2 Utviklingen i den norske nasjonalformuen fra 1985 til 2001
Oslo, 14. desember 2004 Av Mads Greaker, Pål Løkkevik og Mari Aasgaard Walle
2.1 Nasjonalregnskapet og bærekraftig utvikling
En nærliggende tolkning av begrepet bærekraftig utvikling er at nivået på forbruket målt pr. capita i et gitt år ikke skal være større enn at man har mulighet til å velge det samme nivået på forbruket pr. capita for alle påfølgende år. Med forbruk menes her ikke bare forbruk av varer og tjenester som produseres ved hjelp av menneskelig aktivitet, men også ”forbruk” av alle andre tjenester som bidrar til menneskelig velferd f.eks. tilgang til uberørt natur, rent vann, ren luft etc. Dersom man aksepterer denne tolkningen av bærekraftig utvikling, blir spørsmålet hvordan man kan vite om forbruket er bærekraftig eller ikke? Dette spørsmålet er særlig aktuelt i forbindelse med bruk av ikke-fornybare naturressurser som olje og gass, og irreversibel degradering av naturmiljøet som tap av biologisk mangfold, menneskeskapte klimaendringer etc.
I nasjonalregnskapet (NR) er netto nasjonalinntekt (NNI) et mål på hvor mye som er tilgjengelig for konsum og sparing i et gitt år. Rent prinsipielt ville det være mulig å bruke hele NNI på konsum i et år 1 . På den annen side inkluderer beregningen av NNI bare slitet på den produserte realkapitalen. Endringer i beholdninger av andre former for kapital som beholdning av naturressurser, omfattes ikke av NNI. Det tas med andre ord ikke hensyn til at ikke-fornybare naturressurser må ta slutt før eller siden, og at deres bidrag til NNI etter hvert vil måtte avta for på et tidspunkt å bli borte. Videre vil avkastningen fra fornybare naturressurser måtte avta dersom man over flere år tærer på bestanden. For eksempel vil reduserte gytebestander av torsk som følge av overfiske, kunne øke NNI midlertidig, men redusere NNI på lengre sikt. Dette gjelder også andre typer av miljøgoder som i prinsippet er fornybare, slik som ren luft , rent vann etc. NNI gir dermed heller ikke nivået på det bærekraftige forbruket.
Når man beregner nasjonalformuen, forsøker man å ta hensyn til disse forholdene, for dermed å rette opp noe av svakheten med NNI som mål på det bærekraftige konsumet. For det første tas det eksplisitt hensyn til at bidraget fra de ikke-fornybare naturressursene vil opphøre. Videre åpner metoden for å justere bidraget fra fisk og/eller skogbruk ut fra tilstanden på fiskebestanden/skogen etc. I det tilfellet bestanden overbeskattes betraktes den fornybare ressursen som en ikke-fornybar ressurs, og det tas eksplisitt hensyn til at bidraget fra bestanden vil opphøre. Tankegangen er så at nivået på det bærekraftige konsumet vil fremkomme som avkastningen på nasjonalformuen, og at denne er den egentlige nettonasjonalinntekten.
Denne tankegangen møter imidlertid motstand i flere teoretiske bidrag, se f.eks. Asheim (2004). Asheim (2004) definerer formue som nåverdien av fremtidig konsum, mens beregningen av nasjonalformuen baserer seg på nåverdien av fremtidig avkastning. For å finne fremtidig avkastning av de ulike kapitalartene, gjennomfører vi en dekomponering av nettonasjonalinntekten. Dersom NNI innebærer positive nettoinvesteringer, betyr det at noe av avkastningen reinvesteres. Denne delen av avkastningen er dermed ikke tilgjengelig for konsum, og vi vil overvurdere formuen siden vi likestiller nåverdi av fremtidig avkastning med nåverdi av fremtidig konsum.
Dersom fokuset rettes mot eventuelle endringer i nasjonalformuen, og ikke mot selve nivået på nasjonalformuen, vil vi etter vår mening være mer i tråd med den teoretiske litteraturen om indikatorer for bærekraftig utvikling. Idéen er at så lenge nasjonalformuen holdes konstant eller økes, så burde også evnen til å konsumere på samme nivå i fremtiden opprettholdes. Dermed er beregningen av nasjonalformuen først og fremst interessant dersom den gjennomføres for flere påfølgende år slik at nettopp endringene i nasjonalformuen kan studeres.
Det er dessuten ikke bare eventuelle endringer i nasjonalformuen som er interessante å følge med på, men også dekomponeringen av nasjonalformuen. Ved å dekomponere nasjonalformuen får man frem hvilke typer av kapital som er spesielt viktige for nasjonalformuen, og hvilke som ikke betyr så mye.
Nasjonalformuen dekomponeres i denne rapporten i humankapital, produsert realkapital, finanskapital og naturkapital. Naturkapital deles igjen opp i fiske og fangst, fiskeoppdrett, skogbruk, landbruk, vannkraft, olje/gass og bergverk for å ta de største sektorene.
Dekomponeringen bekrefter tidligere beregninger gjort i SSB, se f.eks. Lindholt (2001) og Bye et al. (1994). Den viser at humankapitalen står i en særstilling med det absolutt største bidraget til tross for at mange fortsatt synes å mene at Norge er et så rikt land pga. sine rike naturressurser. Norge skiller seg dermed ikke nevneverdig fra andre industriland mht. at humankapitalen utgjør den klart største delen av nasjonalformuen (se f.eks. Verdensbanken 1996).
2.2 Metode for beregning av nasjonalformuen
Verdien av en kapitalart defineres som nåverdien av inntekter (tjenester) kapitalarten forventes å gi i fremtiden. Når det gjelder de ulike formene for naturkapital, utrykkes dette ved den såkalte ressursrenta . Mange kapitalarter som f.eks. uberørt natur, drikkevann og ren luft er ikke inkludert i nasjonalregnskapet (NR), verken med verdi på miljøtjenestene som de yter årlig, eller med en beholdningsverdi. Grunnen til at de ikke er inkludert i NR er at det er svært vanskelig å måle verdien av tjenester som ikke omsettes i markeder.
Siden våre beregninger baserer seg på NR, vil disse kapitalartene heller ikke inkluderes i nasjonalformuen. Dette har to uheldige følger: For det første vil vi undervurdere nasjonalformuen når viktige komponenter utelates. For det andre vil endringene i nasjonalformuen kunne få galt fortegn. Vi kan f.eks. observere en økning i nasjonalformuen grunnet effektivisering av skogbruket, og dermed økt verdi av denne sektoren. På den annen side, kan effektiviseringen ha medført reduserte miljøtjenester gjennom redusert tilgjengelighet til uberørt natur. Denne verdireduksjonen burde selvfølgelig vært trukket fra, men siden slike endringer ikke registreres i NR, vil vår beregning overse slike effekter.
SSBs metode baserer seg på NR og består av tre trinn:
2.2.1 Trinn I: Ressursrente
Inntekter fra naturressurser er knyttet til begrepet ressursrente (RR). RR er den inntekten fra en naturressurs som blir igjen etter at alle utgifter inkl. kapitalutgifter til fremskaffelse og salg av naturressursen er trukket fra. RR er altså merinntekten av å disponere en naturressurs, dvs. det man tjener utover det man normalt ville ha tjent ved å investere realkapital og humankapital i andre virksomheter.
I litteraturen finnes det flere definisjoner av ressursrente. Siden vi baserer oss på tall fra nasjonalregnskapet, bruker vi Eurostats definisjon (Eurostat 2002):
Ressursrente =
+ i) Basisverdi
+ ii) Produktspesifikke skatter
- iii) Produktspesifikke subsidier
- iv) produktinnsats
- v) lønnskostnader
- vi) normalavkastningen på kapitalen i næringen
- vii) kapitalslit
- viii) ikke-næringsspesifikke skatter fratrukket ikke-næringsspesifikke subsidier
Normalavkastningen på kapital beregnes for seg med utgangspunkt i driftsresultatet for Fastlands-Norge og kapitalbeholdningen for Fastlands-Norge. Lønnskostnader baserer seg også på en egen beregning. Begge beregningene er forklart i avsnitt 3.1 og 3.2, hvor vi også går nærmere inn på de andre postene i regnestykket over.
Det er flere forklaringer på at naturressurser kan gi positiv RR. Utgangspunktet for alle forklaringene er at naturressurser har en begrenset tilgang (se Brekke og Lurås i Brekke et al. 1997). Det betyr at man kan oppnå positiv profitt på grunnlag av en naturressurs over lengre tid, uten at nye tilbydere kan etablere seg, og presse profitten mot null. Eller sagt på en annen måte, den begrensede tilgangen hindrer fri etablering som ellers ville ha presset overskuddet fra driften ned mot normal avkastningen på kapital. På den annen side trenger ikke alle naturressurser å gi positiv RR. I noen tilfeller kan det simpelthen være for kostbart å utvinne ressursen i forhold til markedets betalingsvilje. I andre tilfeller kan måten uttaket av ressursen er organisert på medføre for høye kostnader og et uhensiktsmessig nivå på uttaket slik at RR blir null. Den såkalte allmenningens tragedie er et eksempel på det siste (se Hardin 1968).
2.2.2 Trinn II: Dekomponering av NNI
I andre trinn dekomponerer vi NNI for det enkelte år basert på revidert NR med utgangspunkt i definisjonen av BNP fra NR (Nasjonalregnskapsstatistikk 1995-2002, side 11, SSB 2003). NNI kan dekomponeres på følgende måte:
NNI =
+ i) RR fornybare naturressurser; fisk, oppdrettsfisk, skog, landbruk, vannkraft
+ ii) RR ikke-fornybare naturressurser; olje og gass, bergverk
+ iii) avkastning på beholdning av produsert realkapital
+ iv) netto formuesinntekt og lønn til utlandet
+ v) avkastning på humankapitalen
Punkt i) og ii) beregnes som beskrevet i avsnitt 2.1. Produsert realkapital inkluderer all slags produksjonsmateriell som borerigger, fiskebåter, prosessutstyr, bygninger, etc. Verdien av den produserte realkapitalen fremkommer direkte i NR. For å beregne avkastningen bruker vi normalavkastningsraten slik som ved beregningene av ressursrenta. Punkt iv) kan hentes direkte fra NR. Punkt v) kan dermed beregnes residualt:
Avkastning på humankapitalen = NNI – beløp i) – beløp ii) – beløp iii) - beløp iv)
Avkastning på humankapitalen skal i prinsippet omfatte alle bidrag fra arbeidskraften dvs. rå arbeidskraft, effekt av utdannet arbeidskraft og såkalt sosial kapital . På grunn av beregningsmåten, vil den også omfatte alle indirekte skatter som f.eks. merverdiavgiften 2 .
Alternativt kunne vi ha beregnet humankapitalen ved å ta utgangspunkt i avlønningen av arbeidskraften. Summen av avkastningene fra de ulike kapitalartene ville da ikke nødvendigvis ha tilsvart NNI. I avsnitt 3.6, figur 2.8, sammenligner vi de to beregningsmetodene, og viser at beregningen av humankapitalen via avlønningen til arbeidskraften ville ha gitt et residual dvs. en differanse mellom summen av avkastningen fra de ulike kapitalartene og NNI. Dette residualet består bl.a. av de indirekte skattene. Når vi har valgt å følge fremgangsmåten over, skyldes det i hovedsak at dette har vært tradisjonen i litteraturen, se f.eks. Brekke (1993), Verdensbanken (1995) og Lindholt (2001).
2.2.3 Trinn III: Omgjøring til formuesstørrelser
Nasjonalformuen beregnes så i tredje trinn. Utgangspunktet er dekomponeringen over. Det gjøres så en egen vurdering av i hvilken grad avkastningen fra de enkelte komponenter, dvs. bidraget til NNI, kan opprettholdes i de kommende årene. Når det gjelder avkastningen av de fornybare naturressursene ser vi først på utviklingen i beholdningen, f.eks. mengden stående skog, eller gytebestand av viktige fiskeslag etc., som angitt i Naturressurser og miljø (årlig SSB-publikasjon). Dersom beholdningen er økende eller konstant, antar vi at samme avkastning kan opprettholdes for all fremtid. Vi gjør altså den enkle forutsetning at avkastningen i et gitt år er det beste anslag på avkastningen i alle fremtidige år. Dersom beholdningen er fallende, betrakter vi den fornybare naturressursen som en ikke-fornybar naturressurs, og kalkulerer en endelig levetid. Vi følger her opplegget til Verdensbanken (1995).
For olje og gass vet vi at samme avkastning ikke kan opprettholdes for all fremtid. Vi baserer oss derfor på tidsavhengige profiler hvor pris, kvantum og kostnader er angitt pr. år frem til ressursene er uttømte.
Med humankapitalen forholder det seg også annerledes. Her har vi historisk vært vitne til at avkastningen stadig har økt f.eks. pga. mer kvalifisert arbeidskraft. På den annen side kan anslagene lett bli kritisert for å være for optimistiske dersom vi antar at samme type vekst skal kunne fortsette uendret inn i fremtiden. Vi har derfor laget anslag for nasjonalformuen med og uten økt avkastning fra humankapitalen.
Så snart vi har anslått den fremtidige avkastningen fra en kapitalart, kan vi også beregne verdien av kapitalarten i dag. Dette gjøres ved å beregne nåverdien:
Nasjonalformuen =
+ i) nåverdi (RR fornybare naturressurser; fisk, oppdrettsfisk, skog, landbruk, vannkraft)
+ ii) nåverdi (RR ikke-fornybare naturressurser; olje og gass, bergverk)
+ iii) nåverdi (avkastning på humankapitalen)
+ iv) beholdningen av realkapital
+ v) nettofordringer til utlandet
Når det gjelder punkt iv) beholdningen av produsert realkapital, er denne gitt direkte i NR. Punkt v) nettofordringer til utlandet er også en beholdningsstørrelse og kan dermed også inkluderes direkte.
Nasjonalformuen beregnet på denne måten vil ikke nødvendigvis være lik nåverdi (NNI). Det skyldes først og fremst at punkt ii) nåverdi (avkastning fra ikke-fornybare naturressurser; olje og gass, bergverk) vil endre seg ettersom de ikke-fornybare naturressursene tømmes.
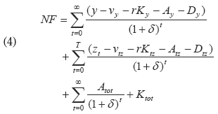
2.2.4 Et enkelt eksempel
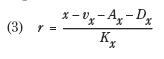
Metoden kan også illustreres med følgende enkle eksempel. La økonomien bestå av tre sektorer; en tradisjonell sektor X, en fornybar ressurssektor Y og en ikke-fornybar ressurssektor Z. Bruttoproduksjonen i de tre sektorene betegnes med; x, y, z. La videre vi være produktinnsatsen for sektor i hvor i = x, y, z. På samme måte lar vi Ai , Ki , Di , betegne henholdsvis innsats av arbeidskraft for sektor i, kapitalbeholdning for sektor i og kapitalslit for sektor i målt i løpende priser hvor i = x, y, z. La til slutt r betegne normalavkastningen på kapital.
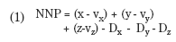
Vi ser bort fra betalingsbalansen med utlandet, og tar utgangspunkt i nettonasjonalproduktet (NNP) istedenfor NNI. NNP kan uttrykkes:

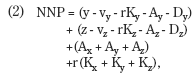
Merk at BNP = NNP + Dx + Dy + Dz. I våre beregninger dekomponeres så NNP på følgende måte:

hvor de to første parentesene; (y - vy - rKy - Ay - Dy ) og (z - vz - rKz - Az - Dz ), er ressursrenta i sektor Y og Z. De to neste parentesene er henholdsvis innsatsen av arbeidskraft og normalavkastningen på kapital.
Normalavkastningen på kapital er beregnet på følgende måte:

dvs. som driftsresultatet i sektor X dividert med kapitalbeholdningen i sektor X.
Ved å løse opp parentesene ser vi at (2) kan skrives:

Ved å sammenligne (1) og (2)" ser vi at dekomponeringen er korrekt bare dersom: Ax + rKx = (x - vx) - Dx. Fra (3) ser vi videre at dette må stemme. Vi forutsetter altså bort renprofitt i den tradisjonelle sektoren X ved å beregne normalavkastningen på kapital ut fra (3).
Fra (2) beregnes samlet avkastning av humankapitalen:

For å beregne nasjonalformuen tar vi utgangspunkt i (2), og beregner nåverdier av uttrykkene på høyre side av likhetstegnet som beskrevet i avsnitt 2.3. For humankapitalen, ressursrenta fra den fornybare naturressursen og produsert realkapital antar vi samme avkastning i alle påfølgende år, dvs. at avkastningen ikke endrer seg med tid. Dette gjelder ikke de ikke-fornybare naturressursene hvor vi har annen informasjon. Her vil den årlige avkastningen variere med tiden ut fra en forventet produksjonsprofil dvs. ressursrenta må skrives:
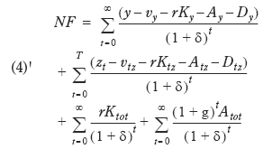
Nasjonalformuen NF kan da skrives som en sum av nåverdier og beholdninger:

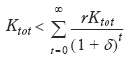
hvor δ er diskonteringsfaktoren, T er levetiden til den ikke-fornybare naturressursen, Ktot er total beholdning av produsert realkapital (= Kx + Ky + Kz), og det er antatt at ressursrenta fra den fornybare naturressursen kan opprettholdes for alltid. Verdien på beholdningen av produsert realkapital er videre tatt direkte fra nasjonalregnskapet. Til slutt er det antatt at årets avkastning på humankapitalen, kan beholdes for all fremtid.
I beregningene har vi valgt en diskonteringsfaktor δ som er mindre enn r - normalavkastningen på produsert realkapital. Forskjellen kan tolkes som en risikopremie siden det ikke er tatt hensyn til konkursrisikoen i beregningen av r. Normalavkastningen r er hentet fra NR og baserer seg på driftsresultatet i den tradisjonelle sektoren for det enkelte år. I beregningen tas det ikke hensyn til at det er en viss sannsynlighet for å gå konkurs, og dermed få en negativ avkastning dvs. tape deler av eller hele kapitalen. Diskonteringsfaktoren er imidlertid hentet fra ulike estimeringer av the social rate of return on investment (Verdensbanken 1998). Se mer om dette i avsnitt 3.3. Vi har derfor at:

hvor er samlet beholdning av produsert realkapital i NR.
Mer viktig er det å merke seg at nasjonalformuen ikke er lik nåverdien av en evig strøm av NNPer dvs.:

fordi ved å ta den diskonterte summen av NNP forutsetter man implisitt at ressursrenta fra de ikke-fornybare naturressurser kan opprettholdes for alltid.
Frem til nå har vi ikke tatt hensyn til teknologisk utvikling, men det er fullt mulig å inkludere teknologisk utvikling. Vanligvis gjøres det ved å anta en vekst i avkastningen av humankapitalen. Inkludering av teknologisk utvikling gir dermed følgende formel for nasjonalformuen:

hvor g er vekstraten i avkastningen av humankapitalen. For at NF skal konvergere mot en endelig størrelse, må vi ha g < δ.
Til slutt vil vi gjerne kommentere beregningen av normalavkastningen på produsert realkapital. Vår beregning impliserer at Ax + rKx = (x - vx) - Dx. Denne identiteten trenger nødvendigvis ikke å holde. Dersom sektor X bruker naturmiljøet f.eks. som deponi for forurensning, rent vann som innsatsfaktor o.l. uten å betale for det, vil vi kunne ha at (x - vx) - Dx > Ax + r"Kx, hvor r" er den reelle normalavkastningen på kapital. Årsaken er at senere innførte forurensningsbegrensninger kan ha gjort det umulig for nye bedrifter å etablere seg slik at det oppstår renprofitt i sektoren som pga. vår beregningsmåte blir tillagt kapitalen gjennom en høy r. Mao. kan vi ha overvurdert normalavkastningen på kapital.
I dette tilfellet er dekomponeringen i (2) ikke ”riktig”, og vi må justere (2) på følgende måte:

hvor r" er den reelle normalavkastningen på kapital og RRx er ”ressursrenta” i sektor x dvs. den ekstra avkastningen som skyldes gratis bruk av naturen. Det er ikke bare gratis bruk av miljøet som kan gi RRx > 0. Alle hindringer som hindrer nyetablering vil gi grunnlag for oligopolprofitt, og dermed RRx > 0. Vi har imidlertid ikke funnet noen god metode hvor vi har kunnet identifisere r" dvs. den reelle normalavkastningen på kapital, på en enkel måte.
2.3 Nasjonalformuen fra 1985 til 2001
Utgangspunktet for beregningen av ressursrenta er Eurostats definisjon av ressursrente som beskrevet i kapittel 2. Fremgangsmåten for beregningen er den samme for fiske og fangst, fiskeoppdrett, jordbruk, skogbruk, olje og gass, kraftforsyning og bergverk. I tillegg er ressursrenta for fiske- og jordbruk til eget bruk samt jakt og viltstell beregnet. Årsaken til at vi har inkludert disse næringene er at de bidrar til nasjonalformuen. I tillegg får man med momenter som ikke kommer med i de øvrige kommersielle næringene, som for eksempel verdien av fiske i elver og fjellvann. Beregningsmetoden vil her være den samme som for de øvrige næringene.
Beregningsperioden er fra 1985 til 2001. Årsaken til at vi har valgt denne perioden er at før 1985 var beregningen av olje og gass i nasjonalregnskapet (NR) annerledes enn i dag. For å kunne sammenlikne tallene bør definisjonen være den samme. Det finnes foreløpig ikke tall lengre enn til 2001 3 .
Alle tall er regnet om til 2000-priser for å kunne sammenligne de ulike årene. Siden det først og fremst er kjøpekraften av nasjonalformuen vi er interessert i, har vi brukt en egen forbruksindeks ved deflateringen. Denne forbruksindeksen er et veid gjennomsnitt av konsumprisindeksen og indeksen for offentlig konsum.
Vi starter med beregningene for lønnskompensasjon, avkastning til kapital og kapitalslit. Deretter vil det bli gitt en gjennomgang av ulike skatter og subsidier. Beregningsresultatene samt metode vil bli kommentert for hver enkelt næring. Alle beregningene er basert på nasjonalregnskapstall.
2.3.1 Beregningen av normalavkastningen til kapital og lønnskompensasjonen
Normalavkastningen til kapital
Normalavkastningsraten til kapital i et bestemt år er beregnet ved å ta driftsresultatet for Fastlands-Norge og dividere med kapitalbeholdningen for Fastlands-Norge det året. I Økonomiske analyser 1/2004 er kapitalavkastningen beregnet på samme måte for enkelt sektorer.
Grunnen til at vi benytter Fastlands-Norge og ikke hele Norge, er at kapitalavkastningen er spesielt høy for olje- og gassvirksomheten. Dette skyldes at driftsresultatet inkluderer ressursrenta i næringen, noe som ville gitt en kunstig høy avkastningsrate til kapital. Samlet driftsresultat for Fastlands-Norge inkluderer naturligvis også ressursrenter, som f.eks. ressursrenta i fiskeoppdrett. Imidlertid utgjør ressursrenta for alle naturressurssektorer utenom olje og gass så lite at vi ikke vinner noe i nøyaktighet på anslagene ved å ta disse sektorene ut av tallene for Fastlands-Norge.
Kapitalbeholdningen for Fastlands-Norge inkluderer statlig kapital som pr. definisjon ikke gir driftsresultat i NR. Dette trekker avkastningsraten noe ned 4 . På den annen side kan manglende priser på bruk av miljøet som innsatsfaktor i forurensende industrier trekke driftsresultatet opp (se avsnitt 2.4).
De rapporterte driftsresultatene vil også være i høyeste laget dersom private næringsdrivende tar ut ”lønn” som utbytte/overskudd (se f.eks. Fjærli og Lund 2001) som rapporterer at dette er en forholdsvis utbredt praksis). Driftsresultatet er dermed ikke ensbetydende med avkastningen til kapital da deler av driftresultatet burde vært tilskrevet arbeidskraften.
Til slutt gjentar vi at beregningsmetoden ikke tar hensyn til konkursrisikoen. Vår normalavkastningsrate tilsvarer derfor ikke forventet avkastning dersom man tar hensyn til at det er en viss sannsynlighet for å gå konkurs. Vi har derfor valgt å basere oss på kapitalbeholdningen for Fastlands-Norge uten å justere for offentlig kapital i beregningen av normalavkastningsraten til kapital.

Figur 2.1 Årlig avkastningsrate til kapital (i prosent) i perioden 1985-2001
Figur 2.1 viser utviklingen i avkastningsraten til kapital i perioden 1985 til 2001. Fra figuren ser vi at avkastningsraten var lavest i 1987 og høyest i 1995. Gjennomsnittlig avkastningsrate over perioden er 6,4 prosent. Til sammenligning er gjennomsnittlig avkastningsrate for bedrifter i Fastlands-Norge over perioden 1982 til 2003 rapportert i Økonomiske analyser 1/2004 til 6,7 prosent.
Lønnskompensasjon
Lønnskostnadene skal reflektere arbeidskraftens alternative anvendelsesverdi. For å beregne lønnskostnadene har vi først beregnet en gjennomsnittlig timelønnssats. Denne satsen fremkommer ved å ta lønnskostnadene for Fastlands-Norge dividert med antall timeverk for lønnstakere i Fastlands-Norge. Årsaken til at vi benytter størrelser for Fastlands-Norge og ikke hele Norge, er at lønnssatsene er spesielt høye for olje- og gassvirksomheten. Lønnssatsen er sannsynligvis høy fordi de gode driftsresultatene har gitt rom for lokale lønnstillegg.
For å finne lønnskompensasjonen i den enkelte næring, ble timelønnssatsen multiplisert med totale timeverk for lønnstakere og selvstendige i den bestemte næringen. Vi mener tallene for lønnskostnader, slik de fremkommer i NR, er for lave i forhold til hva lønnskostnadene bør være i beregningen av ressursrenta. Dette skyldes blant annet at det bare er lønnstakernes lønn som er med. For eksempel er de fleste fiskere selvstendige, og dermed vil ikke inntektene deres være med i lønnskostnadene i NR, men være en del av driftsresultatet.
En kan diskutere om de lønnsberegningene som anvendes i beregningen av ressursrenta gir et riktig bilde av arbeidskraftens alternative anvendelsesverdi. Utdanningsnivået i primærnæringene (jordbruk, skogbruk, fiske og fangst og fiskeoppdrett) er forholdsvis lavt, dvs. at den gjennomsnittlige lønn pr. timeverk som vi anvender i beregningene, antakeligvis er for høy i disse næringene. Dette er med på å redusere ressursrenta. En alternativ beregningsmetode for primærnæringene er å anvende en timesats som er beregnet ved å dividere totale lønnskostnader for primærnæringene med totale timeverk i disse næringene. Lønnskostnadene for disse næringene vil være timesatsen for primærnæringene multiplisert med totale timeverk for lønnstakere og selvstendige i hver enkelt primærnæring. Dette påvirker imidlertid ikke resultatene i noen vesentlig grad 5 . Vi har derfor valgt å benytte den enkleste fremgangsmåten som er å ta utgangspunkt i hele Fastlands-Norge.
2.3.2 Subsidier og skatter
NR skiller mellom i) produktspesifikke skatter/subsidier, ii) næringsspesifikke skatter/subsidier og iii) ikke-næringsspesifikke skatter/subsidier.
I beregningen av ressursrenta skal vi ta med de produktspesifikke skattene og subsidiene. Dette er skatter/subsidier som er lagt direkte på produktet. Skattene skal legges til, mens subsidiene skal trekkes fra. Dette fordi en produktspesifikk skatt kan ses på som en del av verdien som skapes ved at ressursen utvinnes, mens et produktspesifikt subsidie kan ses på som en del av kostnaden ved at en ressurs utvinnes.
Når det gjelder de næringsspesifikke skattene/subsidiene, er dette skatter/subsidier som ikke er lagt på produktet, men som ilegges/gis uavhengig av produksjonsvolumet. De næringsspesifikke skatter/subsidier kan til dels ses på som overføringer mellom stat og næring, og skal dermed ikke med i beregningene av ressursrenta. Dette gjelder f.eks. den ekstraordinære petroleumskatten som er en ekstra skatt på overskuddet i olje- og gassnæringene. Den påvirker bare fordelingen av ressursrenta mellom staten og oljeselskapet, og ikke størrelsen på ressursrenta. Dersom denne skatten hadde vært lagt til i beregningen av ressursrenta, ville det vært det samme som å telle deler av ressursrenta to ganger.
De ikke-næringsspesifikke skattene skal trekkes fra og omvendt for ikke-næringsspesifikke subsidier. Begrunnelsen er at disse skattene/subsidiene uansett må betales uavhengig av næring. De er normale driftskostnader/inntekter. Ikke-næringsspesifikke skatter/subsidier er for eksempel trygdeavgifter og bilavgifter.
Det kan være vanskelig å lage en generell regel for når en skatt eller et subsidie er næringsspesifikt eller ikke-næringsspesifikt. I kraft- og olje- og gassnæringene er næringsskattene antatt å være spesifikke, og dermed ikke tatt med i beregningen av ressursrenta. Som nevnt dreier den næringsspesifikke skatten seg her om fordelingen av det ekstraordinært høye overskuddet i næringene.
Jordbruk, skogbruk (1985-1994), fiske og fangst og bergverk har alle næringsskatter som ikke er spesifikke, og som dermed er tatt med i beregningene (de næringene som ikke er nevnt her, har verken spesifikke eller ikke-spesifikke næringsskatter). Det dreier seg om skatter lagt på motorkjøretøy og trygdeavgifter.
Med hensyn til de produktspesifikke subsidiene, er det bare jordbruket som har slike. I utgangspunktet er det ingen næringer som har produktspesifikke skatter. Det eneste unntaket er ”Produksjonsavgift på elektrisk kraft” i perioden 1993-1997.
2.3.3 Fornybare naturressurser
Næringer og aktiviteter som utnytter de fornybare naturressursene, omfatter fiske og fangst, fiskeoppdrett, jordbruk, skogbruk, kraftforsyning, fiske til eget bruk, jordbruk til eget bruk og jakt og viltstell. Det vil her bli gitt en grundig forklaring på hvordan man har kommet frem til tallene.
2.3.3.1 Jordbruk og skogbruk
Jordbrukets betydning i nasjonaløkonomisk sammenheng har avtatt. I perioden 1985 til 2001 sank sysselsatte personer med 41,4 prosent i jordbruk og skogbruk. Jordbruk og skogbruks andel av BNP sank fra 2,3 prosent til 1,0 prosent i samme periode. Prisene på jordbruksvarer, og dermed produksjonen, er langt på vei politisk bestemt. Bruk av verdensmarkedspriser på de ulike varene jordbruket produserer ville antakelig trukket produksjonsverdien ned.
Ressursrenta for jordbruket er negativ for alle årene (se figur 2.2). For det første er innsatsen av arbeidskraft svært høy. Den beregnede lønnskompensasjonen er alene høyere enn basisverdien av produksjonen for alle årene. Kapitalbeholdningen i jordbruket er også meget stor slik at normalavkastningskravet og kapitalslitet til sammen er høyere enn bruttoproduktet. Den store kapitalbeholdningen kan skyldes at selv om et gårdsbruk legges ned, vil kapitalen fra denne gården fremdeles være med i NR. På den annen side vil kapitalen gå ut av NR dersom gården selges til annet formål som for eksempel fritidsbolig. Dessuten vil det være avskrivninger av kapitalen, noe som medfører at nedlagte gårdsbruk forsvinner fra NR med tiden.
Ressursrenta blir mindre negativ mot midten av perioden. Dette skyldes først og fremst en sterkere nedgang i lønnskompensasjonen enn i bruttoproduktet. Den synkende lønnskompensasjonen kommer av at det er blitt færre sysselsatte i næringen. Mot slutten av perioden fortsetter bruttoproduktet og falle, mens nedgangen i lønnskompensasjonen stagnerer. Ressursrenta forverrer seg derfor igjen.
Selv om ressursrenta er negativ betyr ikke det nødvendigvis at man skal legge ned jordbruket. Ressursrenta viser bare ett aspekt ved ressursens betydning for økonomien (Brekke og Lurås 1997). På samme måte som for mange av de andre næringene, har jordbruket betydning både for sysselsetting og bosetting i distriktene. Samtidig vil også mange hevde at jordbruket produserer flere kollektive goder, som f.eks. biologisk mangfold, kulturarv og kulturlandskap.
Ressursrenta for skogbruk er positiv i hele perioden, men svinger sterkt. Dette skyldes i hovedsak svingninger i basisverdien dvs. verdensmarkedsprisene for skogbruksprodukter. Lønnskompensasjonen er også fallende. Dette ser ut til å ha hatt en viss positiv effekt på ressursrenta.
2.3.3.2 Fiske og fangst og fiskeoppdrett
Fiskerinæringens (fiske og fangst samt fiskeoppdrett) andel av sysselsettingen var 0,7 prosent i 2001. Beregningen av ressursrenta ble gjort på samme måte som for jordbruket, bortsett fra at det ikke er spesifikke produktsubsidier i beregningsperioden. På samme måte som for jordbruk, er ressursrenta til fiske og fangst negativ gjennom hele perioden. Negativ ressursrente kommer i stor grad av den høye lønnskompensasjonen i forhold til bruttoproduktet. Ressursrenta blir mindre negativ fra midten av perioden. Det kommer både av lavere kapitalkostnader og av en høyere basisverdi av produksjonen.
I fiskeoppdrett er det heller ingen subsidier eller skatter som skal være med i beregningen. Ressursrenta for fiskeoppdrett svinger kraftig i hele perioden noe som nesten utelukkende skyldes svingninger i basisverdien, dvs. prisene på oppdrettsfisk.

Figur 2.2 Ressursrenta til primærnæringene i perioden 1985-2001
Figur 2.2 viser utviklingen i ressursrenta til primærnæringene i perioden 1985 til 2001. Vi ser at den negative ressursrenta i jordbruket dominerer gjennom hele perioden. Selv om ressursrenta i fiskeoppdrett og skogbruk stort sett er positiv, forhindrer ikke dette at ressursrenta for næringene samlet er negativ.
2.3.3.3 Kraft
Kraft har for hele beregningsperioden hatt produktskatt, men den anses ikke for å være produktspesifikk for hele perioden og settes dermed lik 0 for alle årene utenom perioden 93-97. For perioden 93-97 var dermed bruttoproduktet lik produksjon pluss spesifikk produktskatt minus produktinnsats.
Ressursrenta for kraft har vært negativ i vesentlige deler av perioden (se figur 2.3). Dette var et overraskende resultat siden kraft gjerne blir sett på som en svært betydningsfull ressurs i Norge. Negativ ressursrente skyldes i stor grad svingninger i produksjonsverdien, men også den store kapitalbeholdningen i næringen som igjen gir høy normalavkastning til kapital samt høyt kapitalslit. I tillegg har en forholdsvis stor del av produksjonen vært solgt til kraftkrevende industri til regulerte priser i perioden. Det kan derfor tenkes at noe av ressursrenta i kraft har blitt overført til kraftkrevende industri gjennom lave priser.
Det at ressursrenta blir positiv på slutten av perioden, kommer først og fremst av høyere produksjonsverdi.

Figur 2.3 Ressursrenta til kraft i perioden 1985-2001
2.3.3.4 Jordbruk og fiske til eget bruk og jakt og viltstell
Årsaken til at vi beregner ressursrenta for jordbruk og fiske til eget bruk og jakt og viltstell er som nevnt tidligere, at vi får med momenter som ikke kommer med i beregningen av de kommersielle næringene. Det kan for eksempel være dyrking av grønnsaker til eget bruk eller fiske i fjellvann. Ressursrenta for disse ikke-kommersielle næringene (se figur 2.4) kan være en indikator på ressursrenta for land og vann som ikke blir anvendt til kommersielle formål. Siden dette er ikke-kommersielle næringer, registreres det ikke lønnskostnader, skatter, subsidier osv. Det kan argumenteres for at det går med både kapital i form av redskap og arbeidstid i de tre næringene selv om dette ikke registreres i NR. Vår oppfatning er imidlertid at ”arbeidstid” her må ses på som anvendelse av fritid dvs. et forbruksgode, og at redskaper også er forbruksgoder. Vi har derfor valgt å sette ressursrenta lik bruttoproduktet

Figur 2.4 Ressursrenta til jordbruk-, fiske og fangst til eget bruk samt jakt og viltstell i perioden 1985-2001
2.3.4 Ikke-fornybare naturressurser
De ikke-fornybare ressursene omfatter olje, gass og mineraler.
2.3.4.1 Olje og gass
Ressursrenta til olje og gass blir beregnet på samme måte som for de øvrige næringene. I olje og gass eksisterer det bare næringsspesifikke subsidier og -skatter, og disse blir derfor ikke tatt med i beregningene (se avsnitt 3.2).
Ressursrenta for olje og gass er positiv i hele perioden(se figur 2.5), men svinger sterkt i takt med verdensmarkedsprisene på olje og gass.
2.3.4.2 Bergverk
Ressursrenta for bergverk blir beregnet på samme måte som for de andre næringene. I denne næringen er det ikke skatter og subsidier som skal være med i beregningen. Ressursrenta for bergverk er negativ gjennom store deler av perioden, men blir positiv helt på slutten.

Figur 2.5 Ressursrenta til olje og gass samt bergverk i perioden 1985-2001
2.3.5 Avkastningen fra realkapital
Produsert realkapitals bidrag til nettonasjonalinntekt er satt lik normalavkastningen på beholdningen av produsert realkapital. Som normalavkastningsrate for det enkelte år har vi benyttet samme rate som under beregningen av ressursrenta (se figur 2.1). Men istedenfor å ta kapitalbeholdningen i den enkelte sektor, har vi nå tatt kapitalbeholdningen i Norge som helhet.
Produsert realkapitals bidrag til NNI er sterkt stigende i årene fra 1988 til 1995 for deretter å flate noe ut (se figur 2.6). Normalavkastningen på kapital er imidlertid fallende fra 1995, se figur 2.1. Når realkapitalens bidrag til NNI ikke faller i samme grad, skyldes det en stadig økende beholdning av produsert realkapital.

Figur 2.6 Bidraget fra produsert realkapital i perioden 1985-2001
2.3.6 Dekomponering
Når vi har beregnet ressursrenta i de ulike sektorene og avkastningen til kapital, er dekomponeringen lett å gjennomføre. Posten ”human kapital” omfatter i prinsippet alle bidrag fra arbeidskraften i tillegg til de indirekte skattene (se avsnitt 2.3 og 2.4).
Ideelt sett bør heller ikke arbeidskraft behandles som én udifferensiert innsatsfaktor som alltid vil være tilgjengelig som en fast andel av befolkningen. I flere bidrag, bl.a. Verdensbanken (1996), diskuteres en oppsplitting av arbeidskraften i rå arbeidskraft, humankapital og sosial kapital . Humankapitalen relateres gjerne til arbeidsstokkens utdanningsnivå, mens sosialkapitalen er et mer vagt begrep som har utgangspunkt i det enkelte samfunns institusjoner, kultur o.l. (Verdensbanken 1996). På samme måte som kapital slites, kan man tenke seg at humankapital og sosialkapital slites. Dette er det imidlertid heller ikke tatt hensyn til i tidligere nasjonalformuesberegninger (heller ikke i Verdensbankens beregninger), og vi har pr. i dag ikke funnet noen måte å gjøre det på. Vi har derfor i rapporten sett på bidraget fra arbeidskraften under ett, og brukt begrepet ”humankapital” om hele bidraget fra arbeidskraften.

Figur 2.7 Dekomponering av NNI i perioden 1985- 2001
Utviklingen i ressursrenta fra de fornybare naturressursene, ressursrenta fra de ikke-fornybare ressursene (tilnærmet lik olje- og gassektoren), avkastningen på produsert realkapital, nettobetaling fra utlandet og avkastningen på humankapitalen er vist i figur 2.7.
Vi ser at avkastningen på humankapitalen falt gjennom mange år. Til tross for det viste NNI fortsatt vekst i deler av denne perioden dels pga. økende avkastning på produsert realkapital, dels pga. økende ressursrente fra olje- og gassektoren og dels pga. en mindre negativ ressursrente fra landbruket (se også figur 2.11 med endringene i NNI).
Nedgangen i avkastning på humankapital faller delvis sammen med en sterk økning i arbeidsledigheten. Ledigheten var stigende allerede i 1985. I 1990 var den i overkant av 5 prosent, for så å stige svakt mot 5,5 prosent i 1994. Etter 1994 faller ledigheten igjen, og nådde 3 prosent i 1999. Nedgangen i avkastning på humankapital følger altså omtrent konjunkturforløpet.
Vi ser også at utviklingen i ressursrenta fra olje- og gassektoren (ikke-fornybare naturressurser) påvirkes kraftig av verdensmarkedsprisene på olje og gass. Målt i volum har denne sektoren en forholdsvis stabil økning på 1990-tallet, mens målt i kjøpekraft svinger ressursrenta kraftig. Det er det siste som må sies å være mest relevant for Norge, siden Norge eksporterer mesteparten av olje- og gassproduksjonen.
Til slutt, legg merke til at netto finansinntekter fra utlandet er negativ for hele perioden. Det gjelder selv om vi har positive fordringer på utlandet. Årsaken er at vi betaler høyere rente på gjelden enn vi får i avkastning på våre tilgodehavender.
Det kan være interessant å sammenligne bidraget fra humankapitalen beregnet som beskrevet i avsnitt 2.2, med den faktiske avlønningen til humankapitalen dvs. de beregnede lønnskostnadene fra NR. Vi bruker den samme lønnssatsen som ved beregningen av ressursrenta, dvs. lønnskostnad i Fastlands-Norge dividert med antall timeverk for lønnstagere i Fastland-Norge. Denne lønnssatsen multipliseres så med det totale antall utførte timeverk for både selvstendige og lønnstakere i Norge. Som ved beregningen av ressursrenta ønsker vi å ta hensyn til at mange selvstendige næringsdrivende jobber mye, men tar ut lav lønn. Vi får da et tall som er høyere en total lønnskostnad i NR. De to størrelsene sammenlignes i figur 2.8.
Lønnskostnader fra timeverk kan kritiseres for å være et konstruert mål. Det er ikke sikkert at de ekstra timeverkene for selvstendige har en alternativkostnad lik gjennomsnittslønnen til lønnstagere i Fastlands-Norge. Vi ser likevel at dette målet følger utviklingen i avkastningen av humankapital meget godt.
2.3.7 Nasjonalformuen

Figur 2.8 Avkastning på humankapital og beregnede lønnskostnader i perioden 1985-2001
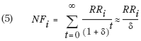
Nasjonalformuen er i all hovedsak beregnet ved å kapitalisere strømmene over. Dvs. at for hvert enkelt år vi beregner nasjonalformuen, antar vi at den samme inntekten kan opprettholdes for all fremtid, og diskonterer inntektsstrømmen. Vi har ingen grunn til å tro at ikke avkastningen fra de betinget fornybare naturressursene skal kunne opprettholdes utover. Volumet på den stående skogen er økende, og ingen viktige fiskearter er under den kritiske størrelsen på bestanden. Et unntak er bestanden av Nordsjøtorsk ( Naturressurser og miljø 2003 ), men siden bidraget til nasjonalformuen fra fiske og fangst er tilnærmet lik null, og for øvrig inntektene fra fangst av Nordsjøtorsk betyr lite, har vi ikke tatt hensyn til dette.
Følgende formel har vært brukt til å beregne verdien av de fornybare naturressursene:

hvor NFi er bidraget til nasjonalformuen fra ressurs i, RRi er ressursrenten for ressurs i, og er diskonteringsrenten.
Alle fremtidige inntekter diskonteres med samme diskonteringsfaktor . I litteraturen finnes det flere grunner til at fremtidige inntekter skal diskonteres f.eks. siden utsatt konsum kan investeres og gi avkastning, eller fordi konsumenten er utålmodig og foretrekker konsum i dag istedenfor i morgen. Når det gjelder størrelsen på diskonteringsraten, brukes det i litteraturen gjerne det som kalles social rate of return on investment (SRRI, se Verdensbanken 1998). SRRI kan defineres som SRRI = d + uc, hvor d er ”den rene utålmodighetsraten”, u er marginalnytten av konsum og c er vekstraten i konsum pr. capita. Eksisterende estimater for SRRI i I-land ligger mellom 2 og 4 prosent (Verdensbanken 1998). Vi har derfor valgt å beregne formuen med 4 prosent diskonteringsrente som Verdensbanken (1995).
Det er bare for olje- og gassressursene vi ikke antar at ressursrenta kan opprettholdes for all fremtid. Nærmere bestemt har vi for olje og gass valgt å gå frem på følgende måte: Utgangspunktet er en produksjonsprofil hvor olje- og gassressursene etter hvert tømmes. Produksjonsprofilen kombineres med en prisprofil som angir pris pr. enhet for det enkelte år fra og med år 2001. For å beregne fremtidig ressursrenter trenger vi i tillegg profiler for produktinnsats, kapitalinnsats inkl. kapitalslit og arbeidsinnsats. Vi har valgt å la innsatsen av samtlige faktorer følge den samme nedadgående trenden som produksjonsprofilen, i det vi antar at mindre årlig produksjon også krever en lavere bruk av innsatsfaktorer. På den ene siden vil tømming av olje- og gassreservoarer gjerne gi høyere produksjonskostnader pr. produsert enhet. På den andre siden vil fortsatt teknologisk fremgang bety lavere kostnader pr. produsert enhet. I beregningene forutsetter vi med andre ord at teknologisk utvikling akkurat oppveier en stigende enhetskostnad ved å ta ut ressursen. Til sammen gir dette en tidsbegrenset strøm av ressursrente som vi har tatt nåverdien av.
Produksjonsprofilen gir ikke oljeproduksjon og gassproduksjon etter 2070. Denne produksjonsprofilen baserer seg på de siste tall fra Oljedirektoratet (oppdatert pr. 2004). Det er klart at det er stor usikkerhet knyttet til både fremtidig produksjon og fremtidig pris. Styrken i våre anslag er at vi har brukt samme produksjons- og prisprofil for alle årene vi har beregnet nasjonalformuen. Endringer i formuen fra år til år er derfor fremkommet under en konsistent sett av oppfatninger. Dersom oppfatningene endres på et senere tidspunkt, må man etter vår mening også revurdere hele historien dvs. beregne nasjonalformuen på nytt fra 1985 og fremover. Dermed vil ikke eventuelle endringer i nasjonalformuen kunne skyldes endringer i forventninger.
For mange ikke-fornybare naturressurser vil likevel det at de er tømbare slå svært lite ut i beregninger av deres bidrag til nasjonalformuen. Grunnen er at fremtidige inntekter diskonteres med 4 prosent, slik at et bergverk (f.eks. granittindustri) som ventes å gi avkastning i mer enn 100 år, tilnærmet kan bli betraktet som en fornybar ressurs. Dvs. ressursrenter 100 år frem i tid vil diskonteres med faktoren 1/50. Vi har derfor ikke laget egne produksjonsprofiler for bergverk, men antatt at RR i bergverk kan opprettholdes for all fremtid.
For humankapitalen har vi i utgangspunktet valgt å anta at avkastningen i et gitt år kan opprettholdes i alle fremtidige år. Dette gjelder selv om det var stor arbeidsledighet og dermed lavere sysselsetting i det aktuelle året. Det kan kanskje kritiseres at nasjonalformuen beregnet for et gitt år på denne måten blir konjunkturavhengig. På den annen side vil arbeidsledighet ofte føre til reelle reduksjoner i humankapitalen pga. økt overgang til langtidsledighet o.l. Arbeidsledigheten kan også skyldes endringer i næringsstrukturen som har gjort visse typer kompetanse overflødig. Også da synes det riktig å skrive ned humankapitalen, istedenfor eventuelt å justere for arbeidsledighet som er over likevektsledigheten.
Figur 2.9 viser nasjonalformuen uten antatt vekst i avkastningen på humankapitalen. Veksten i nasjonalformuen over hele perioden er på 51 prosent.

Figur 2.9 Utviklingen i nasjonalformuen med antagelse om 0 prosent vekst
Historisk sett har BNP økt fra år til år i hovedsak som en følge av teknologisk fremgang. Økningen har siden år 1900 ligget et sted mellom 1 og 2 prosent p.a. (Maddison 1991). Kilden til teknologisk fremgang blir i vekstlitteraturen ofte tilskrevet humankapitalen (se f.eks. Jones 1998, kap. 3). Vi har derfor også gjort en beregning med fortsatt teknologisk fremgang, dvs. med 2 prosent årlig vekst i avkastningen på humankapitalen.

Figur 2.10 Utviklingen i nasjonalformuen med antagelse om 2 prosent vekst
Som vi ser, får endringene i nasjonalformuen det samme forløpet. Det er bare nivået på nasjonalformuen som påvirkes av antagelsen om fremtidig vekst. For 2001 var nasjonalformuen på 29 000 milliarder kroner med 0 prosent vekst, mens med 2 prosent vekst i humankapitalen var nasjonalformuen på 51 000 milliarder kroner (se figur 2.10). Antakelser om vekst, eventuelt fravær av vekst, blir dermed veldig viktige dersom vi har som utgangspunkt at det maksimale nivået på det bærekraftige konsumet til enhver tid er lik avkastningen av formuen. Hvorvidt vi bør tolke nasjonalformuen på denne måten, er et av temaene i neste avsnitt.
2.4 Diskusjon
2.4.1 Bruk av nasjonalformuen som indikator for bærekraftig utvikling
Vi har ennå ikke utdypet på hvilken måte og under hvilke omstendigheter nasjonalformuen kan brukes som indikator for bærekraftig utvikling. Det er nærliggende å tenke seg at nasjonalformuen som indikator skulle kunne gi svar på to spørsmål:
Er dagens økonomiske utvikling bærekraftig?
Hva er nivået på det bærekraftige konsumet?
Som allerede nevnt, inneholder vårt formuesbegrep bare komponenter med en markedsverdi. Vi har ikke forsøkt å inkludere f.eks. verdien av naturmiljøet som rekreasjonskilde og/eller verdien av biodiversitet for opprettholdelsen av stabile økosystemer. Dette gjør at nasjonalformuen alene ikke kan brukes som indikator for bærekraftig utvikling.
Ser vi bort fra denne begrensningen, burde det være nok å se på om nasjonalformuen pr. innbygger synker, holder seg konstant eller øker for å svare på det første spørsmålet. Så lenge nasjonalformuen holder seg konstant eller øker, så skal utviklingen være bærekraftig. For dette spørsmålet spiller ikke nivået på nasjonalformuen noen rolle, bare endringene i nasjonalformuen. Nasjonalformuen brukt på denne måten minner derfor om ”genuin sparing”-indikatoren som har vært fremmet i litteraturen (se Asheim 2004 og nedenfor).
Mht. det andre spørsmålet er tankegangen at så lenge nivået på formuen er kjent, så fremkommer også nivået på det bærekraftige konsumet som avkastningen på formuen, noe som igjen kan spores tilbake til Hicks" definisjon av inntekt. Inntekt er ifølge Hicks det maksimale beløp som kan brukes til konsum i en periode gitt at forventet fremtidig avkastning holdes inntakt (hentet fra Weitzman 2003).
Formue kan defineres som nåverdien av fremtidig konsum (se Asheim 2004). Vår beregning av nasjonalformuen baserer seg imidlertid på nåverdien av fremtidig avkastning av de ulike kapitalartene. For å finne fremtidig avkastning av de ulike kapitalartene, dekomponerer vi NNI i de ulike ressursrentene og i avkastningen på realkapital og humankapital. Dersom NNI innebærer positive nettoinvesteringer, noe NNI for Norge gjør i perioden, betyr det at noe av avkastningen har vært reinvestert (se avsnitt 3.5). Denne delen av avkastningen har dermed ikke vært tilgjengelig for konsum. Når vi tar nåverdien av avkastningen og likestiller den med fremtidige konsummuligheter, gjør vi en implisitt antagelse om at ikke noe av avkastningen skal reinvesteres fremover. Dette kan vi imidlertid ikke uten videre gjøre såfremt økonomien er på en utviklingsbane som innebærer reinvestering av avkastning. Dermed står vi i fare for å overvurdere formuen siden vi likestiller nåverdi av fremtidig avkastning med nåverdi av fremtidig konsum (se Asheim 2004).
Et eksempel kan være Solow"s vekstmodell. I perioden før likevektsnivået på kapitalintensiteten (kapital pr. arbeider) er nådd, har vi positive nettoinvesteringer. Da vil følgende gjelde:
(avkastning kapital) + (avkastning arbeidskraft) = (konsum) + (depresiering) + (nettoinvestering)
Vi ser umiddelbart at dersom vi tar nåverdien av (avkastning kapital + avkastning arbeidskraft - depresiering) så vil det overstige nåverdien av konsum. Legg også merke til at (avkastning kapital + avkastning arbeidskraft - depresiering) er en dekomponering av NNP.
Beregningen av nasjonalformuen kan også bli gal for økonomier som ikke er i en vekstfase, men som er avhengig av en ikke-fornybar naturressurs. Dasgupta-Heal modellen (Dasgupta og Heal 1979, s. 288-292) kan illustrere dette. Modellen er av en lukket økonomi så den passer ikke spesielt godt til norske forhold, men på den annen side kommer poenget tydelig frem. Produksjonen i modellen skjer ut fra en Cobb-Douglas produktfunksjon med kapital og en ikke-fornybar naturressurs som innsatsfaktorer. Det viser seg at gitt visse parameterstørrelser, så er det mulig med konstant konsum for all fremtid i denne modellen. Dette gjelder selv om det ikke er teknologisk utvikling, selv om naturressursen er nødvendig for å få noe produksjon i det hele tatt, og selv om hele ressursen brukes opp når tiden går mot uendelig.
Det viser seg videre at det finnes et unikt maksimalt nivå på det konstante konsumet. Dette maksimale konsumet oppnås når sparingen til en hver tid er slik at ressursrenta i hver periode brukes i sin helhet til å investere i produsert realkapital. Ressursrenta er altså ikke tilgjengelig for konsum i det hele tatt. I vår beregning av nasjonalformuen summerer vi forventet ressursrente for hvert enkelt år produksjonen av naturressursen foregår, og regner dette for formue (som man kan konsumere av). I Dasgupta-Heal-Solow-modellen blir dette feil fordi ikke noe av ressursrenta kan konsumeres, men må reinvesteres i kapital. Dersom norsk økonomi var en lukket ”Dasgupta-Heal-Solow-økonomi”, ville vi med andre ord ha overvurdert nasjonalformuen, dvs. nasjonalformuen ville vært større enn den maksimale nåverdien av fremtidig konsum.
På den annen side er norsk økonomi ikke lukket. F.eks. er utvinningen av olje og gass klart større enn det innenlandske forbruket. Dette fører til at vi får store eksportinntekter fra denne næringen, og at deler av ressursrenten kan plasseres i utenlandske fordringer. Intuitivt virker det derfor galt at en netto eksportør av en naturressurs som Norge ikke skal kunne konsumere av avkastningen på ressursrenten.
Sefton og Weale (1996) tilpasser Dasgupta-Heal-Solow-modellen til en åpen økonomi. Deres konklusjon er at en netto eksportør kan regne en del av ressursrenta som formue, mens en nettoimportør av ikke-fornybare naturressurser må justere ned sin formue dvs. verdien av andre kapitalarter. Siden Norge er en netto eksportør av olje og gass, vil en stor del av ressursrenta herfra øke Norges konsummuligheter dvs. øke formuen. Men siden Norge også er netto importør av enkelte ikke-fornybare naturressurser, burde formuen justeres ned i disse tilfellene. F.eks. kunne man tenke seg at vi justerte ned nasjonalformuen ut fra avskogningen i tropiske land siden denne betinget fornybare ressursen åpenbart blir overutnyttet.
2.4.2 ”Genuin sparing”-indikatoren og nasjonalformuen
I litteraturen er det ” genuine savings ” (= ” genuine investment ”) indikatoren som fremheves i forbindelse med bærekraftig utvikling istedenfor nasjonalformuen (på norsk; genuin sparing, se Arrow, Dasgupta og Mäler 2003 og Asheim 2004). Genuin sparing-indikatoren søker å måle endringer i en nasjons samlede kapitalbeholdning. Hver endring i en kapitalart måles ut fra dagens priser, og alle endringer legges sammen. F.eks. vil reduksjon i verdien av oljereservene regnes som en negativ endring, mens økning i beholdningen av produsert realkapital slår ut positivt. Fokuset rettes da mot en økonomis produksjonsmuligheter. Noe forenklet kan man si at så lenge den samlede verdien av alle kapitalarter holdes konstant, så holdes også fremtidige produksjonsmuligheter konstant.
Etter vår mening kan nasjonalformuen brukes som en genuin sparing-indikator. Vi har beregnet verdien av de ulike kapitalartene basert på tidskonsistente forventninger. F.eks. vil nasjonalformuen i 1985 være beregnet ut fra de forventningene vi har i dag til reserver, fremtidige priser og kostnader i olje- og gassektoren. Endringer i verdien av olje- og gassressursene vil derfor ikke være drevet av endringer i forventninger, men av endringer i beholdningen. Forutsetning om fremtidig vekst vil heller ikke bety noe ettersom man ser på historiske endringer, og benytter konsistente forventninger om vekst når man sammenligner årene.
Nasjonalformuen avviker imidlertid fra genuin sparing indikatoren slik den normalt brukes, på i hvert fall to områder. For det første måler ikke genuin sparing indikatoren endringer i humankapitalen ved å måle endringer i residualet slik vi gjør når vi ser på endringer i nasjonalformuen. Istedenfor likestiller man investering i humankapital med samlede utgifter til utdanning, og måler endringer i denne fra år til år (Arrow et al. 2004). Videre betrakter man ikke endringer i verdien av olje- og gassressursene fra år til år, men tar isteden utgangspunkt i ressursrenten for det enkelte år og regner dette som negativ investering. De to metodene er diskutert i Aslaksen et al. (1990) med utgangspunkt i de norske petroleumsressursene. Dersom man bare tar utgangspunkt i det årlige uttaket, vil ressursrenten fra olje og gass alltid fremstå som en negativ investering. Dette endrer seg dersom man ser på endringer i verdien av ressursen. Pga. diskonteringen av fremtidige inntekter og endringer i produksjonsprofilen, kan verdien av ressursen øke selv om man tar ut noe ressursrente det gjeldende året.
Asheim (2004), Arrow, Dasgupta og Mäler (2003) (med flere) viser at ikke-negativ genuin sparing innebærer ikke-avtagende konsummuligheter. Et problem er selvfølgelig at registrering av kapitalartene må være altomfattende ( comprehensive ). Bl.a. betyr det at alle former for naturkapital må inkluderes med pris og mengde. Som vi allerede har nevnt, oppfyller dagens nasjonalregnskap ikke dette.
Videre må de riktige prisene benyttes i verdsettingen av humankapitalen, den produserte realkapitalen og naturkapitalen. For å være riktige må prisene være de prisene som fremkommer i en økonomi hvor alle aktører har perfekt informasjon om fremtiden og hvor alle maksimerer sin profitt/nytte (Asheim 1994).
2.5 Konklusjon
I våre beregninger kommer spesielt landbruk, men også fiske og fangst ut med en negativ ressursrente. Det kan derfor se ut som nasjonalformuen ville øke dersom vi sluttet med disse aktivitetene. Vår tolkning er imidlertid at både landbruket og fiskeriene har en høyere ressursrente enn det som fremkommer i nasjonalregnskapstallene, men at denne anvendes så og si direkte på distriktspolitikk og sysselsetningstiltak uten å ta veien om offentlige budsjetter. Tallene for ressursrentene kan derfor kritiseres for å blande sammen inntekt på den ene side og anvendelse av inntekt på den andre side. Dette gjør igjen at både landbruket og fiskeriene fremstår som mindre viktig enn de i realiteten er.
I Brekke og Lurås (1997) refereres det til en alternativ beregningsmåte. Istedenfor å estimere ressursrenten slik den fremkommer i nasjonalregnskapet, ser man på fiske og fangst i et hypotetisk tilfelle hvor det samfunnsøkonomiske overskuddet er maksimert. Med utgangspunkt i de norske fiskestammene anslår de et optimalt uttak av hver enkelt art, og beregner den mest kostnadseffektive måten å ta inn fangsten på mht. nødvendig arbeidskraft og kapital. De får da frem en både positiv og høy ressursrente for fiskeriene.
Det har vært en utbredt oppfatning at Norge er et så rikt land fordi Norge disponerer så store naturressurser. Denne myten er imidlertid blitt delvis avlivet av tidligere beregninger, og vi kan bare bekrefte disse. Riktignok utgjør olje- og gassreservene hele 13 prosent av nasjonalformuen i 2001. Likevel, selv om vi forutsetter bort økonomisk vekst, utgjør humankapitalen 76 prosent. Produsert realkapital utgjør så og si resten, dvs. 12 prosent. De fornybare naturressursene utgjør til sammen -3 prosent, dvs. de trekker ned nasjonalformuen.
Har så utviklingen i perioden 1985 til 2001 vært bærekraftig? I figur 2.11 har vi plottet endringene i nasjonalformuen og endringene i NNI i samme diagram.

Figur 2.11 Prosentvis endring i nasjonalformue og NNI. 1985-2001
Som vi ser av figur 2.11, faller nasjonalformuen i 1988 og til og med 1990 og deretter igjen i 1992 selv om NNI er stigende fra 1989 (bortsett fra i 1998). Årsaken er at fra 1988 til 1989 økte ressursrenten i olje og gass sektoren kraftig, uten at dette slo ut i en tilsvarende økning i noen av formueskomponentene. Det er nettopp reduksjoner i nasjonalformuen som skyldes høyt uttak av ikke-fornybare naturressurser uten motsvarende økninger av andre kapitalarter, man må være på vakt mot.
Det er likevel vanskelig å hevde at politikken skulle vært annerledes fra 1989 til 1992 for å motvirke dette. Reduksjonen i nasjonalformuen er svak sett i forhold til den senere veksten i formuen. I etterpåklokskapens lys er det dermed vanskelig å si at utviklingen ikke var bærekraftig på 1990-tallet.
Vi har også sett på nasjonalformue pr. innbygger i Norge. Siden antall innbyggere stiger, viser nasjonalformuen pr. innbygger en enda svakere utvikling i perioden 1989 til og med 1992. Likevel stiger nasjonalformuen pr. innbygger kraftig mot slutten av 1990-tallet (se figur 2.12).

Figur 2.12 Utviklingen i nasjonalformuen pr. innbygger. 1985-2001
Økonomien ser derfor ut til å vært bærekraftig. Konklusjonen gjelder imidlertid bare med de forbehold som allerede er nevnt, nemlig at registreringen av kapitalartene ikke er altomfattende, og at vi kan ha utelatt viktige miljøressurser. Vi vil derfor anbefale at våre beregninger suppleres med andre indikatorer for å få et mer helhetlig inntrykk av hvorvidt utviklingen er bærekraftig.
Forfatterne: Forsker Mads Greaker, Gruppe for petroleum og miljøøkonomi, Forskningsavdelingen, førstekonsulent Pål Løkkevik og førstekonsulent Mari Aasgaard Walle, Seksjon for nasjonalregnskap, Avdeling for Økonomisk statistikk, Statistisk sentralbyrå.
Referanser
Arrow, K., P. Dasgupta og K. G. Mäler (2003), Evaluating Projects and Assessing Sustainable Development in Imperfect Economies, Environment and Resource Economics 26, s. 647-685.
Arrow, K., P. Dasgupta, L. Goulder, G. Daily, P. Ehrlich, G. Heal, S. Levin, K. G. Mäler, S. Schneider, D. Starrett og B. Walker (2004), Are we consuming too much? Journal of Economic Perspectives 18, s. 147-172.
Asheim, G. (1994), Net National Product as an Indicator of Sustainability, Scandinavian Journal of Economics 96 (2), s. 257-265.
Asheim, G. (2004), Indicators of welfare improvement and sustainability, Notat forberedt for NOU ”Enkle signaler i en kompleks verden. Forslag til et nasjonalt indikatorsett for bærekraftig utvikling (se eget vedlegg i denne NOU"en).
Aslaksen, I., K. A. Brekke, T. A. Johnsen og A. Aaheim (1990), Petroleum Resources and the Management of National Wealth, fra: Recent Modelling Approaches in Applied Energy Economics, av O. Bjerkholt, Ø. Olsen og J. Vislie, Chapman and Hall Ltd.
Brekke, K.A. og H. Lurås (1997), Ressursrente og nasjonalformue, i: Brekke, K.A. et al. (1997), Økonomi og Økologi. Verktøy for en bærekraftig politikk, ad Notam Forlag.
Brekke, K.A., Ø. Lone og T. Rødseth (1997), Økonomi og Økologi, ad Notam Forlag.
Bye, T., Å. Cappelen, T. Eika, E. Gjelsvik og Ø. Olsen (1994), Noen konsekvenser av petroleumsvirksomheten for norsk økonomi, Rapport 94/1, Statistisk sentralbyrå.
Dasgupta, P. og G. M. Heal (1979), Economic Theory and Exhaustible Resources, Cambridge Economic Handbooks.
Eurostat (2002), Natural Resource Accounts for Oil and Gas. 1980-2000. 2002 edition. European Commission og Eurostat.
Fjærli, E. og D. Lund (2001), The Choice Between Owner"s Wages and Dividends under the Dual Income Tax, Finnish Economic Papers, 14 (2), s. 104-119.
Hardin, G. (1968), Tragedy of the Commons, Science, vol.162, s. 1243-1248.
Jones, C. I. (1998), Introduction to Economic Growth, W. W. Norton & Company, Inc.
Lindholt, L. (2000), On natural resource rent and the wealth of a nation, Discussion Paper No. 281, Statistisk Sentralbyrå, Oslo.
Maddison, A. (1991), Dynamic Forces in Capitalist Development, Oxford University Press.
Sefton, J. A. og M. R. Weale (1996), The net national product and exhaustible resources: The effects of foreign trade, Journal of Public Economics 61, s. 21-47.
Statistisk sentralbyrå (2003), Naturressurser og miljø 2003, Statistisk sentralbyrå, Oslo.
Statistisk sentralbyrå (2003), Nasjonalregnskapsstatistikk 1995-2002, Statistisk sentralbyrå, Oslo.
Tverå, F. og I. Sagelvmo (2003), Beregning av næringene fiske eget bruk, fiske og fangst og fiskeoppdrett i nasjonalregnskapet, Notater 2003/73, Statistisk sentralbyrå, Oslo.
Verdensbanken (1996), Expanding the Measure of Wealth, Verdensbanken, Washington D.C.
Verdensbanken (1998), Estimating National Wealth: Methodology and Results, Verdensbanken, Washington D.C.
Weitzman, M. (2003), Income, Wealth, and the Maximum Principle, Harvard University Press.
Økonomiske analyser 1/2004, Produksjonsevne og konsummuligheter, s. 50-61. Statistisk sentralbyrå, Oslo.
Fotnoter
Mange typer produksjonskapital kan bare brukes til å produsere ny produksjonskapital og ikke konsumvarer. Dersom økonomien er i en utvikling hvor beholdningen av produsert realkapital er økende, er det derfor vanskelig å tenke seg at man i praksis kunne bruke hele NNI på konsum, se Weitzman (2003), side 190-199.
Avkastningen på de ulike kapitalartene er beregnet ut fra basisverdi dvs. verdier eksklusive indirekte skatter, mens NNI inkluderer de indirekte skattene.
2002-tall ble publisert i begynnelsen av desember 2004, dvs. for sent til å bli med i denne rapporten.
Dersom vi trekker ut statlig kapital av kapitalbeholdningen til Fastlands-Norge, vil dette i gjennomsnitt over alle årene øke avkastningsraten med 0,5 prosentpoeng.
Det er bare i begynnelsen av perioden at den alternative beregningen påvirker resultatene i vesentlig grad. I slutten av perioden gikk timeverkene i mange av næringene ned, og dermed blir ikke de to lønnskompensasjonene så forskjellige. Selv med alternativ lønnsberegning var ressursrenta for jordbruk, fiske og fangst negativ i hele perioden.