3 Evaluering av prøveordningen med rettsmekling
Forord
Rettsmeklingble innført som en prøveordning ved seks domstoler pr 01.01.97, etter tilråding gjennom Ot prp nr 41 (1995–96). Prøveordningen skal vare ut 2002.
Forskriften om forsøksordningen er fastsatt ved kongelig resolusjon av 13.12.96 og bekjentgjort gjennom Justisdepartementets rundskriv G-85/96 av 16.12.96.
Fra starten av deltok seks domstoler i forsøket:
Agder lagmannsrett
Asker og Bærum herredsrett
Nordmøre herredsrett
Oslo skifterett
Salten sorenskriverembete
Tønsberg byrett
Senere kom ytterligere fire domstoler med:
Fra 01.01.99:
Oslo byrett
Trondenes sorenskriverembete
Fra 01.01.00:
Indre Follo herredsrett
Trondheim byrett
Formålet med evalueringener å gi Tvistemålsutvalget et bedre grunnlag for å vurdere om ordningen skal bli et ordinært innslag i norsk sivilprosess. Det er samlet inn et meget omfattende materiale som er gitt en bred fremstilling i rapporten, med tanke på dommere, advokater og andre med spesiell interesse for rettsmekling. Travle lesere kan nøye seg med sammendraget (kapittel 0) og/eller oppsummeringskapitlet (kapittel 9).
Oppslutningen om undersøkelsen viser at rettsmekling er en ordning som engasjerer mange meget. Evaluator vil takke det store antall parter, prosessfullmektiger og meklere som har bidratt med sine erfaringer.
Oslo,15 mars 2001
Richard H Knoff
3.0 Sammendrag
Formålet med rettsmekling er å tilrettelegge for at partene i en rettslig tvist kan enes om en løsning før saken går til hovedforhandling og dom. Mekleren må søke å få innblikk i hva slags interesser og egentlige behov partene har, og stimulere en dialog som fremmer forståelse og enighet.
Rettsmekling har vært forsøkt ved ti domstoler i løpet av en fireårsperiode. Ved evalueringen av forsøksordningen er det innhentet erfaringer og synspunkter fra både parter, prosessfullmektiger og meklere. Materialet består av data fra 1440 spørreskjemaer, 58 intervjuer og statistikk fra samtlige prøveembeter.
Saker uten meklingsresultat er noe overrepresentert i spørreskjemamaterialet. Det er derfor ingen grunn til å tro at funnene gir et overdrevent positivt bilde av deltagernes synspunkter.
Meklingsprosessen
Motivasjon
Både parter og prosessfullmektiger er svært godt fornøyd med den informasjon mekleren gir dem om hva rettsmekling innebærer og hva som vil skje dersom forlik ikke oppnås. Noen få parter eller prosessfullmektiger ser ikke ut til å ha forstått formålet med rettsmekling, og forholder seg til meklingsmøtet som et rettsmøte med prosedyre og dom.
De viktigste motivene for å samtykke til rettsmekling, er at saken kan bli avklart fortere, og med lavere kostnader. Partene frykter sjelden at de skal tape saken. Prosessfullmektigene er oftere på det rene med prosessrisikoen.
For ganske mange av partene er det et medvirkende motiv for å samtykke til rettsmekling at man ikke vil virke steil og urimelig. Prosessfullmektigene ser ikke ut til å være tilstrekkelig oppmerksomme på dette.
Hvem «eier» meklingen?
Meklerne mener oftest at aktivitetsnivå og bidrag var ganske likt fordelt mellom deltagerne. Parter og prosessfullmektiger mener at advokatene bidro mer enn partene, men at mekleren bidro aller mest.
Bedre kommunikasjon?
Det er bred enighet om at deltagerne fikk den tid de trengte til å redegjøre, diskutere og vurdere forliksalternativer og -tilbud. De aller fleste angir også at tonen under meklingsmøtene var god, noe mekleren ofte får mye av æren for. Mekleren roses gjerne for å sette en god tone, og gis sjelden skylden for et dårlig forhandlingsklima.
Partene får som oftest uttrykt sine synspunkter og interesser. De fleste parter setter pris på særmøter med mekleren der de kan legge frem sine synspunkter uten at motparten er til stede. Mekleres og prosessfullmektigers sans for særmøter øker med økende erfaring.
Meklers prosessledelse
Meklerne har i de aller fleste saker oppnådd en høy grad av tillit hos både parter og prosessfullmektiger. Mekleren betegnes gjennomgående som dyktig, tillitvekkende og upartisk Mekleren makter oftest å vise forståelse for begge parter og tilrettelegge for dialog, støtte opp om konstruktive idéer, og få frem hva begge parter først og fremst er opptatt av. Godt forarbeid fra meklers side er tydeligvis en viktig suksessfaktor.
Meklers tydelighet
Hvor tydelig mekleren skal gi uttrykk for egne oppfatninger, er omdiskutert, bl a ut fra habilitetsbetraktninger.
Én form for tydelighet består i at mekleren presenterer egne løsningsforslag. Dette forekommer i en del tilfelle, men langt fra alle. Partene betrakter løsningsforslag som et positivt bidrag. En noe kraftigere inngripen består i at mekleren klargjør hva hun eller han betrakter som en rimelig løsning. Partene tolker mekleren dithen oftere enn hva meklerne tror.
Mekleren blir enda mer av en dommer dersom hun eller han påpeker svakheter i partenes påstander og argumentasjon, eller klargjør hva som er et sannsynlig utfall ved hovedforhandling. Meklerne mener at det siste skjer sjelden; det første noe oftere. Partene ser imidlertid ikke ut til å skille mellom påpekninger av svakheter og en domsprognose. Meklere bør nok vurdere nøye hvordan deres veiledning blir fortolket av partene.
Mange meklerne gir uttrykk for tvil om domsprognoser virker positivt eller negativt. Prosessfullmektigene og særlig partene ser oftere positivt på dette. Det ligger nær å anta at parter er på utkikk etter «dommerens vurdering», og er parat til å inngå et forlik langs disse linjer.
Meklere kan ty til flere virkemidler for å legge press på partene. Det som benyttes oftest, er å poengtere at det blir kostbart å forfølge saken gjennom hovedforhandling. Partene ser ikke ut til å oppfatte press som noe dominerende innslag ved rettsmekling. Et flertall ser det som positivt at mekleren øver et visst press, men ganske mange er av en annen oppfatning.
Konfidensialitet og taushetsplikt
Det har vært reist spørsmål ved tilrådeligheten i å pålegge partene en ubegrenset taushetsplikt for alt som er skjedd under rettsmeklingen. En kan neppe regne med at parter vil forstå behovet for å bevare slik taushet når en rettskraftig avgjørelse foreligger. Det kan være betenkelig å ha en bestemmelse som neppe etterleves.
Utfallet
Flere forlik?
I de seks domstolene som kom med i forsøket i 1997, har antall saker til rettsmekling økt jevnt i forsøksperioden. Forliksprosenten har ligget stabilt på drøyt 80 %. Den årlige forliksprosent for sivile saker har økt med omlag 5 prosentenheter (fra ca 37 til ca 42 %) etter at rettsmeklingsforsøket begynte.
Det er umulig å gi noe sikkert svar på om rettsmeklingsforsøket har forårsaket denne økningen. Det er uansett ikke tale om noen ren nettogevinst. Mange saker som ligger godt til rette for forlik og som tidligere ble forlikt gjennom tradisjonelle forhandlinger, overføres nå til rettsmekling. Statistiske tester tyder imidlertid på at rettsmekling har bidratt til en økning i samlet forliksprosent, uten negativ innvirkning på forliksprosenten i familiesaker.
En mindre påkjenning enn en rettssak?
Et stort flertall mener at meklingen var en mindre stressende situasjon enn en rettssak. Redusert publisitet er av underordnet betydning for de fleste.
Mer kreativ konfliktløsning?
Kreative løsninger der en forener partenes interesser, f eks gjennom å bringe inn forhold som ligger utenfor partenes påstander, forekommer sjelden.
Rimelig utfall?
Når meklere fremsetter egne løsningsforslag, legger de mest vekt på å finne «en rimelig løsning». Det er ikke mulig å finne noe objektivt mål på rimeligheten i forlikene, men samlet tyder resultatene på at rettsmekling som oftest resulterer i ganske rimelige forlik. Partene er noe mindre tilfreds med dem enn det prosessfullmektigene er. Meklerne mener gjerne forliket er balansert. Prosessfullmektigene mener oftere at én part strakk seg, og har en tendens til å se forliket som en seier for sin side.
Bedre forhold mellom partene?
Partene opplyser som oftest at rettsmeklingen ikke bidro til at de selv fikk større forståelse for motparten. De er noe mer tilbøyelige til å mene at den annen part har fått større forståelse for deressituasjon Rettsmeklingen lykkes sjelden med å bedre relasjonen mellom partene, men forholdet er i det minste sjelden blitt forverret. Det er trolig et bedre utfall enn hva en vil finne etter hovedforhandling.
Produktiviteten
Tidligere avslutning
Langt de fleste meklere mener rettsmeklingen inntraff på et passe tidspunkt. Blant både meklere og prosessfullmektiger mener et svært flertall at rettsmeklingen bidro til kortere saksbehandlingstid så sant utfallet var forlik på alle eller noen punkter. Dersom rettsmeklingen endte uten noe forlik, mener rundt 40 % av både meklere og prosessfullmektiger at dette likevel ikke påvirket saksbehandlingstiden.
Statistikken bekrefter at rettsmekling fører til raskere avvikling av sakene. I gjennomsnitt ligger saksbehandlingstiden for de rettsmeklede sakene rundt 60–65 % av saksbehandlingstiden for alle sivile saker.
Reduserte kostnader
Rettsmeklingen fullføres nesten bestandig i løpet av ett meklingsmøte. Gjennomsnittsvarigheten er 3,2 timer. Mekleres og prosessfullmektigers anslag for hvor lang tid saken ville tatt i hovedforhandling, er i gjennomsnitt 15,2 timer.
Mekleren bruker oftest under 3 timer til forarbeid til rettsmeklingen og under 2 timer til annen kontakt med parter eller prosessfullmektiger. En rettsmekling som avsluttes med forlik på alle punkter, fritar også dommeren for å skrive dom.
Meklerne mener at rettsmekling virker tidsbesparende også dersom saken bare forlikes på noen punkter. I slike tilfelle mener imidlertid mange prosessfullmektiger at rettsmeklingen økte den totale tidsbruken.
Effektivisering av saksforberedelsen uansett?
I saker uten forlik på noen punkter, er meklerne og prosessfullmektigene enige om at rettsmeklingen oftest økteden totale tidsbruken. I ganske mange tilfelle mener imidlertid meklere og prosessfullmektiger at en «mislykket» rettsmekling enten ikke hadde noen innvirkning på total tidsbruk, eller hadde en gunstig virkning.
«Fjernmekling»?
Det er stor skepsis til mekling gjennom video- og (særlig) telefonkonferanser. Meklere og prosessfullmektiger som har forsøkt slik mekling, er imidlertid mer positive.
Når meklingen slår feil
Hva kjennetegner mekling uten forlik?
Saker som ikke forlikes, skiller seg i mange tilfelle noe, men ikke svært meget, fra forlikte saker når det gjelder motivasjon, aktivitetsnivå, kommunikasjon og tone, tillit til mekleren, og meklerens opptreden i deltagernes øyne.
Det er spesiell grunn til å bemerke at partene mener at meklere i forlikte saker opptrådte langt tydeligere enn meklere i saker som endte uten forlik. De var langt mer tilbøyelige til å klargjøre hva de selv anser som en rimelig løsning, men også til å klargjøre svake punkter i saken deres og hva hun/han anså som et sannsynlig utfall ved hovedforhandling.
Årsaker til at forlik ikke oppnås
Parter og prosessfullmektiger menes oftest at manglende forliksvilje hos motparten er den viktigste årsaken til at forlik ikke oppnås. De angir noe sjeldnere at saken ikke var egnet for mekling og trengte en juridisk avklaring. Udyktighet hos mekler nevnes relativt sjelden som årsak, men partene er noe mer tilbøyelige til å angi dette som årsak enn det prosessfullmektigene og meklerne er. Meklerne plasserer sjelden skylden på én av partene.
Ny dommer ved hovedforhandling?
Saker som går videre til hovedforhandling, overføres til ny dommer i de aller fleste tilfelle. Blant dommerne mener likevel bare drøyt halvparten at en sak som ikke forlikes, alltid bør overføres. Vel 40 % mener dette bør gjelde «som hovedregel». Prosessfullmektigene mener langt oftere at dette bør være et absolutt krav, mens partene er mindre aboslutte. De som mener at saken alltid bør overføres, henviser til rettferdshensyn og habilitetsproblematikk:
I nesten samtlige saker som ble overført oppgir mekleren selv at hun eller han var fullstendig taus om saken. I 3 av 98 tilfelle oppgir mekleren at hun/han kan ha røpet noe uforvarende.
Over 40 % av prosessfullmektigene og 50 % av partene betviler at meklere alltid overholder taushetsplikten. Det er bekymringsfullt. Slik tvil er imidlertid lite utslagsgivende for tilliten til mekleren eller hvorvidt man vil anbefale rettsmekling eller ikke.
Forlik med forbitrelse
Evalueringen har fanget opp et lite antall parter som ikke kan forsone seg med det forliket de inngikk. De mener gjerne de ble forledet eller presset og at deres rettigheter er krenket.
Det ser ut til å være noen fellestrekk ved flere av disse tilfellene. Det dreier seg ofte om parter med sterk tro på egen sak, svak motivasjon for rettsmekling, brudd på forventningene til hva rettsmekling skulle innebære, og usikkerhet og hjelpeløshet som ofte var vanskelig å oppdage for mekler og prosessfullmektig. Funnene tyder på at det er svært viktig for en rettsmekler å forsikre seg om at parten er parat til å signere forliket og fullt på det rene med at det er mulig å si nei.
Trengs rettsmekling?
Saker som er egnet og uegnet
De sakstyper som oftest nevnes som velegnet for rettsmekling, er fast eiendom/ avhending, familiesaker, økonomiske forhold, arbeidsrett, bygg/ entreprise og nabotvister. Sakstyper som går igjen som lite egnet for rettsmekling, er samværsrett og saker der det offentlige er part. Hele 50 % av meklerne mener imidlertid at sakstypen spiller liten eller ingen rolle for egnetheten.
Andre tvistemålsordninger
Blant dem som sammenligner rettsmekling med forliksråds-, voldgifts- og klagenemndsbehandling, fremholdes rettsmekling oftest som et nyttig eller bedre alternativ.
Pro- og kontra-argumenter
Forholdsvis få dommere mener at rettsmekling fører til at dommerens rolle blir uklar. Svært mange dommere mener derimot at dommeren får en klarere og tydeligere rolle under rettsmekling enn under tradisjonelle forliksforhandlinger. Rundt 30 % sier seg helt eller delvis enig i at den svake part vil kunne strekke seg for langt i saker der partene ikke er likestilt mht økonomiske ressurser og/eller faglig innsikt.
Deltagernes samlede vurdering
Rundt halvparten av partene og meklerne og nesten to tredjedeler av prosessfullmektigene har angitt at rettsmeklingen fungerte omtrent som ventet. Meklingen er mer i samsvar med deltakernes forventninger når saken forlikes.
Partene gir klart uttrykk for at rettsmekling er mindre stressende enn en rettssak. Et klart flertall av partene angir at rettsmeklingen bidro til at de har fått mer tillit til rettsapparatet, men nær 15 % mener det motsatte. I saker som endte uten forlik, er andelen med redusert tillit til rettsvesenet hele 25 %. Dette understreker at rettsmekling innebærer en viss risiko for tilbakeslag dersom forhandlingene ikke fører frem.
Hele 50 % av respondentene er uforbeholdne i sin anbefaling, mens en drøy tredjepart tar noen forbehold. Bare 3 % av partene og meklerne og 7 % av prosessfullmektigene stiller seg negative til rettsmekling. Parter i saker som endte uforlikt, er litt, men ikke mye mer tilbakeholdne med å anbefale rettsmekling til andre. Mange parter som selv var misfornøyd med rettsmeklingen, anbefaler likevel ordningen til andre. Advokater med fem eller flere rettsmeklinger bak seg er sterkere i sin anbefaling enn prosessfullmektiger med liten erfaring.
Blant både advokater og meklere understreker mange at deres oppslutning om ordningen er betinget av at den skal inngå som et frivillig tilbud. Fra dommerhold nevnes også andre forutsetninger for et positivt standpunkt, herunder obligatorisk utdanning i emneområdet, klare retningslinjer for hvor aktiv mekleren kan være, og fritak for dommere som ikke ønsker å mekle. Noen dommere gir uttrykk for tvil, eller fraråder rettsmekling som generell ordning. Den viktigste begrunnelsen er uklart skille mellom mekler- og dommerrollen. Enkelte dommere mener at det bør fastslås at meklingen ikke må utføres av dommere, eller at dette iallfall må diskuteres.
Rettsmekling i annen instans
Oppslutningen om rettsmekling som generell ordning er noe mindre blant dommere i Agder lagmannsrett. Den vanligste erfaring i Agder lagmannsrett er likevel at rettsmekling er anvendelig og nyttig også i annen instans. Ut fra materialet fra evalueringen er det ingen spesiell grunn til å unnta anneninstansdomstoler fra en eventuell generell rettsmeklingsordning.
Meklerrollen
Skal mekleren være garantist for et korrekt resultat?
Det er atskillig uenighet om hvorvidt mekleren skal stå som garantist for et «riktig» resultat. Blant dommerne betraktes jus som en viktig ballast for en rettsmekler. Mange dommere er imidlertid opptatt av at mekleren ikke skal gi noen juridiske føringer under meklingen. Når spørsmålet settes på spissen, er noen dommere parat til å gå ganske langt i å beskytte en svak part, iallfall i saker hvor én part møter uten prosessfullmektig. Her mener ganske mange at mekleren må innta mer av en dommerrolle og se hen til et sannsynlig resultat ved hovedforhandling.
Bør mekleren gi domsprognoser?
Som nevnt ser mange parter det som positivt dersom mekleren klargjør et sannsynlig utfall i retten. Enkelte advokater fremholder med stor kraft at en mekler som ikke gir en domsprognose, svikter sin oppgave. Andre er mer moderate eller klart skeptiske til domsprognoser. Også blant meklerne er meningene delte. Noen er parat til å gi ganske tydelige signaler. Mange dommere er imidlertid klart negative til å skulle antyde et resultat.
Konfliktnivåer og intervensjonstyper: Glasls konfliktteori
Iflg den østerrikske antropologen Friedrich Glasl utvikler konflikter seg gjennom ni typiske stadier. Konflikter på de tre–fire første nivåer er relativt enkle å hanskes med, og belaster sjelden rettsvesenet. Meklinger iflg Glasl en velegnet intervensjon i konflikter på de midlere nivåer. Anvendelsesområdet overlapper delvis med en annen type inngripen, nemlig tredjepartsavgjørelse,som omfatter voldgift og rettslig avgjørelse. Glasl skiller imidlertid klart mellom mekling og tredjepartsavgjørelse når det gjelder formål og konfliktløserens rolle og oppgave.
Rettsmeklerens rolle: Vurdering
Ut fra Glasls analyse blir det vesentlig for rettsmeklingens legitimitet at det er helt klart for de medvirkende om de deltar i en mekling eller underlegger seg en tredjepartsavgjørelse. Etter evaluators oppfatning bør en mekler avstå fra domsprognoser og antydninger om hva som er en rimelig løsning. Det er muligens mindre betenkelig om en mekler påpeker svake punkter i en parts argumentasjon, dersom dette fremlegges som en tydeliggjøring av prosessrisiko.
Spørsmålet om hvorvidt mekler skal stå som garantist for et rimelig resultat, er svært komplisert. Både betegnelsen rettsmekling og det faktum at meklingen foregår i et rettslokale og med en dommer som mekler, kan uansett bli oppfattet som en garanti for en legitim prosess.
Evalueringen viser at dilemmaene omkring rettsmeklerrollen ikke har vært ødeleggende for institusjonen. Det bør imidlertid strekes opp noe klarere retningslinjer for meklerrollen.
Meklerkompetanse
Personlig egnethet
Både meklere, parter og advokater legger vekt på personlig egnethet for meklerrollen. Den viktigste personlige kompetanse er kontaktevne, empati, autoritet, troverdighet og pågåenhet.
Meklerrollen avviker ganske meget fra dommerrollen, bl a i involvering og aktivitetsnivå. Et klart flertall blant dommerne mener at rettsmekling krever en annen type kompetanse enn den dommere normalt har oppøvd.
Ulike yrkesgruppers egnethet
Det er ulike oppfatninger blant dommere og advokater om rettsmeklerrollen bør kunne bekles av andre enn jurister. Enkelte dommere mener at dommere ikkebør opptre som meklere pga rolleblanding.
Blant både dommere og advokater mener et stort flertall at dommere og advokater er godt egnet som meklere. Få har noen tro på at domstolsfunksjonærer kan fylle denne rollen, men dette er det lite erfaring med. Rundt halvparten av dommerne og advokatene mener eksperter på saksfeltet kan være egnet. Dommerne er relativt forbeholdne i vurderingen av psykologers egnethet, og advokatene er oftest svært skeptiske.
Meklerkompetanse: Oppsummering
Evalueringen dokumenterer at dommere oftest har opptrådt på en måte som har inngitt tillit og ført frem til forlik som partene er tilstrekkelig tilfreds med. Det virker ikke betenkelig at dommere opptrer som meklere.
En bør beholde adgangen til å benytte andre meklere enn dommere. Erfaringene bør evalueres.
Det bør stilles krav til særskilt opplæring i rettsmekling for alle meklere. Opplæringen bør omfatte meklingsteori og meklerrolle, forhandlingsteknikk, kommunikasjon og kontaktetablering, og bevisst og ubevisst påvirkning.
Evaluators vurdering
Målt opp mot de krav, suksesskriterier og betenkeligheter som ligger til grunn for evalueringen, er det ingen tvil om at rettsmekling har fungert godt i prøveperioden og trygt kan innføres som generell ordning, med enkelte presiseringer og tilpasninger.
3.1 Mandat og metode
3.1.1 Rettsmekling som alternativ konfliktløsning
Rettsmekling representerer et interessant tilskudd til norsk rettsordning. Tankegangen bak forsøksordningen er nær knyttet til nøkkelerkjennelser i faglitteraturen om konfliktløsning, kanskje særlig fra the Harvard Negotiation Project1 – jvf figur 3.1 nedenfor.

Figur 3-1 Grunntilnærming til forhandling og konfliktløsning iflg Harvard Negotiation Project
I en rettslig tvist inntar partene standpunkter som kan være fastlåste, taktiske og/eller demonstrative. Et kjernepunkt i Harvard-filosofien er at mekleren må søke å få innblikk i hva slags interesser og egentlige behovsom ligger bak standpunkter og påstander. Mekleren må også stimulere en dialog der partene kommuniserer for å levendegjøre sine interesser og bli forstått,ikke for å skåre poenger eller posisjonere seg.
Gjennom rettsmekling tilrettelegges det for en kommunikasjonsform og en prosesslederrolle i tråd med disse prinsippene. I prinsippet er meklerens oppgave først og fremst å legge til rette for at partene kan finne frem til løsninger selv. I praksis er norske meklere ofte mer aktive i utformingen av løsningsforslag, og noen – men ikke alle – kan også påpeke svakheter ved partenes påstander og argumentasjon.
Hvorvidt meklingen lykkes, vil bl a avhenge av de forskjellige deltakeres forventninger og evne og vilje til å følge opp ordningens intensjon. Utfallet vil også avhenge av meklerens kompetanse. Det er ikke uten videre gitt at den kompetanse en dommer har opparbeidet seg som jurist og prosessadmininistrator, er et egnet utgangspunkt for meklerrollen.
Høringsrunden før etableringen av forsøksordningen avdekket stor og positiv interesse for forsøket med rettsmekling. Den viste imidlertid at rettsmeklingsprinsippet også omfattes av noe skepsis. Det har derfor vært viktig å gjennomføre en teoretisk og metodisk solid evaluering av forsøket.
3.1.2 Mandat
I sin tilbudsinnbydelse skisserte Justisdepartementet et bredt mandat for evalueringsoppdraget. Mandatet ble presisert noe i evalueringens startfase, med sikte på å konsentrere undersøkelsen om spørsmål det er særlig viktig å få svar på, og som det er praktisk mulig å finne ut av.
Ot prp nr 41 (1995–96) inneholder en bred omtale av det forventede utbytteav rettsmeklingsordningen, såvel som av betenkeligheter. Disse kan grupperes under tre overskrifter: Forhold som gjelder selve meklingsprosessen,
forhold knyttet til falletav tvistebehandlingen, og forhold som gjelder produktivitet.
Gevinstene – eller målene – er gjengitt i stikkord i midtpartiet (de grønne feltene) i figur 3.2 på neste side. Motforestillingene er gjengitt i nederste rad (de røde feltene) i figuren. Noe mer utfyllende dreier det seg om følgende:

Figur 3-2 Kriterier for vurdering av hvorvidt rettsmekling bør anbefales som generell ordning
Meklingsprosessen
Antatte gevinster
Man oppnår bedre kommunikasjon mellom partene gjennom muntlig kontakt
Gjennom separate møter med mekleren får partene fremme synspunkter og prøve sin argumentasjon uten at motparten er til stede
Partene kan få antydet et sannsynlig utfall av en hovedforhandling
Dommerens rolle blir klarere; hun/han kan fremlegge konkrete forslag til løsning uten å bli inhabil
Betenkeligheter
Rettsmekling krever en annen type kompetanse enn den dommere normalt har oppøvd
Domstolenes rolle blir uklar – domstolen bør være et sted der partene får en rettsavgjørelse, ikke trekkes inn i nye forhandlinger
Dersom en dommer er mekler, vil hennes/hans aktive rolle skape habilitetsproblemer
Partenes tillit til domstolen vil synke pga antatt kommunikasjon mellom rettsmekler og overtagende dommer
Utfallet
Antatte gevinster
Mekleren får anledning til å finne frem til partenes underliggende interesser og behov og bygge forliket på dette
Forlik kan inngås i en situasjon med mindre press enn under en hovedforhandling
Et forlik etter en konstruktiv meklingsprosess letter fremtidig samarbeid mellom partene; ingen fremstår som vinner eller taper
Partene unngår publisitet
Den totale påkjenning for partene reduseres
Betenkeligheter
I saker der partene ikke er likestilt mht økonomiske ressurser og faglig innsikt vil den svake part kunne strekke seg for langt
Ikke-jurister kan som meklere få i stand forlik i strid med gjeldende rett.
Produktiviteten
Antatte gevinster
Saken kan avsluttes tidligere enn ved tradisjonell tvistebehandling
Ved forlik gjennom rettsmekling reduseres kostnadene for både parter og domstol
Selv uten et forlik vil meklingsarbeidet effektivisere saksforberedelsen, klargjøre springende punkter i tvisten og muliggjøre «prosessuell opprydning» med frafallelse av krav, enighet om deler av faktagrunnlaget, mv
Betenkeligheter
Ordningen vil være kompliserende og forsinkende
Dersom forlik ikke oppnås, fører omfordeling av saken til dobbeltarbeid
Kostnadene øker dersom forlik ikke kommer i stand
Krav til hvordan rettsmeklingen bør fungere
Det er også stilt opp noen kravfor hvordan rettsmeklingen bør fungere. Å oppfylle disse kravene er dels virkemidler for å oppnå de gevinstene som er nevnt ovenfor, og dels mål i seg selv:
Partene må få god informasjon om prosedyren
Partene må få god nok tid til å diskutere og tenke gjennom alternativer og tilbud
Partene må få gitt uttrykk for sitt syn og sine interesser
Meklerne må oppnå partenes tillit
Partene må ikke utsettes for press fra mekler
Partene må oppleve utfallet som rimelig
Partene må ha tillit til at mekleren bevarer taushet overfor overtagende dommer, dersom forlik ikke oppnås
Rettsmekling må være et tilbud som benyttes
Problemstillinger til avklaring
Endelig skal følgende spørsmål avklares:
Om dagens prosessordning og alternative konfliktløsningsinstitutter er tilstrekkelige.
Spesielle sakstypers egnethet for rettsmekling
Hva som vektlegges i vurderingen av om man ønsker rettsmekling eller ikke
Om meklere bør opptre som «dommere» eller «tilretteleggere»
Hva meklere legger vekt på ved utformingen av løsningsalternativer
Betydningen av taushetsplikt om forløpet
Hvem som bør være mekler og hva slags opplæring som bør gis, herunder dommeres egnethet som meklere og bruk av eksterne meklere
Undersøkelsen er utformet for å belyse dette settet av krav, suksesskriterier, risikomomenter og problemstillinger.
3.1.3 Metode
Angrepsmåte
Undersøkelsen har benyttet tre hovedgrupper av kilder:Parter, prosessfullmektiger, og meklersiden. For enkelte av problemstillingene evalueringen belyser, er det bare innhente opplysninger om fra en eller to av kildegruppene.
For de fleste temaenes del har det imidlertid vært interessant å få erfaringer og synspunkter fra alle gruppene, nettopp fordi forutsetninger og perspektiv vil være forskjellige.
Det har vært av særlig stor interesse å få konstatert om parter, prosessfullmektiger og mekler vurderer én og samme sakulikt når det gjelder tone og klima, de forskjellige deltageres bidrag, kreativiteten i løsningsalternativer, meklerens rolle mv. Det har også være viktig å få fastslått om det generelter systematiske forskjeller i oppfatningdisse gruppene imellom.
Evalueringen har trukket veksler på tre typer materiale:Spørreskjemaer, intervjuer og tallmateriale fra embetene.
Det er innhentet data fra samtlige ti instanser.Av effektivitetshensyn er imidlertid antall dybdeintervjuer med parter og prosessfullmektiger vært noe skjevfordelt. Samtlige domstoler har imidlertid deltatt på like fot i spørreskjemaundersøkelsen.
Det ble lagt vekt på å få utformet oversiktlige, tiltalende og forståelige spørreskjemaer, tilpasset de tre målgruppene. Evaluator gjennomførte i den anledning en pilotundersøkelse med et mindre antall intervjuer med representanter for de tre kildegruppene.
Spørreskjemaene ble utdelt fortløpende til deltagere i alle rettsmeklingssaker fra medio mars til ultimo oktober 2000. Skjemaene ble sendt evaluator direkte i lukket, frankert svarkonvolutt Planen var opprinnelig å la denne delen av undersøkelsen løpe frem til nyttår, men oppslutningen var så god at innsamlingen ble avsluttet tidligere.
Dybdeintervjuenevar lagt opp som halvstrukturerte, med utgangspunkt i intervjumaler tilpasset målgruppen. Hovedparten av intervjuene fungerte som utdypninger av spørreskjemabesvarelser fra saker der samtlige, eller minst fire av fem deltagere, hadde sendt inn spørreskjema. Respondentene hadde angitt på spørreskjemaet om de var villige til å bli intervjuet. Evaluator fikk kontakt med de utvalgte deltagerne via domstolene, som kunne finne tilbake til riktig deltager via saksnummeret som var påført spørreskjemaet. Hele 79 %av både partene og prosessfullmektigene var villige til å la seg intervjue.
Siktemålet var intervjuer med parter, prosessfullmektiger og mekler i til sammen 15 saker – to saker fra fem av domstolene, og én sak fra de fem siste. Ved to domstoler lyktes det imidlertid ikke å finne saker der (nesten) alle deltagere både returnerte spørreskjemaet og var villige til å la seg intervjue. I disse domstolene intervjuet evaluator en gruppe meklere og advokater med erfaring fra meklingsmøter. Som regel ble embetsleder eller domstolens kontaktperson for rettsmeklingsforsøket intervjuet uansett, dersom denne ikke meklet den aktuelle saken selv.
Underveis ble evaluator kontaktet av noen få parter som satt igjen med en svært negativ oppfatning av rettsmeklingen. Disse sakene ble med ett unntak enten inkludert i intervjuutvalget, eller fulgt opp gjennom særskilt intervju med mekleren. Tallmaterialetfra de domstolene ble samlet inn via egne skjema i januar 2001. Dataene bygger på domstolenes ordinære forretningsstatistikk. Det er noen uoverensstemmelser mellom ulike registreringsmåter. Dette har mindre betydning for analysen, som er basert på tidsserie for hver enkelt domstol.
Spørreskjema- og tallmaterialet er behandlet i statistikkprogrammet SPSS Systat.
Kjennetegn ved utvalgene
Til sammen innkom 1440 utfylte spørreskjemaer– 488 fra parter, 582 fra prosessfullmektiger, og 372 fra meklere. Fordelingen på domstoler fremgår av tabell 3.1 nederst på siden.
Siden det som oftest er to parter, to prosessfullmektiger og én mekler pr sak, burde prosentfordelingen i nederste rad i tabell 3.1 vært svært nær 40–40–20. Vi kan konstatere at partene er noe underrepresentert og meklerne noe overrepresentert i materialet. Dette spiller liten rolle, ettersom tabellene i de følgende kapitler gjengir separate resultater for de tre kildegruppene.
Det er grunn til å bemerke at nær 40 %av spørreskjemaene stammer fra saker som er meklet i Oslo byrett.Saker fra Asker og Bærum herredsrett dekker nær 20 % av responsen, mens Salten sorenskriverembete og Tønsberg byrett har «levert» ca 10 % hver.
Tabell 3.1 Fordeling av innsendte spørreskjema på domstoler (absolutte tall)
| Parter | Prosessfullmektiger | Meklere | I alt | |
|---|---|---|---|---|
| Agder lagmannsrett | 30 | 41 | 23 | 94 |
| Asker og Bærum herredsrett | 104 | 107 | 66 2 | 77 |
| Indre Follo herredsrett | 19 | 24 | 14 | 57 |
| Nordmøre herredsrett | 18 | 11 | 11 | 40 |
| Oslo byrett | 173 | 221 | 149 | 543 |
| Oslo skifterett | 5 | 9 | 6 | 20 |
| Salten sorenskriverembete | 51 | 57 | 34 | 142 |
| Trondheim byrett | 35 | 44 | 28 | 107 |
| Trondenes ss-embete | 9 | 11 | 8 | 28 |
| Tønsberg byrett | 44 | 56 | 31 | 131 |
| Ukjent | 0 | 1 | 2 | 1 |
| Sum | 488 | 582 | 372 | 1440 |
| Prosent | 34 | 40 | 26 | 100 |
Totalt er 60 personer intervjuet– 25 parter, 16 prosessfullmektiger, og 19 meklere. Bare noen få avtalte intervjuer ble avlyst. De aller fleste intervjuene ble utført individuelt og ansikt til ansikt. I tre tilfelle ble to personer intervjuet på én gang, og noen få intervjuer ble gjennomført pr telefon. I rapporten siteres også skriftlige kommentarer fra spørreskjemaer og brev til evaluator.
Opplysning om utfallet av meklingenfremkommer av meklerens spørreskjema. Det foreligger slike opplysninger i 338 saker. Av disse ble 68 % forlikt på alle punkter og 2 % forlikt på noen punkter. 30 % av sakene endte altså uten noe meklingsresultat. Saker uten meklingsresultat er dermed noe overrepresentert i spørreskjemamaterialet,ettersom den faktiske forliksprosenten ligger på 82 % for år 2000 iflg domstolenes forretningsstatistikk. Opplysningene om utfall et er overført til spørreskjemaene fra parter og prosessfullmektiger ved hjelp av data for instans og saksnummer. Når disses svar fordeles på saker med ulikt utfall, er prosentandelene så godt somidentisk med fordelingen blant meklerne. Det er med andre ord like store andeler svar fra saker med og uten forlik fra alle tre respondentgrupper.
Det er i utgangspunktet rimelig å anta at deltagere i meklinger uten forlik oftere vil ha en mindre positiv oppfatning av meklingen enn deltagere i saker som ble forlikt. Som vi skal se i avsnitt 6.4 (s 107) er parter i uforlikte saker nesten like tilbøyelige til å anbefale rettsmekling som parter i forlikte saker, men det er en liten forskjell i tilfredshet med meklingen. I den grad utvalgsskjevheten påvirker funnene, kan den altså antas å trekke i negativ retning.
3.1.4 Leserveiledning
Rapporten oppsummerer et stort datamateriale. Av plasshensyn er de utsagnene spørreskjemarespondentene har tatt stilling til, ofte gjengitt i forkortet form i tekst, tabeller og diagrammer. Leseren bør derfor sjekke de egentlige spørsmålsformuleringene i vedleggene.
En rekke av spørsmålene i spørreskjemaet ber respondenten om vurderinger på en skala fra 1 til 5. Disse skalaene kan strekke seg fra «Slett ikke» til «Absolutt» eller fra «Helt uviktig» til «Svært viktig», osv. Som oftest er spørsmålene utformet slik at 5 angir en positiv vurdering, mens 1 angir en negativ.
For slike vurderinger er det gjerne oppgitt gjennomsnittsskåreri rapporten. Ved en helt tilfeldig fordeling av svar, vil gjennomsnittet på en 5-punktsskala være 3,0. En gjennomsnittsskåre så vidt bedre enn 3,0 kan imidlertid ikkeuten videre tolkes som en god «karakter». Ved et slikt utfall er det svært mange som er enten mellomfornøyde eller misfornøyde. Erfaring fra en rekke spørreskjema- og intervjuundersøkelser viser at et gjennomsnitt på 3,5 eller bedresom regel er uttrykk for en positiv tilfredshet.Et gjennomsnitt på 4,0 eller bedrekan betraktes som meget bra.Gjennomsnittsskårer mellom 3,5 og 3,0bør man ikke være helt tilfreds med, og skårer som er svakere enn 2,9må betraktes som dårlige(se figur 3.3).

Figur 3-3 fortolkning av 5-punktskalaen for vurderingsspørsmål, der 1 uttrykker noe negativt og 5 noe positivt
Intervjusitatene er gjengitt etter notater. I enkelte tilfelle er teksten frisert for å bevare respondentens anonymitet. Av samme grunn har evaluator måttet avstå fra å stille utsagn fra deltagere i samme sak opp mot hverandre.
3.2 Meklingsprosessen
3.2.1 Motivasjon for rettsmekling
Vet partene hva de går til?
Som figur 3.4 viser, er både parter og prosessfullmektiger svært godt fornøyd med den informasjon mekleren gir dem om hva rettsmekling innebærer og hva som vil skje dersom forlik ikke oppnås.

Figur 3-4 Gjennomsnittsskårer der 1 = «Slett ikke» og 5 = «Absolutt»
I noens øyne kan informasjonsmengden ta overhånd:
(Advokat, sak forlikt:) «Mekleren ga en meget grundig redegjørelse – hele rettsmeklingens historie" Det var litt i meste laget».
Noen møter imidlertid med et ufullstendig bilde:
(Part, sak forlikt:) «Vi fikk et brev fra retten – jeg hadde ikke hørt om rettsmekling før. Jeg oppfattet det ikke slik at vi hadde noe valg" Det var en kommunikasjonssvikt mellom meg og advokaten.»
(Part, sak forlikt:) «Jeg ble først informert av advokaten, men hadde hørt om rettsmekling på forhånd. Jeg visste ikke at rettsmekling inkluderer separate samtaler, det var en positiv overraskelse.»
I noen tilfelle ser det ut til at formålet med rettsmekling ikke er forstått, idet en part eller prosessfullmektig forholder seg som om meklingsmøtet var en hovedforhandling der det skal prosederes for en dommer.
(Part, sak forlikt:) «Jeg er ikke imponert over hvordan megleren hadde satt seg inn i saken. Han brukte ikke fakta fra det skriftlige materialet vi hadde jobbet med i måneder" Jeg spurte om hvilke fakta han bygde på; og han rotet med tidspunktene. Da ble jeg skuffet. Ut over det har jeg ikke grunnlag for å vurdere hans bevisbedømmelse. Det var en ren spillsituasjon der mekleren var budbringer mellom parter i hvert sitt rom. De taler om ‘rettsmekling’, i retten– de burde informere åpent og ærlig om at det er et pengespill. Dommeren burde vært pålagt å bruke fakta" ... [«Du synes ikke dette var en dyktig mekler?») Hva skal jeg bedømme ham etter, når han er dommer og ikke forholder seg til fakta?»
(Mekler, sak ikke forlikt:) «Den ene advokaten var ung og manglet livserfaring – han skjønte ikke hvor han var. Han er den mest uforstående advokat jeg har hatt i rettsmekling, han svarte bare med paragrafer. Jeg måtte si ‘glem det, du skal ikke overbevise meg"’. Motpartens advokat var også oppgitt. Jeg bruker et kvarter innledningsvis på å få frem meklingsfilosofien og redusere spenning; advokaten burde forstått da. Han var helt uforberedt på miljøet, og ble usikker.»
Slike asymmetriske forventninger kan skape store problemer for avviklingen av meklingen. Vi kommer tilbake til dette under avsnitt 5.1 og 5.4.
Motiver for å møte til rettsmekling
Både parter og prosessfullmektiger angir (se figur 3.5 ) at de viktigste motivenefor å samtykke til rettsmekling, er at saken kan bli avklart fortere, og med lavere kostnader(snitt = 4,0–4,5). For ganske mange er det også viktig å få bidra aktivt til en løsning og påvirke løsningsinnholdet (snitt = 3,6–3,8). At en kan unngå en skjerping av konflikten i rettssalen, betyr noe mindre (snitt rundt 3,0) – bortsett fra i skiftesaker (snitt for Oslo skifterett = 4,6).

Figur 3-5 Gjennomsnittsskårer der 1 = «Ikke viktig» og 5 = «Viktig grunn»
Det er verdt å merke seg at ytterst få av partene oppgir frykt for å tape saken som en viktig grunn til å velge rettsmekling (snitt = 1,9).5 Prosessfullmektigene har øyensynlig en noe mer realistisk innstilling (snitt = 2,5).
(Advokat, sak forlikt:) «Vi hadde ikke en veldig god sak" Derfor samtykket vi i rettsmekling.»
(Advokat, sak forlikt:) «Jeg vurderte det først slik at vi hadde en god sak – men så ble jeg mer og mer klar over hva som hadde skjedd. Jeg tror ikke vi ville oppnådd noen ting ved dom. Men klienten hadde klokkertro på sin egen sak, det var vanskelig å få til noe samarbeid. Vi forhandlet ikke med motparten på forhånd, og det kom frem ting under rettsmeklingen som svekket vår sak.»
(Advokat, sak forlikt:) «Frykten for å tape betyr mer for advokatene enn for partene – de er sjelden helt på det rene med prosessrisikoen. Det er alltid generalene som er mest redd for krig. Jeg hadde konferert med motpartens advokat på forhånd, vi var enige om å finne en forstandig løsning under rettsmekling.
Advokatene bør alltid konferere på forhånd. Vi kjenner hverandre her, og forliker de aller fleste saker.»
Overmot hos partene er problematisk også i meklerens øyne:
(Dommer:) «Prosessrisikoen er drivkraften – at de skjønner at motparten også har poenger. Få vil forlike hvis de er helt sikre på å vinne.»
At publisiteten blir mindre betyr lite ifølge prosessfullmektigene, men er av betydning for en del parter (snitt = 1,7 vs 2,6). (Part, sak forlikt:) «Dette er noe ingen andre har noe med.»
(Part, sak forlikt:) «Man aner jo ikke hvordan ting slår ut i pressen" Vi har flere selskaper i gruppen og ønsket ikke søkelys på det ene som går dårlig.»
Som figur 3.6 viser, er partene ofte svært lydhøre for advokatens anbefaling om å forsøke rettsmekling (snitt = 3,8). Advokatens anbefaling betød mest for parter uten tidligere erfaring med rettstvister, og minst for dem som har fem eller flere tvister bak seg (snitt = 4,0 mot 3,5). Prosessfullmektigene oppgir sjeldnere et uttrykt ønske hos klienten som viktig grunn (snitt = 2,9).

Figur 3-6 Gjennomsnittsskårer der 1 = «Ikke viktig» og 5 = «Viktig grunn»
Ganske mange parter og prosessfullmektiger6 har hoppet over svaralternativet «Dommeren anbefalte det». Det tyder på at dommere oftest presenterer rettsmekling som et tilbud mer enn som en anbefaling. De av partene som har merket av for dette alternativet, legger oftest en del, men ikke avgjørende vekt på dommerens anbefaling (snitt = 3,0). Prosessfullmektigene later til å legge mindre vekt på en slik anbefaling (snitt = 2,3).
Det siste svaralternativet i figur 3.6 skal vi se nærmere på nedenfor (s 32).
Motivasjonsnivå
Prosessfullmektiger og meklere er i gjennomsnitt ganske enige om hvor motivert hver av deltagerne var (figur 3.7 ). I gjennomsnitt gis det uttrykk for høy motivasjon (snitt = 3,7–4,1). Det er ganske stor enighet mellom deltagerne i samme sak om motivasjonsnivået hos hver og én. Prosessfullmektigene vurderer imidlertid gjennomgående seg selv og sin egen klient som mer motivert enn motparten og dennes prosessfullmektig (forskjell i snitt = ca 0,5).

Figur 3-7 Gjennomsnittsskårer der 1 = «Motvillig» og 5 = «Motivert»
Ved et par tilfelle har én side havnet i rettsmekling uten å ønske det:
(Advokat, sak forlikt:) «Vår sak var megetgod, den var uegnet for rettsmekling – det var overhodet ikke grunnlag for noen deling. At vi aksepterte, skyldtes en kommunikasjonssvikt. Jeg syntes ikke det var grunnlag for å protestere etterpå, det syntes mekleren jeg burde gjort... men sluttresultatet ble jo bra.»
Mekling som strategisk spill
Selv om det ikke legges noe press på partene for å møte til rettsmekling, kan tilbudet virke vanskelig å avslå. Hele 43 % av de parter som har besvart spørsmålet, merker av 4 eller 5 for utsagnet «Jeg ville ikke virke steil og urimelig» (snitt = 3,1). Både tallene og intervjumaterialet tyder på at prosessfullmektigene ikke er tilstrekkelig oppmerksomme på at klienten ser slik på det (snitt = 1,9).
(Part, sak ikke forlikt:) «Jeg hadde ikke tro på at det ville bli noen løsning gjennom rettsmekling, men ville se hva det førte til. Ville ikke være sta. Jeg diskuterte det med familien – ‘vi møter til rettsmekling, men sier ikke ja til noe forslag"’ Jeg ville bare gått med på forlik om motparten frafalt sine krav. Jeg var ikke redd for å tape i retten. Man kan jo ikke være sikker på å vinne.»
(Part, sak ikke forlikt:) «Egentlig er dette en prinsippsak, men vi ønsket å høre motpartens synspunkter og føle ham på tennene.»
(Part, sak ikke forlikt:) «Jeg opplevde det som en utsettelse av å få en avgjørelse i saken. Jeg kan ikke gi ham medhold og han vil ikke fire. [‘Du kunne jo si nei til mekling?’] Ikke som vi forsto det" Jeg fikk inntrykk av at om vi ikke ville, så måtte vi stille. Det er lettere å gå med på ting enn å si nei. Og det kanjo finnes noe ..? – Jeg var ikke redd for å tape. Jeg vil kjempe hardt for å vinne.»
(Part, sak ikke forlikt:) «Vi følte ikke at vi kunne nekte, vi ville ikke komme i miskreditt. Jeg vetikke om det ville bli sett negativt på – men det kan hende? At vi ‘ikke viste vilje’ hvis vi avslo?»
(Part, sak forlikt:) «Før fremmøte var jeg ikke klar over at man ikke skal ha samme dommer i rettssaken som under meklingen – jeg så strategisk på det, ville ikke signalisere at jeg ‘ikke var villig til å finne en løsning’. Egentlig hadde jeg mest lyst på en rettssak" Jeg syntes det var grovt, det motparten hadde gjort.»
Enkelte advokater gir uttrykk for det samme:
(Advokat, sak ikke forlikt:) «Dommeren ønsker jo et forlik" Så det er en faktor. Jeg vil ikke ha dét på meg at ‘vi ville ikke mekle’.»
– mens andre ser annerledes på det:
(Advokat, sak forlikt:) «‘Steil og urimelig’? Det betyr egentlig ingenting. Jeg har nektet tross gjentatte oppfordringer, når påstandene er formulert slik at det ikke er grunnlag for dialog. Avslag blir ikke tillagt vekt i retten.»
Intervjumaterialet tyder på at meklerne har opplevd tilfelle av «strategisk fremmøte», men ikke oppfatter det som noe stort problem:
(Dommer:) «Det har skjedd at parter har møtt opp fordi de tror de skal få goodwill hos dommeren. Dét virker jo tvert imot, det er mer realt å si nei.»
(Dommer:) «Jeg sier jo til dem rettsmeklingen ikke har noen hensikt hvis ikke begge er kompromissvillige. Jeg har ikke opplevd at en part ikke har villet vike noe.»
(Dommer:) «Folk møter sjelden uten reell motivasjon. Og jeg opplever ofte at det de møtte opp med som ‘siste skanse’, blir brutt under rettsmeklingen. De strekker seg lenger.»
3.2.2 Hvem «eier» meklingen?
Deltakernes aktivitetsnivå
Rettsmekling er tenkt som en arena der partene skal få være aktiveog være de viktigste bidragsyterne til en løsning. Funnene tyder på at en så langt bare har lykkes et stykke på veimed dette.
Figur 3.8 viser at meklerne oftest vurderer partene som like aktive som prosessfullmektigene (snitt = 3,7–3,8), og mener at både parter og prosessfullmektiger var like aktive som mekleren selv (snitt = 3,9). Både parter og prosessfullmektiger vurderer imidlertid meklerens aktivitetsnivå som høyere enn de øvrige deltakeres (avvik i snitt = 0,2–0,6). Og partene markerer oftest at prosessfullmektigene er mer aktive enn partene (avvik = 0,4).
(Part, sak forlikt:) «Jeg fikk ikke deltatt med noe. Advokaten mente vi ikke trengte noe møte på forhånd, og under meklingen slo han til med halvering av beløpet før jeg fikk trukket pusten. Jeg har ikke fått snakket med ham etterpå heller" Jeg er meget skuffet.»
(Advokat, sak forlikt:) «Jeg var veldig fornøyd med mekleren. Mekleren er forliksorientert og ‘satte seg’ på partene. Det ville ikke blitt noe forlik hvis bare partene og prosessfullmektigene hadde møttes.»
(Advokat, sak forlikt:) «Vi startet med ‘innledningsforedrag’ fra advokatene, det ble en liten rettssak.»
(Dommer:) «Jeg slipper ikketil advokatene først – jeg involverer partene. Jeg blir ofte imponert over hva de har evne til å fremføre.»
(Dommer:) «Normalt er alle aktive. Én gang var en advokat taus. Jeg sier at ‘dette er partenes konflikt, vi skal bare legge til rette for dem’».
(Dommer:) «De fleste parter snakker ubegripelig mye"»
I gjennomsnitt vurderer partene seg selv og sin egen prosessfullmektig som noe mer aktive enn motparten og dennes prosessfullmektig, men forskjellen i snittskåre er liten ( = ca 0,3). Det er ingen gruppeforskjeller i vurderingene av meklerens aktivitetsnivå.

Figur 3-8 Gjennomsnittsskårer der 1 = «Svært passiv» og 5 = «Svært aktiv»
At rettsmeklingsfilosofien poengterer at det er partene som skal spille hovedrollenunder meklingen, kan paradoksalt nok forsterke en eventuell ubalansemellom partene, selv når begge har prosessfullmektig:
(Part, sak forlikt:) «Det gjorde ingenting for min del å skulle legge fram saken selv, jeg er vant til å prate – men for en svak part kan det kanskje være vanskelig? Å få ordet først, i en rettssal, der dommeren sitter en meter høyere enn deg ... [«Ville du foretrukket et kontor eller bibliotek?»] Absolutt. Det kunne godt vært mindre formelt. Men hvis det stopper opp for en, slipper vel advokaten til?»
(Advokat:) «Det er viktig at advokaten forbereder klienten på at dekan måtte holde en innledning.»
Bidrag til løsningsforslag
Figur 3.9 viser hvordan deltagernes bidrag til utforming av løsningsforslagblir vurdert. Skalaene er her forankret i «Bidro negativt» på den ene side og «Bidro positivt» på den annen, med skåren 3 som nøytralpunkt. Figuren viser at oppfatningene varierer på lignende vis som for aktivitetsnivå – meklerne mener bidragene var ganske likt fordelt, mens parter og prosessfullmektiger mener at advokatene bidro mer positivt enn partene, men at mekleren bidro aller mest.

Figur 3-9 Gjennomsnittsskårer der 1 = «Bidro negativt» og 5 = «Bidro positivt»
For både parter og prosessfullmektiger er det svære avvik i vurderingene av egen sides og motpartens bidrag til utforming av løsningsforslag. Avvikene i snittskåre ligger rundt 1,0 for parter og 0,7 for prosessfullmektiger. Det er ingen slike avvik i vurderingene av meklerens bidrag.
Parter uten tidligere erfaring fra rettstvister betrakter seg selv som mer positive bidragsytere til løsningsforslag enn det mer rutinerte parter gjør (snitt = 3,7 mot 3,1 for parter med fem eller flere tvister bak seg).
3.2.3 Bedre kommunikasjon?
Tid og tone
Det er bred enighet om at deltagerne fikk den tid de trengte til å redegjøre, diskutere og vurdere forliksalternativer og -tilbud (snitt = 4,3–4,6 – figur 3.10). De aller fleste angir også at tonen under meklingsmøtene var god (snitt = 4,1–4,3). Meklere og prosessfullmektiger er enige om at partene fikk uttrykt sine synspunkter og interesser (snitt = 4,4), og partene sier oftest det samme (snitt = 4,1).

Figur 3-10 Gjennomsnittsskårer der 1 = «Slett ikke» og 5 = «Absolutt»
Mekleren roses ofte for å sette, eller bevare, en god tone, og gis sjelden skylden for et dårlig forhandlingsklima:
(Part, sak ikke forlikt:) «Mekleren var veldig hyggelig" Det ble artig etter hvert. Mekling er en skikkelig positiv affære.»
(Advokat, sak forlikt:) «Mekleren misforsto overhodet ikke situasjonen, forsto at det var en veldig god stemning. Det var bare å sette på klokka, det gikk av deg selv. Mekleren greide å styre partene slik at de fikk luftet seg litt, men uten at temperaturen steg. Ellers blir det vanskelig.»
(Advokat, sak ikke forlikt:) «Den dårlige tonen skyldtes ikke mekleren, men fronten mellom partene. Og iflg min subjektive oppfatning prøvde motpartens advokat å prosedere under meklingsmøtet, det ble småkonfrontasjoner av den grunn.»
Svarene fra både parter og meklere tyder på at det oftest er fordelaktigfor tonen under møtene at begge parter møter med prosessfullmektig. I saker der begge parter møtte med prosessfullmektig, ligger snittskåren for tone 0,5 poeng høyere enn for saker der én eller begge parter møtte alene. Intervjumaterialet nyanserer imidlertid dette bildet noe:
(Mekler, sak forlikt:) «Det ble en grei tone – de ble ikke sinte på hverandre, selv om varveldig sinte på hverandre. De kunne sitte og snakke avslappet over bordet, uten adjektiver – de faktiske forholdene taler for seg selv. Hvis en slipper advokatene til, kommer karakteristikkene.»
(Advokat, sak forlikt:) «Jeg startet temperamentsfullt og bidro til en litt amper tone. Saken var stygg" Men mekleren hadde godt humør. Utrolig flink, og veldig objektiv.»
(Advokat, sak forlikt:) «Motpartens advokat gjorde det ikkelettere for partene å leve med hverandre etterpå" Det er unødvendig å ‘prosedere’ i en slik situasjon.»
(Dommer:) «Av og til snakker jeg med partene alene, hvis det er en ‘advokatavhengig’ sak og advokaten ikke tar signalene. Det hjelper ikke hvor godt mekleren forsøker hvis det er en vanskelig advokat som vil ha rett"»
Tilfredshet med særmøter
I motsetning til en hovedforhandling gir rettsmekling partene anledning til å ha særmøter med mekleren og legge frem sine synspunkter uten at motparten er til stede. Dette er åpenbart noe partene setter pris på (snitt = 3,8–4,0 – figur 3.11 ).
(Part, sak ikke forlikt:) «Det er lettere å snakke på tomannshånd enn i en stor forsamling. Jeg føler meg tryggere, og ser den andres reaksjoner.»
(Advokat, sak forlikt:) «Vi satt sammen nesten hele tiden – dommeren sa at han ikke likte særmøter. Det er ikke klokt å ta alle forslag i fellesmøte.
Særmøter hadde vært bedre, da ville det blitt mindre krangling advokatene imellom.»
Intervjumaterialet tyder på at mekleres og prosessfullmektigers sans for særmøter øker med økende erfaring med rettsmekling:
(Advokat:) «Det er en fordel med særmøte, iallfall når det er en skjerpet tone mellom partene. Da kan mekleren gå imellom og forhindre at det utarter til krangling.»
(Dommer:) «I begynnelsen brukte jeg aldri særmøter. Jeg likte det ikke – jeg var vant til umiddelbarhet og kontradiksjon, og hadde ikke lyst til å vite noe de andre ikke visste og som jeg ikke kunne si. Men de andre meklerne brukte det, så jeg begynte med det, og nå benytter jeg det hele tiden. Separate møter er effektive, de prater friere.»
(Dommer:) «Det er lettere å gi avkall på posisjoner i særmøter.»

Figur 3-11 der 1 = «Slett ikke» og 5 = «Absolutt»
3.2.4 Meklers prosessledelse
Tillit til mekleren
Meklerne har i de aller fleste saker oppnådd en høy grad av tillit hos både parter og prosessfullmektiger (snitt = 3,9–4,6 – se figur 3.12 ).
Bare noen ganske få parter, og enda færre prosessfullmektiger, mener at mekleren ikke hadde satt seg tilstrekkelig inn i saken på forhånd. Godt forarbeid er tydeligvis en viktig suksessfaktor:
(Part, sak forlikt:) «Mekleren hadde tydeligvis lest saken. Han kom til kjernen i løpet av utrolig kort tid. Så kjørte han partene litt. Det bør mekleren gjøre, iallfall i særmøter.»
(Advokat, sak forlikt:) «Dommerne her er erfarne når det gjelder rettsmekling.De setter seg godt inn i saken først, og det er alfa og omega. De trykker litt på begge parter, på en grei måte, så de jenker seg. Det er mye psykologi i dette" – og litt jus.»
(Advokat, sak forlikt:) «Vi hadde en veldig god rettsmekler – god autoritet, flink til å finne løsninger. Men generelt har meklerne kanskje ikke satt seg så godt inn i saken at de kan bidra så voldsomt. Når man spør mekleren om hvordan han synes saken står, får man inntrykk av at han ikke har skjønt alt.»
(Advokat, sak forlikt:) «Jeg var imponert over hvordan dommeren utførte meklingen" Særlig sammenlignet med en annen rettsmekling jeg deltok i. Her var mekleren veldig godt forberedt, ga et resymé av saken innledningsvis.»
(Dommer:) «Suksessfaktor nr 1 er at mekleren er godt forberedt. Det har jeg fått mange tilbakemeldinger om. De merker at du kan saken, da kommer vi lettere til en forståelse.»
For øvrig betegnes mekleren gjennomgående som dyktig, tillitvekkende og upartisk – men unntak forekommer:
(Part, sak ikke forlikt:) «Mekleren var veldig saklig. Ga ikke uttrykk for spesiell sympati for den eller den andre parten.»
(Part, sak ikke forlikt:) «Det eneste negative var at mekleren viste langt mer sympati for motparten, som virket stakkarslig.»
De aller fleste har tillit til at mekleren holdt samtaler under særmøter for seg selv.
De tre siste stolpesettene i figur 3.12 inkluderer tilsvarende spørsmål stilt til meklerne («Jeg tror jeg oppnådde begge parters tillit», «Jeg tror jeg fremsto som upartisk» og «Jeg tror jeg håndterte meklingen godt»). Funnene viser at meklerne i gjennomsnitt har bra, men ikke overdreven selvtillit på disse punkter.

Figur 3-12 Gjennomsnittsskårer der 1 = «Slett ikke» og 5 = «Absolutt»
Empati og forståelse
Empati er anerkjent som en nøkkelfaktor i mekling og rådgivning. Figur 3.13 sammenstiller beslektede svar om dette fra parter på den ene side og meklere og prosessfullmektiger på den annen. Både meklerne og prosessfullmektigene har gitt uttrykk for at mekleren oftest har maktet å vise forståelse for begge parter (snitt = 4,0–4,2). Det bekreftes av partene – 63 % markerer 4 eller 5 på utsagnet «Mekleren viste forståelse for meg og min situasjon» (snitt = 3,8), mens 67 % angir 4 eller 5 på utsagnet «Mekleren viste forståelse for motparten og motpartens situasjon» (snitt = 3,9).
(Part, sak forlikt:) «Mekleren var veldig hyggelig mot begge parter. Det tok lang tid, motparten ville ikke fire på noe. Men jeg følte at mekleren på en måte var på min side.»
(Advokat, sak forlikt:) «Dommeren hadde en viss mildheti sin tilnærming til partene – det forbauset meg. Jeg hadde hørt at denne dommeren kan være skarp i kantene. Mekleren var søkende, lyttet for å lære saken og finne ut hva partene ønsket.»

Figur 3-13 Gjennomsnittsskårer der 1 = «Slett ikke» og 5 = «Absolutt»
Bidrag til dialog
En av meklerens viktigste oppgaver er å bidra til dialog mellom partene og klarlegge bakenforliggende interesser. Som vi har sett (avsnitt 2.2, s 33), er nok rettsmeklingen ikke først og fremst partenes arena i deres egne øyne. Det er likevel bred enighet mellom både parter, prosessfullmektiger og meklere om at mekleren tilrettela for dialog mellom partene, støttet opp om konstruktive idéer, og fikk frem hva begge parter først og fremst var opptatt av (snitt = 3,8–4,1 – se figur 3.14 ).
(Advokat, sak forlikt:) «Mekleren åpnet og førte ordet, det dempet tonen. Etter et resymé ga mekleren partene ordet – de var ikke opphisset da. Mekleren unngikk minefeltene.»

Figur 3-14 Gjennomsnittsskårer der 1 = «Slett ikke» og 5 = «Absolutt»
3.2.5 Meklers tydelighet
Hvor tydelig mekleren skal gi uttrykk for egne oppfatninger, er ett av de store diskusjonstemaene blant dem som er opptatt av rettsmeklingsinstituttet.
Figur 3.15 gjengir vurderinger av flere former for «tydelighet» fra meklers side.
Egne løsningsforslag
Den minst inngripende formen er å presentere egne løsningsforslag. Dette forekommer i en del tilfelle, men langt fra alle. Meklerne angir et noe større innslag av dette enn det parter og prosessfullmektiger gjør (snitt = 3,5 mot 3,2 og 3,0). Det er ikke unaturlig at oppfatningene kan avvike her, siden mye av meklingstiden benyttes i konfidensielle særmøter. Det kan kanskje også være ulike oppfatninger om hva som utgjør et «forslag»:
(Dommer:) «Jeg skisserer flere løsninger og viser hvilke valg de har. Jeg har aldri lagt frem bare ett forslag.»
(Dommer:) «Jeg påtar meg jo å bringe videre den ene parts forslag – motparten kan tro det er mitt.»
Fra «rimelig løsning» til domsprognose
At mekleren klargjør hva hun eller han betrakter som en rimelig løsning,er et kraftigere virkemiddel. Ganske mange av partene har oppfattet mekleren dithen (snitt = 3,3). Prosessfullmektigene og meklerne selv mener noe sjeldnere at dette skjedde (snitt = 2,9).
Meklerne selv mener at de noe oftere har klargjort for én eller begge parter at enkelte av deres påstander var svakt begrunnet(snitt = 3,2). Denne oppfatningen forekommer sjeldnere blant parter og prosessfullmektiger, men det kan skyldes at mekleren kan ha funnet grunn til å påpeke dette overfor bare én side. (Part, sak forlikt:) «Mekleren var dyktig – en problemløser. ‘Dere burde vel ha tenkt på dét før ...?’ – han appellerte til oss, på en grei måte. Han kom på banen da vi var nær ved å gi opp, tok tak i problemstillingene. En dyktig diplomat"»
(Advokat, sak ikke forlikt:) «Mekleren var veldig flink. En byrettsdommer bør være en aktiv mekler – ikke avgjøre saken, men si ‘dette vil dere få store problemer med’. Det er nyttig.»
(Advokat, sak forlikt:) «Mekleren var aktiv mht hvor løsningen burde ligge, etter å ha snakket med begge separat – ‘det vil nok ikke bli en løsning om ikke slikog- slik’, at begge parter måtte nærme seg. Men mekleren sa ikke dermed hva utfallet av en prosess ville bli, uttalte seg overhodet ikke om det, men hadde satt seg godt inn i saken og orienterte fortløpende om svake sider ved den enkelte parts kort. Jeg har tenkt på om mekleren dermed røper sitt syn, men jeg vet ikke riktig. Jeg er ikke blitt fortalt at jeg har en ‘god’ eller ‘dårlig’ sak. Det vil være greit om mekleren sier det når vi er i hvert vårt rom, men ikke i fellesmøte.»
(Advokat, sak forlikt:) «Mekleren bør være mer aktiv enn i vår sak" Mekleren bør tore å være litt åpen og dristig – ‘der skjønner jeg deg ikke helt, du står litt dårlig på dét punktet’.»
(Mekler, sak ikke forlikt:) «Jeg er opptatt av å få advokatene med i meklingen, ikke bare partene, slik noen mener. Her gjorde den ene advokaten klienten sin usikker. Jeg måtte ta litt igjen med ham, siden han kjørte så ensidig på jusen. Jeg sa: ‘Er du nå så sikker på det?’; måtte arrestere ham på noe"»
Det er en glidende overgang mellom bemerkninger til påstandene og den kraftigste inngripen fra mekleren: Å klargjøre hva hun eller han anser som et sannsynlig utfall ved hovedforhandling.Noen skiller klart mellom disse to typene bidrag:
(Dommer:) «Selv om man ikke gir et konkret råd, går det jo an å belyse de svake sidene ved saken i separate møter.»
(Dommer:) «Jeg har ikke store motforestillinger mot å gripe fatt i fragmenter av saken – ‘tror du egentlig på den argumentasjonen?’. Så svarer de ‘nei’.»
Andre skiller mellom klare og litt mer løselige prognoser:
(Dommer:) «Det skal jo være en mekling, ikke en domsavsigelse. Jeg kan si at ‘rettslig sett kan svaret ligge mellom der og der’.»
Ifølge prosessfullmektiger og meklere gis prognoser for utfall relativt sjelden(snitt = 2,0–2,1). Vi kan imidlertid konstatere at partene oftere erklærer at så har skjedd (snitt = 2,6).
Det er nærliggende å tolke denne forskjellen dithen at partene ikke skiller mellom påpekninger av svakheter på den ene side og en konklusjon eller domsprognose på den annen.Dersom det stemmer, bør meklere vurdere nøye hvordan deres veiledning blir fortolket av partene, og kanskje særlig dem med liten erfaring fra rettstvister og juridisk diskurs. Dette er desto viktigere fordi en domsprognose er et kraftig virkemiddel:
(Part, sak forlikt:) «Dommeren sa at ‘når det gjelder taket, vil jeg tro at du ikke kommer noen vei i en rettssak’. Når dommeren sier ‘Du har ikke en sterk sak i en rettssal’ ... jeg stoler på ham som fagmann da.»
Som også tallmaterialet viser, har partene og meklerne i flere tilfelle ganske ulike oppfatninger av hva mekleren har antydet om en eventuell dom. Følgende sitater stammer fra saker der mekleren mener at det ikkeble gitt noen signaler om utfall:
(Part, sak forlikt:) «Mekleren advarte mot konsekvensene av å ta saken videre; jeg fikk inntrykk av at han mente at hvis han skulle dømt, ville jeg tapt. Da har han spart meg for mye utgifter.[«Var dét avgjørende for at du aksepterte et forlik?»] Ja, ja. Jeg var innstilt på å kjøre saken til ende, forsøke å få tak i vitner ... men jeg sitter for så vidt igjen med glede over behandlingen. Mekleren var meget sympatisk. Jeg er rimelig fornøyd, men vel å merke om jeg fikk et korrekt inntrykk av at jeg ville ende med å tape saken.»
(Part, sak forlikt:) «Mekleren rådet oss for så vidt i særmøter. Jeg trodde mekleren skulle være nøytral og ikke si noe? Mekleren mente vi burde gjøre sånn-og-sånn, vi tenkte vi skulle avslå – og så kom motparten og godtok vårt tilbud. Gudskjelov at vi ikke fulgte dommeren"»
Intervjuene har også avdekket et par saker der begge prosessfullmektiger mener dommeren gjorde det meget klart at den ene parten lå svært dårlig an, men hvor parten selv oppfattet meklerens odds som 50/50. Partene tolker åpenbart utsagn fra en dommer i retninger som mekleren har vanskelig for å forutse.
Press
Meklere kan ty til flere virkemidler for å legge presspå partene for å inngå forlik. Ett av virkemidlene er å klargjøre hva det vil kosteå forfølge saken gjennom hovedforhandling. Som vi allerede har fått antydet, benyttes dette ikke sjelden (snitt = 2,8–2,9 for parter og prosessfullmektiger og 3,4 for meklere). Skal vi dømme etter partenes svar, legger meklere mer kraft i å understreke kostnadene ved en hovedforhandling overfor parter uten erfaring med rettstvister tidligere (snitt = 3,6 mot 3,0–3,2 for parter med slik erfaring).
Deltagerne er også stilt et generelt spørsmål om eventuelt pressfra meklerens side. Dette ser ikke ut til å være noe dominerende innslag ved rettsmekling. Faktisk angir meklerne selv noe oftere at dette har skjedd enn det parter og prosessfullmektiger gjør (snitt = 2,5 mot 2,2–2,3). Parter uten erfaring med rettstvister angir imidlertid oftere at mekleren la press på dem for å inngå forlik (snitt = 2,4 mot 2,1–2,0) – men selv disse skårer altså noe lavere enn hva meklerne selv gjør når det gjelder press.
De følgende uttalelser er ganske representative for partenes synspunkter:
(Part, sak ikke forlikt:) «Mekleren kom tilbake med et tilbud som vi diskuterte. Vi ble ikkeutsatt for press, heller ikke tidspress. Mekleren sa at ‘dere trenger ikke bestemme dere her og nå, gå hjem og vurder tilbudet’.»
(Part, sak forlikt:) «Han presset jo, jeg måtte skissere og forklare, han sa ‘Hvorfor påstår du det?’. Men det var en så positiv og rolig tone"»
(Part, sak forlikt:) «Mekleren skjønte at vi var kommet langt, og klargjorde at det ville koste skjorta å gå til retten, og ta måneder og år" Det så jeg ingen grunn til. [«Opplevde du det som et press?»] Nei – ryddig og greit. Mekleren signaliserte nok at ‘dette bør dere finne ut av’.»
Enkelte opplever eventuelle utspill fra mekler som langt sterkere:
(Part, sak forlikt:) «Det virket som en trussel.»
Prosessfullmektigene forteller oftest om ganske mildt press –
(Advokat, sak forlikt:) «Jeg synes å huske at det vippet, at det var tvil om det var noen vits i å fortsette. Dommeren sa ‘neivel, da får vi gå videre til hovedforhandling’. Dét er jo også en form for press.»
(Advokat, sak forlikt:) «I denne saken klargjorde mekleren hvor vi måtte gå for å få til et forlik, men markerte ikke at han personlig ønsket et forlik. I andre saker har mekleren sagt at ‘nå står dere så nær hverandre at det er meningsløst om dere ikke finner en løsning"’. – Mekleren bør ikke presse, bare skissere løsningsalternativer.»
– men en sjelden gang benyttes øyensynlig kraftigere virkemidler:
(Advokat:) «For en tid tilbake var det en mekler som presset: ‘Hvis dere ikke blir enige nå, blir dommeren som skal overta saken, sur’.»

Figur 3-15 Gjennomsnittsskårer der 1 = «Slett ikke» og 5 = «Absolutt»
Effekten av tydelighet
Respondentene er også spurt om løsningsforslag, press og domsprognose fra meklers side var et positivt eller negativt bidrag til meklingen. Som figur 3.16 viser, blir løsningsforslagvurdert som et positivt bidrag av de fleste (snitt = 3,8–4,1).

Figur 3-16 Gjennomsnittsskårer der 1 = «Svært negativt» og 5 = «Svært positivt»
Unntak forekommer:
(Advokat, sak forlikt:) «Dette er den første rettsmeklingen jeg har vært med på som ikke gikk så veldig bra. Dommeren var rask i tanken, men grep inn for tidlig. Mekleren hadde gjort seg opp en mening om hvor det burde ende, og begynte med tall. Det ga motparten blod på tann, det ble kverulering og meklingen gikk i stå.»
Pressblir også positivt vurdert i gjennomsnitt (=3,4–3,5), men her er flere av en annen oppfatning. Som vi skal se i avsnitt 5.1 (s 87), later press til å være mer fremtredende i forlikte saker enn i saker som ikke forlikes.
Meklerne stiller seg oftest negativt til press som virkemiddel:
(Dommer:) «Vi er ikke her for å slippe å skrive dom, men for å få et rettferdig resultat.»
(Dommer:) «Press? ... Det er jo egentlig uakseptabelt – men jeg kan oppmuntredem" Folk sier jo ofte at ‘rettssaken var en svær belastning’, ‘jeg ville ikke fullført løpet om jeg hadde visst hvor ille det var’. Jeg ville ikke like det om noen følte seg presset, da måtte jeg revurdere formen min.»
(Dommer:) «Det mest problematiske er rettsmeklinger der en part åpenbart har rett. Jeg pleier ikke plukke ut slike til rettsmekling, men det hender. Da presser jeg ikke særlig hardt på den part som står sterkest, men hører om han ikke vil gi litt.Jeg presser heller ikke motparten, for ved forlik må partene dele saksomkostningene.»
Det største spriket i vurdering finner vi når det gjelder domsprognose. Her er meklerne selv mest i tvil om intervensjonen virket positivt eller negativt (snitt = 3,1). Prosessfullmektigene og særlig partene ser oftere positivt på dette (snitt = 3,4–3,5). Som vi så ovenfor, mener også partene oftere at mekleren faktisk harantydet hvordan saken vil falle ut i rettssalen. Når vi sammenholder disse funnene, ligger det nær å anta at parter er på utkikk etter «dommerens vurdering»,og ser seg tjent med å inngå et forlik langs disse linjer så fort de mener å ha registrert en prognose.
Spørsmålet om hvorvidt meklere bør gi domsprognoser, drøftes nærmere i avsnitt 7.2 (s 116).
3.2.6 Konfidensialitet og taushetsplikt
Iflg forskriften har både rettsmekleren, partene og prosessfullmektigene taushetsplikt tilsvarende tvistemålslovens § 284 for det de blir kjent med under rettsmeklingen.
Siktemålet med taushetsplikten er iflg forarbeidene å blokkere bruk av opplysninger om tilbud og innrømmelser ved en senere hovedforhandling. I tillegg praktiseres det taushet for det som blir sagt i særmøter mellom mekler og hver side, med mindre annet avtales. Det praktiseres også taushet mellom mekleren og overtagende dommer dersom saken går videre til hovedforhandling (se avsnitt 5.3, s 95 vedrørende dette).
At ingen av partene kan påberope seg utspill under meklingen senere, er utvilsomt av avgjørende betydning for at rettsmekling kan fungere som ordning:
(Advokat:) «Det er ryddig her, under hovedforhandling dolker ingen den andre i ryggen med forslag fra meklingen. Da ville ordningen falle sammen.»
I noen utstrekning kan nok bestemmelsen omgås:
(Advokat, sak ikke forlikt:) «Vi har gjentatt tilbudet fra rettsmeklingen skriftlig til motparten – det er et taktisk grep, for å vise i retten at vi har strukket oss, med tanke på tilkjenning av saksomkostninger.»
Det har også vært reist spørsmål ved tilrådeligheten i å pålegge partene en ubegrenset taushetsplikt for alt som er skjedd under rettsmeklingen. Evaluator vil bemerke at en neppe kan regne med at parter vil forstå behovet for å bevare slik taushet når en rettskraftig avgjørelse foreligger, med – i beste fall – unntak av anledninger hvor taushet er avtalt som en betingelse for forliket. Det kan være betenkelig å ha en bestemmelse som neppe etterleves.
3.3 Utfallet
3.3.1 Flere forlik?
Ett av suksesskriteriene for rettsmeklingsordningen er at den fører til flere forlik.Til evalueringen er det innhentet både harddata – dvs domstolenes forretningsstatistikk – og subjektive oppfatninger blant meklere og advokater.
Det følgende sitat er ganske representativt for oppfatningene blant advokater og dommere:
(Advokat:) «Rettsmekling har puffet flere saker fram mot en løsning enn det vi så tidligere. Det går et lys opp for partene etter partsforklaringene" De ser at katter ikke er svarte eller hvite, og da øker lysten på en løsning. Ofte krever det psykologiske klimaet en stevning og et tilsvar, og at de får lov til å pra te litt.De kan også ha godt av å kjenne at det er en påkjenning å være i retten.»
Det er imidlertid ikke gitt at slike subjektive inntrykk stemmer med de harde fakta. At en stor andel av rettsmeklingene ender med forlik, betyr ikke uten videre at den totale forliksprosenten i sivile saker øker, eller at rettsmekling har bidratt til en eventuell økning. En holdbar konklusjon krever nøye analyse av statistiske data.
Ved behandlingen av de statistiske dataene er noen av analysene utført på det samlede materiale fra alle prøvedomstolene. For å få sammenlignbare tall har noen analyser bare benyttet data fra de seks domstolene som kom med i forsøket fra og med 1997.
Utvikling i forliksprosent i de seks 1997-domstolene
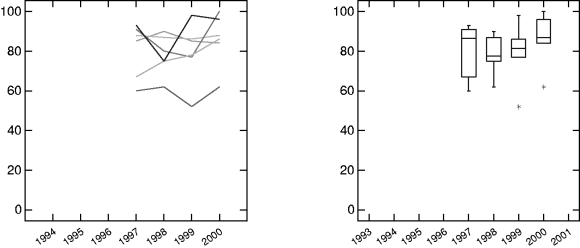
Figur 3.17 viser utviklingen i saksantall, antall saker forlikt og forliksprosent ved rettsmekling i de seks 1997-domstolene. Som stolpene viser, har antall saker til rettsmekling økt jevnt fra rundt 130 i 1997 til vel 270 i 2000, og antall forlik har økt i samme takt. Som linjen viser, har forliksprosenten ligget stabilt rundt 82–84 % i hele perioden.

Figur 3-17 Utvikling i antall, antall forlik og forliksprosent for rettsmeklede saker for 6 domstoler. Antall = stolper (venstre akse), forliksprosent = linie (høyre akse).
Linjediagrammet til venstre i figur 3.18 viser utviklingen i forliksprosent for hver av de seks domstolene. Som vi ser, er utviklingen ganske ulik. Noen domstoler ligger flatt, andre har svingt noe. Spennet i forliksprosent går fra drøyt 50 % til 100 %. Én av domstolene ligger betraktelig under gjennomsnittet i hele perioden. Ikke uventet er dét Agder lagmannsrett, den eneste anneninstansdomstolen som har deltatt i forsøksordningen. Som vi senere skal komme tilbake til, er utgangspunktet for rettsmekling annerledes i annen instans. En part som vant i by- eller herredsrett vil gjerne være mindre innstilt på forliksforhandlinger før behandling i ankedomstolen.
Spredning og middelverdi for forliksprosent er oppsummert i boksdiagrammet til høyre i figuren. Vi ser bl a at spredningen i forliksprosent var særlig stor i 1994.

Figur 3-18 Utvikling i forliksprosent i rettsmeklede saker for de seks 1997- domstolene. Linjediagram til venstre = utvikling pr domstol. Boksdiagram til høyre = median og spredning for samtlige 1997-domstoler.
En gjennomsnittlig forliksprosent rundt 80 % er meget høyt. Et svært interessant spørsmål er så om rettsmeklingsforsøket har ført til en generell økning i antall forlik, eller om den høye forliksprosenten i rettsmeklingssaker har gått på bekostning av antall forlik i andre sivile saker. I verste fall kan en tenke seg at en rettsmeklingsordning fører til reduksjoni antall forlik, fordi dommere unnlater å oppfordre til forliksforhandlinger i saker som ikke ble vurdert som aktuelle for rettsmekling.
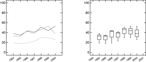
Figur 3.19 viser at de seks domstolenes gjennomsnittlige forliksprosent for sivile saker lå i området 33–38 i de tre årene før forsøket ble igangsatt, mens den i forsøksperioden har ligget mellom 39 og 43. Forskjellen ligger i snitt rundt 5 % pr år. Denne positive utviklingsgangen er statistisk utsagnskraftig, også når vi kontrollerer for svingninger i saksmengde. Vi kan likevel ikke fastslå at rettsmeklingsforsøket har bidratt til å øke den totale andel forlik i sivile saker før vi har kontrollert for andre forhold. Vi kommer tilbake til dette etter et nærmere blikk på utviklingstrekk for sivile saker generelt og rettsmeklede saker spesielt.

Figur 3-19 Utvikling i antall, antall forlik og forliksprosent forsivile saker for 6 domstoler. Antall = stolper (venstre akse), forliksprosent = linie (høyre akse).
Linjediagrammet til venstre i figur 3.20 viser utviklingen i forliksprosent for sivile saker i hver av de seks 1997-domstolene. Det er en tendens til stigning hos de fleste, men for flere av domstolene svinger forliksprosenten ganske meget fra år til år. Boksdiagrammet til høyre i figuren viser bl a at spredningen i forliksprosent var spesielt stor i 1999.

Figur 3-20 Utvikling i forliksprosent i sivile saker for de seks 1997- domstolene. Linjediagram til venstre = utvikling pr domstol. Boksdiagram til høyre = median og spredning for samtlige 1997-domstoler.
Figur 3.21 gir en tilsvarende fremstilling av utviklingen i forliksprosent for tre av de fire domstolene som er kommet med i forsøket etter hvert (i praksis i 1999 og 2000). Som det fremgår, er det også for disse en tendens til økt forliksprosent i perioden 1994–2000. En statistisk test viser imidlertid at tendensen ikke er statistisk utsagnskraftig.

Figur 3-21 Utvikling i forliksprosent i sivile saker for tre domstoler som kom med i rettsmeklingsforsøket i 1999-2000. Linjediagram til venstre = utvikling pr domstol. Boksdiagram til høyre = median og spredning for samtlige tre domstoler.
Utviklingen i domstoler av spesiell interesse
Det er av spesiell interesse å se på utviklingen i Agder lagmannsrett,siden dette er den eneste domstol i annen instans som har deltatt i forsøket. Figur 3.22 tyder på at forliksprosenten har økt noe i løpet av perioden, og at utviklingen er uberørt av svingninger i saksomfanget. Endringen er imidlertid ikke statistisk utsagnskraftig.

Figur 3-22 Utvikling i antall, antall forlik og forliksprosent for sivile saker for Agder lagmannsrett. Antall = stolper (venstre akse), forliksprosent = linie (høyre akse).
Oslo skifterett er i en særstilling i kraft av sitt saksfelt. Som figur 3.23 viser, er det en tendens mot økende forliksprosent fra 1994–2000. Tendensen er imidlertid ikke statistisk utsagnskraftig – heller ikke når det kontrolleres for total saksmengde.
Oslo byretter også av spesiell interesse, siden dette er en stor domstol med en svær andel av totaltallet for sivile saker og rettsmeklede saker. Oslo byrett er ikke med blant de seks 1997-domstolene, og tidsserien etter at den kom med i forsøksordningen er for kort til at det er mulig å trekke noen konklusjoner om utviklingstrekk. Oslo byrett ser ut til å hatt en viss nedgang i antall forlik i 1999–2000, men denne utviklingsnedgangen er ikke statistisk utsagnskraftig (figur 3.24).

Figur 3-23 Utvikling i antall, antall forlik og forliksprosent for sivile saker for Oslo skifterett. Antall = stolper (venstre akse), forliksprosent = linie (høyre akse).

Figur 3-24 Utvikling i antall, antall forlik og forliksprosent for sivile saker for Oslo byrett. Antall = stolper (venstre akse), forliksprosent = linie (høyre akse).
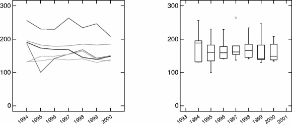
«Overtar» rettsmekling forlik fra familiesaker?
Det har vært påpekt at rettsmeklingsforsøket kanskje ville «overta» mange familiesaker, der mange domstoler har arbeidet frem en høy andel innenfor de ordinære prosessordninger. Figur 3.25 viser utviklingen for familiesaker for de seks 1997-domstolene. I disse sakene har forliksprosenten svingt rundt 50, med 44 som det laveste og 58 som det høyeste. Det kan ikke påvises noen systematisk utvikling i nivåetgjennom kontroll- og forsøksperioden. (En beregning viser imidlertid en ganske klar tendens til at forliksprosenten i familiesaker faller når antall familiesaker øker.)

Figur 3-25 – Utvikling i antall, antall forlik og forliksprosent for sivile saker for 6 domstoler. Antall = stolper (venstre akse), forliksprosent = linie (høyre akse).
Oppsummering og vurdering
Figur 3.26 og 3.27 oppsummerer utviklingen i forliksprosent for rettsmeklede saker, familiesaker og sivile saker totalt for de seks 1997-domstolene. Av figur 3.26 går det tydelig frem at forliksandelen ved rettsmekling ligger langt høyere enn for familiesaker og for sivile saker totalt.

Figur 3-26 Forliksprosent pr år i sivile saker, rettsmeklede saker og familiesaker. Prosentandeler for alle saker i de 6 1997-domstolene.
I figur 3.27 er forliksprosenten i sivile saker sett under ettfremstilt som blå stolper. Som vi så ovenfor, er forliksprosenten økt fra 38 i 1994 via 42 i 1997 til 43 i 2000. Det er tilføyd en regresjonslinje som tydeliggjør at det har vært en positiv utvikling i denne perioden.
De røde søylene i figur 3.27 (dvs de små til venstre for totalsøylene) fremstiller forlik i familiesakersom prosentandel av alle sivile saker.Denne andelen er 5 % i 1994, og ligger konstant mellom 4 og 6 % i hele perioden.
De gulesøylene i figuren (de små til høyre for totalsøylene) gjelder rettsmeklingsforliki prosent av alle sivile saker.Denne andelen stiger fra 8 i 1997 til 16 i 2000. Vi har allerede konstatert at forliksprosenten i rettsmeklede saker har ligget konstant på temmelig nøyaktig 83 % mellom 1997 og 2000. Økningen i figur 3.27 skyldes altså ikke at forliksprosenten i rettsmeklede saker er økt mellom 1997 og 2000, men at en stadig større andel av de sivile sakene overføres til rettsmekling.

Figur 3-27 Utvikling i forliksprosent i sivile saker, familiesaker og rettsmeklede saker for 6 domstoler (stolper). Regresjonslinje viser utviklingstendens for sivile saker.
Vi fastslo ovenfor (s 52) at den årlige forliksprosent i de seks domstolene har økt med omlag 5 prosentenheter etter at rettsmeklingsforsøket begynte Spørsmålet er så om rettsmeklingsforsøket kan antas å ha forårsaket denne økningen.
Dette spørsmålet er det prinsippielt umulig å gi et sikkert svarpå. Tallmaterialet gir imidlertid grunnlag for noen tolkninger.
Økningen kan i prinsippet skyldes andre forhold. Som nevnt er det også blant de domstolene som kom med i rettsmeklingsforsøket de siste par årene, en (svak) oppadgående tendens i forliksprosent i sivile saker. Det er for så vidt tenkelig at utviklingen mot flere forlik skyldes andre forhold i eller utenfor domstolene, f eks en generelt økt interesse blant dommere, advokater og/ eller klienter for å søke forlik fremfor dom.. Figur 3.21 viser imidlertid at to av de tre «pulje 2»-domstolene har en nedgang i total forliksprosent i 2000. De første seks domstolene har en statistisk påviselig klarere økning i forliksprosent enn de øvrige. Det tyder på at rettsmeklingsforsøket har hatt en positiv innvirkning på den totale forliksprosenteni de seks domstolene.
Figur 3.27 viser imidlertid at økningen i total forliksprosent (fra 37 i 1995 til 43 i 2000) er betraktelig lavere enn økningen i forlik via rettsmekling (fra 0 % av totalt antall saker i 1996 til 16 % i 2000). At en økende prosentandel av de sivile sakene forlikes gjennom rettsmekling, er altså ikke en ren nettogevinst, men iallfall delvis en følge av at saker som ligger godt til rette for forlik og som tidligere ble forlikt gjennom tradisjonelle forhandlinger, nå overføres til rettsmekling– og i stadig økende grad.
Endelig viser figur 3.27 og 28 med tilhørende beregninger at rettsmeklingsforsøket ikke har medført noen endring i forlik i familiesaker totalt– verken i positiv eller negativ retning.
3.3.2 En mindre påkjenning enn en rettssak?
Unngår publisitet?
Som tidligere nevnt (avsnitt 2.1, s 30) er publisitet av underordnet betydning for de fleste parter når de tar stilling til om de vil samtykke til rettsmekling. Svarfordelingen fremgår av tabell 3.2 nedenfor. Det er ingen påviselige forskjell i svarmønster mellom privatpersoner og næringsdrivende.
Tabell 3.2 «Mindre publisitet» som grunn til å samtykke til rettsmekling Prosent blant partene som angir det svaralternativ som er oppgitt øverst
| 1= Ikke viktig | 2 | 3 | 4 | 5 = Viktig grunn | Sum |
|---|---|---|---|---|---|
| 42 | 10 | 18 | 11 | 19 | 100 |
Selv om flertallet ikke er så opptatt av publisitetsrisikoen, er det et relativt stort mindretall – 19 pluss 11 % – som setter pris på denne gevinsten ved rettsmekling.
Mindre total påkjenning?
For mange er en rettstvist noe de kommer opp i én eller noen få ganger i livet, og som gjør dypt inntrykk. Rettsmekling er antatt å være en mindre belastende opplevelse. Denne antagelsen bekreftes fullt ut i materialet. Som tabell 3.3 viser, angir et formidabelt flertall at «meklingen var en mindre stressende situasjon enn en rettssak». Bare 5 % mener det motsatte. Snittskåren er så høy som 4,4 (se figur 3.42 i avsnitt 6.4, s 105).
Tabell 3.3 «Meklingen var en mindre stressende situasjon enn en rettssak» Prosent blant partene som angir det svaralternativ som er oppgitt øverst
| 1= Slett ikke | 2 | 3 | 4 | 5 = Absolutt | Sum |
|---|---|---|---|---|---|
| 3 | 2 | 10 | 21 | 64 | 100 |
3.3.3 Mer kreativ konfliktløsning?
En antatt fordel ved rettsmekling er at denne konfliktløsningsformen gir anledning til å finne kreative løsninger på tvers av de standpunkter partene møter med. I beste fall kan en meklingsløsning forene partenes interesser, kanskje gjennom å bringe inn forhold som ligger utenfor partenes påstander.
Dette har nok forekommer i forsøksperioden, men neppe regelmessig. Riktignok har vi allerede sett (s 41, jvf figur 3.14 ) at mekleren som oftest får frem hva begge parter først og fremst er opptatt av (snitt = 3,9–4,1). Men relativt få parter angir at det ble brakt inn nye spørsmål eller personer, eller at meklingen førte til «løsninger vi ikke hadde tenkt på tidligere» (snitt = 1,9 – se figur 3.28 ). Partene mener i noe større grad at meklingen førte til «løsninger vi ikke kunne oppnådd ved dom» (snitt = 2,4). Prosessfullmektiger og særlig meklerne er noe mer tilbøyelige til å si seg enige i dette utsagnet (snitt = 2,6 og 2,9).

Figur 3-28 Gjennomsnittsskårer der 1 = «Slett ikke» og 5 = «Absolutt»
Under intervjuene har noen få deltagere fortalt om gjennombruddsløsninger:
(Part, sak forlikt:) «Vi hadde tenkt på denne løsningen, men vet ikke om jeg ville foreslått det. Det kunne blitt et poeng for motparten under rettssaken. Så vi holdt det for oss selv. Dette ble løst på en veldig positiv måte" Vi fikk et forlik før saken istedenfor underveis, som det ofte blir.»
(Advokat, sak forlikt:) «Det ble en løsning først og fremst fordi vi begynte å tenke kreativt. Vi fikk slått sammen økonomisk og ikke-økonomisk erstatning og fikk inn en avtaleklausul. Jeg tror jeg sa noe som skapte muligheten, men mekleren grep tak i det og fikk meg til å legge mer vekt på en kombinasjonsløsning enn det jeg hadde tenkt. Vi ville nok ikke fått et slikt resultat ved dom, men da ville vi nok fått en større erstatning.»
(Advokat, sak forlikt:) «Dette var en spesiell sak – vi kom til en helt annen løsning enn påstanden" Det er mye av begrunnelsen for rettsmekling, at en kan få en bedre løsning for alle parter.»
Men de følgende utsagn er mest representative:
(Advokat:) «Kreative løsninger? Jeg har egentlig ikke erfart det. Én gang forsøkte vi å trekke inn konflikter utenfor saken for å få en totalløsning, så de skulle bli ferdig med hverandre.»
(Advokat:) «Det er sjelden vi kommer ut med helt nye løsninger. Det kan like gjerne skyldes parter og prosessfullmektiger, at vi ikke bruker mulighetene.»
(Dommer:) «Det skjer ikke så ofte at vi får et forlik som ligger utenfor påstandene, men det er inspirerende da" Vi kan ta høyde for hvordan en løsning skal gjennomføres, så det blir realistisk. For å unngå tvangsinnfordring har jeg gått med partene til banken og gjort opp på stedet – under rettsmeklingen.»
(Dommer:) «Jeg prøvde meg med en ‘kreativ løsning’ i én sak med to skikkelige kamphaner – begge bet nesten hodet av meg" Jeg hadde forlest meg på meklingsteori; forsøkte å trekke inn et utenforliggende forhold.»
3.3.4 Rimelig utfall?
Det er et vanlig munnhell at «et godt forlik er ett som ingen av partene er tilfreds med». På den annen side vil misnøye med forliket kunne prege hele opplevelsen av rettsmeklingen – i verste fall slik at parten meklingen opplever som et overgrep.
Hvem strakk seg lengst?
Figur 3.29 viser hva meklerne og prosessfullmektigene mener om hvem som strakk seg lengst under meklingen. Som vi ser, mener meklerne oftest at det ikke var noen skjevhet (47 %). Bare i 13 % av sakene mener meklerne at enten saksøker eller saksøkte strakk seg «absolutt lengst». Prosessfullmektigene mener oftere at én part strakk seg – bare rundt 30 % angir at det ikke var noen skjevhet. I like mange tilfelle mener prosessfullmektigene at det var en markert skjevhet. Som oftest angir advokatene at saksøker strakk seg lengst (i 44 % av sakene iflg saksøkers advokat, og i 59 % av sakene iflg saksøktes advokat).
Én mellomfornøyd part uttrykker seg slik:
(Part, sak forlikt:) «Jeg må få si en ting, etter å ha prøvd mange advokater: De er bare interessert i minste motstands vei. ‘La oss komme til en ordning’ ... dommerne óg, det er en slags klubb. Min advokat var såsvak, jeg måtte føre saken selv, han bare satt der.»

Figur 3-29 Prosentvis fordeling av svar på 5 alternativer, der 1 og 5 angir at én part strakk seg «absolutt lengst»
Lå forliket nær partenes påstander?
Meklere og prosessfullmektiger har mer sammenfallende synspunkter når spørsmålet stilles litt annerledes. Figur 3.30 viser hvordan de vurderer forliket opp mot partenes påstander. Her gir meklerne ekstremskårer (1 eller 5) i rundt 15 % av sakene, mens prosessfullmektigene skårer ekstremt i rundt 20 % av sakene.
Prosessfullmektigene har en tendens til å se forliket som en seier. Advokater som representerte saksøkere mener oftere at forliket lå nær saksøkers påstand, og vice versa (snitt = 3,3 mot 2,6 samt 2,5 mot 2,9).

Figur 3-30 Prosentvis fordeling av svar på 5 alternativer, der 1 = «Slett ikke» og 5 = «Absolutt»
Var forliket rimelig?
Parter og prosessfullmektiger i saker som ble forlikt, er bedt om å angi om de syntes forliket var rimelig eller urimelig. Som figur 3.31 viser, mener litt over 50 % av saksøkerne og litt under 50 % av de saksøkte at forliket var «ganske» eller «absolutt» rimelig. Henholdsvis 36 og 45 % fant utfallet «litt» urimelig, mens bare 11 % mener utfallet var «svært» urimelig. Blant prosessfullmektigene er andelen som finner utfallet svært urimelig, bagatellmessig.
En bør jo også kunne regne med at en prosessfullmektig fraråder sin klient å akseptere en svært urimelig forliksavtale. Over tre fjerdedeler av forlikene er «ganske» eller «absolutt» rimelige i prosessfullmektigenes øyne.

Figur 3-31 Prosentvis fordeling av svar på 4 alternativer, der 1 = «Svært urimelig» og 4 = «Absolutt rimelig»
De følgende uttalelser tyder vel på rimelige utfall:
(Part, sak forlikt:) «Jeg synes jeg gikk seirende ut" Men motparten så fornøyd ut óg.»
(Part, sak forlikt:) «Hvis man går med på rettsmekling, er man klar over at man ikke får 100 %. Jeg er høvelig fornøyd. Jeg er den typen som ikke bruker mer tid på det jeg bestemmer meg for».
(Part, sak forlikt:) «Jeg føler jo nå et press mht å følge opp det vi ble enige om. Det ville være flaut ellers. Jeg har påtatt meg mer enn jeg burde, men måtte jo gi noe jeg óg.»
(Part, sak forlikt:) «Motparten kjørte ut med et svært krav, det påvirket resultatet for mye. Det ble et stort beløp" Jeg er egentlig imot å punge ut med så mye fra boet. Men det blir vel sjelden forlik der begge parter er fornøyd? Jeg er fornøyd med at det er i havn.»
(Advokat, sak forlikt:) «Man er jo gjerne litt misfornøyd – man skalvære det etter et forlik" Jeg har inntrykk av at klienten aksepterte løsningen.»
(Advokat, sak forlikt:) «Vi fikk et bedre utfall enn jeg hadde kalkulert med; jeg tror min klient ville vært villig til å gå lenger ned.»
Enkelte ganger står imidlertid saken egentlig om noe annetenn det forliksforhandlingene dreier seg om:
(Part, sak forlikt:) «Det er greit nok at jeg har fått pengene, men jeg har ikke fått noen unnskyldning" Ingen innrømmelser, ingen forståelse for det jeg gjorde. Rettstvisten begynte med at jeg ba sjefen om en samtale, men han stolte helt på mellomlederen – jeg fikk sparken uten å få forklart meg" Hadde jeg fått snakke med ham, og så sparken, hadde det vært greit.»
(Part, sak ikke forlikt:) [«Ville du foretrukket et kompromiss under meklingen framfor seier i rettssalen?»] «Vet ikke ... beskyldningene er verst. Det viktigste er å bli trodd.»
At partene er mindre tilfreds med forlikene enn det prosessfullmektigene er, må langt på vei kunne forklares med at de er mer engasjert og har mindre realistiske forestillinger om hvor sterkt saken deres sto og hva som kunne vært oppnådd gjennom en hovedforhandling. Det kan imidlertid også hende at prosessfullmektigene har et visst behov for å mene at de har bistått klienten frem til et rimelig forlik. Meklerne kan ha det samme behovet. Det er dermed ikke mulig å finne noe objektivt mål på rimeligheten i forlikene. Samlet tyder vel resultatene på at rettsmekling som oftest resulterer i ganske rimelige forlik.
Meklerens «forliksfilosofi»
Alle dommere med erfaring fra rettsmekling er spurt om å angi hvilke hensyn de legger vekt på når de fremsetter egne løsningsforslag. Det alternativ som fikk størst oppslutning, var «en rimelig løsning» (snitt = 4,3 – se figur 3.32 ). Dernest fulgte «den løsning det er lettest å oppnå enighet om» og «sannsynlig utfall i retten». Ifølge meklerne legger de minst vekt på «å få partene til å møtes på halvveien» (snitt = 2,1).
Det kan kanskje virke som om flere av disse alternativene uttrykker omtrent det samme. En statistisk analyse viser at det ikke er tilfellet. Figur 3.33 viser at de fire hensynene plasserer seg forskjellig i forhold til to akser – én som kan se ut til å dreie seg om hva som er «rett», og én som kanskje gjelder hva som er «praktisk». De to hensynene som betones oftest– rimelighet og hva som er lettest å oppnå – befinner seg ganske langt fra hverandre i aksekartet. Det er faktisk en svak tendens til at meklere som legger stor vekt på ett av disse hensynene, legger desto mindre vekt på det andre.

Figur 3-32 Gjennomsnitt der 1 = «Ingen vekt» og 5 = «Stor vekt». Meklernes svar (N=102).

Figur 3-33 Ulike hensyn bak meklernes løsningsforslag plassert i forhold til aksene «rett» og «praktisk»
3.3.5 Bedre forhold mellom partene?
Ett av de viktigste siktemålene med rettsmekling er å øke forståelsen mellom partene og gjøre det lettere for dem å forholde seg konstruktivt til hverandre senere – motsatt av hva som ofte er tilfellet etter en kontradiktorisk rettssak.
Det hender at rettsmeklingen bidrar til økt forståelse:
(Part, sak forlikt:) «Sammenlignet med en rettssal, kom begge ut med løftet hode.»
(Advokat, sak forlikt:) «Jeg tror meklingen klaret opp misforståelser på en grei måte. Slik er det ofte, med underliggende ting en ikke får forklart skriftlig – eller under hovedforhandling. F eks årsaker til at en ikke har fulgt opp en avtale, praktiske problemer osv.»
(Advokat, sak forlikt:) «Min klient følte seg skviset og lurt. Han fikk nok noe forståelse av at det ikke lå slike motiver bak disposisjonene – at motparten ikke er skurker. Forståelsen av at verden ikke er sort/hvitt er grunnen til at det blir løsninger.»
Men som tabell 3.4 viser, mener partene som oftest at rettsmeklingen ikkebidro til at de selv fikk større forståelse for motparten. Bare 20 % erklærer at de fikk litt eller klart bedre forståelse. De er noe mer tilbøyelige til å mene at den annen part har fått større forståelse for deressituasjon. Dette ser altså ut til å være ren ønsketenkning i de fleste tilfelle. Følgende bramfrie utsagn er nok treffende i svært mange tilfelle:
(Advokat, sak forlikt:) «Begge syntes den andre er en drittsekk, og det mener de fortsatt.»
Tabell 3.4 Endring i forståelse mellom partene. Prosent som angir det svaralternativ som er oppgitt øverst
| Mer uforsonlig | Ingen endring | Litt bedre | Klart bedre | Sum | |
|---|---|---|---|---|---|
| Motparten | 5 | 59 | 26 | 9 | 99 |
| Jeg selv | 7 | 73 | 16 | 4 | 100 |
Partene er også spurt om hvordan rettsmeklingen har påvirket forholdet mellom respondenten og motparten for fremtiden,dersom disse skal ha kontakt med hverandre senere. 65 % mener at «forholdet er som før», 20 % at forholdet er litt forbedret og 5 % at det er klart forbedret. 10 % angir at forholdet er forverret.
(Part, sak forlikt:) [«Forholdet er ikke forbedret?»] «Vi kunne prate før óg. Vi fikk en grei løsning gjennom rettsmeklingen, og har et greit forhold nå.»
(Part, sak forlikt:) « Det har ikke vært noe problem for meg å møte ham på gata før heller, men han har veket unna meg.»
(Part, sak forlikt:) «Jeg gikk egentlig litt blidere ut, men det var først da jeg så hvor uforsonlig motparten ble"»
Prosessfullmektigene og særlig meklerne ser litt, men ikke meget, lysere på utviklingen i forståelse og forhold mellom partene. Som figur 3.34 viser, ligger deres snittskårer rundt 2,4–2,6, mot 2,2–2,3 for partene.

Figur 3-34 Gjennomsnittsskårer der 1 = «Forverret» og 4 = «Sterkt forbedret»
(Mekler, sak forlikt:) «Det var en kjempefin tone" Det viste seg i fellesmøtet at mye var uklart og at begge hadde gode grunner til å stå på sitt standpunkt.
Utfra brevvekslingen på forhånd trodde jeg de virkeligvar i tottene på hverandre.»
(Dommer:) «Det blir ofte en gemyttlig tone i avslutningen, de er lettet når de signerer. Men det er sjelden noen storforskjell i forståelse mellom partene.»
Enkelte prosessfullmektiger og meklere kan imidlertid fortelle om meklingsmøter der forargelsen øker:
(Advokat, sak ikke forlikt:) «De ble mer uforsonlige. Vi ble veldig overrasket over deres tilbud, at vi sto sålangt fra hverandre.»
(Advokat, sak forlikt): «Forliket satt langtinne. Til slutt var gapet lite, og mekleren sa at ‘nå bør vi dele’. Da ble motparten veldig opphisset, mer enn noen gang. Han forsvant etterpå. Så meklingen roet ikkened sinnene.»
(Advokat, sak ikke forlikt:) «Klienten syntes motparten appellerte for mye for å få mekleren over på sin side. Klienten kjente seg heller ikke igjen i motpartens historie – ble skikkelig sur over hvordan saken ble fremlagt.»
(Advokat, sak forlikt:) «Det var kjefting over bordet. Partene håndhilste ikke på hverandre da de gikk. Det er spesielt.»
Alt i alt må vi konkludere med at rettsmeklingen sjelden har lykkes med å bedre relasjonen mellom partene, men forholdet er i det minste sjelden blitt forverret. Det er trolig et bedre utfall enn hva en vil finne etter hovedforhandling.
3.4 Produktiviteten
3.4.1 Tidligere avslutning?
Innpasning av meklingen
Meklerneer spurt om de syntes rettsmeklingen inntraff på et passe tidspunkt i prosessen, eller om den burde vært gjennomført tidligere eller senere. Langt de fleste mener tidspunktet var passe (tabell 3.5).
(Dommer:) «Rettsmeklingen kommer vanligvis til passe tidspunkt. Jeg prøver å få med ett prosesskriv pr part, for å kunne kjenne begge parters synspunkter, men ikke mer.»
(Dommer:) «Generelt kommer rettsmekling for sent dersom det er kort tid til hovedforhandling, men for tidlig om partene ikke er modne. Vi satser på at det ikke er nødvendig å beramme hovedforhandling.»
Tabell 3.5 Hvorvidt rettsmeklingen kom til passe tidspunkt i prosessen Prosent som angir det svaralternativ som er oppgitt øverst
| Altfor sent | Litt for sent | Passe tidspunkt | Litt for tidlig | Altfor tidlig | |
|---|---|---|---|---|---|
| Mekler | 1 | 10 | 83 | 6 | 0 |
I intervjuene gir også en del advokateruttrykk for at en viss modningstid er nødvendig:
(Advokat, sak forlikt:) «Denne saken løste seg greit fordi den hadde gått veldig mange runder på forhånd, i ett år. Partene var modne for å finne en løsning, også av den grunn. Påløpt tid og kostnad var mer enn jeg hadde håpet var nødvendig – men det skyldtes iallfall delvis at min klient ikke svelget beløpene i førstningen. Jeg tror det var nødvendig å bruke tid. Det var en sammensatt sak med uklarhet i både fakta og jus, og forhold som ikke var påberopt kunne kommet opp om saken ble prøvet. Nå var partene trøtte og leie og ønsket å bli ferdig.»
Parteneser det ikke nødvendigvis likedan:
(Part, sak forlikt:) «Saken tok for lang tid. Det gikk måneder da det ikke skjedde noe, men nye ting som ikke hadde noe med saken å gjøre. Advokatene hadde glede av det – de kostet oss masse penger" Det burde vært rettsmekling iallfall 6 måneder før, det var bare repetisjoner etter det.»
Raskere avvikling?
Om rettsmeklingen bidro til å redusere eller øke saksbehandlingstiden, avhenger naturlig nok av utfallet av meklingen. Blant både meklere (tabell 3.6) og prosessfullmektiger (tabell 3.7) mener et svært flertall at rettsmeklingen bidro til kortere saksbehandlingstid så sant utfallet var forlik på alle eller noen punkter.
Dersom rettsmeklingen endte uten noe forlik, mener rundt 40 % av både meklere og prosessfullmektiger at dette likevel ikkepåvirket saksbehandlingstiden. 10 % av meklerne og rundt 20 % av prosessfullmektigene mener at også rettsmekling uten forlik bidro til redusertsaksbehandlingstid, trolig pga en viss «prosessuell opprydning» og klargjøring av saksforhold gjennom meklingsmøtet. Bare i noe under halvparten av tilfellene mener respondentene at rettsmeklingen forsinket saken.
Tabell 3.6 Mekleres antakelser om saksbehandlingstid avhengig av meklingens utfall Prosent som angir den virkning som er oppgitt øverst
| Økte | Ingen virkning | Reduserte | |
|---|---|---|---|
| Forlik på alle punkter | 0 | 4 | 96 |
| Forlik på noen punkter | 0 | 17 | 83 |
| Intet forlik | 48 | 41 | 10 |
Tabell 3.7 Prosessfullmektigers antakelser om saksbehandlingstid avhengig av meklingens utfall Prosent som angir den virkning som er oppgitt øverst
| Økte | Ingen virkning | Reduserte | |
|---|---|---|---|
| Forlik på alle punkter | 2 | 9 | 89 |
| Forlik på noen punkter | 13 | 25 | 63 |
| Intet forlik | 42 | 37 | 21 |
Figur 3.35 viser hvordan den gjennomsnittlige saksbehandlingssiden har utviklet seg i de seks 1997-domstolene.
For sivile saker totaltlå saksbehandlingstiden for 2000 lavere enn i 1994, men omtrent på nivå med 1995. Som figur 3.36 viser, har saksbehandlingstiden ligget nokså konstant hos to–tre av de seks domstolene, gått ned hos to, og kanskje gått noe opp hos én eller to.
Saksbehandlingstiden i familiesakerhar utviklet seg ganske parallelt med saksbehandlingstiden for sivile saker totalt, men ligger jevnt over 15–20 % lavere.
Gjennomsnittlig saksbehandlingstid for rettsmeklingssakerhar i gjennomsnitt ligget noenlunde konstant fra 1997 til 2000 (se figur 3.35, men har i realiteten svingt svært meget for hver enkelt domstol (se figur 3.37 ). I gjennomsnitt ligger saksbehandlingstiden for de rettsmeklede sakene rundt 60–65 % av saksbehandlingstiden for alle sivile saker.Statistikken bekrefter altså at rettsmekling fører til raskere avvikling av sakene.

Figur 3-35 Gjennomsnittlig saksbehandlingstid for de domstoler som har oppgitt dette

Figur 3-36 Utvikling i saksbehandlingstid i sivile saker for de seks 1997- domstolene. Linjediagram til venstre = utvikling pr domstol.

Figur 3-37 Utvikling i saksbehandlingstid i rettsmeklede saker. Linjediagram til venstre = utvikling pr domstol. Boksdiagram til høyre = median og spredning for fem av de seks 1997-domstolene
3.4.2 Reduserte kostnader?
Ifølge meklernes oppgaver fullføres rettsmeklingen i 95 % av tilfellene i løpet av ett meklingsmøte (se tabell 3.8). Det avholdes ytterst sjelden mer enn to møter.
Tabell 3.8 Hvor mange meklingsmøter som ble avholdt Prosent som angir det antall møter som er oppgitt øverst
| Ett | To | Tre–fire | Fem–seks | Syv | |
|---|---|---|---|---|---|
| Mekler | 95 | 2 | 1 | 1 | 1 |
Meklingsmøtenehadde i 70 % av tilfellene en varighet på 4 timer eller mindre. Bare 2 % varte ut over 7 timer (se tabell 3.10 nedenfor). Gjennomsnittet er 3,2 timer.
Meklerne og prosessfullmektigene er bedt om å anslå hvor lang tid saken ville tatt (eller vil ta, dersom forlik ikke er oppnådd) i hovedforhandling.
Vurderingene stemmer godt overens, med en gjennomsnittlig antatt varighet på 1,9 dager– dvs 15,2 timer– for både meklere og prosessfullmektiger (se tabell 3.9). Rundt 40 % av sakene er ble antatt å kreve én dag i rettssalen. For disse sakene kan rettsmeklingen ha spart deltagerne for noen få timers forhandlingstid. For de resterende 55–60 % kan det antas at meklingen har bidratt ganske betraktelig til innsparing i tid og kostnad for både partene og domstolen. I gjennomsnittkan meklingen ha ført til rundt 12 timer i redusert forhandlingstid pr sak.
Tabell 3.9 Hvor mange dager saken vil(le) ta(tt) i hovedforhandling Prosent som angir det antall dager som er oppgitt øverst
| 1 dag | 1,1–2,9 d | 3,0–3,9 d | 4–9,9 d | 10 d el mer | |
|---|---|---|---|---|---|
| P-fullmektig | 39 | 45 | 10 | 4 | 1 |
| Mekler | 44 | 44 | 8 | 3 | 1 |
Mekleren har i tre fjerdedeler av sakene brukt under 3 timer til forarbeid til rettsmeklingen (se tabell 3.10). I 95 % av tilfellene har mekleren brukt under 2 timer til annen kontakt med parter eller prosessfullmektiger ut over dette. De 95 % er fordelt på 20 % med ingen tid og 75 % med tid fra 5 til 115 minutter. De mest rutinerte meklerne – dvs de som hadde deltatt i 5 eller flere rettsmeklinger tidligere – brukte mindre tid til forarbeid enn de øvrige (snitt = 1,9 mot 2,6 timer).
Tabell 3.10 Timer medgått iflg meklere til ulike aktiviteter Prosent som angir det antall timer som er oppgitt øverst
| Inntil 2 t | 2,0–2,9 t | 3,0–3,9 t | 4,0–7,0 t | 7,1 t el mer | |
|---|---|---|---|---|---|
| Forarbeid | 37 | 38 | 12 | 11 | 2 |
| Meklingsmøter | 16 | 31 | 23 | 28 | 2 |
| Annen kontakt | 95 | 2 | 3 | 0 | 0 |
En rettsmekling som avsluttes med forlik på alle punkter, fritar dommeren for å skrive dom. Det er en vesentlig avlastning.
(Mekler, sak forlikt:) «I tillegg til hovedforhandlingen ville det gått 3–4 dager til å skrive dommen. Vi sparer mye.[«Om det ikke blir forlik?»] Da vet jeg ikke.
Men det kanjo likevel bli forlik før hovedforhandlingen. Saken blir iallfall bedre opplyst.
I lys av dette og funnene i tabell 3.8–10 er det ingen overraskelse at meklerne nesten uten unntak mener at rettsmekling med fullt forlik reduserte deres totale tidsbruk (tabell 3.11). Det er ikke like opplagt at det samme er tilfellet når forlik bare oppnås på noen punkter, men meklerne mener det i samtlige delvis forlikte saker. Dette skyldes kanskje at arbeidet med dommen blir mindre omfattende når færre stridsspørsmål gjenstår.
Prosessfullmektigenemener også at rettsmekling som endte i fullt forlik reduserte total tidsbruk i nesten samtlige saker (tabell 3.12). I nesten 40 % av meklinger med delvis forlik mener imidlertid prosessfullmektigene at rettsmeklingen økteden totale tidsbruken. Avviket i syn skyldes nok dels at advokatene må legge inn ytterligere forarbeid til en hovedforhandling selv om antall påstander er redusert, og dels at de ikke får den samme gevinst som domstolen knyttet til redusert arbeid med domsskrivning.
(Advokat:) «Vi måtte hatt en befaring ved hovedforhandling, det ville tatt tid. Man slipper vitneførsel, og advokatene er bedre forberedt til hovedforhandlingen dersom meklingen ikke lykkes.»
(Advokat:) «Rettsmekling tar uforholdsmessig myetid. Småsaker tar nesten en hel dag i rettsmekling, de ville ikke tatt mer i retten. Men man sparer jo noe forberedelse.»
I saker uten forlik på noen punkter, er meklerne og prosessfullmektigene enige om at rettsmeklingen oftest økteden totale tidsbruken (tabell 3.11 og 12). I hele 25 % av tilfellene mener imidlertid meklere og prosessfullmektiger at en «mislykket» rettsmekling ikke hadde noen innvirkning på total tidsbruk, og i henholdsvis 10 og 17 % av sakene mener de at rettsmeklingen hadde en gunstig virkning på total tidsbruk.
(Advokat, sak ikke forlikt:) «En oversiktlig sak, lite jus, bare fakta – ikke prosedyreforberedelse. Den krevde lite arbeid, selv om det ikke ble forlik.»
(Advokat:) «Rettsmekling er vel ikke bortkastet selv om saken går videre. Man kan ha blitt enig om en del. Og så vil man møte bedre forberedt i hovedforhandlingen og ha jobbet mer sammen med klienten.»
(Advokat, sak ikke forlikt:) «Rettsmeklingen ble ledet av en erfaren dommer som virkelig gjorde sitt ytterste for å få til forlik. Vi hadde flere møter med dommeren til stede, samt en rekke oppfølgingsmøter hvor bare partsrepresentanter og deres prosessfullmektiger deltok. Som ledd i rettsmeklingen ble det også avholdt befaringer med og uten dommer. Hadde rettsmeklingen ført frem, ville dette vært positivt. Men pga den energi og det arbeid som ble lagt ned i rettsmeklingen og den tid det tok, ble rettsmeklingen uforholdsmessig kostbar for partene. Vi kunne ikke gått direkte over til hovedforhandling etter avsluttet rettsmekling, da partenes forberedelser av saken til da hadde konsentrert seg om nettopp rettsmeklingen og ikke om full prosedyre. Jeg vil tro det vil være en fordel om det fra rettens side blir en fastere ramme for meklingen både med hensyn til tid og funksjon. Dommeren bør nok være mer åpen for å avbryte meklingen om ikke forlik oppnås nokså raskt.»
Tabell 3.11 Mekleres antakelser om total tidsbruk avhengig av meklingens utfall Prosent som angir den virkning som er oppgitt øverst
| Økte | Ingen virkning | Reduserte | |
|---|---|---|---|
| Forlik på alle punkter | 0 | 2 | 98 |
| Forlik på noen punkter | 0 | 0 | 100 |
| Intet forlik | 65 | 25 | 10 |
Tabell 3.12 Prosessfullmektigers antakelser om total tidsbruk avhengig av meklingens utfall Prosent som angir den virkning som er oppgitt øverst
| Økte | Ingen virkning | Reduserte | |
|---|---|---|---|
| Forlik på alle punkter | 2 | 2 | 95 |
| Forlik på noen punkter | 38 | 0 | 63 |
| Intet forlik | 57 | 25 | 17 |
Bildet er omtrent det samme når det gjelder meklernes og prosessfullmektigenes vurderinger av sakens totale kostnader (se tabell 3.13 og 14).
Tabell 3.13 Mekleres antakelser om totale kostnader avhengig av meklingens utfall Prosent som angir den virkning som er oppgitt øverst
| Økte | Ingen virkning | Reduserte | |
|---|---|---|---|
| Forlik på alle punkter | 0 | 1 | 99 |
| Forlik på noen punkter | 0 | 20 | 80 |
| Intet forlik | 66 | 28 | 6 |
Tabell 3.14 Prosessfullmektigers antakelser om totale kostnader avhengig av meklingens utfall Prosent som angir den virkning som er oppgitt øverst
| Økte | Ingen virkning | Reduserte | |
|---|---|---|---|
| Forlik på alle punkter | 1 | 2 | 97 |
| Forlik på noen punkter | 37 | 13 | 50 |
| Intet forlik | 63 | 23 | 14 |
3.4.3 Effektivisering av saksforberedelsen uansett?
Som vi allerede har vært inne på, kan selv rettsmeklinger som avsluttes uten forlik på noen eller samtlige punkter, likevel bidra til effektivisering av saksforberedelsen og -avviklingen i rettssalen gjennom en viss «prosessuell opprydning». Funnene i avsnitt 4.2 ovenfor må tolkes slik at både meklere og prosessfullmektiger mener at dette forekommer i iallfall en del tilfelle.
Meklerne er også bedt om å ta stilling til dette spørsmålet på generell basis. Tabell 3.15 viser at henimot halvparten er helt eller delvis enig i dette, mens rundt 30 % er helt eller delvis uenige.
Tabell 3.15 «Selv uten et forlik effektiviserer meklingsarbeidet saksforberedelsen gjennom ‘prosessuell opprydning’» Prosent blant meklerne som angir det svaralternativ som er oppgitt øverst
| 1=Helt uenig | 2 | 3 | 4 | 5 = Helt enig | Sum |
|---|---|---|---|---|---|
| 9 | 20 | 25 | 34 | 12 | 100 |
3.4.4 Fjernmekling?
Med de store avstandene vi har i Norge kan det i enkelte saker spares atskillig tid og penger dersom rettsmekling gjennomføres som en telefoneller videokonferanse. Meklere og prosessfullmektiger er bedt om å ta stilling til om de tror disse mediene er egnet.
Som figur 3.37 viser, er det stor skepsis til «fjernmekling» – særlig til telefonkonferanser (snitt = 1,7–2,1), men også til videokonferanser (snitt = 2,2–2,7). Blant prosessfullmektigene er det de som har mest erfaring med rettsmekling som er mest negative til videokonferanser (snitt = 2,0 mot 2,5 for «debutantene»).

Figur 3-38 Gjennomsnittsskårer der 1 = «Slett ikke» og 5 = «Absolutt»
Noen slutter helhjertet opp om «fjernmekling»- idéen:
(Advokat, sak ikke forlikt:) «Jeg har sans for slike hjelpemidler i rettsapparatet. Telefon er greit i en del sammenhenger, hvis det ikke er et vitnes alminnelige troverdighet som skal testes. Video er heltproblemfritt, man ser dem som snakker, om de knyter seg.»
(Dommer:) «Jeg tror det vil fungere bra" Det vil kanskje være greit å selge til de unge, som liker sånt? Mens pensjonister vil være skeptiske? Man mister litt av nærheten, men telekonferanser er kostnadsbesparende, og det kan gjøre det lettere å få rettsmekling i stand.»
(Dommer:) Jeg løste én sak gjennom en halvannen times mekling pr telefon. Man mister litt, men telefonkonferanser bør kunne brukes i mindre saker.
Andre er mer skeptiske, men vil ikke utelukke telemekling:
(Part, sak forlikt:) «Jeg har prøvd videokonferanser i jobbsammenheng – det må iallfall ikke være mer enn to rom, ellers er det vanskelig å få tak i hvem som snakker. Man blir ukonsentrert. Men jeg vil ikke dømme ned det nye.»
(Advokat:) «Det virker litt fremmed? Det er kanskje mulig, jeg har aldri prøvd. Men det betyr noe å sitte ansikt til ansikt, alvoret i at vi sitter her gir ofte resultater. Telefon eller video gir kanskje mer distanse?»
(Advokat:) «Hvis det ikke er spesielle forhold, er det fordelaktig at partene møter hverandre personlig. Men hvis det er vanskelig, kan en kanskje åpne for telefon- eller videokonferanser.»
(Advokat:) «Jeg har prøvd telefonmekling en gang da motpartens prosessfullmektig ikke rakk flyet – vi benyttet høyttalende telefon med advokaten i den andre enden. Vi fikk luftet påstander og anførsler og løst opp litt i saken, men det var ikke like bra som ved oppmøte. TV ville være noe bedre, da får en se motparten. TV kan være nesten like bra som ordinære møter. Telefonmøter går bra så lenge dommeren styrer samtalen, det blir bikkjeslagsmål når prosessfullmektigene snakker i telefonen alene. Man får ikke det rom man trenger under telefonmøter, man føler man må tenke og svare hurtig.»
(Dommer:) «Jeg vet ikke – det er vanskelig å ikke være moderne og utnytte tekniske hjelpemidler, men jeg tror en mister mye av den menneskelige kontakten. Det er uansett viktig med utstrakt telefonkontakt med advokatene på forhånd, så de blir åpne for å snakke sammen, og kanskje avklare saken seg imellom. Noen dommere tør jo ikke ta en telefon en gang.»
Andre avviser denne idéen, med større eller mindre styrke:
(Part, sak forlikt:) «Det var mye følelser i denne saken ... på én måte kunne det vært litt greit å få avstand til motparten. Men konflikter løses best ansikt til ansikt, det er vanskelig å få nyanser i en telefonkonferanse. Og video ... mange er ikke vant til sånne tekniske ting, de vil føle seg utrygge.»
(Advokat:) «Et dødfødt forslag. Den menneskelige kontakten er vesentlig, iallfall i de fleste tilfelle. Det blir ikke noe nerve gjennom videoutstyr. Man kommuniserer på mange plan – en mekling blir alltid personlig, man blir like engasjert om det er ‘profesjonelle’ parter.»
(Advokat:) «Telefon er helt uegnet. Det er vanskelig nok når begge er på samme lag og opptrer disiplinert. Det vil være svært vanskelig for mekleren å holde styr på to parter og to advokater pr telefon, og man mister noe vesentlig – ansikt-til-ansikt-aspektet, ubehaget ved det. Og kroppsspråk, øyekontakt – selv gjennomgåelser av regnestykker er vanskelig pr telefon. Video er også vanskelig – må ha flere skjermer. Jeg tror ikke vi er disiplinerte nok, teknikken må bli mer innarbeidet i samfunnet først.»
(Advokat:) «Jeg har liten tro på telefon- og videokonferanser. Nærheten til mekleren har en egenverdi. Man kan ha en stri part, men når han sitter der ved et bord sammen med dommeren, hjelper det på viljen til å nå frem. Jeg tror ikke det samme vil skje gjennom et telefonrør.»
(Advokat:) « Ikketelefon- eller videokonferanser" Jeg har sett bevisopptak og vitneavhør pr telefon" Man må sitte der, ellers får man ikke problemstillingen innpå seg. Man mangler atmosfæren, kroppsspråket, settingen – et rettslokale er noe annet enn telefonkrakken hjemme. Man kan ikke gå i enerom, får ikke utnyttet mulighetene til separate møter. Det ville bli for statisk.»
(Dommer:) «Telefon eller video? Dét betrakter jeg som heltuaktuelt. Hvordan kan man være motor i en prosess pr telefon?»
(Dommer:) «Bare tull" Man må bygge tillit, ha øyenkontakt. De må bli kjent med meg.»
Noen har fundert rundt et skille mellom saker mellom privatpersoner og saker mellom forretningsdrivende. Også her er meningene delte:
(Dommer:) «Følelsen av å være i samme rom og ha direkte kontakt er viktig. Men telefon- og videokonferanser kan gå i forretningsforhold, med veldig profesjonelle deltagere.»
(Advokat:) «Det blir ofte mye følelser i saker mellom forretningsforbindelser også" Hvis det dreier seg om ‘profesjonelle’ parter og prosessfullmektiger, trenger de ikke rettsmekling, de løser saken selv over telefon eller i forhandlingsmøter.»
3.5 Når meklingen slår feil
Som angitt tidligere, foreligger det opplysninger om utfallet av meklingen i 338 saker. Av disse ble 68 % forlikt på alle punkter og 2 % forlikt på noen punkter, mens 30 % av sakene gikk videre til hovedforhandling.
Saker som ikke forlikes, skiller seg i mange tilfelle fra forlikte saker når det gjelder motivasjon, aktivitetsnivå, kommunikasjon og tone, tillit til mekleren, og meklerens opptreden i deltagernes øyne. Vi skal oppsummere disse forskjellene i avsnitt 5.1. I avsnitt 5.2 skal vi se på hva deltagerne oppgir som årsaker til at forlik ikke ble oppnådd.
Det er noe ulik oppfatning og praksis når det gjelder skifte av dommer dersom en meklet sak går videre til hovedforhandling. Dette drøftes i avsnitt 5.3.
I avsnitt 5.4 skal vi så gå nærmere inn på et utfall som ikke forekom mer ofte, men som er av betydelig interesse. Det gjelder saker som faktisk ble forlikt, men der partene er ytterst utilfreds med utfallet og føler seg og sine rettigheter krenket.
3.5.1 Hva kjennetegner meklinger uten forlik?
I det følgende skal vi kort oppsummere hvordan meklinger uten forlik skiller seg fra meklinger med forlik.
Saksomkostninger avskrekker ikke
Kommentarer fra dommere og advokater tyder på at parter som får dekket sine saksomkostninger gjennom fri rettshjelp eller sitt forsikringsselskap, er mindre interessert i å forlikes.
(Advokat:) «Noen tar ut sak på elendig grunnlag og håper på å få litt i rettsmekling, da er det nærmest utpresning. Det gjelder særlig i huskjøpssaker, hvor det er lite økonomisk risiko fordi forsikringsselskapet dekker omkostningene.»
(Dommer:) «Avhendingsloven er en svøpe"»
(Dommer:) «Det nytter ikke å forlike saker med fri rettshjelp. Det bør innføres en regel om at man ikke får fri rettshjelp dersom man sier nei til et forlik mekleren mener man burde godtatt.»
Beslutningstager mangler
Både prosessfullmektiger og meklere påpeker at det er vanskelig å få et resultat dersom den reelle beslutningstageren ikke deltar.
(Advokat, sak ikke forlikt:) «Saksøker stilte ikke selv, men kun ved sin advokat som hadde fullmakt på et latterlig høyt forliksnivå. Advokaten forsøkte forgjeves å få tak i sin klient pr telefon da han skjønte at klienten burde akseptere forlik på et langt lavere nivå. Rettsmekling må forutsette at partene stiller.»
Den vanligste varianten er kanskje at en bedrift lar seg representere ved en mellomleder, som må ringe administrerende direktør for å få godkjenning.
Når direktøren har sittet uberørt av dynamikken i meklingsmøtet og forslaget ligger et stykke fra bedriftens påstand, kan det fort ende med avslag.
Moderat motivasjon for rettsmekling
Tallmaterialet viser at saker som ikke ble forlikt, oftere omfattet parter som på ingen måte fryktet tap(snitt = 1,7 mot 2,1 for saker som ble forlikt på alle punkter). Samme tendens gjør seg gjeldende hos prosessfullmektigene(snitt = 2,2 mot 2,6).
Publisitetvar av noe mindre betydning for parteri saker som endte uforlikt (snitt = 2,2 mot 2,7).
Prosessfullmektigenei uforlikte saker oppgir sjeldnere klientens ønskesom en viktig grunn til å akseptere rettsmekling (snitt = 2,5 mot 3,1) .
I saker som endte uten forlik, ligger meklernes vurdering av deltakernes motivasjoni gjennomsnitt et helt poeng lavereenn i saker som forlikes. Om moderat motivasjon er en årsak til at meklingen ikke lykkes, eller om utfallet farger meklerens vurdering av motivasjonen, er ikke godt å si. Det er ingen tilsvarende forskjeller i prosessfullmektigenes vurderinger.
Moderat aktivitetsnivå
Både parterog prosessfullmektigeri uforlikte saker gir samtlige deltakere lavere karakter for løsningsforslag(avvik i snitt ca 0,7 for parter og noe lavere for prosessfullmektiger).
Dårligere tone under meklingsmøtet
Både parterog mekleregir svakere snittskårer for tonenunder meklingsmøter som endte uten forlik (snitt = 3,8 mot 4,3). Igjen er det vanskelig å vite om god tone faktisk bidro til et forlik, eller om vurderingene er farget av utfallet.
(Part, sak ikke forlikt:) «Det var tøft å møte motparten. Hans advokat var uerfaren og skjønte ikke hva rettsmekling innebar" Han var ikke en du setter deg ned med rundt et forhandlingsbord. Han prøvde å vinne, og var uhøflig og usaklig – han lo av folk, gjorde narr. Min advokat brøt inn flere ganger, og dommeren ble sint på ham. Det var derfor dommeren avbrøt meklingen.»
Parterog meklerei saker som ikke ble forlikt er noe mindre tilbøyelige til å mene at meklingen bidro til økt forståelse partene i mellom,men forskjellen er liten (ca 0,3 på firepunktsskalaen).
Mindre tillit til mekleren
Partenemener oftere at mekleren ikke hadde satt seg inn i sakenpå forhånd i uforlikte saker (snitt = 3,6 mot 4,0). Om dette er en korrekt vurdering, er vanskelig å vite. Meklerneoppgir imidlertid i gjennomsnitt at de har brukt mer tid til saksforberedelse i saker som endte uten forlik (snitt = 2,5 mot 1,9 timer).
I saker som ikke ble forlikt, gir partenei gjennomsnitt uttrykk for noe lavere tillit til mekleren,og er noe mer tilbøyelige til å mene at mekleren ikke var upartisk(avvik i snitt = 0,4 og 0,3). Selv om også partene i slike saker oftest angir at mekleren var dyktig(snitt = 3,9), er de mindre overbevist enn parter i saker som ble forlikt (snitt = 4,4).
Meklernei saker som ikke ble forlikt er også litt mer usikrepå om de oppnådde begge parters tillit (4,0 mot 4,3) og om de håndterte meklingen godt(3,6 mot 4,1).
Mindre empati og bidrag til dialog fra mekleren
Parteri uforlikte saker gir i gjennomsnitt uttrykk for å ha møtt mindre forståelse hos mekleren(snitt = 3,4 mot 3,9). Interessant nok mener de også at mekleren vist mindre forståelse for motparten(snitt = 3,6 mot 4,0 i saker som ble forlikt).
Parteri uforlikte saker synes sjeldnereat mekleren bidro til å skape dialog, støtte konstruktive idéerog få frem hva begge parter var opptatt av(avvik i snitt = ca 0,5).
Mekler mindre tydelig
Meklerne fremstår gjennomgående som tydeligere i forlikte sakerenn i uforlikte.
I saker som ble forliktmener både parterog prosessfullmektigeroftere at mekleren bidro med egne løsningsforslag(avvik i snittskåre = 0,9 for parter og 0,4 for prosessfullmektiger). I forlikte saker angir også både parter, prosessfullmektiger og meklere oftere at konkrete løsningsforslag fra mekleren virket positivt.I saker som ikke ble forlikt, ligger vurderingene noe nærmere nøytralpunktet (avvik i snittskåre = 0,4–0,6).
Ifølge partenevar meklere i forliktesaker langt mertilbøyelige til å klargjøre hva de selv anser som en rimelig løsning(snitt = 3,6 mot 2,5). Meklernegir uttrykk for det samme (snitt = 3,1 mot 2,5). Partenei forlikte saker angir også oftereat mekleren klargjorde svake punkteri saken deres (snitt = 2,8 mot 2,3) og at mekleren klargjorde hva hun/han anså som etsannsynlig utfall ved hovedforhandling (snitt = 2,8 mot 2,1). På disse punkter er det imidlertid ingen slike forskjeller i vurderingene fra meklerne selv. Blant prosessfullmektigene finner vi ingen gruppeforskjeller i vurderingene av disse forholdene.
Både parterog prosessfullmektigerleverer høyeregjennomsnittsskårer for pressi forliktesaker (avvik i snitt = 0,4). Partenei saker som ble forlikt, vurderer også oftere press fra mekleren som et positivt bidragtil meklingen (snitt = 3,6 mot 3,0 for parter i meklinger uten forlik). Også meklernemener oftere at press på partene hadde en positiv innvirkning i forlikte saker (avvik = 0,4).
Det er, imidlertid, ingen forskjelleri vurderingen av hvor positivt eller negativt det er at mekleren klargjør det sannsynlige utfallved hovedforhandling. Her er snittskårene de samme uansett om meklingen endte med forlik eller ikke.
3.5.2 Årsaker til at forlik ikke oppnås
Forskjellige årsaker til at forlik ikke ble oppnådd, er vurdert i figur 3.38 og 3.39 nedenfor.
Årsakene i figur 3.38 tillegges moderat til beskjeden betydning. De fire første er varianter av samme tema, nemlig at saken bør få en rettslig avklaring. Snittskårene for disse ligger oftest i området 2,5–3,0.
(Part, sak ikke forlikt:) «Han er vanskelig å inngå avtaler med, han er grei da, men ikke etterpå. Det er veldig viktig med en rettsavgjørelse så lenge han ikke vil gå med på alt det jeg ønsker.»
(Part, sak ikke forlikt:) «Saken var fastlåst fra starten – splid, uvennskap, familiebråk. [«Burde dere ha droppet hele meklingen?»] Vi kunne jo det ... men vi fikk jo et tilbud.»
(Advokat, sak ikke forlikt): «Rettsmeklingen var fullstendig bortkastet. Vel var det en vanskelig sak, men da var den vel ikke egnet for rettsmekling? Den gjaldt et nytt rettslig spørsmål, og vi var opptatt av om det var hjemmel eller ikke. Dommeren burde gjort en rettslig vurdering i forkant.»
Det femte alternativet gjelder meklers dyktighet. Her er partene noe mer tilbøyelige til å angi dette som årsak enn det prosessfullmektigene og meklerne er (snitt = 2,6 mot 2,1 og 2,3). (Part, sak ikke forlikt:) «Mekleren var flink innledningsvis, men engasjerte seg ikke"»
(Advokat, sak ikke forlikt:) «Mekleren spurte hver av sidene om deres akseptgrense, de lå langtfra hverandre, men likevel gikk mekleren frem og tilbake i timevis. Mekleren skulle skjønt at det ikke var noen mulighet overhodet.»

Figur 3-39 Gjennomsnittsskårer der 1 = «Helt uviktig» og 5 = «Svært viktig»
I figur 3.39 finner vi vurderingene av årsaker av typen godvilje/uvilje. Det er disse som oppnår de høyeste skårene. Såvel parter som prosessfullmektiger oppgir svært ofte at «motparten ikke ville bidra nok til en løsning» (snitt = 4,3) – og/eller at en selv ikke fant tilbudet akseptabelt (snitt = 4,1–4,2). Dette er samme sak for to tredjedeler av respondentene. Meklerne er langt mindre tilbøyelige til å plassere skylden på én av partene. (snitt = 3,5–3,7).
Meklerne ser derimot ut til å overvurdere advokatenes innflytelse på parter som avviser løsningsforslag (snitt = 3,1 mot 2,5 for parter og prosessfullmektiger).

Figur 3-40 Gjennomsnittsskårer der 1 = «Helt uviktig» og 5 = «Svært viktig»
3.5.3 Ny dommer ved hovedforhandling?
Etter forskriften kan en dommer som har meklet i en sak som ikke forlikes, bare delta i den videre behandling av saken «dersom retten finner det ubetenkelig og partene ikke ønsker at det skal skje et skifte av dommer». I forarbeidene fremholdes det at «under rettsmekling vil det ikke være upassende, men legitimt, for en dommer å være så aktiv at saken må overføres til en annen dommer dersom meklingen ikke fører frem».
De fleste prøvedomstolene later til å ha innført skifte av dommer som fast og (nesten?) ufravikelig prinsipp. Spørreskjemamaterialet viser at overføring til ny dommer er praksis i de aller fleste tilfelle. I bare 3 av 102 saker opplyser mekleren at saken ikkeble overført til en annen dommer før hovedforhandling.
Bør saken overføres?
Blant dommerne er det likevel ikke full enighet om overføring som prinsipp.
Som tabell 3.16 viser, mener bare drøyt halvparten at en sak som ikke forlikes, alltidbør overføres. Vel 40 % mener dette bør gjelde «som hovedregel».
Tabell 3.16 Bør saken overføres til en annen dommer hvis forlik ikke oppnås? Prosent blant meklerne som angir det svaralternativ som er oppgitt øverst
| Nei | Bør vurderes fra sak til sak | Som hovedregel | Ja, alltid | Sum |
|---|---|---|---|---|
| 0 | 4 | 42 | 54 | 100 |
Dette funnet kan i noen grad skyldes at dommere nødig blir for absolutte i sine synspunkter. Men noen dommere har muntlig eller skriftlig gitt klart uttrykk for at de ser noen fordeler ved å kunne gå videre med samme dommer i visse situasjoner. De situasjoner som nevnes, er oftest av to typer:
I svært tekniske saker, f eks vedrørende offshore-virksomhet, der investeringen i å begripe hva saken gjelder er så stor at parter og prosessfullmektiger nødig vil gå gjennom en ny fremstillingsrunde
Saker med lite omfang, der én part eller prosessfullmektig har svært lang reisevei slik at en av økonomiske grunner velger å legge meklingsmøtet til dagen før hovedforhandlingen.
I det siste tilfellet gjøres det klart på forhånd at det ikke vil være anledning til å skifte dommer dersom forlik ikke oppnås.
I intervjuer og kommentarer har de fleste meklere gitt uttrykk for liten begeistring for slike løsninger, men noen holder døren åpen dersom partene ønsker det:
(Dommer:) «Man bør bytte dommer ... men hvis partene godtar at man ikke gjør det, er det greit, så sant mekleren ikke har gitt klartuttrykk for et standpunkt.
I så fall vil vel ikke partene godta samme dommer. I saker som det er vanskelig å sette seg inn i, er det praktisk å gå videre. Ting skjer jo i hovedforhandling slik at dommeren skifter oppfatning.»
(Dommer:) «Vi spør ikke partene om de vil skifte dommer, de skal slippe å
‘støte’ mekleren. Men vi har fortsatt med samme dommer i et par saker der partene ba om det. Det er faremomenter ved det – hvis mekleren har foreslått en løsning, kan han føle behov for å forsvare den gjennom dommen.»
(Dommer:) «Jeg ville ikke berammet saken til dagen før uansett; det er et ris bak speilet at det blir ventetid dersom forlik ikke oppnås.»
(Dommer:) «Vi overfører alltid saken her. Vi har aldri stilt spørsmål til partene. Jeg mener at mekleren inhabiliserer seg. Det er en del av kostnadene ved systemet. Hvis man mekler dagen før hovedforhandling, har man ikke tjent noe. Jeg har mer forståelse for at en mekler har behov for å forstå tekniske spørsmål enn at en dommer skal ha det. En dommer bygger på sakkyndige, og er objektiv.»
(Dommer:) «Jeg er ikke i tvil om at saker må overføres til en annen dommer" Det er lettere å få et forlik om partene er fri til å si hva de vil, om de vet at de ikke skal møte denne dommeren ved neste korsvei. Så enkelt er det. Jeg sier ikke noe om utfallet av en hovedforhandling, men jeg kan si noe oppsummerende om bevissituasjonen i et særmøte. Jeg ville være redd for å inhabilisere meg, det er en fordel for meg at jeg ikke behøver å vokte hvert ord. Adgangen til å gå videre med samme dommer bør brukes med varsomhet. Hos oss er det helt tette skott mellom dommerne – det har vært mye diskutert her.»
(Dommer:) «Jeg synes saken skal overføres. Vi får så mye informasjon, særlig i særmøtene – vi er jo mennesker, vi glemmer ikke det vi har hørt, og det kan bli tungen på vektskålen.»
(Dommer:) «Vi er nødt til å bytte dommer, slik som vi driver rettsmekling her – jeg gjør meg inhabil. Partene skal ha en fair sjanse i retten.»
(Dommer:) «Opprinnelig sa jeg at ‘jeg kanbli inhabil, og dere kan kreve at jeg viker sete’ – da sa de gjerne at de hadde full tillit. Men dommeren blir friere i meklingen om man vet at man ikke skal være med videre. Det er ubehagelig å bevege seg i grenseland for habilitet».
(Dommer:) «Det er en stor fordel at det er en selvfølge med ny dommer. Så tror ingen at det har noen hensikt å forsøke å påvirke mekleren. Jeg pleier å si fra om det – ‘forsøk ikke å overbevise meg, eller motparten – du bør heller lytte"’. Dersom partene skal slåss for å bygge opp saken til hovedforhandling, er det ingen rettsmekling.»
Parter og prosessfullmektiger har bare hatt tre svaralternativer i sine spørreskjemaer. Deres svar fordeler seg som vist i tabell 3.17.
Tabell 3.17 Bør saken overføres til en annen dommer hvis forlik ikke oppnås? Prosent som angir det svaralternativ som er oppgitt øverst
| Nei, bør ikke overføres | Det kommer an på | Ja, alltid | Sum | |
|---|---|---|---|---|
| Parter | 18 | 35 | 47 | 100 |
| P-fullmektiger | 2 | 21 | 77 | 100 |
Vi kan konstatere at prosessfullmektigeneer langt mer overbevist enn både meklere og parter om at slike saker bør overføres – tre fjerdedeler mener dette bør være et absolutt krav.
(Advokat:) «Man må unngå dobbelt agenda i meklingsmøtene, at advokatene er ute etter å skåre poeng overfor dommeren og utnytte dem i rettsmøte.»
(Advokat:) «Jeg har full tillit til denne mekleren, men under rettsmekling er det mulig å komme med mange subjektive oppfatninger som ikke blir imøtegått av motparten. De kan påvirke dommeren selv om de ikke er sanne. Det er greiest å overføre saken når det ikke har vært mulighet til kontradiksjon og imøtegåelse. ... På den annen side får jo mekleren et godt innblikk i saken....»
Flere avviser de to «unntakssituasjonene» nevnt ovenfor:
(Advokat:) «Det er uansett for sent å ha meklingsmøte kvelden før hovedforhandling" Da sparer man jo ikke noe.»
(Advokat:) «Å mekle dagen før hovedforhandling blir galt. Det må skje tidligere. Svært tekniske saker er kanskje ikke egnet for rettsmekling? Hvordan skal en mekler kunne bidra i en sak som trenger fjorten dagers presentasjon i retten?»
Andre er mer pragmatiske, og vil, når det kommer til stykket, la partenes opplyste valg være avgjørende:
(Advokat:) «Jeg er heltimot at mekleren fortsetter som dommer" Mekleren får altfor stor innsikt i partenes sterke og svake sider, han får detaljkunnskap som kan festne seg som ‘fakta’ uten bevisførsel, det kan oppstå personlige forhold med sympatier og antipatier – mekleren vil ta med seg for mye. Men hvis begge parter ønsker det, er det ikke noe problem, da får de ta konsekvensene av dét valget.»
(Advokat:) «Det kommer an på hvem som er dommer" Noen dommere gjør en god jobb uansett. [«Men dersom dommeren har antydet et domsresultat?»] Det kanjo skape et problem ... men hvis en har tillit til dommeren, vil en jo tro at overtagende dommer også kommer til samme resultat. Hvis det er en komplisert mekling og dommeren antyder svakheter, vil det føre til at det blir et resultat i meklingen, så da oppstår ikke problemet. Man bør iallfall kunne velge om man vil fortsette med samme dommer.»
(Advokat:) «Hvis dommeren tilkjennegir sitt syn på sakens utfall, vil det være uheldig om den ikke overføres til en ny dommer. Dette bør ikke stå på prosessøkonomi. [«Hva om begge parter ber om å få beholde dommeren?»]
Det må være i orden dersom begge møter med advokat, og ber om at dommeren fortsetter. Men ikke ellers.»
(Advokat:) «Det kommer an på hvilken mekler det dreier seg om. To av meklerne kunne jeg gjerne gå videre med, fordi de er den de er. Mens en annen – nei" Han er direkte og sier det han mener, da ville jeg vært ubekvem.»
(Advokat:) «I flere tilfelle har jeg ikke motforestillinger mot å fortsette med samme dommer. Men hvis mekleren har signalisert noe, eller vært veldig aktiv, bør saken overføres. Det har hendt vi har fortsatt med samme dommer, når begge parter ber om det. Kjennskap til saken kan spare tid og krefter, og noen har erfaring fra bestemte rettsområder. Jeg vil heller beholde en erfaren dommer enn å få en dommerfullmektig"»
Én advokat påpeker at et ufravikelig prinsipp om overføring av saken kan anspore prosessfullmektigene til taktiske vurderinger:
(Advokat:) «NN er en fantastisk god dommer" Jeg har liten lyst til å ødelegge ham som dommer gjennom en rettsmekling" De er det mer fristende å si nei til mekling. Omvendt også – hvis man blir tildelt en dommer man ikke har noen tro på, er rettsmekling en måte å bli kvitt ham på.»
Blant partenemener langt færre – under halvparten – at en meklingssak som går videre til rettssalen, alltid bør overføres til en annen dommer. Blant dem som ikke ser så strengt på det, heller kommentarene av og til i retning av det opportunistiske:
(Part, sak forlikt:) «Det ville ikke vært så avgjørende? Jeg ser både fordeler og ulemper. Det var mer gemyttlig her enn i en rettssal, vi pratet litt rundt. Jeg ville lagt vekt på hva mekleren hadde forsøkt å få til, hva som var blitt sagt. Hvis mekleren sa ting som lød ugunstig for meg, ville jeg prøve å få en annen dommer.»
(Part, sak forlikt:) «Det kommer vel an på om man liker mekleren eller ikke?
Hvis dommeren var enige med motparten, ville jeg ikke hatt ham videre. Det ville ikke vært så dumt i vår sak? Men dommeren skal jo være nøytral ...»
Andre inntar et mer absolutt standpunkt, med en argumentasjon som er bedre i samsvar med de beste tradisjoner i moralfilosofien:
(Part, sak forlikt:) «Jeg følte at mekleren var på min side? Kan man føle det?
Kanskje det var fordi det var slik en sympatisk mann. Kanskje motparten følte det óg? Men det ville vært mest rettferdig med ny dommer. Jeg vil ikke mele min egen kake. Jeg vil gjerne vinne, men det skal være rettferdig.»
(Part, sak ikke forlikt:) «Hvis det skal være rettferdig, må en skifte dommer. Det blir tøft under en rettsmekling, man kan være villig til å strekke seg litt lenger da, dommeren husker sånt. I mitt tilfelle ville det nok vært positivt med samme dommer.»
Generelt henviser de som mener at saken alltid bør overføres, som regel til rettferdshensyn og habilitetsproblematikk:
(Part, sak delvis forlikt:) «Man bør skifte dommer av prinsipp. Vår dommer kom ganske tungt på banen ved et kritisk punkt i meklingen.»
(Part, sak forlikt:) «Dommeren må få blanke ark, han må ikke vite noe. Mekleren gjør seg vel opp en mening når vi sitter rundt konferansebordet, selv om han ikke skal det. Men jeg hadde ikke reagert om det var samme dommeren, jeg ville ikke forlangt å få bytte.»
(Part, sak forlikt:) «Mekleren kjenner jo saken .. men hvis man ikke blir enige under mekling, kan jo det skyldes dommeren. Det er uheldig da om samme dommer fortsetter. Og i rettssalen skal man vel begynne med blanke ark, med vitner osv? .. Det er vanskelig å si"»
Mange parter inntok en ganske avslappet holdning til dette spørsmålet under intervjuene:
(Part, sak forlikt:) «Denne mekleren har ord på seg for å være nøytral uansett. Men hadde vi hatt en annen mekler, ville jeg kanskje ønsket en annen dommer i rettssalen. I denne saken var det ingen som røpet noe spesielt.»
(Part, sak forlikt:) «Jeg ville gjerne hatt denne dommeren videre. Mekleren kjenner jo begge parter. Men begge må være enige om å beholde dommeren.»
(Part, sak forlikt:) «Jeg ville ikke hatt noe imot å fortsette med samme dommer, som hadde så godt grep om saken. Men hadde jeg følt det motsatt, ville jeg hatt en annen. Hvis begge er enige om å beholde dommeren, er det en fin løsning.»
Bevarer mekleren taushet overfor overtagende dommer?
Et vesentlig poeng ved overføring til annen dommer er at det ikke tilflyter denne informasjon om hvordan meklingen forløp.
I 95 av 98 saker som ble overført (97 %)oppgir mekleren selv at hun eller han var fullstendig tausom saken. I 3 tilfelle oppgir mekleren at hun/han «kan ha røpet noe uforvarende».
(Dommer:) «Det er bare i lunsjen det kan være problemer med taushetsplikten. Det er en selvfølge at en ikke diskuterer saken i arbeidstiden. Men er det en spektakulær sak, kan det være fristende å ‘underholde’ litt. Man må passe på. Hvis noen spør ‘hva driver du med nå?’, kan andre bryte inn og si ‘nei, hør – dette er jo en rettsmekling’.»
Blant parteneoppgir 95 % at de ble gjort kjent med at mekleren hadde taushetsplikt overfor en ny dommer. 49 % av partene tror at denne taushetsplikten alltidblir overholdt, og ytterligere 47 % regner med at den «som oftest» blir overholdt. Drøyt 4 % er klart skeptiske og svarer «sjelden», men bare én av 476 svarer «aldri».
(Part:) «Har de ikke taushetsplikt da? Jeg stoler jo på at det går riktig for seg i byretten"»
(Part:) «Det har jeg tillit til. Jeg har taushetsplikt i yrket selv.»
(Part:) «Noen vil vel gå i baret?»
(Part:) «Jeg føler meg ikke helt sikker" Det er vel menneskelig og naturlig at man diskuterer ting, som andre steder der man har taushetsplikt.»
Prosessfullmektigeroppgir i 97 % av tilfellene at det ble opplyst om taushetsplikten. Blant prosessfullmektigene regner 57 % med at mekleren alltid er taus, 42 % at det skjer som oftest, 1 % at det skjer sjelden, mens 2 av 566 krysser av for «aldri».
(Advokat:) «Jeg håper det? Og vil tro det i utgangspunktet.»
(Advokat:) «Man vet jo ikke hva som blir sagt på spiserommet"»
(Advokat:) «I mindre domstoler vil det vel skinne igjennom om én part var veldig steil" Det er alltid lekkasjefare.»
(Advokat:) «Tausheten er neppe total" Man vil vel iallfall sende et signal via kroppsspråk – hvis en advokat er fullstendig på jordet.»
(Advokat:) «Dette kan kanskje være et problem? Det aksepteres at det er tette skott mellom dommerkontorene, men ... Hvis rettsmeklingssaker måtte overføres til en annen domstol, ville hele ordningen måtte falle bort.»
Det er bekymringsfulltat over 40 % av prosessfullmektigene og 50 % av partene betviler at mekleren overholder taushetsplikten. Slik tvil er imidlertid lite utslagsgivendefor tilliten til mekleren eller hvorvidt man vil anbefale rettsmekling eller ikke.
3.5.4 Forlik med forbitrelse
Forlik er det ønskede utfall ved rettsmekling – men av og til innebærer ikke et forlik forsoning og forløsning, men forbitrelse og forlengelse av konflikten.
Evaluator har kommet over et mindre antall slike saker, og har forfulgt flere av dem spesielt for å få et innblikk i hva som kjennetegner dem. Selv om disse sakene er ikke mange i tallet, er det svært viktig å ta lærdom av demog vurdere hvordan slike utfall kan forebygges dersom rettsmekling innføres som generell ordning.
I og med det beskjedne antall saker er det vanskelig å trekke sikre konklusjoner om fellestrekk og forskjeller. Forsøksvis er det likevel mulig å peke på noen trekk av betydning.
Sterk tro på egen sak – «urettferdig utfall»
Disse partenes sterke misnøye med rettsmeklingen ser oftest ut til å bunne i en uforbeholden tro på full seierdersom saken hadde gått til doms. Siden et meklingen er basert på at begge parter skal gi noei bytte mot å bli ferdig med saken, kan en forventning om full seier vanskelig oppfylles. Parten står dermed igjen med en overbevisning om at utfallet var urettferdig.
(Part, sak forlikt:) «Det slo meg at rettsmekling er en form for moderne hestehandel – det var ingen fokusering på hvem som hadde rett.Jeg forutsetter at en dommer er opptatt av det, av det rettslige" All rettferdighet og jus ble skjøvet til side, her gjaldt det ‘å komme til enighet’. Jeg ville vunnet saken, det er jeg helt sikker på – men jeg måtte bare få det unna. Jeg ville ikke gått med på rettsmekling om jeg hadde visst at det fagjuridiske skulle komme så langt i bakgrunnen.»
(Part, sak forlikt:) «Det ligger i sakens natur at motparten ville tape saken. Det ble også et urettferdig resultat fordi dette er en sak hvor saksomkostningene ikke automatisk burde bli delt.»
Meklerne ser gjerne annerledes på det:
(Mekler, sak forlikt:) «Parten vant jo nesten fullt ut, og fikk merenn kravet i stevningen. Jeg tror advokaten innså at selv om de vant saken hva ansvaret angår, er det ikke sikkert at de ville fått maksimalt erstatningsbeløp.»
Ut fra overbevisningen om at saken var krystallklar og utfallet urettferdig, konkluderer flere av partene med at mekleren var uengasjert eller partisk,og/eller at det foregikk et spillmellom juristene.
(Part, sak forlikt:) «Mekleren tok ikke saken på alvor.»
(Part, sak forlikt:) «Mekleren virket uinteressert og partisk.»
(Part, sak forlikt:) «Det virket som om alt var avgjort på forhånd. Grusomt.»
(Part, sak forlikt:) «Jeg ville advare andre mot avtalt spill"»
(Part, sak forlikt:) «Dette var ikke demokratisk" Det er temmelig graverende.»
Svak motivasjon – brudd på forventninger
Siden troen på egen sak er så sterk, er motivasjonen for rettsmekling gjerne svak:
(Part, sak forlikt:) «Jeg mente at vi ville vinne saken, men advokaten ville prøve rettsmekling ‘for å få vite deres argumenter’. Saken burde ikke vært i rettsmekling"»
Flere av partene fremholder også at forløpet av meklingsmøtet ikke samsvarte med det de var forespeilet:
(Part, sak forlikt:) «Jeg er veldig misfornøyd med rettsmeklingen" Jeg skjønte først da jeg fikk evalueringsspørreskjemaet at meklingen ikke hadde foregått som den skulle. Hele saken forsvant" Jeg hadde avtalt med advokaten at han skulle innlede, men dommeren inviterte ikke til det. Etterpå sa han at advokaten kunne bedt om det. Jeg ba advokaten om at vi skulle få separate møter med dommeren, men det ble ikke gjort – vi ble sittende i rettslokalet hele tiden. Hva er da vitsen med den flotte brosjyren? Hvor er ansvaret?»
(Part, sak forlikt:) «Dette er en prøveordning, fikk jeg vite – hvorfor gjennomføres det da annerledes enn slik det sto i informasjonsbrosjyren? Det jeg leste om intensjonen ved rettsmekling var bra, men det fungerte ikke sånn i mitt tilfelle.»
(Part, sak forlikt:) «Det ble dyrt – mange tusen kroner i advokathonorar. Jeg trodde motparten skulle dekke alle mine advokatutgifter.»
Enkelte parter hadde øyensynlig også behov for noe annetenn en avklaring av sakens gjenstand:
(Part, sak forlikt:) «Jeg er veldig skuffet, egentlig. Jeg forventet mer åpenhet mellom oss. Sakenble ikke diskutert i det hele tatt, bare penger. Jeg ønsket å prate mer med motparten.»
(Advokat, sak forlikt:) «Motparten ville snakke om følelser – var ikke klar over alvoret.»
Usikkerhet og hjelpeløshet – bak en kraftfull fasade
Flere av partene gir uttrykk for at de følte seg fangeti en situasjon de ikke overskuet og ikke kunne styre.
(Part, sak forlikt:) «Avtalen ble inngått over mitt hode, mellom mekleren og advokatene.»
(Part, sak forlikt:) «Jeg ble usikker pga situasjonen. Jeg er uenig i hvordan saken ble håndtert. Rettsmekling er ikke bra for ressurssvake folk og deres rettssikkerhet. Dommeren bør gi folk som ikke er jurister noe mer enn bare å skremme dem til enighet.»
(Part, sak forlikt:) «Jeg burde vært strengere" Men advokaten skulle gjøre jobben. Han hadde ikke satt seg inn i saken.»
(Part, sak forlikt:) «Jeg bør kunne forlange at advokaten forsvarer meg. Han må ta mine signaler om frykt og hjelpeløshet bokstavelig.»
(Part, sak forlikt:) «Ingen tok vare på min tarv. Mekleren burde vært psykolog.»
Et av motargumentene som ble fremført i høringsrunden før forsøket ble igangsatt, var at parter med beskjedne ressurser kan komme til å strekke seg for langt under rettsmekling (se avsnitt ?, s ?, for en nærmere drøfting av dette). Det interessante i vår sammenheng er imidlertid at mekleren og andre deltagere ofte oppfattet den krenkede part som fullt på høyde med situasjonen:
(Mekler, sak forlikt:) «Denne parten fremsto under meklingen som en av de mest bevisste jeg har møtt – teknisk skolert og med klare meninger.»
(Mekler, sak forlikt:) «Parten hadde forberedt seg godt og var en kraftfull ‘selger’.»
(Mekler, sak forlikt:) «Parten var i trygge hender hos en av våre beste advokater.»
I flere av sakene er det en slående ubalanse i oppfatningen av den krenkede parts aktivitetsnivåunder meklingsmøtet. Partene gir gjerne uttrykk for at de ikke fikk komme ut med det de hadde på hjertet:
(Part, sak forlikt:) «Hvor aktiv jeg var? Jeg prøvde, men kom lite til.»
(Part, sak forlikt:) «Jeg måtte bare tie. Hvis jeg åpnet munnen, ble jeg hysjet ned.»
Advokater og meklere kan gi et ganske annet bilde:
(Mekler, sak forlikt:) «Det var veldig slitsomt. [Den krenkede parten] var veldig verbal og snakkesalig.»
(Advokat, sak forlikt:) «Mekleren slet med å holde styr på dem, måtte gjøre det klart at nå var det ikke deres tur. På en høflig måte.»
(Mekler, sak forlikt:) «[Den krenkede parten] klarte seg jo kjempegodt" Jeg følte ikkeat jeg overkjørte der.»
Oppsummering
Evaluators inntrykk er at de krenkede partene jevnt over har god verbaliseringsevne. Derimot varierer nok evnen og viljen til å anlegge et praktisk perspektiv på situasjonen og se saken fra mer enn én side. Et fellestrekk er at de føler seg urettferdig behandlet i det forhold saken gjelder, og at denne følelsen forsterkes kraftig når de forlater rettsmeklingen med noe annet enn fullt medhold.
At en part angrer, er neppe et særskilt problem for rettsmekling. Samme situasjon kan oppstå ved andre forlik:
(Advokat:) «For advokater betyr rettsforlik ofte store problemer. Klienten er enig og signerer, men angrer etterpå og melder advokaten til foreningen. Jeg har ikke opplevd det med rettsmekling ... men det kan være bedre å få en dom og tape enn å inngå et forlik.»
Hva som er «best» av å tape i rettssalen eller å sitte igjen med et forlik man ikke kan forsone seg med, er diskutabelt, og ganske sikkert personavhengig. Både blant dommere og advokater er det mange som føler et ansvar for å styre en urealistisk klient inn i et forlik for å unngå et rystende og enda dyrere nederlag i rettssalen:
(Mekler, sak forlikt:) «[Den krenkede parten] hadde veldig liten forståelse for den andre siden. Mitt mål var å få lagt dette dødt, så de kunne gå videre i livet hver for seg. Jeg burde vel skjønt at det ikke ville lykkes. Men jeg tror at det er bedre å få et rettsforlik enn å få en dom mot seg. [Den krenkede parten] hadde lite å fare med i retten, og det gjorde jeg klart.»
(Advokat, sak forlikt:) «Man skal jo ikke overprøve voksne mennesker, men det var godt for begge parter å få saken vekk. Det er et dilemma – hvis det er best for klienten, har man en selvstendig plikt til å ‘sette seg på ham’. Jeg gjorde det her. Og mekleren også.»
I noen av de sakene som vi har sett på i dette avsnittet, virker det ganske åpenbart at den krenkede part er blitt spart for alvorlig svie under en hovedforhandling. I andre er det snarere tale om noen tusen kroner i den ene eller den annen retning, i tillegg til en anerkjennelse av at man hadde mer eller mindre rett. Det er ikke godt å vite om de krenkede partene ville slått seg mer til ro med en dom de ikke var fullt ut fornøyd med, enn med forliket. Det er imidlertid en emosjonell forskjell mellom å få en dom mot seg og å svikte seg selv og sin egen sak, slik noen av de krenkede partene åpenbart føler at de har gjort. Noen er nok ganske sårbare for det siste.
Funnene tyder på at det er svært viktig for en rettsmekler å forsikre seg om at parten er parat til å signere forliket og fullt på det rene med at det er mulig å si nei.Det kanføre til at noen få forlik ryker i siste sekund. Det kan likevel være å foretrekke fremfor forlik med forbitrelse.
3.6 Trengs rettsmekling?
3.6.1 Saker som er egnet og uegnet
Samtlige meklere er bedt om å liste opp hva slags sakstyper de betrakter som særlig godt egnet eller dårlig egnet for rettsmekling.
Hele 50 % av meklerne har merket av for alternativet «sakstypen spiller liten eller ingen rolle for egnetheten». Noen av disse har likevel angitt at enkelte sakstyper er «særlig godt» eller «særlig dårlig» egnet.
De sakstyper som oftest nevnes som velegnetfor rettsmekling, er:
Fast eiendom/avhending
Familiesaker, herunder ekteskap/ektefellers formuesforhold/barnefordeling/ samværsrett
Økonomiske forhold/gjeld/pengekrav
Arbeidsrett
Bygg/entreprise
Nabotvister
Enkelte anlegger en annen synsvinkel og nevner saker med strid om faktum, saker der en dom vil bygge på skjønn, eller saker der begge har opptrådt dumt eller klanderverdig. Et par meklere nevner spesielt saker der personlige relasjoner er fremtredende og/eller saker der det er viktig å bevare et godt forhold mellom partene.
Sakstyper som går igjen som lite egnetfor rettsmekling, er:
Saker der det offentlige er part, herunder forvaltningsspørsmål/vedtak/ inngrep/skatt
Samværsrett
Noen nevner saker med mange parter eller stor ulikhet mellom partene. Andre er skeptiske til saker som er «utpreget juridiske», prinsippsaker, «enten/eller»-saker, eller saker der partene er uten fri råderett.
Det er spesiell grunn til å bemerke at samværsrett figurer på begge lister.Flere som angir familierettsområdet som egnet, unntar samværsrett.
3.6.2 Andre tvistemålsordninger
Respondentene er ikke systematisk invitert til å vurdere rettsmekling opp mot andre tvistemålsordninger. Enkelte parter og prosessfullmektiger har imidlertid kommentert alternativer – oftest forliksrådet, men også voldgift og klagenemndsbehandling. Som oftest fremholdes rettsmekling som et bedre alternativ enn disse:
(Advokat:) «Nemnder er neppe noe alternativ til rettsmekling. Der dreier det seg om småsummer som ikke skal til retten. Rettsmekling gjelder rettssaker.
Når en skal ha en stevning og advokathjelp må saken gjelde minst 30.000 kr, ellers blir det for dyrt.»
(Advokat:) «Rettsmekling har en helt annen tyngde enn et møte i forliksrådet.
Å møte en dommer er noe annet – og kompetansen er en annen. I rettsmekling er det alltid helhjertede forsøk på å finne en løsning. Forliksrådene har overlevd seg selv, og voldgift er for dyrt.»
(Part, sak forlikt:) «Jeg var i Forliksrådet, det var ikke rart saken ikke ble løst der" De bare satt der, bidro ikke, bare ga ordet til den ene og den andre og sa så ‘her blir det ingen enighet uansett’ – de var bare interessert i at én part skulle be om henvisning til retten.»
(Part, sak forlikt:) «Det største punktet i saken hadde jeg et løsningsforslag til i forliksrådet, da sa motparten blankt nei. I rettsmeklingen gjentok jeg tilbudet, og da aksepterte han det tvert. Jeg spurte ‘hvorfor godtok du ikke dette i forliksrådet?’; da nektet han for å ha fått et slikt tilbud der. Skyldtes aksepten at dommeren dyttet litt på?»
Det er imidlertid ikke full enighet om at forliksrådsbehandling bør utgå til fordel for rettsmekling:
(Advokat:) «Forliksrådet har vært en billig løsning av tvistespørsmål mellom privatpersoner. Rettsmekling er en langt mer kostbar måte å løse konflikter på.
Jeg er i tvil – forliksrådene har en misjon i enkle saker.»
Noen er også i tvil om behovet for en slik institusjon, iallfall på noen saksfelt:
(Advokat:) «Jeg har vært litt skeptisk til rettsmekling rent generelt. Det er allerede en høy forliksprosent i arbeidsrettssaken – det er ikke sikkert at rettsmekling er noen nødvendig tilvekst. Iallfall ikke på alle områder.»
3.6.3 Pro- og kontra-argumenter
Meklerne er bedt om å ta stilling til et sett med pro- og kontra-argumenter. Vurderingene er oppsummert i figur 3.41.

Figur 3-41 Gjennomsnitt der 1 = «Helt uenig» og 5 = «Helt enig». Meklernes synspunkter (N=102)
Det er størst oppslutning om de tre pro-argumentene(øverst i figuren). Utsagnet «Under rettsmekling får dommeren en klarere og tydeligere rolle enn under tradisjonelle forliksforhandlinger» oppnår en gjennomsnittlig tilslutning på 4,0. Det samme får påstanden «Rettsmekling har ført til at flere saker forlikes enn tidligere». Som vi har sett, tyder tallmaterialet på at dette i noen grad stemmer (se avsnitt 3.1, s 50). Det er mer tvil blant meklerne om rettsmekling effektiviserer saksforberedelsen selv uten forlik (snitt = 3,2 – se avsnitt 4.2 og 4.3 ovenfor for en nærmere drøfting av dette).
Det kontra-argumentetsom tillegges størst vekt, er at den svake part vil kunne strekke seg for langt i saker der partene ikke er likestilt mht økonomiske ressurser og/eller faglig innsikt. Rundt 30 % sier seg helt eller delvis enig i dette (snitt = 2,9; se også tabell 20, s 115, og avsnitt ?, s ?, for en nærmere drøfting).
Drøyt 20 % sier seg helt eller delvis enige i at rettsmekling fører til uforholdsmessig høye saksomkostninger når saken ikke forlikes (snitt = – 2,8). Forholdsvis få meklere mener at rettsmekling fører til at dommerens rolle blir uklar. 10 % sier seg delvis enig i dette, og bare 2 % sier seg helt enig (snitt = 2,1).
3.6.4 Deltagernes samlede vurdering
Som figur 3.41 viser, gir et klart flertall blant både parter, prosessfullmektiger og meklere uttrykk for en positiv samlet vurdering av rettsmekling. Bildet inneholder imidlertid noen nyanser vi skal se nærmere på.

Figur 3-42 Gjennomsnitt der 1 = «Slett ikke» og 5 = «Absolutt»
Rundt halvparten av partene og meklerne og nesten to tredjedeler av prosessfullmektigene har angitt at rettsmeklingen «fungerte omtrent som ventet»(snitt = 3,0–3,5). Som rimelig kan være, er meklingen mer i samsvar med deltakernes forventninger når saken forlikes (snitt = 3,6 mot 2,8 for partene, 3,3 mot 3,0 for prosessfullmektigene, og 3,3 mot 2,4 for meklerne).
(Part, sak ikke forlikt:) «Jeg visste jo ikke så mye Jeg opplevde meklingen som meget positiv. Skulle gjerne sett det ende der og da.»
Partene gir klart uttrykk for at rettsmekling er mindre stressendeenn en rettssak. Nesten to tredjedeler sier seg helt enige i dette, mens bare 5 % er helt eller delvis uenige (snitt = 4,4).
(Part, sak forlikt:) «Mekleren var veldig hyggelig mot begge parter. Jeg gruet fælt på forhånd, sov ikke – rettssak" Og skilt med navnet mitt i Tinghuset" – men det var ingenting å være redd for.»
(Part, sak ikke forlikt:) «Jeg hadde trodd vi skulle sitte hver for oss, ikke sammen. Det ble atskillig tøffere enn ventet.»
En uformell «setting» medvirker til stressreduksjon. Flere fremholder at møterom er mer egnet enn rettssaler til meklingsmøter. Dersom rettssal må bebyttes, bør mekleren unngå å benytte dommerinngangen og dommerbordet.
Et klart flertall av partene angir at rettsmeklingen bidro til at de har fått mer tillit til rettsapparatet –to tredjedeler merker av skåre 4 eller 5 her (snitt = 3,8). Såpass mange som 13 % merker imidlertid av 1 eller 2. I de (nokså få) sakene som endte uten forlik,er andelen med redusert tillit til rettsvesenet hele 25 %.Dette understreker at rettsmekling innebærer en viss risiko for tilbakeslag dersom forhandlingene ikke fører frem.
Deltagernes samlede syn på rettsmekling kommer klarest til uttrykk i partenes svar på hvorvidt de vil anbefale rettsmekling til andre, og prosessfullmektigers og mekleres svar på om de vil anbefale rettsmekling som en generell ordning. Snittskårene er 4,3 for samtlige grupper. Svarfordelingen fremgår av tabell 3.18 nedenfor. Rundt regnet 10 % er usikre. Hele 50 % av respondentene er uforbeholdne i sin anbefaling,mens en drøy tredjepart tar noen forbehold. Bare 3 % av partene og meklerne og 7 % av prosessfullmektigene stiller seg negative til rettsmekling.
Tabell 3.18 Om partene vil anbefale rettsmekling til andre, og om prosessfullmektiger og meklere vil anbefale rettsmekling som generell ordning Prosent som angir alternativet som er oppgitt øverst
| Absolutt ikke | Vil nok ikke tilrå det | Vil ikke mene noe om det | Vil nok tilrå det | Vil absolutt tilrå det | |
|---|---|---|---|---|---|
| Parter | 2 | 1 | 9 | 38 | 50 |
| Prosessfullmektig | 2 | 5 | 6 | 37 | 50 |
| Meklere | 1 | 2 | 11 | 34 | 52 |
Under intervjuene har mange partergitt rettsmeklingsordningen en uforbeholden – eller nesten uforbeholden – anbefaling:
(Part, sak forlikt:) «Jeg tror det er en god ordning. At begge parter kan gå ut med hevet hode er uhyre viktig" Det er vanskelig å komme til forlik når pressen har vinklet saken en eller annen vei.»
(Part, sak forlikt:) «Greit apparat, ryddig – jeg følte at vi var på nøytral mark. Vi hadde holdt på så lenge" Man posisjonerer seg da. Vi måtte komme ut av det. Rettsmekling var en veldig ålreit opplevelse" Det må være en fordel for Mor Norge – mindre ressursbruk. Skjønt dette var en liten sak, den ville ikke tatt all verdens tid.»
(Part, sak delvis forlikt:) «Har rådet en nabo som kjøpte råttent hus å prøve rettsmekling – en rettssak kan jo trekke i forferdelig langdrag. Det var veldig fint å prøve rettsmekling. Men jeg var jo veldig passiv.»
(Part, sak forlikt:) «Absolutt, hvis saken kan løses så greit som her. Jeg var urolig for saken i ferien, den kvernet i hodet – jeg var alvorlig lettet da jeg var ferdig her" Men mekleren må være dyktig nok – mekleren spilte en vesentlig rolle.»
Det er interessant å bemerke at parter i saker som endte uforlikt,er litt, men ikke mye mer tilbakeholdne med å anbefale rettsmekling til andre (snitt = 4,2 mot 4,4 for parter i forlikte saker). Og mange parter som selv var misfornøyd med rettsmeklingen, nøler likevel ikke med å anbefale ordningen til andre:
(Part, sak ikke forlikt:) «Det blir billigere. Man bør ikke gå i rettssalen med beløp under 500.000. Minst mulig formalia" Det var en positiv erfaring, gikk stille og rolig for seg – jeg greier ikke rop og skrik" Derfor satt jeg igjen med en rolig følelse.»
(Part, sak ikke forlikt:) [«Du vil anbefale rettsmekling til andre, selv om du er misnøyd selv?»] «Dette var ingen dyktig mekler. Men systemet høres fint ut. Å komme til en løsning, få renset luften – om vi hadde hatt en god mekler som la litt press, kunne vi kommet til et annet resultat.»
(Part, sak ikke forlikt:)«Ja. Vi burde vært spart for det i en slik sak. Men de fleste saker bør kunne ordnes på en slik måte.»
(Part, sak forlikt:) [«Du anbefaler rettsmekling, til tross for at dette var lite vellykket for deg?»] «Heller et slikt møte enn å bli dradd gjennom rettsapparatet" Saken kunne vært gjort opp før, om advokatene hadde gjennomgått lignende saker.»
Flere advokaterhar i intervju gitt uttrykk for at de slutter helhjertet opp om rettsmekling som generell ordning så sant den skal inngå som et tilbud,ikke som et obligatorisk innslag i alle saker. Det er mulig at en del av de mer forbeholdne skårene i tabell 3.18 skyldes usikkerhet om hva som lå i formuleringen «generell ordning», og at oppslutningen blant advokater egentlig er høyereenn tabell 3.18 og figur 3.42 gir inntrykk av. De følgende utsagnene er typiske:
(Advokat:) «Jeg har veldig god erfaring med mekling, selv når det ikke blir forlik. Det demper en del motsetninger, vi får en grei og ryddig hovedforhandling da. For mange parter er det den eneste gangen de kommer i retten. De får møte en dommer som mekler, en som har satt seg inn i saken, og de får høre på hverandre. De blir mer bevisst på saken i seg selv, mindre på å vinne eller tape.»
(Advokat:) «Det er rart de ikke har begynt med rettsmekling før" Jeg vil absolutt tilrå denne ordningen. Den vil spare oss for mye. Folk har bedre av å finne en løsning. I barnefordeling f eks – hvis foreldrene kan gå tilbake til barna og si at ‘mor og far har bestemt at ...’, dét har en egenverdi. Følelsen av å ha løst noe. Det generelle spenningsnivået i samfunnet bør ned.»
(Advokat:) «Jeg har opplevd én sak der rettsmeklingen var utpresning, men jevnt over har jeg opplevd rettsmekling som veldig positivt – men det har kanskje mye med en bestemt mekler å gjøre? Det er bra at man får klargjøre i separate rom, uten å være redd for hva motparten får høre.»
Noen advokater er mer i tvil:
(Advokat:) «Det ligger en fare i at partene føler seg tvunget inn i et resultat de ikke er særlig fornøyd med" Får de en dom, har de også fått avgi forklaring og ført vitner, om de taper da, kan de leve med det. Rettsmekling tidlig i prosessen gir en mindre følelse av rettssikkerhet – av ‘fair trial’. Folk har en firkantet rettsfølelse, de må få følelsen av at saken er grundig behandlet og vurdert. Men mye er avhengig av meklerens person. Vi har jo et meklingsinstitutt i tvistemålsloven, dommeren skalforsøke å megle – er rettsmekling så annerledes? Advokater driver mekling hver dag.»
(Advokat:) «Rettsmekling er en positiv ordning, som med fordel kan benyttes alle steder. Men et negativt trekk er dommere som går inn og reduserer salærer fordi ‘det er arbeidet for mye med saken i forhold til stadiet’" Det er jo to parallelle løp; man må kunne utarbeide prosesskrift selv om rettsmekling er aktuelt.»
Det er for øvrig interessant å notere at prosessfullmektiger med fem eller flere rettsmeklinger bak seg,er sterkere i sin anbefalingenn prosessfullmektiger med liten erfaring (snitt = 4,5 mot 4,2 for debutantene).
Fra meklerneer det innhentet både muntlige og skriftlige kommentarer. Også blant dem tas det noen forbehold pga tvil om hvorvidt uttrykket «generell ordning» betyr at rettsmekling skal være obligatorisk i alle saker. Mange understreker at rettsmekling må være frivillig, og at partene ikke må føle seg presset til å samtykke.
I sine begrunnelser viser mange dommere til pro- og kontra-argumentene vi har gjennomgått i avsnitt 6.3 (s 104). Blant de positivekommentarene nevnes disse:
(Dommer:) «Det har i praksis vist seg at rettsmekling åpner for løsninger begge parter aksepterer som brukbare, men som de og deres advokater ikke makter å få til på egen hånd. Dette oppnås raskere og med mindre belastninger økonomisk og psykisk enn gjennom ordinær hovedforhandling i et stort nok antall saker til at det rettferdiggjør dette ekstra tilbud.»
(Dommer:) «Rettsmekling er rimeligere og raskere i de fleste tilfeller. Partene har tiltro til dommernes objektivitet og nøytralitet, samt faglige kompetanse – det gjør at de føler seg sikrere på at forliket er tilfredsstillende. Rettsmekling gir et alternativ til en dyr prosess, uten at partene føler at dommeren ‘trer forlik ned over hodene på dem’. Partene etterspørhjelp til å forlikes og får det – i stedet for å tro at de skal få en dom og blir møtt med en forliksivrig dommer».
(Dommer:) «Domstolene bør være et vidtrekkende konfliktløsende organ som kan tilrettelegge for ulike alternative konfliktløsningsmodeller – som passer partene og saken best. Bør også i enkelte tilfeller kunne kombineres med det danske ‘tilkjennegivende’ av forventet resultat.»
(Dommer:) «Jeg ser på rettsmekling som en tilpasning av domstolenes rolle til utviklingen i samfunnet.»
(Dommer:) «Jeg har aldri besluttet rettsmekling hvis ikke partene ønsker det. Det er vanskelig å se noe argument for å nekte parter som ønsker rettsmekling å få det.»
(Dommer:) «Jeg varpositivt innstilt, men er langt merentusiastisk nå. Meklingen er ikke bortkastet selv når den ikke fører frem.
(Dommer:) «Det er stort sett et gode at folk blir enige utenrettslig – også i tvister som ville ha falt annerledes ut ved dom. Bringes tvisten inn for retten, vil det stort sett være et gode å få den løst raskt og billigst mulig, på lavest mulig konfliktnivå. Hensynet til dette vil stort sett veie tyngre enn de rettssikkerhetshensyn som ivaretas ved pådømmelse. Ved rettsmekling uten bevisførsel vil det regelmessig ikke kunne forutsies hva resultatet vil bli ved pådømmelse. Da er det ikke mer betenkelig at domstolene medvirker til konfliktløsning på denne måten enn at partene forlikes uten at sak blir reist.»
I tillegg til frivillighet, nevner flere dommere andre forutsetningerfor å anbefale rettsmekling som generell ordning:
(Dommer:) «En generell ordning må forutsette at dommere som driver rettsmekling gjennomgår en obligatoriskutdanning i emneområdet tilsvarende flere dagers ‘klasserom/seminar’-undervisning. Ingen uten teoretisk grunnutdanning i faget bør få anledning til å drive ‘ rettsmekling’.»
(Dommer:) «Autoriteten til dommeren spiller nok en rolle for å få partene til å forstå at saken kan ses fra flere vinkler. Dermed er domstolene en av flere ‘instanser’ som kan være egnet, men dommernes personlige egenskaper og kompetanse varierer. Skal rettsmekling innen domstolene ikke komme i miskreditt, bør det derfor (1) gis klare retningslinjer for hvor aktiv/passiv mekleren kan være, (2) åpnes for at dommere som ikke ønsker å mekle slipper å gjøre så, (3) legges opp til at advokatene kan få gi tilbakemelding om sitt syn på hvordan dommeren har vært som mekler, (4) legges opp til at partene/prosessfullmektigene kan få komme med ønske om hvemde vil ha som mekler.»
Et par dommere tar også forbehold om at det bør fastslås at meklingen ikkemå utføres av dommere, eller at dette iallfall må diskuteres (se avsnitt 7.1, s 113).
Noen dommere gir uttrykk for tvil,eller fraråder rettsmeklingsom generell ordning:
(Dommer:) «Ikke i nåværende form – for uklart skille mellom mekler- og dommerrollen. Som et ledd i rettspleien bør mekling kunne gjennomføres, men da av andre personer enn dommere.»
(Dommer:) «Neppe vesentlig flere forlik. Økte omkostninger for parter og domstolene. Gjør dommerrollen uklar.»
(Dommer:) «‘Kverulanten’ vinner i rettsmeklingen.»
(Dommer:) «De gangene partene forlikes synes jeg det er en god ordning som bør innføres fast. De gangene det ikke går – og det er de fleste – synes jeg meklingen forlenger og fordyrer saksbehandlingen.
3.6.5 Rettsmekling i annen instans?
Om rettsmekling er et egnet tilbud i en ankedomstol, har vært noe omdiskutert.
I utgangspunktet er det rimelig å anta at forliksviljenvil være mindre i ankedomstolen, siden én part allerede har fått medhold i første instans. Som vi allerede har sett ( figur 3.18 i avsnitt 3.1, s 52) er da også forliksprosenten ved rettsmekling lavere i Agder lagmannsrett enn i by- og herredsrettene.
At det allerede foreligger en dom, kan også ha en innvirkning på gjennomføringen av meklingen:
(Dommer:) «Det er en forskjell på første og annen instans når det gjelder domsprognoser under meklingen. Vi sitter med en dom, med en juridisk gjennomgåelse – så jeg sier at ‘vi harfått en nøytral juridisk vurdering, dere kan være uenige i den, men jeg vil vite noe om fakta, ellers kan vi gå rett til rettssalen’. I rettsmekling for første instans er det et større behov for en ‘rettsbelæring’. Hos oss er poenget å bruke førsteinstansavgjøreslen til en praktisk tilpasning til partenes interesser.»
Tabell 3.19 viser at oppslutningen om rettsmekling som generell ordninger noe mindre blant dommere i Agder lagmannsrett enn blant dommerne i by og herredsrettene. Siden antall respondenter i Agder lagmannsrett er lite – 7 i tallet – gir enkeltpersoners synspunkter store utslag. Forskjellene er imidlertid statistisk utsagnskraftige.
Tabell 3.19 Om meklerne vil anbefale rettsmekling som generell ordning Prosent som angir alternativet som er oppgitt øverst
| Absolutt ikke | Vil nok ikke tilrå det | Vil ikke mene noe om det | Vil nok tilrå det | Vil absolutt tilrå det | |
|---|---|---|---|---|---|
| Førsteinstans (n=96) | 0 | 2 | 10 | 34 | 53 |
| Agder lgm-rett (n=7) | 14 | 0 | 14 | 29 | 43 |
Forskjellene til tross, er den vanligste erfaring i Agder lagmannsrett øyensynlig at rettsmekling er anvendelig og nyttig også i annen instans.
(Dommer:) «Jeg mener bestem at rettsmekling bør ha en stor plass også i en ankedomstol. I annen instans kan man enten ta for seg jusen i rettssalen, eller det praktiske i rettsmekling. Med forlik under rettsmekling slipper man unna ankegebyret. Med effektiv rettsmekling, kan en kanskje få betraktelig høyere forliksprosent. Uansett er det svære besparelser i å få forlik tidligere. Og folk lever ikke så godt sammen når én vinner og én taper.»
(Dommer:) «Det skulle bare mangle at rettsmekling ikke skal kunne fungere i en ankedomstol" Saken kan nok virke fastlåst, men partene er desto mer slitne og ønsker å bli ferdig. Kostnadene teller jo også.»
Ut fra materialet fra evalueringen er det ingen spesiell grunn til å unnta anneninstansdomstoler fra en eventuell generell rettsmeklingsordning. Én dommer påpeker imidlertid et formelt poeng:
(Dommer:) «Jeg er i tvil om det bør være anledning til rettsmekling i lagmannsretten dersom dette allerede har vært forsøkt i første instans. Da benytter man samme institusjon to ganger. I så fall bør det iallfall engasjeres eksterne meglere.»
3.7 Meklerrollen
Figur 3.45 viser et knippe påstander om meklerkompetanse og hvordan dommerne stiller seg til disse. Bak disse svarene skjuler det seg ganske sprikende oppfatninger om hva rettsmeklingsinstituttet og meklerrollen består i, og bør bestå i.Vi kan finne de samme sprik i «underliggende meklingsfilosofi» blant parter og advokater.
Noe forenklet kan vi si at det går et hovedskille mellom dem som mener meklerrollen skal avgrenses til ren tilretteleggelse for interessebasert forhandling og dem som mener at en rollen bør omfatte dommerautoritet. Ulikhetene i tenkning og holdning kommer tydeligst til uttrykk i standpunktene til to prinsippielle spørsmål: Om mekleren skal være garantist for et korrekt resultat, og om mekleren bør antyde noe om sannnsynlig utfall ved dom.
Vi skal gjennomgå argumentasjon vedrørende disse spørsmålene og vurdere ulike former for konfliktintervensjon med utgangspunkt i Friedrich Glasls arbeider.
3.7.1 Skal mekleren være garantist for et korrekt resultat?
I diskursen omkring rettsmekling har den viktigste innvendingen mot bruk av ikke-jurister som meklere vært at disse «kan risikere å bidra til et forlik som er i strid med gjeldende rett».Drøyt halvparten av dommerne sier seg helt eller delvis enige i dette utsagnet, mens rundt 20 % sier seg helt eller delvis uenig (snitt = 3,6; se figur 3.42 ). Samtidig erklærer over 80 % av dommerne at «en rettsmekling må kunne gi folk anledning til å bli enige seg i mellomuavhengig av hvordan en dommer vil vurdere gjeldende rett». Bare 4 % er delvis uenig i dette; ingensier seg helt uenig (snitt = 4,3).

Figur 3-43 Gjennomsnitt der 1 = «Helt enig» og 5 = «Helt uenig»
Dette siste funnet skulle tyde på at dommerne stort sett avviser at rettsmekleren skal opptre som garantist for et «riktig» resultat.Enkelte dommere gir også uttrykk for et slikt standpunkt i intervju:
(Dommer:) «Jeg løser det meste ved utenomrettslig forlik, der advokatene tar seg av detaljene – jeg ser ikke nødvendigvis avtalen en gang. Andre dommere mener at vi skal være garantister for et riktig resultat – men mange anker trekkes før hovedforhandling fordi partene er kommet til enighet, og vi forlanger jo ikke å få se avtalen da" Folk må få ta egne valg.»
Intervjumaterialet viser imidlertid at det er atskillig uenighetom denne tankegangen:
(Dommer:) «På Sander-kurset ble det stadig stilt spørsmål om hva man gjør hvis forliksløsningen blir helt gal. Foreleseren sa at man overhodet ikke skal ta hensyn til det, men de fleste dommere vil nok kvie seg for å medvirke til et slikt forlik.»
(Dommer:) «I USA betrakter man det som likegyldig hva slags forlik det blir, men da kan den sterkeste vinne. Det er vanskelig for meg, etter norsk tradisjon. Hvis forliket ligger utenfor visse rammer, er det vanskelig å være med på det. Forliket må ha en forankring i faktum og jus" ... men de må jo ha litt spillerom, óg.»
(Dommer:) «Jeg tror ikke det er tvil om hva mekleren mener. Vi mekler annerledes enn i USA. Noen må fortelle dem om hva som er helt håpløst og få parkert det. Da er dommerrollen viktig. Men jeg er kanskje litt for tydelig?»
Spørsmålet om mekleren som garantist settes på spissen når det er tale om en klar skjevhet mellom partenei økonomiske, faglige eller personlige ressurser.
Meklernes vurdering av denne risikoen fremgår av se tabell 3.20 nedenfor (se også figur 3.40, s 104). Som vi ser er det bare et beskjedent antall som sier seg heltenig i utsagnet, men det er også få som mener at dette ikke innebærer noen risiko overhodet.
Tabell 3.20 «I saker der partene ikke er likestilt mht økonomiske ressurser og/eller faglig innsikt vil den svake part kunne strekke seg for langt» Prosent blant meklerne som angir det svaralternativ som er oppgitt øverst
| 1= Helt uenig | 2 | 3 | 4 | 5 = Helt enig | Sum |
|---|---|---|---|---|---|
| 6 | 30 | 33 | 26 | 5 | 100 |
Selv om en god del meklere sier seg helt eller delvis enige i at svake parter kan løpe en risiko i rettsmekling er det få meklere som har fortalt om slike tilfelle under intervjuene. Iallfall noen dommere er parat til å gå ganske langt i å beskytte den svake part, mens andre er mer tilbakeholdne:
(Dommer:) «I én sak hadde en beskjeden part den beste saken, men motparten var krigersk. Jeg syntes saken var uegnet og sa til dem at ‘saken bør behandles på vanlig måte, med sakkyndige’. Jeg nærmest trakk meg. Så inngikk de utenrettslig forlik hvor den beskjedne part ga seg.»
(Dommer:) «Jeg ville aldri medvirke til et forlik der én part ser ut til å la seg overkjøre fordi han er engstelig. Da ville jeg flagge min tvil om hvorvidt det var fornuftig å inngå forlik.»
(Dommer:) [«Har ikke mekleren en plikt til å styre unna et urettferdig resultat?»] Slik du stiller spørsmålet ... hvis jeg var sikker på hva som var riktig, ville jeg signalisere det. Men det er sjelden det er en så klar sak.»
Flere meklere gir uttrykk for at så lenge en part møter med prosessfullmektig, er det dennes oppgave å ivareta klientens interesser.
(Dommer:) «Det er nesten alltid advokater med på begge sider; dommeren fratas noe av det ansvaret da. Det er ikke noen god løsning at dommeren hele tiden skal finne ut hvem som er svakest og være dennes prosessfullmektig.»
Dette streker i og for seg opp en grei rollefordeling, men løser kanskje ikke problemet i tilfelle der den ressurssvake part bistås av en mindre dyktig advokat enn motpartens.
(Dommer:) «Jeg har ikke sett noen risiko knyttet til skjevhet mellom partene. Men man må jo være oppmerksom på det. Det er trygt at mekleren mener noe selv dersom én part har dårlig advokat. Man må ikke presse en slik part – dét kan være en fare, dersom man har ‘enighet uansett’ som mål for meklingen.»
De tilfelle både advokater og meklere er mest opptatt av, er det fåtall saker hvor én part møter uten prosessfullmektig.Her går flere kommentarer i retning av at mekleren må innta mer av en dommerrolle og se hen til et sannsynlig resultat ved hovedforhandling:
(Dommer:) «Jeg er veldig oppmerksom når en svak part møter uten advokat.
Da tenker jeg mer som i tradisjonelle meklingssituasjoner, og ser mer hen til hva resultatet ville blitt.»
(Dommer:) «Jeg har meklet der én part møtte uten prosessfullmektig én gang; det var ubehagelig, og det ble ikke noe forlik. Jeg ville satt foten ned – man kan si at ‘det er ikke grunnlag for noen løsning her’, selv om det er det. Men det må ligge an til en ganske urimelig løsning om man skal gjøre det.»
Følgende partsutsagn understreker at en situasjon med bare én prosessfullmektig er svært komplisert:
(Part, sak forlikt:) «Mekleren samarbeidet med motpartens advokat – spurte denne til råds under skrivingen. Mekleren var partisk"»
3.7.2 Bør mekleren gi domsprognoser?
Som vi allerede har sett (avsnitt 2.5, s 42 ff), ser mange parterdet som positivt dersom mekleren klargjør et sannsynlig utfall i retten:
(Part, sak forlikt:) «Mekleren bør absolutt si noe om hvordan det vil gå i en rettssak" Det blir mye tøffere der. Vi legfolk har ikke forutsetninger for å forutse det.»
(Part, sak forlikt:) «En prognose ville hatt betydning. Hvis hun sa ‘du har ikke nubbetjangs’, ville jeg hørt på henne og gjort det jeg kunne under meklingen. Hvis hun ga noen åpninger, ville det også vært veldig nyttig ... [«Dette er omdiskutert ..?»] Jeg skjønner ... men mekleren skal vel bidra til en løsning, ikke dra saken gjennom rettsapparatet uten grunn? Så sant de tenker på et rettferdig utfall, ikke bare på å få saken ut av verden.»
(Part, sak forlikt:) «Det er vel greit at man får beskjed? Man sparer én av partene da? Dommeren vet jo hvordan saken strekker seg juridisk. Det er ganske hyggelig å bli opplyst om at man ligger dårlig an. Det vil spare mye penger.»
(Part, sak forlikt:) «Mekleren sa på tomannshånd at ‘dere har en dårlig sak’. Vi skjønte det selv" [‘Prognoser er omdiskutert ..?’] Det fungerte veldig bra, mekleren var upartisk, og det som ble sagt om utfallet virket innlysende.»
(Part, sak ikke forlikt:) «Om saken er rimelig klar når det gjelder faktiske forhold, og bare den juridiske tolkningen gjenstår, da børmekleren si at ‘det er 80 % sannsynlig at avgjørelsen vi gå i deres disfavør’. Ellers blir det som i forliksrådet, folk som synser og mener. Om man har en ekspert, en dommer, er ressursen bortkastet om du ikke får en vurdering.»
Andre er negativt innstilt:
(Part, sak forlikt:) «Det ville gått ut over meklerrollen om dommeren hadde sagt at vi hadde en god eller en dårlig sak. Begge parter hadde belyst saken med sin advokat. Jeg ville ikke likt å få beskjed om hvordan saken sto.»
(Part, sak ikke forlikt:) «Mekleren antydet ‘50/50 for og imot’. [«Hva om mekleren hadde sagt at ‘dere ligger an til å tape saken?’»] Vi måtte ha tenkt over det da, vi kunne jo vente noen dager med å avgjøre. [«Ville du foretrukket en klar prognose, eller at mekleren lot det være?»] Jeg tror jeg ville foretrukket at han lot det være. Jeg vil heller at advokaten sier hvordan hanser det.»
Enkelte advokaterfremholder med stor kraft at en mekler som ikke gir en domsprognose, svikter sin oppgave:
(Advokat, sak ikke forlikt:) «Fordelen med rettsmekling er at partene i tvilsomme saker kan få signaler fra dommeren – at de ser at de kan vinne på et forlik. Partene kan ikke sitte der med en passiv dommer. Dommeren må signalisere ut fra faktum og jus. Vår dommer var ikke oppdatert – ga uttrykk for et galt syn på gjeldende rett, og var uvillig til å signalisere, også på direkte spørsmål i særmøte. Hele essensen i meklingsløsningen er at mekleren skjønner jusen.»
(Advokat, sak ikke forlikt:) «Saken gjaldt et helt nytt rettslig spørsmål som ikke har vært prøvet. Det er nødvendig at dommeren sier noe da – ikke bare ‘dette er en ny rettslig problemstilling, så jeg vel nødig si noe om jusen’. Vi burde vel ha gått da"»
(Advokat, sak ikke forlikt:) «Hvis dommeren ikke skal gi en prognose – hva er da poenget med rettsmekling? Mekleren vil ikke få utrettet noe hvis han skal være redd for å inhabilisere seg.»
Andre er mer moderate:
(Advokat, sak ikke forlikt:) «Mekleren klargjorde ut fra bevisene slik de sto da, at saken tippet i motpartens favør. Greit" Sakslista var ikke avsluttet, vi kommer med ny dokumentasjon til hovedforhandling. Jeg synes det er greit med prognoser i saker der resultatet i retten blir enten/eller. For å bevege partene.»
(Advokat, sak forlikt:) [«Kan det være en risiko for at rettsmekling blir en ‘prøvedomstol’ eller ‘standrett’ hvis mekleren gir en prognose?»] «Det kan hende, men det er ingen aktuell problemstilling slik rettsmeklingen fungerer her. Her er det mye å gå på" Mekler kan gjerne gi en prognose, med litt takt og smidighet. I separate møter, ikke i fellesmøter.»
(Advokat:) «Jeg har opplevd at mekleren har gitt føringer, og synes det er positivt. Det er bra om dommeren kan sette ting på plass hva jusen angår, hvis advokaten er på tynn is og tar poenget. Det kan være nødvendig for å få gjennomslag under meklingen.»
(Advokat:) «Jeg synes dommeren bør gå så langt som til å si at ‘hvisjeg skulle avsagt en dom, ville det gått slik og slik’. [«Hva skjer da med meklerrollen?»] Jeg ser problemet, det må vel være helt mot slutten av meklingen? Det er problematisk hvis en vil ha et renskåret meklingsinstitutt. Det er jo ikke bevisførsel under meklingen, så man må være litt forsiktig – ikke avgi domsprognose i enhver rettsmekling. Men mekleren bør få folk til å forstå at de neppe vil vinne fullt ut" Si noe om sannsynligheter.»
(Advokat:) «Dommerne er ofte flinke – de er veldig tilbakeholdne inntil de føler tiden er inne. Jeg har opplevd én gang at dommeren har tatt for seg prosessfullmektigene hver for seg og gitt en korreksjon angående deres juridiske vurderinger – det var fair. Har også opplevd en mekler gi én part en litt tyngre korreks, det var bra – men mekleren bør være forsiktig med slikt.»
Mange advokater er klart skeptiske til domsprognoser:
(Advokat, sak forlikt:) «Mekleren var i veldig liten grad ‘dommer’. Dét har jeg opplevd i en annen domstol, der blir det for mye rettssak av det, og da blir klienten skremt.»
(Advokat:) «Mekleren bør være litt forsiktig med prognoser – iallfall med klaresignaler. Han skal megle, ikke gi resultatet på forhånd, da blir han ikke nøytral. Det blir vanskelig å forhandle om mekleren har gitt uttrykk for klare synspunkter. Men mekleren kan gi visse signaler som trenede prosessfullmektiger vil tenke på.»
(Advokat:) «Mekleren er jo den som kjenner saken dårligst.Han kan ha oppfatninger om jusen, men skal jo ikke dømme i saken.»
Én advokat peker på et risikomoment på lengre sikt dersom det blir vanlig med domsprognoser i rettsmekling:
(Advokat:) «Mekleren må være forsiktig med å antyde hva resultatet kan bli. Hvis en advokat får inn en sak som ’føles’ som er rettsmeklingssak, kan han prøve å utbrodere faktum i prosesskriftet for å påvirke dommeren i sin retning, siden det ikke er bevisførsel ved rettsmekling. Da er vi kommet i et uføre.»
Også blant meklerneer det svært delte meninger om domsprognoser. Noen er, under varierende grad av tvil, parat til å gi ganske tydelige signaler:
(Mekler, sak forlikt:) «Jeg brukte litt tid på å klargjøre for den ene siden at den situasjon som var oppstått, var deres ansvar, gjennom de beslutninger som var tatt. Det var en ny vinkling for dem, men de forsto det helt åpenbart – at nå måtte de redde stumpene.»
(Dommer:) «I én sak var det en opplagt taper. Jeg hadde da bestemt for å si det til ham om han ikke ville forlikes. ... Om en liten bit gjensto, ville jeg ikke greid å gi meg.»
(Dommer:) «Hvis jeg er rimelig sikker på utfallet, forklarer jeg fallhøyden, dvs tidsbruk og saksomkostninger, men sier også litt om at ‘resultatet vil ligge deromkring’». (Dommer:) «Dette er vanskelig – av og til må man prøve å få folk til å forstå at det vil gå i grøfta for dem om de ikke inngår forlik. Noen har jo ingen innsikt. Advokatene skal få klientene sine til å forstå realitetene, men der skorter det litt.»
(Dommer:) «Én gang kunne vi nok gått i mål om jeg hadde gitt et klart signal, men jussen var tvilsom, så jeg torde ikke. Jeg vurderer fra sak til sak, er ikke prinsippiell motstander av at mekleren gir klart uttrykk for sitt syn dersom begge parter er innstilt på det. Men det må skje i særmøte, så styrkeforholdet mellom partene ikke forrykkes. Prognoser er et viktig virkemiddel – en av fordelene ved rettsmekling. Jeg er blant de mer forsiktige. Jeg kommenterer helst enkeltpunkter, men kan så si at ‘derfor er dere ikke garantert noe heldig
utfall’, eller ‘saken er nok totalt sett i motbakke’. [«Burde ikke advokatene innse det selv?»] Jo, men det er forskjell på advokater. Jeg skal ikke mistenke dem for å ville tjene penger, men ...»
Mange dommere er imidlertid klart negative til å skulle antyde et resultat:
(Dommer:) «Prognose? Aldri" Selv ikke når én part har en dårlig advokat. Jeg kan si at ‘det er ikke opplagt at dét er en riktig lovforståelse’ og sepå prosessfullmektigen – da tar han signalet; det er gjerne den advokaten som kaster inn håndkleet til slutt. Jeg sier aldri noe om resultatet, men kan stille spørsmål, snakke om prosessrisikoen og vise til at motparten har et vitne eller en sakkyndig. Dommeren kan få et helt annet inntrykk gjennom hovedforhandlingen enn ut fra saksdokumentene.»
(Dommer:) «Jeg er sjelden sikker på utfallet. Jusen er ofte klar, men faktum kan være uklart. En hovedforhandling gir et betydelig bedre grunnlag. Jeg understreker heller at hovedforhandling er kostbart, at det kan komme frem ting man vil angre på, osv.»
(Dommer:) «Jeg er særdeles forsiktig med å gå for sterkt ut med en prognose, men er mindre forsiktig om det praktiske rundt bevisførselen: Én ting er å ha rett, en annen ting å kunne bevise det. Det er vanskelig å vite på forhånd hva slags inntrykk vitnene vil gi.»
(Dommer:) «Det smaker av galskap å forutsi et domsresultat når en ikke vet hva parter og vitner vil si». (Dommer:) «Jeg får alltid spørsmål om hvordan jeg tror saken vil falle ut, men gir aldri noen prognose. Jeg hører jo bare partene, har ikke sett bevisene. Jeg har opplevd at et siste, avgjørende vitne snur saken under hovedforhandling.»
(Dommer:) «Jeg vil være veldig forsiktig med å si at én part står svakt. Saker snur jo i lagmannsretten"»
(Dommer:) «Dommeren har en autoritetsposisjon, særlig overfor partene. De er kanskje i en rettstvist én gang i livet – hvis dommeren går ut og signaliserer noe om et resultat, vil de bli styrt i retning av det.»
3.7.3 Konfliktnivåer og intervensjonstyper:
Glasls konfliktteori
Den østerrikske antropologen Friedrich Glasl25 har gjennom sin konfliktteori levert et nyttig analytisk redskap for vurderingen av tilrettelegger- vs dommerrollen ved rettsmekling.
Konfliktstadier
Iflg Glasl utvikler konflikter seg gjennom ni typiske stadier. Disse er fremstilt i figur 3.43 på neste side.
De tre første stadiene er kjennetegnet av irritasjon, oftest på et moderat nivå. Det første tegnet til konflikt er at deltagerne ikke fører en fri og åpen diskusjon, men inntar posisjoner.Dette etterfølges gjerne av polemikkder det viktigste ikke lenger er å utveksle synspunkter, men å skåre poenger. Etter en stund ser en at én eller begge sider blir uinteressert i å diskutere og heller forsøker å blokkereden andre og dennes interesser gjennom atferd, gjerne i form av selvtekt.
Så langt er partene fortsatt først og fremst ute etter å oppnå noe.Men ved videre opptrapping blir det vel så viktig å vinne,og relasjonen mellom partene beveger seg over fra irritasjon til uvennskap.
Figur 4-44 Stadier i konfliktutvikling ifg Friedrich Glasl
Denne personliggjøringen av konflikten er tydelig på nivå 4, der partene begynner å karakterisere hverandre - overfor hverandre, ens egne nærmeste allierte, og kanskje også utad. Dette har langt på vei karakter av et spill, men kan gli over i det femte stadiet - avsløring. Dette stadiet kjennetegnes ved at den ene side endrer sin grunnoppfatning av den andre dramatisk - man «innser» at motparten «egentlig» mangler viktige moralske kvaliteter, og kan også bekjentgjøre denne nye innsikt for andre. Glasl betegner dette stadiet som et vendepunkt i konfliktforløpet. Veien er nå kort til det sjette, nemlig strategiske trusler, der man gjennom selvbinding og ultimata forsøker å tvinge frem en seier ved å varsle at man ikke har noe å gå på og er parat til å skade motparten.
I de tre siste stadiene er det skade som er hovedmotivasjon. Den annen part defineres som fiende.
Det første trinn er å forsøke å nøytralisere motparten, dvs svekke dennes angrepsevne. Fra slike defensive tiltak kan man avansere til forsøk på sprengning av motstanderen. Det innebærer at angrep settes inn mot forhold som er vesentlige for dennes identitet og selvoppholdelse. På det niende og siste stadiet er ikke engang ens egen skjebne av betydning lenger. Det altoverskyggende hensyn er å ta knekken på fienden, og man viker ikke tilbake for tiltak som fører til felles ødeleggelse.
Inngripen
Figur 3.44 viser hvilke intervensjonstyper som er egnet for konflikter på forskjellige nivåer.
Konflikter på de tre-fire første nivåer er relativt enkle å hanskes med, og belaster sjelden rettsvesenet. Det kan riktignok hende at én side saksøker en annen som ledd i en blokkering (nivå 3), men konflikten vil ofte ha nådd opp til iallfall «avsløring»-stadiet (nivå 5) før rettsapparatet involveres. Forholdet mellom partene er da såpass betent at seier har en egenverdi. Oppgaven for en tredjepart blir dermed å få partene til å se forbi uvennskapet og nå tilbake til et nivå hvor det viktigste er å oppnå noe.
Den bistand som trengs ved konflikter på de første nivåene, begrenser seg til kyndig diskusjonsledelse, eventuelt det man i organisasjonspsykologien kaller prosesskonsultasjon. Med prosesskonsultasjon siktes det til en arbeidsform der man setter søkelyset på hvordan partene kommuniserer og hva de kan gjøre for å samhandle konstruktivt og unngå opptrapping. Konflikter på nivå 4-6 kan iflg Glasl være egnet for sosioterapi. Dette er en mer dyptgående relasjonsorientert konsultasjonsform som rettes mot partenes oppfatning av hverandre med sikte på å motvirke irrasjonelle reaksjoner og forsvarsholdninger. Denne arbeidsformen er tidkrevende og krever spesialutdannelse.
Mekling er iflg Glasl en velegnet intervensjon i konflikter på nivå 5-7, dvs der partene har «avslørt» hverandre, truet hverandre og forsøker å nøytralisere hverandres skadepotensiale. Glasls oppfatning av mekling ligger nær Harvard-tilnærmingen (se avsnitt 1.1, s 17). I motsetning til prosesskonsultasjon og sosioterapi er mekling hovedsakelig saksorientert, ikke relasjonsorientert. Mekleren hjelper til med å klargjøre partenes intensjoner for dem selv og hverandre, korrigere feiloppfatninger, gi partene muligheter til å ventilere sine følelser, finne akseptable løsninger på sakskonflikten, og stille opp forholds- og spilleregler for fremtiden.

Figur 3-45 Anbefalt inngripen iflg Friedrich Glasl
Det er verdt å merke seg at Glasl betrakter anvendelsesområdene for mekling og tredjepartsavgjørelse som delvis overlappende. Tredjepartsavgjørelse omfatter voldgift og rettslig avgjørelse, og er en egnet intervensjonsform ved konflikter på nivå 6-8. Meklingens anvendelighet opphører iflg Glasl når partene når nivå 8, dvs har ødeleggelse av motparten som primært mål. På dette punkt - og kanskje før - har det liten hensikt å forsøke å få partene til å komme til enighet; det må fattes en beslutning som de må rette seg etter. Ved konflikter på nivå 9 har partene tapt enhver interesse for å bidra til en løsning, og konflikten kan bare begrenses ved ekstern maktbruk.
Konfliktnivåer og inngripen i rettsmeklingssammenheng
Prosesskonsultasjon og sosioterapi ligger utenfor det rettsmekling skal sikte mot - et raskt og rimelig forlik omkring et konkret saksforhold. En eventuell forbedring av forholdet mellom partene vil være et biprodukt av en vellykket meklingsprosess der partene unngår ytterligere opptrapping, og kanskje får øynene opp for at motparten har ett og annet poeng og ikke først og fremst er ondsinnet.
Selv om anvendelsesområdene overlapper, skiller Glasl klart mellom meklingog tredjepartsavgjørelse.Mekling innebærer forhandling og atferdsbegrensning ut fra en autonom beslutning, mens voldgift og dom innebærer at partene underkaster seg en ekstern beslutning. Med henvisning til Aubert poengterer han at en rettsliggjøring av en konflikt forutsetter at en strid om interesser, verdier og følelseromdannes til en uenighet om fakta og normer.Grunnlaget for å akseptere (voldgifts)dommerens avgjørelse er at denne fremkommer gjennom en legitim prosess med bruk av anerkjente kriterier.
3.7.4 Rettsmeklerens rolle: Vurdering
Ut fra en slik analyse blir det vesentlig for rettsmeklingens legitimitet at det er helt klart for de medvirkende om de deltar i en mekling eller underlegger seg en tredjepartsavgjørelse.
Våre funn tyder på at parter er lydhøre for meklerens vurderinger og prognoser og ofte retter seg etter disse (se avsnitt 2.5, s 42). I mange tilfelle setter de også pris på denne veiledningen. Det er imidlertid en betydelig risiko for at en part vil kunne sitte igjen med følelsen av at prosessen og utfallet manglet legitimitet, siden bevisførsel og prosedyre manglet. Som vi så i avsnitt 5.4 (s 97), er det noe slikt som – med rette eller urette – er skjedd med noen av de krenkede parter.
Dette betyr etter evaluators oppfatning at en mekler bør avstå fra domsprognoser.Det betyr antagelig også at meklere bør avstå fra å mene noe om hva som er en rimelig løsning.Det er ikke nødvendigvis samsvar mellom rimelighet og jus, men mange parter vil nok oppfatte slike utsagn som to sider av samme sak.
Slik evaluator ser det, er det mindre betenkelig om en mekler påpeker svake punkteri en parts argumentasjon. Riktig formulert kan dette tjene som en realitetsorientering som tydeliggjør at det foreligger en prosessrisiko, slik at parten kan ha interesse av å forlike saken. Siden vi har konstatert at partene ikke skiller så klart mellom slike påpekninger og en domsprognose, må det imidlertid gjøres uttrykkelig klart at påpekningen bare gjelder deler av saken og at mekleren ikke dermed har antatt noe om det samlede utfall.
I intervjuene har flere dommere gitt uttrykk for en tilsvarende oppfatning: Ved hovedforhandlingforholder man seg til fortiden, faktum og jus,ved meklingtil fremtiden, interesser og smertegrenser.En slik meklerrolle betyr nok at man gir avkall på noen relativt kraftige virkemidler i en avslutningsfase av en vanskelig mekling. Antagelig er det prisen verdt.
Spørsmålet om hvorvidt mekler skal stå som garantist for et rimelig resultat,er imidlertid ikke løst med dette. Dette spørsmålet er etter evaluators oppfatning enda mer komplisert. Påtar mekleren seg et slikt ansvar, må hun eller han nødvendigvis ha formet en domsprognose for sin egen del. Selv om denne ikke uttrykkes åpent, vil den iallfall et stykke på vei styre hva mekleren sier og gjør overfor hver av partene, hva slags press mekleren setter inn, og hvor mekleren velger å la grensen gå før hun eller han eventuelt konstaterer at «det ikke er grunnlag for noe forlik» (jvf avsnitt 7.1 ovenfor).
En slik bruk av jus- og faktumvurderinger har den betenkelige side ved seg at partene blir påvirket av meklerens vurderinger uten å bli kjent med dem. Dette dilemma unngås dersom mekleren velger å innta en ren tilretteleggerrolle.
Det er på den annen side ikke usannsynlig at en rettsmekling uansett vil bli oppfattet som en garanti for at alt har gått riktig for seg. Som flere av respondentene har bemerket, signaliserer betegnelsen rettsmekling at det dreier seg om noe annet enn en hvilken som helst hestehandel. Mekling i et rettslokale, attpåtil med en dommer som mekler, vil for svært mange ha en symbolsk betydning, der retten og mekleren iallfall oppfattes som garantister for en legitim prosess.Forbitrelsen hos de krenkede parter (avsnitt 5.4) bærer tydelig bud om styrken i denne forventningen.
Det kan nok hende at meklere kan få dempet garantistforventningen gjennom en innledning med tydelig grensedragning mellom «mekling» og «tredjepartsavgjørelse». Det er imidlertid langt fra sikkert at en tilsynelatende forståelse for dette under meklingsmøte er tilstrekkelig til å annullere rotfestede forventninger til rettsapparatet og dommere. Meklere fra andre yrkesgrupper vil ha noe lettere for å plassere seg i en renskåret meklerrolle.
De praktiske erfaringene med rettsmekling viser ganske klart at dilemmaene omkring rettsmeklerrollen ikke har vært ødeleggende for institusjonen. Både tilretteleggere og mer pågående dommere har gjort en innsats som parter og prosessfullmektiger verdsetter, og som har bidratt til mange forlik. Det bør trolig strekes opp noe klarere retningslinjer for meklerrollen. Uansett bør disse problemstillingene være et sentralt tema i fagdebatt og opplæring av rettsmeklere.
3.8 Meklerkompetanse
3.8.1 Personlig egnethet
Uansett hva dommerne mener om rettsmeklingsinstituttet, er det iflg figur 3.45 ganske stor enighet om at «personlig kompetanseer viktigere enn fagbakgrunn for en rettsmekler» (snitt = 3,6). Bare 13 % sier seg helt eller delvis uenig i dette utsagnet.

Figur 3-46 Gjennomsnitt der 1 = «Helt enig» og 5 = «Helt uenig»
Også i intervjuene går dette igjen.
(Dommer:) «En må ha evnen til å få kontakt med folk, å forstå og bli forstått. Empati. Og en må vise respekt, må likefolk. Det er et sett av personlige egenskaper.»
Også parter og advokater legger vekt på personlig kompetanse – bl a autoritet, troverdighet og pågåenhet.
(Part, sak forlikt:) «Mekleren taklet dette veldig bra" Mekleren er dyktig og har så mye erfaring at man hører etter. Jeg tror man må ha en tungmekler hvis rettsmekling skal fungere. Advokatene går mer inn for en løsning da.»
(Part, sak forlikt:) «En dommerfullmektig har ikke nok pondus.»
(Advokat:) «Man bør velge ut erfarnedommere. Ikke alle er egnet. Noen er for passive og svake. Man bør plukke ut en gruppe som får rutine, som kan si ‘vi skalha et resultat her"’. Det går lettere med dommere med menneskekunnskap, som ikke kommer rett fra studiet.»
(Advokat:) «En mekler må være en oppegående, intelligent person med erfaring fra konfliktløsning, gjerne i andre sammenhenger. Sosiale egenskaper og verbaliseringsevne er viktig. Det er mer tale om personlighetstyper enn bestemte yrkesgrupper.»
(Advokat:) «Enkelte meklere fungerer ikke så godt. Det viktigste er væremåten, at mekleren inngir tillit hos parter og advokater. Veldig spesiell stilling. Det er ikke så avansert meklerteknikk her, følger et mønster med litt passive og forsiktige meklere. De er nok litt for redde for å trå feil, men i så fall blir man korrigert.»
Et klart flertall blant dommerne sier seg helt eller delvis enige i at «rettsmekling krever en annen type kompetanseenn den dommere normalt har oppøvd» (snitt = 3,7). Her er 16 % helt eller delvis uenige. I intervjuene fremholder flere dommere at meklerrollen avviker ganske meget fra dommerrollen, bl a i aktivitetsnivå, involvering og engasjement:
(Dommer:) «Jeg er mye mer sliten etter tre timers mekling enn etter et vanlig rettsmøte. Du er mye mer aktiv og engasjert. Men det er alltid gøy når man får til et forlik" Vi får alle en rusfølelse av det.»
(Dommer:) «Jeg blir sliten av en rettsmekling, helt pumpa. En bruker mye mer av seg selv enn som administrator i en rettssal, hvor en noterer og reflekterer i sitt lønnkammer. Som rettsmekler er man med,en del av prosessen. Da er det ille om det ikke går i hop" Jeg tror det ville blitt slitsomt å være rettsmekler på heltid.»
I intervjuene påpekes det også at en mekler må trives i rollen,noe ikke enhver dommer vil gjøre:
(Dommer:) «Jeg kan ikke forestille meg at det går an å mekle hvis man ikke liker det.»
(Dommer:) «Arbeidsformen passer enkelte dommere bedre enn tradisjonell mekling i rettsmøte.»
(Dommer:) «Man blir sportslig interessert – rettsmekling er en annen utfordring enn å lytte og skrive en dom. Det er mye egeninnsats, og det er frustrerende om en ikke får det til" Halvparten av dommerne her har nærmest reservert seg. De er blitt dommere av andre grunner og er usikre på seg selv i en slik rolle. Da bør de ligge unna. Jeg synes det er naivt og idealistisk å mene at alle skal mekle. Det er noe såpass spesielt at en må være sterkt motivert selv.»
3.8.2 Ulike yrkesgruppers egnethet
Bør rettsmekleren være jurist?
Ut fra diskusjonen i kapittel 7 kan man innta iallfall tre standpunkter når det gjelder jurister, og særlig dommere, i meklerrollen.
Ett mulig standpunkt er at mekler- og dommerrollen må skilles fullstendig,og at dommere følgelig ikke bør opptre som meklere:
(Dommer:) «Mitt standpunkt [anbefaling av rettsmekling som generell ordning] har som forutsetning at meklingen måutføres av særskilte meklingsmenn som ikke er dommere. ... Også uttrykt slik at dommere har tendens til å megle ‘trangt’ og derfor ikke bør rettsmekle.»
(Dommer:) «Det bør være et slikt tilbud. Men jeg ser motargumenter. Det er uheldig at dommere er meklere. Dette stiller bl a advokatene litt i en tvangssituasjon – man vil ikke motsette seg rettsmekling i forhold til en meklingsivrig dommer. For dommeren blir det en sammenblanding av roller, noe som systemet i og for seg også bygger på ved at dommeren fratrer om meklingen mislykkes. Ideelt sett burde det brukes ekstern mekler, men dette har vel en omkostningsmessig side.»
(Dommer:) «Prinsipielt setter jeg et spørsmålstegn ved om en dommer, med sin autoritetsposisjon, er den rette mekler. En dommer kan ha en viss maktpåvirkning overfor advokatene óg, de møtes jo i andre sammenhenger. Særlig i mindre domstoler vil advokatene kvie seg for å legge seg ut med sorenskriveren – de skal forholde seg til hverandre i tredve år"»
Et annet standpunkt er at dommere og andre jurister gjerne kan opptre som meklere, men at denne rollen også bør kunne bekles av andre:
(Dommer:) «Jeg tror ikke rettsmekling skal forbeholdes dommere – mange andre kan også bli utmerkede meklere. Kanskje vi kan få profesjonelle meklere når ordningen får bedre fotfeste? Saker kan eventuelt gå direkte dit, som ved voldgift. Det blir billigere.»
(Advokat:) «Jurister blir lett selvgode, de har lett for å tenke at ‘man må være jurist’. Det mener ikke jeg. Det viktigste er at man er diplomatisk og har psykologisk innsikt og humor.»
(Advokat:) «En del saker – f eks hussalg – dreier seg bare om fordeling av kroner og øre, jusen blir borte da.»
(Advokat:) «Det har vært bra her, med dommere. Men andre jurister, eller fageksperter, kan være like brukandes.»
(Part, sak ikke forlikt:) «Om forlik er målet, kan vel andre være vel så kunnskapsrike som en dommer? De har et annet interessefelt, ikke ‘regler’ og hva som ‘burde’ være løsningen. Man må ha psykologisk vilje til forlik.»
Et tredje standpunkt er at mekleren må være jurist, og gjerne dommer:
(Dommer:) «Jurister er ofte glad i sin egen kompetanse ... men for meg gir det en trygghet at jeg kan vurdere juridiske problemstillinger. Jeg tør stole på min egen vurdering og henter selvsikkerhet derfra. Jeg tror det er riktig at den kompetansen er til stede, ved siden av den personlige.»
(Dommer:) «Partene kan jo spørre om jusen, f eks etter hvem som har bevisbyrden. Og mekleren bør kunne si at ‘det kan slå begge veier’ når de sier at de ‘har vitner’.»
(Advokat:) « En deldommere er egnet, ikke alle. Jeg tror meklere er nødt til å kunne noe jus, ellers blir det for mye synsing. Men de må også ha sans for det psykologiske spillet, for ‘timing’.»
(Part, sak forlikt:) «Jeg ville være skeptisk til å la noen kjøre et sånt race uten forankring i jusen. Jeg har vært i forliksrådet, der var det lekfolk og mye synsing og uvedkommende hensyn under befaring. Jeg er mer komfortabel med en jurist.»
Ulike yrkesgrupper: Oversikt
Figur 3.46 viser i større detalj hvordan dommere og prosessfullmektiger vurderer ulike yrkesgruppers egnethet som rettsmeklere.
Av dommernesgjennomsnittsskårer kommer det tydelig frem at jus betraktes som en viktig ballast. «Dommere» og «andre jurister (f eks advokat)» skårer 4,1–4,2, mens eksperter på fagfeltet saken gjelder, bare får en snittskåre på 3,4. Andre alternativer rangeres enda lavere.
Prosessfullmektigeneer i snitt enda mer overbevist enn dommerne om at jurister, og særlig dommere, er best egnet som meklere.
Parteneer ikke bedt om å vurdere ulike yrkesgrupper i spørreskjemaet, og er heller ikke systematisk intervjuet om spørsmålet. Noen har imidlertid uttalt seg, og enkelte sitater er tatt med nedenfor.

Figur 3-47 Gjennomsnitt der 1 = «Dårlig egnet» og 5 = «Svært egnet»
Dommere
Gjennom forsøksperioden har det nesten utelukkende vært dommere som har påtatt seg meklerrollen. Dommere vil i mange henseende ha et godt utgangspunkt for å fylle den. Som vi så i forrige kapittel, kan imidlertid autoriteten i og rolleforventningene til en dommer både tjene og komplisere meklingen. Dommeres daglige arbeid i retten er heller ikke nødvendigvis den beste treningsarena for en rolle som en aktiv og kreativ mekler.
Drøyt halvparten av dommerne gir skåren 4 og ytterligere en tredjepart gir 5 på dommeres egnethet for meklerrollen (sum = 87 %). Som vi så av figur 3.46, s 127) mener også et klart flertall av dommerne at «dommere har et fortrinnsom meklere gjennom autoriteten i dommerrollen» (snitt = 3,6). Bare 13 % er uenige i dette utsagnet.
(Dommer:) «Jeg er imot å bruke andre meklere enn dommere. Psykologer kan brukes i barnefordelingssaker, for å få enighet. Men når det står om kroner og øre eller om mangler eller ikke, bærer det galt av sted om man ikke har innsikt i problematikken. Jeg ser mange gale dommer fra forliksrådene. Med innsikt kan en parkere det åpenbare tøvet og konsentrere seg om de spørsmål der det virkelig bør oppnås enighet.»
(Dommer:) «Mange kan være vel så egnet som en dommer ..? Men de vil ikke kunne få med seg kunnskapen om hva dommeren vil tenke på i retten. Jeg vet jo hvilke tema som er interessante for en dommer og prøver å fokusere på dem, selv om jeg ikke sier hva jeg tror om utfallet. Og det er kanskje betryggende for partene at mekleren er dommer? På den annen side er ikke dommere meklere av profesjon. Kanskje en burde sette sammen meklerteam?»
Advokatene er enda mer overbevist om at dommere er egnet. Hele 90 % merker av 4 eller 5; bare 2 % er i tvil om dommeres egnethet. (Advokat:) «Partene er alltid bombesikre på sin egen sak. Hvordan skal man da få dem forhandlingsvillige? Hvorfor trengs rettenshjelp? Det heter rettsmekling – når stevning er tatt ut, er saken rettsliggjort. Ønsker partene seg en aktiv mekler, eller et postbud?»
(Advokat:) «Jeg har bare opplevd én mekler, det er en meklertype. Dommere er trent til å skjære bort det uvesentlige og se på juridiske poenger. Andre uten juridisk bakgrunn vil kanskje heller ta hensyn til rimelighet og forholdet mellom partene etterpå, men det er ikke derfor folk går til rettsmekling. Mekleren må forstå det juridiske grunnlaget.»
Men full enighet er det altså ikke:
(Advokat:) «Dommere mangler trening i forhandlinger" De kommer jo fra statsforvaltningen. De blir for opphengt i paragrafer og avsier dom fra sitt lønnkammer. Advokater er i forhandlinger hele tiden.»
Også enkelte parter gir uttrykk for størst tiltro til dommere i meklerrollen:
Part (sak forlikt:) «Det gir en ekstra tyngde med en dommer som mekler, istedenfor en hvilken som helst sakkyndig. Autoriteten og respekten er større.»
Advokater
Advokater har vært benyttet som meklere i noen få saker i forsøksperioden, men det foreligger ikke data fra disse.
Over 80 % av dommerne merker av 4 eller 5 for advokaters egnethet som meklere. Noen dommere foretrekker dem fremfor dommere:
(Dommer:) «Mange advokater vil være godt egnet, de mekler i sitt daglige virke. Og de er ofte mer spesialister enn dommere er. Innsikt i fagspørsmål kan være viktig i en del saker.»
(Dommer:) «Jeg har mest tro på advokater. Det er ikke riktig at en kan ‘legge bort læreboken’ – det er de rettslige realitetene som teller. Det jeg selv flyter på, er lang erfaring som advokat og dommer – jeg ser hva som er kjernespørsmål og bevisrisiko.»
Enkelte advokater sier omtrent det samme:
(Advokat:) «Advokater vil nok være mer aktive som meklere. De tenker mer resultatorientert, og er mer kreative.»
(Advokat:) «Noen dommere er flinke, andre kjører for fort. Advokater er oftere vant til å sitte på begge sider – de representerer kjøper én dag, selger den neste, eller er bistandsadvokat og så forsvarer. Det viktigste er personlige egenskaper" Man må være interessert i folk, ha sans for hva som foregår mellom mennesker».
(Advokat:) «Jeg tror advokatbakgrunn kan være gunstig, vel å merke om de er ‘prekvalifisert’. De vil kanskje ikke ha samme posisjon hos partene som en dommer, men de er mer aktive og løsningsorienterte.»
(Advokat:) «De fleste advokater har drevet mer med mekling enn de får kredit for. Men noen advokater er ikke så gode i konfliktløsning, og noen liker å la saken flyte.»
Noen advokater har imidlertid mer tro på dommere, først og fremst pga den innebygde autoriteten i dommerrollen:
(Advokat:) «Tilliten til en advokat er ikke den samme som til en dommer. I arbeidsrettssaker vil man nok undersøke om det er en arbeidsgiver- eller arbeidstakervennlig advokat"»
(Advokat:) «Jeg har mest tro på dommere. Det bør være en betingelse at mekleren er jurist, med trening i konfliktløsning og praktisk anvendelse av jusen. Dommere har en posisjon i samfunnet som gjør at de oppfattes som helt nøytrale – mer enn en advokat.»
Domstolsfunksjonærer
I rundskriv G-85/96 om forsøksordning med rettsmekling er domstolsfunksjonærer med erfaring med å styre skiftesamlinger i dødsbo, nevnt som mulige meklere. Dette har bare vært forsøkt i beskjeden grad. I Oslo skifterett tilbys partene mekling ved saksforberedende funksjonær så sant de møter uten advokat.
Bare 5–6 % av dommerne og advokatene har noen tro på at funksjonærer kan fylle rollen som rettsmeklere. I intervjuene går kommentarene i begge retninger:
(Advokat:) «Domstolsfunksjonærer kan brukes hvis de er drevne i skifterett.»
(Advokat:) «I skiftesaker kan de ha vel så stor kompetanse som en dommer, særlig på landet.»
(Dommer:) «De har verken kompetansen eller erfaringen.»
(Dommer:) «Ikke alle funksjonærer vil være egnet, men flere kan gå inn som meklere med opplæring. Adgangen bør absolutt beholdes.»
Eksperter på saksfeltet
Forskriftens § 3 fastsetter at rettsmeklingen kan foretas av en «person med innsikt i ... de tvistepunkter saken reiser». Rundskrivet nevner spesielt bygningskyndige, ingeniører og revisorer.
Rundt 50 % av dommerneavmerker 4 eller 5 for fageksperters egnethet, mens 15 % stiller seg avvisende, dvs gir skåren 1 eller 2.
(Dommer:) «Jeg ser ikke bort fra at en fagmann har en tilsvarende tyngde som en dommer i kompliserte saker. I vanlige saker er partene neppe ubekvemme med at dommeren bare er passelig kompetent. Svære saker som går i månedsvis med masse informasjon er lite egnet til muntlig saksbehandling. Spesialistmekling kan være et godt alternativ da. En kollega hadde med seg en byggmester i en sak, det fungerte bra.»
(Dommer:) «Jeg har med fagkyndige meddommere i byggesaker. Da kan jeg være enda mer direkte i rådgivningen, når sakspapirene er på 10.000 sider og én part møter med advokat som er spesialist i entreprisesaker.»
(Dommer:) «I noen saker er det fordelaktig med spesialkompetanse. Jeg hadde en sak om maskinutstyr der partene så helt ulikt på det tekniske – jeg trodde jeg forsto, men måtte gi opp. Det var ikke så lett å forutse på forhånd.»
(Dommer:) «I en komplisert familiesak hadde vi en psykolog som sakkyndig; vi forhandlet utenrettslig, psykologen snakket med partene og fikk enighet ut over kvelden. En god jobb som sparte barna for mye lidelse" De ville ikke hørt på en dommer. Det burde vært en formell rettsmekling.»
Også for advokateneer andelen 4- og 5-skårer rundt 50 %, men andelen 1- og 2-skårer er såpass høy som 33.
(Advokat:) «Fageksperter kan klargjøre saken på en helt annen måte.»
(Advokat:) «Takstmenn kan skjære igjennom i veldig tekniske saker, byggesaker – om det eren mangel eller ikke.»
(Advokat:) «Sakkyndige kan kanskje bistå dommeren? Og kanskje mekle i store byggesaker. Det er vanskelig for dommere og advokater å forstå ‘Norsk Standard’». (Advokat:) «Som hovedregel mener jeg at jurister er kompetente. De er vant til å komme frem til et entydig resultat. Sivilingeniører kan avsi voldgiftsdommer som er tvetydige. (Men i rettsmekling er det jo advokater til stede, de vil sørge for en klar avtale.)»
Psykologer og tilsvarende
Psykologer er ikke eksplisitt nevnt i rundskriv G-85/96, men vil falle inn under kategorien «personer med innsikt i saksfeltet» innenfor det familierettslige og det arbeidsrettslige området. I faglitteratur og -debatt er imidlertid psykologer også utpekt som en yrkesgruppe med generell meklerkompetanse. I spørreskjemaet er dommere og advokater derfor blitt bedt om å ta stilling til hvor egnet «psykologer eller tilsvarende» er som meklere – uansett saksfelt.
Som vi så ovenfor (avsnitt 0.1, 8.1, s 15, 128), mener mange dommereat rettsmekling krever en annen type kompetanse enn dommere normalt har oppøvd. De betoner også betydningen av «personlig kompetanse». Intervjuene tyder på at det med dette oftest siktes til sosiale ferdigheter som kontaktetablering, kommunikasjonsevne mv. Det er derfor særlig interessant å bemerke at dommerne er relativt forbeholdne i vurderingen av psykologers egnethet (snitt = 2,9). Hele 25 % avmerker 1 eller 2, der 1 står for «dårlig egnet». Andre er mer positivt innstilt:
(Dommer:) «Jeg tror juristers tilnærming til en konflikt – den rettslige posisjonen – er nyttig, men ikke alltid nødvendig. Man må tro på meklingsfilosofien. 99 % av alle konflikter løses utenfor domstolene, ofte med hjelp fra naboer eller venner, og ofte uten noen ‘hjemmel’. Jurister har overdreven tro på jusen" Det er farlig i mekling. Det er mer tale om psykologi og menneskelig og praktisk sans. Jurister ødelegger litt om de blander inn for mye jus.»
Det for øvrig er ingen sammenheng mellom synspunktet på psykologers egnethet og frykten for at ikke-jurister skal bidra til forlik i strid med gjeldende rett.
Advokatenesgjennomsnittsvurdering av psykologers egnethet er såpass lav som 1,9 (se figur 3.46, s 131).
Ganske mange advokater mener psykologer eventuelt må begrense seg til familiesaker eller andre saker der de har ekspertkompetanse. Det gjelder også én advokat som beskrev meklingsprosessen som «mye psykologi og litt jus»:
(Advokat:) «Psykologer kan brukes i barnefordeling, ikke i sivile tvister. Klientene vil ha en anbefaling, psykologer eller sosionomer kan ikke gi det. De er ikke utdannet til å skjønne seg på slike problemer, folk vil ikke ha tiltro til dem. Samfunnet er ikke bygd opp slik at de skal sitte og megle, de skal gjøre andre ting.»
En del advokater som er skeptiske til psykologer som meklere, definerer meklerens oppgave tett opp til dommerrollen – jvf avsnitt ? ovenfor:
(Advokat:) «Psykologer er flinke til å snakke med folk, men kan bevege seg helt ut av de rettslige realiteter, til fordel for menneskelige hensyn og rimelighet. De kan være dugelige forhandlingsmessig, men det er tross alt en rettstvist.»
(Advokat:) «Psykologer er sterke i mellommenneskelig vurdering, mer enn det jurister er. Men man må ikke la seg lede av irrelevante hensyn. En rettsmekler må ha nok jusforståelse til ikke å havne altfor fjernt fra hva som ville blitt resultatet ved en dom. Psykologer kunne kanskje få bistand fra forberedende dommer?»
Én advokat stiller seg helt uforstående til at psykologer kan være egnede meklere:
(Advokat:) «Hva i all verden skal vi med psykologer? Skulle de være spesielt egnet til å oppnå enighet? Det er fremmed for meg. Men jeg fører ikke familiesaker.»
Andre har større forståelse for at psykologer kan ha noe å bidra med:
(Advokat:) «Advokater – og dommere også, kanskje – kan være håpløse når det gjelder de mellommenneskelige sidene. Dét er f eks viktig i saker som gjelder arv og skifte. Men jeg er litt engstelig til å gå helt over til psykologer, de kan ikke jusen.»
(Advokat:) «Psykologer ville jeg ikke ha problemer med. Jeg tror de kan være bedre enn jurister til å finne kreative løsninger. Jurister knytter seg ofte for mye opp til juridiske løsninger – man må snu på femøringen, se hva som ligger bak. Andre yrkesgrupper kan foreslå ting vi ikke ser muligheten av en gang.»
(Advokat:) «Psykologer kan gjøre det best. De kan få folk gjennom en prosess.»
Partene gir sjelden uttrykk for sterke meninger om psykologers egnethet:
(Part:) «I vårsak måtte mekleren ha en viss kunnskap om emnet. Men først og fremst må mekleren ha evne til å mekle – få folk til å bli enige, få avsluttet saken. Kan hende en psykolog?»
Part (sak forlikt:) «Psykologer kan man ulike forestillinger om – noen er glad i dem, andre ikke. Jeg ville ikke hatt problemer med det.»
3.8.3 Meklerkompetanse: Oppsummering
Ut fra det materialet som foreligger, virker det hevet over tvil at dommere i et stort flertall av sakene har opptrådt på en måte som har inngitt tillit og ført frem til forlik som partene er tilstrekkelig tilfreds med. Brustne rolleforventninger har bare vært et påtagelig problem i et beskjedent antall saker.
Erfaringene viser at mange dommere har en kompetanse som passer til den meklingsform de benytter, og at denne meklingsformen er effektiv. Evaluator kan dermed ikke se at det er betenkelig at dommere opptrer som rettsmeklere. De bør imidlertid være meget påpasselige med å klargjøre rollen for parter og prosessfullmektiger.
Så lenge det nesten bare er dommere som har vært prøvd som rettsmeklere, har vi imidlertid et svakt grunnlag for å veie deres egnethet opp mot andre yrkesgruppers. Det standpunkt en inntar til andre yrkesgruppers egnethet, vil langt på vei være styrt av ens underliggende oppfatning av formålet med rettsmekling og hva meklerrollen består i. Som vi har sett i dette og forrige kapittel, hersker det ganske delte meninger om dette.
En kan ikke se bort fra at såvel parter som prosessfullmektiger kan ha vanskeligere for å akseptere rettsmeklingen som en legitim prosess dersom mekleren ikke er jurist, eller aller helst dommer. På den annen side kan bruk av slike meklere forebygge misforståelser om at mekleren skal lede partene frem til et «riktig» resultat.
Etter evaluators oppfatning bør en beholde adgangen til å benytte andre meklere enn dommere.Det bør imidlertid stilles krav til særskilt opplæring i rettsmekling for disse såvel som for dommere. Erfaringene med bruk av andre meklere bør undersøkes når slike meklinger har nådd et visst omfang.
Kompetanseutvikling for meklerrollen
I intervju ga én mekler uttrykk for en svært beskjeden vurdering av sitt eget bidrag til meklingsresultatet:
(Dommer:) «I fem av mine seks saker er det blitt forlik – men jeg føler ikke at noen av dem berodde på meg. På kurs ble det sagt at ‘hvis partene ønsker forlik, greier ikke mekleren å ødelegge det"’.»
Evaluator sitter imidlertid igjen med et klart inntrykk av at meklerens opptreden betyr atskillig for utfallet, og at meklerkompetansen varierer noe. Flere meklere bekrefter også at man vokser seg inn i meklerrollen gjennom økende erfaring og sikkerhet:
(Dommer:) «Jeg håper jeg lærer? Jeg følger ikke noe fast skjema. Jeg bestemmer meg underveis, utfra stemningen. Den evnen er nok blitt utviklet. Jeg er blitt tryggere på rollen og tør å gjøre noen grep.»
(Dommer:) «Jeg er blitt flinkere og flinkere – og et godt resultat er også avhengig av at det er en flink mekler. Firedagerskurset hadde mye å si. Jeg ble teknikken mer bevisst. De første sakene mine var mer forhandlinger enn mekling.»
Evaluator har inntrykk av at den opplæring meklere tilbys gjennom Justisdepartementets kurs, er nyttig. Uansett yrkesbakgrunn bør meklere få en grundig innføring i
meklingsteori og meklerrolle,
forhandlingsteknikk,
kommunikasjon og kontaktetablering,
bevisst og ubevisst påvirkning.
De ulike yrkesgruppene vil nok ha behov for å reflektere over litt ulike sider av meklerrollen. For dommere og advokater er det f eks særlig viktig å få en bevisst og avklart holdning til problematikken vi drøftet i avsnitt 7.1 og 7.2. Psykologer må erkjenne at oppdraget består i å mekle, ikke i sosioterapi (se avsnitt 7.3).
3.9 Evaluators vurdering
3.9.1 Vurdering opp mot problemstillinger og kriterier i mandatet
Som nevnt i avsnitt 1.2, er evalueringen forankret i et sett av krav, suksesskriterier, risikomomenter og problemstillinger. Nedenfor følger en kort oppsummering av funn og vurderinger opp mot dette settet.
Meklingsprosess
Krav
Partene må få god informasjon om prosedyren:Dette er skjedd i de aller fleste tilfelle. Noen få parter og prosessfullmektiger har vanskelig for å forstå at rettsmekling ikke er en mini-rettssak.
Partene må få god nok tid til å diskutere og tenke gjennom alternativer og tilbud:Kravet oppfylles i de fleste tilfelle.
Partene må få gitt uttrykk for sitt syn og sine interesser:Kravet oppfylles i de fleste tilfelle.
Meklerne må oppnå partenes tillit:Kravet oppfylles i de fleste tilfelle. Tilliten til mekleren er noe lavere i saker som ikke forlikes.
Partene må ikke utsettes for press fra mekler:Relativt mange parter føler seg utsatt for et mildt press. Dette oppleves ikke som negativt, og kan bidra til å få et forlik. Et ganske lite antall parter mener de ble utsatt for sterkt press, og er svært misfornøyd med forliket.
Partene må ha tillit til at mekleren bevarer taushet overfor overtagende dommer:En nokså stor andel parter og prosessfullmektiger tviler på at taushetsplikten overholdes fullt ut.
Gevinster
Man oppnår bedre kommunikasjon mellom partene gjennom muntlig kontakt:Dette varierer med andel tid benyttet i fellesmøter og separate møter. Generelt oppnås bedre kommunikasjon bare i beskjeden grad.
Gjennom separate møter med mekleren får partene fremme synspunkter og prøve sin argumentasjon uten at motparten er til stede:Særmøter benyttes hyppig, særlig av erfarne meklere, og settes pris på av både parter og prosessfullmektiger.
Partene kan få antydet et sannsynlig utfall av en hovedforhandling:De fleste meklere er tilbakeholdne med slike antydninger. Partene kan likevel oppfatte forslag og påpekninger fra mekleren som en domsprognose.I de tilfelle partene mener å ha fanget opp en domsprognose, regner de oftest det som et positivt bidrag til meklingen.
Dommerens rolle blir klarere; hun/han kan fremlegge konkrete forslag til løsning uten å bli inhabil:Meklere varierer noe i tydelighet. Parter og prosessfullmektiger oppfatter imidlertid oftest mekleren som den mest aktive deltakeren. Løsningsforslag fra mekleren oppfattes som et positivt bidrag til meklingen.
Betenkeligheter
Rettsmekling krever en annen type kompetanse enn den dommere normalt har oppøvd:Dette er trolig korrekt, iallfall dersom man ønsker en «ren» meklerrolle, jvf nedenfor.
Domstolenes rolle blir uklar – domstolen bør være et sted der partene får en rettsavgjørelse, ikke trekkes inn i nye forhandlinger:De fleste parter og prosessfullmektiger setter pris på at domstolen medvirker til konfliktløsning gjennom rettsmekling. Noen få har vanskelig for å forstå og akseptere at dommeren opptrer som forhandlingsleder. Mange advokater og en del dommere understreker at deres støtte til rettsmekling som permanent ordning, er at det blir et frivillig tilbud.
Dersom en dommer er mekler, vil hennes/hans aktive rolle skape habilitetsproblemer:Dette har vært løst ved at en sak som ikke forlikes, nesten uten unntak overføres til en annen dommer. Overføring av saken bør muligens gjøres obligatorisk Beholdes adgangen til å fortsette med samme dommer, bør den begrenses til saker mellom forretningsdrivende, der begge parter ber mekleren om å gjøre unntak fra hovedregelen.
Partenes tillit til domstolen vil synke pga antatt kommunikasjon mellom rettsmekler og overtagende dommer:Taushetsplikt overfor overtagende dommer er prinsippielt svært viktig. Som nevnt antar mange parter og prosessfullmektiger imidlertid at mekleren nok formidler noe til overtagende dommer, bevisst eller ubevisst. Dette er bekymringsfullt, men det innvirker ikke på tilliten til mekleren, rettsmeklingsordningen og rettsvesenet. Et flertall av partene har fått økt tillit til rettsvesenet gjennom erfaringen med rettsmekling.
Utfall
Krav
Partene må oppleve utfallet som rimelig:De fleste parter er mellomfornøyd med forliket. Prosessfullmektigene er gjerne noe mer fornøyd. Meklerene mener som oftest at forliket var rimelig. I noen få saker oppfatter en part utfallet som sterkt urimelig. Dette skyldes bl a sterk, og av og til overdreven, tro på egen sak. I det store og det hele har rettsmekling ført til rimelige forlik.
Gevinster
Mekleren får anledning til å finne frem til partenes underliggende interesser og behov og bygge forliket på dette:Meklerne lykkes langt på vei med å få frem partenes underliggende interesser, men kreative løsninger som går ut over påstandene, forekommer sjelden.
Forlik kan inngås i en situasjon med mindre press enn under en hovedforhandling:Som nevnt mener en del parter at de ble satt under et visst press, men det ser de som oftest positivt på.Noen få føler rettsmekling som en ubehagelig pressituasjon. Dette kan være parter som iflg mekleren og/eller sin egen prosessfullmektig har urealistiske forventninger til hva de vil oppnå ved en dom.
Et forlik etter en konstruktiv meklingsprosess letter fremtidig samarbeid mellom partene; ingen fremstår som vinner eller taper:I noen få saker bidrar rettsmeklingen til et bedre forhold mellom partene. Som oftest forblir forholdet som det var. Rettsmekling fører sjelden til en forverring av forholdet. Det ser en nok oftere etter en hovedforhandling.
Partene unngår publisitet:Dette er av liten betydning for de fleste parter. For et mindretall er det én av flere grunner til å samtykke til rettsmekling.
Den totale påkjenning for partene reduseres:Det er utbredt enighet blant partene om at rettsmekling er en mindre stressende situasjon enn en hovedforhandling.
Betenkeligheter
I saker der partene ikke er likestilt mht økonomiske ressurser og faglig innsikt vil den svake part kunne strekke seg for langt:Man kan ikke se bort fra en slik risiko. Så lenge begge parter møter med prosessfullmektig, bør man iflg dommerne kunne regne med at denne ivaretar sin klients interesser. I saker der én part møter alene, er mange dommere innstilt på å styre unna åpenbart urimelige forlik.
Ikke-jurister kan som meklere få i stand forlik i strid med gjeldende rett:Ikke-jurister har ikke vært forsøkt som meklere. Det er uenighet om hvorvidt gjeldende rett eller tredjeparts rimelighetsbetraktninger bør begrense partenes anledning til å bli enige om et hvilket som helst forlik.
Produktivitet
Krav
Rettsmekling må være et tilbud som benyttes:I løpet av prøveperioden er en stadig større andel av de sivile sakene overført til rettsmekling. Forliksprosenten har vært stabil, uten at dette har gått på bekostning av forliksprosenten i familiesaker.
Gevinster
Saken kan avsluttes tidligere enn ved tradisjonell tvistebehandling:
Denne gevinsten oppnås regelmessig. Saker som ikke forlikes, forsinkes ikke nevneverdig.
Ved forlik gjennom rettsmekling reduseres kostnadene for både parter og domstol:Denne gevinsten oppnås. Gjennomsnittlig innsparing i tidsforbruk i mekling kontra hovedforhandling er 15 timer. I tillegg kommer reduksjon i forarbeid for dommer og prosessfullmektiger, og tid spart siden det ikke skal skrives dom.
Selv uten et forlik vil meklingsarbeidet effektivisere saksforberedelsen, klargjøre springende punkter i tvisten og muliggjøre «prosessuell opprydning»:Dette skjer ofte iflg dommerne. Prosessfullmektigene er mer i tvil.
Betenkeligheter
Ordningen vil være kompliserende og forsinkende:Det er lite som tyder på at denne innvendingen er gyldig.
Dersom forlik ikke oppnås, fører omfordeling av saken til dobbeltarbeid:Denne omkostningen må tas med i regnestykket. Forliksprosenten ved rettsmekling er imidlertid på over 80, og forarbeidet er oftest lite tidkrevende sammenlignet med den tidsbesparelse som oppnås i forlikte saker.
Kostnadene øker dersom forlik ikke kommer i stand:Det stemmer, og kan være problematisk i saker som står om småbeløp.
Spørsmål til avklaring
Spesielle sakstypers egnethet for rettsmekling: Svært mange dommere mener at sakstype spiller liten rolle for egnetheten. Sakstyper som gjerne nevnes som velegnet, gjelder fast eiendom/avhending, familiesaker, pengekrav, arbeidsrett, bygg/entreprise og nabotvister.Som lite egnet nevnes oftest saker der det offentlige er part, samt samværsrettssaker.
Hva som vektlegges i vurderingen av om man ønsker rettsmekling eller ikke:De viktigste begrunnelsene for å samtykke i rettsmekling, er at saken kan bli avgjort billigere, og med en lavere kostnad. Frykt for å tape saken er sjelden noe fremtredende motiv.
Om meklere bør opptre som «dommere» eller «tilretteleggere»:Dommeres signaler om rimelighet og sakens sannsynlige utfall ved dom virker meget styrende på partenes forliksvilje. Selv om mange parter og prosessfullmektiger setter pris på slike signaler, skaper de en risiko for at rettsmeklingsinstituttet og domstolene taper legitimitet, siden grunnlaget normalt vil være svakt. I særmøter bør meklere bør kanskje kunne påpeke svake sider ved partens sak, men bør i så fall klargjøre at det dermed ikke er sagt noe om det samlede utfall.
Hva meklere legger vekt på ved utformingen av løsningsalternativer:De dommere som har meklet, er mest opptatt av at deres forslag skal medvirke til en rimelig løsning. De er mindre opptatt av å få partene til å møtes på halvveien.
Betydningen av taushetsplikt om forløpet:Taushetsplikt om det som er sagt og gjort under meklingen er svært viktig for åpenheten under meklingen. Det er imidlertid mer tvilsomt om en generell taushetsplikt bør gjelde etter at et rettskraftig resultat foreligger.
Hvem som bør være mekler, herunder dommeres egnethet og bruk av eksterne meklere:I prøveperioden har de dommere som har meklet, gjennomgående fungert godt. Personlig kompetanse og motivasjon for meklerrollen er av avgjørende betydning. Dommere som nødig vil mekle, bør fritas. Eksterne meklere har ikke vært benyttet i evalueringsperioden. Én domstol har rapportert om gode erfaringer med håndplukkede meklere i spesielle saker. Adgangen til å benytte andre meklere enn dommere bør beholdes.
Hva slags opplæring som bør gis:Som nevnt ovenfor, krever meklerrollen en annen arbeidsform og et stykke på vei en annen kompetanse enn dommere uten videre har. Både dommere og eksterne meklere bør ha spesiell opplæring i meklingsfilosofi og meklingsteknikk.
3.9.2 Konklusjon
En dommer har oppsummert sine erfaringer slik:
(Dommer:) «I en god del av de sivile sakene vil rettsmekling gi en raskere, billigereog vennligereløsning av saken, hvor det er mulig også å trekke inn andre forhold enn de saken reiser.»
Undersøkelsen bekrefter at rettsmekling i all hovedsak har fungert godt iflg både parter, prosessfullmektiger og meklere. Ordningen er tids- og ressursbesparende og fyller etter alt å dømme en funksjon som ikke dekkes av dagens prosessordning og alternative konfliktløsningsinstitutter.
Målt opp mot de krav, suksesskriterier og betenkeligheter som ligger til grunn for evalueringen, er det ingen tvil om at rettsmekling trygt kan innføres som generell ordning, med enkelte presiseringer og tilpasninger.