5 Utgifter knyttet til rus og psykiatriproblemer - størrelse på brukergruppene og kommunale variasjoner
På oppdrag fra Kommunal- og regionaldepartementet har Statens institutt for rusmiddelforskning (SIRUS) analysert kommunenes kostnader knyttet til rus og psykiatri. Forskergruppen har vært fulgt av en referansegruppe med deltagere fra Sosialdepartementet, Helsedepartementet og Statistisk sentralbyrå. Kommunenes Sentralforbund har deltatt på ett av møtene i referansegruppen. Oppdraget til SIRUS var blant annet:
å identifisere de kommunale tjenestene som mennesker med rus og/eller psykiatriske problemer er brukere av, samt å undersøke om kommunenes kostnader ved å tilby tjenestene kan identifiseres i KOSTRA.
å undersøke om det er mulig å identifisere størrelsen på brukergruppene i nasjonale databaser
I denne delen av meldingen har vi støttet oss til SIRUS sin gjennomgang av problemområdet. Arbeidet er dokumentert i rapporten «Rus og psykiatri i inntektssystemet for kommunene», Melberg og Alver, SIRUS 2003.
Utgiftene knyttet til rus og psykiatriproblemer
For å kartlegge hvilke typer oppgaver og dermed utgifter, kommunene har innen rus og psykiatri, tok SIRUS blant annet utgangspunkt i de oppgaver som lovverket pålegger kommunene. Spesielt aktuelle var lov om sosiale tjenester, lov om barnevernstjenester, lov om psykiatrisk helsevern, lov om helsetjenesten i kommunene og grunnskoleloven. På grunnlag av lovverket har kommunene plikt til å yte en lang rekke tjenester der det er grunn til å anta at mennesker med rusproblemer eller psykiatriske problemer påvirker tjenestenivået (blant annet sosialhjelp, ulike boligtiltak, pleie og omsorgstjenester, spesialundervisning, helsetjenester og barnevernstjenester). Ut fra KOSTRA - tall er det ikke mulig å komme fram til et eksakt anslag på hvor stor del av utgiftene på de ulike tjenesteområdene som kan tilskrives mennesker med rus og /eller psykiatriske problem. Dette skyldes at KOSTRA viser den samlede utgiften innen det aktuelle funksjonsområdet og ikke kun den andelen som skyldes rus og/eller psykiatri. Kun KOSTRA funksjon 243 «Tilbud til personer med rusproblemer» kan i sin helhet tilskrives rusproblematikk. Når det gjelder barnevern, sosialhjelp, bolig, spesialundervisning, sysselsetting og mange andre utgifter blir spørsmålet derfor hvor stor andel av de samlede utgiftene på disse funksjonene som kan tilskrives personer med rus og/eller psykiatriske problemer.
For å beregne et anslag på størrelsen av disse andelene som kan tilskrives rus og psykiatri innhentet SIRUS opplysninger fra tre kilder. For det første detaljert informasjon om ressursbruk og brukergrupper i noen få kommuner, og for det andre utførte de en egen spørreundersøkelse i om lag 60 kommuner. For det tredje ble tilgjengelig statistikk basert på tidligere forskning og foreliggende offentlig statistikk om omfanget av brukergruppene innhentet, deriblant hvilke tjenester som brukes og hvor mye disse tjenestene koster. På bakgrunn av disse ulike kildene anslår SIRUS at i underkant av halvparten av sosialhjelpsmottagerne i kommunene har et rusproblem og/eller en betydelig psykiatrisk lidelse. På bakgrunn av dette kan en anslå at om lag halvparten av kommunenes sosialhjelpsutgifter, her definert som utbetaling av økonomisk sosialhjelp og utgifter til forebygging, rådgivning og veiledning, kan knyttes til personer med rus og/eller psykiatriske problemer. I 2001 utgjorde dette om lag 2,8 milliarder kroner. 1 Tilsvarende anslo SIRUS at om lag 20 prosent av kommunenes barnevernsutgifter kan tilskrives de samme brukergruppene, og at dette i 2001 utgjorde om lag 640 millioner kroner. SIRUS sin gjennomgang tyder slik på at rus og /eller psykiatriske problemer først og fremst virker utgiftsgenererende på kommunenes sosialhjelpsutgifter.
SIRUS anslår videre kommunenes totale nettoutgifter i 2001 på rusområdet til 2,2 milliarder kroner eller nær 500 kroner per innbygger, noe de selv sier er et forsiktig anslag fordi mange mindre utgifter er utelatt. Også i dette regnestykket har de estimert sosialhjelpsutbetalingene til rusmiddelmisbrukere til å være på linje med utbetalingen til andre sosialhjelpsmottagere. Imidlertid tyder undersøkelser fra et begrenset antall kommuner på at narkotikamisbrukere mottar mer i støtte og over lengre tid enn andre mottakere. Den anslåtte andelen sosialhjelp (i underkant av 50 prosent) som går til mennesker med rus og/eller psykiatriske problemer er derfor antagelig et forsiktig anslag. De i underkant av 500 kronene per innbygger i 2001 som anslås å gå til rusrelaterte tjenester fordeler seg slik per innbygger:
tilbud til rusmiddelmisbrukere (KOSTRA funksjon 243), kr 112 per innbygger
sosialhjelp, kr 282 per innbygger
barnevernstjenester, kr 85 per innbygger
Når det gjelder kommunenes utgifter innen psykiatri er det ifølge SIRUS ikke mulig å sette opp en tilsvarende oversikt.
Størrelsen på brukergruppene
SIRUS sin undersøkelse viser at det ikke er mulig ut fra foreliggende data å identifisere antallet personer med rus og/eller psykiatriske problemer i hver enkelt kommune, eller estimere et anslag på størrelsen av disse brukergruppene. SIRUS siterer imidlertid flere undersøkelser som kan gi en pekepinn på problemenes størrelse, men understreker at siden undersøkelsene er utført både på ulik tid og på ulikt datagrunnlag er det vanskelig å si hvor pålitelige tallene er. For eksempel anslås andelen av befolkningen som har et narkotikaproblem som innebærer sprøytebruk til 0,4 prosent, andelen som har en «risikoadferd mht alkohol» til 6,6 prosent av befolkningen, mens 0,9 prosent av befolkningen har vært til behandling for et alkoholproblem. Videre anslås 9 prosent av befolkningen til å ha en moderat psykisk lidelse og om lag 3 prosent har en alvorlig psykisk lidelse 2. Selv om det ikke er mulig å komme med eksakte anslag på andelen av befolkningen som enten har et rus eller et psykiatrisk problem, viser SIRUS sine overslag at størrelsen på disse gruppene er betydelige.
Kommunale variasjoner. Størrelsen på brukergruppene
Når det gjelder variasjoner i antallet rusmisbrukere kommunene i mellom, tyder mye på at problemene er størst i de største byene. Blant annet refererer SIRUS til en undersøkelse 3 der det framkommer at gjennomsnittskonsumet ren alkohol i Oslo lå på 3,6 liter, forbruket var 2,9 liter per person i de ti nest største byene, mens det var 2,5 liter i landet for øvrig. Også når det gjelder narkotika indikerer tallene at problemene er større i storbyene og særlig Oslo, enn landet for øvrig. Blant annet har Oslo i underkant av halvparten av sprøytemisbrukerne i landet, og i forhold til folketallet har storbyene en uforholdsmessig stor andel av overdosedødsfallene. Videre viser undersøkelser i følge SIRUS at flere unge har prøvd narkotiske stoffer i Oslo, enn i landet for øvrig. Selv om tallene indikerer at problemene i gjennomsnitt er størst i storbyene, viser tallene ifølge SIRUS at det er tegn på at flere andre større byer utenom storbyene kan ha vel så store brukergrupper relatert til befolkningen, og at veksten i narkotikaproblemene ser ut til å være størst utenom storbyene. Når det gjelder Oslo tyder imidlertid rapporten fra SIRUS på at rusmiljøet i Oslo tiltrekker seg mennesker fra et stort område av landet som kommer inn for en lengre eller kortere periode.
Når det gjelder variasjoner i antallet innbyggere med psykiatriske problemer, er det vanskelig å vise til kommunerelaterte tall. SIRUS sin rapport viser at det er en tendens til at større kommuner har relativt flere psykiatriske konsultasjoner og innleggelser enn mindre kommuner. Storbyene har de største brukergruppene, og Oslo har flest med over 300 innleggelser per 10 000 innbygger. Bergen, Trondheim og Stavanger har i gjennomsnitt 250 innleggelser, mens små kommuner under 5000 innbygger har om lag 150 innleggelser per 10 000 innbygger.
Utgiftsvariasjoner
SIRUS-rapporten bekrefter at det er store utgiftsforskjeller kommunene i mellom på de kapitlene i kommuneregnskapet som er relatert til rus og psykiatriproblemer. Et enkelt mål på variasjon er variasjonskoeffisienten. Dess større koeffisient, dess større er variasjonen 4. Tabell 5.1 viser nettoutgift på utvalgte områder målt som gjennomsnitt per innbygger, variasjonskoeffisient og utgiftenes andeler av totale netto driftsutgifter.
Tabell 5.1 Nettoutgift på utvalgte utgiftsområder målt som gjennomsnitt per innbygger, funksjonens andel av totale netto driftsutgifter variasjonskoeffisient. Tall fra 2001.
| Utgiftsområde | Gjennomsnitt kr per innbygger | Andel av netto utgifter | Variasjonskoeffisient |
| Netto driftsutgifter i alt per innbygger i hele kroner | 25 787 | 100 | 0,25 |
| 241: Diagnose, behandling og rehabilitering (innen almenhelsebehandling) | 777 | 3,0 | 0,35 |
| 242: Råd, veiledning, sosial forebyggende arbeid | 383 | 1,5 | 0,63 |
| 243: Tilbud til personer med rusproblemer | 112 | 0,4 | 0,81 |
| 244: Barnevernstjenester | 243 | 0,9 | 0,39 |
| 251: Barnevernstiltak i familien | 127 | 0,5 | 0,55 |
| 252: Barnevernstiltak utenom familien | 360 | 1,4 | 0,41 |
| 281: Økonomisk sosialhjelp | 841 | 3,3 | 0,49 |
Kilde: SIRUS
Tabell 5.1 viser at innen alle utgiftsområdene som går til sosiale formål er variasjonene kommunene i mellom store. Særlig gjelder dette utgiftsfunksjon 243 Tilbud til personer med rusproblemer der variasjonskoeffisienten er 0,8. Imidlertid kan det her være forskjell i hvordan kommunene fører utgiftene, for eksempel fører noen kommuner boligtilbud til rusmisbrukere på denne funksjonen i stedet for de funksjonene der boligtiltak i følge regnskapsforskriftene skal føres. Nivået på utgiftene til økonomisk sosialhjelp (KOSTRA funksjon 281) kan også bli påvirket av boligpolitikken overfor svake grupper. For eksempel Oslo har høye kommunale husleier og leietakerne subsidieres eventuelt gjennom bostøtteordninger og/eller sosialhjelp. På tross av at slike forhold kan gi variasjoner som ikke er reelle, er inntrykket at forskjellene kommunene i mellom er store.
Det er videre en klar tendens i materialet at de sosiale utgiftene øker med kommunestørrelse.
Tabell 5.2 viser variasjoner i samlede sosialhjelpsutgifter (økonomisk sosialhjelp, råd og veiledning og forebygging, inkludert direkte utgifter til tiltak for rusmisbrukere) for kommunene gruppert etter innbyggertall.
Tabell 5.2 Sosialhjelpsutgifter, inkludert tiltak til rusmiddelmisbrukere, i kroner pr innbygger. Kommunene er gruppert etter innbyggertall. Tall fra 2001.
| Innbyggertall | Sosialhjelpsutgifter i kroner pr innbygger |
| 0-2 266 | 851 |
| 2 267 - 4 391 | 896 |
| 4 392 - 9 095 | 969 |
| 9 096 - 101 498 | 1 199 |
| Bergen, Trondheim og Stavanger | 1 774 |
| Oslo | 2 967 |
| Landet | 1 395 |
Det er til dels store variasjoner mellom kommunene med hensyn til sosialhjelpsutgifter. Tabellen viser at mens kommunene på landsbasis i gjennomsnitt har i underkant av 1 400 kroner per innbygger i sosialhjelpsutgifter, har storbyene et utgiftsnivå som ligger klart over landsgjennomsnittet. Særlig Oslo skiller seg ut med en gjennomsnittlig utgift på nærmere 3 000 kroner per innbygger. For øvrig viser tabell 5.2 en klar tendens til at utgiftene per innbygger øker i tråd med økningen i folketall.
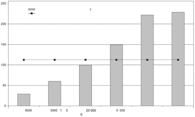
Samme tendens blir bekreftet når en ser på variasjonene i utgifter på funksjon 243 Tilbud til personer med rusproblemer. Figur 5.1 viser nettodriftsutgift fordelt på kommuner sortert etter størrelse. I 2001 var landsgjennomsnittet 112 kr per innbygger. Oslo, Bergen, Trondheim og Stavanger hadde i gjennomsnittet et utgiftsnivå på om lag 220 kroner per innbygger. Deretter er det et klart sprang i utgiftsnivået til kommuner med et innbyggertall over 40 000 med et gjennomsnittlig utgiftsnivå per innbygger på 150 kroner. I denne gruppen er det imidlertid betydelige variasjoner kommunene i mellom. Kommunene med under 5 000 innbyggere (småkommuner) hadde kun en gjennomsnittlig utgift på om lag 30 kroner per innbygger. Selv om det kan være variasjoner også innen kommunegruppene fordi enkelte kommuner kan ha et atypisk utgiftsnivå, er tendensen at utgiftsnivået innen tiltak for rusmisbrukere klart øker med folketallet.

Figur 5.1 Tilbud til personer med rusproblemer, netto driftsutgift kr per innbygger 2001. Kommunene gruppert etter størrelse. Tall fra 2001.
Kilde: SIRUS
For å få et mer samlet inntrykk av utgiftene innen sosialsektoren valgte SIRUS å summere alle utgiftene innen rusutgiftsfunksjonen, økonomisk sosialhjelp, forebygging og de ulike barnevernsutgiftene. De kommunale variasjonene vises i figur 5.2. Her blir bildet av store kommunale variasjoner bekreftet. Kommunene under 5 000 innbyggere har en gjennomsnittlig utgift på 1 500 kroner per innbygger, Oslo har om lag 3 750 kroner per innbygger, mens Bergen, Trondheim og Stavanger i gjennomsnitt har en utgift per innbygger på om lag 2 750 kroner. Øvrige kommuner over 40 000 innbygger har utgifter om lag på landsgjennomsnittet, med i overkant av 2 000 kroner per innbygger. Også disse kommunene har et utgiftsnivå godt over gjennomsnittet i småkommunene, men det er de største kommunene som trekker gjennomsnittet opp.

Figur 5.2 Kommunale variasjoner i nettoutgift pr innbygger innen sosiale tjenester (rustiltak, sosialhjelp og barnevern). Sum KOSTRA-funksjonene (242, 243, 244, 251, 252, 281 og 282).
Kilde: SIRUS
Det vises for øvrig til vedlegg 4 for en nærmere omtale av KOSTRA-funksjonene som benyttes i meldingen.
Fotnoter
I sin gjennomgang setter SIRUS gjennomgående utgiftsandelen lik brukerandelen, og understreker flere steder at dette er et konservativt anslag. Med hensyn til hvor stor andel av sosialhjelpsutgiftene som kan knyttes til rus- og psykiatriproblemer, anslås kun størrelsen på brukergruppen.
Tall som oppgis i SIRUS sin rapport, og som blir referert fra undersøkelser foretatt på SIRUS, Statens Helsetilsyn og Rådet for psykisk helse.
Undersøkelsen ble foretatt av Statens Institutt for Alkohol og narkotikaforskning, nå SIRUS, i 1995.
Spredningen kommunene imellom er mindre dess lavere koeffisienten er, om variasjonskoeffisienten er lik 1 er spredningen mellom kommunene i gjennomsnitt like stor som gjennomsnittsverdien, om den er nær null er det liten forskjell mellom kommunene.