et positivt bilde av reformens virkninger, jf. Meld. St. 11 (2010–2011).
Det prinsipielle grunnlaget for den gjeldende selskapsskatten har bidratt til et robust og stabilt skattesystem. Utvalget mener derfor det er et aktuelt alternativ å videreføre hovedtrekkene i dagens selskapsskatt. Som påpekt i kapittel 4 har en rekke land gjennomført betydelige satsreduksjoner, mens den norske skattesatsen har ligget relativt stabilt siden skattereformen i 1992. Satsen var 28 pst. i perioden 1992–2013, men ble redusert til 27 pst. i 2014. Selv om reduksjoner i den formelle skattesatsen i flere OECD-land har vært fulgt av grunnlagsutvidelser, har de effektive skattesatsene falt betydelig. Det er en fare for at investeringsnivået i Norge reduseres dersom de effektive skattesatsene over tid er vesentlig høyere enn i land Norge har mye økonomisk samkvem med. I særdeleshet mener utvalget det er viktig å se hen til nivået i Sverige og Danmark, som samfunnsmessig har mange fellestrekk med Norge og ligger nært oss geografisk. Hensynet til investeringer tilsier at den effektive beskatningen av selskap i Norge bør reduseres. Dersom utvalget skal videreføre hovedtrekkene fra dagens selskapsskatt, bør den effektive skattesatsen senkes ved å redusere den formelle skattesatsen.
Norge bør imidlertid ikke lede an i en internasjonal konkurranse om å tilby lave skattesatser. Utvalget vil derfor foreslå at den formelle selskapsskattesatsen reduseres til et nivå som ligger nær nivået i Sverige og Danmark. Den formelle satsen er 22 pst. i Sverige, mens Danmark har varslet at satsen skal ned til 22 pst. Samtidig vil den effektive skattesatsen ofte være lavere i disse landene for en gitt formell skattesats, siden avskrivningssatsene er lempeligere. Utvalget foreslår på denne bakgrunn at den formelle skattesatsen bør senkes til 20 pst. dersom en i hovedtrekk skal videreføre gjeldende utforming av selskapsskatten.
Som et utgangspunkt for vurderingen av dagens selskapsskatt legger utvalget derfor til grunn en reduksjon i skattesatsen fra dagens 27 pst. til 20 pst., og vurderer hvordan dette vil virke inn på hovedutfordringene som utvalget har identifisert. For å kunne sammenligne ulike skattemodeller vil utvalget i det videre legge til grunn tilsvarende reduksjon i provenyet ved omtale av andre aktuelle modeller.
5.2.1 Virkninger og konsekvenser av en standard selskapsskatt
Likebehandling av gjeld og egenkapital
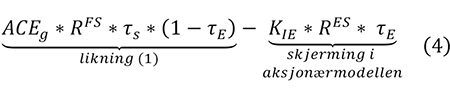
Den norske selskapsskatten favoriserer isolert sett på selskapets hånd gjeldsfinansiering ved at gjeldsrenter er fradragsberettiget, mens kostnaden ved egenkapitalfinansiering ikke kan trekkes fra. Favoriseringen av gjeld i selskapsskatten er forsøkt utlignet ved en motsvarende skjevhet i personbeskatningen gjennom aksjonærmodellen. På personlig hånd beskattes renteinntekter, mens avkastning på egenkapital (utbytte og gevinster) tilsvarende risikofri rente skjermes fra beskatning gjennom aksjonærmodellen.
For utenlandske investorer avhenger den samlede beskatningen av kapitalinntekter også av personbeskatningen i investorens hjemland. Mange land beskatter både renteinntekter, utbytter og gevinster (uten skjerming) på personlig hånd. For utenlandske eiere av norske selskap vil dermed personbeskatningen i mange tilfeller ikke bidra til å utligne favoriseringen. Gjeldsfinansiering vil i så fall være skattemessig favorisert sammenlignet med finansiering ved egenkapital. Det finnes også skattefrie institusjonelle investorer (pensjonsfond mv.) som kan gjøre at selskapenes marginale avkastningskrav bestemmes etter selskapsskatt alene, uten at personbeskatningen spiller inn.
I en liten, åpen økonomi med frie kapitalbevegelser antas det også ofte i økonomisk teori at avkastningskravet etter selskapsskatt bestemmes i det internasjonale kapitalmarkedet, uavhengig av om investeringen finansieres med gjeld eller egenkapital. I så fall vil det uansett ikke være mulig å kompensere for favoriseringen av gjeld i selskapsskatten gjennom beskatningen av norske personlige investorer. Det er imidlertid grunn til å tro at den norske aksjonærmodellen helt eller delvis vil utligne favoriseringen av gjeld for investeringer som av ulike grunner må finansieres med norsk egenkapital. Betydningen av personbeskatningen for investorenes avkastningskrav er nærmere drøftet i kapittel 4.
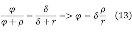
For at aksjonærmodellen skal sikre likebehandling mellom gjeld og egenkapital for norske investorer, må skjermingsrenten reflektere aksjonærens finansielle alternativkostnad ved å binde kapital. Når det er sikkerhet for at skjermingsfradraget kommer til anvendelse, er den relevante alternativkostnaden risikofri rente. At aksjeinvesteringen i seg selv er risikofylt, gir ikke grunnlag for et risikotillegg. Så fremt beskatningen er symmetrisk, vil aksjonæren få fradrag for aksjens risiko ved at skatten følger proporsjonalt alle økonomiske utfall, både positive og negative.
Skattyter har i dag ikke full sikkerhet for skatteverdien av skjermingsfradraget. Dette skyldes at skjermingsfradraget er knyttet til den enkelte aksje, slik at eventuell ubenyttet skjerming går tapt etter realisasjon av aksjen. Det norske skattesystemet kan derfor i en viss grad favorisere gjeldsfinansiering selv når en ser person- og selskapsbeskatningen under ett. Ettersom forventningsverdien av skjermingsfradraget reduseres, kan også det marginale avkastningskravet til aksjeinvesteringer øke sammenlignet med alternative investeringer for norske investorer. For personlige aksjonærer som eier aksjer gjennom investeringsselskap, vil imidlertid dette problemet være mindre. Årsaken er at skjermingen gis på skattyters innskudd i investeringsselskapet. Det gis dermed implisitt en samordning av skjermingen mellom aksjene som eies av investeringsselskapet. Det er derfor grunn til å tro at betydningen av usikret skjermingsfradrag på kapitalkostnaden vil være begrenset for profesjonelle investorer.
Utvalget har vurdert om aksjonærmodellen kan gjøres mer nøytral ved enten å innføre et risikopåslag i skjermingsrenten eller gi full sikkerhet for skjermingsfradraget. Dette ble også vurdert i forbindelse med evalueringen av skattereformen 2006 i Meld. St. 11 (2010–2011).
Dersom en innfører et risikopåslag i skjermingsrenten, vil det oppstå nye vridninger. Det kan da bli lønnsomt å øke egenkapitalen i selskapet og investere kapitalen i risikofrie aktiva. På den måten oppnås et økt skjermingsfradrag som kan benyttes til å skjerme inntekter fra andre risikable aktiva med høyere avkastning. Dette vil gjøre skjermingen mindre effektiv og gi vridninger i investeringsbeslutningene. I tråd med konklusjonen i Meld. St. 11 (2010–2011) vil utvalget fraråde risikopåslag i skjermingsrenten fordi det vil gi opphav til nye vridninger.
Det er krevende å gi full sikkerhet for skjermingsfradraget. Årsaken til at det ikke gis adgang til å trekke fra ubenyttet skjerming for eksempel i andre aksjeinntekter eller i alminnelig inntekt er å unngå tilpasninger gjennom årsskiftehandler, se også omtale i Meld. St. 11 (2010–2011). Insentivene til årsskiftehandler henger sammen med at aksjonæren som eier aksjen 31. desember tilordnes hele årets skjermingsfradrag. Dersom ubenyttet skjermingsfradrag ved realisasjon kunne trekkes fra i annen inntekt, ville det blitt svært lønnsomt for skattytere som får utnyttet skjermingen (personlige aksjonærer) å overta aksjer rundt årsskiftet fra skattytere som ikke får utnyttet skjermingen (først og fremst selskapsaksjonærer under fritaksmetoden). Det kan innebære at aksjonærene får tilordnet skjermingsfradraget for hele året uten stor kostnad eller risiko. En kunne tenke seg at det ble innført tiltak for å motvirke slike tilpasningsmuligheter, herunder tilordne skjerming ut fra den tiden aksjonær har eid aksjen eller knytte et eiertidskrav til retten til ubenyttet skjerming. Disse modellene ville imidlertid gitt et mer administrativt krevende system.
I tillegg har utvalget vurdert å gi større sikkerhet for utnyttelse av tap. Etter dagens system kan negativ eierinntekt etter aksjonærmodellen, f.eks. som følge av aksjetap, bare trekkes fra i alminnelig inntekt. I kapittel 11 foreslår utvalget tiltak som bedrer aksjonærmodellens nøytralitetsegenskaper ved at negative eierinntekter utløser et skattefradrag som kan trekkes fra i andre inntektsskatter for personer. Eventuelt ubenyttet skattefradrag bør i tillegg kunne fremføres.
For utenlandske investorer kan ikke norske personskatteregler brukes til å motvirke skjevheter i selskapsskatten. En utenlandsk investors avkastning (renter eller utbytter) vil skattlegges etter skattereglene i investorens hjemland. Siden mange land beskatter både renter og eierinntekter (uten skjerming) på personlig hånd, vil selskap eid av utenlandske investorer ha insentiver til gjeldsfinansiering. I den grad dette leder til høyere gjeldsfinansiering av norske selskap enn det som vil være en optimal finansieringsstruktur før skatt, kan det gjøre norsk økonomi mer sårbar. Selskap med høy gjeldsgrad vil ha dårligere evne til å bære en nedgangskonjunktur enn selskap med solid egenkapitalfinansiering. For høy gjeldsgrad vil derfor øke konkursrisikoen som igjen vil kunne påvirke både sysselsetting og finansiell stabilitet. I kapittel 9 drøfter utvalget betydningen av gjeldsfavoriseringen for finansiell sektor og finansiell stabilitet.
Utvalget har samlet sett kommet til at en under dagens skattesystem bør videreføre hovedtrekkene ved aksjonærmodellen for å motvirke forskjellsbehandlingen av gjeld og egenkapital for norske investorer. For utenlandske investorer vil selskapsskatten fortsatt kunne innebære forskjellsbehandling av gjeld og egenkapital. Redusert selskapsskattesats kan imidlertid dempe forskjellsbehandlingen. I tabell 5.1 er forskjellen i beregnet marginal effektiv skattesats for gjeldsfinansierte og egenkapitalfinansierte investeringer 44,2 prosentpoeng. Denne forskjellen reduseres til 34,1 prosentpoeng dersom selskapsskatten reduseres til 20 pst. Dette innebærer at insentivene til å gjeldsfinansiere selskapet isolert sett svekkes, men forskjellen i marginal skattesats er imidlertid fortsatt stor.
Investeringsinsentiver
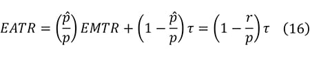
Norske aksjonærer som er underlagt en residensbasert beskatning av renteinntekter, vil kreve at avkastningen av en selskapsinvestering i Norge etter selskaps- og utbytteskatt tilsvarer den internasjonale renten etter norsk skatt tillagt en passende risikopremie. I Norge betyr fritaksmetoden for aksjeinntekter fra utenlandske selskap at den norske selskapsskatten som hovedregel virker som en kildebasert skatt på investeringer i Norge. Hvis den norske selskapsskatten er høyere enn selskapsskatten i utlandet, vil selskapsbeskatningen derfor øke avkastningskravet til investeringer i Norge sammenlignet med avkastningskravet ved investering i utlandet. Derimot vil den norske beskatning av personlige aksjeinntekter (aksjonærmodellen) i prinsippet ikke øke avkastningskravet til investeringer i Norge sammenlignet med avkastningskravet ved en investeringer i utlandet. Dette skyldes at beskatningen av personlige aksjeinntekter er residensbasert og dermed hviler i samme grad på utenlandske og innenlandske aksjeinntekter.
Utenlandske aksjonærers avkastningskrav bestemmes av det internasjonale rentenivået etter eventuell utenlandsk skatt. Hvis aksjonærene fullt ut får kreditert norsk selskapsskatt, slik at de samlet sett betaler like mye skatt på investeringer i Norge som på investeringer i andre land, vil utenlandske aksjonærers insentiver til å investere i Norge ikke reduseres av selskapsskatten. For en skattefri aksjonær vil norsk selskapsskatt uansett virke som en kildeskatt som øker avkastningskravet før skatt. I praksis må det antas at selskapsskatten virker som en kildeskatt som øker avkastningskravet, og insentivene til å investere i Norge svekkes.
For gjeldsfinansierte investeringer vil avkastningen være ubeskattet på selskapets hånd. Selskapsskatten vil dermed, isolert sett, ikke virke negativt på investeringsinsentivene for gjeldsfinansierte investeringer. Dersom en legger til grunn stiliserte forutsetninger om investeringer, avskrivningssatser og avkastning, kan det tvert i mot vises at gjeldsfinansierte investeringer er subsidiert i selskapsskatten. Når en ser personbeskatningen i sammenheng med selskapsbeskatningen, forsvinner subsidieelementet for norske investorer. Dette skyldes at motsvarende renteinntekter skattlegges på personlig hånd. Virkningen for utenlandske gjeldsinvestorer avhenger av beskatningen i investors hjemland.
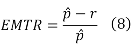
Som det framgår av vurderingene ovenfor, kan det i praksis legges til grunn at selskapsskatten fungerer som en kildeskatt på egenkapitalfinansierte investeringer. Redusert selskapsskattesats vil bidra til å dempe virkningen av selskapsskatten som kildeskatt. Tabell 5.1 illustrerer virkningen på gjennomsnittlig effektiv skattesats og gjennomsnittlig marginal skattesats ved en reduksjon i selskapsskatten fra 27 pst. til 20 pst. Beregningen er basert på metoden beskrevet i Devereux og Griffith (2003). Metoden er nærmere dokumentert i appendiks 5.2 til dette kapitlet. Årsaken til at de effektive skattesatsene overstiger den formelle skattesatsen ved egenkapitalfinansiering er at en beskatter nominell avkastning.
Tabell 5.1 Effektiv gjennomsnittlig skattesats (EATR) og effektiv marginal skattesats (EMTR) før ev. personskatt. Gjeldende regler for 2014 og et alternativ med redusert sats. Prosent
Gjeldende selskapsskatt | Redusert skattesats | |||
|---|---|---|---|---|
Formell skattesats | 27 pst. | 20 pst. | ||
EATR | EMTR | EATR | EMTR | |
Egenkapital | 30,0 | 41,3 | 22,3 | 32,2 |
Gjeld | 23,4 | -2,9 | 17,3 | -1,9 |
Vektet | 26,7 | 25,2 | 19,8 | 18,6 |
Kilde: Utvalget.
Tabell 5.1 viser at både effektiv gjennomsnittlig skattesats, (som har betydning for lokalisering av virksomhet) og effektiv marginal skattesats, (som har betydning for nivået på investeringene) faller med redusert formell skattesats. Reduserte effektive skattesatser kan bidra til økte investeringer. I en studie fra De Mooij og Ederveen (2008), som drøftes mer inngående i kapittel 13, legges det til grunn at innenlandske selskapsinvesteringer øker med 0,65 pst. per prosentpoeng redusert effektiv gjennomsnittlig skattesats og at investeringsnivået øker med 0,8 pst. per prosentpoeng redusert effektiv marginal skattesats. Dersom en legger disse anslagene til grunn, kan det isolert sett beregnes en økning av selskapsinvesteringene i Norge på om lag 9,8 pst. ved en reduksjon i skattesatsen fra 27 pst. til 20 pst. Beregningen forutsetter at selskapsskatten virker som en kildeskatt. Resultatene må tolkes med varsomhet, men gir en indikasjon på virkningen av redusert selskapsskatt.
For å hindre vridninger i valget mellom ulike driftsmidler må avskrivningene være fastsatt økonomisk korrekt. Dersom avskrivningene er for raske for en type driftsmiddel, vil dette gi insentiver til å investere for mye i denne typen driftsmidler framfor andre driftsmidler. I et nominelt skattesystem som gir fradrag for nominelle gjeldsrenter bør avskrivningssatsene tilsvare nominelt verdifall på kapitalutstyret. Dette vil variere mellom ulike typer kapital. Selv en bedrift av moderat størrelse kan være i besittelse av et stort antall forskjellige typer kapital som vil ha ulike avskrivningsprofiler. For å få sammenfall mellom det skattemessige og bedriftsøkonomiske overskudd må i prinsippet hvert driftsmiddel ha sin avskrivningsprofil. Dette lar seg ikke gjøre i praksis, og skatteloven har derfor standard avskrivninger for brede kategorier av driftsmidler. En standard selskapsskatt vil derfor normalt skape vridninger mellom ulike investeringer. Utvalget har vurdert avskrivningssystemet nærmere i kapittel 10. Redusert skattesats vil redusere betydningen av for høye eller for lave avskrivninger.
I prinsippet bør selskapsskatten virke symmetrisk ved at inntekter beskattes og fradrag gis etter samme effektive skattesats. I den gjeldende utformingen av den norske selskapsskatten er det imidlertid ikke full symmetri siden underskudd ikke kan framføres med rente og fradraget kan bli avskåret ved salg eller opphør. Ved opphør av næring, oppløsning og konkurs kan underskudd i det året næringen opphører, riktignok tilbakeføres til det foregående år og året før det, men faller ellers bort. Ved omorganiseringer, som for eksempel fusjoner og fisjoner, kan det fremførbare underskuddet avskjæres dersom utnyttelse av den generelle skatteposisjonen er det overveiende motiv for transaksjonen. Dette har tradisjonelt blant annet vært begrunnet med at skatteposisjoner er knyttet til ett skattesubjekt. Skatteposisjoner kan derfor ikke overføres mellom skattesubjekter, uten særskilt rettslig grunnlag.
Utvalget vil peke på at hensynet til symmetri i selskapsbeskatningen kan tale mot å ha regler som avskjærer retten til fremføring av underskudd i tilfeller der utnytting av skatteposisjonen er motivet for omorganiseringen. På den annen side kan hensynet til å motvirke omgåelser tilsi begrensninger i utnyttelse av skatteposisjon ved omorganiseringer eller opphør. I motsatt fall ville det være sterke insentiver til å legge hobbyvirksomhet og annen virksomhet som ikke er egnet til å gå med overskudd, i skattepliktige selskap i den hensikt å oppnå skattefradrag. Utvalget har vurdert om det på tross av dette kan gjennomføres tiltak for å gjøre selskapsskatten mer symmetrisk. Et tiltak som ville gjøre selskapsskatten mer symmetrisk ved omorganiseringer og som i mindre grad ville åpne for omgåelse, er å tillate tilbakeføring av underskudd som ellers ville falle bort etter reglene i skatteloven § 14-90, mot tidligere års overskudd i samme selskap. Utvalget mener derfor det bør innføres adgang til en slik tilbakeføring av underskudd dersom en viderefører dagens selskapsskatt. Departementet bes i så fall om å utforme et lovforslag om dette.
Valg av virksomhetsform
Valg av virksomhetsform avhenger av effektiv gjennomsnittsskatt. Etter skattereformen i 2006 er det i stor grad likebehandling på tvers av virksomhetsformer. I noen tilfeller kan gjennomsnittsskatten for aktive aksjonærer bli noe lavere enn for enkeltpersonforetak med tilsvarende inntekt. Det gjelder i første rekke ved lav og moderat arbeidsavkastning. Dette skyldes at aktive aksjonærer kan velge å ta ut arbeidsinntekt og dermed få minstefradrag. Det er videre enkelte forskjeller mellom uttaksbeskatning (for selskap) og løpende beskatning (for enkeltpersonforetak). Løpende beskatning av enkeltpersonforetak gir imidlertid i seg selv ikke høyere skatt over tid enn for aksjonærer som venter med å ta ut utbytte. Det legges derfor til grunn at gjeldende skattesystem virker rimelig nøytralt på valg av virksomhetsform.
Ved en ensidig reduksjon i skatt på selskapsoverskudd vil gjennomsnittsskatten for avkastning opptjent gjennom selskap relativt sett bli lavere sammenlignet med avkastning opptjent gjennom enkeltpersonforetak. Dette vil øke insentivene til å velge selskap som virksomhetsform. En ensidig reduksjon i selskapsskattesatsen vil også øke insentivene til inntektsskifting, dvs. å ta ut arbeidsavkastning i form av utbytte i stedet for lønn. Utvalget har i kapittel 11 vurdert nærmere hvordan personbeskatningen bør tilpasses redusert selskapsskattesats.
Overskuddsflytting
Insentivene til overskuddsflytting avhenger av forskjeller i formelle selskapsskattesatser mellom land. Norge har holdt den formelle selskapsskattesatsen uendret på 28 pst. i perioden 1992–2013, men reduserte den til 27 pst. i 2014. I samme periode har mange OECD-land redusert skattesatsen vesentlig, slik at den gjennomsnittlige formelle selskapsskattesatsen i OECD- og EU-området er betydelig redusert, jf. kapittel 4. Den norske selskapsskattesatsen fremstår derfor nå som relativt høy.
Så lenge det finnes land som har lavere skattesats enn Norge, vil selskapene ha insentiver til å flytte overskudd ut av Norge. En reduksjon i skattesats fra 27 pst. til 20 pst. vil ikke fjerne insentivene til overskuddsflytting. En satsreduksjon bør derfor kombineres med målrettede tiltak mot overskuddsflytting. Utvalget ser i kapitlene 7 og 8 nærmere på slike tiltak.
Proveny
Provenytapet av å redusere selskapsskattesatsen under gjeldende utforming av selskapsskatten anslås til om lag 2,5 mrd. kroner per prosentpoeng. Det er da lagt til grunn at det samlede provenyet fra kraftverk- og petroleumsnæringen er uendret, dvs. at særskatteregimene endres slik at selskapsskattelettelsen i disse sektorene nøytraliseres. Det direkte provenytapet ved å redusere selskapsskatten til 20 pst. kan dermed anslås til om lag 17,5 mrd. kroner. Over tid kan det forventes at deler av provenytapet kan kompenseres blant annet som følge av økte investeringer og økt avlønning av arbeidskraft. De langsiktige virkningene av en reduksjon i selskapsskattesatsen er drøftet nærmere i kapittel 13.
Oppsummering
En standard selskapsskatt med redusert skattesats fra 27 pst. til 20 pst. vil dempe flere av de uheldige virkningene av selskapsskatten. Redusert sats vil redusere kapitalkostnadene til norske og utenlandske investorer som igjen vil bidra til økte investeringer. Vridningene mellom ulike investeringer som følge av avskrivningssatser som avviker fra de økonomiske korrekte satsene, vil også dempes med en lavere skattesats. Insentivene til å velge gjeldsfinansiering framfor egenkapitalfinansering vil også bli redusert. Det samme gjelder insentivene til overskuddsflytting.
Gjeldende skattesystem med redusert skattesats vil imidlertid ikke i seg selv kunne hindre overskuddsflytting. Med mindre selskapsskatten fjernes, vil det alltid finnes et land som har lavere skattesats enn Norge. Selv med en betydelig reduksjon av skattesatsen, vil det fortsatt være insentiver til å flytte overskudd til lavskatteland. Utvalget legger derfor til grunn at en eventuell satsreduksjon må suppleres med ytterligere tiltak for å beskytte det norske skattegrunnlaget.
Utvalget vil peke på at en generell redusert skattesats vil føre til at beskatningen av immobile renprofitter også reduseres. Redusert beskatning av immobile renprofitter har ikke virkninger på insentivene til å finansiere i kapital, og vil i stor grad fungere som en ren overføring av skatteproveny fra det offentlige til eierne. Utvalget mener derfor det også bør vurderes å innføre særskilte grunnrenteskatter på immobile renprofitter som ikke alt særbeskattes og mener eksisterende grunnrenteskatter bør økes dersom selskapsskatten senkes.
5.3 Selskapsskattemodeller med fradrag for finansieringskostnader
Det generelle prinsippet for nøytral selskapsbeskatning er at skatten må være proporsjonal med bedriftens nåverdi. Dette kan sikres gjennom et skattegrunnlag basert på avkastningen av bedriftens investeringsprosjekter med fradrag for investors finansielle alternativkostnad ved å binde kapital. Siden skattegrunnlaget da tilsvarer nåverdien før skatt, vil staten kun beskatte en andel av nåverdien av prosjektet. Dermed vil prosjekter som er lønnsomme før skatt også være bedriftsøkonomisk lønnsomme etter skatt. Slike skatter som ikke fører til skattemessig motiverte disposisjoner fra bedriftens side, omtales som nøytrale og påvirker ikke spare- og investeringsbeslutningene i samfunnet.
Nøytralt utformede skatter som skjermer investors finansielle alternativkostnad, også kalt kapitalkostnaden, kan konstrueres på ulike måter. Skattegrunnlaget kan for eksempel baseres på bedriftens inn- og utbetalinger. Siden skattegrunnlaget følger prosjektets kontantstrømmer vil skatten være proporsjonal med nåverdien og dermed være nøytral. Indirekte gis det dermed fradrag for finansieringskostnadene. Slike kontantstrømskatter er nærmere omtalt i avsnitt 5.3.1. Nøytrale skatter kan også utformes ved at det kan gis eksplisitt fradrag for finansieringskostnader knyttet til både gjeld- og egenkapitalfinansiering i overskuddsskatten. Ulike varianter av slike skatter er omtalt i avsnittene 5.3.2 og 5.3.3. En alternativ kontantstrømskatt, en såkalt destinasjonsbasert kontantstrømskatt, som heller ikke påvirker kapitalkostnaden, er omtalt i avsnitt 5.3.4.
En utfordring med skattesystemer som gir fradrag for finansieringskostnadene, og dermed skjermer investors alternativavkastning, er at provenyet vil bli lavt dersom økonomien består av sektorer som ikke genererer avkastning utover investors alternativavkastning, dvs. ekstraordinær avkastning eller såkalt renprofitt. I nøytrale former for selskapsbeskatning er det kilder til renprofitt som gir grunnlag for skatteproveny.
Renprofitt kan oppstå i næringer som utnytter knappe naturressurser (grunnrente), eksempelvis petroleum, vannkraft og frekvensressurser. Det kan også oppstå ekstraordinær avkastning i næringer der enkeltbedrifter har markedsmakt. Andre kilder til renprofitt kan være tilgang på arbeidskraft med særskilt kompetanse (så lenge dette ikke reflekteres fullt ut i lønnskostnaden) eller geografisk nærhet til store markeder (så lenge dette ikke reflekteres fullt ut i tomtekostnader). Infrastruktur og næringsklynger kan også gi grunnlag for renprofitt.
Statens inntekter fra nøytrale skatter vil imidlertid også inneholde kompensasjon for statens risikotaking. Ettersom staten tar samme andel av både inntekter og kostnader ved et investeringsprosjekt i et nøytralt skattesystem, vil den totale risikoen ved prosjektet fordeles mellom staten og investoren ved skattesatsen. Jo høyere skattesatsen er, jo større blir det offentliges andel av den totale risiko. Staten fungerer dermed gjennom skattesystemet som en passiv partner og som en investor i kapitalmarkedet på lik linje med andre investorer. Avkastningen fra statens investeringer i markedet gjennom skattesystemet kommer til syne som skatteinntekter til staten. I prosjekter uten renprofitt er dette imidlertid kompensasjon for statens risikotaking gjennom skattesystemet.
Boks 5.1 oppsummerer ulike begreper i omtalen av virkninger av selskapsskatten.
Boks 5.1 Begreper
I omtale av virkningen av selskapsskatten benyttes ofte begreper som normalavkastning, alternativavkastning, kapitalkostnad, risikopremie, renprofitt og grunnrente. Årsaken til dette er at skattesystemet kan ha ulik virkning på ulike deler av avkastningen i en bedrift (eller på et prosjekt). Totalavkastningen kan dekomponeres på følgende måte:

Figur 5.1 Dekomponering av totalavkastning
Risikofri rentetilsvarer den avkastning investor kan oppnå ved å plassere kapital i en risikofri investering. Risikopremiener kompensasjonen for å bære risiko. For en veldiversifisert investor skal risikopremien gjenspeile den systematiske risikoen (dvs. den risikoen investor ikke kan diversifisere bort) i det aktuelle prosjektet.
Investors alternativavkastning tilsvarer den avkastningen en investor alternativt kunne opptjent på en investering med tilsvarende risiko i markedet. For en risikofri plassering er alternativavkastningen den risikofrie renten (siden risikopremien er null). For en investering med gitt risiko er alternativ avkastning risikofri rente pluss relevant risikopremie. I mange tilfeller benyttes også begrepet normalavkastning om dette begrepet. I analyser der en ser bort fra usikkerhet og risiko, samsvarer begrepet normalavkastning med den risikofrie renten.
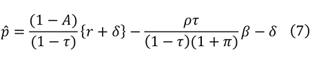
Investeringens kapitalkostnad tilsvarer den marginale investorens alternativavkastning før skatt. Dette tilsvarer den avkastning som investeringen (minst) må oppnå før alle skatter, inkludert selskapsskatt, for at den skal bli ansett som lønnsom. Finansieringskostnad er avkastningen som eier eller kreditor krever ( etter norsk selskapsskatt, men før eventuelle personskatter på investors hånd). I enkelte tilfeller benyttes også begrepene gjeldskostnad og egenkapitalkostnad.
Renprofitt, grunnrente eller ekstraordinær avkastningbenyttes om avkastning på en investering utover investors alternativavkastning.
I nøytrale skatter skjermes investors finansielle alternativkostnad ved å binde kapital(alternativavkastningen). I slike skattesystem er det derfor kilder til renprofitt som gir grunnlag for skatteproveny. Så fremt skatten er symmetrisk, vil investoren få fradrag for prosjektets risiko ved at skatten følger proporsjonalt alle økonomiske utfall, både positive og negative. Et skattesystem som behandler under- og overskudd symmetrisk, gir altså implisitt fradrag for risikopremien. Fradraget består av at staten deler all variasjon i inntekt med selskapet. Et nøytralt skattesystem vil dermed også inneholde kompensasjon for statens risikotaking. Siden staten går inn som en passiv partner og investor i kapitalmarkedet på lik linje med andre investorer, vil også skatteinntekten omfatte kompensasjon for denne risikoen. Den totale risikoen ved prosjektet fordeles mellom staten og investoren ved skattesatsen.
5.3.1 Kontantstrømskatter
Et alternativ til den tradisjonelle overskuddsskatten er skatt på bedriftens kontantstrøm. I en kontantstrømskatt fastsettes skattegrunnlaget som differansen mellom løpende inn- og utbetalinger. Kontantstrømskatten vil virke som en skatt på nåverdien av kontantoverskudd. Siden staten skattlegger en andel av denne nåverdien, vil bedriften fortsatt ha insentiver til å maksimere overskuddet før skatt. Dersom skatten skal være nøytral, krever det at skattegrunnlaget er sammenfallende med overskuddet bedriften maksimerer.
Den enkleste formen for kontantstrømskatt omtales som R-skatt (realskatt) (Meade, 1978). I dette skattesystemet inkluderes bare reelle, og ikke finansielle, kontantstrømmer i grunnlaget. Skattegrunnlaget er med andre ord kontantstrømmen før finansielle strømmer som gjeldsopptak, avdrag, renteutgifter og renteinntekter. Sammenlignet med en standard overskuddsskatt fjernes dermed fradrag for både avskrivninger og rentekostnader, men dette erstattes med direkte utgiftsføring av investeringskostnader og tillegg for inntekter ved salg av realkapital.
Nåverdien av kontantstrømmen angir størrelsen på overskuddet, og er positiv hvis avkastningen på kapitalen i bedriften er større enn alternativ avkastning. Etter denne modellen beskattes derfor bare den ekstraordinære avkastningen. Dersom staten betaler ut eventuell negativ skatt, fungerer staten som en passiv partner ved at staten skyter inn en andel av investeringskostnaden, samtidig som den trekker inn (gjennom skatt) en tilsvarende andel av de fremtidige nettoinntektene som investeringen gir.
Ettersom R-skatten ikke omfatter finansielle kontantstrømmer, likebehandles gjeld og egenkapital på selskapets hånd, og skatten gir isolert sett derfor ikke vridninger i selskapenes valg av finansieringskilde. Skatten blir lagt på investeringens egenkapitalavkastning uavhengig av om avkastningen er utdelt som utbytte eller tilbakeholdt og reinvestert. Dersom bedriften reinvesterer den ekstraordinære avkastningen, vil imidlertid selskapet ikke betale selskapsskatt fordi investeringen kommer direkte til fradrag. I praksis kan derfor kontantstrømskatten utsettes inntil avkastningen utdeles til aksjonær, eventuelt holdes tilbake i selskapet ubenyttet.
Under en kontantstrømskatt på reelle strømmer vil selskapene ha sterke insentiver til å kamuflere reelle inntekter som finansinntekter og finansutgifter som reelle utgifter. En kontantstrømskatt som inkluderer finansielle strømmer i skattegrunnlaget, kan dempe disse problemene. Under en slik skatt blir opplåning behandlet som skattbar inntekt, mens tilbakebetaling av både renter og hovedstol er fradragsberettiget. Denne typen kontantstrømskatt omtales som R+F-skatt (Meade, 1978).
Selv om det gis fradrag for renteutgifter, er det symmetrisk behandling av gjeld og egenkapital. Dette skyldes at hovedstolen blir lagt til kontantstrømmen ved låneopptak, men trekkes fra ved tilbakebetaling. Med fradragsberettigete renter og under forutsetning av at lånerenten er lik bedriftens diskonteringsrente, innebærer dette at nåverdien av lånetransaksjonene blir null. I praksis kan R+F-skatten betraktes som forhåndsbetaling av skatt på lånetransaksjoner, der en får tilbake nåverdien av skatten over tid. Dersom lånerenten er forskjellig fra diskonteringsrenten, kan lånetransaksjonene gi en nåverdi som avviker fra null. Vi kan da betrakte låneopptaket som en form for investeringsprosjekt som overfører likviditet fra en periode til en annen. Kontantstrømmen fra et slikt prosjekt skal behandles som kontantstrømmene fra et realinvesteringsprosjekt. Dermed blir skatten fortsatt nøytral selv om vi trekker inn finanstransaksjoner (Sandmo, 1989). Med andre ord kan forskjellen på en R-skatt og en R+F-skatt betraktes ved at staten går inn som investor i alle realinvesteringer i et selskap under en R-skatt, mens i en R+F-skatt går staten inn som investor i alle investeringer i et selskap (Meade, 1978).
En tredje versjon av kontantstrømskatt er en såkalt S-skatt. Skattegrunnlaget i denne versjonen er netto kontantstrøm fra bedriften til aksjonærene. Innbetalinger fra eierne ved emisjoner mv. eller utbetaling ved tilbakebetaling av aksjekapital mv. blir regnet som henholdsvis inn- og utstrømming. Forholdet mellom en R+F-skatt og en S-skatt er illustrert i boks 5.2 som er basert på Meade-komiteens fremstilling (Meade, 1978). Sammenhengen illustrerer at nettostrømmene ut og inn av selskapet enten må utbetales til aksjonærene eller som skatt. S-skatten skattlegger i praksis kontantstrømmen til egenkapitalen.
Boks 5.2 Sammenhengen mellom R-, R+F- og S-skatter
Selskapenes kontantstrøm kan deles inn i ulike komponenter. I det følgende benyttes inndelingen i reelle kontantstrømmer (R), finansielle kontantstrømmer (F), kontantstrømmer til aksjonærene (S) og betaling til skattemyndighetene (T).
Selskapenes kontantstrøm | |
|---|---|
Innbetalinger | Utbetalinger |
Ri – salgsinntekter | Ru – driftsutgifter |
Fi – finansinntekter | Fu – finansutgifter |
Si – mottatt utbytte, aksjesalg mv. | Su – utbytte, aksjekjøp mv. |
Ti– tilbakebetaling av skatt | Tu – skatteutbetalinger |
Totale inntekter: Ri + Fi + Si + Ti | Totale kostnader: Ru + Fu + Su + Tu |
Tabellen gir grunnlag for å illustrere sammenhengen mellom en R-skatt, R + F-skatt og en S-skatt. I en R-skatt er skattegrunnlaget gitt ved (Ri – Ru), i R + F-skatt er det gitt ved (Ri – Ru) + (Fi – Fu) = (Ri + Fi) – (Ru + Fu), mens en S-skatt er gitt ved (Su – Si). Av tabellen ser man at (Ri + Fi) – (Ru + Fu) = (Su – Si) + (Tu – Ti). Dette innebærer at netto kontantstrøm fra reelle og finansielle transaksjoner må gå enten til fordel for aksjonærene (Su – Si) eller til skattemyndighetene (Tu – Ti). Anta for eksempel at kontantstrømmen fra reelle og finansielle kontantstrømmer er 10 mill. kroner og at kontantstrømmen til aksjonærene og skattemyndighetene hver er 5 mill. kroner. Da vil det være ekvivalent om selskapet beskattes 50 pst. av netto reelle og finansielle strømmer (R + F-skatt) eller 100 pst. av netto kontantstrøm til aksjonærene (S-skatt). Sammenhengen mellom skattesatsene som sikrer ekvivalens mellom en R + F-skatt og en S-skatt, er gitt ved:

der τs er skattesatsen på kontantstrømmen til aksjonærene og τR+F er skattesatsen på de reelle og finansielle strømmene.
Kilde: Meade (1978).
En modifisert versjon av R-skatt er den såkalte ressursrenteskatten (RRT-skatt). Forskjellen mellom denne modellen og R-skatten er at eventuelle underskudd ikke blir utbetalt av staten, men blir framført med rente (Garnaut og Ross, 1975). Hovedbegrunnelsen for denne modellen er at staten slipper å betale ut skatteverdien av underskudd i perioder med store investeringer. Hvilken rente som skal legges til grunn ved framføring av underskudd, avhenger av i hvilken grad tapsfradragene er sikre. Hvis skattyter har full sikkerhet for å utnytte tap, skal en risikofri rente benyttes. Når det er usikkert om investor kan utnytte tap, skal fremføringsrenten inneholde et risikopåslag. For skattyter vil variantene være like i nåverdi gitt at fremføringsrenten er satt riktig.
Det norske skattesystemet har enkelte skatter som bygger på det faglige grunnlaget for kontantstrømskattene:
I grunnrenteskatten på vannkraftanlegg beskattes inntekter fra vannkraftproduksjon fratrukket driftskostnader, avskrivninger og friinntekt mv. med 31 pst. skatt. Dette kommer i tillegg til ordinær selskapsskatt. Avskrivninger kombinert med friinntekt sikrer at investors finansielle alternativkostnad ved å binde kapital skjermes for grunnrenteskatt. Negativ grunnrenteinntekt kan samordnes med positiv grunnrenteinntekt ved andre kraftverk skattyter eier. Dersom grunnrenteinntekten etter samordning blir negativ, utbetales skatteverdien (fradragsverdien) fra staten. Ettersom alternativavkastningen skjermes, investeringen periodiseres og negativ skatteverdi utbetales, kan grunnrenteskatten på vannkraftanlegg betraktes som en periodisert kontantstrømskatt.
Særskatten i petroleumsbeskatningen bygger på det samme faglige grunnlaget som grunnrenteskatten for vannkraftanlegg, men i petroleumsbeskatningen er imidlertid de investeringsbaserte fradragene for høye. Selskapenes andel etter skatt av investeringskostnadene er om lag 12 pst., mens de skulle ha dekket om lag 25 pst. i et nøytralt skattesystem, jf. Prop. 150 LS (2012–2013) Endringar i skatte-, avgifts- og tollovgivinga.
Gjennom Statens direkte økonomiske engasjement (SDØE) deltar staten økonomisk i petroleumsvirksomhet på linje med selskap i utvinningstillatelsen. Statens andel fastsettes særskilt for den enkelte lisens. Ordningen innebærer at staten betaler sin andel av alle investeringer og driftskostnader i utvinningstillatelsen tilsvarende statens økonomiske eierandel. Samtidig får staten på linje med øvrige rettighetshavere en andel av produksjonen og andre inntekter. SDØE er dermed et virkemiddel som har likhetstrekk med en feltspesifikk kontantstrømskatt med en skattesats lik statens eierandel.
5.3.1.1 Virkninger og konsekvenser av en kontantstrømskatt
En kontantstrømskatt fjerner dagens skattefavorisering av gjeld i selskapsskatten ved å behandle gjeld- og egenkapitalfinansierte investeringer likt på selskapets hånd. I et slikt skattesystem blir bare renprofitt på bedriftens investeringer beskattet. Staten får i tillegg skatteinntekter fra risikopremien på investeringen som vil være en kompensasjon for statens risikotaking. Adgangen til å fradragsføre investeringskostnadene umiddelbart medfører at investeringens alternative avkastning er skattefri. Kontantstrømskatten vil dermed isolert sett ikke favorisere verken gjeld- eller egenkapitalfinansiering.
Ettersom kontantstrømskatten er en skatt på renprofitt vil den heller ikke virke vridende på marginale investeringsbeslutninger. Samfunnsøkonomisk lønnsomme prosjekter før skatt forblir privatøkonomisk lønnsomme etter skatt. Skatten har derfor ingen effekt på kapitalkostnaden og internrenten etter skatt blir den samme som før skatt. Effektiv skattesats på en marginal investering blir med andre ord null. For egenkapitalfinansierte investeringer vil dermed marginal effektiv skattesats reduseres, mens den øker for gjeldsfinansierte investeringer. Dette skyldes at gjeldskostnaden allerede skjermes under gjeldende selskapsskatt og at driftsmidlene kan avskrives raskere enn faktisk økonomisk levetid tilsier.
Kontantstrømskatter vil påvirke beslutninger som avhenger av bedriftens gjennomsnittsskatt, herunder lokaliseringsbeslutninger for mobile renprofitter. En kontantstrømskatt vil medføre et smalere skattegrunnlag enn en standard selskapsskatt fordi alternativavkastningen skjermes fra beskatning. Med uendret skattesats reduseres dermed effektiv gjennomsnittlig skattesats for egenkapitalfinansierte investeringer sammenlignet med gjeldende selskapsskatt. Redusert gjennomsnittsskatt øker insentivene til å lokalisere investeringer i Norge. For gjeldsfinansierte investeringer vil imidlertid effektiv gjennomsnittsskatt øke noe.
Tabell 5.2 viser de effektive gjennomsnittlige og marginale skattesatsene under en kontantstrømskatt og gjeldende selskapsskatt. Tabellen gjelder i prinsippet alle kontantstrømskatter som er nevnt i dette avsnittet. Utgangspunktet for beregningen er gjengitt i appendiks 5.2 til dette kapitlet.
Tabell 5.2 Effektiv gjennomsnittlig skattesats (EATR) og effektiv marginal skattesats (EMTR) før ev. personskatt. Gjeldende regler for 2014 og kontantstrømskatt
Gjeldende selskapsskatt | Kontantstrømskatt | |||
|---|---|---|---|---|
Formell skattesats | 27 pst. | 27 pst. | ||
EATR | EMTR | EATR | EMTR | |
Egenkapital | 30,0 | 41,3 | 23,6 | 0 |
Gjeld | 23,4 | -2,9 | 23,6 | 0 |
Vektet | 26,7 | 25,2 | 23,6 | 0 |
Kilde: Utvalget.
Ifølge anslag fra metastudien til De Mooij og Ederveen (2008) vil investeringsnivået øke med 0,8 pst. per prosentpoeng reduksjon i effektiv marginal skattesats, mens investeringene vil øke med 0,65 pst. per prosentpoeng endring i effektiv gjennomsnittlig skattesats. Dersom en legger de effektive skattesatsene i tabell 5.2 til grunn og benytter anslagene fra De Mooij og Ederveen, kan det beregnes en økning i investeringene i Fastlands-Norge på om lag 22 pst. ved en overgang fra gjeldende selskapsskatt til en kontantstrømskatt med skattesats på 27 pst. Metoden gir en indikasjon på virkningene, men må tolkes med varsomhet. Beregningen forutsetter at selskapsskatten fungerer som en kildeskatt.
Omlegging til kontantstrømskatt vil ikke i seg selv påvirke den formelle, marginale skattesatsen, og følgelig ikke påvirke insentivene til å flytte overskudd fra Norge til andre land. Dersom skattesatsen økes i en provenynøytral reform, vil insentivene til overskuddsflytting øke.
Nøytralitet i kontantstrømskatter betinger at skattesatsen holdes konstant over tid. Hvis det ligger forventninger om at skattesatsen skal ned, eller en satsreduksjon varsles i forkant, vil bedriftene ha insentiv til å gjøre investeringer i dag for å sikre seg høye skattefradrag, mens inntekten vil bli beskattet til en lavere skattesats.
Siden skattegrunnlaget følger inn- og utstrømminger i grunnlaget trenger en slik skatt ikke tidfesting og verdsettelsesregler, noe som vil være en administrativ forenkling. Det er likevel fortsatt behov for kontroll av inntekts- og kostnadsposter for å sikre at eventuell utbetaling av negativ skatt fra staten gjelder reelle fradrag. I en standard overskuddsskatt kan det argumenteres for at investeringer mv. skal inflasjonsjusteres, men med kontantstrømskatt vil dette ikke gjøre seg gjeldende fordi skattegrunnlaget følger de nominelle kontantstrømmene. Overgang til en kontantstrømskatt antas å være administrativt krevende, blant annet ved at det må tas stilling til hvordan en skal behandle eksisterende egenkapital og gjeld.
En kontantstrømskatt der negativ skatt utbetales av staten, vil føre til at skatteinntektene i større grad varierer negativt med investeringene enn gjeldende regler (hvor investeringene kommer til fradrag gradvis gjennom avskrivninger). Skatteinntektene vil isolert sett falle i gode tider med store investeringer og øke i dårlige tider med lave investeringer. Dette kan være uheldig ut fra hensynet til økonomisk stabilitet.
En kontantstrømskatt vil bryte markant med dagens ordinære selskapsskatt i Norge og det som er vanlig internasjonalt. Et slikt modellvalg vil blant annet gi store praktiske utfordringer ved beskatning av grenseoverskridende virksomhet. Eksempelvis kan ulik behandling av inntekter og kostnader mellom land øke omfanget av dobbeltbeskatning og ikke-beskatning. Et slikt modellvalg kan også være krevende å gjennomføre innenfor rammen av dagens skatteavtaler og Norges internasjonale forpliktelser.
Oppsummering
Selv om kontantstrømskatter likebehandler gjeld og egenkapital på selskapets hånd og har gode egenskaper med hensyn til investeringsinsentivene, løser modellen ikke utfordringene med overskuddsflytting. Samtidig gir modellen store praktiske utfordringer ved grenseoverskridende investeringer. Utvalget vil derfor ikke anbefale å erstatte gjeldende selskapsskatt med en generell og rendyrket kontantstrømskatt.
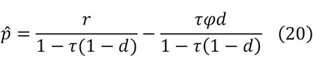
5.3.2 Fradrag for avkastning på egenkapitalen (ACE)
En mye omtalt modell i den internasjonale skattelitteraturen tar utgangspunkt i gjeldende selskapsskatt, men gir i tillegg fradrag for en beregnet finansieringskostand for egenkapitalen i selskapet. En slik modell med «Allowance for Corporate Equity» (ACE) ble første gang foreslått av Institute of Fiscal Studies i 1991 og er siden blitt anbefalt i blant annet Mirrlees’ Review (Mirrlees et al., 2011). Fradraget skjermer alternativkostnaden ved å binde egenkapital fra beskatning, i tillegg til at det gis fradrag for gjeldsrenter. I likhet med en kontantstrømskatt vil derfor ACE-modellen være en skatt på selskapenes renprofitt. Skattegrunnlaget i ACE-modellen er ekvivalent med en R+F-skatt i nåverdi. Siden modellen gir fradrag for både gjeldskostnaden og egenkapitalkostnaden, likebehandles egenkapital og gjeld på selskapets hånd. Fradraget for finansieringskostnadene ved egenkapital fastsettes på bakgrunn av et nærmere fastsatt skjermingsgrunnlag multiplisert med en skjermingsrente (R):
ACEfradrag = ACEgrunnlag * R
Utforming av ACE-grunnlaget beskrives nærmere i avsnitt 5.3.2.1, mens skjermingsrenten drøftes i avsnitt 5.3.2.2. I avsnitt 5.3.2.3 gis det en beskrivelse av ACE-modeller i andre land, mens virkninger og konsekvenser av en ACE-modell drøftes i avsnitt 5.3.2.4.
5.3.2.1 Utforming av grunnlaget for et egenkapitalfradrag
Grunnlaget for ACE-fradraget er egenkapitalen i selskapet. ACE-fradraget kan enten beregnes direkte ut fra egenkapitalen eller ut fra aktivasiden til selskapet med fradrag for gjeld. Dersom en tar direkte utgangspunkt i egenkapitalen, kan grunnlaget defineres som innskutt kapital i selskapet tillagt tilbakeholdt overskudd.
For å finne egenkapitalen i det enkelte år kan det tas utgangspunkt i egenkapitalen ved utgangen av året før (grunnlaget for fjorårets ACE-fradrag). Fjorårets grunnlag oppdateres med endringer i netto innskutt egenkapital og fjorårets tilbakeholdte overskudd. Innskutt egenkapital vil typisk være aksjekapital og overkurs, men eventuelle andre former for innskudd av egenkapital må også tas med. Kapitalutvidelser i løpet av året vil øke egenkapitalen. Tilsvarende må grunnlaget reduseres ved tilbakebetaling av innbetalt kapital ved for eksempel nedsetting av aksjekapitalen i selskapet. Selskapets kjøp (og salg) av egne aksjer bør behandles på samme måte som tilbakebetaling av kapital og innskudd av egenkapital.
Beregningen av tilbakeholdt overskudd kan baseres på selskapets skattemessige overskudd. Fra overskuddet må det gjøres fradrag for utdelt utbytte og utlignet selskapsskatt. I tillegg må det korrigeres for konsernbidrag som ikke er fradragsberettiget hos utdeler og tilsvarende skattefri hos mottaker. Dette kan oppstå i tilfeller der selskap yter konsernbidrag som overstiger årets overskudd. Videre skal det aktuelle inntektsårets ACE-fradrag legges til i det tilbakeholdte overskuddet. Dette tillegget er nødvendig for at ACE-grunnlaget skal gjenspeile det samlede tilbakeholdte overskuddet ettersom ACE-fradraget er en del av det samlede overskuddet i bedriften.
Hvis selskapet går med underskudd, må man ta stilling til om underskuddet skal komme til fradrag i grunnlaget for ACE-fradraget i underskuddsåret eller fremføres og fradragsføres i år der selskapet går med overskudd. For at metodene skal være ekvivalente må fremføringen skje med rente. Et problem med en slik fremføring er at metoden over tid kan gi et for høyt skjermingsgrunnlag i tilfeller der selskap går konkurs før skjermingsgrunnlaget er nedjustert. Dette kan tale for at skattemessig underskudd kommer til fradrag i underskuddsåret. I så fall må man ved beregningen av tilbakeholdt overskudd i framtidige år legge til benyttet framførbart underskudd. Dette sikrer at ACE-grunnlaget reflekterer akkumulert tilbakeholdt overskudd i selskapet.
I de tilfellene et selskap får negativ egenkapital vil det også reises noen særlige utfordringer. Det må da vurderes om ACE-fradraget skal settes til null eller om selskapet skal få et negativt fradrag i form av en skattepliktig sjablonginntekt. Dersom ACE-fradraget settes til null, kunne en tenke seg at det ble beregnet en sjablonginntekt som ble framført og motregnet i framtidige ACE-fradrag. Imidlertid kan de to metodene gi ulike resultat siden framførbar sjablonginntekt ikke nødvendigvis vil komme til beskatning dersom selskapet går konkurs. Nøytralitetshensyn tilsier derfor at negativ egenkapital medfører et påslag i skattbart overskudd i form av en sjablonginntekt.
Eiendeler som ikke genererer skattepliktig inntekt, bør ikke inngå i ACE-grunnlaget. Når eiendeler ikke gir skattepliktig inntekt, er det heller ikke avkastning å gi fradrag for på disse eiendelene. Dette vil blant annet gjelde eiendeler som omfattes av fritaksmetoden. Etter fritaksmetoden er selskap som hovedregel unntatt fra skatt på utbytte og gevinst på aksjer i selskap hjemmehørende i EØS-området. Fritaksmetoden omfatter også finansielle instrumenter med aksjer som omfattes av fritaksmetoden som underliggende.
Fritaksmetoden sikrer at selskapsoverskudd ikke skattlegges flere ganger i en eierkjede, og da bør heller ikke aksjekapitalen inngå i skjermingsgrunnlaget i flere ledd. Skjermingsgrunnlaget bør derfor reduseres med netto kjøp av aksjer og andre eierandeler (og finansielle instrumenter) som omfattes av fritaksmetoden. Opptjent skattefri avkastning fra slike eiendeler skal likevel inngå i skjermingsgrunnlaget. Dette skyldes at opptjent avkastning overført fra det utenlandske selskapet da blir egenkapital i det norske eierselskapet.
Aksjer i utenlandske selskap som ikke omfattes av fritaksmetoden, bør inngå i skjermingsgrunnlaget. I dette tilfellet vil avkastningen være skattepliktig for det norske selskapet, og innskuddet i det utenlandske selskapet vil ikke inngå i skjermingsgrunnlaget i flere ledd.
Eiendeler som er tilknyttet utenlandske faste driftssteder, genererer i mange tilfeller heller ikke skattepliktige inntekter i Norge som følge av skatteavtaler og burde derfor trekkes fra skjermingsgrunnlaget. EØS-retten kan imidlertid begrense muligheten til å trekke fra eiendeler tilknyttet utenlandske faste driftssteder.
Nærmere om tilpasningsmuligheter
Innføring av et ACE-fradrag vil gi insentiv til å tilpasse seg slik at skjermingsgrunnlaget (egenkapitalen) blir størst mulig. Regelverket må derfor utformes med sikte på å redusere mulighetene for uheldige tilpasninger. Regelverket må blant annet bidra til at egenkapitalen ikke kan økes gjennom omorganiseringer og endringer av selskapsstrukturer.
Elementer i dagens regelverk vil bidra til å hindre at skjermingsgrunnlaget kan manipuleres. Likvidasjon og oppløsning av selskap utløser som hovedregel beskatning for selskap og aksjonærer. Et selskap kan derfor ikke likvideres og overføres til et nystiftet selskap for å øke skjermingsgrunnlaget uten at ubeskattede midler samtidig skattlegges. Det samme gjelder ved overføring av eiendeler mellom konsernselskap.
I mange tilfeller kan imidlertid omorganiseringer og omdanninger gjennomføres etter reglene om skattefrie fusjoner/fisjoner og reglene om skattefri omdanning. Slike transaksjoner skal gjennomføres med skattemessig kontinuitet. For å unngå at slike transaksjoner gir økt skjermingsgrunnlag må kontinuiteten også omfatte dette grunnlaget.
Et ACE-fradrag kan også øke insentivene til å plassere eiendeler av mer privat art og som hovedsakelig brukes av eierne i selskapet. Dette vil i utgangspunktet øke grunnlaget for å beregne ACE-fradrag. Det må derfor vurderes om det er behov for tiltak for å motvirke at aksjonærer anskaffer eiendeler i selskapet som er ment til privat bruk, og om det er behov for særregler som unntar slike eiendeler fra skjermingsgrunnlaget. Privat konsum i selskap er for øvrig nærmere omtalt i kapittel 11.
Etter innføringen av aksjonærmodellen har lån fra aksjeselskap til personlige aksjonærer økt betydelig. Tall fra Skattedirektoratet viser at lån fra selskap til personlige aksjonærer har økt fra 6,7 mrd. kroner i 2006 til 20,6 mrd. kroner i 2012. Det antas at dette til en viss grad skyldes tilpasninger for å utsette utbyttebeskatningen (til tross for at det i utgangspunktet ikke skal være skattemessig favorisert). Slike tilpasninger vil imidlertid bli fordelaktig med en ACE-modell. Aksjonæren får da tilgang på midlene samtidig som lånet ikke reduserer skjermingsgrunnlaget. Etter utvalgets forslag i kapittel 11 skal imidlertid lån til personlige aksjonærer eller deres nærstående skattemessig behandles som utbytte.
En måte å øke skjermingsgrunnlaget på kunne være å skyte inn kapital før årsskiftet som ble tilbakebetalt rett etter årsskiftet. Denne problemstillingen oppstår også i dagens aksjonærmodell. En slik oppkapitalisering må imidlertid følge aksjeloven og allmennaksjelovens regler for kapitalutvidelse og kapitalnedsettelse. Det innebærer blant annet at reglene om kreditorvarsel må følges. Dette gjør at slike kapitalutvidelser med påfølgende nedsettelser vil innebære en viss administrativ byrde for selskapene. Kapitalendringene vil være kontrollerbare for ligningsmyndighetene, og kapitalutvidelser med påfølgende nedsettelser rundt årsskiftet for å øke skjermingsgrunnlaget vil kunne bli gjenstand for gjennomskjæring. Etter det utvalget er blitt kjent med, har skattemyndighetene ikke rapportert om problemer med slike tilpasninger etter innføringen av aksjonærmodellen.
Begrense fradraget til ny egenkapital
Hovedhensikten med et ACE-fradrag er å likebehandle gjeld og egenkapital og styrke investeringsinsentivene. Det er imidlertid ikke nødvendig å gi ACE-fradrag til eksisterende skattemessig balanseført egenkapital for å fjerne favoriseringen av gjeld eller styrke insentivene til å investere. Det vil være tilstrekkelig å gi fradrag for alternativavkastningen for ny egenkapital tilført eller opparbeidet etter innføringen av modellen. Likebehandling sikres blant annet gjennom at omgjøring av gjeld til egenkapital vil kvalifisere til ACE-fradrag. Investor kan med andre ord betale inn ny egenkapital slik at selskapet kan redusere gjelden og samtidig vil skjermingsgrunnlaget øke.
Ved å sette skjermingsgrunnlaget til null for eksisterende egenkapital kan en imidlertid få enkelte tilfeldige utslag avhengig av sammensetningen av selskapets eiendeler på innføringstidspunktet. Dersom selskapet for eksempel har en kontantbeholdning som kort tid etter benyttes til å kjøpe aksjer som omfattes av fritaksmetoden, skal skjermingsgrunnlaget nedreguleres med økningen i beholdningen av verdipapirer som omfattes av fritaksmetoden. Dette vil i praksis si at selskapet starter med et negativt skjermingsgrunnlag. Motsatt kan et selskap sitte med en beholdning av aksjer som realiseres kort tid etter innføringen av metoden. Dette selskapet oppnår da en økning av skjermingsgrunnlaget tilsvarende kostprisen på de realiserte aksjene.
Dersom skjermingsgrunnlaget settes til null på innføringstidspunktet, vil selskapene videre ha insentiv til å ta ut mest mulig kapital fra selskapet før innføringen av modellen. Denne kapitalen kan skytes inn igjen i selskapet etter at ACE-fradraget er innført. Kapitalen vil da betraktes som ny egenkapital som inngår i grunnlaget for beregningen av ACE-fradraget. En måte å motvirke slike tilpasninger kan være å sette selskapenes egenkapital til null ved starten av det inntektsåret forslaget blir kjent.
Denne løsningen vil uansett medføre at eierne får insentiv til å likvidere og opprette selskap på nytt. Eksisterende, innskutt egenkapital i det likviderte selskapet oppstår da som ny, innskutt egenkapital i det nyopprettede selskapet. Incentivene til denne typen tilpasninger dempes av at investorene vil ha kostnader både knyttet til beskatning i forbindelse med likvidasjonen og til gjennomføringen av likvidasjon og opprettelse av selskap.
Så langt utvalget har klart å avdekke, synes ikke mulighetene for å tilpasse seg å være så høye at en begrensning til ny egenkapital ikke kan vurderes. Flere andre land har innført modeller som avgrenser ACE-fradraget til ny egenkapital, jf. avsnitt 5.3.2.3.
Nærmere om deltakerlignede selskap og utenlandske selskap med begrenset skatteplikt
Ovenfor er det lagt til grunn at egenkapitalen beregnes som innskutt kapital i selskapet tillagt tilbakeholdt overskudd. Fremstillingen tar utgangspunkt i beregning av egenkapitalen i aksjeselskap og andre selskapsformer som er egne skattesubjekter. Etter utvalgets vurdering kan modellen trolig også tilpasses deltakerlignede selskap, men det oppstår særskilte problemstillinger for utenlandske selskap med begrenset skatteplikt.
Deltakerlignede selskap er ikke egne skattesubjekter. Deltakerne lignes hver for seg for sin andel av selskapets inntekt. Overskuddet fastsettes som om selskapet var skattyter, og fordeles deretter på deltakerne. Deltakerne skattlegges i tillegg etter deltakermodellen, som bygger på samme prinsipp som aksjonærmodellen. Avkastning ut over skjerming ekstrabeskattes ved utdeling fra selskapet til personlig deltaker. Etter dagens regler er det derfor nødvendig å beregne personlige deltakeres innskudd i selskapet og utdelinger til personlige deltakere. Dette tilsier at det kan være mulig å beregne egenkapitalen i ansvarlige selskap på lignende måte som skissert for aksjeselskap. En slik modell antas likevel å være administrativt komplisert.
For utenlandske selskap som er begrenset skattepliktig for inntekt fra virksomhet i Norge, oppstår det imidlertid særskilte problemstillinger knyttet til å definere skjermingsgrunnlaget. I slike tilfeller driver det utenlandske selskapet virksomheten direkte gjennom filial. Det opprettes ikke et eget datterselskap i Norge, men den norske filialen er en del av det utenlandske selskapet. Det skytes derfor ikke inn formelle kapitalinnskudd i filialen. Overføringer av kapital fra den norske virksomheten til det utenlandske selskapet skjer heller ikke i form av formelt utbytte eller tilbakebetaling av innbetalt kapital. Dette gjør det vanskelig å fastsette egenkapitalen basert på summen av innskutt kapital og tilbakeholdt overskudd fordi disse størrelsene ikke eksisterer i praksis.
Et alternativ kan være å ta utgangspunkt i verdiene av eiendelene som er knyttet til virksomheten i Norge når egenkapitalen skal fastsettes. Egenkapitalen kan da settes til skattemessige verdier av eiendelene med fradrag for gjeld som skal tilordnes den norske filialen. Disse verdiene vil kunne utledes av (skatte)regnskapet for filialen. Utenlandske selskap som driver norsk virksomhet gjennom filial, er regnskapspliktige og skal utarbeide årsregnskap i henhold til regnskapslovens regler, i tillegg til årsregnskap for det utenlandske selskapet i henhold til hjemstatens regler. Dersom det legges opp til at egenkapitalen beregnes på en annen måte for filialer av utenlandske selskap enn for norske aksjeselskap, oppstår det spørsmål om dette kan være i strid med EØS-avtalen. Dette må i tilfelle utredes nærmere.
Alternativ metode for å beregne egenkapitalen
Hvis skjermingsgrunnlaget ikke kan tilpasses utenlandske selskap med begrenset skatteplikt uten å komme i konflikt med EØS-avtalen, bør en vurdere en alternativ metode for beregning av skjermingsgrunnlaget for norske selskap. Et slikt alternativ kan være å ta utgangspunkt i skattemessige verdier i selskapet. En slik metode har likhetstrekk med foretaksmodellen for beregning av personinntekt for personlig næringsdrivende i enkeltpersonforetak. Etter foretaksmodellen gis det fradrag for skjerming ved beregning av personinntekten. Skjermingen skal tilsvare den risikofrie avkastningen av den kapitalen som er investert i selskapet. Ved beregningen av skjermingsgrunnlaget tas det utgangspunkt i de skattemessige verdiene av eiendeler som virker i virksomheten.
Hvis skjermingsgrunnlaget ved innføringen av ACE-fradraget skal ta utgangspunkt i eksisterende kapital, kan egenkapitalen defineres som selskapets skattemessige verdier fradratt gjeld per 1. januar. Denne metoden kan også utformes slik at egenkapitalen settes til null ved innføringen av ACE-fradraget. I innføringsåret må egenkapitalen da beregnes både per 1. januar og 31. desember. Skjermingsgrunnlaget for år 1 settes til endringen egenkapital. I år 2 må egenkapitalen beregnes per 31. desember. Skjermingsgrunnlaget for år 2 vil være skjermingsgrunnlaget for år 1 tillagt endringen av egenkapital i år 2, det vil si differansen mellom egenkapital 31. desember år 2 og egenkapital 31. desember år 1. For å hindre tilpasninger kan skjermingsgrunnlaget, på samme måte som beskrevet ovenfor, ta utgangspunkt i skattemessige verdier ved starten av året forslaget blir kjent.
Tilpasningsmulighetene antas omtrent å bli de samme som nevnt under modellen der en tar direkte utgangspunkt i egenkapitalen.
5.3.2.2 Skjermingsrenten i en ACE-modell
ACE-fradraget beregnes som en prosentsats (skjermingsrenten) multiplisert med skjermingsgrunnlaget (egenkapitalen). ACE-modellen er i prinsippet ekvivalent med en nøytral kontantstrømskatt når skjermingsrenten er lik renten som framtidige ACE-fradrag diskonteres med. Diskonteringsrenten vil avhenge av graden av risiko knyttet til selskapenes mulighet til å utnytte skatteverdien av ACE-fradraget. Under forutsetning av at investorene har full sikkerhet for skatteverdien av ACE-fradraget, skal diskonteringsrenten fastsettes med utgangspunkt i den risikofrie (nominelle) renten. Dette forutsetter at selskap som går med underskudd enten får utbetalt ACE-fradraget eller får framført fradraget med rente. Investorene må også få utnyttet ACE-fradraget ved konkurs eller avvikling av selskapet. Forutsetningene for at ACE-modellen er nøytral med bruk av risikofri rente er drøftet i boks 5.3.
Boks 5.3 Verdsettelse av sikre skattefradrag
Det er standard metode i økonomisk analyse at sikre skattefradrag skal verdsettes med en risikofri rente. Dette er vist blant annet i Fane (1987), Myers (1974), Summers (1987) og Bond og Devereux (1995 og 2003). IMF (2012) refererer også til disse resultatene i sine tilrådinger. I det gjeldende norske skattesystemet bygger grunnrenteskatten på vannkraftanlegg, særskatten på petroleum og aksjonærmodellen på disse prinsippene.
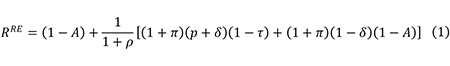
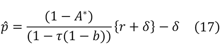
I studien «Generalised R-based and S-based taxes under uncertainty» fra 2003 analyserer Bond og Devereux ulike utforminger av nøytrale skattesystem. I henhold til denne publikasjonen vil et ACE-system utformet i tråd med punktene 1.–7. virke nøytralt:
Selskapsresultatet (inntekter fratrukket kostnader) skattlegges med en konstant skattesats over tid og uavhengig av om skattegrunnlaget er positivt eller negativt.
Det gis et vilkårlig fradrag for avskrivninger.
Det gis et årlig fradrag for egenkapitalkostnad (ACE-fradrag) på selskapets egenkapital ved inngangen til skatteåret (dvs. skattemessig restverdi av eiendelene fratrukket gjeld, der skattemessig restverdi er definert som investeringskostnaden fratrukket den vilkårlige avskrivningen).
Det gis fradrag for faktiske gjeldsrenter med rentesats satt på armlengdevilkår.
Ved opphør av virksomheten beskattes forskjellen mellom årets markedsverdi av eiendelene og skattemessig restverdi av eiendelene (gevinstbeskatning).
Ved konkurs gis eksisterende aksjonærer et fradrag tilsvarende skattemessige restverdi av eiendelene ved inngangen til skatteåret fratrukket gjeld.
Ved konkurs beskattes ikke skatteverdien av forskjellen mellom markedsverdi og skattemessig restverdi av eiendelene, jf. punkt 5. Dersom selskapet går konkurs, men virksomheten videreføres på nye eieres hånd, skal skattemessig restverdi settes til nåverdien av framtidige kontantstrømmer fra selskapet.
I tillegg forutsettes symmetrisk informasjon og perfekt konkurranse i kredittmarkedene, slik at renprofitten i prosjekter tilfaller aksjonærer og ikke overveltes i kredittmarkedene.
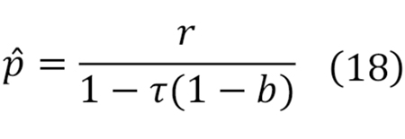
Mirrlees et al. (2011) argumenterer også for at korrekt rente ved full sikkerhet er risikofri rente og illustrerer dette med et eksempel. Eksempelet er tilpasset norske forhold. Anta at et firma investerer 1 mill. kroner i en eiendel som varer evig og som ikke depresierer. I en kontantstrømskatt vil selskapet kunne trekke fra investeringskostnaden på 1 mill. kroner i første periode. Hvis vi antar at inflasjonen er null og at den risikofrie (real-)renten er 2,5 pst., vil ACE-modellen i stedet gi en evig strøm på 25 000 kroner per år. I nåverdi (neddiskontert med 2,5 pst.) gir dette 1 mill. kroner. Hvis ACE-fradraget hadde blitt kalkulert med en høyere rente enn den risikofrie renten, ville nåverdien av ACE-fradraget oversteget verdien av fradraget i en kontantstrømskatt. Konsekvensen av dette hadde vært at avkastningskravet før skatt hadde blitt lavere enn avkastningskravet uten skatt.
Dersom selskapene ikke har full sikkerhet for skatteverdien av ACE-fradraget, skal skjermingsrenten inneholde et risikotillegg. Etter gjeldende regler er det ikke full sikkerhet for alle fradrag i den ordinære selskapsskatten. Underskudd framføres ikke med renter, og ved konkurs kan ubenyttet fremførbart underskudd falle bort. Risikoen for ikke å få utnyttet skattefradrag vil variere mellom selskap. En betydelig del av risikoen vil trolig stamme fra sannsynligheten for at selskapet går konkurs. Denne risikoen vil være reflektert i renten som selskapene kan låne til. En mulighet kunne derfor være å sette skjermingsrenten lik selskapenes langsiktige innlånsrente (Griffith, Hines og Sørensen, 2011).
Imidlertid vil det være administrativt krevende å bruke selskapsspesifikke lånerenter. Praktiske hensyn tilsier derfor at en må bruke en felles skjermingsrente for alle selskap, selv om dette kan gå ut over modellens nøytralitetsegenskaper. En rimelig tilnærming kan være å benytte gjennomsnittlig rente på selskapsobligasjoner (Griffith, Hines og Sørensen, 2011).
Ved å fastsette et risikotillegg i skjermingsrenten på et ACE-fradrag kan det imidlertid oppstå nye skjevheter. For eksempel kan det lønne seg å øke aksjekapitalen i selskapet og investere i aktiva med lav eller ingen risiko, for eksempel bankinnskudd. Det økte skjermingsfradraget som oppnås ved dette, kan benyttes til å skjerme inntekter fra andre risikable aktiva med høyere avkastning. Dette vil gjøre skjermingen mindre effektiv og kan gi vridninger i investeringsbeslutningene. Dersom dette gjøres i stort omfang, kan dette føre til vesentlig reduksjon i provenyet fra selskapsskatten.
Med ACE-modellen vil fradraget for egenkapital fastsettes av myndighetene, mens fradraget for gjeld bestemmes av avtalt rente mellom investor og selskap. Dette gjør at gjeld fremdeles kan bli foretrukken finansieringskilde i interessefellesskap. For å hindre dette har utvalget vurdert en modell der fradraget for gjeldsfinansiering også fastsettes av myndighetene (en såkalt ACC-modell). Denne modellen er nærmere omtalt i avsnitt 5.3.3.
5.3.2.3 ACE-modeller i andre land
Belgia
Belgia har i utgangspunktet en tradisjonell selskapsskatt, der selskapenes inntekter fratrukket kostnader, inkludert renter, beskattes. Fra og med skatteåret 2007 gir Belgia et eget fradrag for risikokapital. Fradraget fastsettes som en beregnet rentekostnad på justert egenkapital, og gjelder for selskap hjemmehørende i Belgia eller utenlandske selskap med fast driftssted i Belgia. Det gjelder ikke belgiske enkeltpersonforetak. Fradraget gjør at gjeld og egenkapital kan anses for å være skattemessig likebehandlet. Den belgiske selskapsskatten ligner dermed på den teoretiske ACE-modellen.
Utgangspunktet for det belgiske ACE-fradraget er egenkapitalen i åpningsbalansen for skatteåret. Dette består av innskutt egenkapital, overkursfond, urealiserte verdiendringer, reserver, tilbakeholdt overskudd og kapitalsubsidier. Denne egenkapitalen blir imidlertid justert for å unngå misbruk og doble fradrag. Et hensyn i utformingen av det belgiske skattesystemet har vært at bare eiendeler som genererer skattbar inntekt, skal få fradrag for risikokapital. Følgende elementer trekkes fra egenkapitalen:
netto finansiell verdi av egne aksjer og andre aksjer bokført som finansielle eiendeler
netto finansiell verdi av aksjer utstedt av investeringsselskap, der inntekt faller inn under belgisk fritaksmetode
netto bokført verdi av faste driftsmidler som urimelig overstiger forretningsmessige behov
netto bokført verdi av faste driftsmidler som holdes som investeringseiendel og som ikke vil generere periodiske inntekter
bokført verdi av eiendom brukt av direktører eller deres ektefeller og barn og bokført verdi av passive eiendeler (kunst, smykker og samleobjekter)
skattefri urealisert verdistigning, kapitalsubsidier og skattekreditter for forskning og utvikling
Opprinnelig ble også ACE-grunnlaget nedjustert for netto egenkapital allokert til utenlandske faste driftssteder (også utenlandsk eiendom) der inntekt unntas beskatning som følge av en skatteavtale. I den såkalte Argenta Spaarbank-dommen av 4. juli 2013 kom imidlertid EU-domstolen til at nedjustering for netto egenkapital allokert til utenlandske faste driftssteder i EØS-området var i strid med retten til fri etablering. Som følge av dette fjernet Belgia fra og med inntektsåret 2014 nedjusteringen for utenlandske driftssteder i land som Belgia har skatteavtale med. I stedet skal nå korreksjonen skje i selve ACE-fradraget. For EØS-land skal ACE-fradraget nedjusteres med det laveste av resultatet i det utenlandske faste driftsstedet eller ACE-fradraget som stammer fra det utenlandske faste driftsstedet. I praksis betyr dette at utenlandske faste driftssteder fortsatt ikke gir ACE-fradrag dersom overskuddet overstiger ACE-fradraget stammende fra det utenlandske driftsstedet. Dersom overskuddet er lavere enn ACE-fradraget, økes ACE-fradraget for det belgiske selskapet med differansen mellom ACE-fradraget og overskuddet stammende fra det faste driftsstedet.
ACE-fradraget beregnes med utgangspunkt i gjennomsnittlig rente på 10 års statsobligasjoner i månedene juli, august og september to år før skatteåret. Det legges på et halvt prosentpoeng for små og mellomstore bedrifter. Det er fastlagt et rentetak på 6,5 pst., og renten kan ikke endres med mer enn ett prosentpoeng fra ett år til det andre. For skatteåret 2014 er normrenten fastsatt til 2,742 pst., mens den er 3,242 pst. for små og mellomstore bedrifter. I prinsippet betraktes dermed bedriftens egenkapital skattemessig som gjeld med samme årlige rente som en 10 års statsobligasjon. Tidligere var det anledning til å framføre ubenyttet ACE-fradrag sju år fram i tid. Regelen ble endret fra og med inntektsåret 2013 slik at det ikke lenger mulig å framføre nye opptjente ubenyttede fradrag. Dette har redusert modellens nøytralitetsegenskaper.
Belgia introduserte fradrag for risikokapital dels for å tiltrekke nye egenkapitalfinansierte investeringer og dels for å beholde de såkalte internasjonale koordinasjonssentrene. Slike koordinasjonssentre innebærer at flernasjonale selskap samlokaliserer enkelte konsernaktiviteter (finansiering, skattehåndtering mv.) og har siden 1982 vært begunstiget i det belgiske skatteregimet. Belgia ble imidlertid tvunget til å avvikle de gunstige skattefordelene for disse koordinasjonssentrene etter at Europakommisjonen fant at det tidligere regimet innebar ulovlig statsstøtte til disse sentrene.
En studie av Princen (2012) viser at egenkapitalandelen har økt signifikant etter introduksjonen av fradraget for risikokapital. Princen viser at gjeldsgraden har falt med om lag 2 til 7 pst. etter introduksjonen av ACE-fradraget. Analysen viser også at større selskap erfarer en høyere effekt av ACE-fradraget enn små og mellomstore selskap.
Italia
ACE-modell I (2011- )
Italia innførte et fradrag for egenkapital i 2011 under betegnelsen støtte til økonomisk vekst, «Aiuto alla Crescita Economica». Formålet var å stimulere egenkapitalfinansieringen av selskap. Dette fradraget tilsvarer fradrag for egenkapital under ACE-modellen og har likhetstrekk med det belgiske fradraget. Det italienske ACE-fradraget beregnes for nye investeringer finansiert med egenkapital.
ACE-fradraget tillater selskap hjemmehørende i Italia og utenlandske selskap med fast driftssted i Italia å trekke fra et beløp beregnet som en prosent av egenkapital oppstått etter 2010. Ny egenkapital er definert som summen av positive og negative endringer i bestemte tilfeller:
Kontantbidrag:Dette inkluderer ikke bare kontanter, men også ubetinget ettergivelse av aksjonærgjeld (inkludert omgjøring av konvertible obligasjoner til aksjekapital) og motregning i finansielle fordringer ved økning i aksjekapitalen.
Tilbakeholdt overskudd:Dette omfatter alt overskudd som ikke er utdelt og inkluderer også midler benyttet til dekning av tap. Tilbakeholdt overskudd må være «tilgjengelig» for å kvalifisere for ACE-fradrag. Slike midler anses ikke for å være «tilgjengelig» dersom de stammer fra endringer i verdsetting av investeringer eller urealiserte verdiendringer, dersom de ikke kan utdeles eller dersom de ikke kan brukes til å øke aksjekapitalen eller dekke tap.
Utdeling til aksjonærer:Denne kategorien omfatter endringer i egenkapital som følge av tilbakekjøp og salg av egne aksjer.
I tillegg er det egne regler for å hindre utnyttelse av regelverket. Dette omfatter blant annet justering for kontantbidrag fra nærstående, kjøp og salg av aksjer i nærstående selskap og lån og andre finansielle instrumenter til nærstående parter.
For årene 2011, 2012 og 2013 ble fradraget satt til 3 pst. av den nye egenkapitalen. For 2014 er renten satt 4 pst., og for 2015 og 2016 skal den være henholdsvis 4,5 pst. og 4,75 pst. Det var planlagt at prosentsatsen skulle fastsettes årlig av det italienske finansdepartementet på grunnlag av gjennomsnittlig avkastning på italienske statsobligasjoner, tillagt et risikotillegg på 3 pst., men iverksetting av denne metoden er utsatt til 2017. Ubenyttet ACE-fradrag kan framføres uendelig.
ACE-modell II (1997–2003)
Italia hadde en variant av ACE-modellen i selskapsbeskatningen i perioden 1997 til 2003. Denne varianten av ACE-modellen var kjennetegnet ved at beregnet egenkapitalkostnad ikke kunne trekkes fra, men ble i stedet skattlagt med redusert skattesats. Redusert sats kunne bare benyttes for beregnede kostnader knyttet til ny egenkapital. I praksis ble dermed alternativavkastningen på ny egenkapital og tilbakeholdt overskudd skattlagt med lav sats, mens renprofitten eller grunnrenten ble beskattet med høyere satser.
Grunnlaget for å beregne egenkapitalkostnaden var i utgangspunktet bokført verdi av ny egenkapital. Ny egenkapital skulle reflektere ny utstedt egenkapital og tilbakeholdt overskudd. Dette ble fastsatt som endringer i bokført kapitalbeholdning etter reformdato, fratrukket økning i lån til datterselskap, lån til morselskapet og andre investeringer holdt som faste eiendeler i selskapet. Grunnlaget ble imidlertid satt til 120 pst. av bokført verdi i 2000 og 140 pst. av bokført verdi i 2001. Normrenten var 7 pst. fra 1997 til 2000 og deretter 6 pst. fram til 2003.
Beregnet egenkapitalkostnad ble skattlagt med en skattesats på 19 pst. i stedet for den generelle skattesatsen som var 37 pst. på reformtidspunktet. I 2001 ble den generelle skattesatsen redusert til 36 pst. og ytterligere redusert til 34 pst. i 2003. For å kunne benytte den lave satsen på beregnet egenkapitalkostnad var det opprinnelig et krav om at selskapets gjennomsnittsskatt ikke kunne bli lavere enn 27 pst. Denne restriksjonen ble imidlertid fjernet i 2001. Ubenyttet grunnlag kunne framføres opp til fem år i de tilfeller selskapene ikke kunne dra fordel av lavere skattesats.
Samtidig med at en innførte ACE i selskapsskatten på statsnivå, ble det gjort endringer i skatten på lokalt nivå som trakk i motsatt retning. Det ble introdusert kildebasert merverdiavgift på 4,25 pst. Denne skatten utligner også forskjeller mellom gjeld og egenkapital, men ved å fjerne rentefradrag. Skatten ligner en CBIT, med den forskjell at kildebasert merverdiavgift også skattlegger lønnsinntekt.
Det italienske systemet blandet dermed sammen både en variant av ACE og en variant av CBIT. Samtidig ble parametere i systemet endret flere ganger i perioden. Teoretiske og empiriske analyser har derfor vært vanskelig å gjennomføre (Klemm, 2006). Flere studier viser imidlertid at egenkapitalandelen økte som følge av reformen. Videre beskriver flere studier at det først og fremst var store og lønnsomme selskap som utstedte ny egenkapital i perioden og dermed dro fordeler av systemet. Det er imidlertid ikke gjennomført komparative studier om det nye systemet bidro til økt kapitalutstedelse sammenlignet med utstedelser før reformen.
Dette systemet med redusert sats for alternativavkastningen ble fjernet i 2004 samtidig som selskapsskatten ble redusert til 33 pst.
Brasil
Brasil har hatt et skattesystem basert på ACE-modellen siden 1996. I motsetning til andre ACE-varianter åpner den brasilianske modellen for et ACE-fradrag hvis det utbetales til aksjonærene, men ikke hvis det holdes tilbake i selskapet. Effektene av systemet er derfor forskjellig fra standard ACE-system. For selskap som normalt betaler ut utbytte over maksimalt fradrag har systemet samme egenskaper som en standard ACE-modell. For selskap som normalt betaler utbytte under maksimalt fradrag, gir systemet i praksis skattemessig fradrag for utbytte.
Med fravær av transaksjonskostnader ville restriksjonen på fradraget ikke ha særlig effekt. Selskap som ønsker å utbetale et lavere beløp enn fradraget, ville i så fall kunne betale ut utbytte tilsvarende maksimalt fradrag, for så å hente inn beløpet på nytt i kapitalmarkedene. I praksis kan imidlertid transaksjonskostnadene ved å utstede ny kapital være betydelig. Enkelte selskap vil derfor ikke kunne trekke fra det fulle fradraget (Klemm, 2006).
Klemm (2006) viser i en studie av det brasilianske systemet at svært få selskap hadde dividender som oversteg fradraget for egenkapital. I praksis virker dermed det brasilianske systemet ikke som en ACE-modell, men som en modell med fradrag for utbytte. I likhet med en ACE-modell virker også fradrag for utbytte nøytralt mellom gjeld og egenkapital som kilder til å finansiere nye investeringer. En ville derfor vente endringer i kapitalstrukturen med innføring av dette systemet. Data viser imidlertid ikke signifikante effekter på kapitalstrukturen. Samtidig ville en også i et slikt system vente en økning i utbyttebetalinger. Data bekrefter denne antagelsen.
Kroatia
Kroatia hadde et skattesystem basert på ACE-modellen i perioden 1994–2000. I utgangspunktet baserte det kroatiske skattesystemet seg på balansen for å finne fram til grunnlaget for selskapsskatten (i motsetning til resultatregnskapet i Norge). Resultatet for regnskapsperioden ble beregnet som endringer i egenkapitalverdien fratrukket ny innskutt egenkapital og tillagt utbytte. I tillegg ble det foretatt visse justeringer for å komme fram til skattemessig resultat. Det ble deretter gitt et fradrag for egenkapitalkostnad (ACE) som ble beregnet med en rente av bokført verdi på egenkapitalen. Renten ble satt til 5 pst. pluss inflasjon i industrielle produktpriser. Negativt skattegrunnlag kunne framføres med samme rente som ACE-fradraget opp til fem år. Skattesatsen var 35 pst.
Keen og King (2002) gjennomgår Kroatias erfaringer med ACE-modellen. De konkluderer med at dette systemet hadde mange attraktive egenskaper ved at det skjermet alternativavkastningen fra beskatning, samtidig som det skapte om lag samme proveny som andel av bruttonasjonalprodukt sammenlignet med de fleste andre skattesystem. Keen og King viser til at det ikke ble gitt noen klare begrunnelser for hvorfor Kroatia valgte å forlate ACE-systemet i 2000. Det var likevel enkelte innvendinger i den politiske debatten forut for avviklingen. Blant annet ble systemet kritisert for å favorisere kapitalintensive framfor arbeidsintensive bedrifter og for å gi fordeler til store statlige og tidligere statlige bedrifter med overvurderte eiendeler. Keen og King viser til at ingen av disse kritikkene var særlig gode og oppsummerer med at ACE-systemet fungerte i praksis.
Østerrike
Østerrike hadde et ACE-basert skattesystem i perioden 2000 til 2004 som hadde flere likheter med den italienske varianten i perioden 1997–2003. Det østerrikske ACE-systemet baserte seg også på bokført verdi av ny egenkapital, der det ble beregnet en egenkapitalkostnad ut fra renter på statsobligasjoner med et tillegg på 0,8 prosentpoeng. Denne egenkapitalkostnaden ble skattlagt med en lav sats på 25 pst. i stedet for 34 pst. som var alminnelig selskapsskattesats. Det østerrikske systemet hadde dermed også et system med lavere skatt på alternativavkastningen (25 pst.) enn på renprofitt og grunnrente (34 pst.).
De Mooij og Devereux (2008) gir en nærmere beskrivelse av det østerrikske ACE-systemet, men påpeker at en ikke kjenner til studier som forsøker å beskrive virkningene av dette skattesystemet.
Latvia
I perioden 2009 til og med 2013 ga Latvia et fradrag for rentekostnad på tilbakeholdt overskudd. Selskapet kunne kreve et årlig fradrag tilsvarende akkumulert tilbakeholdt overskudd fra og med 2009 multiplisert med en rente fastsatt av den latviske sentralbanken. Renten tilsvarte gjennomsnittlig rente på lån utstedt til ikke-finansielle foretak i skatteåret. Rentesatsen var 5,05 pst. i 2010, 4,37 pst. i 2011 og 3,93 pst. i 2012.
Luxemburg
Luxemburg fikk ny regjering 4. desember 2013 og i regjeringsplattformen varsles flere tiltak på skatteområdet for å opprettholde Luxemburg som et attraktivt sted for internasjonal aktivitet, særlig hovedkvarter for internasjonale konsern. Blant annet foreslås det å innføre et fradrag for egenkapitalkostnad for å oppmuntre egenkapitalfinansiering av investeringer. Det er foreløpig ikke fremmet forslag om dette.
5.3.2.4 Virkninger og konsekvenser av en ACE-modell
Beskatning av alternativavkastning på personlig hånd
ACE-fradraget innebærer at det gis fradrag for kostnaden ved å binde kapital på selskapets hånd. I dag skjermes kostnaden på eierenshånd gjennom aksjonærmodellens skjermingsfradrag. Dersom en ønsker å skattlegge alternativavkastningen av kapitalen for norske investorer, må skattesystemet tilpasses slik at den i stedet blir beskattet på personlig hånd. Det finnes ulike metoder å gjøre dette på. Beskatning av alternativavkastningen på personlig hånd vil ikke rokke ved at egenkapital og gjeld likebehandles på selskapets hånd. For utenlandske investorer vil imidlertid norsk beskatning av alternativavkastningen opphøre.
En ACE-modell med full utbytte- og gevinstbeskatning hos eierne flytter skatt på alternativavkastningen over til personlige norske eiere. Ved å erstatte selskapsskatten (kildeskatt) med en tilsvarende beskatning på personlig hånd (residensskatt) vil en oppnå en mer konsekvent residensbeskatning i det norske skattesystemet. Da vil norske investorers avkastningskrav før skatt ovenfor norske selskap reduseres sammenlignet med dagens selskapsskatt. Årsaken er at alternativavkastningen fra utenlandske investeringer som etter dagens skatteregler kan få lav effektiv skatt gjennom fritaksmetoden og aksjonærmodellen, nå blir beskattet på personlig hånd. Samtidig fjernes selskapsskattens virkning som kildeskatt. Samlet gjør dette at avkastningskravet norske investorer stiller overfor norske selskap, blir redusert.
Det kunne også vurderes å innføre en gjennomgående skjerming av alternativavkastningen på investeringer i selskapssektoren, dvs. også på personlig hånd i Norge. En slik modell er i tråd med anbefalinger i Mirrlees’ Review (Mirrlees et. al., 2011). I så fall må skjermingsfradraget i aksjonærmodellen beholdes. Da bør imidlertid også alternativavkastningen av investeringer utenfor selskapsskatten også skjermes for beskatning. I motsatt fall vil skattesystemet virke vridende mellom ulike kapitalplasseringer. For eksempel ville alternativavkastningen fra investeringer i aksjer ikke bli beskattet, mens alternativavkastningen fra låneinstrumenter ville blitt beskattet. For å motvirke denne vridningen kan aksjonærmodellen utvides til også å omfatte blant annet andre finansielle instrumenter. I praksis vil dette innebære at en på personlig hånd avvikler skatteplikt for alle finansielle inntekter, herunder renter. Symmetrihensyn tilsier i så fall at en også fjerner rentefradraget for personer. Det oppstår da et spørsmål hvordan en skal behandle renteutgifter for personlig næringsdrivende. En slik modell vil trolig være krevende å iverksette i praksis.
Utvalget legger til grunn at et ACE-fradrag på selskapets hånd i kombinasjon med beskatning av alternativavkastningen på personlig hånd vil redusere kapitalkostnaden for norske investorer sammenlignet med dagens regler. Samlet sett mener utvalget at alternativavkastningen bør beskattes på personlig hånd for norske investorer dersom det innføres en ACE-modell i selskapsbeskatningen. Skattleggingen på personlig hånd kan utformes på ulike måter. Dette er beskrevet nærmere nedenfor.
Likebehandling av gjeld og egenkapital
En ACE-modell vil innebære at selskapet får et fradrag for finansieringskostnadene ved egenkapital på linje med fradraget for fremmedkapitalen (rentefradraget). På den måten skjermes alternativavkastningen av både egenkapital og gjeld for beskatning på selskapets hånd. Dette skal i prinsippet føre til likebehandling av ulike finansieringskilder. Siden også tilbakeholdt overskudd inngår som en del av ACE-grunnlaget, vil modellen sikre full finansieringsnøytralitet på selskapets hånd. Selskapet vil i en nøytral ACE-modell være indifferent mellom å finansiere prosjekter med gjeld, ny egenkapital eller tilbakeholdt overskudd.
For innenlandske aksjonærer kan imidlertid ACE-modellen kombinert med en fjerning av aksjonærmodellen gi vridning i favør av finansiering med tilbakeholdt overskudd når en tar hensyn til eierbeskatningen. Avkastning på eiers hånd vil først bli skattlagt ved uttak eller realisasjon gjennom gevinst- og utbyttebeskatningen. Ved å finansiere investeringer med tilbakeholdt overskudd i selskapet kan eier dermed rentefritt utsette beskatningen. Denne skattekreditten gjør at tilbakeholdt overskudd kan bli foretrukket finansieringskilde, og kan føre til at kapital låses inne i selskapssektoren istedenfor å bli anvendt der den kaster mest av seg. Tilsvarende vil også kunne gjelde for utenlandske aksjonærer. Renteinntekter blir normalt skattlagt løpende i investors hjemland, mens skatt på opptjent egenkapital gjerne først blir skattlagt når overskuddet er tilbakeført til hjemlandet eller fritatt gjennom fritaksmetoder for aksjeinntekter. Dermed kan tilbakeholdt overskudd bli foretrukket finansieringskilde også for utenlandske aksjonærer.
Utvalget har vurdert løsninger for å begrense insentivene til innlåsing for norske personlige aksjonærer. En mulighet er å tilordne beregnet risikofri avkastning på akkumulert tilbakeholdt overskudd i selskapet til hver enkelt investor (ut fra eierandel) som et årlig inntektstillegg, og skattlegge inntektstillegget som andre kapitalinntekter. I praksis virker et slikt inntektstillegg som beskatning av renteinntekten knyttet til det tilbakeholdte overskuddet og skal dermed oppheve rentefordelen av utsatt skatt på tilbakeholdt overskudd.
En metode for å beregne et skattetillegg på personlig hånd kan baseres på ACE-fradraget. Selskapet trekker da fra ACE-fradraget for å fastsette sitt skattepliktige overskudd, mens skatteverdien av det samme ACE-fradraget (ut fra eierandel) overføres til eier som et skattetillegg. Tillegget på personlig hånd må korrigeres for at det betales utbytteskatt ved utdeling fra selskapet. På samme måte som skjermingsfradraget kan det legges til grunn at skattetillegget gis til eier per 31.12 i inntektsåret. Når skatteverdien av ACE-fradraget overføres eier, bør skjermingsfradraget i aksjonærmodellen bestå. Uten skjermingsfradraget vil skattetillegget kombinert med den ordinære utbytteskatten ved uttak eller realisasjon medføre dobbeltbeskatning av alternativavkastningen. En slik dobbeltbeskatning vil gi et skattemessig insentiv til å trekke kapitalen ut av selskapet og investere den utenfor selskapssektoren.1 Det legges ikke opp til å tilordne negativt ACE-fradrag (dvs. tillegg) på selskapets hånd på personlig hånd.
Metoden der et skattetillegg tilsvarende ACE-fradraget overføres på personlig hånd, er ekvivalent med en beregnet kapitalinntektsskatt på tilbakeholdt overskudd samt en justert utbytte- og gevinstbeskatning på overnormal avkastning på personlig hånd. Skjermingsgrunnlaget blir som i dag beregnet med utgangspunkt i innskutt egenkapital, men grunnlaget økes med den beregnede kapitalinntektsskatten på tilbakeholdt overskudd. Systemet kan dermed ses på som en reform av aksjonærmodellen. Modeller for å integrere ACE-modellen i personbeskatningen er nærmere beskrevet i eget appendiks 5.1.
En praktisk utfordring ved modellen er at det beregnede skattetillegget vil utløse skatteplikt på personlig hånd uavhengig av om det foreligger realisert utbytte eller gevinst fra selskapet. For å bøte på denne mulige likviditetsutfordringen er det vurdert om en kunne stilt krav om utdeling av utbytte fra selskapet i samme størrelsesorden som tilordnet skattetillegg. Utvalget har imidlertid kommet til at dette vil være et for inngripende virkemiddel i selskapenes disposisjon av overskudd
Utvalget har videre vurdert om det vil være mulig å framføre skattetillegget, slik at det først kommer til beskatning når det utbetales utbytte eller realiseres gevinst. Det kan da legges til grunn at skatten på det framførte skattetillegget ikke overstiger utbyttet i det aktuelle inntektsåret. Dersom skatten skulle være høyere enn utbyttet, vil gjenstående skatt bli framført med rente til beskatning i senere inntektsår. Ved realisasjon må hele gjenstående skattetillegg knyttet til aksjen komme til beskatning. Utvalget vil anbefale denne tilnærmingen hvis en ønsker å motvirke likviditetsutfordringen ved innføring av skattetillegg.
I tillegg oppstår det et problem i konsernforhold. Siden skattetillegget skal tilordnes personlige eiere, kan det bli administrativt krevende for skattemyndighetene å finne fram til den «ultimate» eieren når selskap inngår i kompliserte konsernstrukturer.
En svakhet med metodene beskrevet ovenfor, er at skattetilleggene (kapitalinntektsskatten) ikke kan tilordnes utenlandske eiere. Utvalget legger heller ikke opp til at det skal tilordnes et skattetillegg for norske investorers investeringer i utenlandske selskap (siden disse normalt ikke får ACE-fradrag). I dette tilfellet bør det gjelde en ordinær utbytteskatt uten skjerming. Ved at man ikke tilordner inntektstillegg for utenlandske selskapet kan det imidlertid oppstå insentiver og muligheter til å legge eierskap i norske selskap via et utenlandsk selskap i stedet for å eie direkte i Norge. På den måten kan norske investorer unngå inntektstillegget ved eierskap i norske selskap.
Utvalget har også vurdert en alternativ modell. Denne modellen innebærer at en beregner gjennomsnittlig avkastning over eiertiden og forsøker å redusere skattefordelen av utsatt beskatning av tilbakeholdt overskudd ved å oppjustere skatt ved realisasjon med en justeringsfaktor basert på den gjennomsnittlige avkastningen. Modellen legger til grunn at avkastningen oppstår jevnt over eierperioden. Modellen vil kunne utligne fordelen ved å holde tilbake overskudd i selskapet så lenge gjennomsnittlig avkastning i selskapet etter skatt er lik alternativavkastningen og avkastningen fordeles jevnt over tid. I praksis vil denne modellen bare kunne redusere insentivene til å finansiere prosjekter med tilbakeholdt overskudd. Det vises til nærmere omtale i appendiks 5.1.
Utvalget mener at et ACE-fradrag på selskapets hånd ideelt sett bør kombineres med et skattetillegg på personlig hånd for å hindre innlåsing av kapital, men ser at det kan være administrativt utfordrende. For å unngå likviditetseffekter av beskatning av urealiserte gevinster anbefaler utvalget at tillegget på personlig hånd først ev. kommer til betaling i år det betales utbytte.
Investeringsinsentiver
Ved å gi et fradrag for finansieringskostnadene både for gjeld og for egenkapital, vil ACE-modellen ikke skattlegge en investering som gir avkastning akkurat lik finansieringskostnadene. En korrekt utformet ACE-modell er dermed nøytral med hensyn på marginale investeringsbeslutninger. Det innebærer at skatten ikke vil påvirke størrelsen på investeringene.
Sammenlignet med dagens selskapsskatt vil avkastningskravet til utenlandske investorer i en ACE-modell reduseres fordi kostnaden ved å binde egenkapital skjermes på selskapets hånd. Samtidig kan ACE-modellen redusere avkastningskravet fra norske investorer, jf. drøftelse ovenfor. Samlet sett vil dermed en omlegging fra ordinær selskapsskatt til en ACE-modell gi økte realinvesteringer i Norge. Beregningene i tabell 5.3 illustrerer de effektive skattene i en korrekt utformet ACE-modell, der satsen er fastsatt slik at provenytapet er i samme størrelsesorden som en reduksjon i selskapsskatten fra 27 pst. til 20 pst. Satsen i et skattesystem med ACE-fradrag er under disse forutsetningene beregnet til 24 pst.
Tabell 5.3 Effektiv gjennomsnittlig skattesats (EATR) og effektiv marginal skattesats (EMTR) før ev. personskatt. Gjeldende regler for 2014 og ACE-modellen. Prosent
Gjeldende selskapsskatt | ACE-modell | |||
|---|---|---|---|---|
Formell skattesats | 20 pst. | 24 pst.1 | ||
EATR | EMTR | EATR | EMTR | |
Egenkapital | 22,3 | 32,2 | 21,0 | 0 |
Gjeld | 17,3 | -1,9 | 21,0 | 0 |
Vektet | 19,8 | 18,6 | 21,0 | 0 |
Kilde: Utvalget.
Tabellen viser at den effektive marginale skattesatsen ved egenkapitalfinansiering faller betydelig med en ACE-modell sammenlignet med gjeldende selskapsskatt. For den effektive gjennomsnittlige skattesatsen er imidlertid utslagene mindre. Det er heller ikke unaturlig siden modellene er forutsatt å være om lag provenymessig like.
Ifølge De Mooij og Ederveen (2008) kan det antas at investeringsnivået øker med 0,8 pst. per prosentpoeng nedgang i effektiv marginal skattesats, mens investeringene øker med 0,65 pst. per prosentpoeng nedgang i effektiv gjennomsnittlig skattesats. Dersom en legger virkningene på effektiv marginal skattesats og effektiv gjennomsnittlig skattesats i tabell 5.3 til grunn, kan det med denne modellen beregnes en økning på investeringene i Norge på hele 23,9 pst. ved en overgang fra gjeldende selskapsskatt med skattesats 27 pst. til en ACE-modell med skattesats på 24 pst. Det må understrekes at dette er stiliserte beregninger som beror på en rekke forutsetninger, og de må først og fremst tolkes som en illustrasjon på virkningene på investeringene. Beregningene forutsetter at dagens selskapsskatt fungerer som en kildeskatt for alle investorer.
En stor fordel med ACE-modellen er at den vil nøytralisere vridninger i investeringer forårsaket av at avskrivningssatsene kan avvike fra faktisk depresiering. En avskrivningssats som er høyere enn faktisk depresiering, vil i en tradisjonell selskapsskatt innebære en skattekreditt. Denne vil redusere nåverdien av selskapsskatten. I ACE-modellen vil avskrivninger i tillegg redusere selskapets egenkapital og dermed også redusere selskapenes fremtidige ACE-fradrag. Dette vil akkurat motvirke fordelene ved utsatt beskatning av for høye avskrivninger (i nåverdiforstand). ACE-modellen er derfor nøytral med hensyn til investeringsbeslutninger, uavhengig av hvilke avskrivningssatser som benyttes.
ACE-modellen vil isolert sett også gjøre det mer lønnsomt å omdanne enkeltpersonforetak, gitt at disse reglene holdes uendret, til aksjeselskap. En ACE-modell vil derfor ikke alene kunne sikre likebehandling av ulike virksomhetsformer.
Overskuddsflytting
Insentivene til overskuddsflytting avhenger av den marginale skattesatsen selskapene står overfor. Ved overskuddsflytting gjennom plassering av inntekter og fradrag vil den marginale skattesatsen være gitt ved den formelle skattesatsen. Så lenge den formelle selskapsskattesatsen varierer mellom land, vil dermed multinasjonale selskap ha motiver til å redusere den samlede skatten ved å flytte overskudd fra høyskatteland til lavskatteland ved blant annet manipulering av internpriser.
ACE-modellen vil motvirke selskapenes insentiver til å flytte overskudd gjennom såkalt tynn kapitalisering (høy gjeldsgrad). Siden ACE-fradraget beregnes på bakgrunn av egenkapitalen i selskapets balanse, vil en endring i sammensetningen av selskapets balanse fra egenkapital til gjeld redusere ACE-grunnlaget og dermed ACE-fradraget. Så lenge rentesatsen på gjeld og beregningen av ACE-fradraget reflekterer reell risiko, vil selskapet dermed ikke ha insentiv til å flytte overskudd ut av landet gjennom rentefradraget.
I den grad rentesatsen på gjeld kan settes høyere enn det som gjenspeiler reell risiko, vil selskapene imidlertid fortsatt ha insentiv til å flytte overskudd gjennom rentefradraget. Konserninterne lån vil normalt bli vurdert innenfor armlengdeprinsippet. Etter dette prinsippet vil selskapene få fradrag for rentekostnader tilsvarende markedspris. Markedsrenten er imidlertid en betaling for risiko som ikke på samme måte eksisterer i et konsernforhold. Selskapene vil da særlig ha insentiv til å gi interne lån med lav prioritet, siden uavhengige kreditorer normalt vil kreve høyere rente for lån med lav prioritet. Dermed vil en fortsatt kunne flytte overskudd gjennom rentefradraget i en ACE-modell, men gevinsten ved denne overskuddsflyttingen blir vesentlig lavere siden ACE-fradraget også blir redusert (men altså ikke på samme nivå som rentefradraget).
For et gitt proveny vil innføring av en ACE-modell isolert sett øke insentivene til overskuddsflytting. Dette skyldes at provenytapet ved et ACE-fradrag i så fall må motsvares av en økt formell skattesats (med uendret grunnlag for øvrig).
Et ACE-system vil i tillegg gi flernasjonale selskap motiver til å legge internbanker til Norge, på samme måte som i Belgia i dag. På den måten kan det utenlandske selskapet oppnå fullt rentefradrag i hjemlandet, mens renteinntekten skjermes fra beskatning i Norge.
Administrative konsekvenser
Innføring av et ACE-fradrag vil isolert sett gi et mer administrativt krevende system. For skattemyndighetene kan ACE-modellen gi økt kontrollbehov, blant annet som følge av skattyters insentiver til å blåse opp ACE-grunnlaget. I motsatt retning trekker at avskrivningssatsene får mindre betydning for samlet skatteproveny.
Samtidig vil integrasjonen med personbeskatningen kunne bli komplisert. Dette skyldes at en bør justere beskatningen på personlig hånd for å hindre innlåsing av kapital i selskapssektoren. Alle modeller for denne inntektsjusteringen som utvalget har vurdert, vil være administrativt krevende å iverksette i praksis.
Videre kan utformingen av skjermingsgrunnlaget for selskap som er begrenset skattepliktig til Norge, by på særskilte utfordringer. Det må blant annet tas stilling til om egenkapitalen til filialer av utenlandske selskap kan beregnes på en annen måte enn for norske selskap uten å komme i konflikt med EØS-avtalen.
ACE-modellen løser ikke problemet med overskuddsflytting. Det vil derfor fremdeles være nødvendig med begrensinger og tiltak for å hindre uthuling av selskapsskattegrunnlaget gjennom konserninterne låneforhold fra utlandet og andre virkemidler for å motvirke overskuddsflytting. Det må videre vurderes hvordan en ACE-modell skal tilpasses de norske særskattesystemene for vannkraftanlegg og petroleumsvirksomheten.
Proveny
Provenyvirkningen av en ACE-modell er beregnet med utgangspunkt i data fra Statistisk sentralbyrå. Datagrunnlaget omfatter ikke-finansielle aksjeselskap, med unntak av aksjelselskap som driver utvinning av olje og naturgass. Provenytapet er skjønnsmessig oppjustert for å ta hensyn til finansiell sektor. Provenyberegningen er videre basert på regnskapsmessig balanse som vil kunne avvike fra skattemessige balanse. Beregningene vil kunne antyde i hvilken størrelsesorden provenyvirkningene vil være. Det er ikke tatt høyde for eventuelle tilpasninger til en ACE-modell. Tilpasninger vil isolert sett øke provenytapet. I provenyberegningen er ACE-grunnlaget fastsatt som samlet egenkapital fratrukket investeringer i andre selskap.
Ut fra disse dataene legges det til grunn at dagens nivå på egenkapitalen i selskapene er i størrelsesorden 800 mrd. kroner. I 2013 var gjennomsnittlig rente på statskassevekslene i størrelsesorden 1,5 pst. Dersom en legger dette rentenivået til grunn for beregningen, kan provenytapet av å innføre en ACE-modell for all egenkapital anslås til i størrelsesorden 3,2 mrd. kroner årlig. Dagens rentenivå er historisk lavt. Hvis en legger til grunn en mer normal rente på for eksempel 5 pst., ville provenytapet beløpe seg til 10,8 mrd. kroner. Dette gjelder forutsatt at ubenyttet ACE-fradrag blir utbetalt umiddelbart og at negativ egenkapital gir et inntektspåslag. Til sammenlikning kan de samlede inntektene fra selskapsbeskatningen for Fastlands-Norge (utenom vannkraft) for 2015 anslås til om lag 67,5 mrd. kroner. Bokført førsteårseffekt av å innføre en ACE-modell for all egenkapital avhenger av om ubenyttet fradrag skal framføres eller utbetales.
Provenytapet på kort sikt av en modell som begrenser ACE-fradraget til ny egenkapital antas å være svært begrenset. På lengre sikt antas det at provenytapet en slik modell vil konvergere mot en modell med fullt ACE-fradrag for all egenkapital.
Avhengig av hvordan personbeskatningen tilpasses en ACE-modell vil det potensielt kunne bli et merproveny. Dersom skjermingsmodellen fases ut i sin helhet gir dette et merproveny på om lag 0,8 mrd. kroner. Videreføres skjermingsmodellen i kombinasjon med inntektspåslag på personlig hånd basert på ACE-fradraget, vil en også få et merproveny. Størrelsen på provenyeffekten vil da avhenge nivået på tilbakeholdt overskudd og innskutt egenkapital samt skattesatsene på eierinntekt og selskapsinntekt.
Oppsummering
Utvalget mener en ACE-modell er gjennomførbar og vil stimulere til økte investeringer i Norge. Modellen har også store fordeler ved at den fjerner vridninger som følge av at avskrivningssatsene avviker fra økonomisk verdifall. ACE-modellen likebehandler gjeld og egenkapital på selskapsnivå. Den løser imidlertid ikke problemet med overskuddsflytting og bør kombineres med andre tiltak for å motvirke dette. Modellen kan medføre enkelte problemer i integrasjonen med personbeskatningen. Løsningene utvalget har pekt på for å hindre denne innlåsningseffekten kan være krevende å administrere. For å redusere provenytapet på kort sikt bør modellen eventuelt innføres gradvis ved at den kun gjelder for ny egenkapital.
5.3.3 Fradrag for avkastning på totalkapitalen (ACC)
I ACE-modellen likebehandles gjelds- og egenkapitalfinansiering på selskapets hånd, men det vil fortsatt være ulike skatteregler for gjeld og egenkapital. Det gis fradrag for faktiske renteutgifter mens fradraget for egenkapitalkostnaden er beregnet ved skjermingsgrunnlaget multiplisert med skjermingsrenten. Et alternativ er å gi selskapet et samlet fradrag for alle finansieringskostnader «Allowance for Corporate Capital»(ACC), uavhengig av om kapitalen er finansiert med gjeld eller egenkapital. Dette innebærer at ACE-modellen utvides til også å omfatte gjeld. I praksis vil dette bety at selskapene ikke lenger får fradrag for faktiske renteutgifter, men får fradrag for normerte finansieringskostnader for gjeld og egenkapital. Modellen er omtalt nærmere i Kleinbard (2007) og OECD (2007).
Fradraget baseres på den skattemessige verdien av totalkapitalen i selskapets balanse multiplisert med en skjermingsrente. Skjermingsgrunnlaget består av den samlede aggregerte kapitalen investert i selskapet. For egenkapital kan grunnlaget under ACC-modellen fastsettes på samme måte som under en ACE-modell, jf. avsnitt 5.3.2.1. For å komme fram til ACC-grunnlaget legges selskapets gjeld til dette grunnlaget. Samlet er dette ekvivalent med å ta utgangspunkt i selskapets skattemessige verdier på aktivasiden. Skjermingsfradraget vil dermed gi fradrag for all kapital investert i selskapet, og dagens gjeldsrentefradrag må derfor fjernes. Med et felles fradrag vil gjeld og egenkapital likebehandles på selskapets hånd. Skattegrunnlaget i ACC-modellen vil tilsvare en kontantstrømskatt (R-skatt) i nåverdi dersom renprofitten i selskapene tilfaller aksjonærene og ikke overveltes til kredittmarkedene. Fordelen med en ACC-modell sammenlignet med ACE vil være at en fjerner muligheten til overskuddsflytting gjennom gjeldsrentefradraget.
I likhet med ACE-modellen vil skjermingsrenten også i ACC-modellen avhenge av graden av risiko knyttet til selskapenes mulighet til å få utnyttet skatteverdien av skjermingsfradraget. Under forutsetning av at selskapene har full sikkerhet for skatteverdien av skjermingsfradraget, skal renten fastsettes med utgangspunkt i den risikofrie (nominelle) renten. Dersom selskapene ikke har full sikkerhet for skatteverdien av ACC-fradraget, skal skjermingsrenten inneholde et risikotillegg. Som påpekt under avsnitt 5.3.2.2 kan det imidlertid oppstå uheldige tilpasningsmuligheter dersom skjermingsrenten inneholder et risikotillegg.
Nielsen (2014) anbefaler i sin rapport til den svenske «Företagsskattekomittén», jf. SOU 2014:40, å legge om skattesystemet til en ACC-modell dersom en ønsker å likebehandle gjeld og egenkapital. I vurderingen legger han vekt på at modellen motvirker overskuddsflytting gjennom rentefradraget.
5.3.3.1 Virkninger og konsekvenser av et totalkapitalfradrag
En ACC-modell vil i all hovedsak ha de samme økonomiske egenskapene som en ACE-modell. Den effektive marginale skattesatsen blir null også i ACC-modellen, og den vil derfor være nøytral med hensyn til marginale investeringsbeslutninger. Videre nøytraliserer også ACC-modellen vridninger som følge av at avskrivningssatsene kan avvike fra faktisk depresiering.
En viktig forskjell fra ACE-modellen er imidlertid at gjeld og egenkapital skattlegges etter nøyaktig de samme reglene. Dette gjør at internasjonale konsern ikke lenger har insentiver til å flytte selskapsoverskudd (gjennom opplåning) mellom jurisdiksjoner ved å bruke høy gjeldsgrad og renter som ikke gjenspeiler reell risiko. En ACC-modell vil dermed redusere problemet med overskuddsflytting. I tillegg vil skattemyndighetene ikke lenger ha behov for å kategorisere finansielle instrumenter som enten egenkapital eller gjeld siden det gis et standardfradrag for alle typer kapital. Dette vil innebære reduserte administrative kostnader for skattemyndighetene og mindre motiv til skattetilpasning gjennom ulike kapitalinstrumenter.
I valget mellom en ACE-modell og ACC-modell er det flere hensyn som spiller inn. I en ACE-modell vil det være nødvendig å supplere med regler som begrenser muligheten til å flytte overskudd ut av Norge gjennom rentefradraget. Dette problemet løses med en ACC-modell, men modellen bør uansett kombineres med tiltak for å hindre overskuddsflytting gjennom andre typer fradrag. På den annen side kan en ACC-modell isolert sett virke mindre nøytralt enn en ACE-modell. Det kan være tilfelle i et system der fradraget for avkastning på totalkapitalen ikke gis med full sikkerhet. Skjermingsrenten skal i utgangspunktet reflektere alternativkostnaden for investor, og denne alternativkostnaden vil variere mellom selskap dersom det er usikkerhet knyttet til utnyttelsen av fradraget. Av hensyn til administrativ enkelhet og uheldige tilpasninger, vil det imidlertid være nødvendig å fastsette en felles samlet skjermingsrente for alle selskap. Dette problemet oppstår også i en ACE-modell, men er i dette tilfellet kun knyttet til fradraget for egenkapital.
5.3.3.2 Integrasjon med person- og selskapsbeskatning
Under ACC-modellen oppstår det også problemstillinger knyttet til integrasjon med person- beskatningen. Ved fradrag for egenkapitalkostnaden under ACE-modellen har utvalget lagt til grunn at alternativavkastningen i stedet bør beskattes på personlig hånd. Tilsvarende bør gjelde under en ACC-modell. For at skatten på personlig hånd skal tilsvare verdien av fradraget for kostnaden ved å binde kapital på selskapets hånd, må alternativavkastningen også normeres på personens hånd og beskattes med samme sats som i selskapet. Samlet blir da alternativavkastningen skjermet på selskapets hånd, men i stedet beskattet tilsvarende på personlig hånd. Avkastning som overstiger den normerte alternativavkastningen bør i tillegg beskattes med en høyere sats for å hindre inntektsskifting, dvs. på samme nivå som lønn.
Også ACC-modellen vil gi insentiver til å holde kapital tilbake i selskap dersom alternativavkastningen først skattlegges ved utdeling fra selskapet (utbytte og renter) eller ved realisasjon. Dette skyldes at selskapet årlig kan opptjene slik avkastning skattefritt. Investor får dermed en rentefordel dersom avkastningen først blir beskattet ved utdeling. Jo lengre avkastningen holdes i selskapet, desto lavere blir nåverdien av gevinst- og utbytteskatten. For å hindre innlåsing av kapital kan det normerte fradraget for finansieringskostnader eventuelt tilordnes på norske personlige skattyteres hånd. jf. avsnitt 5.3.2.4 og appendiks 5.1.
Tilordning av ACC-tillegg på personlig hånd kan omgås ved å eie selskapet gjennom et holdingselskap. I utformingen av både ACC- og ACE-fradraget legges det opp til at eiendeler som er omfattet av fritaksmetoden ikke inngår i grunnlaget for kapitalfradraget. Ettersom ACC-modellen ikke skiller mellom gjeld og egenkapital, bør det videre legges opp til at fritaksmetoden vil gjelde alle kapitalstrømmer mellom selskap. I motsatt fall ville det kunne oppstå kjedebeskatning av overnormal avkastning der den samme kapitalstrømmen skattlegges flere ganger. Med denne utformingen av grunnlaget vil det ikke oppstå ACC-fradrag i holdingselskapet, fordi fradraget allerede er gitt i det operasjonelle selskapet. Dermed vil det heller ikke være grunnlag for å tilordne ACC-tillegg på den personlige eieren av holdingselskapet. For å unngå dette må ACC-fradraget i det operasjonelle selskapet tilordnes den «ultimate» eieren, noe som i praksis kan være administrativt krevende ved kompliserte selskapsstrukturer.
Den løpende beskatningen av alternativavkastningen på personlig hånd vil også kunne omgås ved å eie gjennom et utenlandsk selskap ettersom utenlandske selskap nødvendigvis ikke kan tilordnes inntektstillegg basert på ACC-fradraget (siden det ligger utenfor norsk skattejurisdiksjon).
For å motvirke omgåelser gjennom holdingselskap og utenlandske selskap kan et alternativ være å beskatte alternativavkastningen på kapitalplasseringer gjennom formuesskatten. Kapitalplassering i selskap behandles likt uavhengig av om de skytes inn som egenkapital eller gjeld. Hvorvidt en tilordner alternativavkastningen i selskapet på personlig hånd eller normert avkastning på innskutt kapital i selskapene, dvs. formuen, vil i første periode gi om lag samme resultat. For at dette over tid skal gi full nøytralitet, må formuesgrunnlaget utvikle seg i takt med tilbakeholdt overskudd og innskutt egenkapital i selskapet. For børsnoterte selskap vil formuesgrunnlaget være basert på aksjekursverdien. Denne verdien vil også omfatte framtidige forventninger om avkastning i selskap. Med andre ord vil formuesgrunnlaget dermed kunne avvike fra verdien av innskutt egenkapital og tilbakeholdt overskudd. For ikke-børsnoterte aksjer ligner formuesgrunnlaget mer på ACC-grunnlaget ved at det baseres grunnlaget på nettoformuen av selskapets eiendeler, men det kan likevel være forskjeller mellom ACC-grunnlaget og formuesgrunnlaget.
ACC-modellen vil gi særskilte utfordringer ved beskatning av finansiell sektor. Dersom fritaksmetoden gjøres gjeldende for all kapital i selskapssektoren, vil dette bety at kapitalinntekter, inkludert renteinntekter, ikke blir beskattet i finanssektoren. Samtidig gis det et ACC-fradrag. Dette vil dermed i stor grad kunne føre til at det ikke blir skattbart resultat i bankene. For å bøte på dette problemet kan det være en mulighet å innføre et særskilt regime for beskatning av bank- og finanssektoren, for eksempel videreføre dagens beskatning av bank- og forsikringsvirksomhet.
Oppsummering
Utvalget mener at en variant med fradrag for totalkapitalen for å hindre overskuddsflytting gjennom lånekostnader kan være fordelaktig dersom det er ønskelig å gå videre med en modell som skal skjerme alternativavkastningen. Fordelene ved at problemet knyttet til overskuddsflytting gjennom opplåning fjernes, må veies opp mot de administrative problemene knyttet til integrasjonen med personbeskatningen og den særskilte tilpasningen som er nødvendig for finansiell sektor.
5.3.4 Destinasjonsbasert kontantstrømskatt
Under en destinasjonsbasert kontantstrømskatt baseres skattleggingen på destinasjonen av sluttproduktet, med andre ord der sluttproduktet blir konsumert. I denne modellen er skattegrunnlaget innenlandsk salg med fradrag for kjøp fra innenlandske leverandører og lønnskostnader. Produksjonskostnader er fradragsberettiget, herunder kostnader forbundet med produksjon av varer både for konsum i hjemlandet og utlandet. Finansielle kostnader er ikke fradragsberettiget. Bond og Devereux (2002) omtaler denne modellen som en destinasjonsbasert kontantstrømskatt av merverdiavgiftstypen.
Eksportinntekter inngår ikke i grunnlaget for den destinasjonsbaserte kontantstrømskatten, og det gis ikke fradrag for importerte varer. At det ikke gis fradrag for importerte varer, innebærer at import skattlegges ved selskapsligningen. Provenyet av en slik skatt ville dermed bli påvirket av handelsbalansen for et gitt år.
Den destinasjonsbaserte selskapsskatten ligner på en merverdiavgift. Forskjellen mellom den destinasjonsbaserte kontantstrømskatten og en merverdiavgift er hovedsakelig at lønn er inkludert i grunnlaget for merverdiavgift, men inngår ikke i grunnlaget for den destinasjonsbaserte selskapsskatten. Den tradisjonelle merverdiavgiften skattlegger dermed merverdien av både arbeid og kapital, mens den destinasjonsbaserte kontantstrømskatten skattlegger merverdien av kapitalen. Et selskap som utelukkende eksporterte varer og tjenester ville fått negativ skatt gjennom skatteverdien av fradrag for lønnskostnader.
OECD har skissert en mulighet for å introdusere denne modellen indirekte ved å øke den tradisjonelle merverdiavgiften samtidig som arbeidsgiveravgiften reduseres.
5.3.4.1 Virkninger og konsekvenser av en destinasjonsbasert kontantstrømskatt
Under forutsetning av at alle land innfører en destinasjonsbasert kontantstrømskatt vil denne modellen ikke påvirke hvor selskapene lokaliseres eller hvordan de finansieres. Skatten vil dermed, isolert sett, ikke påvirke selskapenes beslutninger knyttet til lokalisering, investering eller finansiering. Med destinasjonsbaserte kontantstrømskatter i alle land vil modellen i så fall løse problemet med internprising siden konserninterne transaksjoner ikke vil bli skattlagt. Det ville dermed ikke være insentiver til å flytte overskudd til lavskatteland.
De teoretisk gode egenskapene ved denne modellen forutsetter at mange (alle) land innfører modellen samtidig. Dersom enkeltland alene innfører en slik modell, vil modellen fremdeles kunne gi insentiver til tilpasninger. Selskapene vil få insentiver til å legge produksjon til land med destinasjonsbasert kontantstrømskatt. På den måten kan selskapet trekke fra produksjonskostnader, men blir ikke skattlagt for inntekter ved salg i utlandet. Om enkeltland alene innfører denne modellen vil problemer knyttet til internprising også vedvare. Årsaken er at selskapene vil ha insentiver til å sette verdien av eksport mellom konserninterne selskap høyere enn markedsverdi og underprise verdien av importerte varer.
Modellen vil heller ikke beskatte renprofitt eller grunnrente som eksporteres ut av landet. Deler av skatt på grunnrente og renprofitt vil dermed falle bort. Om et enkeltland bør velge en ordinær kildebasert kontantstrømskatt framfor en destinasjonsbasert vil blant annet avhenge av det samfunnsøkonomiske tapet ved vridninger i den kildebaserte kontantstrømskatten og fordelen av å kunne skattlegge utlendinger (Bond og Devereux, 2002).
Den destinasjonsbaserte kontantstrømskatten kan innebære at det må gis store utbetalinger til selskap som eksporterer i stor utstrekning fordi selskapet i slike tilfeller vil ha lave skattbare inntekter. På samme måte som med ordinær kontantstrømskatt kan modellen skape store tilpasninger hvis det foreligger forventninger om at skattesatsen skal ned, eller en satsreduksjon varsles i forkant. Modellen fordrer også at myndighetene effektivt kan skille mellom bedriftenes kjøp av importerte varer og innenlandske varer, ettersom førstnevnte ikke skal gi grunnlag for fradrag. Om denne modellen kan gjennomføres innenfor rammen av dagens skatteavtaler og Norges internasjonale forpliktelser, er også usikkert.
I likhet med en R-skatt vil denne skatten heller ikke beskatte overskudd fra finansiell virksomhet. Hvis bare reelle strømmer inngår i skattegrunnlaget, blir overskudd gjennom rentedifferanser utelatt fra grunnlaget. Det er imidlertid mulig å introdusere en variant som tar hensyn til finansielle strømmer. Metoden innebærer at innenlandske transaksjoner inngår i skattbar inntekt, mens transaksjoner med utlandet holdes utenfor. Dette gjenspeiler at eksport av varer og tjenester også er unntatt skatt. Denne metoden kan imidlertid gi nærstående parter insentiver til å finansiere selskap med gjeld framfor egenkapital.
Utvalget mener denne modellen i teorien har mange gode egenskaper som kunne bidratt til å løse flere av utfordringene med en ordinær selskapsskatt. Ensidig innføring fra et enkeltland vil imidlertid gi store tilpasningsmuligheter og praktiske konsekvenser som Norge alene ikke kan løse. Norsk økonomi har dessuten et betydelig innslag av grunnrente, og kan derfor isolert sett komme relativt dårlig ut av en slik modell. Utvalget vil på denne bakgrunn ikke tilrå at Norge innfører en destinasjonsbasert kontantstrømskatt.
5.4 Selskapsskattemodeller uten fradrag for finansieringskostnader
5.4.1 CBIT
«Comprehensive Business Income Tax» (CBIT) ble første gang foreslått av US Treasury i 1992 og er et helhetlig skattesystem uten fradrag for finanansieringskostnader verken for gjeld eller egenkapital. Målet med CBIT-modellen er å skattlegge kapitalavkastning bare én gang, og utelukkende på selskapets hånd. Med andre ord skal renter, utbytte og gevinst ikke skattlegges på personlig hånd. I et CBIT-system er det følgelig ikke være behov for særskilt integrasjon mellom skatt på selskap og personer. (OECD, 2007). Ingen land har så langt innført en CBIT-modell, men mange land, inkludert Norge, har innført ulike begrensninger i rentefradraget. Slike begrensninger er i utgangspunktet ikke en skattemodell i seg selv, men er først og fremst innført for å hindre at skattegrunnlaget flyttes ut av landet. Modeller som er innført for hindre overskuddsflytting er nærmere omtalt i kapittel 8.
5.4.1.1 Nærmere om utforming av CBIT-modellen
CBIT-modellen fra US Treasury innebærer at rentefradraget blir fjernet, mens renteinntekt i utgangspunktet fortsatt skal inngå i skattbart overskudd. Systemet skiller mellom skattytere som omfattes av CBIT-skatten og andre skattytere. US Treasury la til grunn at de fleste selskap skulle være omfattet av CBIT-skatten, herunder finansinstitusjoner, men det ble gjort unntak for små selskap.
For å unngå dobbeltbeskatning av renteinntekter ble det forutsatt at renteinntekter mottatt fra andre CBIT-selskap, skulle fritas for beskatning, eventuelt at betalt skatt kunne krediteres mot utlignet CBIT-skatt. Renteinntekter mottatt fra skattytere som ikke omfattes av CBIT-skatten, herunder renteinntekter fra husholdninger og statsobligasjoner, skulle være skattepliktig. Det samme gjaldt renteinntekter mottatt fra utlandet, men unntak eller kredit kunne bli benyttet dersom andre land skulle innføre CBIT-modellen (De Mooij og Devereux, 2008).
Mirrlees’ Review drøfter også CBIT-modellen og diskuterer ulike varianter for behandling av renteinntekter og rentekostnader. Dersom en skattlegger renteinntekter, og ikke gir fradrag for rentekostnader, ville dette innebære en særlig høy skatteskjerpelse for selskap innenfor bank- og finanssektoren. Dette skyldes at bankenes overskudd i stor grad stammer fra forskjeller mellom rentekostnader på innlån og renteinntekter fra utlån. Motsatt ville en symmetrisk behandling av renteinntekt og rentekostnader innebære at renteinntekter ikke beskattes. Overskudd som stammer fra inn- og utlånsvirksomhet, ville i så fall bli unntatt fra beskatning. Mirrlees’ Review konkluderer med at ingen av disse resultatene er heldige.
Mirrlees’ Review drøfter videre et alternativ der rentekostnader kun er fradragsberettiget mot renteinntekt. Dette ville gjøre netto renteinntekter skattbare, samtidig som netto rentekostnader ikke ville være fradragsberettiget. Mirrlees’ Review påpeker at denne asymmetriske tilnærmingen ville gitt selskap som har netto skattbare renteinntekter, insentiv til å kjøpe selskap som er netto låntakere. Heller ikke dette synes å være en god løsning. Den svenske foretaksskattekommitéen har foreslått en variant av denne modellen som er nærmere omtalt i avsnitt 5.4.2.
I CBIT-modellen er det lagt til grunn at renteinntekter eller utbytte fra selskap som har betalt CBIT-skatt, kan trekkes fra for å unngå dobbeltbeskatning. Forskjellen mellom CBIT-modellen fra US Treasury og en modell som også fritar renteinntekter fra beskatning, er derfor i hovedtrekk at renteinntekter som stammer fra husholdningene, statsobligasjoner og utlandet omfattes av fritaket. Modellen ville reise EØS-rettslige problemstillinger dersom renteinntekt fra utenlandske foretak skulle være skattepliktig, men ikke renteinntekt fra norske foretak. Modellen vil i tillegg medføre flere kompliserte administrative problemstillinger, herunder hvordan regelen skal utformes og praktiseres. I den videre beskrivelsen av CBIT-modellen i dette avsnittet legges det til grunn at renteinntekter fritas for beskatning.
Som påpekt over skaper CBIT-modellen en særlig utfordring for selskap innenfor bank- og finanssektoren. Dersom det skal innføres en CBIT-modell, bør det derfor vurderes en særskilt fastsettelse av skattbart overskudd for bank- og finansieringsvirksomhet. En slik særskilt fastsettelse kan imidlertid skape avgrensningsproblemer.
En CBIT-modell vil videre innebære en kraftig skatteskjerpelse for selskap som har høye renteutgifter. Det kan være nødvendig med overgangsordninger for å ta hensyn til selskap med store renteutgifter på eksisterende gjeld. En måte å gjøre dette på er å la CBIT-modellen trappes opp over flere år, for eksempel gjennom gradvis å begrense netto rentekostnader.
I den ordinære selskapsskatten hvor gjeld og egenkapital skattemessig behandles ulikt, er det nødvendig å skille mellom lånekostnader som er fradragsberettigede og kostnader ved egenkapitalinnskudd som ikke er det. I et CBIT-system skal det imidlertid verken gis fradrag for kostnader ved gjeld eller egenkapital. Dette kan forenkle den skattemessige behandlingen noe. CBIT-modellen reiser likevel spørsmål om hva som skal betraktes som rentekostnader og renteinntekter. Det må blant annet tas stilling til om valutasvingninger på gjeld og fordringer, rente- og valutaderivater, under- og overkurs samt sammensatte obligasjoner skal omfattes. Som et utgangspunkt bør alle renteelementer som er knyttet til skattyters gjeld og fordringer avskjæres, uavhengig av hvordan rentestrømmene er satt sammen eller periodisert.
Sammenhengen med en kontantstrømskatt
CBIT-modellen kan følges av en umiddelbar utgiftsføring av investeringer. Dette gir den såkalte ICBIT-modellen (OECD, 2007). Ettersom investeringsbeløpet kan trekkes fra umiddelbart, har modellen likhetstrekk med en kontantstrømskatt (R-skatt). Forskjellen er at ICBIT er en inntektsskatt, der inntekter og utgifter inngår i grunnlaget når dette er opptjent og pådratt, i motsetning til en kontantstrømskatt der inntekter og utgifter inngår når de er innbetalt og utbetalt. Denne sammenhengen gir implikasjoner for land som ønsker å gå fra et system med inntektsskatt til kontantstrømskatt. En slik overgang kan gjøres ved gradvis å øke avskrivningssatsene samtidig som rentefradragene begrenses. Når ICBIT er innført, vil overgang til kontantstrømskatt ha begrenset virkning.
5.4.1.2 Virkninger og konsekvenser av CBIT-modellen
Integrasjon med personbeskatningen
I CBIT-modellen fra US Treasury legges det opp til at all kapitalbeskatning skal skje på selskapets hånd. I så fall skal all beskatning av renter, utbytte og gevinst fra selskap avvikles på personlig hånd. Dette innebærer at ikke bare skjermingsfradraget skal avvikles, men at hele aksjonærmodellen, deltakermodellen og foretaksmodellen skal oppheves. Samtidig skal heller ikke renteinntekter fra selskapssektoren skattlegges på personlig hånd. Hensynet til symmetri tilsier samtidig at en heller ikke gir fradrag for rentekostnader på personlig hånd.
Videre la US Treasury opp til at CBIT-skatt også skal gjelde for selvstendig næringsdrivende. Det vil da være nødvendig å gjeninnføre en delingsmodell for å skille arbeids- og kapitalinntekt. Kapitalinntekt skal da skattlegges etter CBIT-skatten, mens arbeidsinntekt bør beskattes som lønn. Dette kan imidlertid skape muligheter for uheldige tilpasninger. Tilsvarende vil gjelde for aktive eiere i aksjeselskap mv. Slike tilpasninger var en av årsakene til at delingsmodellen etter 1992-reformen ble avviklet.
Selv om CBIT-modellen i utgangspunktet legger opp til at all kapitalbeskatning skal skje på selskapets hånd, har utvalget vurdert om enkelte elementer av kapitalbeskatningen kan videreføres i en tilpasset norsk modell. Isolert sett ville det innebære en skattelettelse sammenlignet med dagens system dersom gevinst- og utbyttebeskatningen gjennom aksjonærmodellen, deltakermodellen og foretaksmodellen ble opphevet som følge av at fradraget for gjeldsrenter ble fjernet. Det tilrås derfor at disse modellene opprettholdes dersom en innfører en CBIT-modell. Dette vil sikre at en som i dag ekstrabeskatter avkastningen utover risikofri avkastning på personlig hånd.
Utvalget har også vurdert om en kan opprettholde kapitalbeskatningen av renteinntekter og rentekostnader på personlig hånd. Dette vil imidlertid være problematisk. I en CBIT-modell vil avkastningen på gjeldsfinansierte investeringer bli beskattet på selskapets hånd. Dersom gjeldsrenter knyttet til selskapssektoren i tillegg hadde blitt beskattet på personlig hånd, ville dette medført at avkastningen ble ekstrabeskattet. Dette ville i så fall innebære høyere kapitalkostnad for investorer som skyter inn gjeld, enn investorer som skyter inn egenkapital eller holder kapital tilbake i selskapet, gitt at skjermingsfradraget opprettholdes.
For å unngå at kapitalkostnaden blir høyere ved gjeldsfinansiering kunne en vurdere å innføre konsekvent ekstrabeskatning også ved egenkapitalfinansering ved å fjerne skjermingsfradraget. I så fall ville en ha ekstrabeskatning også på alternativavkastningen for både gjeld og egenkapital. I dette tilfellet ville det imidlertid bli et insentiv for selskap til å holde kapital tilbake i selskapene. På den måten kan investorene utsette utbyttebeskatningen. I dette systemet ville derfor finansiering gjennom tilbakeholdt overskudd bli favorisert.
Rentefradrag på personlig hånd ville videre åpne for en betydelig mulighet for arbitrasje som følge av at skatten på akkumulert alternativavkastning i selskapssektoren ville ligge langt under skattesatsen for personers renteinntekter. I en slik utforming ville det lønne seg å ta opp lån på personlig hånd og skyte dette inn som egenkapital i selskapet. Selskapet kan deretter investere dette i rentemarkedet og skattefritt tjene risikofri avkastning. Denne avkastningen kan deretter utbetales til personlig aksjonær som skattefritt utbytte (innenfor aksjonærmodellen). På den måten kan aksjonæren sørge for skattefri risikofri avkastning samtidig som en oppnår fradrag for rentekostnader.
Ut fra en samlet vurdering legges det derfor til grunn at renteinntekter fra selskapssektoren under CBIT-modellen ikke bør beskattes på personlig hånd. Videre tilsier hensynet til symmetri da at rentekostnader heller ikke bør være fradragsberettiget på personlig hånd. Integrasjonen med personbeskatningen er drøftet nærmere i boks 5.4.
Boks 5.4 Integrasjon med personbeskatning under CBIT-modellen
Virkningen av ulik behandling av gjeldsrenter på personens og selskapets hånd under en CBIT-modell kan illustereres med et eksempel. Det legges til grunn at Norge innfører en CBIT-modell med en selskapsskattesats på 17 pst., der det ikke gis rentefradrag og renteinntekter ikke beskattes i selskapet. Samtidig bevarer man rentefradraget for personer og beskatter personers rente- og aksjeinntekter som alminnelig inntekt med den nåværende satsen på 27 pst. Anta videre at aksjonærmodellen avvikles og at aksjeutbytter og realiserte aksjekursgevinster beskattes fullt ut som alminnelig inntekt på linje med renter.
Under et slik system ville avkastningen av gjeldsfinansierte selskapsinvesteringer og investeringer finansiert med innskutt av ny aksjekapital bli beskattet med en samlet sats på om lag 39,4 pst. (17 + (1 – 0,17) * 27). Avkastningen av investeringer finansiert med tilbakeholdt overskudd ville bli beskattet med en lavere effektiv sats avhengig av eierperiodens lengde. Dette skyldes at aksjonærene ville kunne utsette den alminnelige inntektsskatten ved å skyve på tidspunktet for realisasjon av aksjekursgevinster. På denne måten ville man altså få gjenskapt den tradisjonelle innlåsningseffekten av realisasjonsbeskatning, og skattesystemet ville favorisere investeringer finansiert med tilbakeholdt overskudd i forhold til andre finansieringsformer. I tillegg ville det være en betydelig innlåsningseffekt og en betydelig mulighet for skattearbitrasje som følge av at skatten på akkumulert alternativavkastning i selskapssektoren ville ligge langt under skattesatsen for personers renteinntekter.
Samtidig ville skatten på aksjeavkastning ligge vesentlig under den høyeste marginalskatt på arbeidsinntekt, slik at aktive eiere med stor fordel ville kunne omdanne arbeidsinntekt til aksjeinntekt. Til gjengjeld ville den effektive marginalskatt på renteinntekter bli svært høy. Muligheten for inntektsskifting kunne forhindres ved å opprettholde aksjonærmodellen under en CBIT. Det ville likevel stadig være en innlåsningseffekt som følge av at skatten på kapitalinntekt på personers hånd ville ligge vesentlig over selskapsskatten, og man ville stadig få en meget høy effektiv marginalskatt på renteinntekter.
Likebehandling av gjeld og egenkapital
CBIT-modellen gir likebehandling av gjeld og egenkapital på selskapets hånd. Dersom en tar hensyn til personbeskatningen for norske aksjonærer, kan imidlertid dette endre seg. Som nevnt ovenfor, er det krevende å integrere en CBIT-modell med personbeskatningen. I CBIT-modellens opprinnelig form legges det opp til at gevinst, utbytte og renter ikke beskattes på personlig hånd i hjemlandet. I så fall gir systemet likebehandling av gjeld og egenkapital for hjemlandets investorer. Systemet kan gi likebehandling selv om gevinst, utbytte og renter beskattes på personlig hånd, men effektive skattesatser må i så fall være like for slike inntekter. Likebehandling vil opprettholdes selv om en viderefører aksjonærmodellen, der en beskatter avkastning utover alternativavkastningen på personlig hånd.
For utenlandskepersonlige investorer vil integrasjonen av personbeskatningen i investorens hjemland være bestemmende for om systemet gir likebehandling. Landet må i så fall enten frita avkastning, utbytte og renter fra beskatning eller skattlegge med samme sats for å fjerne vridningen i finansiering mellom gjeld og egenkapital. Selv om all kapitalinntekt skulle skattlegges med samme sats i investorens hjemland, kan det likevel være at nøytralitet i valget mellom gjeld og egenkapital ikke oppnås. Årsaken er at årlige rentebetalinger i de fleste skattesystem beskattes løpende, mens gevinster først skattlegges ved realisasjon. Følgelig kan det være vanskelig å oppnå full nøytralitet gjennom et CBIT-system.
For utenlandskeselskapsinvestorer vil virkningen av et CBIT-system avhenge av skattebehandlingen av utenlandsk inntekt i selskapets hjemland. Flere lands skattesystem unntar skatt på utbytte fra utlandet på selskapsnivå fordi utbytte er forutsatt å være skattlagt i kildelandet (fritaksmetode). Det er normalt ingen tilsvarende regler for rentebetaling. I CBIT-modellen kan derfor renter bli beskattet både i staten der selskapet er hjemmehørende og i kildestaten, mens egenkapitalavkastningen bare skattlegges i kildestaten. Egenkapital kan dermed bli foretrukket finansieringskilde for utenlandske selskapsinvestorer isolert sett.
Investeringsincentiver
Dersom rentefradraget avskjæres, vil kapitalkostnaden for gjeldsfinansierte investeringer isolert sett øke. Dette gjør at færre lønnsomme prosjekter før skatt vil være lønnsomme etter skatt. For en gitt skattesats virker med andre ord en selskapsskatt med rentefradrag mindre vridende på investeringsinsentivene enn en selskapsskatt uten rentefradrag.
CBIT-modellen øker imidlertid provenyet fra selskapsskatten ved at skattegrunnlaget blir bredere. Dette åpner for at selskapsskattesatsen kan reduseres i en provenynøytral reform. Skatten på lønnsomme egenkapitalfinansierte investeringer kan dermed reduseres. Dette gjør at avkastningskravet før skatt på egenkapitalfinansierte investeringer isolert sett reduseres sammenlignet med dagens skattesystem som igjen kan bidra til økte insentiver til investeringer i realkapital. Som påpekt over vil imidlertid marginale gjeldsfinansierte investeringer før skatt bli ulønnsomme etter skatt.
Den samlede effekten på investeringene i økonomien vil avhenge av innslaget av egenkapital- og gjeldsfinansiering for marginale investeringer. I norske selskap er gjennomsnittlig gjeldsandel i størrelsesorden 50 pst. Dersom dette gir uttrykk for finansieringen av marginale prosjekter, må skattesatsen, alt annet likt, halveres for at kapitalkostnaden under et CBIT-system skal bli om lag den samme som etter gjeldende regler.
Virkningen på enkeltselskap avhenger av den marginale investoren. For selskap som er avhengig av egenkapital, kan den positive effekten på kapitalkostnaden ved egenkapitalfinansiering være størst. For andre selskap som i større grad har tilgang på kreditt i markedet, kan økningen i kapitalkostnaden for gjeld være dominerende.
Utvalget har beregnet virkningene på den gjennomsnittlige effektive marginalskatten og gjennomsnittsskatten ved bruk av metoden til Devereux og Griffith (2003) tilpasset norske forhold. I tabell 5.4 er det satt opp et alternativ som sammenligner gjeldende selskapsskatt der satsen reduseres til 20 pst. og en CBIT-modell der satsen er 17 pst. Begge alternativene er forutsatt å være provenymessig like. I beregningen ses det bort fra personbeskatning.
Tabell 5.4 Effektiv gjennomsnittlig skattesats (EATR) og effektiv marginal skattesats (EMTR) før ev. personskatt. Gjeldende selskapsskatt med lavere sats og CBIT-modellen. Prosent
Gjeldende selskapsskatt | CBIT-modellen | |||
|---|---|---|---|---|
Formell skattesats | 20 pst. | 17 pst. | ||
EATR | EMTR | EATR | EMTR | |
Egenkapital | 22,3 | 32,2 | 21,4 | 28,0 |
Gjeld | 17,3 | -1,9 | 21,4 | 28,0 |
Vektet | 19,8 | 18,6 | 21,4 | 28,0 |
Dersom en legger disse effektene på effektive skattesatser til grunn og samtidig benytter metoden i kapittel 4 basert på De Mooij og Ederveen (2008), kan det beregnes at investeringene i Norge øker med om lag 1,2 pst. ved en overgang fra gjeldende selskapsskatt med skattesats på 27 pst. til en CBIT-modell med skattesats på 17 pst. Redusert, ordinær selskapsskattesats til 20 pst. gir til sammenligning en effekt på investeringene på om lag 9,8 pst. Beregningene må tolkes med forsiktighet og betraktes som en illustrasjon av virkningene.
CBIT-modellen vil skifte skattebyrden fra investeringer med renprofitt til marginale investeringer. Årsaken er todelt. For det første kan marginalt lønnsomme investeringer før skatt bli privatøkonomisk ulønnsomme hvis rentefradraget avskjæres. For det andre vil skattebesparelsen for selskap med renprofitt ved lavere skattesats være høyere enn virkningen av å fjerne rentefradraget. Dette skyldes at driftsresultatet overstiger finansieringskostnadene. Generelt vil derfor selskap med renprofitt få lavere skattebyrde.
Bond (2000) viser at dersom et lands kilder til renprofitt er mobile og problemet med overskuddsflytting er stort, kan CBIT-modellen i kombinasjon med lavere selskapsskattesats gi makroøkonomiske fordeler for et land, til tross for de negative virkningene på investeringsincentivene. I motsatt fall der virkningene på marginale investeringer er viktigere enn problemet med overskuddsflytting, kan CBIT-modellen påføre landet samfunnsøkonomiske kostnader.
Modellsimuleringer på EU-land utført av De Mooij og Devereux (2008) viser at CBIT-modellen isolert sett gir økt bruttonasjonalprodukt som følge av mindre vridninger i finansieringsvalgene til selskapene. Samtidig gir imidlertid fjerningen av rentefradraget økte kapitalkostnader som isolert sett reduserer investeringene og bruttonasjonalprodukt. Den samlede effekten på enkeltland avhenger av hvordan det økte provenyet fra CBIT-modellen anvendes. Dersom det økte provenyet benyttes til å redusere arbeids- eller konsumskatter, viser modellkjøringene at bruttonasjonalprodukt faller. På den annen side øker typisk bruttonasjonalprodukt hvis provenyet benyttes til å redusere selskapsskattesatsen. Dersom alle EU-land innfører CBIT kombinert med lavere sats, reduseres veksten i bruttonasjonalprodukt for enkeltland fordi bidrag ved intern overflytting av kilder til renprofitt mellom EU-land faller bort. Det svenske selskapsskatteutvalget har blant annet benyttet denne studien som en begrunnelse for sitt valg av modell, jf. avsnitt 5.4.2.
En CBIT-modell vil i motsetning til ACE-modellen, ikke løse problemet med vridninger i investeringsinsentivene som følge av at avskrivningssatsene avviker fra faktisk depresiering.
Overskuddsflytting
CBIT-modellen vil isolert sett ikke påvirke den formelle skattesatsen. Ved å nekte fradrag for gjeldsrenter vil en fjerne problemet med overskuddsflytting ved omplassering av gjeld, men det vil ikke redusere insentivene til overskuddsflytting gjennom andre former for internprising. Dersom økningen i skattegrunnlaget benyttes til å redusere skattesatsen, vil insentivene til overskuddsflytting kunne reduseres. Så lenge det er land som har lavere skattesats enn Norge, vil insentivet til overskuddsflytting likevel ikke elimineres. Modellen bør derfor også suppleres med andre tiltak mot overskuddsflytting.
Proveny
I provenyberegningene er det lagt til grunn at det ikke gis fradrag for renteutgifter og at renteinntekter heller ikke beskattes. I en lukket økonomi ville en ikke forvente at en symmetrisk CBIT-modell skulle gi særlige effekter på samlet proveny fordi renteutgifter måtte motsvares av tilsvarende renteinntekter. I en åpen økonomi vil resultatet avhenge av om netto innlån er positiv eller negativ. Med positiv netto innlån vil rentekostnader som fradragsføres overstige inntektsførte renteinntekter. Da vil en symmetrisk CBIT-modell isolert sett gi økt proveny.
Provenyvirkningene av å innføre en CBIT-modell er basert på ligningsdata fra Skattedirektoratet. I grunnlaget inngår både ikke-finansielle og finansielle aksjeselskap, bortsett fra petroleumsselskap. Provenyvirkningene er beregnet ved at finansielle inntekter og utgifter trekkes fra det skattbare overskuddet (underskuddet). Netto rentekostnader er beregnet ved å legge sammen rentekostnad til foretak i samme konsern og annen rentekostnad og deretter trekke fra renteinntekt fra foretak i samme konsern og annen renteinntekt. For finansiell sektor legges det rent beregningsteknisk til grunn at skattegrunnlaget ikke påvirkes, dvs. at sektoren beskattes etter samme skattegrunnlag som i dag. Resultatene avhenger særlig av nivået på fremførbare underskudd, og det antas at de framførbare underskuddene vil bli lavere på sikt som følge av at CBIT-modellen avskjærer rentefradragene. Resultatene kan under enkelte forutsetninger indikere et merproveny på om lag 14 mrd. kroner ved å innføre en CBIT-modell. I en reform med samme provenytap som under en standard selskapsskatt med skattesats på 20 pst. kan skattesatsen senkes til i størrelsesorden 17 pst. under en CBIT-modell. Det er lagt til grunn at provenyet fra avskjæringen av rentefradraget på personlig hånd ikke anvendes i selskapssektoren.
5.4.2 Forslag fra det svenske skatteutvalget – avskjære netto finanskostnader
Det svenske skatteutvalget, «Företagsskattekomittén», avla sin innstilling 12. juni 2014 i SOU 2014:40. Hovedforslaget er å nekte selskapene fradrag for netto finansieringskostnader. I stedet skal selskapene gis et kapitalfradrag tilsvarende 25 pst. av skattemessig overskudd. I praksis er kapitalfradraget ekvivalent med en satsreduksjon. Denne modellen kan derfor også betegnes som en modell uten fradrag for finansieringskostnader, men med redusert sats. Hovedformålet med forslaget er å bidra til økt likebehandling mellom egenkapital og gjeld. Komitéen mener det ikke er noen grunn til å favorisere gjeld framfor egenkapital. I tillegg viser komitéen til at forslaget effektivt hindrer overskuddsflytting gjennom rentefradrag.
I den svenske utredningen er det gitt en detaljert definisjon av begrepet finansieringskostnader. I begrepet inngår blant annet gjeldskostnader, garantikostnader, valutakurstap, tap ved salg og nedskriving av finansielle instrumenter (f.eks. obligasjoner, preferanselån, ansvarlige lån, konvertible obligasjoner, terminer og opsjoner). Ved leieavtaler legger det svenske utvalget opp til at den finansielle kostnaden skal skilles ut fra leieprisen, dvs. det rentebeløp som inngår i leiekostnaden. Leverandørkreditt regnes ikke som finansiell kostnad om kreditten gis på normale vilkår.
Det svenske forslaget har likhetstrekk med en CBIT-modell, jf. avsnitt 5.4.1, men det er også viktige forskjeller. CBIT-modellen er utformet som et helhetlig alternativ for hele skattesystemet. Det svenske forslaget har på sin side utelukkende vurdert selskapsskatten og ikke sett nærmere på integrasjonen med personbeskatningen eller beskatning av næringsvirksomhet i enkeltpersonforetak. Nedenfor vurderes virkningene av det svenske forslaget. Det svenske forslaget er på tilsvarende måte som modellene ovenfor, vurdert i en norsk sammenheng, der blant annet satsen på selskapsoverskudd og kapitalinntekter er den samme. Det legges i omtalen til grunn at personlige skattytere fremdeles får fradrag for netto renteutgifter i denne modellen.
5.4.2.1 Virkninger og konsekvenser av svensk modell med kapitalfradrag
Likebehandling av gjeld og egenkapital
Selv om den svenske modellen likebehandler gjeld og egenkapital i selskapet isolert sett, kan modellen likevel påvirke finansieringsbeslutningen når en tar hensyn til personbeskatningen. Det svenske forslaget kan påvirke om personlige investorer ønsker å skyte inn gjeld eller egenkapital i selskapssektoren. Investorens finansieringsvalg vil avhenge av den effektive beskatningen ved de ulike finanseringsalternativene. Det vil blant annet være et skille om selskapsinvesteringene skjer i realkapital eller finanskapital (som gir renteinntekter som renteutgiftene kan regnes mot). Årsaken er at det er netto rentefradrag som begrenses.
Etter det svenske forslaget vil gjeldsfinansierte investeringer i realkapital både bli beskattet i selskapet og deretter på nytt som kapitalinntekt hos personlig långiver. Investeringer i realkapital som finansieres med innskutt egenkapital, vil også bli beskattet i selskapet og eventuelt på nytt ved skatt på utbytte/gevinst til eieren. Selv om avkastningen i begge tilfeller dobbeltbeskattes, vil en kunne oppnå likebehandling dersom investeringen skattlegges helt likt både i selskapet og på personlig hånd med de ulike finansieringsformene. I praksis er imidlertid det vanskelig å få til.
Dersom skattesatsen på selskapsoverskudd skal være lav, og kapitalinntekt skal skattlegges med samme sats, må det være en høyere skattesats på eierinntekt for å motvirke omdannelse av arbeidsinntekt til eierinntekt (inntektsskifting). Høyere skattesats i en ordinær utbytteskatt (uten skjerming) enn renteinntekt, trekker i retning av at investor vil ha insentiv til å skyte inn kapital som gjeld i stedet for egenkapital med den svenske modellen.
Med en utbytteskatt med skjerming (aksjonærmodellen) skjermes avkastning tilsvarende risikofri rente for egenkapitalfinansierte investeringer. Ved gjeldsfinansiering dobbeltbeskattes imidlertid risikofri avkastning fra realkapital. I dette tilfellet blir dermed effektiv skattesats lavere om kapitalen skytes inn som egenkapital i stedet for som gjeld. I så fall vil investor ha insentiv til å skyte inn kapital som egenkapital framfor gjeld.
Et selskap kan eventuelt også ha mulighet til å finansiere investeringen med tilbakeholdt overskudd. En utbytteskatt uten skjerming gjør det isolert sett mer lønnsomt å finansiere investeringer med lån eller tilbakeholdt overskudd framfor tilførsel av ny aksjekapital. En utbytteskatt med skjerming likebehandler de ulike finansieringsformene. Hvis det innføres en skattemodell med dobbeltbeskatning av gjeldsfinansierte investeringer, vil tilbakeholdt overskudd (og innskutt egenkapital) kunne foretrekkes som finansieringskilde framfor gjeldsfinansiering i en utbytteskatt med skjerming, men tilbakeholdt overskudd vil også foretrekkes framfor ny, innskutt egenkapital i en utbytteskatt uten skjerming (aksjonærmodellen).
Ut fra vurderingen over vil det i en modell der det ikke er fradrag for netto renteutgifter i selskapene med andre ord fremdeles være ulike skattemessige motiver til å finansiere en investering med gjeld eller egenkapital. Det vil være vanskelig å utforme personbeskatningen slik at en opphever vridningene og innlåsingseffektene.
Dersom netto renter ikke er fradragsberettiget i selskapssektoren, men for personlige skattytere, vil det oppstå problemer med å skille renter oppstått i og utenfor næringsvirksomhet.
Tilpasningsinsentiver
Forslaget skiller seg fra en CBIT-modell ved at netto renteinntekter skal beskattes med selskapsskattesatsen. Siden netto renteinntekter beskattes, kan det oppstå asymmetrisk behandling av rentekostnader og renteinntekter og dermed dobbeltbeskatning ved lån mellom ulike selskap. Långivende selskap som har netto renteinntekter, blir i dette systemet beskattet for mottatt renteinntekt, mens låntagende selskap som har netto rentekostnader, ikke får fradragsføre rentekostnaden. Denne asymmetriske behandlingen vil kunne føre til tilpasninger ved at selskap med netto renteinntekter kjøper opp eller fusjonerer med selskap med netto rentekostnader. På den måten kan selskapene øke fradragsrammen for rentekostnader.
Til forskjell fra CBIT-modellen fra US Treasury vil banksektoren være omfattet av det svenske forslaget. Det er mulig å inkludere banksektoren siden netto renteinntekter skal beskattes med selskapsskattesatsen. På den måten vil også fortjenesten i bankene som stammer fra rentemarginer ved inn- og utlånsvirksomhet bli beskattet. I likhet med andre selskap som har netto renteinntekter vil det imidlertid gi bankene insentiver til å fusjonere og kjøpe virksomhet som har netto rentekostnader.
Forslaget vil imidlertid ikke bare gi opphav til fusjoner og oppkjøp, men kan også skape et marked for omsetning av renteposisjoner. Selskap med netto finanskostnader vil få insentiv til å kjøpe finansielle instrumenter som gir selskapet finansinntekter eller investere i realkapital som gir finansinntekter, for eksempel leieinntekter. Marginalskatten på slike investeringer vil være null innenfor rammen av det selskapet har av netto rentekostnader. (Investeringer i realkapital som gir driftsinntekter vil stå overfor positiv marginalskatt siden netto rentekostnader ikke kan regnes mot driftsinntekter.) Selskap med netto renteinntekter vil tilsvarende ha insentiv til å tilby finansielle instrumenter til selskap med netto rentekostnader. Fordelingen av fortjenesten vil avhenge av partenes forhandlingsmakt.
Forslaget krever en klar definisjon av finansielle kostnader og inntekter. Når det nektes fradrag for netto finansieringskostnader, vil det bli et press på definisjonen av finansieringskostnader. Selskap med netto finanskostnader, vil få insentiver til å klassifisere så lite som mulig av kostnadene som finanskostnader, ettersom finanskostnader ikke kan fradragsføres. Motsvarende vil selskap med netto finansieringskostnader ha insentiver til å klassifisere inntekter som finansielle inntekter for i størst mulig grad å kunne utnytte fradraget for finansieringskostnader. Selv om den svenske utredningen har viet stor oppmerksomhet til denne problemstillingen, vil det være krevende å finne fram til et regelsett som effektivt kan motvirke slike tilpasninger. Dette problemet gjelder alle ordninger som begrenser rentefradraget, men vil være særlig viktig i tilfeller der begrensningen er sterk som i det svenske forslaget.
Investeringsinsentiver
Modellen kan gi vridninger i den personlige investorens valg mellom investeringer i selskapssektoren og andre plasseringer, som bankinnskudd. Plasseres investorens kapital i bank, beskattes avkastningen én gang som kapitalinntekt. Ved plassering i et selskap med realkapital som gir tilsvarende avkastning, vil imidlertid avkastningen først bli beskattet i selskapet og deretter på personlig hånd, enten gjennom kapitalinntektsskatten ved gjeldsfinansiering eller ev. utbytteskatt (uten skjerming) ved egenkapitalinnskudd. Under aksjonærmodellen vil banksparing og egenkapitalinnskudd i selskap som gir tilsvarende avkastning være ekvivalent, men selskapsinvesteringer med gjeldsfinansiering vil bli hardere beskattet.
Med avskjæring av netto rentekostnader vil kapitalkostnaden til gjeldsfinansierte investeringer isolert sett øke (dersom ikke finnes tilstrekkelige renteinntekter å trekke rentekostnaden fra i). Marginale gjeldsfinansierte prosjekter vil dermed ikke lenge være skattefrie. Det gir et samfunnsøkonomisk tap ved at færre lønnsomme prosjekter før skatt vil være lønnsomme etter skatt. Med det svenske forslaget vil imidlertid skattegrunnlaget utvides, noe som gir rom for å redusere skattesatsen (kapitalfradraget beregnet som 25 pst. av skattemessig overskudd). Skatten på lønnsomme egenkapitalfinansierte investeringer vil dermed reduseres. Dette gjør at avkastningskravet før skatt på egenkapitalfinansierte investeringer isolert sett reduseres. Den samlede effekten på investeringene i økonomien vil avhenge av innslaget av egenkapital- og gjeldsfinansiering og karaktertrekk ved investeringene (marginale investeringer eller investeringer som gir renprofitt).
Södersten har i vedlegg 8 i SOU 2014:40 beregnet effekten på kapitalkostnadene av en variant av det svenske forslaget. Forskjellen mellom Söderstens beregninger og det svenske utvalgets endelige forslag er at Södersten har beregnet effekten av et kapitalfradrag basert på EBIT (overskudd før skatt og renter), mens utvalget har lagt til grunn at kapitalfradraget skal baseres på skattemessig overskudd. I tilfeller der selskapene har netto rentekostnader, har denne forskjellen imidlertid ingen betydning for kapitalkostnaden. Södersten finner at kapitalkostnaden for realkapital (ved netto finanskostnader) øker med om lag 12 pst. med en omlegging av skattesystemet etter komitéens forslag. Dette innebærer altså en forverring av investeringsinsentivene sammenlignet med gjeldende regler. Södersten finner tilsvarende at den effektive marginale skattesatsen øker betydelig, mens samtidig at også effektiv gjennomsnittlig skattesats øker noe.
Overskuddsflytting
Hvis fradrag for netto finansieringskostnader avskjæres, vil en fjerne mulighetene til å bruke gjeld for å flytte overskudd. En slik modell vil gi insentiver til å flytte netto finanskostnader til andre land der det er fradrag. Med den lavere skattesatsen vil det heller ikke være like mye skatt å spare på å flytte overskudd gjennom andre metoder, som internprising. Så lenge det er land som har lavere skattesats, vil imidlertid insentivet til overskuddsflytting fremdeles være tilstede.
Oppsummering
Utvalget ser at det svenske forslaget kan motvirke overskuddsflytting, men mener forslaget vil medføre betydelige utfordringer når en ser personbeskatningen i sammenheng med selskapsbeskatningen. Utvalget kan ikke se at det vil være mulig å unngå innlåsingseffekter. Modellen vil heller ikke virke nøytralt på finansieringsformer når en tar hensyn til personbeskatningen. Det vil også være sterke insentiver for å omklassifisere finanskostnader til driftskostnader og driftsinntekter til finansinntekter. I tillegg vil det oppstå vridninger internt i selskapssektoren ved fusjoner og oppkjøp av selskap med ulike renteposisjoner. Skatten på egenkapitalfinansierte prosjekter vil bli lavere som følge av satsreduksjonen eller kapitalfradraget, men modellen vil kunne gjøre marginale gjeldsfinansierte prosjekter ulønnsomme. På bakgrunn av det ovennevnte vil utvalget ikke anbefale en svensk CBIT-variant.
5.5 Selskapsskattemodeller med delvis fradrag for finansieringskostnader
Modellene som er omtalt i punkt 5.3 og 5.4 vurderer selskapsskatten der det enten gis fradrag for finansieringskostnadenen i sin helhet eller der det ikke gis fradrag for (netto) finansieringskostnader. Det er mulig å innføre delvise varianter av disse modellene, for eksempel ved å innføre et delvis ACE-fradrag eller delvis begrense rentekostnaden. En modell som delvis gir ACE-fradrag er omtalt i avsnitt 5.5.1 og en variant som kombinerer et delvis ACE-fradrag med en delvis CBIT-modell er omtalt i avsnitt 5.5.2. Modeller som delvis begrenser rentefradraget er ikke drøftet nærmere i dette kapitlet, men drøftes mer inngående i kapittel 8.
5.5.1 Todelt modell: Lav sats for normalavkastning og høy sats for renprofitt
Utvalget har sett på modeller som skattlegger alternativavkastningen med en lavere sats enn kilder til renprofitt. I praksis vil et slikt system være en variant av en ACE-modell. I ACE-modellen fradras hele finansieringskostnaden ved egenkapitalfinansiering. I et todelt system gis det imidlertid bare delvis fradrag for finansieringskostnaden. Modellen kan gjennomføres ved å benytte en lavere skattesats på alternativavkastningen. Det er flere land som har forsøkt en slik tilnærming. På starten av 2000-tallet hadde både Østerrike og Italia en todelt skattlegging. Begge land gjennomførte denne skattleggingen ved å kalkulere alternativavkastningen for egenkapital og skattlegge den med lav sats, mens resterende avkastning ble skattlagt med en høy sats. Det vises til nærmere omtale av dette under avsnitt 5.3.2.3.
Dersom en skulle innført en todelt skattlegging i Norge, kunne grunnlaget for å beregne alternativavkastningen på egenkapitalen fastsettes på samme måte som under en standard ACE-modell. Deretter kunne det beregnes skatt på ACE-fradraget med lav sats, mens alminnelig inntekt fratrukket ACE-fradraget beskattes med høy sats. På denne måten reduseres skatten på alternativavkastningen, mens renprofitter beskattes med høy sats.
For å begrense mulighetene til å flytte overskudd mellom land gjennom fradraget for gjeldsrenter kan det også i denne modellen benyttes et normert fradrag for finansieringskostnadene ved gjeld. I så fall gis det et normert fradrag for gjeldsrenter i stedet for fradrag for faktiske rentekostnader.2 Utformingen får da paralleller til en ACC-modell. I en rendyrket ACC-modell blir alternativavkastningen ved å binde egenkapital fritatt for beskatning, mens i den todelte modellen blir imidlertid alternativavkastningen beskattet med lav sats. Avkastningen etter fradrag for finansieringskostnadene skattlegges deretter med høy sats.
Denne utformingen ligner på modellen som ligger til grunn for grunnrenteskattene i det norske skattesystemet. Grunnrenteskatten på vannkraftverk virker som en ACC-modell ved at det beregnes en alternativavkastning på driftsmidler i kraftproduksjonen (friinntekt) som trekkes fra skattbart overskudd. Samtidig beskattes hele avkastningen på egenkapital på vanlig måte gjennom den ordinære selskapsskatten. I sum virker selskapsskatten og grunnrenteskatten på kraftanlegg dermed som en todelt modell, der alternativavkastningen beskattes med lav sats (selskapsskattesatsen) og renprofitt med høy sats (selskapsskattesatsen i tillegg til grunnrenteskattesatsen). Også særskatten på petroleumsvirksomheten ligner denne modellen, men i petroleumsskatten er de investeringsbaserte fradragene for sjenerøse.
Den todelte modellen avviker fra dagens utforming av selskapsskatten ved at det ikke gis fradrag for faktiske gjeldsrenter, men normerte gjeldsrenter. En eventuell differanse mellom faktiske og normerte gjeldsrenter vil i så fall bli beskattet på selskapets hånd.
5.5.1.1 Virkninger og konsekvenser av modellen
Lavere skatt på alternativavkastningen vil redusere kapitalkostnaden ved egenkapitalfinansierte investeringer for norske selskap som igjen vil gi økte insentiver til investeringer. Et system med skatt på alternativavkastningen av egenkapitalen vil fremdeles innebære at gjeld favoriseres framfor egenkapital isolert sett i selskapsskatten. Ettersom normerte gjeldsrenter er fradragsberettigede vil avkastning på gjeld i hovedsak være ubeskattet på selskapets hånd, mens avkastningen på egenkapital beskattes. Med lav skattesats begrenses imidlertid favoriseringen.
Under dagens system er favoriseringen av gjeld forsøkt motvirket ved en motsvarende skjevhet i personbeskatningen gjennom aksjonærmodellen. Med lav skatt på alternativavkastningen i selskap bør det gis tilsvarende lavere skjerming i aksjonærmodellen. Dette vil sikre at gjeld og egenkapital for norske aksjonærer likebehandles når en ser person- og selskapsbeskatningen under ett. For utenlandske investorer, der den norske personskatten ikke kan brukes til å motvirke skjevheter, avhenger virkningen av den utenlandske personbeskantingen.
Modellen vil bidra til å redusere problemet med overskuddsflytting ved at skatt på alternativavkastningen kan komme ned på samme nivå som sammenlignbare land. I selskap med meravkastning vil insentivene til overskuddsflytting fremdeles være høy. Normert gjeldsrentefradrag i skatt på meravkastning bidrar til å redusere problemet, men modellen bør kombineres med supplerende tiltak mot andre former for overskuddsflytting.
Fordelen med en todelt satsstruktur er at en kan opprettholde skattenivået på sektorer med renprofitt, samtidig som en kan få provenymessig rom til å redusere satsen på alternativavkastningen ned på nivå med andre land. Provenytapet ved en slik modell vil være lavere enn en modell med generell redusert skattesats som også reduserer skatten på renprofitt.
Utvalget mener det er gode grunner til å utnytte rommet for skatt på stedbundne renprofitter. Modellen med todelt satsstruktur skiller imidlertid ikke mellom mobile og immobile renprofitter. Ved høy sats på all meravkastning kan modellen derfor føre til at mobile renprofitter flytter ut av Norge, og at slike prosjekter som ellers ville blitt lagt til Norge, ikke realiseres her. Utvalget vil derfor ikke foreslå at en baserer den ordinære selskapsskatten på denne modellen.
For utvalgte sektorer kan en modell der standard selskapsskatt kombineres med en egen grunnrenteskatt være aktuell. Utvalget viser til at en allerede har slike skatter i vannkraft- og petroleumssektoren. Også i andre sektorer som fiskeri- og havbruk, skogbruk og frekvensforvaltning bør det vurderes å innføre egne grunnrenteskatter.
5.5.2 Delvis fradrag for gjelds- og egenkapitalkostnaden
De Mooij og Devereux (2008) har i en artikkel om konsekvenser av og løsninger på favoriseringen av gjeldsfinansiering skissert et alternativ der en innfører en delvis ACE-modell og en delvis CBIT-modell. ACE-modeller vil generelt bidra til å redusere skattegrunnlaget, mens CBIT-modeller vil øke skattegrunnlaget. De Mooij og Devereux argumenterer for at det kan konstrueres en kombinasjon av ACE- og CBIT-modellene som nøytraliserer gjeldsfinansieringen i selskapsskatten og som samtidig er provenynøytral. Under gitte forutsetninger viser forfatternes modellberegninger at kombinasjonen vil gi samme nøytralitet for finansieringsbeslutninger som enkeltreformer med ACE og CBIT, samtidig som systemet øker verdiskapingen i landet (bruttonasjonalproduktet).
En slik modell kunne innføres i Norge ved å ta utgangspunkt i grunnlagene for ACE- og CBIT-modellen omtalt ovenfor. Deretter må det beregnes hvilken skattesats som skal benyttes for ACE-fradraget og fradraget netto rentekostnader, slik at modellen virker nøytralt i valget mellom gjeld og egenkapital på selskapets hånd og provenyet fra selskapsskatten forblir uendret.
Integrasjonen med personbeskatningen vil imidlertid bli vesentlig mer komplisert under denne modellen. Endringene i personbeskatningen blir todelt. For det første må skjermingsfradraget under aksjonærmodellen tilpasses nivået på ACE-fradraget. Dersom det for eksempel gis fradrag for halve alternativavkastningen for egenkapital på selskapets hånd, bør skjermingsfradraget i aksjonærmodellen også halveres. For å hindre at kapital låses inne i selskapssektoren med et ACE-fradrag må det også beregnes et særskilt inntektstillegg på personlig hånd, jf. omtale under avsnitt 5.4.2. For det andre må behandlingen av renteinntekter og -kostnader på personlig hånd justeres avhengig av behandlingen i selskapet. Gis det eksempelvis fradrag for halvparten av netto rentekostnader i selskapet, bør det innføres en tilsvarende begrensning i rentefradraget på personlig hånd.
Utvalget mener at denne modellen vil være svært komplisert ved at alle utfordringene med ACE-modellen og CBIT-modellen må håndteres samtidig, i tillegg til at integrasjonen med personbeskatningen blir uoversiktlig. Utvalget mener en kombinasjon av CBIT og ACE er for komplisert og vil ikke gå videre med en slik modell.
5.6 Utvalgets vurderinger og forslag
Utvalget mener at gjeldende selskapsskattemodell som er basert på et prinsipielt grunnlag, i grove trekk har gitt et stabilt og velfungerende skattesystem. Den norske selskapsbeskatningen har etter 1992 vært kjennetegnet ved stor grad av likebehandling, relativt brede grunnlag og lave satser. De siste 10 årene har imidlertid mange land redusert skattesatsen, slik at den norske satsen nå fremstår som relativt høy.
Utvalget vurderer det derfor som et aktuelt alternativ å videreføre hovedtrekkene i gjeldende selskapsskatt, men skattesatsen bør i så fall reduseres. På bakgrunn av utviklingen i den effektive selskapsskattesatsen i OECD-området og våre nærmeste naboland foreslår utvalgets flertall at skattesatsen da senkes til 20 pst. Utvalget legger til grunn at redusert selskapsskattesats vil bidra til å dempe flere av de uheldige virkningene av den gjeldende norske selskapsskatten. Med redusert skattesats vil kapitalkostnaden på egenkapital fra norske og utenlandske investorer falle. Dette vil gi insentiver til økte investeringer og samlet bidra til økonomisk vekst. Forskjellsbehandlingen av gjeld og egenkapital i selskapsskatten vil også bli mindre ved lavere skattesats.
Utvalgets medlem Aleksander Grydelandforeslår at selskapsskattesatsen settes til anslagsvis 22 pst., som er samme selskapsskattesats som i Sverige og Danmark (fra 2016) for å finansiere sine forslag. Subsidiært støtter dette medlem flertallet i utvalgets forslag om en sats på 20 pst. på alminnelig inntekt.
Tettere integrerte markeder og økende digitalisering av økonomien har imidlertid gitt særlige utfordringer som reduserte skattesatser alene ikke kan løse. Redusert skattesats vil bare i begrenset grad bidra til å beskytte det norske skattegrunnlaget mot uthuling. Insentivene til å gjeldsfinansiere selskap og flytte overskudd til andre land vil bli lavere med redusert skattesats, men dette vil ikke i seg selv kunne hindre uthuling. Så lenge Norge skattlegger selskap, vil det alltid finnes et land som beskatter selskapsoverskudd lavere enn oss. Selv med en betydelig reduksjon av skattesatsen, vil det fortsatt være insentiver til å flytte overskudd til lavskatteland. Dagens utforming av selskapsskatten bør derfor kombineres med andre målrettede tiltak mot overskuddsflytting.
Utvalget har vurdert om gjeldende utforming av skattesystemet bør erstattes av mer nøytrale skattemodeller som skjermer alternativavkastningen fra beskatning. Nøytralt utformede skatter påvirker ikke spare- og investeringsbeslutningene i samfunnet. Dette vil bidra til å styrke investeringsinsentivene ytterligere. Utvalget vil likevel ikke anbefale å erstatte gjeldende selskapsskatt med en rendyrket kontantstrømskatt som ville skjermet alternativavkastningen fra beskatning. En generell kontantstrømskatt for hele selskapssektoren vil ha en rekke praktiske utfordringer og gi insentiver til tilpasninger. Utvalget viser videre til at en destinasjonsbasert kontantstrømskatt i teorien har mange gode egenskaper som kunne bidratt til å løse flere av utfordringene med en ordinær selskapsskatt. Imidlertid vil ensidig innføring fra et enkeltland gi store tilpasningsmuligheter og administrative problemer som Norge alene ikke kan løse. Utvalget vil på denne bakgrunn heller ikke tilrå en destinasjonsbasert kontantstrømskatt.
Utvalget mener en modell der en gir fradrag for egenkapitalkostnaden (Allowance for Corporate Equity – ACE) kan være et aktuelt alternativ dersom en ønsker å skjerme alternativavkastningen og ytterligere styrke investeringsinsentivene. En ACE-modell vil gi likebehandling av gjeld og egenkapital på selskapets hånd og sikre at alle prosjekter som er lønnsomme før skatt også vil være lønnsomme etter skatt. Utvalget mener at en ACE-modell er gjennomførbar, men fordelene må veies opp mot økte administrative kostnader. Utvalget vil også peke på at det vil være krevende å utforme modellen slik at insentiver til tilpasninger unngås. Integrasjonen med personbeskatningen vil også kunne bli komplisert. Modellen vil ikke hindre overskuddsflytting. For å hindre overskuddsflytting gjennom lånekostnader kan en variant med fradrag for totalkapitalen (ACC-modellen) vurderes. I en slik modell erstattes fradraget for gjeldsrenter med et skjermingsfradrag for både gjeld og egenkapital og en vil hindre overskuddsflytting gjennom manipulering av rentekostnader. Med en ACC-modell må en tilpasse beskatningen av finansiell sektor særskilt. En særskilt tilpasning for finansiell sektor kan være administrativt krevende og gi rom for tilpasninger. I tillegg skaper også ACC-modellen utfordringer i integrasjonen med personbeskatningen. Modellen bør også kombineres med tiltak for å hindre overskuddsflytting gjennom andre typer fradrag.
Provenyet fra nøytrale skatter kan bidra til å dempe behovet for andre vridende skatter. Utvalget mener derfor at skatten på kilder til immobile renprofitter bør opprettholdes og helst økes. Dette ivaretas til dels gjennom særskattesystemene for petroleum og vannkraft, men det er også andre kilder til immobil renprofitt i norsk økonomi. Et skattesystem med høy skattesats på all meravkastning kan imidlertid føre til at mobile renprofitter flyttes ut av landet eller at nye lønnsomme mobile prosjekter ikke realiseres her. Utvalget tilrår derfor at særskatt på renprofitter avgrenses mot enkeltsektorer. Det bør blant annet vurderes å innføre grunnrenteskatter på fiskeri- og havbrukssektoren.
Utvalget har også vurdert å fjerne fradraget for gjeldsrenter og benytte provenyet til å redusere selskapsskattesatsen (CBIT-modell). I dette tilfellet beskattes både alternativavkastningen og renprofitt på selskapets hånd. En slik modell vil redusere kapitalkostnaden ved egenkapitalfinansering. For selskap som er kredittrasjonerte og avhengige av egenkapital, kan en slik modell bidra til økte investeringer. En CBIT-modell vil på den annen side gjøre gjeldsfinansierte, marginalt lønnsomme prosjekter ulønnsomme etter skatt. Effekten av en CBIT-modell i kombinasjon med redusert selskapsskattesats kan dermed være at en skifter skattebyrden fra renprofitt og grunnrente over på marginale prosjekter. CBIT-modellen reiser også betydelige utfordringer i beskatningen av finanssektoren og i integrasjonen med personbeskatningen. Utvalget vil på bakgrunn av ovennevnte frarå å legge selskapsbeskatningen om til en CBIT-modell.
Utvalget ser at det svenske forslaget der netto finansieringskostnader avskjæres kan motvirke overskuddsflytting. Forslaget vil imidlertid medføre betydelige utfordringer når en ser personbeskatningen i sammenheng med selskapsbeskatningen. Utvalget kan ikke se at det vil være mulig å unngå innlåsingseffekter. I tillegg vil det oppstå vridninger internt i selskapssektoren ved fusjoner og oppkjøp av selskap med ulike renteposisjoner. Skatten på egenkapitalfinansierte prosjekter vil bli lavere som følge av satsreduksjonen eller kapitalfradraget, men modellen vil kunne gjøre gjeldsfinansierte prosjekter ulønnsomme. På bakgrunn av det ovennevnte vil utvalget heller ikke anbefale en svensk CBIT-variant.
Ut fra en samlet vurdering vil utvalget anbefale en standard selskapsskatt. For å redusere selskapsskattens uheldige virkninger på investeringsinsentivene bør imidlertid modellen kombineres med en redusert selskapsskattesats. Utvalgets flertall foreslår at skattesatsen senkes til 20 pst. Utvalget vil understreke at gjeldende selskapsskatt bør kombineres med andre tiltak mot overskuddsflytting.
Referanser
Auerbach, Alan J., and Michael P. Devereux (2011): «Consumption and Cash-Flow Taxes in an International Setting.»
Auerbach, Alan J., Michael P. Devereux and Helen Simpson (2011): «Taxing Corporate Income», kapittel 9 i Dimensions of Tax by Design.
Bond, Stephen R. og Devereux, Michael P. (1995): «On the design of a neutral business tax under uncertainty», Journal of Economics 58, 57–71.
Bond, Stephen R. (2000): «Levelling Up or Levelling Down? Some Reflections on the ACE and CBIT Proposals, and the Future of the Corporate Tax Base» i S. Cnossen, «Taxing Capital Income in the European Union», Oxford Univercity Press.
Bond, Stephen R. og Michael P. Devereux (2002): «Cash Flow Taxes in an Open Economy.» CEPR Discussion Paper No. 3401. Centre for Economic Policy Research, London, UK.
Bond, Stephen R. og Michael P. Devereux (2003): «Generalized R-based and S-based taxes under uncertainty», Journal of Public Economics.
De Mooij, Ruud A. og Michael P. Devereux (2008): «Alternative Systems of Business Tax in Europe. An applied analysis of ACE and CBIT reform», CPB Discussion Paper.
De Mooij, Ruud A. og Sjef Ederveen (2008): «Corporate Tax Elasticities. A Reader’s Guide to Empirical Findings», Oxford University Centre for Business Taxation WP 08/22.
De Mooij, Ruud A. (2011): «Tax Biases to Debt Finance: Assessing the Problem, Finding the solution.» IMF Staff Discussion Note 11/11.
Devereux, Michael P. og Rachel Griffith (2003): «Evaluating Tax Policy for Location Decisions», International Tax and Public Finance 10.
Devereux, Michael P. (2012): «Issues in the Design of Taxes on Corporate Profit.» National Tax Journal.
Fane, George (1987): «Neutral taxation under uncertainty», Journal of Public Economics 33, 95–105.
Finansdepartementet, 2013. «Høringsnotat – begrensning av fradrag for renter i interessefellesskap.»
Garnaut, Ross og Anthony I. C. Ross (1975): «Uncertainty, Risk Aversion, and the Taxing of Natural Resource Projects», Energy Journal 85, 272–285.
Griffith, Rachel, James Hines, Peter Birch Sørensen (2011): «International Capital Taxation», kapittel 10 i Dimensions of Tax by Design.
Hagen, Kåre P., Geir Åvitsland (2000): «Grunnrenteskatt, kapitalbeskatning og usikkerhet», vedlegg 2 i NOU 2000: 18 Skattlegging av petroleumsvirksomhet.
Institute for Fiscal Studies (1991): «Equity for Companies: A Corporation Tax Reform for the 1990s», A Report of the IFS Capital Taxes Group.
International Monetary Fund (2012): «Fiscal Regimes for Extractive Industries: Design and Implementation.»
Keen, Michael og John King (2002): «The Croatian Profit Tax: An ACE in Practice», Institute for Fiscal Studies vol. 23, no 3, side 401–418.
Kleinbard, Edward D. (2007): «Rehabilitating the Business Income Tax», Working Paper , The Brookings Institution.
Klemm, Alexander (2006): «Allowances for Corporate Equity in Practice», IMF Working Paper, 06/259.
Meld. St. 11 (2010–2011) Evaluering av skattereformen 2006.
Meade, James, (1978): «The Structure and Reform of Direct Taxation», Allen & Unwin.
Mirrlees, James og Institute for Fiscal Studies (2011): «Tax by Design», The Mirrlees Review, Oxford University Press.
Myers, Stewart C. (1974): «Interactions of Corporate Financing Decisions and Investment Decisions – Implications for Capital Budgeting», Journal of Finance 24, 1–25.
Nielsen, Søren Bo (2014): «The Corporate Income Tax in the Tax System», ekspertrapport til den svenske «Företagsskattekomitén», jf. SOU 2014:40.
Norges offentlige utredninger 1989: 14 «Bedrifts- og kapitalbeskatningen – en skisse til reform.»
Norges offentlige utredninger 2000:18 «Skattlegging av petroleumsvirksomhet.»
Norges offentlige utredninger 2003: 9 «Skatteutvalget – forslag til endringer i skattesystemet.»
OECD (2007): «Fundamental Reform of Corporate Income Tax».
Princen, Savina (2012): «Taxes do Affect Corporate Financing Decisions: The Case of Belgian ACE», CESIFO Working Paper 3713.
Prop. 150 LS Endringar i skatte-, avgifts- og tollovgivninga.
Sandmo, Agnar (1989): «Om nøytralitet i bedrifts- og kapitalbeskatningen», vedlegg 1 i NOU 1989: 14 Bedrifts- og kapitalbeskatningen – en skisse til reform.
Summers, Lawrence H. (1987): «Investment incentives and the discounting of depreciation allowances» i M. Feldstein (red.), The effects of Taxation on Capital Accumulation, University of Chicago Press, Chicago, 295–304.
Statens offentliga utredningar 2014: 40 «Netural bolagsskatt – för ökad effektivitet och stabilitet», Sverige.
Sørensen, Peter Birch, 2009: «The Mirrlees Review: Lessons for and from the Nordic countries.» Presentation at the VATT Seminar on Tax Reform, Helsinki.
US Department of the Treasury (1992): «Integration of the Individual and Corporate Tax System: Taxing Business Income Once», US Government Printing Office.
Weisbach, David A. (2004): «The (Non)Taxation of Risk», Working Paper, The Universtity of Chicago.
Appendiks 5.1
Integrasjon med personbeskatning under en ACE-modell
1. Innledning
I avsnitt 5.3.2 vurderer utvalget hvordan en modell med fradrag for egenkapitalkostnaden (ACE-modell) kan utformes. I dette appendikset vurderes det nærmere hvordan en ACE-modell kan integreres i personbeskatningen. Utgangspunktet for vurderingen er at det innføres et fradrag for kostnaden ved å binde egenkapital i selskapsskatten (ACE-fradrag), samtidig som denne kostnaden i stedet skal beskattes på personlig hånd. Det finnes ulike måter å tilpasse personbeskatningen på for å sikre at alternativavkastningen beskattes. I denne analysen er hensikten å finne fram til et system som i størst mulig grad sikrer at ulike former for finansiering likebehandles. Likebehandling innebærer at investor ikke har insentiv til å velge den ene finansieringsformen foran den andre når en ser person- og selskapsbeskatningen under ett.
2. Tilpasning av personbeskatningen under en ACE-modell
Etter gjeldende utforming av skattesystemet kan selskap trekke fra rentekostnader i selskapsskatten, mens motsvarende renteinntekt vil være skattepliktig på norsk investors hånd. Det gis imidlertid ikke fradrag for finansieringskostnaden ved egenkapital på selskapets hånd, men kostnaden ved å binde kapital skjermes i utbytteskatten på investors hånd gjennom aksjonærmodellen. Samlet innebærer dette at alternativavkastningen blir beskattet både ved egenkapitalfinansiering (i selskapet) og gjeldsfinansiering (på investors hånd) for norske investorer. Renprofitt, dvs. avkastning utover alternativavkastningen, blir både beskattet gjennom selskapsskatten og skatt på eierinntekt (gevinst og utbytte).
Under en ACE-modell vil selskapet ved egenkapitalfinansiering kunne trekke fra et ACE-fradrag i selskapsoverskuddet. Dersom aksjonærmodellen videreføres uendret, vil alternativavkastningen ved egenkapitalfinansiering heller ikke bli beskattet på personlig hånd. En modell som fritar alternativavkastningen både i selskapet og på personlig hånd, er riktignok i tråd med anbefalinger fra Mirrlees’ Review (Mirrlees et. al, 2011). En slik modell ville imidlertid medføre behov for omfattende tilpasninger i andre deler av kapitalbeskatningen for å unngå vridninger. Det legges til grunn at en fortsatt vil skattlegge alternativavkastningen under en ACE-modell, jf. omtale i avsnitt 5.3.2.4.
Med et ACE-fradrag i selskapsskattegrunnlaget kunne i prinsippet en skatt på eierinntekt uten skjermingsfradrag sikre at finansiering med ny, innskutt egenkapital og gjeld likebehandles, gitt at skattesatsen på eierinntekt er lik selskapsskattesatsen. I et slikt system vil imidlertid selskapet få insentiv til å finansiere prosjekter med tilbakeholdt overskudd. Ved å holde kapital tilbake i selskapet vil investor skattefritt kunne utsette beskatningen av eierinntekt. Denne skattekreditten gir insentiver til å låse kapital inn i selskapssektoren.
For å finne fram til et helt finansieringsnøytralt skattesystem med en ACE-modell når en ser person- og selskapsbeskatningen under ett, tar vi utgangspunkt i gjeldende skattesystem for 2014. For enkelhets skyld ses det bort fra risiko. Aksjonærmodellen er i utgangspunktet finansieringsnøytral dersom investor har full sikkerhet for å kunne utnytte skjermingsfradraget. Nøytralitetsegenskapene ved aksjonærmodellen er nærmere beskrevet i NOU 2003: 9 og vedlegg 2 av Sørensen. Vi innfører så et ACE-fradrag i selskapsbeskatningen, mens det forutsettes at skattesystemet for øvrig er uendret. For at skattesystemet fortsatt skal være finansieringsnøytralt med et ACE-fradrag i selskapsbeskatningen, må følgelig nettovirkningen av ACE-fradraget utlignes på personlig hånd (siden aksjonærmodellen i utgangspunktet er finansieringsnøytral).
ACE-grunnlaget består av både innskutt egenkapital og kapital i form av tilbakeholdt overskudd. Vi definerer uttrykkene ACEgsom ACE-grunnlaget som kan skrives som summen av tilbakeholdt overskudd (KTO)og innskutt egenkapital (KIE), dvs. ACEg = KTO + KIE. Siden ACE-fradraget skal sørge for at kostnaden ved å binde egenkapital er skattefri på selskapets hånd, må fradraget beregnes av renten før skatt (RFS). Merverdien for investor i selskapet sammenlignet med dagens system vil være skatteverdien av dette fradraget. Investor må imidlertid betale utbytteskatt ved uttak av skattefordelen.3 Skattefordelen av ACE-fradraget etter utbytteskatt vil da kunne utledes til følgende:

der τs er selskapsskattesatsen, τE er skattesatsen på eierinntekt (utbytte- og gevinstskatt). Uttrykket ACEg * RFS * τs på venstre side av likhetstegnet angir skattefordelen av ACE-fradraget i selskapet. Dette fratrekkes utbytteskatt som er gitt ved andre ledd på venstre side. Samlet viser uttrykket (1) dermed skatteverdien av ACE-fradraget på selskapets hånd hensyntatt utbytteskatt på personlig hånd. Et skattesystem som gir fradrag for egenkapitalkostnaden i selskapet og som samtidig viderefører aksjonærmodellen, vil dermed være finansieringsnøytralt hvis det innføres et skattetillegg på personlig hånd etter ligning (1).
For tilfellet at skattesats på eierinntekt er lik selskapsskattesatsen, dvs. τE = τs = τ, kan uttrykket (1) forenkles til:

der RES er renten etter skatt og som er lik RFS(1 – τ). Uttrykket (2) viser at det i dette tilfellet må innføres et inntektstillegg tilsvarende skatteverdien av avkastningen etter skatt på ACE-grunnlaget på personlig hånd for å utligne fordelen for investor av at det innføres et ACE-fradrag i selskapet.
Det kan virke unødig kompliserende å ha både skjermingsfradrag og et inntektstillegg etter uttrykk (1) (alternativt uttrykk (2) dersom skatten på eierinntekt er lik selskapsskatten). I utgangspunktet kunne en derfor tenke seg at det ble beregnet en nettovirkning på personlig hånd, dvs. inntektstillegget fratrukket skjermingsfradraget. Vi ser først på tilfellet der skattesatsen på eierinntekt er lik selskapsskattesatsen. I dette tilfellet vil nettovirkningen for investor være gitt ved uttrykket (2) fratrukket skatteverdien av gjeldende skjermingsfradrag4:

Uttrykket (3) viser at i et skattesystem med ACE-fradrag kan en ordinær utbytteskatt uten skjerming følges av et særskilt skattetillegg på personlig hånd for å sikre likebehandling av ulike finansieringsformer. Det særskilte skattetillegget må da settes tilsvarende skatteverdien av risikofri avkastning etter skatt på tilbakeholdt overskudd. Uttrykket viser også at en ACE-modell med utbytteskatt uten skjerming ville være nøytral mellom finansiering med ny, innskutt egenkapital og gjeld, uavhengig av et inntektstillegg, siden nettovirkningen kun avhenger av tilbakeholdt overskudd (KTO). Inntektstillegget er imidlertid nødvendig for å hindre at tilbakeholdt overskudd blir foretrukken finansieringsform.
En viktig forutsetning for resultatet (3) er at det er samme skattesats på all kapital- og eierinntekt. I kapittel 11 har utvalget imidlertid lagt opp til at eierinntekt skilles ut som et eget skattegrunnlag og beskattes på nivå med lønnsinntekt inkludert arbeidsgiveravgift. Dersom en skal ha ulik skattesats på selskapsoverskudd og eierinntekt, vil det være nødvendig med en særskilt justering av inntektstillegget hvis en skal hindre innlåsing. Dette skyldes at ACE-fradraget får en annen verdi på eiers hånd når skattesatsene er ulike. Med ulike skattesatser på eierinntekt og alminnelig inntekt kan ikke likning (2) benyttes til å beregne netto virkningen. En må da ta utgangspunkt i likning (1) og deretter trekke fra skjermingsfradraget:

Nettovirkningen som skal korrigeres på personlig hånd, er dermed gitt ved uttrykk (4) ved ulik skattesats på eierinntekt og alminnelig inntekt. For skattyter kan et slikt beregnet netto inntektstillegg være vanskelig å forstå og virke komplisert. Det kan derfor være enklere for skattyter å videreføre skjermingsfradraget (som er allerede er kjent for skattyter) for å korrigere annet ledd i likning (4) direkte. Samtidig må det innføres et inntektstillegg på personlig hånd som i så fall vil være identisk med ACE-fradraget i selskapet, korrigert for utbytteskatt, dvs. tilsvarende første ledd i likning (4) som er lik likning (1).
Uttrykket viser dessuten at det heller ikke vil være mulig å sikre likebehandling ved finansiering med ny, innskutt egenkapital og gjeld ved å fjerne skjermingsfradraget dersom skattesatsene er ulike. Dette skyldes at nettovirkningen ved finansiering med ny, innskutt egenkapital vil være gitt ved KIE * RFS * (τs – τE).
En alternativ utforming av skattetillegg kan finnes ved å omformulere uttrykket (4). Nettovirkningen etter uttrykket (4) vil være ekvivalent med en kapitalinntektsskatt på ACE-fradraget og et reformert skjermingsfradrag. Årets ACE-fradrag vil være gitt ved ACE-grunnlaget multiplisert med risikofri rente før skatt som kan beskattes på personlig hånd med kapitalinntektsskatten. For å unngå dobbeltbeskatning må da skjermingsfradraget i aksjonærmodellen økes med tilsvarende beløp. Denne sammenhengen kan illustreres ved følgende likning:

Likning (5) er en omskrevet variant av likning (4) og illustrerer at korrigeringen på personlig hånd også kan gjøres i form av en kapitalinntektsskatt og en justert skjermingsmetode. Skjermingsmetoden justeres ved at skjermingsgrunnlaget økes med den betalte kapitalinntektsskatten på ACE-fradraget.
3. Illustrasjoner av inntektstillegg på personlig hånd
Inntektstilleggene som er skissert i uttrykkene (4) og (5) kan illustreres med konkrete eksempler. I denne illustrasjonen legges det til grunn en risikofri rente etter skatt på 4 pst. ACE-fradrag gis før beregning av skatt på selskapsoverskudd og skal dermed beregnes med en risikofri rente før skatt. Med en selskapsskattessats på 20 pst. blir renten før skatt 5 pst. Det forutsettes en utbytteskatt på 40 pst.
Vi forutsetter videre at selskapet ved utgangen av år 0 har en innskutt egenkapital på 1000 og et akkumulert tilbakeholdt overskudd på 1000 slik at verdien av selskapets kapital er 2000. For enkelhets skyld legges det til grunn at opparbeidet tilbakeholdt overskudd stammer fra overnormal avkastning, dvs. at det historisk er utbetalt utbytter tilsvarende tidligere års skjerming. På den måten vil det dermed ikke foreligge ubrukt skjerming fra tidligere år.
I scenario 1 tas kapitalen ut ved utgangen av år 0 og settes på sparekonto til risikofri rente. I scenario 2 holdes imidlertid kapitalen tilbake i selskapet inntil utgangen av år 1. I dette tilfellet forutsettes det at ACE-fradraget på selskapets hånd nøytraliseres i tråd med uttrykket (4) på personlig hånd. Eksemplet illustrerer at en ACE-modell kan kombineres med et skattetillegg på personlig hånd, for å hindre at kapital låses inn i selskapet.
Situasjon i selskapet ved utgangen av år 0
1. Innskutt egenkapital | 1 000 |
2. Akkumulert tilbakeholdt overskudd | 1 000 |
3. Verdi av selskapets kapital | 2 000 |
Scenario 1: Kapital tas ut ved utgangen av år 0 og settes på sparekonto med risikofri rente
4. Uttak fra selskapet (= 3) | 2 000 |
5. Utbytteskatt (40 % av 2.) | 400 |
6. Beløp til plassering på sparekonto (4.–5.) | 1 600 |
7. Avkastning i år 1 etter skatt (4 % av 6.) | 64 |
8. Kapital i slutten av år 1 (6.+7.) | 1 664 |
Scenario 2: Kapital holdes i selskapet inntil utgangen av år 1 – skattetillegg basert på ACE-fradrag
9. Overskudd før selskapsskatt (5 % av 3.) | 100 |
10. ACE-fradrag (5 % av 3.) | 100 |
11. Overskudd etter skatt (80 % av 9.–10.) | 0 |
12. Overskudd etter skatt før ACE-fradrag (10.+11.) | 100 |
13. Akkumulert overskudd (2.+12.) | 1 100 |
14. Årets skjermingsfradrag (4 % av 1.) | 40 |
15. Utbytteskatt (40 % av 13.–14.) | 424 |
16. Skatteverdi av ACE-fradraget (20 % av 10.) | 20 |
17. Skattetillegg (ACE-fradrag etter utbytteskatt) (60 % av 16.) | 12 |
18. Kapital i slutten av år 1 (1.+13.–15.–17) | 1 664 |
I scenario 1 tar investor ut kapitalen fra ved utgangen av år 0 og betaler utbytteskatt på det akkumulerte tilbakeholdte overskuddet. Skjermingen ved uttak av utbytte i år 1 består av årets skjermingsfradrag og den innskutte egenkapitalen. Beløpet etter utbytteskatt plasseres så på en sparekonto til risikofri rente. Avkastningen ved utgangen av år 1 blir 1664.
I scenario 2 lar investor kapitalen bli stående i selskapet inntil utgangen av år 1. I selskapet oppnår investor et ACE-fradrag, men blir utbyttebeskattet ved uttak i slutten av år 1. I tillegg innføres et særskilt skattetillegg, beregnet i punkt 17. Med det særskilte skattetillegg blir investor indifferent mellom å holde kapitalen i selskapet eller ta den ut og investere den i rentemarkedet. I eksemplet blir avkastningen i begge tilfeller 1664. Eksemplet illustrerer at inntektstillegget fjerner innlåsningseffekten av ACE-fradraget.
Metoden i scenario 2 kan også alternativt fremstilles som en kapitalinntektsskatt på personlig hånd på tilbakeholdt overskudd i selskapet, samt en justert gevinst- og utbytteskatt på overnormalavkastning. Justeringen består i at skjermingsgrunnlaget oppjusteres med kapitalinntektsskatten i tillegg til den ordinære justeringen med risikofri rente etter skatt på innskutt egenkapital. Dette er illustrert i scenario 3.
Scenario 3: Kapital holdes i selskapet inntil utgangen av år 1 – kapitalinntektsskatt
19. Overskudd før selskapsskatt (5 % av 3.) | 100 |
20. ACE-fradrag (5 % av 3.) | 100 |
21. Overskudd etter skatt (80 % av 19.–20.) | 0 |
22. Overskudd etter skatt før ACE-fradrag (20.+21.) | 100 |
23. Akkumulert overskudd (2.+22.) | 1 100 |
24. Kapitalinntektsskatt på ACE-fradraget (20 % av 20.) | 20 |
25. Årets oppjustering av skjermings grunnlag ((4 % av 1.)+24.) | 60 |
26. Oppjustert skjermingsgrunnlag (1.+25.) | 1 060 |
27. Utbytteskatt (40 % av (2.+23.–26)) | 416 |
28. Kapital i slutten av år 1 (1.+23.–24.–27) | 1 664 |
I likhet med scenariene 1 og 2 blir avkastningen i scenario 3 også 1664. I stedet for å gi et særskilt skattetillegg innføres det i denne modellen en kapitalinntektsskatt på ACE-fradraget, jf. punkt 24. I tillegg justeres skjermingsgrunnlaget med denne skatten for å hindre dobbeltbeskatning, jf. punkt 25. Samlet gir da investeringen i selskapet samme avkastning som ved risikofri plassering i bank.
4. Praktiske utfordringer ved tilpasning til personbeskatningen
Eksemplene viser hvordan personbeskatningen teoretisk kan tilpasses for å hindre at kapital låses inne i selskapssektoren. Modellene kan imidlertid være krevende å innføre i praksis. I det videre skisseres hvordan modellen kan tenkes iverksatt. Den praktiske utformingen tar utgangspunkt i alternativet der det innføres en kapitalinntektsskatt og skjermingsgrunnlaget reformeres, dvs. likning (5) og scenario 3.
Prinsippet for den nye kapitalinntektsskatten er at utbytter og realiserte aksjekursgevinster tilsvarende kostnaden ved å binde egenkapital, skal beskattes som kapitalinntekt. Kapitalinntekten kan beregnes ved å ta utgangspunkt i aksjonærens andel av selskapets ACE-fradrag. For å beregne den personlige kapitalinntektsskatten kan skattemyndighetene utnytte informasjon som uansett må samles inn for å beregne ACE-fradraget på selskapets hånd. Den beregnede kapitalinntektsskatten basert på selskapets ACE-fradrag kan videre tilordnes de aktuelle aksjonærene på bakgrunn av informasjon i aksjonærregistret. Metoden kan gjennomføres i følgende tre steg:
Selskap A beregner og rapporterer inn et ACE-fradrag på et nærmere fastsatt skjema til skattemyndighetene.
Skattemyndighetene identifiserer eierne av selskap A på bakgrunn av aksjonærregisteret. Norske eiere tilordnes en andel av ACE-grunnlaget basert på eierandel i selskapet.
Det beregnes deretter en særskilt kapitalinntektsskatt på dette ACE-grunnlaget for den norske eieren.
En praktisk utfordring ved modellen er at den beregnede kapitalinntekten vil utløse skatteplikt på personlig hånd uavhengig av om det foreligger realisert utbytte eller gevinst fra selskapet. For å bøte på denne mulige likviditetsutfordringen kan det åpnes for utsatt beskatning inntil det utbetales utbytte eller aksjen realiseres. Samtidig må det da beregnes et rentetillegg som skal nøytralisere likviditetsfordelen ved utsatt beskatning.
Metoden kan gjennomføres ved å føre den latente, men ikke realiserte, kapitalinntektsskatten på aksjonærregistrets konto for den enkelte aksje. Videre føres regnskap med aksjonærens skyldige rente av utsatt kapitalinntektsskatt. Den skyldige rente oppdateres hvert år etter følgende prinsipper:
Skyldig rente i starten av året
Utsatt akkumulert kapitalinntektsskatt i starten av året
Årets rentejustering = (a+b) * renten etter kapitalinntektsskatt
Skyldig rente i slutten av året = a+c
Når aksjen realiseres ved salg eller det utbetales utbytte, betales kapitalinntektsskatt av årets ACE-fradrag. I tillegg betales den utsatte kapitalinntektsskatten fra tidligere år pluss skyldige renter, men begrenset oppad til utbetalt beløp eller realisert gevinst.
Videre skal det som i dag betales eierinntektsskatt av forskjellen mellom utbytte eller aksjens salgspris og en justert inngangsverdi. Inngangsverdien av den enkelte aksje i aksjonærregistret justeres etter følgende prinsipp:
Aksjens inngangsverdi i starten av året | |
+ | Aksjonærens kapitalinntektsskatt for året |
+ | Årets skjermingsfradrag |
– | Aksjonærens mottatte utbytte i året |
= | Aksjens inngangsverdi i slutten av året |
Hvis forskjellen mellom utbytte/salgspris og inngangsverdien er negativ (dvs. hvis den realiserte avkastningen er mindre enn alternativavkastningen), nedsettes den beregnede kapitalinntektsskatten (og om nødvendig skatten av skatteyterens øvrige inntekter) med et beløp tilsvarende eierinntektsskattesatsen multiplisert med forskjellen mellom den oppskrevne inngangsverdi og den realiserte salgsprisen. Tabell 5.5 illustrerer systemet med utsatt beskatning over tid.
Tabell 5.5 Illustrasjon av et system for utsatt beskatning av kapitalinntektsskatt på ACE-fradraget
År | 1 | 2 | 3 |
|---|---|---|---|
1. Innskutt egenkapital | 1 000 | 1 000 | 1 000 |
2. Akkumulert tilbakeholdt overskudd | 0 | 50 | 102,50 |
3. Verdi av selskapets kapital (1.+2.) | 1 000 | 1 050 | 1 102,50 |
4. Overskudd før selskapsskatt (5 % av 3.) | 50 | 52,50 | 55,13 |
5. ACE-fradrag (5 % av 3.) | 50 | 52,50 | 55,13 |
6. Overskudd etter selskapsskatt 80 % av (4.–5.) | 0 | 0 | 0 |
7. Overskudd etter selskapsskatt før ACE-fradrag | 50 | 52,50 | 55,13 |
8. Utsatt kapitalinntektsskatt ved inngang av året | 0 | 10 | 20,0 |
9. Årets rentejustering (4 % av 8.) | 0 | 0,40 | 0,84 |
10. Årets beregnede kapitalinntektsskatt (20 % av 5.) | 10 | 10,50 | 11,03 |
11. Utsatt kapitalinntektsskatt ved slutten av året (8.+9.+10.) | 10 | 20,0 | 32,77 |
12. Oppskrevet inngangsverdi aksjer (3.+5.) | 1 050 | 1 102,50 | 1 157,63 |
13. Uttak fra selskapet | 1 157,63 | ||
14. Utbytteskatt (40 % av 13.–12.) | 0 | ||
15. Betalt kapitalinntektsskatt (=11.) | 32,77 | ||
14. Kapital ved slutten av året (13.–15.) | 1 124,86 | ||
Memo: Kapital ved slutten av året tilsvarer avkastningen på en risikofri renteplassering til 4 pst. rente etter skatt, dvs. 1000*1,043som også er 1124,86. | |||
Tabell 5.5 viser at systemet sikrer at en investor som plasserer kapital i selskapssektoren kommer like godt ut som en investor som plasserer kapitalen i banksektoren.
En svakhet med metoden er at kapitalinntektsskatten ikke kan tilordnes utenlandske eiere. Dette innebærer også at det oppstår insentiver til å omgå systemet ved at norske investorer etablerer utenlandske eierselskap. Problemet med potensielle omgåelser gjennom utenlandske selskap kan muligens motvirkes med misbruksregler, men vil neppe være effektivt i alle sammenhenger. I tillegg oppstår det et problem i konsernforhold. Siden skattetillegget skal tilordnes personlige eiere, kan det bli administrativt krevende for skattemyndighetene å finne fram til den «ultimate» eieren når selskap inngår i kompliserte konsernstrukturer.
5. En forenklet alternativ modell for å motvirke innlåsing
Utvalget har også vurdert en forenklet alternativ modell for å motvirke innlåsning. Modellen er enklere i den forstand at en ikke beregner en årlig kapitalinntektsskatt eller løpende tilordner selskapsoverskudd på personlig hånd. En beregner heller ikke årlige rentetillegg på personlig hånd. Nødvendige parametere i modellen er aksjens kjøpsverdi og salgsverdi og investors eierperiode. Ulempen er at en i praksis ikke vil eliminere fullt ut insentivene til å holde kapital i selskapssektoren selv om kapitalen ville kastet mer av seg i alternativ anvendelse.
I denne forenklede modellen beregnes en gjennomsnittlig avkastning over eiertiden som benyttes til å oppjustere beskatningen av aksjegevinster ved realisasjon. Skattefordelen av å holde tilbake overskudd i selskapssektoren vil da bli redusert som følge av skattetillegget. Modellen vil eliminere innlåsningseffekten i tilfeller der avkastningen i selskapet oppstår jevnt over eierperioden og avkastningen i selskapet er lik alternativ avkastning. Dette er relativt strenge forutsetninger, men modellen vil uansett bidra til å redusere fordelen av å holde kapital tilbake i selskap selv om avkastningen skulle overstige alternativ avkasning.
Årsaken til at modellen krever disse forutsetningene for å eliminere problemet med innlåsning kan belyses med noen eksempler. Anta at det oppstår en stor engangsgevinst i selskapet og anta videre at selskapet forventer ordinær avkastning i påfølgende år. I dette tilfellet vil eier ha insentiv til å holde gevinsten i selskapet fordi gjennomsnittavkastningen, og dermed skattetillegget, blir lavere jo lenger gevinsten holdes i selskapet. Investor vil dermed kunne få lavere beskatning ved å vente med realisajon. Tilsvarende insentiver oppstår også dersom gjennomsnittlig avkastning overstiger alternativavkastningen (og fordeles jevnt) i en gitt periode, men der investor forventer ordinær avkastning i den påfølgende perioden.
Modellen reiser også enkelte utfordringer knyttet til beskatning av utbytte. Dersom utbytte ikke oppjusteres på samme måte som realiserte gevinster, vil eier ha insentiv til å ta ut utbytte like før aksjen selges. Når overskuddet i selskapet tas ut gjennom utbytte, vil salgsverdien av aksjen i teorien falle med tilsvarende beløp. Hvis utbytte derimot skal oppjusteres, må det etableres en egen oppjusteringsfaktor for utbytte samt at justeringsfaktoren for realiserte gevinster må ta hensyn til at utbytter alt har blitt justert. Utvalget har ikke gått nærmere inn på en slik modell. I boks 5.5 illustreres modellen under forutsetning av skatten på eierinntekt er lik selskapsskatten. Modellen kan eventuelt tilpasses ulike skattesatser.
Boks 5.5 Skattetillegg basert på gjennomsnittsavkastning for å motvirke innlåsing av kapital under en ACE-modell
En forenklet metode for redusere insentivene til å holde kapital i selskapssektoren med en ACE-modell kan være å oppjustere realiserte kapitalgevinster med en beregnet faktor som under visse forutsetninger vil nøytralisere fordelen av å holde kapital i selskapet. Modellen er enkel i den forstand at de eneste nødvendige parametere i modellen er aksjens kjøpsverdi og salgsverdi samt aksjonærens eierperiode. Ulempen er at den i praksis ikke fullt ut vil motvirke innlåsing.
Metoden tar utgangspunkt i gjennomsnittlig avkastning i eierperioden som kan beregnes ut fra følgende sammenheng (når det ikke utbetales utbytte):
Ssolgt= (1 + v)T * Skjøpt
der Ssolgt er aksjens salgsverdi, Skjøpt er aksjens kjøpsverdi og T er antall år aksjonæren har eid aksjen. Ved å sette inn for aksjens kjøps- og salgsverdi og antall år eieren har hatt aksjen kan en finne den gjennomsnittlige avkastningen over eiertiden.
Aksjonær står på et hvert tidspunkt overfor et valg om å holde kapitalen i selskapssektoren eller ta den ut og investere plassere kapitalen i risikofritt rentemarkedet. Ved å holde aksjen i selskapet oppnår investor en fordel under en ACE-modell fordi han kan opptjene risikofri avkastning på tilbakeholdt overskudd skattefritt på grunn av ACE-fradraget. Avkastningen innenfor ACE-fradraget blir eventuelt først skattlagt ved overføring til personlig hånd. Dette gir investor insentiver til å holde kapital i selskapet for å utsette beskatningen (som reduserer nåverdien av skatten). For å motvirke fordelen av å utsette beskatningen av urealiserte gevinster kan det beregnes et inntektstillegg basert på den gjennomsnittlige avkastningen eier har oppnådd over perioden.
I tilfeller der investeringen i selskapssektoren gir samme avkastning før skatt som en investering i rentemarkedet, må den realiserte gevinsten som skal beskattes, økes med følgende beløp for å utligne denne fordelen:

I utledningen av formelen er det lagt til grunn at skatt på eierinntekt er lik selskapsskatten og det forutsettes at selskapet ikke betaler utbytte. Modellen kan alternativt tilpasses ulike skattesatser på eierinntekt og selskapsinntekt og eventuelt ta hensyn til utbytte. Sammenhengen blir da mer komplisert. Uttrykket over for Stillegg kan forenkles til følgende sammenheng:

Beskatningen av realisert gevinst vil følgelig bli følgende:

der τ skatt på utbytte eller realisert gevinst (som er lik selskapsskattesatsen).
Selv om modellen i utgangspunktet er enkel, vil den bli mer krevende dersom en skal ta hensyn til at selskapet kan betale utbytte og ulik skattesats på eierinntekt og selskapsinntekt. Videre er det et problem med denne forenklede modellen at aksjonær, selv med et slikt inntektstillegg, vil ha insentiv til å holde avkastningen i selskapet inntil gjennomsnittlig avkastning har kommet ned på nivå med alternativavkastningen av å investere i rentemarkedet, dvs. v=r/(1–τ). Årsaken til dette er at skattetillegget avhenger av gjennomsnittlig avkastning, og ved å utsette beskatningen kan investor redusere dette skattetillegget så lenge gjennomsnittsavkastningen overstiger alternativavkastnignen i rentemarkedet. Modellen vil imidlertid redusere fordelen av utsatt beskatning og motvirke insentivene til å holde kapital tilbake i selskapene.
Appendiks 5.2
Beregning av kapitalkostnad og effektive skattesatser
1. Innledning
Utvalget beregner i ulike sammenhenger virkningen på kapitalkostnaden og effektive skattesatser ved ulike endringer i selskapsskatten. Dette gjelder eksempelvis ved reduksjon av skattesatser, overgang til en kontantstrømskatt, overgang til et ACE- eller CBIT-system og ulike rentebegrensningsregler. I dette appendikset gjennomgås metoden som utvalget har benyttet. Framstillingen er basert på Devereux og Griffith (2003) som beregner kapitalkostnader og effektive skattesatser i diskret tid, men bygger for øvrig på metoden etablert av King og Fullerton (1984) og Hall og Jorgenson (1967). Sørensen (2014) viser også hvordan metoden kan utvides i kontinuerlig tid ved ulike modeller. Metoden er også benyttet i en rapport fra ZEW Mannheim av 2011 (TAXUD/2008/CC/099) som det ofte refereres til. I utvalgets beregninger er det lagt til grunn en realrente på 2,5 pst. og en inflasjon på 2,5 pst.
2. Metode
Beregningen tar utgangspunkt i en to-periode-modell der investor plasserer et beløp i år t, får avkastning på dette i år t + 1 og selger investeringen i år t + 1. Avkastningen og salgsverdien neddiskonteres til år t. I framstillingen ses det bort fra personskatter, men metoden kan også utvides for å ta hensyn til dette. Devereux og Griffith (2003) viser at avkastningen på en investering finansiert med tilbakeholdt overskudd, RRE, kan beskrives ved følgende sammenheng:

der A er nettoverdien av alle fremtidige avskrivninger på en enhet investert kapital, ρ er aksjonærens nominelle diskonteringsrente (som tilsvarer nominell risikofri rente), π er inflasjonsraten, p er realavkastningsraten før skatt på investeringen, δ er depresieringsraten og τ er skattesatsen. Uttrykket for avkastningen kan dekomponeres og tolkes på følgende måte:
(1 – A) representerer investors netto investering i år t, dvs. investeringen etter at nåverdien av avskrivninger er trukket fra.
(1 + π)(p + δ)(1 – τ) er avkastningen på investeringen etter skatt i år t+1, dvs. avkastningen dekker både den reelle avkastningen p, kompensajon for kapitalslit δ og tar høyde for at verdien på investeringen vokser med inflasjonsraten (1 + π).
(1 + π)(1 – δ)(1 – A) er salgsverdi av netto investeringen i år t + 1, dvs. verdien på investeringen vokser med inflasjonsraten (1 + π), men depresierer samtidig med faktoren δ slik at restverdien på investeringen er (1 – δ).
Avkastningen ved finansiering med tilbakeholdt overskudd framkommer som summen av uttrykket i kulepunkt 1 og den neddiskonterte verdi fra år t+1 til år t for avkastningen etter skatt i år 1 (kulepunkt 2) og salgsverdi på investeringen (kulepunkt 3).
Den skattemessige nåverdien av avskrivninger, A, etter saldometoden er beregnet etter følgende sammenheng:

der φ er avskrivningsraten i skattesystemet. Uttrykket angir nåverdien av avskrivninger på en investering som avskrives med satsen φ over uendelig tid. Beregningen av nåverdien må tilpasses i den grad skattesystemet gir lineære avskrivninger eller har andre avskrivningsprofiler.
Vi definerer F til å representere merkostnaden ved å skaffe til veie ekstern finansiering, dvs. ny egenkapital eller gjeld. Avkastningen av en investering kan da uttrykkes som summen av avkastningen ved finansiering med tilbakeholdt overskudd, gitt at uttrykk (1) og (2) og meravkastningen (ev. merkostnaden hvis F er negativ) som oppstår ved valgt ekstern investering:

I det norske skattesystemet antas finansiering med tilbakeholdt overskudd og ny egenkapital å være likebehandlet. Det legges derfor til grunn at det ikke oppstår merkostnader ved finansiering ved ny egenkapital, dvs. FNy egenkapital = 0. Ved gjeldsfinansiering tillater skattesystemet at rentekostnaden trekkes fra. (Det ses foreløpig bort fra rentebegrensningsregler.) Dette gjør at avkastningen øker med nåverdien av skatteverdien av rentekostnaden, dvs. F beregnes som følger når lånekostnaden er lik investors nominelle diskonteringsrente:

Uttrykket over brøkstreken viser skatteverdien av lånekostnaden i år t + 1 som oppstår som en fordel ved gjeldsfinansiering sammenlignet med finansiering med tilbakeholdt overskudd. Fordelen antas å oppstå i år t + 1 og neddiskonteres til år t. Uttrykket tilsvarer kostnaden ved gjeldsfinansiering angitt i tabell 1 i Devereux og Griffith (2003).
For å finne kapitalkostnaden på den marginale investeringen, dvs. en investering hvor avkastningen etter skatt er lik alternativavkastningen, settes R = 0. Vi løser deretter likningen med hensyn på p for å finne kapitalkostnaden. Vi kaller dette for 

Ved å sette ρ = (1 + r)(1 + π) – 1 kan likningen forenkles til følgende:

der r er risikofri realrente. Vi setter deretter inn for FGjeld og innfører en dummyvariabel β som er 0 ved gjeldsfinansiering og 1 ved egenkapitalfinanseiring. Da kan kapitalkostnaden beskrives ved:

Uttrykket beskriver kapitalkostnaden som er den avkastningen som investeringen minst må oppnå før skatt for at den skal bli ansett som lønnsom.
Effektiv marginalskatt er beregnet ved å måle differansen mellom kapitalkostnaden og realrenten r i forhold til kapitalkostnaden:

Uttrykket måler beskatningen av et marginalt prosjekt, dvs. hvor mye av den reelle avkastningen som beskattes i et prosjekt som akkurat er lønnsomt før skatt. Vi ser av likningen at den effektive marginale skattesatsen, EMTR = 0 dersom



3. Kapitalkostnader og effektive skattesatser under ulike avskrivningsregler
Vi ser i det følgende på hvordan uttrykkene for kapitalkostnaden er under ulike forutsetninger om avskrivningsreglene. I nominelle skattesystem skal avskrivningsreglene reflektere nominelt verdifall. Med nominelt verdifall menes forskjellen på verdien av driftsmidlet i år t og t + 1 målt i nominelle størrelser. Det nominelle verdifallet kommer til fradrag i år t + 1. Verdien på tidspunkt t + 1 vil i så fall reflektere driftsmidlets gjenanskaffelsesverdi.
En kan også tenke seg at avskrivningssystemet gjenspeiler verdifall på driftsmidlet i år t og t + 1 før prisstigning. Et slikt system vil være ekvivalent med kompensasjon for inflasjonskomponenten, dvs. at skattesystemet siktes inn mot beskatning av reelle størrelser.
3.1 Avskrivningsreglene reflekterer nominelt verdifall
Dersom en forutsetter at avskrivningssatsene settes slik at de reflekterer nominelt verdifall, kan sammenhengen mellom skattesystemets avskrivningssats (den nominelle avskrivningen) φ og den reelle depresieringsraten δ beskrives ved følgende sammenheng:

I uttrykket også inflasjonsraten π som i denne sammenhengen antas å være konstant. Videre legges det til grunn at driftsmidlenes inflasjon er lik den generelle inflasjonen i økonomien. Uttrykket viser at det nominelle verdifallet reflekterer både det reelle verdifallet (slit og elde) gjennom faktoren δ og prisstigning på driftsmidlet π, og vil dermed være lavere enn den reelle depresieringsraten.
Vi ser først på kapitalkostnaden for en gjeldsfinansiert investering. Ved å sette uttrykket (10) inn i uttrykket for nåverdien av avskrivningene, (2), og deretter benytte den beregnede A i uttrykket for kapitalkostnaden (7) vil kapitalkostnaden bli
For en egenkapitalfinansiert investering blir uttrykket litt mer komplisert. Ved egenkapitalfinansiering er F = 0, dvs. β = 0. Ved å sette uttrykket (10) inn i uttrykket for kapitalkostnaden (7) gjennom likning (2) får en da at kapitalkostnaden er gitt ved:

Første ledd i (11) viser at realavkastningen skattlegges, mens andre ledd viser at inflasjonskomponenten også skattlegges på selskapets hånd. Så lenge det er inflasjon i økonomien, dvs. π > 0, vil
3.2 Avskrivningsregler med kompensasjon for inflasjon
Vi forutsetter nå at skattesystemet skal gi fradrag for inflasjonskomponenten. Det innebærer at skattesystemet innrettes mot å beskatte den reelle avkastningen. Nåverdien av avskrivninger som kompenserer for inflasjon er gitt ved:

Det kan beregnes hvilken avskrivningssats dette tilsvarer i et nominelt skattesystem, dvs. ved å sette (12) lik nåverdien av avskrivningene (2):

Vi ser først på et tilfelle med egenkapitalfinansiert investering F = 0, dvs. β = 0. Ved å sette dette uttrykket ovenfor for φ inn i A, og deretter beregne kapitalkostnaden, får vi at:

For en egenkapitalfinansiert investering vil den effektive marginale skattesatsen være lik den formelle skattesatsen. I tilfelle med gjeldsfinansiering settes β = 1. (Det antas at det fortsatt gir nominelle rentefradrag.) Uttrykket for kapitalkostnaden blir i dette tilfellet som følger:

Så lenge det er inflasjon i økonomien (π > 0) vil
4. Kapitalkostnad og effektiv skattesats under en ACE-modell og kontantstrømskatter
Under en nøytral ACE-modell skjermes kostnaden ved å binde egenkapital fra beskatning ved at selskapene kan trekke fra ACE-fradrag. Dette innebærer at den marginale investeringen ikke blir skattlagt. I så fall vil kapitalkostnaden i modellen etter Devereux og Griffith (2003) tilsvare den risikofrie realrenten, dvs.
Den effektive gjennomsnittlige skattesatsen kan beregnes ved å benytte den vektede summen av EMTR og formell skattesats under forutsetning av kapitalkostnaden er gitt ved den risikofrie realrenten:

Disse resultatene gjelder også under nøytrale kontantstrømskatter.
5. Effektive skattesatser under rentebegrensningsmodeller
Södersten (2014) har beregnet effekten på kapitalkostnaden av ulike rentebegrensningsmodeller for den svenske foretaksskattekomitéen. Söderstens utledning er basert på King og Fullerton (1984) og er beskrevet i kontinuerlig tid. Metoden og resultatene er imidlertid konsistent med rammeverket i Devereux og Griffith (2003) som er i diskret tid.
I tilfeller der rentebegrensningsregelen ikke rammer selskapets rentefradrag, vil kapitalkostnadene og den effektive marginale skattesatsen være upåvirket. For prosjekter som blir rammet av regelen, vil imidlertid kapitalkostnaden ved gjeldsfinansiering øke sammenlignet med et system uten fradragsbegrensning. Kapitalkostnaden ved egenkapitalfinansering blir i utgangspunktet ikke påvirket i det enkelte prosjekt selv om rentebegrensningsregelen binder. Den kan likevel bli påvirket dersom foretaket har avkortede renter fra andre prosjekter. I så fall vil avkastningen fra det nye, egenkapitalfinansierte prosjektet gi rom for å trekke fra avkortede renter fra andre prosjekter. Med tilstrekkelig avkortede renter fra andre prosjekter blir kapitalkostnaden på den nye investeringen sammenfallende for både gjeld- og egenkapitalfinansiering. Etter hvert må det antas at denne muligheten blir uttømt. I det videre omtaler vi i hovedsak effekten på kapitalkostnaden ved gjeldsfinansiering.
Vi ser først på kapitalkostnaden der fradragsrammen fastsettes som en andel b av selskapets overskudd før skatt og netto rentekostnader (EBIT). Södersten (2014) viser at kapitalkostnaden ved gjeldsfinansiering i dette tilfellet vil være gitt ved:

der A* er beregnet med en skattesats lik τ(1 – b), jf. likning (2). I praksis innebærer denne sammenhengen at kapitalkostnaden ved gjeldsfinansiering tilsvarer kapitalkostnaden ved egenkapitalfinansiering i det ordinære skattesystemet (jf. likning (7)), men med en lavere skattesats gitt ved τ(1 – b). I fravær av inflasjon og skattekreditter (herunder at avskrivningssatsene er fastsatt korrekt) viser Södersten (2014) at kapitalkostnaden er gitt ved:

Sammenhengen mellom kapitalkostnaden ved en EBIT-modell og en CBIT-modell er gitt ved parameteren b. I en CBIT-modell avskjæres alle rentekostnader. Dette innebærer at fradragsrammen b = 0. I en CBIT-modell vil følgelig kapitalkostnaden være gitt ved
En alternativ utforming av rentebegrensningsregler er basert på overskuddet før skatt, netto rentekostnader og avskrivninger (EBITDA). Den gjeldende norske rentebegrensningsregelen er basert på dette grunnlaget. Vi definerer d som fradragsrammen under en EBITDA-regel. Södersten viser at kapitalkostnaden i dette tilfellet vil være gitt ved:

Merk at forskjellen mellom likning (17) under en EBIT-modell og likning (19) under en EBITDA-modell gjelder utelukkende beregningen av nåverdien av avskrivningene, dvs. parameteren A. Dette skyldes at avskrivningene fradragsrammen beregnes før avskrivninger under en EBITDA-modell, mens den beregnes etter avskrivninger under en EBIT-modell. I fravær av inflasjon og skattekreditter er kapitalkostnaden gitt ved:

For et selskap som ikke har avskrivninger vil det andre leddet i ligningen falle bort. Fradragsrammen vil da være den samme som om begrensningen baserte seg på EBIT. Selskap som har avskrivninger, vil imidlertid få en ramme som tilsvarer skattesatsen ganget med depresieringsraten. Dette impliserer at en fradragsbegrensning basert på EBITDA vil kunne virke vridende på investeringene. Årsaken er at selskapet får økt fradragsramme tilsvarende en andel av avskrivningene. Rammen blir altså høyere for en investering med samme risiko og avkastning dersom det gis avskrivninger enn om det gis direkte fradrag for en kostnad. Beregningen forutsetter at selskapet har tilstrekkelige rentekostnader til å utnytte hele fradragsrammen. Når fradragsrammen baseres på EBITDA vil selskap med en høy avskrivningssats på driftsmidlene få høyere fradragsramme enn selskap med driftsmidler med lavere avskrivningssats. Dette vil kunne virke vridende på investeringene.
Referanser
Devereux, Michael P. og Rachel Griffith (2003): «Evaluating Tax Policy for Location Decisions, International Tax and Public Finance».
Hall, R. E. og D. Jorgensen (1967): «Tax Policy and Investment Behavior», American Economic Review 57, 391–414.
King, M. A. og D. Fullerton (1984): «The Taxation of Income from Capital», University of Chicago Press.
Södersten, Jan (2014). Vedlegg 8 samt separat teknisk appendiks til SOU 2014: 40. Utredning fra den svenske «Företagsskattekomitén».
Sørensen, Peter B. (2010): «Calculating the deadweight loss from taxation in a small open ecnomomy», technical working paper.
Sørensen, Peter B. (2014): «Measuring the deadweight loss from taxation in a small open economy. A general method with an application to Sweden», Journal of Public Economics.
ZEW (2011): «Effective Tax Levels Using the Devereux/Griffith Methodology», TAXUD/2008/CC/099.
Fotnoter
ACE-fradraget omfatter også avkastning på innskutt egenkapital. Dette beskattes imidlertid gjennom en ordinær utbytteskatt. For å unngå dobbeltbeskatning av innskutt egenkapital må derfor skjermingsmetoden videreføres. Skjermingsfradraget skjermer avkastningen på innskutt egenkapital i utbytteskatten.
Det legges til grunn at fradraget for gjeldsrenter i utgangspunktet ikke avkortes. Dersom fradraget for gjeldsrenter avkortes, ved å redusere den normerte rentekostnaden, får modellen paralleller til modellen beskrevet i avsnitt 5.4.2.
Skjermingsfradraget i aksjonærmodellen vil ikke dekke denne delen av avkastningen siden skjermingen beregnes med en rente etter skatt. Det forutsettes at selskapet opptjener avkastning før skatt tilsvarende avkastningen før skatt på alternativ plassering.
For enkelhets skyld forutsettes det at skjermingsgrunnlaget utelukkende reflekterer innskutt egenkapital, dvs. at det i ev. tidligere år er utbetalt utbytter tilsvarende tidligere års opptjente skjermingsgrunnlag.