6 Eksempler på nytte-kostnadsanalyser
6.1 Innledning
I dette kapitlet skal vi gå gjennom noen eksempler der vi benytter de tilrådingene vi har gitt i tidligere kapitler. Eksemplene er stiliserte i den forstand at vi i hvert eksempel konsentrerer oss om enkelte hovedproblemstillinger, mens andre problemstillinger behandles mer overfladisk. I tillegg er alle tallene i eksemplene tilfeldig valgt, og gjenspeiler dermed ikke faktiske kostnader og inntekter.
Presentasjonen av eksemplene følger i hovedsak den sjekklisten for nytte-kostnadsanalyser som vi har gjengitt i boks 2.1. Med stiliserte eksempler går vi imidlertid i liten grad inn på institusjonelle forhold (f.eks. ansvarlig myndighet for å gjennomføre eller evaluere tiltak) og vurdering av datakvalitet. De stiliserte eksemplene er også vesentlig kortere enn en fullstendig nytte-kostnadsanalyse, og mange punkter får dermed en mindre grundig behandling.
6.2 Landsomfattende tiltak for diagnostisering av brystkreft (mammografi)
6.2.1 Innledning og problembeskrivelse
Brystkreft inntreffer i stigende grad med alder, hovedsakelig blant kvinner over 40 år. Spredning av brystkreft skjer tidlig, men klinisk kommer denne spredningen ofte ikke til uttrykk før etter mange år. Ved hjelp av mammografiundersøkelse (røntgenundersøkelse) kan brystkreft oppdages mens svulstene ennå er små. Kvinner med små svulster uten spredning har en god overlevelsesprognose dersom sykdommen oppdages og behandles tidlig.
I dette eksemplet analyserer vi de samfunnsøkonomiske konsekvensene av to ulike former for landsomfattende mammografitiltak. Hensikten med tiltakene er å redusere dødeligheten og øke livskvaliteten blant kvinner. En eventuell verdsetting av disse virkningene i kroner innebærer store metodiske utfordringer og er etisk kontroversielt. Virkningene av redusert dødelighet er derfor ikke verdsatt i kroner, men beregnet i form av antall sparte leveår i ulike tidsperioder. Eksemplet illustrerer det vi har valgt å kalle en kostnads-virkningsanalyse, jf. pkt. 2.3.2. I en slik analyse vil en ikke komme fram til noe bestemt beslutningskriterium. Formålet med analysen er å klargjøre og belyse konsekvenser av tiltakene. I vårt eksempel kvantifiserer vi antall sparte leveår og synliggjør tidsprofilen for disse virkningene, beregner årlige kostnader pr. spart leveår, samt belyser andre fordelingsvirkninger.
6.2.2 Spesifisering av tiltak
Vi tar utgangspunkt i at basisalternativet er en situasjon hvor kvinner på eget initiativ kan oppsøke privat eller offentlig helsetjeneste for en nærmere brystundersøkelse. For pasienter med like fremskredne krefttilfeller, er behandlingen den samme i basisalternativet som i de landsomfattende mammografitiltakene.
Vi vurderer to forskjellige tiltak. Tiltak A omfatter kvinner i alderen 50-69 år, mens tiltak B omfatter kvinner i alderen 40-69 år. Vi forutsetter som en forenkling at tiltakene videreføres med uendelig tidshorisont, slik at nye kvinner blir undersøkt etterhvert som de kommer inn i den aktuelle aldersgruppen.
I en fullstendig analyse av landsomfattende mammografitiltak kan det være aktuelt å vurdere tiltak med andre aldersgrupper og ulike innkallingsintervaller. Videre kan det være hensiktsmessig å innføre mammografitiltak trinnvis for å få informasjon om kostnadsforhold og effektforhold, og for å identifisere problemer knyttet til gjennomføring og organisering av et slikt omfattende tiltak. For å fremheve hovedpoengene i dette eksemplet, vil vi ikke drøfte slike alternativ nærmere.
6.2.3 Oversikt over virkninger
Under dette punktet gir vi en oversikt over virkninger på nytte- og kostnadssiden. Alle tall er valgt som eksempler.
a) Redusert dødelighet
Som mål på redusert dødelighet tar vi utgangspunkt i sparte leveår. (Alternativt kan en benytte kvalitetsjusterte leveår eller sparte liv.) Vi antar at tiltaket påvirker dødeligheten i undersøkelsesperioden og i ti år etter, dvs. for kvinner fra 50-79 år (40-79 år for tiltak B). Hvert år fører tiltaket til færre dødsfall som følge av brystkreft enn i basisalternativet. Reduksjonen i dødsfall hvert år fører til en økning i gjenstående leveår, der antall sparte leveår avhenger av alderen til dem som unngår å dø av brystkreft. Vi benytter antall sparte leveår i år t etter tiltaksstart som mål på virkningen av tiltaket. Dette innebærer f.eks. at et tiltak som fører til at én kvinne på 50 år og én kvinne på 60 år ikke dør av brystkreft i år t, og begge kvinnene antas å bli 80 år, gir en forventet innsparing på 50 leveår i år t.
Tiltaket får først betydelige virkninger i form av redusert dødelighet noen år etter at de første undersøkelsene er gjennomført. Dersom vi f.eks. betrakter kvinner på 65 år, vil denne aldersgruppen etterhvert ha vært omfattet av mammografitiltaket siden de var 50 år (40 år for tiltak B), og derfor ha lav dødelighet av brystkreft. I de første årene etter tiltaksstart vil de imidlertid bare ha vært omfattet av tiltaket i relativt kort tid. Dette gjør at reduksjonen i dødelighet er lav i de første årene fordi behandlede svulster ennå ikke ville ført til død i basisalternativet. I tillegg vil det like etter tiltakstart bli oppdaget en større del store svulster som det ikke er mulig å behandle. Vi antar at tiltakene først får full virkning etter 30 år.
Antall kvinner som deltar i undersøkelsen hvert år, er 150 000 i tiltak A og 250 000 i tiltak B. Vi antar at dette antallet er konstant.
Vi oppsummerer virkningene i form av redusert dødelighet i tabell 6.1:
Tabell 6.1 Antall sparte leveår i år t etter tiltaksstart (årlig virkning)
| Antall år etter tiltaksstart (t) | |||||
| 5 | 10 | 15 | 20 | 30 | |
| Tiltak A | 1 500 | 2 500 | 2 800 | 2 900 | 3 000 |
| Tiltak B | 1 700 | 2 900 | 3 300 | 3 400 | 3 500 |
Tabellen viser at tiltak A sparer inn 1500 leveår fem år etter tiltaksstart, mens tiltak B sparer inn 1700 leveår på samme tidspunkt. Etter ti år har antall sparte leveår for begge tiltak økt vesentlig til hhv. 2500 og 2900 leveår. Dette skyldes at tiltakene har gjort det mulig å oppdage og behandle svulster som ellers ville vært dødelige på dette tidspunktet, jf. drøftingen ovenfor. Virkningen pr. år øker fram til 30 år etter tiltaksstart. Etter 30 år spares det inn 3000 leveår i tiltak A og 3500 leveår i tiltak B. Dersom vi antar at hvert unngått dødsfall i gjennomsnitt svarer til 20 leveår, gir dette hhv. 150 og 175 innsparte liv pr. år i de to tiltakene etter 30 år. 1
b) Virkninger i helsesektoren
I forhold til basisalternativet antar vi at tiltakene innebærer følgende kostnader i helsesektoren:
Engangsinvesteringer i bygninger og utstyr (tiltak A: 100 mill. kroner; tiltak B: 130 mill. kroner)
Diagnostisering (innkalling, mammografi, videreutredning, osv.) (500 kroner årlig pr. deltaker i mammografiundersøkelsen)
Reduserte behandlingskostnader (årlig) pga. reduksjon i fremskreden brystkreft (tiltak A: 10 mill. kroner, tiltak B: 15 mill. kroner)
c) Private kostnader
I forhold til tidsbruk i basisalternativet antar vi at kvinnene som deltar i mammografiundersøkelsen, bruker gjennomsnittlig to timer pr. undersøkelse. Videre går vi ut i fra at tidsbruken reduserer fritid, og benytter dermed lønn etter skatt som kalkulasjonspris. Generelt vil lønnssatsen variere mellom ulike befolkningsgrupper. Tiltakene vil berøre mange hjemmearbeidende og pensjonister. I vårt stiliserte eksempel antar vi en gjennomsnittlig timelønn på 150 kroner og en skattesats på 45 pst. Kostnadene knyttet til privat tidsbruk pr. undersøkelse blir med dette 165 kroner pr. deltaker i begge tiltakene. 2
d) Egenandel
I forhold til basisalternativet antar vi at den gjennomsnittlige økningen i egenandelen for deltakerne i mammografiundersøkelsene er 100 kroner. Denne egenandelen er en overføring som bare påvirker skattekostnadene.
e) Livskvalitet
Faktorer som bidrar til forbedret livskvalitet, omfatter bl.a. redusert bruk av belastende behandlingsmetoder som fjerning av bryst, hormonbehandling og andre former for behandling av fremskreden brystkreft. Forverrende livskvalitetsfaktorer omfatter bl.a. konsekvensen av å få vite at man har brystkreft tidligere pga. tidligere diagnostisering, ubehag knyttet til selve mammografiundersøkelsen (bl.a. brystkompresjon), ubehag for friske pasienter med positiv test og ubehag knyttet til behandlingen av brystkreft. I tillegg kan økt oppmerksomhet om brystkreft føre til redusert livskvalitet i perioden før undersøkelse pga. angst for å være syk. Dette kan imidlertid oppveies av økt livskvalitet etter at en undersøkelse har påvist at kvinnen ikke har brystkreft. Virkninger knyttet til endret livskvalitet er ikke verdsatt i dette eksemplet.
De beregnede virkningene av mammografitiltakene er oppsummert i tabell 6.2.
Tabell 6.2 Oppsummering av beregnede virkninger
| pr. person (kr) | Tiltak A (mill. kr) | Tiltak B (mill. kr) | |
| Investeringskostnader (år 0) | 100 | 130 | |
| Driftskostnader (årlig) | 500 | 75 | 125 |
| Gevinst ved enklere behandl. (årlig) | 10 | 15 | |
| Private kostnader (årlig) | 165 | 25 | 41 |
| Egenandel (årlig) | 100 | 15 | 25 |
| Antall sparte leveår hvert år (etter at tiltaket har fått full virkning) | 3000 | 3500 |
6.2.4 Risiko
Tiltakene avhenger av den demografiske utviklingen, og har derfor lav konjunkturfølsomhet. Vi plasserer tiltakene i laveste risikoklasse, dvs. 4 pst. diskonteringsrente. Alle virkninger som er verdsatt i kroner, diskonteres med denne diskonteringsrenten.
6.2.5 Beregning av samfunnsøkonomisk lønnsomhet
Vi beregner de årlige kostnadene, K, ved tiltakene. Investeringene antas som en forenkling å være evigvarende. 3
a) Tiltak A (50-69 år)
KA = 100 . 0,04 + (75 - 10) + 25 + 0,2 . (100 . 0,04 + 75 - 10 - 15) = 104,8
Første ledd er investeringskostnaden fordelt på hvert år, andre ledd er verdien av endret ressursbruk i helsesektoren, tredje ledd er verdien av privat tidsbruk, og det siste leddet er endringen i offentlige utgifter som multipliseres med skattekostnaden på 0,2. Merk at egenandelen bare inngår via skattekostnaden. Den årlige kostnaden blir dermed 104,8 mill. kroner.
Kostnaden pr. spart leveår blir om lag 35 000 kroner når tiltaket har fått full virkning. For tidligere perioder blir kostnaden pr. spart leveår noe høyere.
b) Tiltak B (40-69 år)
KB = 130 . 0,04 + (125 - 15) + 41 + 0,2 . (130 . 0,04 + 125 - 15 - 25) = 174,2
På samme måte som for tiltak A er første ledd investeringskostnaden fordelt på hvert år, andre ledd er verdien av endret ressursbruk i helsesektoren, tredje ledd er verdien av privat tidsbruk, og det siste leddet er endringen i offentlige utgifter som multipliseres med skattekostnaden på 0,2.
Kostnaden pr. spart leveår blir om lag 49 800 kroner når tiltaket har fått full virkning. For tidligere år blir kostnaden pr. spart leveår noe høyere.
6.2.6 Fordelingsvirkninger
Landsomfattende mammografitiltak vil fordele ressurser til kvinner over 40 eller 50 år. Valg av tiltak B (40-69 år) vil i større grad tilgodese kvinner med omsorgsansvar.
En del kostnader bæres av kvinnene som deltar i undersøkelsen, herunder egenandelen og verdien av ventetid i tilknytning til undersøkelsene og behandlingen.
6.3 Vernet sysselsetting
6.3.1 Innledning og problembeskrivelse
Meningsfylt arbeid blir gjerne betegnet som et selvstendig mål, både for samfunnet og for den enkelte. I dette eksemplet konsentrerer vi oss om vernet sysselsetting som sikter mot å gi funksjonshemmede passende arbeid tatt i betraktning de begrensningene ulike funksjonshemninger setter. Eksemplet er konsentrert om å få fram hva som er de relevante nytte- og kostnadskomponentene i en analyse av vernet sysselsetting.
6.3.2 Spesifisering av tiltak
Vi drøfter sysselsetting av yrkeshemmede i en vernet bedrift. Vi sammenlikner med et basisalternativ der vi ikke har noen slik sysselsetting.
6.3.3 Oversikt over virkninger 4
Vi antar at vernet sysselsetting i en egen bedrift skaper meningsfylt arbeid for personer som ellers ville vært ufrivillig arbeidsløse, og at sysselsettingen i den vernede bedriften normalt ikke kvalifiserer til en jobb i det ordinære arbeidsmarkedet. Vi velger også noen tallanslag for de enkelte inntekts- og kostnadskomponentene for å illustrere hvordan de inngår i en nytte-kostnadsanalyse. De viktigste virkningene av vernet sysselsetting kan da oppsummeres som følger for et tiltak som vi antar omfatter sju yrkeshemmede personer (alle tall er forventede verdier):
Vernet bedrift:
Investeringskostnader: 2 mill. kroner (dekkes av det offentlige)
Årlige inntekter og utgifter (antar at bedriften går i balanse hvert år):
| Salgsinntekter fra vernet produksjon: | 1,0 mill. kroner | |
| + | Tilskudd fra det offentlige | 1,0 mill. kroner |
| - | Vareinnsats | 0,2 mill. kroner |
| - | Lønn til ikke-yrkeshemmede | 1,0 mill. kroner |
| - | Lønn til yrkeshemmede | 0,8 mill. kroner |
| = | Overskudd | 0,0 mill. kroner |
Yrkeshemmede:
| Uten tiltak: | Utbetalt trygd (netto) pr. år | 0,7 mill. kroner |
| Med tiltak: | Lønn | 0,8 mill. kroner |
| Skatt | 0,1 mill. kroner | |
| Netto lønn | 0,7 mill. kroner |
De yrkeshemmede vil også ha en subjektiv verdi av å ha en arbeidsplass, jf. omtale nedenfor.
Offentlig sektor:
Offentlig sektor sparer 0,3 mill. kroner hvert år i reduserte tilsynskostnader dersom tiltaket gjennomføres. I tillegg gir offentlig sektor investerings- og driftstilskudd til den vernede bedriften, betaler trygd og mottar skatt.
I oppstillingen er det forutsatt at de yrkeshemmede ikke bidrar noe til verdiskapingen i samfunnet dersom de ikke sysselsettes i den vernede bedriften. Årlig netto verdiskaping fra prosjektet beregnes som inntekter minus kostnader og minus nettoøkningen i offentlige overføringer multiplisert med skattekostnaden. Vi antar at prosjektet har en tidshorisont på ti år. Lønn for ikke-yrkeshemmede er beregnet inklusiv skatt og arbeidsgiveravgift. Vi antar at produksjonen skjer i direkte konkurranse med privat virksomhet som er pålagt merverdiavgift. Vareinnsats og salgsinntekter er derfor regnet eksklusiv merverdiavgift.
I nytte-kostnadsanalysen kan vi gruppere tallfestede inntekter, kostnader og overføringer på følgende måte:
a) Inntekter
Salgsinntekter fra vernet produksjon
Reduserte kostnader for tilsyn av yrkeshemmede
b) Kostnader
Lønn til ikke-yrkeshemmede
Investeringskostnader
Vareinnsats
c) Økte overføringer fra det offentlige
Offentlige tilskudd til bedriften
Dekning av investeringskostnader
d) Reduserte overføringer fra det offentlige
Trygd for yrkeshemmede (netto)
Skatt av lønn til yrkeshemmede
Offentlige utgifter til tilsyn av yrkeshemmede
I listen ovenfor har vi ikke verdsatt de yrkeshemmedes verdi av å ha en arbeidsplass, men heller ikke regnet deres arbeidsinnsats som en kostnad ved prosjektet. Det kan være grunn til å drøfte dette punktet nærmere:
I en nytte-kostnadsanalyse der vi benytter ordinær arbeidskraft, antar vi at økt offentlig bruk av arbeidskraft fortrenger privat bruk av arbeidskraft, jf. omtale i kapittel 3. Arbeidskraften verdsettes derfor til ordinær markedslønn inklusiv skatt og arbeidsgiveravgift. Verdsetting av fritid inngår ikke i analysen.
I en analyse av yrkeshemmede arbeidstakere kan vi ikke benytte en slik fremgangsmåte. Vi har antatt at de yrkeshemmede ikke har noen alternativ verdi i arbeidsmarkedet. Alternativkostnaden ved å benytte yrkeshemmede i arbeid er dermed verdien av den fritiden de går glipp av, eller mer presist differansen mellom de yrkeshemmedes verdsetting av fritid og deres verdsetting av arbeidstid. Nå kan vi ikke se bort fra at de yrkeshemmede knytter en positiv verdi til det å ha en jobb, og derfor foretrekker arbeid fremfor fritid selv om de ikke mottar økte kontantytelser. Det er trolig vanskelig å tallfeste den subjektive verdien av å ha en jobb på en fornuftig måte, og vi trekker dermed ikke inn denne komponenten i nytte-kostnadsanalysen.
6.3.4 Risiko
Prosjektet er lite konjunkturfølsomt, og vi benytter en diskonteringsrente på 4 pst.
6.3.5 Beregning av samfunnsøkonomisk lønnsomhet
Den samfunnsøkonomiske lønnsomheten blir som følger (A(4,10) = 8,11 betegner annuitetsfaktoren med 4 pst. rente over 10 år):
NV = - 2 + (1 + 0,3 - 1 - 0,2) .A (4,10) + 0,2 . [- 2 + (0,7 + 0,1 + 0,3 - 1) .A (4,10)] = - 1,43
Det første leddet i nåverdiuttrykket er investeringsutgiften, andre ledd er samfunnsøkonomisk overskudd hvert år (salgsinntekter, reduserte tilsynskostnader, lønn til ikke-yrkeshemmede og vareinnsats) og tredje ledd er endringen i offentlige inntekter som multipliseres med skattekostnaden på 0,2 (trygd, skatt, reduserte tilsynskostnader og tilskudd til bedriften). Prosjektet har en negativ nåverdi på 1,43 mill. kroner.
6.3.6 Fordelingsvirkninger
Med tallene i eksemplet er netto kostnad pr. yrkeshemmet ved å gjennomføre tiltaket noe over 200 000 kroner. Beslutningstakerne må derfor vurdere om denne kostnaden er tilstrekkelig lav til at tiltaket bør gjennomføres. For å kunne foreta en slik vurdering er det viktig å beskrive velferdsvirkningene for yrkeshemmede av å arbeide i en vernet bedrift fremfor kun å ha fritid.
6.4 Miljøtiltak i nordsjøen
6.4.1 Innledning og problembeskrivelse
Kystområdene i Nordsjøen er utsatt for overgjødsling som bl.a. fører til algeoppblomstring og påfølgende oksygensvinn i dypvannet. Vi antar at vi har et godt mål for vannkvalitet, og at det er politisk bestemt at vannkvaliteten skal forbedres med 5 pst. i område 1, 10 pst. i område 2 og 15 pst. i område 3.
6.4.2 Spesifisering av tiltak
Vi antar at vi har fire mulige tiltak, A, B, C og D, som er rettet mot hhv. kommunal sektor, landbruk, industritype I og industritype II. Vi kan velge ett eller flere tiltak, og tiltakene virker uavhengig av hverandre. Hovedmålet er å nå den bestemte vannkvaliteten, men myndighetene har også uttrykt interesse for ytterligere forbedringer i vannkvalitet dersom ikke kostnadene er for store. Tiltakene skal imidlertid ikke koste mer enn 200 mill. kroner til sammen.
6.4.3 Oversikt over virkninger
Tiltakene har følgende kostnader (mill. kroner) og virkninger (prosentpoeng forbedret vannkvalitet) i de ulike områdene:
Tabell 6.3 Virkninger og kostnader ved tiltak. Kroner og prosentpoeng forbedret vannkvalitet
| Virkninger på vannkvalitet (pst.poeng) | |||
| Kostnader (kroner) | Område 1 | Område 2 | Område 3 |
| Tiltak A: 50 | 4 | 6 | 3 |
| Tiltak B: 100 | 2 | 8 | 9 |
| Tiltak C: 75 | 5 | 6 | 3 |
| Tiltak D: 125 | 3 | 6 | 15 |
I en virkelig analyse kan det være problematisk å finne sammenhengen mellom ulike tiltak og forbedringer av vannkvalitet. Det vil også ofte foreligge langt flere mulige tiltak. Et stort antall mulige tiltak krever bruk av mer avanserte metoder enn i punkt 6.4.4 for å finne optimale tiltakskombinasjoner. 5
6.4.4 Beregning av samfunnsøkonomisk lønnsomhet
Ikke noe enkelttiltak oppfyller kravene til forbedring i vannkvalitet. Pga. budsjettrestriksjonen på 200 mill. kroner, er det heller ikke aktuelt med kombinasjoner av tre eller fire tiltak. Vi prøver de ulike kombinasjonene av to tiltak, og oppgir kostnader og virkninger på samme måte som i tabell 6.1:
Tabell 6.4 Virkninger og kostnader ved kombinasjoner av tiltak. Kroner og prosentpoeng forbedret vannkvalitet
| Virkninger på vannkvalitet (pst.poeng) | |||
| Kostnader (kroner) | Område 1 | Område 2 | Område 3 |
| A og B: 150 | 6 | 14 | 12 |
| A og C: 125 | 9 | 12 | 6 |
| A og D: 175 | 7 | 12 | 18 |
| B og C: 175 | 7 | 14 | 12 |
| B og D: 225 | 5 | 14 | 24 |
| C og D: 200 | 8 | 12 | 18 |
Vi ser av tabellen at tiltakskombinasjonene AB, AC og BC ikke er aktuelle fordi de ikke oppfyller målet i område 3. Videre er ikke kombinasjonen BD aktuell fordi samlede kostnader (225 mill. kroner) er høyere enn budsjettrammen. Vi står dermed igjen med kombinasjonene AD og CD.
CD gir 1 prosentpoeng bedre vannkvalitet i område 1 enn AD, men er 25 mill. kroner dyrere. Vi kan dermed ikke rangere disse to prosjektkombinasjonene i en kostnadseffektivitetsanalyse, og beslutningen må overlates til de politiske myndighetene som har satt målene. (Analysen er dermed en kostnads-virkningsanalyse og ikke en ren kostnadseffektivitetsanalyse). Det kan imidlertid være aktuelt å gjøre undersøkelser av betalingsvillighet i område 1 for å finne ut om den er større enn kostnadsforskjellen på 25 mill. kroner.
I analysen har vi antatt at vi har et godt samlemål på forbedringer i vannkvalitet. Dersom ulike tiltak i stedet gir ulike miljøvirkninger som ikke uten videre er sammenliknbare, får analysen enda mer karakter av å være en kostnads-virkningsanalyse. Vi må i så fall beregne kostnadene for hvert tiltak, og samtidig presentere miljøkonsekvensene på en systematisk måte slik at beslutningstakerne har et best mulig grunnlag for å treffe et valg. På samme måte er det viktig å få fram eventuell usikkerhet i virkningen av de ulike tiltakene.
6.4.5 Fordelingsvirkninger
Fordelingsvirkninger kan tenkes å ha betydning i denne typen analyser. Anta f.eks. at betalingsvilligheten for CD relativt til AD er vesentlig lavere enn 25 mill. kroner. Dersom område 1 f.eks. er et område der inntekten gjennomgående er lav, kan det være at myndighetene ønsker å legge større vekt på hensynet til beboerne i dette området enn betalingsvilligheten skulle tilsi. Det er imidlertid også grunn til å vurdere om slike hensyn kan ivaretas ved andre fordelingstiltak.
6.5 Behandling av papiravfall
6.5.1 Innledning og problembeskrivelse
I 1995 ble 68 prosent av alt kommunalt avfall lagt direkte på avfallsfyllinger, mens 18 prosent ble brent, 12 prosent ble sortert og gjenvunnet og 2 prosent ble biologisk behandlet (St meld nr 58 (1996-97)). Mengden av kommunalt avfall forventes å øke i tiden fremover. Denne utviklingen skyldes i stor grad vekst i vareinnsats som følge av økt produksjon. I de kommunene som ikke har tatt hensyn til økningen av avfallsmengdene i sin planlegging, vil det være behov for å iverksette nye tiltak for behandling av avfall.
Avfall har en ombruksverdi ved at det f.eks. kan gjenvinnes eller benyttes som brensel i forbrenningsanlegg. Gjenvinning kan spare ressurser som er ikke-fornybare eller kostbare å fornye, mens nye forbrenningsanlegg kan produsere varme eller elektrisitet. Disse tiltakene for avfallsbehandling medfører imidlertid også kostnader i tilknytning til innsamling, sortering, resirkulering, forbrenning og arealbruk. Ny teknologi for å samle opp klimagasser og for å hindre lekkasjer fra deponianlegg gjør at deponering framstår som en mindre miljøskadelig behandlingsmåte enn tidligere.
6.5.2 Spesifisering av tiltak
Vi begrenser analysen til papiravfall og benytter deponering som basisalternativ. Vi analyserer forbrenning og gjenvinning som alternative tiltak.
Deponering
Tiltaket som vi i denne sammenheng kaller deponering, innebærer at papir samles opp på lik linje med annet husholdningsavfall og deponeres på søppelfyllinger. Vi antar at det er nødvendig å investere i et nytt deponianlegg.
Gjenvinning
Gjenvinning innebærer kildesortering av papir, samt papirinnsamling og produksjon av resirkulert papir. Gjenvinning medfører at naturressurser benyttes flere ganger. Samtidig innebærer tiltaket tidskostnader knyttet til sortering og innsamling. Det er nødvendig å investere i et gjenvinningsanlegg.
Forbrenning
Vi antar at innsamlingen foregår på samme måte som for deponering, dvs. at papir samles opp sammen med annet husholdningsavfall. Avfallet bringes til forbrenningsanlegg. Forbrenningsprosessen forårsaker luftforurensing og produserer energi. Restavfallet behandles som spesialavfall. Vi antar at det er nødvendig å investere i et forbrenningsanlegg.
Tiltakene omfatter en rekke virkninger som kan være vanskelige å verdsette, f.eks. utslipp av miljøgifter og tidsbruk i husholdningene. Samtidig er virkningene så mange og uoversiktlige at det kan være behov for å oppsummere dem, selv om en slik oppsummering nødvendigvis må bli ufullstendig. Det siste momentet taler for å forsøke å gjennomføre en fullstendig nytte-kostnadsanalyse. I tillegg til lønnsomhetsmålet bør en også rapportere en oversikt over de viktigste virkningene for ikke-markedsomsatte goder målt i fysiske enheter.
6.5.3 Oversikt over virkninger
I det følgende beskriver vi virkningene av ulike behandlingsformer. Vi har begrenset oss til relativt få virkninger for å få fram hovedpoenger i den stiliserte analysen.
Virkninger ved deponering
a) Kostnader:
Bedriftsøkonomiske drifts- og transportkostnader
Miljøkostnader
Investering i deponianlegg
b) Inntekter:
Salg av deponigass
Virkninger ved gjenvinning
a) Kostnader:
Tidsbruk ifm. sortering og annen håndtering av papiravfall i husholdninger
Bedriftsøkonomiske drifts- og transportkostnader
Investering i gjenvinningsanlegg
Miljøkostnader
b) Inntekter:
Salg av gjenvunnet papir
Virkninger ved forbrenning
a) Kostnader:
Bedriftsøkonomiske drifts- og transportkostnader
Miljøkostnader
Investering i forbrenningsanlegg
b) Inntekter:
Salg av produsert energi
I dette forenklede oppsettet antar vi at gjenvinning fører til økt tidsbruk i husholdninger relativt til forbrenning og deponering. De bedriftsøkonomiske drifts- og transportkostnadene er ulike for de tre tiltakene. Videre antar vi at forbrenning og deponering fører til miljøkostnader, mens vi for gjenvinning som en forenkling antar at miljøkostnadene kan settes lik null. 6 Verken miljøkostnader eller tidskostnader belaster offentlige budsjetter. De tre tiltakene gir også ulike inntekter. Investeringer i anlegg inkluderer alternativverdien av tomt, og vi antar som en forenkling at investeringene er evigvarende.
De største verdsettingsproblemene i en nytte-kostnadsanalyse av behandling av papiravfall, er trolig knyttet til miljøvirkninger og tidsbruk. Vi behandler de to virkningene etter tur:
For miljøvirkninger må vi ta stilling til hvilke kostnader som må verdsettes særskilt i analysen, og hvilke som allerede er internalisert gjennom avgiftssystemet, jf. drøftingen i punkt 3.3.3. Dette kan illustreres ved å se på miljøkostnader ved deponering. Nedbryting av organisk materiale medfører gassproduksjon, og siden denne prosessen i stor grad foregår uten tilførsel av oksygen i deponianlegget, dannes klimagassen metan. I et moderne deponianlegg er det mulig å samle opp og selge deler av denne gassen, mens resten vil forsvinne ut i atmosfæren. Dersom metanutslippene fra deponiet er avgiftsbelagt, vil de inngå i de bedriftsøkonomiske driftskostnadene. I motsatt fall må vi gjøre et anslag for kostnaden ved metanutslippet, og benytte denne kostnaden i analysen. 7
Det kan være store problemer knyttet til å verdsette ulike miljøvirkninger, jf. drøftingen i kapittel 5. Spesielt kan dette være tilfelle i forbindelse med langsiktige miljøvirkninger, jf. punkt 3.5.2 Virkninger som det ikke er mulig eller ønskelig å verdsette, må håndteres som et tillegg til den kvantitative nytte-kostnadsanalysen. Vi går ikke videre med denne problemstillingen i dette eksemplet.
Tidskostnadene ved de ulike tiltakene er lik verdien av tidsbruken i forbindelse med tiltaket minus verdien av tidsbruken i tidligere anvendelse, jf. omtale i punkt 5.3.1. Dette kan illustreres ved å se på den tiden husholdningene bruker til å sortere papiravfall for gjenvinning. Et rimelig utgangspunkt kan være å anta at tidsbruken til sortering går på bekostning av fritid, og vi tar dermed utgangspunkt i lønn etter skatt dersom vi ikke har egne verdsettingsundersøkelser, jf. omtale i avsnitt 5.3. 8
Det er mulig å argumentere for at husholdninger og bedrifter ønsker å ha et best mulig miljø, og at tidskostnadene ved papirsortering derfor bør settes lik null. Dette innebærer imidlertid en form for dobbeltelling. Vi har allerede tatt med miljøvirkningene i kalkylen, og kan ikke ta dem med en gang til når vi vurderer tidskostnader. Tidskostnadene skal derfor måle den isolerte kostnaden av å bruke tid til papirsortering, uavhengig av hvilke virkninger denne sorteringen har.
Vi antar følgende anslag for forventede kostnader og inntekter (kroner pr. vektenhet papiravfall). På samme måte som i tidligere eksempler er tallene tilfeldig valgt. Alle tall utenom investeringene er årlige kostnader og inntekter.
Tabell 6.5 Kostnader ved ulike tiltak for gjenvinning av papir. Kroner pr. vektenhet papiravfall
| Deponering | Forbrenning | Gjenvinning | |
| Investeringskostnader (engangskostnader) | 200 | 100 | 210 |
| Bedriftsøkonomiske drifts- og transportkostnader | 50 | 50 | 60 |
| Miljøkostnader | 40 | 50 | - |
| Tidskostnader | - | - | 40 |
| Salgsinntekter | 20 | 10 | 30 |
6.5.4 Risiko
Det er ikke umiddelbart enkelt å vurdere hvilken risikoklasse disse tiltakene skal inngå i. Hovedpoenget ved gjenvinning er å redusere miljøkostnadene relativt til deponering. Risikojusteringen er dermed avhengig av hvor konjunkturfølsom betalingsvilligheten for miljøforbedringer er. Vi velger å plassere prosjektene i laveste risikoklasse (4 pst. diskonteringsrente), men det kan også argumenteres for å benytte en diskonteringsrente på 6 pst. for gjenvinningsprosjektet.
Ovenfor har vi antatt at vi har gode punktanslag for de enkelte inntekts- og kostnadskomponentene. I virkeligheten vil det trolig være store problemer knyttet til å fastsette forventede verdier. For særlig usikre anslag kan det være ønskelig å benytte sensitivitetsanalyser for å illustrere hvor mye anslagene betyr for den beregnede lønnsomheten av tiltaket, jf. omtale i boks 4.1.
6.5.5 Beregning av samfunnsøkonomisk lønnsomhet
Vi beregner den samfunnsøkonomiske lønnsomheten relativt til basisalternativet (deponering).
Forbrenning vs. deponering:

Første ledd i nåverdiuttrykket er differansen i investeringskostnader i forhold til deponianlegget, andre ledd er endringen i kostnader og inntekter for forbrenningsanlegg relativt til deponianlegg (bedriftsøkonomiske drifts- og transportkostnader, miljøkostnader og salgsinntekter) og tredje ledd er skattekostnaden (der bare de bedriftsøkonomiske kostnadene og salgsinntektene inngår). Forbrenning gir dermed et nåverditap på 430 kroner pr. vektenhet papir i forhold til deponering.
Gjenvinning vs. deponering

Første ledd i nåverdiuttrykket er differansen i investeringskostnader i forhold til deponianlegget, andre ledd er endringen i kostnader og inntekter relativt til deponering (bedriftsøkonomiske drifts- og transportkostnader, tidskostnader, miljøkostnader og prosjektinntekter), og tredje ledd er skattekostnaden (der bare bedriftsøkonomiske kostnader og salgsinntekter inngår). Gjenvinning gir et nåverditap på 12 kroner pr. enhet papir i forhold til deponering.
Ut fra den samlede nytte-kostnadsanalysen kan vi dermed rangere tiltakene på følgende måte:
Deponering
Gjenvinning
Forbrenning
Valg av tiltak avhenger bl.a. av hvilke virkninger som er tatt med i nytte-kostnadsanalysen. Nåverdidifferansen mellom deponering og gjenvinning er liten, og det kan være ønskelig å velge gjenvinning dersom det er viktige miljøforhold som ikke er håndtert i nytte-kostnadsanalysen. 9
6.5.6 Fordelingsvirkninger
Tiltakene har ulike fordelingsvirkninger. Det kan f.eks. være knyttet store kontroverser til plassering av deponi og forbrenningsanlegg. Omfanget av miljøkostnader kan gjøre at det oppstår fordelingsvirkninger mellom generasjoner. En ikke-stilisert analyse av slike tiltak bør derfor inneholde en omfattende drøfting av fordelingsvirkninger.
6.5.7 Kort om avgifter på bruk av papir
I drøftingen ovenfor har vi tatt mengden av papiravfall som gitt. Det tiltaket som gir lavest samfunnsøkonomiske kostnader av forbrenning, gjenvinning og deponering, bestemmer imidlertid kostnaden ved økt papiravfall, og gir dermed grunnlag for å fastsette en avgift på bruk av papir til emballasje e.l. En slik avgift vil redusere bruken av papir, og dermed gi en løsning som i prinsippet er samfunnsøkonomisk effektiv både når det gjelder mengden av papiravfall og håndteringen av en gitt avfallsmengde. 10
6.6 Veginvesteringer og valg av investeringstidspunkt
6.6.1 Innledning og problembeskrivelse
Vegdirektoratet utfører i dag grundige og systematiske analyser av statlige vegprosjekter, jf. Vegdirektoratet (1995). I dette stiliserte eksemplet skal vi ikke gå grundig inn på verdsetting av enkeltkomponenter i analysen, men i stedet legge vekt på å belyse enkelte spørsmål vedrørende valg av tidspunkt for å sette i gang et prosjekt.
Vi antar at vegen fra A-by til B-by er sterkt købelastet, spesielt i helgene. Ulykkestallene på strekningen er også høyere enn det som er vanlig på veger med tilsvarende trafikk. Vegmyndighetene vurderer tiltak for å bedre fremkommeligheten og redusere antall ulykker i forhold til basisalternativet.
6.6.2 Spesifisering av tiltak.
Vegen mellom A-by og B-by har i dag to felt. Myndighetene vurderer to tiltak:
Vegprising
Utbygging til fire felt
Utbygging til fire felt vil gi så høy kapasitet at det ikke er nødvendig med vegprising for å begrense trafikken. Pga. administrative kostnader vurderes ikke vegprising som aktuelt dersom det ikke er ønskelig å begrense trafikken. Tiltakene er derfor gjensidig utelukkende i den forstand at ikke begge tiltakene gjennomføres på samme tidspunkt.
Myndighetene forventer stor trafikkvekst. Det er derfor mulig at myndighetene først bør benytte vegprising og deretter bygge ut en firefelts veg når etterspørselen er blitt tilstrekkelig høy.
Et annet mulig tiltak er økt satsing på kollektivtrafikk. Dette tiltaket kan også benyttes i kombinasjon med vegprising eller utbygging til firefelts veg. For å konsentrere fremstillingen om valg av investeringstidspunkt, går vi ikke videre med å drøfte økt kollektivtrafikksatsing.
6.6.3 Oversikt over virkninger
a) Innføring av vegprising
Innføring av vegprising medfører en investeringsutgift på 2 mill. kroner i bompengestasjoner. Ulykkeskostnader, vedlikeholdskostnader og generaliserte kjørekostnader reduseres med 20 mill. kroner hvert år i forhold til i basisalternativet (inkludert administrasjonskostnader til vegprisingen), hvorav 2 mill. kroner tilfaller staten. Vi forutsetter for enkelhets skyld en uendelig tidshorisont, og antar at kostnadsreduksjonen i forhold til basisalternativet øker med 2 pst. hvert år. 11 Vi antar en bompengeinntekt på 30 mill. kroner som stiger med 3 pst. hvert år. 12
b) Utbygging til fire felt
Utbygging til fire felt innebærer en investeringsutgift på 425 mill. kroner. Utbyggingen gir imidlertid et større konsumentoverskudd enn innføring av vegprising. Ulykkeskostnader, vedlikeholdskostnader og generaliserte kjørekostnader reduseres med 60 mill. kroner i forhold til basisalternativet (hvorav 6 mill. kroner tilfaller staten), og gevinsten i forhold til basisalternativet øker med 5 pst. hvert år.
6.6.4 Risiko
a) Vegprising
Vegprising innebærer en meget liten investering, og nivået på vegprisingen kan tilpasses til endringer i trafikkveksten. Det kan likevel ta noe tid å endre vegprisingen dersom trafikken utvikler seg annerledes enn forventet. Vi antar at vegmyndighetene etter en særskilt analyse har fastsatt en diskonteringsrente på 4,5 pst. i alle perioder.
b) Utbygging til fire felt
Utbygging til fire felt innebærer høye faste kostnader (investeringskostnader). I tillegg antar vi at trafikkveksten samvarierer med den generelle økonomiske veksten. Vi benytter derfor en diskonteringsrente på 8 pst. i alle perioder.
6.6.5 Beregning av samfunnsøkonomisk lønnsomhet
a) Vegprising
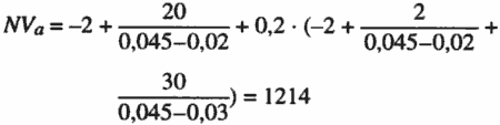
Innføring av vegprising i år 0 gir følgende nåverdikalkyle (mill. kroner):

Første ledd i nåverdiuttrykket er investeringsutgiften, andre ledd er reduserte kjørekostnader mv. i forhold til basisalternativet, og det siste parentesleddet er endringen i offentlige inntekter som multipliseres med skattekostnaden på 0,2. Den samlede nåverdien blir 1214 mill. kroner, og vegprising er dermed lønnsomt i forhold til basisalternativet.
b) Utbygging til fire felt
Vi beregner på samme måte nåverdien av å bygge ut til fire felt i år 0.

Første ledd i nåverdiuttrykket er investeringsutgiften, andre ledd er reduserte kjørekostnader mv. i forhold til basisalternativet, og det siste leddet er endringen i offentlige inntekter som multipliseres med skattekostnaden på 0,2. Den samlede nåverdien blir 1530 mill. kroner.
Dersom utbyggingen må skje med en gang, er utbygging til firefelts veg mer lønnsomt enn vegprising. Dette tar imidlertid ikke hensyn til at vi kan endre investeringstidspunktet. En utsettelse av investeringen med ett år gir en rentegevinst på 40,8 mill. kroner (425 . 1,2 . 0,08 = 40,8). Dette er mer enn differansen mellom nytten av investeringstiltaket på 64,3 mill. kroner (60 . 1,05 + 6 . 0,2 . 1,05 = 64,3) og nytten av vegprising det første året på 27,0 mill. kroner (20 . 1,02 + 2 . 0,2 . 1,02 + 30 . 0,2 . 1,03 = 27,0), selv om vi også tar hensyn til investeringskostnaden for vegprisingstiltaket. Ved å sammenlikne rentegevinster med nyttedifferanser ser vi at det først er lønnsomt å investere i firefelts veg etter tre år. Den optimale politikken blir dermed: Benytt vegprising på eksisterende veg i tre år, og bygg deretter en firefelts veg.
6.6.6 Fordelingsvirkninger
Innføring av vegprising innebærer at brukerne av vegen betaler mer enn tidligere. Enkelte brukere med lave tidsverdier kan komme dårligere ut av det enn ved en videreføring av basisalternativet. På den annen side innebærer vegprising mindre finansiering over offentlige budsjetter, og dermed lavere kostnader for skattebetalere som ikke bruker vegen.
Fotnoter
Antall sparte leveår pr. unngått dødsfall vil være noe høyere i tiltak B fordi dette tiltaket omfatter yngre kvinner.
2 . 150 . (1 - 0,45) = 165
Investeringskostnaden fordelt over alle år er dermed gitt ved I . k, der I er investeringsbeløpet og k er diskonteringsrenten.
Mye av materialet i dette avsnittet er bygd på Dahl m.fl. (1991).
I praksis kreves bruk av lineær programmering.
I en mer realistisk analyse måtte vi inkludert miljøkostnaden også for gjenvinning.
Denne kostnaden kan i prinsippet avledes fra internasjonale kvotepriser på CO2, jf. omtale i punkt 3.3.3.
Dersom vi antar at papiravfall også sorteres i bedriftene, må denne tidsbruken verdsettes med utgangspunkt i lønn før skatt.
Siden målet om å bli kvitt avfallet til lavest mulig kostnad er gitt, kan vi alternativt betrakte dette som en kostnadseffektivitetsanalyse (eller en kostnads-virkningsanalyse dersom en stor andel av miljøkostnadene ikke verdsettes i analysen).
Det kan imidlertid være en rekke praktiske problemer knyttet til å fastsette en slik avgift.
Alle vekstrater er regnet ved investeringstidspunktet, slik at veksten er begynt allerede i det første året tiltakene er i gang. Forutsetningen om uendelig tidshorisont gjør at resultatene blir følsomme for valg av diskonteringsrente og vekstrater.
Vi går ikke inn på hvordan bompengesatsen er fastsatt. I utgangspunktet bør bompengesatsen være slik at tidsinnsparingen for den marginale bilisten som benytter vegen, er lik den økningen i køkostnader han påfører andre bilister. Med trafikk som varierer over døgnet, kan det i praksis være krevende å fastsette riktige bompengesatser.