9 Prioritering og effektivisering i offentlig sektor
9.1 Innledning
Den norske velferdsmodellen er bygget på at viktige samfunnsoppgaver organiseres i brede fellesløsninger som kommer hele befolkningen til gode. I likhet med de øvrige skandinaviske landene har Norge en stor offentlig sektor, målt både i tilbud av tjenester og i sysselsetting.
Det offentlige tar ansvar for kollektive goder som politi, forsvar og rettsvesen og for tjenester som gir samfunnsnytte utover nytten til den enkelte bruker, som utdanning og basishelsetjenester. Staten har dessuten større evne til å bære risiko enn hver enkelt av oss. Ved å etablere kollektive forsikringsordninger eller inntektssikringsordninger som for eksempel uføretrygd, arbeidsledighetstrygd eller alderspensjon blir forsikringspremien lavere for alle, enn om hver enkelt selv måtte forsikre seg i det private markedet. Hensynet til effektiv bruk av samfunnets ressurser og at alle skal ha lik tilgang til tjenestene, er også viktig. Et annet viktig hensyn er at det offentlige gjennom reguleringer og tilsyn skal sørge for en bærekraftig forvaltning av landets naturressurser.
Omfanget av offentlig tjenesteproduksjon har økt betydelig over mange tiår, og de fleste grunnleggende tjenester innenfor helse, omsorg og utdanning finansieres og produseres i dag gjennom offentlig sektor. Det har vært mulig blant annet pga. innfasing av oljepenger og en sterk vekst i befolkningen i arbeidsdyktig alder. Fremover vil det finansielle handlingsrommet bli klart mindre enn vi har vært vant til over de siste tiårene. I tillegg vil flere underliggende drivkrefter gi press på offentlige finanser.
For det første vil økt levealder gi flere eldre. Eldre benytter i større grad helsetjenester og pleie- og omsorgstjenester, som er ressurskrevende oppgaver. Hvor sterk denne effekten av aldring på offentlige budsjetter blir, avhenger blant annet av i hvor stor grad den økte levealderen slår ut i flere friske år. Samtidig fører aldringen til at det blir færre yrkesaktive per pensjonist. Det kan delvis motvirkes av at avgangsalderen fra arbeidslivet øker etter hvert som levealderen øker.
For det andre kan økt velstand i befolkningen trekke i retning av økt etterspørsel etter mange av de tjenestene som i dag er et offentlig ansvar. Normalt etterspørres det forholdsvis mer tjenester når inntekten øker. I tillegg kan forventninger til tjenestenes standard og omfang øke i tråd med velstandsveksten. For eksempel vil ny teknologi stadig kunne muliggjøre mer avanserte, og i flere tilfeller dyrere, behandlingsformer innenfor spesialisthelsetjenestene.
For det tredje er en del tjenester eller oppgaver som legges til offentlig sektor, oppgaver som i liten grad naturlig utsettes for konkurranse, blant annet på grunn av særlig store oppstartskostnader. Dermed utsettes de heller ikke for det effektiviseringstrykket konkurranse skaper.
Det vil over tid oppstå betydelige utfordringer for finansieringen av det offentlige tjenestetilbudet, se nærmere omtale i kapittel 11. Derfor er det nødvendig med en kritisk gjennomgang av hva som skal være et offentlig ansvar og hva som bør overlates til markedet og den enkelte. Strengere prioriteringer vil måtte presse seg fram. Der man tidligere har kunnet imøtekomme etterspørsel på flere områder samtidig, vil man fremover i større grad måtte prioritere mellom ulike formål. Det kan også bli behov for å nedskalere innsatsen på enkeltområder sammenliknet med i dag. Med mindre handlingsrom blir det dessuten viktigere å unngå feilinvesteringer.
Behovet for prioritering innebærer at det er uheldig å låse fast fremtidige løsninger i form av øremerking, lovfesting og individuelle rettigheter som fritas fra helhetlige prioriteringer og lokale tilpasninger.
Mellomløsninger med økt innslag av privat ansvar for finansieringen vil kunne bidra til at den enkelte bruker i større grad avveier nytten av tjenesten mot annet forbruk, slik at samfunnets kostnader ved tjenesteproduksjonen og den reelle etterspørselen etter tjenestene reflekteres bedre. Samtidig må bruk av privat finansieringsansvar avveies mot økte forskjeller. For eksempel kan behovsprøving i form av graderte satser dempe uheldige fordelingseffekter.
De oppgavene offentlig sektor skal løse, må løses på best mulig måte for å kunne opprettholde eller forbedre velferdstilbudet uten at skattebyrden økes markert. I tillegg til å gjøre tingene riktig, må innsatsen rettes inn mot å prioritere de riktige tingene. Det vil samtidig bety at omfanget av tjenestene ikke nødvendigvis kan eller bør videreføres på samme nivå og med samme sammensetning som tidligere.
En fornuftig ansvarsdeling mellom forvaltningsnivåer og på tvers av sektorer samt en god geografisk organisering av både kommuner, fylker og statlig sektor er viktig. Det gir god samfunnsplanlegging og kan fremme en tjenesteproduksjon med høy kvalitet og effektiv bruk av ressursene. Et gjennomtenkt og systematisk arbeid for å legge til rette for og høste mulige gevinster av digitalisering kan gi en bedre og mer effektiv offentlig sektor. Også innenfor tradisjonelt arbeidskrevende tjenester som omsorgstjenester for eldre og syke er det et betydelig potensial for bedre og billigere tjenester gjennom å kombinere teknologisk utvikling med organisatorisk nytenkning og godt lederskap.
9.2 Effektivitet i offentlig tjenesteproduksjon
Offentlig sektor produserer mange, og til dels svært ulike tjenester. Kommunene produserer i første rekke undervisning i grunnskolen, helse- og omsorgstjenester, fylkeskommunene produserer samferdsel og videregående opplæring, mens sykehusene tar en stor del av statens utgifter, det samme gjør statens ordninger for inntektssikring. Figur 9.1 viser fordelingen av utgifter på ulike tjenesteområder for de tre forvaltningsnivåene.

Figur 9.1 Utgifter etter formål i kommunesektoren og staten. Forvaltningsnivåets andel av samlede utgifter i parentes. 2015
Kilde: Statistisk sentralbyrå.
Mangelen på priser gjør at produksjonen i offentlig sektor i hovedsak måles ved ressursene som brukes og standardiserte antakelser om produktivitetsutvikling. Gjennom sammenlikninger med andre land, kommuner eller offentlige og private virksomheter kan en likevel identifisere områder der potensialet for forbedringer kan være stort.
9.2.1 Effektivitet i kommunenes tjenesteproduksjon
Enkelte analyser av offentlig tjenesteproduksjon indikerer at romslige budsjetter ikke alltid gir tilsvarende gode resultater. Det tekniske beregningsutvalg for kommunal og fylkeskommunal økonomi (TBU) beregner årlig en produksjonsindeks for kommunale tjenester. Indeksen er et samlemål for kommunenes tjenestetilbud basert på produksjonsindikatorer for utvalgte sektorer som barnehager, grunnskole, barnevern, primærhelsetjeneste, pleie og omsorg og sosialkontortjenester. Forholdet mellom produksjon og inntekt sier noe om hvor mye den enkelte kommune får ut av de midlene den disponerer, og kan derfor betraktes som en effektivitetsindikator. Figur 9.2 viser at kommuner med høye inntekter gjennomgående har et bedre tjenestetilbud enn kommuner med lavere inntekter, men også at det er betydelige effektivitetsforskjeller mellom norske kommuner på samme inntektsnivå. Dersom en bare ser på gjennomsnittlig forskjell mellom det ulike kommuner produsere av tjenester gitt samme korrigerte frie inntekt kan effektiviseringspotensialet anslås til 30–35 pst. Da er det ikke tatt hensyn til at øremerkede tilskudd kan variere mellom kommunene.

Figur 9.2 Korrigert inntekt (horisontal akse) og produksjonsindeks (vertikal akse) i 2015.1 Landsgjennomsnitt=100
1 Som inntektsmål benyttes frie inntekter inkl. eiendomsskatt og inntekter fra konsesjonskraft og korrigert for variasjoner i kommunenes utgiftsbehov. Øremerkede tilskudd og brukerbetalinger inngår ikke.
Kilde: Teknisk beregningsutvalg for kommunal og fylkeskommunal økonomi og Senter for økonomisk forskning.
Effektivitetspotensialet kan også beregnes ved såkalte dataomhyllingsanalyser (DEA), se boks 9.1. Analyser basert på norske data for 2014–2015 viser at det samlede effektiviseringspotensialet for barnehage, grunnskole og pleie og omsorg kan anslås til om lag 12 pst. dersom alle kommunene blir like effektive som de mest effektive kommunene. Det tilsvarer en innsparing på om lag 27 mrd. kroner i 2015. Målene på omfanget og særlig kvaliteten på tjenestene er grove, så resultatene må oppfattes som antydninger av størrelsesorden mer enn absolutte svar.
Boks 9.1 Nærmere om dataomhyllingsanalyser (DEA)
Dataomhyllingsanalyser (DEA) er av de mest utbredte analysemetodene i studier av offentlig forvaltnings effektivitet. Metoden beregner relativ effektivitet i tilfeller hvor produksjonsprosessen inkluderer flere innsatsfaktorer og flere produkter. Enhetene vurderes mot hverandre ved at de mest effektive enhetene utgjør en referansefront som de andre enhetene måles mot. Metoden gir ikke informasjon om hvor produktive de mest effektive enhetene er, men om effektiviseringspotensialet til de mest ineffektive enhetene i forhold til beste observerte praksis. Høy produktivitetsvekst krever samtidig at effektivitetsfronten skyves fremover.
Fordi det antas å være stordriftsfordeler, sammenliknes små kommuner med andre små kommuner, og store kommuner med andre store kommuner. En rekke DEA-studier for kommuneforvaltningen antyder et gjennomsnittlig potensial for økt effektivitet innenfor ulike kommunale tjenester på i størrelsesorden 20–30 pst. sammenliknet med de meste effektive (effektivitetsfronten). Gjennomsnittskommunen kan med andre ord redusere ressursbruken med 20–30 pst. uten at tjenesteproduksjonen reduseres. Beregnet effektivitet er vanligvis høyere i store kommuner enn i små i denne typen analyser. Siden kommunene med størst potensial for økt effektivitet omfatter relativt få personer, antas det samlede potensialet for effektivisering å være lavere på nasjonalt nivå, anslagsvis 10–15 pst.
DEA-metoden er sensitiv for ekstreme observasjoner og målefeil. Det innebærer blant annet at dersom en kommune feilaktig kommer ut som 100 pst. effektiv ved at innsatsen er undervurdert, vil effektiviseringspotensialet for andre kommuner overvurderes. Resultatene fra DEA-analysene vil også i stor grad være påvirket av måten modellen er satt opp på ved at effektiviseringspotensialet reduseres når antall produkter og innsatsfaktorer øker. I tillegg fanger målene for tjenesteproduksjon gjennomgående bare opp deler av målet ved tjenesten.
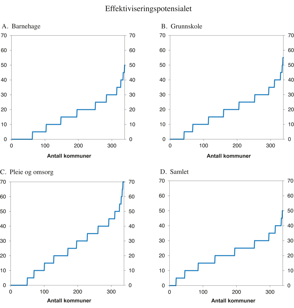
Analysen viser også effektivitetspotensialet for de tre tjenestesektorene i kommunene, se figur 9.3. Figuren viser effektiviseringspotensialet for enkeltkommuner innenfor de ulike sektorene og for de tre sektorene samlet sett. Variasjonen i beregnet effektivitet mellom kommuner er større for enkeltsektorer enn for samlet effektivitet. Dette skyldes at det er få kommuner som kommer dårlig eller godt ut på alle områdene samtidig. Det er en hovedtendens at effektiviteten avtar med økende inntekter og øker med størrelsen på kommunen.

Figur 9.3 Effektiviseringspotensialet i kommunesektoren. Prosent. 20151
1 Det er 338 kommuner med undersøkelsen.
Kilde: Teknisk beregningsutvalg for kommunal og fylkeskommunal økonomi, Senter for økonomisk forskning og Finansdepartementet.
Fra 2008 til 2015 økte samlet effektivitet med 4,1 pst. eller 0,6 pst. i årlig gjennomsnitt ifølge analysen. Økningen i effektivitet var høyest i grunnskolen med 6,3 pst. for perioden under ett. Innen pleie og omsorg var økningen 3,1 pst., mens barnehagene i gjennomsnitt hadde en nedgang på 0,8 pst. Fallet i effektivitet kan ses i sammenheng med nedgang i faktisk antall barn som går i kommunale barnehager de siste årene.
9.2.2 Effektivitet i statlig tjenesteproduksjon
Mens kommunene i Norge kjennetegnes ved at de i hovedsak utfører de samme oppgavene, og dermed kan måles mot hverandre, er det vanskeligere å vurdere om oppgavene løses effektivt i mange av virksomhetene i statlig sektor. Ulike enheter i sykehussektoren og høyere utdanning kan sammenliknes, men der det kun er én produsent eller tilbyder, som for eksempel Lånekassen, er det vanskeligere.
Produktivitetskommisjonen har påpekt viktigheten av å etablere referanser for å kunne vurdere virksomhetens innsats for økt effektivisering. Også der det ikke er mulig eller naturlig å sammenlikne en offentlig virksomhet mot andre virksomheter, er det mulig å identifisere internt potensial for forbedringer. Det kan gjøres ved at det etableres en intern referanse for kostnadene i en virksomhet ved utgangen av et gitt år, som utviklingen i senere år måles mot. Ut fra dette kan virksomheten fastsette planer for å realisere gevinster og indikatorer for selv å måle resultatene og følge opp egen effektivisering. Samtidig er det behov for åpenhet rundt hvor stor og hvor effektiv ressursbruken er i offentlige virksomheter og i offentlig sektor generelt. Det bidrar til bedre sammenlikningsgrunnlag og til at ledelsen i offentlige virksomheter kan holdes ansvarlig for ressursbruken.
OECD publiserer tall for en rekke nøkkelindikatorer for offentlig sektor som kan brukes i sammenlikninger av produktiviteten i ulike land. Figur 9.4 viser hvor mye produksjonskostnadene kan effektiviseres ved å følge beste praksis. Tallene påvirkes imidlertid av blant annet forskjeller i regelverk og hvordan tjenestene er organisert og finansiert i offentlig eller privat sektor. Tallene må derfor tolkes med varsomhet. Med det forbeholdet viser analysene at norsk offentlig sektor har et betydelig effektiviseringspotensial sammenliknet med mange andre land. Unntaket er den statlige skatte- og avgiftsadministrasjonen, der mye av potensialet allerede er utløst. Det må ses i sammenheng med store satsinger på blant annet overgang til elektronisk selvangivelse og rapportering via Altinn. Det har bidratt til betydelig effektivisering de siste årene. Innenfor områdene helse og utdanning er effektiviseringspotensialet også stort. Selv om tjenestene som produseres i offentlig sektor gjennomgående er gode, tyder OECDs sammenlikninger på at en del andre land får klart mer ut av pengene enn det Norge gjør.

Figur 9.4 Anslått effektiviseringspotensial i offentlig sektor i OECD-land. 2015
Kilde: OECD.
Sammenlikning med andre og evalueringer
Konkurranse mellom produsenter er en viktig drivkraft for økt produktivitet i privat sektor. Også i offentlig sektor kan konkurranse bidra til å øke effektiviteten, men konkurransen må ofte ta andre former. I en del tilfeller vil private tilbydere utgjøre en referanse for offentlige virksomheter. I andre tilfeller kan sammenlikning av resultater og kostnader gi grunnlag for å si hvor en virksomhet eller kommune bør lete etter effektiviseringspotensial. Bruk av sammenliknbare data (benchmarking) og åpenhet om resultatene kan skape større bevissthet om hvem som oppnår best resultater og hvor mye ressurser som anvendes. Fra og med 2014 er det obligatorisk for statlige virksomheter å publisere årsrapport og årsregnskap på egne hjemmesider. Statistikk fra KOSTRA-databasen gir åpenhet om ressursinnsats, prioriteringer og måloppnåelse i kommuner, fylkeskommuner og bydeler.
Det har vokst fram miljøer internasjonalt som søker å bidra til å dele, fremskaffe eller sammenstille informasjon om innovasjon i offentlig sektor. OECD har opprettet et nettsted for innovasjon i offentlig sektor. Nettstedet skal både spre informasjon om offentlige innovasjoner blant medlemslandene og måle effektene av effektivisering i offentlig sektor. I Storbritannia er det utviklet et «What Works Network», som har som mål å forbedre måten offentlige myndigheter skaper, deler og bruker kunnskap som grunnlag for beslutninger.
For å sikre at offentlig sektor tar i bruk nye løsninger, er det viktig å sikre systematisk innovasjon og adopsjon av ny teknologi i offentlig forvaltning. «Innovasjonsbarometeret 2016» i Danmark viser til at tre av fire offentlige innovasjoner er helt eller delvis læring fra andre. Ny teknologi spiller en rolle i omtrent halvparten av innovasjonene, og det rapporteres ofte om lavere ressursbruk og bedre involvering av innbyggerne.
9.2.3 Målkonflikter
Offentlig sektor står ofte ovenfor målkonflikter der hensynet til effektiv oppgaveløsning må veies mot andre sentrale mål og hensyn. Det kan være distriktspolitiske hensyn i valget av organisering, se nærmere omtale i kapittel 10, eller for eksempel mål knyttet til klima og miljø, likestilling og folkehelse.
Hensynet til demokrati, legitimitet og tillit til offentlige myndigheter kan gjøre endringsprosesser mer omfattende og tidkrevende enn om slike hensyn ikke tillegges vekt. Det norske demokratiet er i stor grad konsensusbasert, der mange aktører gis anledning til å uttale seg om konsekvenser av ulike tiltak. Hensynet til gode beslutninger må balanseres mot ulempene ved sene prosesser, forsinkelser og merkostnader.
Økt effektivitet i offentlig sektor tilsier en mer kritisk gjennomgang av rapportering, kontroll og rettighetsfesting. Selv om intensjonen med å rettighetsfeste er å sikre den enkelte bedre tjenester, kan den samlede effekten av mange beskrankninger på offentlig sektors muligheter til å møte etterspørselen med nødvendig fleksibilitet bli betydelig større.
Som påpekt av Produktivitetskommisjonen kan det også være målkonflikter mellom kortsiktige politiske mål og mer langsiktige mål for effektivitet i offentlig sektor. Brede forpliktende avtaler i Stortinget kan bidra til at viktige beslutninger med langsiktige konsekvenser ligger fast over lang tid.
9.3 Offentlig eller privat produksjon og finansiering av tjenester
Norge har, sammen med de andre nordiske landene, en stor offentlig sektor målt både i sysselsatte og i omfanget av offentlige tjenester, se figur 9.5. Det er mange årsaker til at oppgaver blir et offentlig ansvar. At det offentlige tar ansvaret for å finansiere tilgang til viktige basistjenester for hele befolkningen, innebærer ikke at det offentlige selv må ta ansvaret for å produsere tjenestene.

Figur 9.5 Ressursbruk2 i offentlig sektor i OECD-land
1 Fastlandsøkonomien.
2 Offentlige utgifter inkludert overføringer.
Kilde: OECD. Government at a Glance (2015).
Ansvaret for og organiseringen av tjenester som helse, utdanning og omsorg for barn og eldre varierer mellom land. Offentlig finansiering av slike tjenester er gjerne begrunnet i at alle innbyggere skal kunne ha god og lik tilgang til tjenestene. For en del tjenester er dessuten samfunnsnytten større enn nytten for den enkelte. Utdanning er et eksempel. Utdanning øker den enkeltes sannsynlighet for å komme i jobb, unngå arbeidsledighet og gir høyere lønn. Dermed får også samfunnet gevinster i form av økte skatteinntekter og reduserte trygdeutgifter. Arbeidstakeres produktivitet kan dessuten øke hvis de jobber sammen med mer produktive kollegaer.
Produksjon og finansiering av velferdstjenester kan organiseres på mange ulike måter. Tabell 9.1 viser et stilisert bilde av mulige løsninger. Disse kan i noen grad flyte over i hverandre og endre seg over tid. De to dimensjonene i tabellen – privat eller offentlig produksjon og privat eller offentlig finansiering – drøftes nærmere nedenfor.
Tabell 9.1 Finansiering og produksjon av velferdstjenester
Finansiering | |||
|---|---|---|---|
Privat | Offentlig | ||
Produksjon | Privat | Markedsløsninger (for eksempel optiker) | Kjøp av tjenester fra private og konkurranseutsetting (for eksempel sykehjem) |
Offentlig | Brukerbetaling (for eksempel renovasjonstjenester) | Gratis, offentlige tjenester (for eksempel grunnskole) | |
Produksjon av tjenester i privat regi med offentlig finansiering vil gi innsparinger på offentlige budsjetter dersom privat sektor produserer tjenestene mer effektivt enn de offentlige tjenesteprodusentene. Da reduseres også samfunnets samlede ressursbruk. Privat finansiering gir direkte innsparinger på offentlige budsjetter, men den samlede ressursbruken i samfunnet reduseres bare dersom forbruket går ned.
Avgrensningen mellom privat og offentlig finansiering er på enkelte områder historisk betinget og kan fremstå litt tilfeldig. I spesialisthelsetjenesten er de fleste aktiviteter et offentlig ansvar. Nye tilbud innenfor tjenesteområder som allerede er offentlige, fremstår gjerne som videreutvikling av eksisterende tilbud og inkluderes i det offentlige tilbudet. Det er for eksempel gratis å ligge på sykehus, noe brukerbetaling ved dagbehandling, og høy egenandel for å bo på sykehjem. Tilsvarende er legetjenester i vesentlig større grad støttet av folketrygden enn tannhelsetjenester, selv om både fastleger og tannlegene i hovedsak er private næringsdrivende.
De langsiktige utfordringene offentlige finanser står overfor understreker viktigheten av klare prioriteringer av hva det offentlige skal tilby og i hvilket omfang. Variasjonen i sammensetningen av og finansieringsansvaret for tjenester i og mellom land illustrerer at det er et betydelig rom for politiske valg. Valgene vil også kunne påvirke effektiviteten i offentlig sektor.
9.3.1 Privat eller offentlig produksjon
De fleste velferdstjenestene produseres i offentlig sektor, men det er også mange områder der offentlige myndigheter kjøper tjenester i private markeder. Det kan gjelde for hele tjenesteproduksjonen eller ved at private aktører kan konkurrere med offentlige tjenestetilbydere.
I kommunesektoren er omfanget av kjøp fra private eller ideelle organisasjoner størst innen veivedlikehold og barnehager, se figur 9.6A. Hvordan private barnehager skal finansieres er fastsatt i forskrift. Beregningsgrunnlaget er den enkelte kommunes utgifter i egne kommunale barnehager. Det innebærer at private tilbydere ikke konkurrerer med offentlige tilbydere på pris. Bruk av private tilbydere av offentlige finansierte tjenester kan gi økt fleksibilitet i tilbudet. Mer fleksibel produksjonskapasitet og utbyggingstakt ved bruk av private aktører var viktig da barnehagereformen ble gjennomført.
Konkurranseutsetting åpner for kjøp fra private. Ved konkurranseutsetting kan både offentlige og private virksomheter konkurrere om å levere tjenester til befolkningen på vegne av det offentlige. Offentlige myndigheter, for eksempel en kommune, bestemmer vilkårene for konkurransen, finansierer tjenestene og er ansvarlig for at virksomheten følger gjeldende lovverk. I figur 9.6A er produksjon der private virksomheter vinner anbudskonkurransen, med i kjøp fra private.
I kommunesektoren er konkurranseutsetting mest brukt innenfor drift og vedlikehold av kommunale veier og renovasjon, og i mindre grad innenfor individrettede tjenester, se figur 9.6B. Konkurranseutsetting brukes likevel blant annet på drift av datautstyr, rengjøring og kantinedrift. I situasjoner med høye oppstartskostnader og mangel på kvalifiserte private tilbydere er det vanskelig å bruke konkurranseutsetting.

Figur 9.6 Kommuners kjøp fra private og ideelle organisasjoner og konkurranseutsetting. Prosent. 2016
Kilde: NIBR-rapport 2016:20 (Kommunal organisering 2016).
I sykehussektoren er det i hovedsak det offentlige som står for produksjonen av tjenester, mens private klinikker supplerer tilbudet på enkelte områder. Dette tilbudet kan danne en referanse på pris og tidsbruk for de offentlige produsentene.
Offentlig-privat samarbeid (OPS) er ordninger hvor offentlig tjenesteproduksjon blir organisert i et samarbeid mellom offentlige og private aktører. OPS kommer i flere ulike former, men en fellesnevner er at ansvar og finansiell risiko fordeles mellom partene. Den private deltakeren har ansvar for utbygging og drift, i henhold til kontrakt med det offentlige. Offentlig-privat samarbeid har vært benyttet i samferdselssektoren, men også til å bygge og drive nye skole- og helsebygg. Etablert modell for OPS-prosjekter i staten legger vekt på at det er prosjektets nytte, ikke dets kontrakts- og finansieringsstrategi, som bør avgjøre prioriteringen av prosjektet på statsbudsjettet.
Dersom oppgaver legges helt eller delvis til privat virksomhet, vil offentlige myndigheter likevel ha det endelige ansvaret for leveringssikkerheten. Det kan være ressurskrevende å utvikle og forvalte kontrakter mellom det offentlige og det private. Asymmetrisk informasjon mellom privat produsenter og det offentlige vil også kunne innebære en risiko for blant annet lavere kvalitet, dårligere leveringssikkerhet og «fløteskumming». Fløteskumming innebærer at private leverandører kun utfører de mest lønnsomme oppgavene og etterlater de mest kostnadskrevende til det offentlige.
Gode løsninger forutsetter gode kontrakter. Moen m.fl. (2003)1 fremhever fire typer kontraktsproblemer som særlig relevante:
mangelfullt innsyn i kostnadene til private aktører
vansker med å inngå tilstrekkelig langsiktige kontrakter knyttet til alle relevante forhold
vansker med å kontraktsfeste kvalitet
vansker med å kontraktsfeste innovasjon og nyskaping
Ifølge Gautun m.fl. (2013)2 sparer kommunene penger dersom drift av sykehjem konkurranseutsettes. Det påpekes samtidig at det ikke foreligger forskning som viser hele kostnadsbildet for kommunene, dvs. som inkluderer kostnader knyttet til anbudsprosesser, utforming av egne tilbud, kontraktinngåelser, oppfølging av at kontrakter overholdes, og uforutsette hendelser i kontraktsperioden, som eierskifte, konkurs eller at driften stoppes på grunn av brudd på arbeidsmiljøloven.
Internasjonale erfaringer tyder på at effektiviteten øker når offentlige tjenester dereguleres og oppgavene konkurranseutsettes. Forskningslitteraturen klarer likevel i liten grad å skille mellom effekter av deregulering og markedsliberalisering og av selve privatiseringen. Effekten er større, jo sterkere konkurranse det blir på et område. Produktivitetskommisjonen anbefalte at konkurranse bør benyttes for å øke effektiviteten i offentlig sektor der flere tilbydere er aktuelle og det kan påvises klare effektiviseringsgevinster.
Bruk av private tilbydere kan også bidra til desentralisering av makt og økt valgfrihet. Private tilbydere kan gjøre det lettere å tilpasse tjenestene til forskjeller i innbyggernes ønsker og behov. Det kan i seg selv gi velferdsmessige gevinster.
9.3.2 Privat eller offentlig finansiering
Velferdstjenestene i Norge er i hovedsak finansiert over offentlige budsjetter. Innenfor tjenester som sykehjem, barnehage og skolefritidsordning er brukerbetaling utbredt som delfinansieringskilde. Privat finansiering kan også virke regulerende på etterspørselen og kan være et verktøy for det offentlige til å få fram den reelle nytten av en offentlig tjeneste.
Hvor stor andel gebyrer utgjør av inntektene i offentlig forvaltning, varierer betydelig mellom land, se figur 9.7. Betalinger for offentlige tjenester utgjør vel 8 pst. av inntektene i offentlig forvaltning utenom inntekter fra oljevirksomhet i Norge, om lag 4-6 prosentenheter lavere enn nivået i USA, Finland og Sveits. Helse- og omsorgstjenester og høyere utdanning er områder der andre OECD-land har klart større innslag av brukerbetaling enn Norge.

Figur 9.7 Betaling for offentlige tjenester. Prosent av inntektene i offentlig forvaltning 2015 eller siste tilgjengelige år
1 Inkluderer ikke overføringer til statsbudsjettet fra Statens pensjonsfond.
Kilde: OECD og Statistisk sentralbyrå.
Det er store forskjeller i omfanget av brukerbetaling for ulike tjenesteområder også i Norge. For vann, avløp og renovasjon er tjenestene fullt ut finansiert av brukerbetaling, se figur 9.8. For den kommunale skolefritidsordningen er også gebyrene lik selvkost i mange kommuner. I motsatt ende ligger brukerbetalingen for helse- og omsorgstjenester til hjemmeboende. Helse- og omsorgstjenester på institusjon er svært kostnadskrevende På sykehjem dekker brukerbetalingen om lag 16 pst. av driftsutgiftene til tross for at den vanligvis utgjør 85 pst. av beboerens inntekt.

Figur 9.8 Gebyrer og brukerbetaling i kommuneforvaltningen. I prosent av sektorens driftsutgifter i 2015
1 Gebyrinntektene til vann, avløp og renovasjon kan overstige 100 pst. av driftsinntektene det enkelte år uten å bryte med selvkostprinsippet. Det skyldes at det i beregningene av selvkost (gebyrgrunnlaget) også trekkes inn andre kostnadskomponenter enn de direkte driftsutgiftene til tjenestene, slik som f.eks. en forholdsmessig andel av utgiftene til sentraladministrasjon og felles tjenester (indirekte driftsutgifter) og kalkulasjonsrentekostnad i tillegg til at avsetningene kan avvike.
Kilde: Statistisk sentralbyrå og Finansdepartementet.
I kommunene og fylkeskommunene utgjorde gebyrer om lag 14 pst. av de samlede inntektene i 2015. Det betyr at brukerbetalinger er klart viktigere for kommuner og fylkeskommuner enn for staten.
Egenandeler utgjorde knapt 15 pst. av de samlede helseutgiftene i 2013. Det er om lag det samme som i Sverige og Danmark, se figur 9.9. I mange land med lavere egenandel enn i Norge utgjør privat forsikring en viktigere finansieringskilde.

Figur 9.9 Helseutgifter etter finansieringskilde. Prosent av samlede helseutgifter i 2013 eller siste tilgjengelige år
1 For Nederland undervurderes egenandelen pga. obligatorisk kostnadsdeling av helseforsikring i offentlig sektor.
2 Totale helseutgifter, både drift og investering.
Kilde: OECD, Health at a Glance 2015.
Tilbudet av og etterspørselen etter offentlige tjenester balanseres vanligvis gjennom skjønnsmessige og faglige vurderinger (for eksempel innenfor helsesektoren) eller prestasjoner (for eksempel innenfor utdanning). Hel eller delvis brukerbetaling gir det offentlige et bedre bilde av den reelle etterspørselen etter et gode eller en tjeneste, og kan dermed bidra til en bedre sammensetning av det offentlige tjenestetilbudet. Denne enkle formen av etterspørselsregulering kan ha store ringvirkninger for offentlige budsjetter, også i tilfeller der brukerbetalingen er liten. Det skyldes i større grad at det begrenser overforbruk enn at det bidrar til å øke offentlige inntekter. Hvis man derimot kan forsikre seg mot brukerbetalinger, begrenses den etterspørselsregulerende effekten kraftig. Hvis tilbudet heller ikke reguleres, kan resultatet bli svært høye kostnader samlet sett, noe blant annet helsevesenet i USA er et eksempel på.
Økt innslag av brukerbetaling kan på den annen side bidra til skjevere fordeling, ettersom offentlige tjenester vanligvis utgjør en større del av det samlede forbruket til husholdninger med lave inntekter enn husholdninger med høye inntekter. Behovsprøving i form av graderte satser kan dempe uheldige fordelingseffekter.
I noen tilfeller er brukerbetaling lite hensiktsmessig. Et eksempel er obligatorisk skolegang eller basishelsetjenester som forebygger dyre akuttinngrep. Dette er goder det offentlige ønsker man benytter. Brukerbetaling på kollektive goder (som bompenger på veier uten kø) kan også gi redusert nytte dersom det fører til at kapasiteten ikke utnyttes. Brukerbetaling kan i noen tilfeller begrunnes med at de som har glede av tjenesten også betaler. Hvis det i særlig grad gjelder høyinntektsgrupper, vil brukerbetaling kunne virke fordelingsmessig gunstig. Samtidig har brukerbetaling administrative kostnader som må stå i forhold til eventuelle gevinster ved slik betaling.
Land med høy egenandel på tjenester som høyere utdanning, har også ofte ordninger med stipend og offentlige låneordninger for de som ikke har midler til å dekke utgiftene til skolepenger selv. Ifølge OECD kan det være en effektiv måte å gi alle mulighet og midler til å studere og samtidig dele kostnaden ved høy utdanning mellom skattebetalerne og studentene. Studenter som studerer i andre land, vil som oftest måtte dekke skolepengene gjennom egne midler eller ordninger i hjemlandet, og dermed blir finansieringen av studieplassene i land med høye studieavgifter i større grad belastet de landene som ventes å nyte godt av utdanningen.
Flere eldre og økt velstand vil gi økt etterspørsel etter helsetjenester i tiårene fremover. Mer privat ansvar for finansiering av disse tjenestene vil lette presset på offentlige utgifter, men vil samtidig kunne slå uheldig ut fordelingsmessig. Med økt privat finansiering vil etterspørselen etter økt standard på helsetjenestene kunne øke, og det kan oppstå en forventning om at tilbudet i større grad enn i dag skal skreddersys den enkelte brukeren.
9.4 Virkemidler for en effektiv offentlig sektor
Flere områder i norsk økonomi har et stort potensial for økt produktivitet, som påpekt av blant annet Produktivitetskommisjonen. Det gjelder også for offentlige tjenester. For å utløse dette potensialet kreves politisk initierte tiltak, både i form av enkelttiltak og strukturelle reformer.
9.4.1 Organisering
Hensiktsmessig organisering er nødvendig for å møte nåværende og fremtidige utfordringer. Organiseringen av tjenestetilbudet, både internt i den enkelte virksomhet, mellom virksomheter og ansvarsområder, mellom ulike forvaltningsnivåer og geografisk, har betydning for hvor effektiv sektoren er.
Organisering i og mellom virksomheter
Virksomhetslederes evne til å skape resultater er vesentlig for produktiviteten i offentlig sektor. Det omfatter å ta strategiske og operative beslutninger, motivere medarbeidere og legge til rette for gode prosesser og riktig disponering av ressurser. Ledere må skape kultur for endring og evne å prioritere mellom oppgaver, herunder nedprioritere oppgaver når nye oppgaver kommer til. Effektivitet i oppgaveløsningen og egnede tiltak for å oppnå dette er viktige forutsetninger for å lykkes.
Både OECD og Produktivitetskommisjonen har anbefalt at Norge gjennomfører systematiske gjennomganger for å forbedre kvaliteten og effektivisere offentlige virksomheter. Områdegjennomganger kan også benyttes for å identifisere ordninger eller aktivitet som har lav nytte eller politisk prioritet og dermed kan avvikles. Regjeringen har iverksatt enkelte områdegjennomganger og vurderer hvordan verktøyet kan bidra til å forbedre grunnlaget for beslutninger om offentlige budsjetter.
Organisering på tvers av forvaltningsnivåer og ansvarsområder
Hensiktsmessig oppgavefordeling mellom stat og kommune er viktig for å oppnå effektiv drift og et velfungerende demokrati. Det bidrar til at nødvendige helhetlige og sektorovergripende prioriteringer og vurderinger gis en folkevalgt forankring. Prinsippet om at oppgaver bør legges på lavest mulig effektive nivå har siden oppgavefordelingsutvalget la fram sin innstilling i 2000 ligget til grunn for vurdering av oppgavefordelingen. I dagens organisering av kommunene har alle de samme oppgavene. Fordi oppgaveporteføljen bestemmes ut fra hvilke oppgaver de minste kommunene kan klare, setter det samtidig begrensninger på hvilke oppgaver kommunene kan ha.
Oppgavefordelingsutvalget pekte også på at oppgaver som krever stor grad av samordning overfor brukerne og oppgaver som krever stor grad av koordinering, bør legges på samme forvaltningsnivå. Det kan være krevende. Samhandlingsreformen i helsesektoren fra 2012 er et forsøk på å svare på behovet for bedre koordinering av tjenestene mellom kommunehelsetjenesten og spesialisthelsetjenesten.
Lov om forsøk i offentlig forvaltning (forsøksloven) gir anledning til å etablere forsøk som verktøy for å utvikle nye løsninger for oppgavehåndtering og modeller for oppgaveløsning. Kommuner, fylkeskommuner og statlige organ kan på denne måten prøve ut løsninger med en annen fordeling av oppgaver mellom forvaltningsnivåene.
Geografisk organisering
En hensiktsmessig kommunestruktur som setter kommunene i stand til å yte gode tjenester til innbyggerne på en effektiv måte, er avgjørende for å få en best mulig utnyttelse av samfunnets ressurser. Kommunestrukturen i Norge har stort sett vært uendret de siste femti årene. Regjeringens arbeid med en kommunereform må blant annet ses på bakgrunn av de omfattende endringene som har skjedd siden da. For femti år siden var avstand et vesentlig større problem enn i dag. Siden da har det vært en omfattende utbygging av transportinfrastrukturen over hele landet. Forrige store kommunereform på 1960-tallet skjedde før bilen ble allemannseie og mens flyreiser fortsatt var svært dyre og rutetilbudet mindre utbygd. I tillegg har nye IKT-løsninger gitt mulighet for å jobbe desentralt og skape større fagmiljøer uten samme krav til samlokalisering. IKT-løsninger gir også mulighet til å kommunisere med kommunene digitalt. Kommunene har dessuten fått stadig flere oppgaver og mer ansvar. I denne perioden har det vært en betydelig økning i folketallet i de store kommunene og nedgang i de små, se figur 9.10.

Figur 9.10 Befolkningsvekst i kommunene etter størrelsen fra 1985 til 2015. Sortert etter kommunens størrelse i 1985. Prosentvis endring
Kilde: Statistisk sentralbyrå og Finansdepartementet.
Kommunene må også kunne håndtere nye velferdsreformer. Det økte behovet for tjenester som følger av økningen i antall eldre vil være en utfordring for alle kommuner, men særlig i de minste kommunene, se figur 9.11. Større kommuner kan legge til rette for at flere oppgaver kan overføres fra fylkeskommunene, fylkesmannen og staten for øvrig. Flere oppgaver vil kunne gi kommunene mulighet til å utvikle et mer helhetlig tjenestetilbud til innbyggerne.

Figur 9.11 Andelen 80 år og eldre i kommuner etter størrelse. Sortert etter størrelsen på kommunen i 2016. 1986, 2016 og 2040
Kilde: Statistisk sentralbyrå og Finansdepartementet.
Større kommuner vil også kunne gi mulighet for en mer effektiv administrasjon og ledelse og frigjøre ressurser til å styrke kommunenes velferdstjenester. En mer profesjonell administrasjon og ledelse kan gi fornyelse av tjenester og arbeidsformer. Større fagmiljøer kan gi mer stabile arbeidsmiljøer, bredde i kompetansen og en bredere tiltaksportefølje. Kommunegrenser som i større grad samsvarer med funksjonelle bo- og arbeidsmarkedsregioner, vil kunne legge forholdene bedre til rette for et rasjonelt utbyggingsmønster. Særlig i byområdene kan mer helhetlig samfunnsplanlegging gi betydelige gevinster.
Kommunenes finansieringssystem må understøtte en hensiktsmessig kommunestruktur. Inntektssystemet utjevner inntektene mellom kommunene for å skape grunnlag for et likeverdig tjenestetilbud i alle kommuner. Et hovedprinsipp i inntektssystemet er at det kun skal kompensere for ufrivillige kostnadsulemper. Fram til nå har likevel kommunene blitt kompensert fullt ut for smådriftsulemper på kommunenivå, til tross for at smådriftsulemper knyttet til lavt innbyggertall er frivillige i tilfeller der ulempene kan reduseres gjennom interkommunalt samarbeid eller kommunesammenslutninger. I hvilken grad smådriftsulempene kan reduseres på denne måten vil variere fra kommune til kommune. I inntektssystemet fra 2017 skilles det mellom frivillige og ufrivillige smådriftsulemper, og kommunene kompenseres nå bare delvis for det som defineres som frivillige smådriftsulemper. Det kan bidra til å gi bedre insentiver for kommunesammenslåinger.
Inntektsutjevningen for kommunene omfatter ikke konsesjonskraftsinntekter eller eiendomsskatt. Enkelte kraftkommuner sitter derfor igjen med svært høye inntekter per innbygger, noe som kan være til hinder for at kommunene frivillig skal endre kommunegrensene.
Fylkeskommunestrukturen har ligget fast siden begynnelsen av 1970- tallet. Fylkesinndelingen bygger på de tidligere amtsstrukturene, og dagens regioninndeling er dermed i all hovedsak over 170 år gammel. På samme måte som for kommunegrensene går dagens fylkesgrenser delvis på tvers av reisemønstre, bolig- og arbeidsmarkedsregioner og næringsstrukturer, slik at god planlegging av arealer og funksjonelle strukturer vil kreve at det geografiske perspektivet er større enn dagens fylker.
God samhandling mellom kommuner, fylkeskommuner og statlige regionale etater er viktig for å skape en god ressursutnyttelse. Grensene til viktige regionale statlige samarbeidspartnere har blitt endret de siste tiårene og sammenfaller ikke lenger med de politiske regiongrensene. Det er også behov for å vurdere utformingen av statens regionale strukturer for å få til best mulig samhandling og samordning på regionalt nivå, se omtale i kapittel 10.
9.4.2 Styrings- og finansieringsprinsipper
Politiske budsjettvedtak setter rammene for ressursbruken i offentlig sektor og angir prioriteringer mellom omfanget av og kvaliteten på ulike offentlige tjenester. For å oppnå en effektiv drift må virksomhetene holdes ansvarlige for sine resultater, og budsjettene være troverdige som styringsdokumenter. Mål- og resultatstyring er et sentralt prinsipp i staten og i styringen av underliggende virksomheter. Det handler om å omsette politikk og faglige funderte strategier til langsiktige mål og resultatkrav. Deretter skal resultater vurderes opp mot målene, og informasjonen brukes til styring, kontroll og læring.
Kommunesektoren har ansvaret for om lag halvparten av den offentlige tjenesteproduksjonen. Kommunesektoren er rammestyrt. Det innebærer at kommunene selv har ansvar for å tilpasse aktiviteter, tjenesteyting og ressursbruk til de fastsatte inntektsrammene, innenfor gjeldende lover og regelverk. Finansieringen består i hovedsak av skatteinntekter, bevilgninger over statsbudsjettet og gebyrer (brukerbetaling). Bevilgningene over statsbudsjettet gis dels som rammetilskudd og dels som øremerkede tilskudd til bestemte formål. Skatteinntektene og rammetilskuddet fra staten utgjør frie midler. De frie inntektene er basisfinansiering av sentrale velferdstjenester som blant annet barnehage, skole og eldreomsorg.
Det finansielle ansvarsprinsippet innebærer at den som har beslutningsmyndighet også skal bære kostnaden ved beslutningen. Prinsippet fremmer kostnadseffektive løsninger. Det gir også et oversiktlig ansvarsforhold og reduserer rommet for strategiske tilpasninger. Når ansvarsprinsippet kombineres med rammestyring, forsterkes insentivene til effektiv ressursbruk siden kommunene eller virksomhetene også får beholde eventuelle effektiviseringsgevinster.
Det finansielle ansvarsprinsippet ligger til grunn for finansieringen av kommunesektoren, men overholdes ikke fullt ut i dag. Det gjelder særlig ordninger der kommunen har vedtakskompetanse, men hvor utgiftene helt eller delvis dekkes av staten. For eksempel dekker staten 80 pst. av kommunenes utgifter utover et visst nivå per bruker i toppfinansieringsordningene for ressurskrevende omsorgstjenester. Formålet med ordningen er å gi et godt tilbud til alle brukere uten for store konsekvenser for den enkelte kommune. Det er særlig viktig i små kommuner der en enkelt bruker kan gi store utslag i budsjettet. En refusjonsgrad på 80 pst. gir svake insentiver til å begrense ressursbruken og vurdere om andre løsninger kan gi økonomiske besparelser og minst like god behandling. Utbetalingene under ordningen har økt betydelig siden den ble innført, se figur 9.12.

Figur 9.12 Utviklingen i utbetalinger i toppfinansieringsordningen for ressurskrevende tjenester og antall mottakere
1 Anslag i statsbudsjettet for 2017.
Kilde: Kommunal og moderniseringsdepartementet.
Øremerkede ordninger kan brukes for å styre kommunale prioriteringer til bestemte formål, men omfattende bruk kan gi uheldige insentiver til effektivisering. Kommuner som allerede har et godt utbygd tjenestetilbud på områder hvor utbygging finansieres med øremerkede tilskudd, vil ikke ha behov for statlige tilskudd på det aktuelle området. Samtidig vil det kunne oppleves som urettferdig at tilskuddet premierer kommuner som ikke har bygd ut det aktuelle tjenestetilbudet. Dette kan gi strategiske tilpasninger for senere tildelinger. Øremerkede tilskudd vil dessuten ofte medføre et betydelig administrativt merarbeid både lokalt og sentralt. I tillegg undergraves den makroøkonomiske kontrollen som ligger i et rammefinansieringssystem, og kommunene får dårligere oversikt over den samlede økonomiske rammen ved planlegging og budsjettering.
Gjennom de siste tiårene er kommunene i økende grad blitt tillagt oppgaver gjennom ulike særlover, særlig på utdannings-, helse og sosialområdet. Innenfor hjemmesykepleie, praktisk bistand og opplæring, hjemmehjelp og avlastningstiltak er det blitt en sterkere rettighetsfesting. Målet er å styrke innbyggernes rettssikkerhet og å gi sterkere føringer for et godt tilbud på det enkelte områder. Samtidig medfører slike ordninger betydelig merarbeid og beslaglegger større ressurser i kommunene. Implisitt innebærer de dermed også en nedprioritering av andre områder, uten at dette er uttalt.
Også bemanningsnormer sikter mot å sikre et godt og likeverdig tilbud på utvalgte områder, på tvers av kommuner. Samtidig låser de kommuner eller virksomheter til fastsatte løsninger. Kostnadene kan bli svært høye, og begrense interessen for å investere i nye og innovative løsninger som kan gi bedre tilbud med lavere bemanning.
9.4.3 Planlegging og beslutningsgrunnlag
For å kunne prioritere riktig er det viktig at offentlige beslutninger er basert på god kunnskap om konsekvenser og kostnader. Ufullstendig eller manglende utredning øker risikoen for at det fattes beslutninger som ikke kan gjennomføres, som gir uønskede virkninger eller som innebærer sløsing med samfunnets ressurser. I tillegg kan det bli nødvendig å måtte prioritere mellom eksisterende ordninger og nye ordninger. Ifølge NOU 2015: 14 (Bedre beslutningsgrunnlag, bedre styrking) er vesentlige forutsetninger for å sikre et godt beslutningsgrunnlag at det gjennomføres tilfredsstillende mål- og problemanalyser, at alternative virkemidler vurderes og at konsekvensene er tilfredsstillende utredet før tiltak vedtas.
Utredningsinstruksen er et sentralt regelverk som stiller krav om utredning av konsekvenser ved ulike tiltak. Et viktig element er krav om å identifisere og involvere de som berøres gjennom nytte- og kostnadsanalyser og at det skal redegjøres for når tiltaket vil få vesentlige budsjettmessige virkninger for staten. Konsekvensutredninger skal omfatte konsekvensene for statlig, fylkeskommunal og kommunal forvaltning, i tillegg til konsekvenser for næringsliv og personer. Alternative løsninger og alternativkostnader skal som en regel også vurderes. Synliggjøring av konsekvenser bidrar til at de mest lønnsomme prosjektene kan bli gjennomført og at planer og rammer fastsettes på bakgrunn av en samlet prioritering av ulike formål innenfor det til enhver tids gjeldende handlingsrom.
For å vurdere et offentlig tiltak må det fremskaffes systematisk og mest mulig fullstendig og sammenliknbar informasjon om ulike nytte- og kostnadsvirkninger. Så langt det lar seg gjøre tallfestes alle positive og negative effekter av et tiltak, herunder virkninger for miljø, helse og sikkerhet. Dersom summen av alle nyttevirkninger av tiltaket er større enn summen av kostnadene, defineres tiltaket som samfunnsøkonomisk lønnsomt (NOU 2009: 16 Globale miljøutfordringer – norsk politikk). Nytte- kostnadsanalyser er særlig viktig for større investeringsprosjekter.
Både Produktivitetskommisjonen og Børmer-utvalget (NOU 2015: 14) har pekt på at det er et problem i flere sektorer at prosjekter endrer omfang vesentlig underveis i planleggingsfasen. Det kan medføre til dels betydelige kostnadsøkninger. Det er også problematisk dersom det medfører at staten gjennomfører prosjekter som ikke ville ha blitt valgt dersom de sanne kostnadene var kjent da man foretok konseptvalget.
9.4.4 Reformer
Politisk initierte tiltak, enten i form av enkelttiltak på bestemte områder eller reformer som favner bredere, er viktig for å få til en mer effektiv ressursbruk i offentlig sektor. Store og omfattende endringer kan være krevende å gjennomføre fordi kostnader og ulemper kommer raskt, mens de økonomiske gevinstene først kan hentes ut etter flere år. Et viktig element for å lykkes med en reform er ifølge OECD at den er basert på solid forskning og analyser i uavhengige fagmiljøer. Gode analyser bidrar til å bedre kvaliteten på reformer og til å øke sannsynligheten for at reformer får støtte. Gode analyser bidrar også til at de forespeilede gevinstene blir realisert. Flere reformer er blitt til gjennom formaliserte prosesser der regjeringer har invitert partene i arbeidslivet til å delta. Utsiktene for at en reform blir vellykket øker dersom myndighetene har fått et klart mandat fra velgerne.
Avbyråkratiserings- og effektiviseringsreformen (ABE-reformen) som ble iverksatt i 2015, innebærer en forutsigbar årlig reduksjon i inntektsrammene til offentlige virksomheter. Slik skal deler av gevinstene fra generell og underliggende produktivitetsvekst tilfalle fellesskapet, samtidig som virksomhetene stadig må effektivisere egen virksomhet. ABE-reformen gir insentiver til langsiktig arbeid for en mer effektiv statlig drift. Samtidig skapes et handlingsrom i statsbudsjettet til andre prioriterte formål. I løpet av de tre årene siden reformen ble satt i verk, har det blitt frigjort 6,4 mrd. kroner over statsbudsjettet.
Andre strukturelle effektiviserings- og omstillingstiltak må komme i tillegg til ABE-reformen. Det kan være omorganisering av enheter, roller og ansvarsområder og/eller omlegging av arbeidsprosesser internt i en virksomhet eller mellom virksomheter.
Flere nylig iverksatte reformer tar sikte på å bedre kvaliteten på tjenestene og fremme mer effektiv ressursbruk. Blant annet er det lagt opp til endringer i strukturen i universitets- og høyskolesektoren. Ressursene skal samles på færre, men sterkere institusjoner og derigjennom styrke kvaliteten på utdanningen og forskningen. Samtidig skal tilgangen til høyere utdanning være god over hele landet, og institusjonenes regionale rolle skal videreutvikles. Gjennom nærpolitireformen er antall politidistrikter redusert og antall tjenestesteder skal reduseres. Færre politidistrikter, etablering av fellestjenester for administrative funksjoner og endret lokal tjenestestedsstruktur skal bidra til en mer effektiv tjenesteproduksjon i politiet.
Gjennom jernbanereformen og opprettelsen av Nye Veier AS er det tilrettelagt for en mer effektiv vei- og jernbanesektor. Et viktig grep i reformene er mindre politisk detaljstyring og mer operasjonell frihet for de ulike virksomhetene. Veiselskapet skal legge helhetlig utbygging og samfunnsøkonomisk lønnsomhet til grunn for prioriteringene, og har identifisert store muligheter for å kunne redusere kostnader og øke nytten av prosjektporteføljen. Gjennom jernbanereformen gjennomføres det endringer med vekt på sterkere kundeorientering og større effektivitet, herunder økt vekt på konkurranse og bedre samordning og styring av sektoren.
Det er også innført fritt behandlingsvalg i spesialisthelsetjenesten. Reformen skal redusere ventetidene, øke valgfriheten for pasientene og stimulere de offentlige sykehusene til å bli mer effektive. Fritt behandlingsvalg skal øke mulighetene for å ta i bruk ledig kapasitet i sykehusene, og samtidig legge til rette for at de offentlige sykehusene kan sammenlikne seg med nye tjenesteytere og forbedre egen virksomhet for å beholde fornøyde pasienter.
I de senere årene er skatte- og avgiftsforvaltningen modernisert og effektivisert. Fra 2017 har skatteetaten overtatt alt ansvar for særavgifter og merverdiavgift ved innførsel fra tolletaten. Fastsetting, innkreving og kontroll av skatter og avgifter har med dette fått en hensiktsmessig plassering i skatteetaten. Samtidig har skatteetaten fått fullmakt til å sette i gang et arbeid for å redusere antall kontorenheter. Tolletaten er på sin side styrket og rendyrket til grensekontroll og vareførsel for å møte fremtidige utfordringer på grensen. Formålet med endringene har vært å legge til rette for en mer effektiv oppgaveløsning, redusert ressursbruk og forenkling for innbyggerne og næringslivet. Det er også et mål å styrke bekjempelsen av svart økonomi og å få en bedre grensekontroll.
9.4.5 God bruk av digitale løsninger
Bruk av ny teknologi er viktig for produktivitetsutviklingen i privat sektor, og kan gi store gevinster også i offentlig sektor. I internasjonal sammenheng var norsk forvaltning tidlig ute med å ta i bruk digital teknologi. Økt digitalisering i rapportering og saksbehandling har bidratt til mer effektiv ressursanvendelse innenfor flere områder i offentlig forvaltning, men potensialet for ytterligere effektivisering er fortsatt betydelig.
Bruk av IKT skal legge grunnlaget for lavere ressursbruk for de som rapporterer eller sender søknader til det offentlige. Dermed bedres også produktiviteten i næringslivet og tilgangen til informasjon for husholdninger og bedrifter. IKT kan også gi mulighet til å utvikle nye og bedre tjenester.
Norske innbyggere og bedrifter er raske til å ta i bruk ny og tilgjengelig teknologi. Det gjelder også i samhandlingen med det offentlige, se figur 9.13. Det er dessuten flere eksempler på at offentlig sektor har kommet langt i å ta i bruk mulighetene digitalisering gir. Tall fra OECD viser at innkrevingskostnadene per skattekrone i Norge har falt fra 0,7 pst. i 2005 til 0,5 pst. i 2009, mens gjennomsnittet i OECD var på 1,0 pst. Elektronisk selvangivelse er en del av denne effektiviseringen. Eksempler fra helse- og omsorgssektoren er e-reseptordningen og felles kjernejournal, som både innebærer besparelse for offentlig sektor og mer effektive tjenester for brukerne.

Figur 9.13 Digitalisering i offentlig sektor.
Kilde: OECD. Government at a Glance 2015.
Statlige virksomheter må arbeide systematisk for at investeringer i nye digitale løsninger gir forventede resultater og at gevinster realiseres. Erfaringer fra andre land og fra andre sektorer viser at vellykkede digitaliseringsprosjekter krever en klar strategi og ledelse og at det etableres planer for gevinstrealisering.
Produktivitetskommisjonen pekte på at det er et stort uutnyttet potensial for effektivisering i forvaltningen gjennom bruk av IKT. Kommisjonen fremhever behovet for samarbeid mellom kommunene og staten på dette området. Automatiserte tjenester, gode selvbetjeningsløsninger og «tjenestekjeder» der relevant informasjon er forhåndsutfylt, forutsetter at forvaltningen gjenbruker informasjon som forvaltningen allerede har. Ved å legge til rette for samordning, bruk av felles arkitektur og utvikling av felleskomponenter kan en dermed oppnå store ressursbesparelser både i offentlig sektor, men også i privat sektors samhandling med det offentlige.
I stortingsmeldingen Digital agenda for Norge legges det opp til en mer systematisk samordning av statlige og kommunale IKT-løsninger. Statlige virksomheter skal være pådrivere og ta en koordinerende rolle i arbeidet med å lage gode digitale tjenester på tvers av statlig og kommunal sektor. Kommunene må også være involvert i utredning, utvikling og forvaltning av nye løsninger. Direktoratet for forvaltning og IKT (Difi) skal produsere en oversikt over digitaliseringsinitiativ i statlig sektor som påvirker kommunesektoren, inkludert oversikt over mulige gevinster og planer for å realisere disse.
Omsorgstjenester er gjennomgående svært arbeidsintensive, og behovet for slike tjenester vil øke ettersom befolkningen blir eldre. Det er derfor særlig viktig at det jobbes med å effektivisere disse tjenestene, slik at man kan frigjøre arbeidskraftsressurser. Arbeidsintensive tjenester kan imidlertid være mer krevende å effektivisere enn annen produksjon.
Innovasjon i Omsorg (NOU 2011: 11) pekte på et særlig stort uutnyttet potensial for å ta i bruk tilgjengelig teknologi og for å utvikle ny teknologi i omsorgstjenestene. Utprøving av velferdsteknologiske løsninger i kommunale helse- og omsorgstjenester tyder på at det fortsatt er et betydelig effektiviseringspotensial.
Velferdsteknologi kan forstås som all teknologisk assistanse som bidrar til økt trygghet, sikkerhet, sosial deltakelse og mobilitet. Brukt riktig kan slik teknologi styrke den enkeltes evne til å klare seg selv i hverdagen til tross for sykdom og nedsatt funksjonsevne.
Teknologiske løsninger kan gjøre det mulig for brukerne å bli boende hjemme eller i omsorgsboliger lenger enn det som ellers ville vært mulig. Eksempler på slike løsninger er komfyrvakter, fallsensorer, GPS-sporingssystem, trygghetsalarmer, apper som minner om spisetider og integrerte hjelpemidler for diagnoser som kols, hjerte- og karsykdommer, diabetes mv. Velferdsteknologi kan også fungere som teknologisk støtte til pårørende og bidra til å forbedre tilgjengelighet, ressursutnyttelse og kvalitet på tjenestetilbudet. Teknisk støtte til kommunikasjon, administrasjon og forvaltning kan frigjøre mer tid til direkte brukerkontakt.
Bruk av ny teknologi har gjort mange offentlige tjenester mer effektive, særlig på helse- og omsorgsområdet. Blant annet behandles sykdommer raskere og med bedre resultater. Utviklingen skjer fort, og det må legges til rette for at effektiviserende teknologi kan tas i bruk.
Det er også viktig at det offentlige legger til rette for digitalisering og nye tjenester i privat sektor, eksempelvis gjennom tilgjengeliggjøring og deling av data. Se nærmere omtale kapittel 6.
9.4.6 Innkjøp og fellestjenester
Offentlig sektor i Norge kjøper inn varer og tjenester for over 480 mrd. kroner årlig, og offentlig sektor er dermed et stort og viktig marked for næringslivet. Anbud og konkurranse om oppdragene bidrar til at offentlige innkjøp skjer rimelig og effektivt. Virksom konkurranse krever velfungerende markeder og at innkjøper opptrer profesjonelt.
Regelverket for offentlige anskaffelser inneholder flere bestemmelser som pålegger offentlige innkjøpere å ivareta samfunnshensyn, herunder hensyn til miljø og klima, menneskerettigheter og bekjempelse av arbeidslivskriminalitet. Krav om ivaretakelse av slike samfunnshensyn har fått større plass i det nye regelverket. Offentlige anskaffelser bidrar på denne måten til å påvirke private virksomheters handlingsmønstre.
Slike krav kan samtidig innebære økte kostnader for både det offentlige og næringslivet. Hensynet til effektiv ressursbruk må veies mot øvrige hensyn.
Offentlige innkjøp gjennomføres i stor grad fra den enkelte virksomhet. Samordning av innkjøp av standardiserte produkter eller tjenester kan gi lavere faste kostnader, høyere innkjøpskompetanse og gunstigere avtaler. Eksempelvis er det etablert en egen innkjøpsenhet i Difi for å øke bruken av sentrale rammeavtaler. Et samarbeid mellom private tilbydere og det offentlige for å utvikle nye og mer effektive tjenester kan i tillegg bidra til økt produktivitet både i offentlig og privat sektor. Felles støttefunksjoner kan spare ressurser gjennom å utnytte stordrifts- og spesialiseringsgevinster.
9.4.7 Tillit
OECD peker på at høy grad av tillit til myndighetene kan gjøre det lettere å gjennomføre større reformer. En velordnet offentlig sektor er viktig for troverdigheten til offentlige myndigheter. Befolkningens tillit til myndighetene er samtidig en vesentlig forutsetning for effektiv forvaltning. I land hvor tilliten er lav, brukes det langt større ressurser på kontrolloppgaver. Høy grad av tillit gjør samhandling enklere og fremmer dermed også verdiskaping i privat sektor.
Innbyggernes tillit til nasjonale myndigheter varierer betydelig mellom land, se figur 9.14. For OECD-området sett under ett, svarer under halvparten av befolkningen ja på spørsmålet om de har tillit til sine nasjonale myndigheter. Norge kommer godt ut med en ja-andel på 66 pst. OECDs analyser viser at innbyggerne gjennomgående har større tillit til og er mer tilfredse med de ulike offentlige tjenestene enn til nasjonale myndigheter i seg selv. Tryggheten for at skattepengene brukes riktig og at folk ser at de tjenestene man betaler for leveres er sentral for at tilliten til myndighetne ikke forvitrer.

Figur 9.14 Tillit til offentlige myndigheter i OECD-land. Andel av befolkningen. 2014
Kilde: OECD. Government at a Glance. 2015
Også innbyggerundersøkelsene fra Difi viser at innbyggerne gjennomgående er fornøyde med offentlige tjenester i Norge, og samtidig at de som bruker tjenestene er mer fornøyd enn de som ikke har benyttet dem. Tillits- og innbyggerundersøkelser kan si noe om hvordan innbyggerne vurderer offentlige tjenester, men er ikke et tilstrekkelig grunnlag for arbeidet med å få mer ut av de ressursene som settes inn i produksjonen.
9.5 Regjeringens strategi
Norge har i dag en stor og arbeidsintensiv offentlig sektor. Vår velferdsmodell bygger på at mange samfunnsoppgaver organiseres i brede fellesløsninger som kommer hele befolkningen til gode. I møte med strammere budsjetter vil en god utvikling i velferdstilbudet og fornuftig bruk av skattebetalernes penger kreve en betydelig effektivisering av offentlig sektor.
Regjeringen mener at viktige elementer for en bærekraftig offentlig sektor vil være:
Strengere prioriteringer. Effektiv ressursbruk er både å gjøre tingene riktig og å prioritere de riktige tingene. Det offentlige kan ikke gjøre alt.
God styring. Siden offentlige tjenester ikke omsettes i et marked, må vi søke andre måter å få informasjon om verdien av det som produseres på. Det må legges press på virksomhetene for å bruke ressursene effektivt. Reformer må baseres på godt utredningsarbeid og gjennomføres med klare rammer. God ledelse er en viktig forutsetning.
Fornuftig fordeling av oppgaver. Arbeidsdelingen mellom offentlig og privat sektor, og mellom det offentlige og innbyggerne, må tilpasses den økonomiske og teknologiske utviklingen. Mer konkurranse blant tilbydere av offentlige tjenester kan gi bedre produktivitetsutvikling. God oppgavefordeling mellom stat og kommune og en hensiktsmessig organisering er viktig for å oppnå effektiv drift, legge til rette for helhetlige og sektorovergripende prioriteringer og gi beslutninger en folkevalgt forankring. Den teknologiske utviklingen legger også til rette for at den enkelte i større grad kan ta ansvar for eget liv innenfor en trygg ramme.
Lære av andre. Både konkurranse med privat sektor, konkurranse mellom offentlige virksomheter, resultatmålinger og nettverkssamarbeid kan bidra til å lære av beste praksis både i Norge og mellom land.
Utnytte digitaliseringens muligheter. Offentlig sektor må legge til rette for å utnytte nye verktøy, herunder digitalisering og automatisering av oppgaver. Gevinstene må tas ut på en mer systematisk måte.
Strukturreformer. Det skal legges til rette for nødvendige strukturreformer i offentlig sektor. Effekten av større reformer og tiltak skal evalueres mer systematisk. Reformer som er gjennomført de siste årene, herunder omleggingen av skatteetaten og nærpolitireformen er eksempler på reformer som over tid vil kunne gi betydelig ressursbesparelser og bedre tjenester til befolkningen.